| Issue |
A&A
Volume 506, Number 2, November I 2009
|
|
|---|---|---|
| Page(s) | 589 - 599 | |
| Section | Astrophysical processes | |
| DOI | https://doi.org/10.1051/0004-6361/20079113 | |
| Published online | 27 August 2009 | |
A&A 506, 589-599 (2009)
Numerical computation of isotropic Compton scattering
R. Belmont1,2
1 - CESR (Centre d'Étude Spatiale des
Rayonnements), Université de Toulouse [UPS], 9 Av. du Colonel Roche,
31028 Toulouse, France
2 -
CNRS, UMR5187, 31028 Toulouse, France
Received 20 November 2007 / Accepted 7 July 2009
Abstract
Context. Compton scattering is involved in many
astrophysical situations. It is well known and has been studied in
detail for the past fifty years. Exact formulae for the different cross
sections are often complex, and essentially asymptotic expressions have
been used in the past. Numerical capabilities have now developed to a
point where they enable the direct use of exact formulae in
sophisticated codes that deal with all kinds of interactions in
plasmas. Although the numerical computation of the Compton cross
section is simple in principle, its practical evaluation is often prone
to accuracy issues. These can be severe in some astrophysical
situations but are often not addressed properly.
Aims. In this paper we investigate numerical issues related to
the computation of the Compton scattering contribution to the time
evolution of interacting photon and particle populations.
Methods. An exact form of the isotropic Compton cross section
free of numerical cancellations is derived. Its accuracy is
investigated and compared to other formulae. Then, several methods to
solve the kinetic equations using this cross section are studied.
Results. The regimes where existing cross sections can be
evaluated numerically are given. We find that the cross section derived
here allows for accurate and fast numerical evaluation for any photon
and electron energy. The most efficient way to solve the kinetic
equations is a method combining a direct integration of the cross
section over the photon and particle distributions and a Fokker-Planck
approximation. Expressions describing this combination are given.
Key words: radiation mechanisms: general - plasmas - methods: numerical - galaxies: active - X-rays: binaries - X-rays: galaxies
Introduction
Compton scattering has become a major process in astrophysics, and for
more than half a century, it has been applied to a large variety of
astrophysical situations, particularly in high energy, low density
media. It was first introduced in the context of electron cosmic rays
interacting with thermal stellar photons (Follin 1947; Donahue 1951; Feenberg & Primakoff 1948,
etc.). It was then used to model gases of high energy electrons in the
strong radiation field of X-ray or relativistic sources (Levich & Syunyaev 1971). It is also responsible for the up-scattering of low energy photons from the microwave background radiation (Zeldovich et al. 1972). More recently, much effort has been spent on high energy media in relativistic sources such as
-ray
bursts, AGN, and X-ray binaries. Particular focus is now on the
synchrotron self-Compton radiation that is thought to play a major role
for example in AGN (Tavecchio et al. 2001; Saugé & Henri 2004).
The many varied applications result in different energy regimes for the
photons and the particles. The energy of particles spans from the very
cold electrons of pulsars winds to the hot gas in the corona of X-ray
binaries (
100 keV, i.e.
), and to high energy cosmic rays (up to E > 100 TeV, i.e.
). The energy of photons also spans a wide range: in the case of AGN for instance, it goes from low energy synchrotron photons (
m, i.e.
)
to
-ray emission (with E > 10 TeV, i.e.
for some sources). General formulae must be able to deal simultaneously with very small and very large energies.
The exact cross section is quite complex and does not give any physical insight into the fundamental process. Moreover, often, only a fraction of the particle and photon spectra contribute significantly to the Compton scattering in one given astrophysical situation. For these reasons most of the theoretical work has been done on deriving limiting and/or averaged forms that can be easily included in the modeling of astrophysical objects. For example, much work is now based on the diffusion approach for particles, valid when large angle scattering can be neglected, that is, when the energy of the particles does not vary significantly in one single interaction (work initiated by Kompaneets 1957). Analytical expressions averaged over Maxwellian distributions and thus only valid in purely thermal plasmas have also been used. Many other approximations have been proposed in general papers, reviews and books (see Rybicki & Lighman 1979; Blumenthal & Gould 1970; Nagirner & Poutanen 1994; Zeldovich 1975; Katz 1987, for example). Nevertheless the relevant energy cannot always be confined to a narrow range where simple approximations can be made. Also more general expressions that can be used regardless of a specific problem are required for generic codes designed to address various situations. In these cases an exact description without limitation on the photon and electrons energies is required. A few exact formulae have been proposed for the isotropic Compton cross section (Nagirner & Poutanen 1994; Brinkmann 1984; Jones 1968, NP94 hereafter). Such formulae are analytically equivalent. When evaluated numerically however, they behave differently with respect to accuracy issues. For example, the original formula by Jones (1968) fails to describe the up-scattering of low energy photons which represents a typical astrophysical situation. Although these problems are well known, the Jones' cross section is still widely used in the literature.
