| Issue |
A&A
Volume 506, Number 2, November I 2009
|
|
|---|---|---|
| Page(s) | L17 - L20 | |
| Section | Letters | |
| DOI | https://doi.org/10.1051/0004-6361/200913161 | |
| Published online | 17 September 2009 | |
A&A 506, L17-L20 (2009)
LETTER TO THE EDITOR
A
4.6 h quasi-periodic oscillation in the BL Lacertae
PKS 2155-304?
P. Lachowicz1,2 - A. C. Gupta3 - H. Gaur3 - P. J. Wiita4,5
1 - Nicolaus Copernicus Astronomical Centre, Polish Academy of
Sciences, ul. Bartycka 18, 00-716 Warszawa, Poland
2 - Centre for Wavelets, Approximation and Information Processing,
Temasek Laboratories, National University of Singapore,
5A Engineering Dr 1, #09-02 Singapore 117411, Singapore
3 - Aryabhatta Research Institute of Observational Sciences (ARIES) Manora Peak, Nainital, 263129, India
4 - School of Natural Sciences, Institute for Advanced Study, Princeton, NJ 08540, USA
5 - Department of Physics and Astronomy, Georgia State University, PO Box 4106, Atlanta, GA 30302-4106, USA
Received 21 August 2009 / Accepted 10 September 2009
Abstract
We report a possible detection of an
4.6-h quasi-periodic
oscillation (QPO) in the 0.3-10 keV emission of the high-energy peaked blazar
PKS 2155-304 from a 64 ks observation by the XMM-Newton EPIC/pn
detector. We identify a total modulation of
5% in the light
curve and confirm that nominal period by periodogram, structure function, and
wavelet analyses. The limited light curve duration allows the capture of only
3.8 cycles of this oscillation and thus precludes a very strong claim for
this QPO, despite a nominally high (
3
)
statistical significance. We briefly discuss models capable of producing an
X-ray QPO of such a period in a blazar.
Key words: galaxies: active - BL Lacertae objects: general - BL Lacertae objects: individual: PKS 2155-304 - X-rays: galaxies
1 Introduction
Active galactic nuclei (AGN) presumably possess accreting black holes (BHs)
with masses of 106-1010
and have many similarities to
scaled-up galactic X-ray emitting BH binaries. The presence of
quasi-periodic
oscillations (QPOs) is fairly common in both BH and neutron star
binaries in our and nearby galaxies (e.g., Remillard & McClintock 2006).
Despite several earlier claims, until recently there have been no
convincing cases of QPOs in AGN. A clear detection of a QPO of
1 h
been made for the narrow-line Seyfert 1 galaxy (NLS1),
RE J1034+396 (Gierlinski et al. 2008), and a very strong case
for one (also about 1 h) in a flat spectrum radio quasar,
3C 273, has been reported (Espaillat et al. 2008). Both use data from the XMM-Newton satellite.
The BL Lacertae object PKS 2155-304 (z = 0.116) is
one of the brightest BL Lac objects from UV to TeV energies
in the southern hemisphere. Therefore it is well studied and known to
be rapidly and strongly variable throughout the electromagnetic
spectrum on diverse timescales (e.g., Carini & Miller 1992; Urry et al. 1993; Brinkmann et al. 1994; Marshall et al. 2001; Ahronian et al. 2005; Dominici et al. 2006; Dolcini et al. 2007; Piner et al. 2008; Zhang 2008; Sakamoto et al. 2008, and references therein). A giant TeV flare from this source was observed in July 2006 (e.g., Ahronian et al. 2007; Foschini et al. 2007; Sakamoto et al. 2008). Its extreme TeV variability seems to demand an ultra-relativistic flow (bulk Lorentz factor
50)
in at least portions of the jet that is believed to dominate the
emission from this and other BL Lacs and blazars (Ghisellini &
Tavecchio 2008). This BL Lac
has been the target of several simultaneous multi-wavelength monitoring
campaigns (e.g., Urry et al. 1993; Brinkmann et al. 1994; Edelson et al.
