Issue |
A&A
Volume 506, Number 3, November II 2009
|
|
---|---|---|
Page(s) | 1367 - 1380 | |
Section | Stellar atmospheres | |
DOI | https://doi.org/10.1051/0004-6361/200811501 | |
Published online | 03 September 2009 |
A&A 506, 1367-1380 (2009)
Dust in brown dwarfs and extra-solar planets
II. Cloud formation for cosmologically evolving abundances
S. Witte1 - Ch. Helling2 - P. H. Hauschildt1
1 - Hamburger Sternwarte, Gojenbergsweg 112, 21029 Hamburg,
Germany
2 - SUPA, School of Physics and Astronomy, University of
St. Andrews, North Haugh, St. Andrews KY16 9SS, UK
Received 11 December 2008 / Accepted 21 August 2009
Abstract
Context. Substellar objects have extremely long life spans. The
cosmological consequence for older objects are low abundances for heavy
elements, which in turn results in a wide distribution of objects over
metallicity, hence over age. Within their cool atmosphere, dust clouds
become a dominant feature, affecting the opacity and the remaining gas
phase abundance of heavy elements.
Aims. We investigate the influence of the stellar metallicity on
the dust formation in substellar atmospheres and on the dust cloud
structure and its feedback on the atmosphere. This work has
implications for the general questions of star formation and of dust
formation in the early universe.
Methods. We utilise numerical simulations to solve a set of moment equations to determine the quasi-static dust cloud structure (D RIFT).
These equations model the nucleation, the kinetic growth of composite
particles, their evaporation, and the gravitational settling as a
stationary dust formation process. Element conservation equations
augment this system of equations by including the element replenishment
by convective overshooting. The integration with an atmosphere code (P HOENIX) allows determination of a consistent
-structure (T - local temperature, p - local pressure,
- convective velocity), hence, to calculate synthetic spectra.
Results. A grid of D RIFT-P HOENIX model atmospheres was calculated for a wide range of metallicity, [M/H][+0.5,
-0.0, -0.5, ..., -6.0], to allow for systematic study of atmospheric
cloud structures throughout the evolution of the universe. We find dust
clouds in even the most metal-poor ([M/H] = -6.0) atmosphere of brown
dwarfs. Only the most massive among the youngest brown dwarfs and giant
gas planets can resist dust formation. For very low heavy element
abundances, a temperature inversion develops that has a drastic impact
on the dust cloud structure.
Conclusions. The combination of metal depletion by dust
formation and the uncertainty of interior element abundances makes the
modelling of substellar atmospheres an intricate problem in particular
for old substellar objects. We furthermore show that the dust-to-gas
ratio does not scale linearly with the object's [M/H] for a
given effective temperature. The mean grain sizes and the composition
of the grains change depending on [M/H], which influences the dust
opacity that determines radiative heating and cooling, as well as the
spectral appearance.
Key words: astrochemistry - methods: numerical - stars: atmospheres - stars: low-mass, brown dwarfs
1 Introduction
Condensation of supersaturated gas species becomes a major issue in ultracool atmospheres, i.e. those of brown dwarfs and giant planets. The formation of solid dust particles or liquid droplets depletes the gas phase of elements, thereby strongly affecting the chemical composition of the remaining gas phase. In addition, the forming dust particles represent an important opacity source, which ultimately results in a significant backwarming and an increased gas temperature compared to a cloud-free atmosphere (Tsuji et al. 1996a).Besides the element deficiency induced by dust formation, the
substellar object can already have formed from a metal-poor
gas making it intrinsically metal-deficient. The first generation
of stars was comprised of extremely massive objects. These stars
were responsible for a strong metal enrichment of the interstellar
medium, from which new stars formed. The corresponding enrichment
of the ISM with more and more of heavy elements had a strong
impact on the star formation, as it brought about the collapse of
much smaller cloud fragments (Smith & Sigurdsson 2007). As a result, succeeding star
generations contained growing numbers of smaller objects. The
debate about the lower mass limit for stellar formation has still
not been settled. For solar abundances, simulations by Whitworth & Stamatellos (2006)
predict a limit as low as
0.001 to 0.004
for the mass of collapsing gas clouds. Results by e.g. Boss (2001) and Bate (2005)
fall to a similar mass regime. Observations by Greaves et al. (2003) and
Greaves (2005) present evidence that objects are formed
with masses below the deuterium burning limit via a gravitational
collapsing molecular cloud fragment.
The presence of discs around 8-10
-objects (Natta et al. 2002;
Luhman et al. 2005; Scholz & Jayawardhana 2008) also points to the
formation of such low-mass objects via gravitational cloud collapse.
According to Omukai (2008) and Clark et al. (2008),
subsolar mass objects may already have formed at [M/H]
-6.0,
though heating effects may have obstructed the collapse of low
mass gas clouds and depopulated the range between [M/H] = -4.0 and
-5.0. Jappsen et al. (2009) point out that the transition of the early universe
IMF to the present day IMF at around [M/H] =
10-6-10-5 seems
to be determined by dust cooling which in turn is determined by the
grain size distribution and composition of the dust forming at these
low metallicities.
Those extreme metallicities can be attributed to a much
earlier state of the universe, when the continuously running heavy
element enrichment of the interstellar medium by nucleosynthesis
inside massive stars and supernovae had not progressed as far as
today. The implication is a wide distribution of objects over the
metallicity range. However, all but the lowest mass objects of
high age, i.e. with extremely low metallicities, have already
exceeded their life-span as main-sequence stars. Therefore,
only ultracool stars and substellar objects remain from those
earlier stages of the universe. Hence, substellar spectra need
to be characterised not only by effective temperature,
,
and surface gravity,
,
but also by the interior,
well-mixed element abundances as a relic of the conditions at their
formation.
The presence of dust in ultracool dwarf and substellar atmospheres has been suggested first by Lunine et al. (1986) and was noticed by Jones & Tsuji (1997). First observational evidence of convective activity in substellar objects has been found by Noll et al. (1997) and Oppenheimer et al. (1998). By then, the first brown dwarfs had just been discovered by Rebolo et al. (1995) and Nakajima et al. (1995). The observation of metal-poor ultracool stars in the galactic halo (e.g., Christlieb 2006) led to the classification into dwarfs, subdwarfs, and extreme subdwarfs (Gizis 1997). A later revision of this system was done by Lépine et al. (2007), introducing the even more metal-poor ultrasubdwarfs class. The first substellar subdwarfs were discovered by Burgasser et al. (2003) and Burgasser (2004).