Such general expressions are not very helpful for physical understanding. Nevertheless, they are complementary to asymptotic forms for they provides quantitative results that can be compared to observations. It has become particularly true recently, since more and more codes have been developed to deal with photon-photon, photon-particle and particle-particle interactions in high energy plasmas (e.g. Vurm & Poutanen 2009; Belmont et al. 2008; Coppi 1992; Poutanen & Svensson 1996; Nayakshin & Melia 1998). Even with an accurate, exact cross section, numerical computation of the Compton contribution to the evolution of the particle and photon distributions is problematic. When the distributions and cross section are discretized in energy bins, the grid resolution puts severe constraints on the code accuracy. Typically, high energy particles are scattered down by numerous and inefficient scattering events off soft photons. If the resolution is insufficient, these individual events are not captured by the numerical scheme and the global evolution of the particle distribution is not described accurately. Nayakshin & Melia (1998) proposed that a combination of this method with a Fokker-Planck approximation could enable good accuracy. This idea was applied in a recent numerical code by Belmont et al. (2008) (see also Vurm & Poutanen 2009). Here we investigate the method and quantify its accuracy.
In the first section, we derive a new form of the distribution of scattered photons. The accuracy of this formula is discussed and compared to other expressions. In the second section, numerical errors of several kinetic methods are estimated and compared.
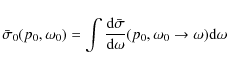
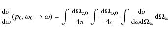
1 Evaluating the isotropic distribution of Compton-scattered photons
1.1 Exact spectrum
As long as stimulated scattering is not considered, the evolution of a
photon population interacting by Compton scattering with an electron
distribution is described by the following equation (see Rybicki & Lighman 1979, for example):
| |
= | ![]() |
|
![]() |
(1) |
Here
When the photon and particle distributions are isotropic, this equation can be integrated over all directions. By noting
and
(where
), it yields:
where
![]() |
(3) |
is the total scattering cross section, and
is the angle-averaged cross section for isotropic Compton scattering.
![]() |
Figure 1:
Angles and notations. The incoming photon direction |
| Open with DEXTER | |
Equation (4) can actually be simplified further. Because of symmetry, the differential cross section
does
not depend independently on the direction of the incoming photon and
lepton, but only on the angle between their directions:
,
where
is the lepton velocity in units of the speed of light and
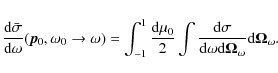
is the direction of the incoming photon (see Fig. 1). Then, Eq. (4) reduces to:
Also, although the result of a single scattering event is described by 6 variables (energy and direction of the scattered photon and particle), these variables are not independent. The conservation of the total energy-momentum 4-vector sets 4 constrains, so that only 2 independent variables are necessary to describe the scattering outcome. Although other choices can be made, these are often chosen to be the angles describing the scattered photon direction
Here the latter condition is given by:
![]() |
(7) |
where
The angle differential cross section is a well known result of quantum
mechanics. In the rest frame of the electron, the general Klein-Nishina
cross section does not depend on the azimuthal angle and reads (Heitler 1954; Rybicki & Lighman 1979):
where
Equations (6) and (8) can be shown to be equivalent to Eq. (12) of Jones (1968)
and Eqs. (6.2.1), (8.1.1) and (8.1.3) of NP94. Getting the
angle-averaged cross section is now quite straightforward. However,
including the Klein-Nishina cross section in Eq. (6)
requires changes of frame and the triple integral quickly leads to
cumbersome expressions. Different integration variables can be used and
the triple integral can be performed in several orders. Here we follow
the original method by Jones (1968). All quantities are expressed in the electron rest frame which gives:
Integration is then performed over
![]() |
(10) |
with
where
| (12) | |
| (13) | |
| (14) | |
| (15) |
The cross section is proportional to the difference
| (16) | ||
| (17) |
The critical photon frequencies for which the arguments of the
![]() |
(18) |
The scattered distribution is obviously continuous at these frequencies. However, higher derivatives are not, as it can be seen in Fig. 4 for example.
The scattered distribution is bounded in energy and the maximal and
minimal energies guarantee that all radicals remain real (see Jones 1968, for more details):
where
When,
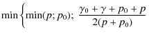
1.2 Cancelation issues
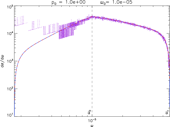
As was first discussed by Jones (1968), evaluation of Eq. (11) suffers from accuracy issues due to machine round-off errors. Since most astrophysical problems involve an energy range spanning many orders of magnitude, Eq. (11) includes combinations of very small and very large terms. In this form, most large terms must cancel out, which obviously represents a numerical challenge. An example of accuracy issue is shown in Fig. 4.
Cancelation errors appear when the relative difference of two terms is
smaller than the machine precision. Here we focus on computations in
double precision, i.e. when reals are coded in 8 octets
(64 bits) and their mantissa is coded in 52 bits. The
relative error due to machine precision is then of the order of
.