1995; Courvoisier et al. 1995; Urry et al. 1997; Pian et al. 1997; Pesce et al. 1997; Foschini et al. 2007, 2008). PKS 2155-304 is among the few blazars
for which claims of an apparent QPO have been made, with UV and optical
monitoring (from IUE) over five days possibly having a
0.7 d
periodicity (Urry et al. 1993). Simultaneous X-ray observations tracked those UV variations fairly well (Brinkmann et al. 1994).
2 Data and reduction
We reanalyzed archival XMM-Newton EPIC observations of
PKS 2155-304
taken on 2006 May 1 (orbit 1171, ObsID 0158961401). The
0.6-10 keV spectral analysis of this observation has been reported
in Zhang (2008). We used pipeline products and applied the XMM-Newton
Science Analysis System (SAS) version 8.0.0 for the light
curve (LC) extraction. We confined our analysis to EPIC/pn data because
only they were free of soft-proton flaring events and pile-up effects.
In contrast to the data reduction conducted by Zhang (2008),
we read out source photons recorded in the entire 0.3-10 keV
energy band, using a circle of 45 arc-sec radius centered on the
source. Background photons were read out from the same sized area
located about 180 arc-sec off the source on the same chipset. We
finally obtained a source LC (corrected for background flux) of
the total duration,
ks, of the observation evenly sampled every
s. The mean count rate and rms variability equal 21.9 cts s-1 and 3.1%, respectively.
3 Light curve analysis
A visual inspection of the LC (Fig. 1a) suggests that the X-ray emission of PKS 2155-304 is modulated by a periodic component. We conducted periodogram, structure function, and wavelet analyses to explore this possibility and to provide a more complete picture of the observed variability.
3.1 Periodogram analyses
We first used the multi-harmonic AoV periodogram (mhAoV) of Schwarzenberg-Czerny (1996)
to analyze the LC. An extensive description of mhAoV with its
statistical advantages over the classical Lomb-Scargle method, and
examples of applications to X-ray time-series analyses can be found in
Lachowicz et al. (2006). In the periodogram calculations for the signal x, we employed Szegö orthogonal trigonometric polynomials as model functions,
.
A series of
polynomials correspond to the orthogonal combinations of the N lowest Fourier harmonics, where
denotes the
number of a model's free parameters. The consistency of the data with the model
is measured by a statistic,
,
which is a function of
frequency. In the mhAoV periodogram,
is defined by the Fisher AoV
statistic, namely
,
and follows the
Fisher-Snedecor probability distribution, F. Since different periodograms use
different models and statistics, therby facilitating their comparison, we
convert
into the false alarm probability, P1. It can be
directly calculated as
where
and
defines a number of consecutive observations being correlated (see Sect. 3.1.4
of Lachowicz et al. 2006). A direct derivation of P1 returns the
significance of the periodogram peak (centered at the frequency f0) only
under the assumption that any modulation detected has a period,
P0 = 1/f0, which is known in advance. In practice, when a set of
frequencies in a band,
,
is scanned for significant periodicities, a selected peak's significance level should be corrected for multiple trials, so
.
Since there is no analytical method
that determines
,
we follow Lachowicz et al. (2006) and assume a
simple estimate,
,
where
defines the peak's FWHM and
is the number of
frequencies at which the periodogram is calculated.
![]() |
Figure 1:
a) The 0.3-10 keV LC of PKS 2155-304 as observed by XMM-Newton EPIC/pn (orbit 1171) showing a noticeable periodic flux modulation in the signal. b) Corresponding mhAoV periodogram revealing a dominant periodicity at
|
| Open with DEXTER | |
![]() |
Figure 2:
Fourier power spectrum of PKS 2155-304 (histogram)
and estimated 99.73% (3 |
| Open with DEXTER | |
For this PKS 2155-304 LC, we employed the mhAoV assuming a simple model
of
with N = 1 (a sinusoid). This periodogram analysis
revealed a dominant peak around the frequency of
Hz
(Fig. 1b). Since the standard frequency resolution (defined by 1/T) for frequencies below
f < 10-4 Hz is poor, we oversampled our periodogram in frequency by a factor of 5. This allowed
us to determine the period more precisely and to estimate its
error
(Schwarzenberg-Czerny 1991). We find
s (
h).