As the importance of dust clouds in late-M -, L - and T - type dwarf atmospheres had been recognised, models were developed to help to understand these objects. Initially, the clouds were parameterised by a constant grain size (Tsuji et al. 1996b; Burrows et al. 2006), later time-scale arguments were applied (Allard et al. 2001), or grain size distributions guided by Earth-observations were used (Cooper et al. 2003; Ackerman & Marley 2001). All these models apply complete (S=1) or almost (S=1.01) phase-equilibrium. A detailed comparison study of current dust models was made by Helling et al. (2008a).
We consider a stationary dust formation process, where seeds form high
up in the atmosphere from a highly supersaturated gas, grow to
macroscopic particles of around a m in size, gravitationally settle into
deeper layers and eventually evaporate as the local temperature
becomes too high for thermal stability (Woitke & Helling 2003). The
basic idea is that a ``dirty'' solid mantle will grow on top of the
seed particles. This dirty mantle is assumed to be composed of
numerous small islands of different pure condensates. The formation
of islands is supported by experiments in solid state physics
(Ledieu et al. 2005) and by observations of coated terrestrial dust particles
(Korhonen et al. 2003; Levin et al. 1996).
2 Method
We make use of the D RIFT-P HOENIX model atmosphere code,
introduced by Dehn (2007) and Helling et al. (2008b). The general-purpose
model atmosphere code P HOENIX (Baron et al. 2003; Hauschildt & Baron 1999) solves the
gas-phase equation of state, provides the
atmosphere structure to D RIFT, determines the gas opacities and solves the
radiative transfer. The D RIFT code by Helling et al. (2008c)
is included as a module in order to calculate the dust clouds, which
feed back on both the thermodynamical structures and the radiation
field. An iteration of this method allows the determination of the
atmosphere and dust cloud properties and yields the corresponding
synthetic spectra. For a given atmosphere structure
,
provided by P HOENIX, the phase
non-equilibrium dust formation with subsequent precipitation and
element replenishment by convective overshooting is calculated by
D RIFT. The opacities of the composite dust particles, which
are required for the radiative transfer, are determined by using
effective medium theory (Bruggeman 1935) and Mie theory
(Wolf & Voshchinnikov 2004; Mie 1908). All dust species are included as opacity source
since our dust grains are made of a mixtures of these
compounts.
2.1 Gas-phase chemistry
The chemistry in P HOENIX considers the 40 most important elements in several ionisation states and 47 molecule species. Though larger chemical systems are possible, the results differ only marginally (Dehn 2007). For the solar element abundances, defining [M/H] = 0.0 in our models, we utilise data from Grevesse et al. (1992). We are aware that the elemental composition of brown dwarfs and planets is dependent on the initial composition of the gas cloud they formed from, which itself depends critically on the internal physics of its local preceding star generations, like, e.g., the efficiency of the various burning cycles and the resulting amount of elements. Especially for extremely low metallicities, the element abundance pattern is completely different to the one we know from the solar environment (e.g., Frebel et al. 2005; Campbell & Lattanzio 2008). However, we neglect variations of the individual element abundances relative to each other and their impact on metallicity model sequences for the sake of simplicity and determine the varied metallicity values by a single scaling-factor. These values are varied according to the metallicity under consideration such that [M/H] = +0.5
The P HOENIX chemistry utilises the altitude-dependent
gas phase abundances
of the elements Mg, Si, Ti, O, Fe,
and Al provided by D RIFT, i.e., it takes
into account those element abundances which have been altered
throughout the atmosphere by depletion (nucleation, dust growth),
enrichment (evaporation) and redistribution (precipitation,
convective overshooting).
In the D RIFT-module, we calculate the number densities
of all gaseous species, including the number density of the key
reactant
as described
in Woitke & Helling (2004) according to pressure, temperature and the
calculated depth-dependent element abundances
in
chemical equilibrium. For the well-mixed, deep element
abundances
we use the scaled solar abundances
of the model input. For those
elements that are not included in the D RIFT chemistry calculations, we set
.
3 Growth reactions
Table 1: Chemical surface reactions.
3.1 Dust seed formation
The nucleation rate
is calculated for
-clusters according to Eq. (34) in Helling & Woitke (2006),
applying the modified classical nucleation theory of
Gail et al. (1984). We use the value of the surface tension
fitted to small cluster data by Jeong et al. (2000)
as outlined in Woitke & Helling (2004).
3.2 Dust growth/evaporation and refractive indices
The dust growth of dirty particles is modelled according to Woitke & Helling (2003), Helling & Woitke (2006) and Helling et al. (2008c). However, compared to Helling et al. (2008c), we consider only the 7 most important solids (TiO2[s], Al2O3[s], Fe[s], SiO2[s], MgO[s], MgSiO3[s], Mg2SiO4[s]) made of 6 different elements for which we solve the resulting, stiff system of 15 (3


The 7 considered solids are formed by 32 chemical surface reactions (see Table 1) in phase-non-equilibrium to calculate the formation and composition of the dirty grains. Our selection is guided by the most stable condensates which yet have simple stoichiometric ratios, ensuring that these solids can be easily built up from the gas phase (for more details see Sect. 3.4. in Helling et al. 2008c). Note that we consider dust formation by gas-solid reactions only and omit solid-solid reactions and lattice rearrangements inside the grains in our model (see Helling & Rietmeijer 2009, regarding lattice rearrangements in clouds in substellar atmospheres). Table 1 also contains the solid refractive index data used in the Mie calculations.