We have checked the accuracy of the scattered distribution for a large
range of photon and lepton energies and identify the domain of the
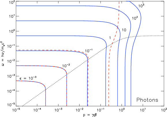
plane where Eq. (11) gives accurate results. Results are shown in Fig. 2. We find that Compton scattering of mild photons (
)
by mid-relativistic particles (
)
is well described by this formula but problems arise for lower or
higher energies. In particular, the scattered distribution cannot be
evaluated in the most typical astrophysical case, namely the
up-scattering of soft photons by high energy particles.
In the latter case, Jones (1968) derived asymptotic expansions in
1. However, a large number of orders must be kept when
and the numerical evaluation often becomes time consuming. Moreover,
other situations are also affected by numerical issues, for which such
an expansion is not relevant. Here, we rather concentrate on analytical
manipulation of the original formula to get an exact expression free of
cancelation issues.
1.3 Re-writing the exact cross section
Numerical accuracy issues result from two kinds of cancelations: when the relative difference of function F evaluated at the two integration boundaries is very small and when some terms constituting F should cancel out. Here we deal with both successively.
1.3.1 Cancelation issues when |F
- F
|
F
,
F
This happens typically when
,
as for example, at the distribution upper and lower photon energies
and
where the distribution vanishes, but where Fa and Fb can remain large.
Differences of hyperbolic functions between the upper and lower boundaries can be computed analytically by using the following trigonometric relations:
![]() |
|
![]() |
|
![]() |
The difference of the two hyperbolic functions between the two integration boundaries a and b simply reads:
| |
= | L+(x+b)-L+(x+a) | (22) |
| = | L-(x-b)-L-(x-a) | (23) | |
| = | (24) |
Although the last term of Eq. (11) is not divergent it is numerically ill-behaved when
S(x) = ![]() |
(25) |
which is evaluated as a series expansion for small argument:
Differences of all other terms in Eq. (11) between the two integration boundaries can also be computed analytically to factorize
with
where
| |
= | ![]() |
|
![]() |
(29) |
Here we note that an accurate evaluation of the scattered electron momentum p is crucial. When the latter is low (typically when p<10-3), the simple derivation
![]() |
(30) |
Equations (27)-(28) are accurate over a larger domain than the original formula and can be used in many astrophysical situations.
![]() |
Figure 2:
Accuracy domains. Equation (11) is accurate for photons energy and electron momentum
|
| Open with DEXTER | |
1.3.2 Cancelation when |z+ - z-|
z+, z-
However, this new expression reveals other differences hidden in the
original one and that result in cancelation issues, namely when
.
In such cases, the differences must be computed analytically. Although
alternate expressions for the differences can often be accurate in more
cases, it is sufficient to use them when the relative differences are
smaller than
.
By using the definition of z+ and z-, the differences in the first three terms of Eq. (28) can be computed as:
![]() |
(31) |
![]() |
(32) | |
| (33) |
respectively, where
| |
= | (34) | |
| = | (35) | ||
![]() |
(36) |
In the same manner, the last term can be computed as:
![]() |
(37) |
where
| |
= | ![]() |
(38) |
| (39) |
The numerical cancelation of
![]() |
(40) |
for low photon energy (
1.4 Comparisons to other formulae
This expression was checked extensively against previous formulae. The
exact differential cross section was first compared to the original
Jones' formula (identical to 11 when the misprints are corrected) and to the formula by NP94
(Eqs. (8.1.7)-(8.1.22)). The latter was derived by integrating Eq. (9)
in a different order and behaves numerically better than the Jones'
cross section for Compton up-scattering of soft photons (see Fig. 2).
Results show perfect agreement of the three formulae when the numerical
evaluation of the three cross sections is accurate. The first moments
of the distribution:
| (41) | |
| (42) | |
| (43) |
- namely the total cross section, the mean energy and the dispersion of the scattered photon energy - were also computed numerically by integrating over the scattered distribution and they were compared to analytical equations
![]() |
Figure 3: First three moments of the scattered distribution as a function of the energy of the incoming photon: the total cross section, the mean energy of the scattered photon and the dispersion about this mean value. The solid and dashed lines show the numerical integration of the expression derived in this paper and analytical results given in NP94 respectively. The 3 curves are for p0=10-2,102 and 104. For each panel, relative errors are also shown. |
| Open with DEXTER | |
Compared to previous ones, the cross section derived here is found to be accurate over a wider energy range. An example of the scattered distribution is shown in Fig. 4. As summed-up in Fig. 2, the original cross section by Jones (1968) is inaccurate in typical astrophysical situations involving low energy photons up-scattered by high energy particles. The cross section derived by NP94 is accurate in most astrophysical cases. When computed directly from the published equations, it fails, however, for very high energy particles or very high energy photons. Although these cases may not be physically relevant since the Klein-Nishina cross section drops at these high energies, numerical issues can generate infinite values, propagate and affect numerical solutions. Nevertheless, it must be noted that a few changes in the way some quantities are computed enable good accuracy over a much larger domain (Poutanen, private communication). The cross section derived here is accurate for all photon and particle energies and overcomes these numerical issues.