In the error calculation we took into account a correction to the
peak's power from the fitted mean red noise background (assuming a power-law
model) around the suspected QPO frequency (Fig. 1b; red
line), which reduces
by a factor of about 1.2. We computed
the peak significance and find it to be
(
7
)
using the determined values
,
and
.
Therefore, in terms of the
mhAoV method, the underlying 4.6 h periodicity stands as
statistically significant even though we capture only 3.8 cycles
during the total LC duration. We find the suspected QPO has a quality
factor,
,
and a fractional rms of 1.6%.
The underlying continuum that includes red noise can easily give rise to
nominally apparent, but not actually significant, periodicities, particularly
when the dataset only spans a few of the putative periods (Press 1978).
To more conservatively estimate the significance of this possible
QPO in PKS 2155-304, we also employed the approach of Vaughan (2005),
which was used by Gierlinski et al. (2008) in their analysis of RE
J1034+396. This analysis basically involves first measuring the
Fourier periodogram, then estimating the slope of that red noise
continuum contribution through a least-squares fit to the log of the
periodogram,
and finally estimating the significance of any peaks above that power spectrum
(Vaughan 2005). Although only strictly valid when the spectrum of the underlying
noise is exactly a power-law in frequency, it is a very good approximation as
long as the signal is in the portion of the power spectrum that is close to a
power-law. The results of this analysis are given in Fig. 2,
where the peak is just slightly above the 99.73% confidence level.
This result of
3
would normally be strong enough to
claim a significant QPO detection. As a comparison, the result using this
approach for the QPO found in the NLS1 galaxy discussed by Gierlinski et al. (2008) is ![]()
for the better
``Segment 2'' of their LC and ![]()
when their entire LC is
considered. Using Monte Carlo simulations we also estimated a
chance probablity of finding a spurious QPO of the >3
significance seen in Fig. 2 from that underlying power-law power spectrum to be
.
In Fig. 3 we present a folded LC with a period of
4.64 h re-binned into 20 flux bins per one cycle of the modulation. The best
fit of a sinusoidal model to the data is overplotted
and returns a reduced-
of 0.63 for 17 degrees of freedom.
We calculated the relative modulation depth, defined by
where
and
denote the minimum and maximum count rates of the fitted model
and find
%. This is about 40%
of the periodic modulation at P = 3733 s found by Gierlinski et al. (2008) in the 0.3-10 keV flux of RE J1034+396.
![]() |
Figure 3: Folded 0.3-10 keV LC with period P=16 707 s and best-fit sinusoid describing flux modulation. Two cycles are displayed for clarity. |
| Open with DEXTER | |
We also checked how much this detection of
4.6 h periodicity
depends on the energy band. In Fig. 4 we compare the mhAoV
periodograms computed for two energy intervals, the ``soft'' 0.3-2 keV and
``hard'' 2-10 keV bands. Surprisingly, while the periodicity is easily
detected in the soft band and is still at a high estimated significance
level (
;
mhAoV), it is
visible but not significant in the source's hard X-ray emission.
| Figure 4: Periodograms calculated using mhAoV for PKS 2155-304 LCs corresponding to 0.3-2 keV and 2-10 keV emission. |
|
| Open with DEXTER | |
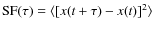
| Figure 5: Structure Function for the 0.3-10 keV LC of PKS 2155-304. |
|
| Open with DEXTER | |
3.2 Structure function analysis
The structure function (SF) is an alternative technique that provides information on the time structure of a data train, and it is able to discern the range of the characteristic time scales that contribute to the fluctuations. It is less affected by any gaps in the light curves and is free of any constant offset in the time series (e.g., Rutman 1978). Introduced by Kolomogorov (1941), the SF has frequently been applied in astronomy (e.g., Simonetti et al. 1985; Paltani et al. 1997), and has been recently used by Rani et al. (2009) for spotting nearly periodic fluctuations in the long-term X-ray LCs of blazars.