3.3 Element replenishment
A truly static atmosphere would not contain any dust (Woitke & Helling 2004). Therefore, we include mixing by convection and overshooting by assuming an exponential decrease of the mass exchange frequency in the radiative zone (Eq. (9) in Woitke & Helling 2004, with

![]() |
Figure 1:
(T,p)-structures for three model sequences of
varying metallicity [M/H]:
top:
|
Open with DEXTER |
3.4 Grain size distribution function
The dust opacity calculations with effective medium theory and Mie theory require the grain size distribution function![$f(a)~\rm [cm^{-4}]$](/articles/aa/full_html/2009/42/aa11501-08/img51.png)
![$a~\rm [cm]$](/articles/aa/full_html/2009/42/aa11501-08/img52.png)

![$\langle a\rangle\!=\!\sqrt[3]{3/(4\pi)}~L_1/L_0$](/articles/aa/full_html/2009/42/aa11501-08/img54.png)


![$N_1, N_2~\rm [cm^{-3}]$](/articles/aa/full_html/2009/42/aa11501-08/img57.png)
![$a_1, a_2~\rm [cm]$](/articles/aa/full_html/2009/42/aa11501-08/img58.png)
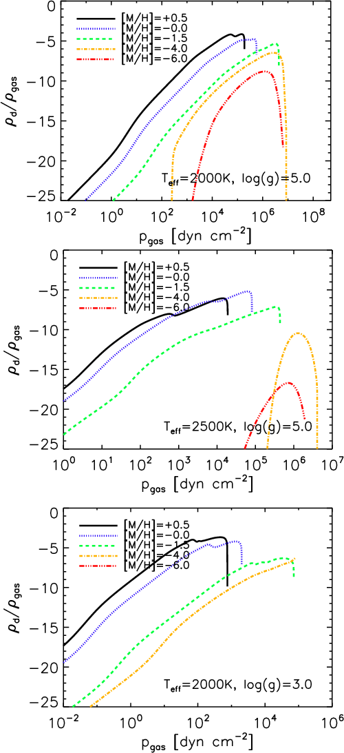
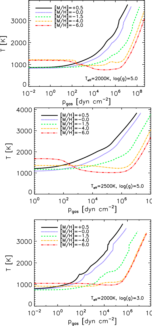
4 Results: the model grid
In this section we will describe the influence of metallicity on the model atmospheres and the dust cloud. This will be done for three showcase model sequences to exemplarily cover the parameter space for effective temperature and surface gravity which covers brown dwarfs and giant gas planets. We think that such a detailed demonstration of our dust model results is necessary as dust cloud model for brown dwarfs differ considerably with respect to dust properties (Helling et al. 2008a).
The sequences are calculated for:

covering the metallicity values [M/H]


4.1 Metallicity-dependent temperature-pressure structures
At first, we will take a look how the temperature-pressure structures are affected by the metallicity (Fig. 1). As one might expect, the local temperature decreases with [M/H] for a fixed pressure, due to the smaller gas opacities. However, the outer atmospheres of the low [M/H] models feature a strong temperature inversion. It is caused by a tilt in the chemical equilibrium, favouring the formation of methane instead of carbon monoxide, which frees up oxygen for the formation of water and metal oxides (e.g., Allard & Hauschildt 1995). The inversion becomes stronger for higher effective temperatures and higher surface gravities for a given [M/H]-value.
Figure 1 demonstrates that the local
pressure increases for a given local temperature with decreasing
metallicity but with increasing gravity. This relative pressure
increase strengthens the contribution of strongly
pressure-dependent gas-phase opacity sources like the collision
induced absorption but also the contribution of
the pressure-broadened alkali lines. Fortney et al. (2008)
present similar findings for cooler substellar objects with
K. Hence, the effect of increasing
pressure with decreasing metal content holds across the whole
substellar range of
.
Therefore, clouds in giant planets but also in low-metallicity
substellar objects form at even lower gas temperatures
at a comparable pressure (see Sect. 4.3).
The dust clouds represent a strong opacity source. Therefore, the backwarming caused by the dust particles strongly increases the local gas temperature at and below the cloud location. Hence, dense cloud layers coincide with a strong inward temperature gradient. Especially the high [M/H] models feature two bends around 1500 K and 2000 K. The drop of the local temperature gradient is caused by the starting evaporation of the solid species. The lower temperature bend is attributed to the evaporation of the silicate species (MgO[s], SiO2[s], MgSiO3[s], Mg2SiO4[s]), while the second corresponds to evaporation of the thermally more stable species (Fe[s], TiO2[s], Al2O3[s]).
In the
K model for
and
[M/H] = -4.0, there is a bump in the (T,p)-structure around
6
106 dyn cm-2. It already appears for [M/H] = -2.0 and remains until [M/H] = -5.0.
The origin is the superposition of two effects, namely the decreasing deep interior
abundances and the decreasing depletion of the gas phase with
the metallicity. This causes a locally higher absolute Ti
abundance in the gas phase compared to atmospheres of even higher
metallicities. The opacity by the resulting increased amount of
TiO is the reason for this feature in the (T,p)-structure.
![]() |
Figure 2:
Cloud structures for three model sequences of varying metallicity [M/H].
Left:
|
Open with DEXTER |
4.2 Metallicity influence on the (
,
p)-structure
Solar-metallicity models ([M/H] = 0.0) suggest that the dust cloud location and the convectively unstable zone are well separated. Even so, convection provides a mechanism for element replenishment of the upper atmosphere layer, which assures stationarity of the cloud formation process. The so-called convective overshooting is parameterised in D RIFT by a mixing-time scale (Woitke & Helling 2004) following the idea of momentum conservation of the convective mass elements (see Ludwig et al. 2006,2002) whose motion does not instantly end where the Schwarzschild criterion is no longer met, but decays slowly into the higher layers (Woitke & Helling 2004). A higher maximum convection velocity consequently yields a more efficient mixing into the upper layers.
Due to the vanishing local opacities with decreasing [M/H], the
radiative flux is less obstructed and, hence, the convective energy
transport becomes less important. For this reason,
the convection zone is shifted inwards to higher pressures and
densities for decreasing metallicities.
According to mixing length theory, the
resulting mean convection velocity
decreases, which
results in a less efficient convective overshooting.
Because of a weaker radiation field for decreasing effective
temperatures and higher gas densities for increasing surface
gravity, one finds a similar effect on the convective velocity
and overshooting for these parameters.
Hence, the convective overshooting is more efficient in hot, low-gravity objects. An improved mixing consequently enables the dust cloud to persist into higher atmosphere layers. Hence, hot-Jupiters should have high-altitude clouds which supports what Richardson et al. (2007) and Pont et al. (2008) suggested for their observed giant gas planets.