![]() |
Figure 4:
The scattered distribution for soft photons (
|
| Open with DEXTER | |
2 Solving the kinetic equations
Once the Compton cross section is computed accurately, the Compton
contribution to the evolution of interacting particles and photons is
described by the set of equations:
where
2.1 Integral approach
The simplest way to compute the time evolution of the lepton and photon
populations is to discretize their distributions in energy bins.
Integration over energy is then performed bin by bin by summing the
contributions from all other bins. This process is time consuming since
a double integral must be performed at each time step. Moreover it can
be inaccurate in many situations: when the width of the scattered
distribution is smaller than the bin size, the energy change of the
scattered particles (or equivalently photons) is too small to be
resolved by the numerical scheme. The particles (or photons) do not
scatter far enough in the energy space to reach other bins and there is
no numerical evolution of the distribution. It is well known that most
numerical issues arise from what happens below the grid scale. In this
peculiar case however, particles (or photons) can undergo many
scattering events per unit time when the density of scattering centres
is large. Errors associated with individual scattering events add and
they can lead to accuracy issues. This is typically what happens in
simulations of X-ray binaries: the soft disc photons are up-scattered
by the high energy particles constituting the corona. This interaction
is known to efficiently cool the corona down. Whereas the photons
experience large energy changes, the relative variation of the particle
energy is very small and their cooling may not be captured by a
discrete integral with finite resolution. The energy is then not
conserved since the photon field gains energy while the particle
population does not lose any
.
The accuracy of this integral method depends on the comparison of the
energy bin size to the width of the scattered distribution. The latter
depends on the momentum p0 of the incoming particle and the energy
of the incoming photon. Most astrophysical cases involve large ranges
of energy (typically many orders of magnitudes) which implies the need
to use logarithmic grids, the resolution of which is also
energy-dependent. The accuracy of the numerical integration thus
strongly depends on the region in the lepton momentum-photon energy
space
the
simulation has to deal with. In this subsection, the regimes where the
integral approach remains accurate are investigated. Hereafter the
subscript 0 is dropped for simplicity.
2.1.1 Photons
Numerical integration for the evolution of the photon population is
accurate in the limit where the width of the scattered distribution
is much larger than the local photon bin size
.
For linear grids, requiring that the scattered photon distribution spans at least n bins would simply read
:
.
For logarithmic grids, the same condition reads:
where
is the logarithmic increment of the photon grid. By denoting
the number of bins per decade energy, i.e. the resolution of the photon grid, and
,
the condition for the integral approach to be valid reads:
When the resolution is large enough:
![]() |
(47) |
with
![]() |
(48) |
| |
= | ||
| (49) |
![]() |
(50) |
The inverse equation
Boundaries for the integral approach are shown in Fig. 5 for
and n=5. For comparison typical runs have a resolution
.
In the case
= 13, only the scattering of low energy photons (
keV) off sub-relativistic particles (p
< 0.2) is inaccurately described by the integral approach. Although
it is not general, the integral method for the photon equation can thus
be used to address many of astrophysical situations, such as those
involving high energy particles.
![]() |
Figure 5:
Photon equation: boundaries
|
| Open with DEXTER | |
2.1.2 Particles
Identically, the integral approach for particles is valid when the
width of the scattered distribution is larger than the particle bin
size. For logarithmic grids this condition is:
where
are the largest and smallest momenta of the scattered particle distribution and
rp=pi+1/pi is the logarithmic increment of the particle grid. By defining Rp and
as for the photons, it yields:
Contrary to the photon case, there is no simple equation for the boundary defining this region and the implicit Eq. (51) must be solved numerically. The boundary
![]() |
(52) |
When the resolution is good enough (
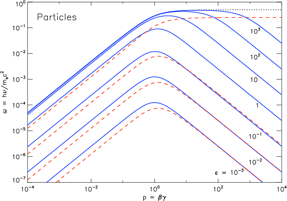
Figure 6 shows this boundary for various resolutions (
and n=5).
Contrary to the equation for photons, solving the evolution equation
for particles with a simple numerical integration requires very high
resolution to guarantee a correct accuracy. For example, soft photons
of energy
scattering off high energy particles (
)
are accurately described by the integral approach only if Rp
> 900, which is far beyond current desktop computer capabilities and
the constraint is even more severe when mildly relativistic particles
are involved.
![]() |
Figure 6:
Particle equation: boundaries
|
| Open with DEXTER | |
2.1.3 Accuracy
If conditions (46) and (51)
are not satisfied over the entire simulation domain, numerical
computation of the Compton scattering may lead to inaccuracy. In
particular, energy is not conserved when logarithmic grids are used (as
explained before), and its measure provides a good way to estimate
numerical errors
. Figure 7
shows the error on energy when soft mono-energetic photons are
up-scattered by high energy particles. The numerical computation was
performed with the code presented in Belmont et al. (2008),
on a single time step, using an explicit scheme on logarithmic energy
grids, and turning off all processes/injection/escape but Compton
scattering. The contribution of Compton scattering was forced to be
computed by the integral approach for the equation on particles. The
contribution to the equation on photons was also computed with the
integral approach but given the energy range and the grid resolution
considered here, this method is accurate in this case. Both initial
distributions were set to zero except in one energy bin, and they were
normalised to unity to keep the number of scattering events constant as
the photon energy is varied. The error was measured by computing the
total energy lost by particles
and comparing it to the energy gained by photons
.