The first-order SF is a time domain technique, defined as
where
is the LC. For
strictly sinusoidal flux variability with period P, the SF has minima for
equal to P and its subharmonics (e.g., Lachowicz et al. 2006). Thus,
an SF allows for quick confirmation of the findings provided by the periodogram
techniques. Figure 5 displays the SF computed for our X-ray LC of PKS 2155-304. The first and subsequent dips clearly indicate a periodic
component at
s, which is in good agreement with the
periodograms.
![]() |
Figure 6: Wavelet analysis for the 0.3-10 keV blazar LC, with redder colors corresponding to stronger signals. The cone-of-influence is marked by the solid white line. |
| Open with DEXTER | |
3.3 Wavelet analysis
We employed the standard wavelet Matlab
codes of Torrence & Compo (1998) to scan a time-frequency
plane of the blazar's 0.3-10 keV LC. In the wavelet analysis we used the
Morlet mother function as a basis function. This is a reasonable choice for
capturing periodic flux modulations and providing an idea of their lifetimes
and frequency evolution along the signal.
Figure 6 presents the calculated squared modulus of the continuous
wavelet transform. Two strips of high wavelet power are immediately noticeable
for frequencies
Hz. The frequency of the most
prominent one agrees very well with our periodogram and structure function indications, i.e., at the frequency
Hz of the possible 4.6 h QPO.
It is worth noting that the wavelet map suggests the highest coherence of
that periodicity within the first
35 ks of the LC, which also agrees
with a time-domain based signal analysis. For t > 35 ks, the 4.6 h
modulation weakens and its period may stretch out. Within that time interval,
the wavelet map reveals a second flux modulation (i.e. of lower frequency), also seen in the mhAoV results (Fig. 1). However, much of these
wavelet signals are in the ``cone-of-influence'' where putative modulations are
either too close to the sampling interval or (as in this case) too close to the
total signal length. It is worth noting that this restriction did not apply to
the wavelet analyses employed to support recent claims for X-ray (Espaillat et al. 2008) and optical (Gupta et al. 2009) QPOs in other blazars.
4 Discussion and conclusions
Several models for the QPOs in Galactic X-ray binaries have
been proposed, and while none seem to be able to explain all of the
details of the observations, they are all based on fluctuations in, or
oscillations of, accretion disks (e.g., Remillard & McClintock 2006).
The simplest of these models for BHs would attribute the quasi-periods
to particularly strong orbiting hot-spots on the disks at, or close to, the
innermost stable circular orbit allowed by general relativity (e.g., Abramowicz
et al. 1991; Mangalam & Wiita 1993). If such simple models apply in this case, and the QPO is indeed real, then we would estimate the BH mass for PKS
2155-304 to be
for a non-rotating BH and
for a maximally rotating BH (e.g., Gupta et al.
2009; Rani et al. 2009). Other possible mechanisms for QPOs in AGNs that could
provide timescales of a few hours can also have a disk origin or can arise from
relativistic jets. The former class also includes small epicyclic deviations
in both vertical and radial directions from exact planar motions within a thin
accretion disk (e.g., Abramowicz 2005), oscillations of standing shocks in transonic flows (e.g., Chakrabarti et al. 2004), and trapped pulsational modes
within a disk (e.g., Perez et al. 1997; Espaillat et al. 2008).
In the case of PKS 2144-304, a disk flux variation is unlikely to
directly produce any detectable QPO because the disk emission is almost
certainly dominated by
synchrotron emission at low-energy bands and by inverse Compton emission at
higher energy bands. Both of these are expected to arise from from
relativistic jets (e.g., Blandford & Königl 1979; Böttcher 2007; Marscher et al. 2008) and their fluxes usually would swamp any disk
fluxes. Nonetheless, a disk oscillation could trigger a quasi-periodic
injection of plasma into the jets, which could then produce the observed QPO (e.g., Liu et al. 2006).