4.3 Metallicity-dependent cloud structure
We study the influence of the stellar metallicity on the dust cloud structure to provide insight into possible diversities of cloud properties for substellar objects originating from different evolutionary states of the universe, i.e. for objects which have formed from interstellar gas clouds of different metal-enrichment.
Figure 2 contains the results
including the (T,p)-structures for better comparison. Depicted
are the number of dust particles forming per volume element and
time, i.e. the nucleation rate
[cm-3 s-1]
(2nd panel), the net growth velocity
[cm s-1] (3rd panel;
Eq. (7) in Helling et al. 2008c), the mean grain size
[cm] (4th panel),
and the equilibrium drift velocity
[cm s-1] (5th panel),
which is determined for
gravitationally settling particles of mean size, retarded by
friction for the case of free molecular flows (Woitke & Helling 2003).
4.3.1 The general, high-[M/H] cloud structure
As is shown in Fig. 2, all high
metallicity models exhibit a typical cloud structure which was
already shown in our previous publications. At the highest
altitudes with its dust-poor depleted gas (compare
Woitke & Helling 2004), dust seeds form which are unable to grow
perceptibly due to the extremely low densities at these
altitudes. The mean grain size,
,
remains
of the order of the seed particle size. Due to the low
density, the number of the dust particles remains very low
(not shown), but the particles can settle very fast into
deeper layer for the same reason. The net grain growth
velocity,
,
increases proportionally to the
gas density, while the drift velocity,
,
decreases. From a certain depth downward, the
mean particle size increases from the initial size of the
seeds. Together with the increasing nucleation rate, the dust
growth starts to cause a steep drop of the local gas-phase
element abundances with depth (compare
Fig. 6). The consequence is that the growth
velocity eventually decreases to a degree, that the particles
settle too fast to sustain a perceptible growth of the mean
grain radius at this low-pressure region. Gravitational
settling does not influence the process of seed formation
since nucleation proceeds much faster. However, the strong
gas-phase depletion will impede the formation of more
seeds as less material is available. As the precipitating
particles drop into atmosphere layers which are closer to the
edge of the convection zone, the convective upmixing becomes
more efficient. The more efficient mixing results in a
continuously increasing nucleation rate with depth as more
material is available to form seed from. The gas-phase
depletion by the exponential increase of the number of new
seed particles compensates for the on-going growth of the
grains. Hence, the mean grain radius remains constant, even
though there is growth, which is strong enough to cause a
exponentially decreasing element abundances, shown in
Fig. 6. In this region, the dust cloud
becomes optically thick enough to cause a perceptible
backwarming of up to several hundred degrees
(Fig. 1). As the local temperatures are
increasing and the abundances are decreasing with depth, the
nucleation rate reaches its apex and drops to zero very fast
over the next few atmospheric layers. This also means, the
particle production has reached its maximum. Hence, dust
existing in deeper layers must have rained in from above.
Therefore, changes in the number density of the dust particles
in these deeper atmospheric layers are caused by accumulation,
drift and evaporation. Interestingly, the dust number density
remains of the same order compared to the site of the
nucleation maximum, but the grain size distribution changes
dramatically.
The end of nucleation sparks a strong increase of the mean grain
size. The frictional force caused by the high densities at
these layers has strongly decreased the drift velocity. Thus,
it takes the dust particles much longer to cross a given
atmospheric layer. This allows the particles to capture more
and more reactants from the gas phase, resulting in an even
stronger growth. In turn, the mean grain radius causes an
increase of the drift velocity. This is balanced by the
increasing gas density, which is why we observe a plateau-like
feature in the drift velocity (Fig. 2,
lowest panel). The numerous m-sized
particles below the nucleation maximum cause a strong
backwarming.
As soon as the evaporation of a certain species exceeds its growth, it is vanishing from the solid phase. This is accompanied by a decreasing and possibly even negative growth velocity. That is the reason for the observed kinks (Fig. 2) in the mean grain radius curves and all consequential kinks in other quantities like, e.g., the effective temperature, as mention in Sec. 4.1. As soon as the last solid species starts to evaporate, the dust cloud typically vanishes very fast with depth.
4.3.2 The influence of metallicity on the cloud structure
The convective mixing becomes less efficient with decreasing [M/H] (Sect. 4.2). Thus, the dust clouds are located at higher gas pressures and densities for lower [M/H]. However, this is also caused by an additional factor, which is a temperature inversion in the outer atmosphere (Sect. 4.1, Fig. 1), developing for metallicities below [M/H] = -3.0. Within this inversion zone, the gas phase is no longer supersaturated for the lowest considered metallicities. Thus, no dust can form there and the typical structure of undisturbed dust clouds is lost. In these model atmospheres, the dust cloud is bottled up in a temperature ``valley'' between the inversion zone and the hotter inner atmosphere. This valley becomes more destinctive for increasing surface gravity, i.e., it will vanish for planet-like objects but persist within the coolest amongst the brown dwarfs (Fig. 1).
Depending on metallicity, the atmospheres can have one or
two zones of efficient nucleation, i.e. two nucleation rate
maxima
.
High-metallicity models show only the
outer nucleation zone, as reported by Woitke & Helling (2003)
and Helling et al. (2008c). Very metal-deficient models
([M/H] < -4.0) develop a very shallow outer nucleation zone
and an additional inner zone of much more efficient seed
formation. The outer nucleation zone is already indicative for a layer of
haze. Nucleation takes place throughout the dust cloud
for low metallicities in contrast to the higher metallicity
models, where nucleation ceases in the middle of the cloud.
Generally, the maximum nucleation rate is decreasing with
metallicity down to [M/H] = -3.0, even though the maximum is
shifted inwards to higher densities. The sole exception to
this trend is the [M/H] = +0.5 atmosphere model in the hottest
sequence presented here (
= 2500 K), which
counterintuitively shows a smaller J* than the
lower-metallicity models of that sequence. Since the gas
temperature is already high in this model, not much
backwarming is needed to move the model out of the temperature
window of efficient nucleation (compare 1st and
2nd panel in Fig. 2).
For lower metallicities ([M/H] < -3.0), the trend of decreasing
nucleation maximum with [M/H] is reversed due to the appearance of the
second, inner
.