![]() |
Figure 7:
Numerical error on energy conservation, for a single time step, as a function of the incident photon energy |
| Open with DEXTER | |
For low energy photons, the scattering takes place far below the boundary in the
plane of Fig. 6.
The scattered distribution typically spans less than 2 bins. The
energy change of particles is not captured at all by the numerical
scheme and the error is 100%. As the photon energy increases, the
scattered distribution widens and the error decreases. From the cases
presented here, we find that an error less than 1% corresponds to
scattered distributions that span more than 5 bins. When n>10, the error is dominated by other weak numerical errors.
By the choice of particle and photon energies, we have only focused here on the error made in the equation for particles. A similar study can be done for photons. However, it would lead to very similar results and contrary to the case of particles, integration errors for photons are less relevant to astrophysical applications.
2.2 Fokker-Planck approach
Alternatively, Compton scattering can be described by the Fokker-Planck method. This approximation assumes that the cross section and the initial particle (or photon) distribution are only weakly dependent on the energy of the incoming particle (or photon) on the scale of the scattered distribution width. When the width of the scattered distribution is small, a second order Taylor expansion of the integral equation can be performed, which gives the well-known Fokker-Planck equations:
| (53) | |
![]() |
(54) |
with
![]() |
(55) |
![]() |
(56) |
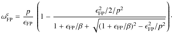
As for the integral approach, the validity of the FP approximation depends on the energy of the incoming particle and photon. Although the real criteria should in principle depend on the initial distributions and should be computed at each time step of a time dependant simulation, it is more convenient to define an approximate but general criteria.
2.2.1 Particles
The FP method for particles assumes that the quantity
does not vary much with
in the width
of the scattered distribution. There is no unique way to define such a
condition. By assuming that the typical energy scale for the variation
of this quantity is the initial kinetic energy:
,
then the FP approach is found to give a correct description of the particle evolution if:
where
| (58) |
where
![]() |
(59) |
In the limit
| (60) |
which reduces to
2.2.2 Photons
Similarly, the FP method for photons assumes that the quantity
does not vary much with
in the width
of the scattered distribution. By assuming that the typical energy
scale for the variation of this quantity is of the order of the
incoming photon energy
,
the FP approach for photons is valid if:
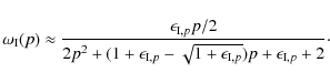
When solved as a function of
![]() |
(62) |
where
![]() |
(63) |
| |
= | ||
![]() |
(64) |
![]() |
(65) |
As for the integral approach, the inverse equation for this boundary
Boundaries
are plotted in Fig. 5 for
,
and 1. Contrary to the equation for particles, the photon
evolution is only poorly described by the FP approximation and
only low energy photons (
)
scattering off low energy particles (p<0.1) undergo small angle scattering that can be accurately described by the FP approximation.
2.3 Combined approach
As can be seen in Figs. 5 and 6, the two methods happen luckily to give a correct description of Compton scattering in regions of the
space
that can be complementary. This suggests that combining the two methods
is a good way to overcome numerical accuracy issues in computing the
effects of Compton scattering. However, this can only be done if the
validity regions for the two methods cover the entire simulation
domain, that is, for given
,
and
, if:
for the equation on photons and particles respectively. Typically, this implies that
![]() |
(68) |
As good accuracy for each methods requires n>5 and
For each equation (for photons and for particles), one can define
an average boundary when the validity regions of both methods overlap:
![]() |
(69) |
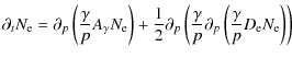
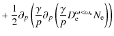
Finally, a combination of the two methods is achieved by solving the following equations:
| |
= | ![]() |
|
![]() |
|||
![]() |
(70) |
| |
= | (71) | |
![]() |
(72) |
where integrations in the integral part are performed only above the boundary energy
![]() |
(73) |
![]() |
(74) |
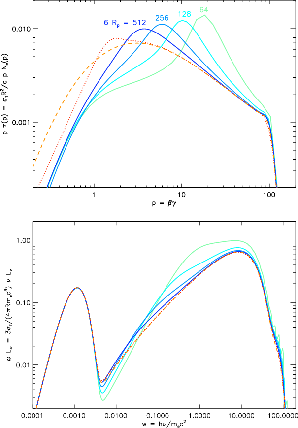
Figure 8 shows the steady photon and particle distributions for a more realistic simulation. Particles are injected with a mono-energetic distribution at high energy (
![]() |
Figure 8:
Particle distribution and spectra in steady state when Compton
scattering for particles is treated with the integral method for
different resolutions:
Rp=512/6, 256/6, 128/6, and 64/6 (solid lines), when it is treated with the combined approach with
|
| Open with DEXTER | |
As expected, the integral approach fails to capture efficiently the
particle cooling for low resolution runs: the lower the resolution, the
steeper the slope of the high energy tail of the particle distribution.