Some recent work has argued that the nuclear emission in low-luminosity
radio-loud AGNs indicates that the accretion disk is radiatively
inefficient (e.g., Balmaverde et al. 2006; Balmaverde & Capetti 2006).
Then the emission in even the low-luminosity radio-loud AGNs that are
likely the parent population of BL Lacs is dominated by
non-thermal emission from the base of the jet. The observed timescale,
,
of any fluctuation is likely to be reduced with respect to the rest-frame time-scale,
,
by the Doppler factor,
,
and is increased by a factor of (1 + z). The Doppler factor depends upon the velocity of the shock propagating down the jet, V, and
the angle between the jet and the observer's line-of-sight,
,
as
,
where
and
.
The value of
for PKS 2155-304 is probably
large,
30-50 (Urry et al. 1997; Ghisellini & Tavecchio 2008).
A shock
propagating down a jet which contains quasi-helical structures, whether
in
electron density or magnetic field, can produce a QPO, with successive
peaks seen each time the shock meets another twist of the helix at the
angle that provides the maximum boosting for the observer (e.g.,
Camenzind & Krockenberger 1992; Gopal-Krishna & Wiita 1992).
Instabilities in jets just might be able to excite such helical modes
capable of yielding fluctuations that are observed to occur on the
time-scale seen in PKS 2155-304 (e.g., Romero 1995).
Or they could arise as the jet plasma is launched
in the vicinity of SMBH and thus actually originate in the accretion
flow but
become amplified in the jet. Another very plausible origin for a
short-lived
QPO would be turbulence behind the shock in the relativistic jet (e.g.
Marscher et al. 1992), as again intrinsically modest fluctuations
could be
Doppler boosted.
While this result for the presence of a QPO in a BL Lac is nominally of reasonably high statistical significance, the presence of <4 cycles of the putative period in this dataset means that it can only be considered to be a tantalizing hint, and not a confirmed case. Detailed discussion of physical mechanisms, along with results of searches for QPOs in 24 light curves of four other high energy peaked blazars, will be given in a separate paper (Gaur et al., in preparation).
AcknowledgementsWe are deeply grateful to Chris Done for providing the code for the power spectrum calculation presented in Fig. 2, to Alex Schwarzenberg-Czerny for constructive discussion of periodograms, and to Izabela Dyjecinska for graphics advice. This research is based on observations obtained with XMM-Newton, an ESA science mission with instruments and contributions directly funded by ESA Member States and NASA.
References
- Abramowicz, M. A. 2005, AN, 326, 782 [NASA ADS]
- Abramowicz, M. A., Bao, G., Lanza, A., et al. 1991, A&A, 245, 454 [NASA ADS]
- Aharonian, F., Akhperjanian, A. G., Bazer-Bachi, A. R., et al. 2005, A&A, 442, 895 [NASA ADS] [CrossRef] [EDP Sciences]
- Aharonian, F., Akhperjanian, A. G., Bazer-Bachi, A. R., et al. 2007, ApJ, 664, L71 [NASA ADS] [CrossRef]