The reason for this is the strongly decreasing local
temperature above the convection zone with decreasing
metallicity, which allows a strong supersaturation (compare
Sect. 4.4). The
result is a growing second maximum of the nucleation rate
with decreasing metallicity at the cloud base.
Our results show that dust may persist down to extremly
low values of metallicity. A combination of low metallicity,
high effective temperature and low
surface gravity is required to prevent the formation of dust
clouds. Therefore, only the
sequence,
representing the planetary atmospheres in our sample, features no
dust at all for [M/H] < -4.0.
The growth velocity of the mean particle typically has two
local maxima. The outer maximum of the growth
velocity decreases and is shifted to higher pressures for
decreasing metallicities. It vanishes as soon as the
temperature inversion sets in for [M/H] < -4.0. The
deeper located second maximum
of the growth velocity is also shifted inwards. However, it is
neither affected by the temperature inversion, nor does it
decrease continuously with the metallicity, because the inward
shift brings it much closer to the convection zone and
therefore a more efficient element replenishment. Around
[M/H] = -4.0 the cloud indeed dips into the convection zone for
our young giant planet-like models (
K,
), which sparks an additional growth by one order
of magnitude in those models.
Due to the proximity to the convection zone and the resulting high growth velocity, the maximum mean grain radius increases slightly with decreasing metallicity down to [M/H] = -3.5. Only for lower metallicities, the decreasing abundances are finally able to cause a decreasing maximum mean grain size.
The drift velocity decreases much stronger for lower effective temperatures and to a lesser extend for higher surface gravities. As a lower drift velocity results in a stronger accumulation of dust particles, the number density in the lower cloud is strongly increasing with decreasing effective temperature.
![]() |
Figure 3:
Effective supersaturation ratio
|
Open with DEXTER |
![]() |
Figure 4:
Volume fractions,
|
Open with DEXTER |
4.4 The phase-non-equilibrium of the clouds
The thermodynamic conditions in an undepleted substellar atmosphere guarantee a strong supersaturation of a wide range of solid compounds. An initial high supersaturation does not automatically yield a phase equilibrium between the depleted atmosphere and the dust cloud as such (Helling et al. 2008c). The phase equilibrium would require a sufficiently high number density of reactants as well as high collision and reaction rates. However, this is usually not the case for most of the solids of interest. Therefore, all three quantities need to be considered in order to avoid the overrated dust growth and gas phase depletion of the phase equilibrium approach. According to our model (see Helling & Woitke 2006; Woitke & Helling 2003), most of the atmosphere is in phase non-equilibrium, a chemical equivalent to the NLTE state of radiation fields.
Solid grains or liquid droples are composed of so-called monomer units. Experiments show that most of the complex monomers like Mg2SiO4 do not exist in the gas phase (e.g. Rietmeijer et al. 1999). The formation of such solid units would require multi body reactions which makes the probability of their formation in the gas negligibly small. On the other hand, if the reactants are physically absorbed by a preexisting surface, their limited phase space permits a much more efficient growth reaction. The reactant of the least physically absorbed amount is called the key species. Its absorption rate determines the rate of the considered chemical surface reaction and, hence, also the supersaturation ratio for each surface reaction (Helling & Woitke 2006). In order to discuss the saturation of the atmosphere, we apply the effective supersaturation ratio for each considered solid compound as defined in Helling et al. (2008c).
The effective supersaturation ratios for each of the considered
solid species for the three model sequences are shown in
Fig. 3. For the higher metallicities, the
outer atmosphere has extremely high supersaturation ratios.
The ratio is increasing with the pressure, because the concentration of
reactants increases with the pressure. Further inwards, the supersaturation ratio
reaches a maximum where the dust growth starts to cause a strong depletion of the gas
phase. Below that point, the supersaturation decreases
proportionally to the dwindling element abundances. At a certain
layer, each of the ratios reaches unity. In
agreement with Helling et al. (2008c)
and Helling (2009) we find that all solids which
contain high-abundant elements (Mg, Si, O, Fe) achieve
phase-equilibrium in the pressure interval where the cloud has
it's maximum dust-to-gas ratio,
(compare Figs. 3
and 5), before the supersaturation
ratios drop further below unity. Solids which contain rare
elements (Ti, Al) do not feature a phase-equilibrium region.
For decreasing abundances, a higher gas density is required to reach the same amount of supersaturation. However, the supersaturation becomes weaker for lower metallicities. This, superimposed with the temperature inversion zone of the low metallicity models, results in a fast drop below unity of all supersaturation ratios, which means no dust is able to form there. Fortunate for the dust cloud in the low metallicity models is the decreasing gas temperature between the inversion zone and the convection zone. Even though the element abundances are decreasing with the metallicity, the low temperatures bring about a higher concentration of reactants. Therefore, the supersaturation ratio in the lower atmosphere is increasing with decreasing metallicity.
In the [M/H] = -6.0 model
of the
sequence, TiO2[s] is never sufficiently
supersaturated for nucleation to take place. Therefore, this
model is dust free.
4.5 Metallicity-dependence of the cloud composition
Pure silicate dust grains are mostly transparent. TiO2[s] and Al2O3[s] also do not represent strong opacities. However, even a small impurity can turn the transparency into opaqueness (Woitke 2006). This means, there is a huge difference between a mixture of pure grains and mixture of ``dirty'' grains. Hence, together with the grain size distribution, the composition of the mean particle is of special importance for the radiative transfer and, thus, for the spectrum.
Drift was designed to treat the formation of dirty grains. Therefore, it considers grains consisting of islands of mixed species. The composition changes with atmospheric depth and the stellar parameters. The results for the three example sequences are shown in Fig. 4. As TiO2[s] is the solid species which forms the dust seeds, the particles in the outer cloud are solely made of it. Ti is rare compared to the other five considered elements. Thus, as soon as growth becomes an issue, the volume fraction of TiO2[s] decreases fast. At the higher cloud layers, where the temperatures are lower, the silicates with traces of iron dominate the dust grains. The temperatures increase with depth, eventually leading to the evaporation of the silicates, while the growth of iron becomes much more efficient, resulting in very opaque particles. Slightly deeper, Al2O3[s] growth dominates the volume of the average grains.
We find that the inward shift of the dust cloud yields a stronger maximum of the iron volume fraction. The opposite happens with the Al2O3[s] maximum, which becomes weaker.