These excess high energy particles more efficiently up-scatter the soft
photons and the resulting spectra are harder. In steady state, the
total energy loss must balance the total injected power. Power is
supplied through particles
and through photons:
.
Energy is also lost both through particles and photons. The steady particle distribution has low density
10-2 so that the energy lost through particle escapes is rather small (
)
and most of the energy escape as radiation. As numerical errors
prevent particles from cooling as they should, the overall system
actually gains energy artificially and the total energy loses are
measured to be larger than the injected power:
,
and 11.4 from lower to higher grid resolution. The corresponding effective electron temperatures are
,
and
(see Eq. (2.8), Coppi 1992).
The Fokker-Planck equation provides good energy conservation and the plasma luminosity balances the injected power:
.
However, energy conservation does not guarantee accurate results and
significant deviation is observed in the low energy part of the
particle distribution, where the Fokker-Planck approximation is
expected to fail. In the particular case presented here, this has no
effect on the emitted spectrum since the spectrum is dominated by the
Comptonisation by high energy particles. Nevertheless it could strongly
affect the predicted spectrum when other processes such as Coulomb
collisions or pair annihilation are involved. The electron temperature
is measured to be:
.
The combined approach produces the best results. With low grid resolution (Rp=64/6), it gives the correct photon spectrum and the correct particle distribution, it conserves energy to better than
accuracy (
)
and it was checked that the shape of the steady distributions does not
depend on the grid resolution (not shown here). The electron
temperature is
.
In comparison, the integral approach requires more than 10 times
higher resolution to produce similar results, which also means at least
10 times more computational time. Extensive tests show that the
combined approach is very efficient in most cases. It takes advantage
of the two approaches. The way the two methods are associated is
numerically simple to implement and it can easily be shown that the
total number of particles and photons as well as the total energy are
conserved. Moreover even when conditions (66) and (67)
are not exactly satisfied this method still provides good accuracy in
many cases since, as long as these conditions are not strongly
violated, only a small faction of particles and/or photons is treated
inaccurately. Also, even if the evolution of a large fraction of
particles and/or photons is not described correctly by the numerical
scheme they might have only a minor contribution to the overall
distribution evolution in some specific cases. For these reasons some
simulations might reach a correct final accuracy, despite violating the
accuracy condition. However, this is very problem-dependent and the
accuracy should be checked very carefully when these conditions are not
satisfied.
Conclusion
In this paper we have investigated numerical issues related to the computation of isotropic Compton scattering in numerical codes. We have derived a form of the distribution of Compton scattered photons that is free of numerical cancellations. This form is exact with no limitation on the photon and electron energies. The numerical accuracy resulting from the direct use of the cross section has been studied for various grid resolutions and equations have been proposed for the boundaries where this method must be replaced by an approximate Fokker-Planck treatment to guarantee sufficient accuracy. All results presented here have been included in and extensively tested with the new code developed by Belmont et al. (2008). AcknowledgementsThe author thanks J. Poutanen for providing the numerical routines corresponding to the formulae of NP94.
References
- Barbosa, D. D. 1982, ApJ, 254, 301 [NASA ADS] [CrossRef]
- Belmont, R., Malzac, J., & Marcowith, A. 2008, A&A, 491, 617 [NASA ADS] [CrossRef] [EDP Sciences]
- Blumenthal, G. R., & Gould, R. J. 1970, Rev. Mod. Phys., 42, 237 [NASA ADS] [CrossRef]
- Brinkmann, W. 1984, J. Quant. Spectrosc. Radiat. Trans., 31, 417 [NASA ADS] [CrossRef]
- Coppi, P. S. 1992, MNRAS, 258, 657 [NASA ADS]
- Coppi, P. S., & Blandford, R. D. 1990, MNRAS, 245, 453 [NASA ADS]
- Donahue, T. M. 1951, Phys. Rev., 84, 972 [NASA ADS] [CrossRef]
- Feenberg, E., & Primakoff, H. 1948, Phys. Rev., 73, 449 [NASA ADS] [CrossRef]
- Follin, J. W. 1947, Phys. Rev., 72, 743 [NASA ADS]
- Heitler, W. 1954, International Series of Monographs on Physics (Oxford: Clarendon), 3rd edn.