- Balmaverde, B., & Capetti, A. 2006, A&A, 447, 97 [NASA ADS] [CrossRef] [EDP Sciences]
- Balmaverde, B., Capetti, A., & Grandi, P. 2006, A&A, 451, 35 [NASA ADS] [CrossRef] [EDP Sciences]
- Blandford, R. D., & Königl, A. 1979, ApJ, 232, 34 [NASA ADS] [CrossRef]
- Böttcher, M. 2007, Ap&SS, 309, 95 [NASA ADS] [CrossRef]
- Brinkmann, W., Marashi, L., Treves, A., et al. 1994, A&A, 288, 433 [NASA ADS]
- Camenzind, M., & Krockenberger, M. 1992, A&A, 255, 59 [NASA ADS]
- Carini, M. T., & Miller, H. R. 1992, ApJ, 385, 146 [NASA ADS] [CrossRef]
- Chakrabarti, S. K., Acharyya, K., & Molteni, D. 2004, A&A, 421, 1 [NASA ADS] [CrossRef] [EDP Sciences]
- Courvoisier, T. J.-L., Blecha, A., Bouchet, P., et al. 1995, ApJ, 438, 108 [NASA ADS] [CrossRef]
- Dolcini, A., Farfanelli, F., Ciprini, S., et al. 2007, A&A, 469, 503 [NASA ADS] [CrossRef] [EDP Sciences]
- Dominici, T. P., Abraham, Z., & Galo, A. L. 2006, A&A, 460, 665 [NASA ADS] [CrossRef] [EDP Sciences]
- Edelson, R., Krolik, J., Madejski, G., et al. 1995, ApJ, 438, 120 [NASA ADS] [CrossRef]
- Espaillat, C., Bregman, J., Hughes, P., et al. 2008, ApJ, 679, 182 [NASA ADS] [CrossRef]
- Foschini, L., Ghisellini, G., Tavecchio, F., et al. 2007, ApJ, 657, L81 [NASA ADS] [CrossRef]
- Foschini, L., Treves, A., Tavecchio, F., et al. 2008, A&A, 484, L35 [NASA ADS] [CrossRef] [EDP Sciences]
- Ghisellini, G., & Tavecchio, F. 2008, MNRAS, 396, L28 [NASA ADS]
- Gierlinski, M., Middleton, M., Ward, M., et al. 2008, Nature, 455, 369 [NASA ADS] [CrossRef]
- Gopal-Krishna, & Wiita, P. J. 1992, A&A, 259, 109 [NASA ADS]
- Gupta, A. C., Srivastava, A. K., & Wiita, P. J. 2009, ApJ, 690, 216 [NASA ADS] [CrossRef]
- Kolomogorov, A.N. 1941, Dokl. Acad. Nauk. SSSR, 30, 229
- Lachowicz, P., Zdziarski, A. A., Schwarzenberg-Czerny, A., Pooley, G. G., & Kitamoto, S. 2006, MNRAS, 368, 1025 [NASA ADS] [CrossRef]
- Liu, F. K., Zhao, G., & Wu, X.-B. 2006, ApJ, 650, 749 [NASA ADS] [CrossRef]
- Mangalam, A. V., & Wiita, P. J. 1993, ApJ, 406, 420 [NASA ADS] [CrossRef]
- Marscher, A. P., Gear, W. K., & Travis, J. P. 1992, in Variability of Blazars, ed. E. Valtaoja, & M. Valtonen (Cambridge: Cambridge U. Press), 85
- Marscher, A. P., Jorstad, S. G., D'Arcangelo, F. D., et al. 2008, Nature, 452, 966 [NASA ADS] [CrossRef]
- Marshall, H. L., Urry, C. M., Sambruna, R. M., et al. 2001, ApJ, 549, 938 [NASA ADS] [CrossRef]
- Paltani, S., Courvoisier, T. J. L., Blecha, A., et al. 1997, A&A, 327, 539 [NASA ADS]
- Perez, C. A., Silbergleit, A. S., Wagoner, R. V., et al. 1997, ApJ, 476, 589 [NASA ADS] [CrossRef]
- Pesce, J. E., Urry, C. M., Maraschi, L., et al. 1997, ApJ, 486, 770 [NASA ADS] [CrossRef]
- Pian, E., Urry, C. M., Treves, A., et al. 1997, ApJ, 486, 784 [NASA ADS] [CrossRef]
- Piner, B. G., Pant, N., & Edwards, P. G. 2008, ApJ, 678, 64 [NASA ADS] [CrossRef]
- Press, W. H. 1978, Comments Astrophys., 7, 103 [NASA ADS]
- Rani, B., Wiita, P. J., & Gupta, A. C. 2009, ApJ, 696, 2170 [NASA ADS] [CrossRef]