The chemical equilibrium for the lower metallicities is changed,
which leads to a significant preference of MgO[s] over the other
silicates for [M/H]
-4.0 (Fig. 4, left
column). This effect is most pronounced in objects with
strong dust formation and the accompanying strong gas phase
depletion. For higher effective temperatures
(Fig. 4, middle column), it can not be
observed in our models due to the much weaker depletion, which yields a delay
of the chemical equilibrium shift to even lower metallicities.
In the lower temperature, low gravity sequence
(Fig. 4, right column) the effect is
simply not observable because no dust is present in the
respective low metallicity models for the given effective
temperature of 2000 K. However, the changed chemical equilibrium
can be observed for these low gravities as soon as the temperatures
permit the formation of dust. Hence, the change from silicate to
MgO[s] dominated dust grains for extremely low metallicities is
observable for cooler objects. Higher surface gravities emphasise
the extend of the shift.
The appearing temperature inversion zone in the low metallicity models for high gravities causes the disappearance of the wide silicate dominated cloud region, leaving an almost pure Fe[s] and Al2O3[s] cloud.
![]() |
Figure 5:
Dust-to-gas mass ratio
|
Open with DEXTER |
4.6 The atmospheric dust content
The dust to gas ratio of the mass densities,
,
is a good measure for the amount of dust
within the atmosphere (Fig. 5). A lower
metallicity typically yields a lower
.
The exception to this is again the
K [M/H] = +0.5 model, because of the high
temperatures (Sect. 4.3).
One might assume that the dust content would
scale linearly with the element abundances. However, it is not
that simple, because the observed inward shift of the dust
clouds with decreasing metallicity yields a higher concentration
of condensable elements. This density effect
partially counteracts the decreasing abundances due to
decreasing metallicities. It becomes more pronounced for cooler,
low gravity objects. For example, the maximum dust content
decreases by merely 2.5 orders of magnitude between [M/H] = +0.5
and [M/H] = -4.0 in the
K
sequence.
Only when the cloud is not
able to sink any deeper this trend ends and the dust content is
finally approaching a linear scaling with the abundances.
![]() |
Figure 6:
Element abundances,
|
Open with DEXTER |
4.7 Remaining gas phase abundances
Dust formation reduces the local element abundances in the
gas phase, until nucleation and growth become so weak that the depletion
is fully balanced by the replenishment. At its minimum, the gas phase
abundances
of the more rare elements can reach
values below 10-6 of their deep interior abundance
.
Titanium is the least abundant of the six presently
considered condensing elements. Especially in the outer atmosphere, which is
only weakly affected by convective overshooting but its conditions
allow seed formation, titanium is extremely depleted
(Fig. 6).
As the efficiency of dust growth increases inwards, the depletion gets stronger. Eventually, this ends as soon as the inwards increasing element consumption by the dust formation stops to outbalance the increase of the gas density. This is due to the inwards decreasing supersaturation of the gas and the consequently less efficient growth. For supersaturation ratios below unity, the respective solids evaporate, returning their constituents to the gas phase. This enrichment can reach values of twice the deep interior model abundances.
The depletion follows the shifts of the dust cloud with the
stellar parameters. There are two opposing influences on the dust
growth, which cause changes in the depletion. A deeper located
cloud features a more efficient growth because of the higher
density. However, the inwards shift caused by a decreasing
metallicity is accompanied by a decreasing growth
efficiency. Hence, there is a metallicity for which the latter
effect starts to cancel the former, resulting in a turn from
increasing to decreasing maximum value of the relative depletion with decreasing
metallicity. For
K and
we find
this maximum depletion around [M/H] = -1.0. For higher effective
temperature the turning point metallicity value is increasing, while
it is decreasing for lower surface gravity.
We conclude that the strong depletion, observed in our models, can have a tremendous influence on absorption line profiles. For wavelengths at which the dust cloud is mostly transparent, one is able to see the deep and undepleted atmosphere layers. Due to their high density these layers will dominate the respective spectral lines. Because these layers are not depleted by dust formation, the full element abundances will be seen in the spectral lines. However, for the wavelengths at which the dust cloud is opaque, the observed abundances will not resemble the well-mixed interior abundances of the object. Depending on the wavelength, the observed abundances can be several orders of magnitude lower than the actual ones. Therefore, it is extremely complex to derive individual stellar abundances from spectral lines in dust-forming environments in general.
4.8 Dust content and grain size above
= 1
![]() |
Figure 7:
Optical depth |
Open with DEXTER |
![]() |
Figure 8:
dust-to-gas ratio (upper panel) and mean grain size
(lower panels) at
|
Open with DEXTER |
In the previous sections, the spatial distribution of dust
within substellar atmospheres was
analysed. It remains to be verified how much dust is observationally accessible,
e.g., by polarimetry. In Fig. 7 we show the local
gas pressure at the maximum of the dust-to-gas ratio
,
the
corresponding optical depth
and mean grain size
for all three model sequences
(compare to Figs 2 and 5).
Figure 7 shows
optical depth values for one single wavelength sample (1.2 m;
)
and for the Planck-, Rosseland-,
mean intensity- and surface-normal flux-weighted opacities
(
,
,
and
,
respectively). At 1.2
m
the atmospheres are highly transparent. In
contrast, the weighted optical depth means, in particular
which in case of the considered cool
atmospheres emphasises on the near-infrared where the dust is most
opaque, are typically larger by one to two orders of
magnitude. The Rosseland mean is the lowest of the considered
mean optical depths, as it puts emphasis on the wavelengths of
lowest opacity.
The dust-to-gas ratio maximum,
,
is shifted
inwards for decreasing metallicities
down to [M/H] = -3.0
-4.0, with the exact value depending on
the stellar parameters. For lower values, the
-maximum rises in altitude,
again (Fig. 5). Therefore, all
curves in Fig. 7 feature a sharp turn in local pressure
around these metallicities. This clearly demonstates the non-linear
influence of the metallicity on the dust content in substellar
atmospheres. Between about [M/H] = -0.5 and +1.0 the mean grain
size and the optical depths remain more or less constant in all
three model sequences, although the gas pressure changes by
almost one order of magnitude. For lower [M/H] down to [M/H]
-3.5,
the optical depths start to decrease slowly, while the size
of the visible dust particles is increasing by about one
half order of magnitude. This amplitude becomes stronger
for closer proximities to the convection zone, which in our case
concerns the low metallicity models of the
K and
(g) = 3.0 sequence.