- Jones, F. C. 1968, Phys. Rev., 167, 1159 [NASA ADS] [CrossRef]
- Katz, J. I. 1987, Frontiers in Physics (Reading: Menlo Park, Addison-Wesley)
- Kompaneets, A. S. 1957; Sov. Phys., JETP 4, 730
- Levich, E. V., & Syunyaev, R. A. 1971, Sov. Astron., 15, 363 [NASA ADS]
- Nagirner, D. I., & Poutanen, J. 1994, Single Compton scattering, ed. D. I. Nagirner, & J. Poutanen, Astrophys. Space Phys. Rev. (Amsterdam: Harwood Academic Publishers), part 1, 9, 83 (NP94)
- Nayakshin, S., & Melia, F. 1998, ApJS, 114, 269 [NASA ADS] [CrossRef]
- Pe'er, A., & Waxman, E. 2005, ApJ, 628, 857 [NASA ADS] [CrossRef]
- Poutanen, J., & Svensson, R. 1996, ApJ, 470, 249 [NASA ADS] [CrossRef]
- Rybicki, G. B., & Lightman, A. P. 1986, Radiative Processes in Astrophysics, ed. G. B. Rybicki, & A. P. Lightman (Wiley-VCH), 400
- Saugé, L., & Henri, G. 2004, ApJ, 616, 136 [NASA ADS] [CrossRef]
- Tavecchio, F., Maraschi, L., Pian, E., et al. 2001, ApJ, 554, 725 [NASA ADS] [CrossRef]
- Vurm, I., & Poutanen, J. 2009, ApJ, 698, 293 [NASA ADS] [CrossRef]
- Zeldovich, I. B. 1975, Sov. Phys. Uspekhi, 115, 161 [NASA ADS]
- Zeldovich, Y. B., Illarionov, A. F., & Syunyaev, R. A. 1972, Zhurnal Eksperimental noi i Teoreticheskoi Fiziki, 62, 1217 [NASA ADS]
Footnotes
- ... misprints
- Contrary to what is claimed in Coppi & Blandford (1990), all intermediate expressions are correct and only the final Eqs. (23)-(27) contains misprints.
- ... NP94
- The equations in NP94 contain some misprints too. In
particular: Eq. (8.1.10) should read
and Eq. (8.1.22) should read
- ... equations
- A few misprints were corrected. In Eq. (3.3.5),
should read
,
the last expression for Eq. (3.3.9) should be
,
and in Eq. (3.3.10),
should read:
.
- ... lose any
- We note that the energy is not conserved only with
non-linear grids. For linear grids and identical resolution in the
photon and electron energy grids (
and
respectively), the energy is balanced to machine precision. In such
case indeed, the bin size is uniform. As the energy width of the
scattered distribution is by definition the same for both species, if
the scattering of particles to neighbour energy bins is not captured by
the numerical integration, the scattering of photon is not either, so
that the integral approach fails simultaneously for both species and
there is no net energy exchange between the two species. Although the
integral approach is clearly not accurate in this case, the energy
balance is computed to machine precision.
- ... read
- The -1 comes from the fact that when the width of the
scattered distribution is exactly
,
it is discretized in n+1 bins in all
situations except when it is exactly centred at the centre of
a bin.
- ... errors
- For linear grids, other accuracy indicators should be used.
All Figures
![]() |
Figure 1:
Angles and notations. The incoming photon direction |
| Open with DEXTER | |
| In the text | |
![]() |
Figure 2:
Accuracy domains. Equation (11) is accurate for photons energy and electron momentum
|
| Open with DEXTER | |
| In the text | |
![]() |
Figure 3: First three moments of the scattered distribution as a function of the energy of the incoming photon: the total cross section, the mean energy of the scattered photon and the dispersion about this mean value. The solid and dashed lines show the numerical integration of the expression derived in this paper and analytical results given in NP94 respectively. The 3 curves are for p0=10-2,102 and 104. For each panel, relative errors are also shown. |
| Open with DEXTER | |
| In the text | |
![]() |
Figure 4:
The scattered distribution for soft photons (
|
| Open with DEXTER | |
| In the text | |
![]() |
Figure 5:
Photon equation: boundaries
|
| Open with DEXTER | |
| In the text | |
![]() |
Figure 6:
Particle equation: boundaries
|
| Open with DEXTER | |
| In the text | |
![]() |
Figure 7:
Numerical error on energy conservation, for a single time step, as a function of the incident photon energy |
| Open with DEXTER | |
| In the text | |
![]() |
Figure 8:
Particle distribution and spectra in steady state when Compton
scattering for particles is treated with the integral method for
different resolutions:
Rp=512/6, 256/6, 128/6, and 64/6 (solid lines), when it is treated with the combined approach with
|
| Open with DEXTER | |
| In the text | |
Copyright ESO 2009
Current usage metrics show cumulative count of Article Views (full-text article views including HTML views, PDF and ePub downloads, according to the available data) and Abstracts Views on Vision4Press platform.
Data correspond to usage on the plateform after 2015. The current usage metrics is available 48-96 hours after online publication and is updated daily on week days.
Initial download of the metrics may take a while.

![$\displaystyle \left. - ~ f_\omega(\vec{k}) c\frac{{\rm d}\sigma}{{\rm d}\vec{k}_0}(\vec{p}_0, \vec{k} \rightarrow \vec{k}_0)\right].$](/articles/aa/full_html/2009/41/aa9113-07/img42.png)



![\begin{figure}
\par\includegraphics[width=8.5cm,clip]{9113fg01.eps}
\end{figure}](/articles/aa/full_html/2009/41/aa9113-07/Timg65.png)





![\begin{displaymath}%
\frac{{\rm d}\bar{\sigma}}{{\rm d}\omega}(p_0,\omega_0;\ome...