- Remillard, R. A., & McClintock, J. E. 2006, ARA&A, 44, 49 [NASA ADS] [CrossRef]
- Romero, G. E. 1995, Ap&SS, 234, 49 [NASA ADS] [CrossRef]
- Rutman, J. 1978, IEEE, 66, 1048 [NASA ADS] [CrossRef]
- Sakamoto, Y., Nishijima, K., Mizukami, T., et al. 2008, ApJ, 676, 113 [NASA ADS] [CrossRef]
- Schwarzenberg-Czerny, A. 1991, MNRAS, 253, 198 [NASA ADS]
- Schwarzenberg-Czerny, A. 1996, ApJ, 460, L107 [NASA ADS] [CrossRef]
- Simonetti, J. H., Cordes, J. M., & Heeschen, D. S. 1985, ApJ, 296, 46 [NASA ADS] [CrossRef]
- Torrence, C., & Compo, G. P. 1998, Bull. Amer. Meteor. Soc., 79, 61 [CrossRef]
- Urry, C. M., Maraschi, L., Edelson, R., et al. 1993, ApJ, 411, 614 [NASA ADS] [CrossRef]
- Urry, C. M., Treves, A., Maraschi, L., et al. 1997, ApJ, 486, 799 [NASA ADS] [CrossRef]
- Vaughan, S. 2005, A&A, 431, 391 [NASA ADS] [CrossRef] [EDP Sciences]
- Zhang, Y. H. 2008, ApJ, 682, 789 [NASA ADS] [CrossRef]
All Figures
![]() |
Figure 1:
a) The 0.3-10 keV LC of PKS 2155-304 as observed by XMM-Newton EPIC/pn (orbit 1171) showing a noticeable periodic flux modulation in the signal. b) Corresponding mhAoV periodogram revealing a dominant periodicity at
|
| Open with DEXTER | |
| In the text | |
![]() |
Figure 2:
Fourier power spectrum of PKS 2155-304 (histogram)
and estimated 99.73% (3 |
| Open with DEXTER | |
| In the text | |
![]() |
Figure 3: Folded 0.3-10 keV LC with period P=16 707 s and best-fit sinusoid describing flux modulation. Two cycles are displayed for clarity. |
| Open with DEXTER | |
| In the text | |
| |
Figure 4: Periodograms calculated using mhAoV for PKS 2155-304 LCs corresponding to 0.3-2 keV and 2-10 keV emission. |
| Open with DEXTER | |
| In the text | |
| |
Figure 5: Structure Function for the 0.3-10 keV LC of PKS 2155-304. |
| Open with DEXTER | |
| In the text | |
![]() |
Figure 6: Wavelet analysis for the 0.3-10 keV blazar LC, with redder colors corresponding to stronger signals. The cone-of-influence is marked by the solid white line. |
| Open with DEXTER | |
| In the text | |
Copyright ESO 2009
Current usage metrics show cumulative count of Article Views (full-text article views including HTML views, PDF and ePub downloads, according to the available data) and Abstracts Views on Vision4Press platform.
Data correspond to usage on the plateform after 2015. The current usage metrics is available 48-96 hours after online publication and is updated daily on week days.
Initial download of the metrics may take a while.
![\begin{figure}
\par\includegraphics[angle=0,width=8.6cm]{13161fg1.eps}
\end{figure}](/articles/aa/full_html/2009/41/aa13161-09/Timg26.png)
![\begin{figure}
\par\includegraphics[angle=0,width=8.6cm]{13161fg2.eps}
\end{figure}](/articles/aa/full_html/2009/41/aa13161-09/Timg27.png)
![\begin{figure}
\par\includegraphics[angle=-90,width=8.6cm]{13161fg3.eps}
\end{figure}](/articles/aa/full_html/2009/41/aa13161-09/Timg44.png)
![\begin{figure}
\par\includegraphics[angle=0,width=8.6cm]{13161fg6.eps}
\end{figure}](/articles/aa/full_html/2009/41/aa13161-09/Timg51.png)