In general, this means larger particles are
present in the visible dense cloud layers for decreasing
metallicities down to [M/H]
-3.5. The mean particle
sizes increase up to several
m, making it once more difficult to
observe the major fraction of the dust in the optically thin
parts of the cloud.
The outward shift of the dust-to-gas
ratio maximum below [M/H]
-3.5 amplifies the decreasing
abundances, which results in a strong decline of the visible particle
size, while the optical depth is continuously decreasing with
the metallicity. The optical depth rise for increasing
metal abundances becomes stronger for lower effective
temperatures as the amount of dust becomes much larger and the
dust opacity is increasingly affected by solid iron.
In order to show trends for the amount and average size of
visible particles, it
is best to choose a mean optical depth which focuses on those
wavelengths at which the dust opacity has a strong impact,
i.e., where
is located within the cloud. From
Fig. 7 one can see that
is the
best applicable optical depth of our five examples.
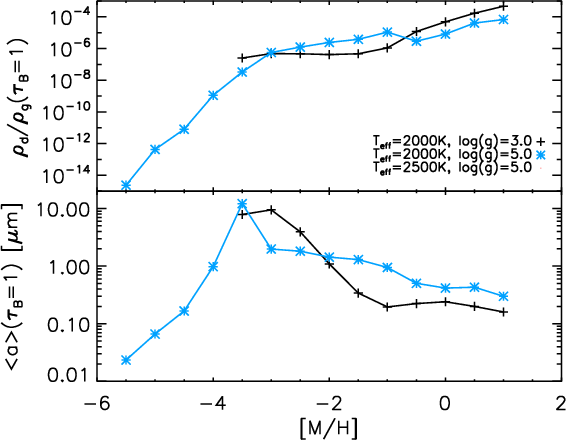
Hence, Fig. 8 depicts the dust-to-gas ratio and mean
grain size at
for varied
metallicities. From Fig. 7 it is obvious that
the dust clouds for
K are not strongly
enough developed, which is why
is only reached below
the clouds for all considered metallicities. Hence, there is
neither a dust-to-gas ratio nor a grain size for
K sampled in Fig. 8. For the same
reason, there are no data points for
K,
(g) = 3.0 and [M/H]
-4.0 and the
K,
and [M/H] = -6.0 model. Both curves shown for the
dust-to-gas ratio back the simple assumption that the ratio is
decreasing with metallicity. However, the visible dust-to-gas ratio in
both model sequences drops by merely two orders of magnitude
between [M/H] = +1.0 and [M/H] = -3.5 (compare Sect. 4.6). This apparent discrepancy can explained by the
cooler atmospheres for lower metallicities, which enable the
dust cloud to form in atmosphere layers of higher gas
pressure, which involves a much more efficient dust
formation. This increase in efficiency is able to slow down the
decrease of the dust-to-gas ratio with the metallicity. Only
for metallicities below [M/H] = -3.5 the atmospheres will not become
significantly cooler for lower metallicities. Thus, the cloud
is no longer able to sink any deeper and the dust-to-gas ratio
is finally dropping fast with metallicity, until the gas is no
longer supersaturated and no dust is able to form.
In contrast to the visible dust-to-gas ratio, the mean grain size at
is increasing for lower metal abundances. Comparing
Fig. 2 and Fig. 7 one finds
that this is due to the higher gas densities at low metallicity
clouds. In addition, the close proximity of the convection zone
yields additional growth of the mean grain size for the
sequence, which is
visible for [M/H]
-2.5. For a higher surface gravity
(
)
this is of lesser concern, as it is only
visible in the spike at [M/H]= -3.5. For lower metallicities, the dust cloud
is no longer shifted to higher pressures. Therefore, the dust
growth becomes purely affected by the decreasing abundance and
the visible particles become smaller and smaller.
![]() |
Figure 9: Spectral sequences. The red crosses indicate the photometric fluxes in J, H and K bands as they would be observed by 2MASS with the respective J, H and K filters. See also Table 2. Note that the flux scales differ between individual plots. |
Open with DEXTER |
Table 2: Exemplary logarithmic photometric fluxes for JHK-bands as seen by 2MASS and UKIRT.
5 Results: spectral appearance
5.1 Spectral energy distribution for varied metallicities
The model spectra sequences, including additional spectra for [M/H] = -0.5, are shown in Fig. 9. For a better comparison of the shape of the spectra, they were binned to a lower resolution. For convenience, Table 2 contains photometric flux data for the three model sequences. We add a note of caution as these results might suggest an easy comparison with other atmosphere simulations. Helling et al. (2008a) did show that different approaches of modelling dust in substellar atmospheres can yield different results already for quantities like mean grain size and dust-to-gas ratio (see their Fig. 2) that determine the dust opacity in the radiative transfer calculations. Their comparison of synthetic colours suggests an uncertainty between 10%-30% in the 2MASS JHKs colours amongst the different atmosphere simulations.
The high metallicity models contain strong
molecular absorption features. Most prominent are the water and
carbon-monoxide bands between 1.0 and 3.5 m. For [M/H] = -1.5 these bands have almost completely vanished in the high log(g)
models. In the low log(g) models, the same happens for slightly
lower metallicities. The overall spectra start
become much bluer, as collision induced absorption (CIA)
becomes significant. However, the dust opacity is still strong
enough to conceal atmospheric regions of strong CIA and
therefore compensate its growing influence below 1.0
m and to cause a strong absorption
between 1.0 and 2.0
m. Hence, the dust cloud delays the
trend of the spectra appearing bluer. Reduction of the metal abundances starts to
change this, however. In the [M/H] = -2.5 models, the dust cloud has already
become way too transparent in the infrared to cover the strong CIA
opacity below. The impact of CIA is by orders larger than the
impact of the dust. Despite that, the dust opacity is far from
neglegible. Especially at wavelengths shorter than 1.5
m the
spectrum is still stronly affected by the dust. While all other opacities
vanish fast with the metallicities, the alkali lines in the
optical and near-infrared are getting stronger down to [M/H] = -4.0. This is because
the view into deeper atmospheric layers becomes possible, where
the pressure and density are higher, causing higher collision
rates, thereby stronger lines (Johnas 2007). For even lower
metallicities, the dust opacity vanishes and the alkali lines
get weaker. The most extreme
metallicity examples ([M/H] = -6.0) are almost featureless in their
spectra. The dust opacity is finally insignificant, while the
spectral shape is alone determined by CIA.