...m T}}{8\gamma_0p_0\omega_0^2}\left[ F(x_-,x_+) \right]_{a}^{b}
\end{displaymath}](/articles/aa/full_html/2009/41/aa9113-07/img84.png)













![$\displaystyle 2 + (1+\omega\omega_0)\left[ z_+ + z_--\frac{2}{\omega\omega_0}\right]$](/articles/aa/full_html/2009/41/aa9113-07/img132.png)



![\begin{figure}
\par\includegraphics[width=8.5cm,clip]{9113fg02.eps}
\end{figure}](/articles/aa/full_html/2009/41/aa9113-07/Timg141.png)
![$\displaystyle %
z_+ + z_--\frac{2}{\omega\omega_0} =
\left( \frac{1}{\omega}-\f...
...amma+p+\gamma_0+p_0)^2\omega\omega_0}{(\gamma_0+p_0)(\gamma+p)(p+p_0)^2}\right]$](/articles/aa/full_html/2009/41/aa9113-07/img144.png)
![$\displaystyle \left[A \right]_-^+ = \frac{-A_-^2A_+^2}{A_++A_-} (\Delta^2 \left[\lambda\right]_-^+ - \omega^2\omega_0^2 \left[z\right]_-^+ )$](/articles/aa/full_html/2009/41/aa9113-07/img145.png)
![$\displaystyle \times ~ \mbox{min}\left[ \frac{(\gamma+p+\gamma_0+p_0)^2}{(p+p_0)(\gamma+p)(\gamma_0+p_0)},\frac{1}{\omega}+\frac{1}{\omega_0} \right]\cdot$](/articles/aa/full_html/2009/41/aa9113-07/img151.png)
![\begin{displaymath}%
\left[ cz^{3/2}S\right]_-^+ = \frac{S_++S_-}{2}\left[cz^{3/...
...]_-^+ + \frac{c_+z_+^{3/2}+c_-z_-^{3/2}}{2} \left[S\right]_-^+
\end{displaymath}](/articles/aa/full_html/2009/41/aa9113-07/img152.png)
![$\displaystyle \frac{z_+^{3/2}+z_-^{3/2}}{2}\left[ \lambda\right]_-^+$](/articles/aa/full_html/2009/41/aa9113-07/img154.png)
![\begin{displaymath}%
\left[\lambda z \right]_-^+ = \frac{z_++z_-}{2}\left[\lambda\right]_-^+ + \frac{\lambda_++\lambda_-}{2}\left[z\right]_-^+
\end{displaymath}](/articles/aa/full_html/2009/41/aa9113-07/img162.png)
![\begin{figure}
\par\hspace*{-1mm}\includegraphics[width=8.35cm,clip]{9113fg03.ep...
....eps}\vspace*{3mm}
\includegraphics[width=8.3cm,clip]{9113fg05.eps} \end{figure}](/articles/aa/full_html/2009/41/aa9113-07/Timg174.png)
![\begin{figure}
\par\includegraphics[width=8.2cm,clip]{9113fg06.eps}
\end{figure}](/articles/aa/full_html/2009/41/aa9113-07/Timg175.png)
![\begin{displaymath}%
0 < p < p_{\rm I}^{\rm c} \quad {\rm and} \quad {\rm min}\l...
...,\omega_{\rm I}^-(p)\right] < \omega < \omega_{\rm I}^+(p) \\
\end{displaymath}](/articles/aa/full_html/2009/41/aa9113-07/img199.png)


![\begin{figure}
\par\includegraphics[width=8.2cm,clip]{9113fg07.eps}
\end{figure}](/articles/aa/full_html/2009/41/aa9113-07/Timg208.png)


![\begin{figure}
\par\includegraphics[width=8.2cm,clip]{9113fg08.eps}
\end{figure}](/articles/aa/full_html/2009/41/aa9113-07/Timg220.png)
![\begin{figure}
\par\includegraphics[width=8.2cm,clip]{9113fg09.eps}
\end{figure}](/articles/aa/full_html/2009/41/aa9113-07/Timg223.png)




![\begin{displaymath}%
p< p^{\rm c}_{\rm FP} \quad \rm {and} \quad \rm {min}\left[...
...),\omega_{\rm FP}^-(p)\right] < \omega < \omega_{\rm FP}^+(p)
\end{displaymath}](/articles/aa/full_html/2009/41/aa9113-07/img244.png)

![$\displaystyle \pm ~ \left. \sqrt{\epsilon_{\rm FP}}\sqrt{4(1-\gamma-p)+\epsilon_{\rm FP}(1+2p\gamma+2p^2)} \right],$](/articles/aa/full_html/2009/41/aa9113-07/img248.png)









![\begin{figure}
\par\hspace*{-1mm}\includegraphics[width=8.55cm,clip]{9113fg10.eps}\vspace*{3mm}
\includegraphics[width=8.5cm,clip]{9113fg11.eps}
\end{figure}](/articles/aa/full_html/2009/41/aa9113-07/Timg274.png)