Unfortunately, none of our model spectra show any significantly strong dust opacity features in the near- and mid-IR, which might provide a good tool to observationally test the dust properties other than by polarimetry (Lecavelier Des Etangs et al. 2008; Sengupta 2008).
5.2 Impact of varied relative abundances
Furthermore, we have studied the influence of diverging solar element abundance data sets. Our standard data set for the present model grid corresponds to the results of Grevesse et al. (1992), hereafter called Grevesse (old). We compare these result to models, using the newer results by Grevesse et al. (2007), hereafter Grevesse (new). The third configuration is in accordance with the Grevesse (new) models, except that we use the revised oxygen abundance determined by Caffau et al. (2008), in the following shortened to Caffau.
In general, the differences between our results for the three configurations remain extremely small, concerning the atmosphere and dust cloud structures. Compared to Grevesse et al. (1992) most element abundance values have been adjusted in Grevesse et al. (2007) (Grevesse (new)). However, although the physics considered for the determination the solar photospheric abundances may have been refined, their basis is quite the same. Hence, the values of both sets do not differ considerably for the majority of elements. The Grevesse (new) configuration contains a mostly smaller amount of the more abundant heavy elements. The consequence is a smaller gas opacity, which, in turn, results in few Kelvins cooler atmosphere, see uppermost panel Fig. 10. The oxygen abundance of Caffau lies in between both Grevesse configurations. Thus, the respective model properties are in between as well, though somewhat more resembling Grevesse (old) with its even higher oxygen abundance. Concerning the dust, the slightly reduced molecular abundances yield a similar result as a decrease of the metallicity, but on a much smaller scale. The whole dust cloud is marginally shifted inwards from Grevesse (old) over Caffau to Grevesse (new). The resulting higher gas density at the cloud balances the reduced abundances with respect to the concentration of reactants, which contribute to the dust growth. Therefore, the mean grain sizes and number densities remain almost unaffected. The conclusion is that our integrated dust cloud / atmosphere model structures are very stable against slight abundance variations.
The corresponding spectra (Fig. 11) can differ
remarkably, especially in the near-infrared. Hence, in contrast to
the dust, the photometry of the models depends significantly on
the abundance data set, possibly much stronger than our limited
test shows. This is particularly interesting for studies on the
low-metallicity class of substellar subdwarfs (Burgasser et al. 2009) as the
interior element abundance pattern can deviate from the solar
abundances already for moderate subsolar metallicities of
[M/H]
-2.0 caused by deviations in the star formation history,
which has been observed in e.g., the Carina dwarf galaxy (Koch et al. 2008). A simple scaling of
the element abundances might not be sufficient. The
interpretation of low-metallicity substellar objects, therefore,
represents a multi-fold challenge: These object are suggested to
still produce dust in their atmospheres, hence, deplete the
elements in an inhomogeneous way. Additionally, the subdwarfs
might exhibit a strongly non-solar element abundance pattern
depending on the history of their star-formation region.
![]() |
Figure 10: Temperature and dust cloud structure for three different solar abundance data sets: Grevesse (old) corresponds to Grevesse et al. (1992), Grevesse (new) to Grevesse et al. (2007) and Caffau to the Grevesse et al. (2007) data, but using the revised O-abundance by Caffau et al. (2008). |
Open with DEXTER |
![]() |
Figure 11: Deviation between the respective spectra for the three considered solar abundance sets. |
Open with DEXTER |
![]() |
Figure 12:
Comparison of a standard spectrum for
|
Open with DEXTER |
In order to estimate the influence of extreme abundance
patterns like in the early universe on the atmosphere
models, we have calculated such a model for
K and log(g) = 5.0, featuring an observed early
universe element abundance pattern reported by
Frebel et al. (2008). Therein, most heavy elements are considerably less
abundant than in the solar environment. On the average, the
abundances are comparable to [M/H] < -4.0 for a plain scaling of
the solar abundances, but the relative abundances have
changed noticeably. Most important are the elements C, N and O
which are highly abundant compared to higher order elements
and, therefore, resemble [M/H]
-2.0. All this
strongly influences the chemical equilibrium in the
atmosphere. Especially, the carbon/oxygen ratio of the given
abundance data set has changed to a degree that the chemistry is
almost tipped to a carbon dominated chemistry ([C/O]
1.0). Much of the carbon is already bound in methane
because of the increased gas density, freeing up a large amount
of oxygen. For this reason, strong water bands are present in the
near infrared (Fig. 12). The amount of dust within
this atmosphere is of the same order of magnitude as we find it
for [M/H]
-4.0...-4.5 by simple scaling of the solar
abundances. Merely, some details of the radial dust cloud structure are
washed out but are still present. However, the early
universe abundances feature significantly less iron. Hence, the
mean opacity of the dust grains is strongly reduced as much
less iron condenses. In general, the overall dust cloud
characteristics as described in Sect. 4 remain.
We have shown that the dust cloud is very resistant against
variations of individual abundances, while the spectra can
sensitively reflect such abundance variations. That is especially true
for the radical change in the relative abundances reported by
Frebel et al. (2008) which reflect the influence of individual supernovae in
the early universe. The richness of C, N and O yields large
amounts of CO, H2O, CH4 and N2. Of them, especially the
H2O leaves strong marks in the near infrared at 1.15, 1.4 and
1.8 m. The much weaker dust opacity due to the weaker iron contribution
permits a deeper view into the atmosphere which,
combined with slightly higher alkali abundances, results in
significantly stronger alkali lines, involving a redistribution of
red optical flux into the near infrared. In addition, the deeper
look into the atmosphere provides stronger TiO and FeH features
shortwards of 1
m and slight adjustments to the near-infrared
CIA opacity.
6 Conclusions
The results of this paper on dust formation in low metallicity substellar objects are of interest for a variety of objects or scenarios involving dust at similarly low metallicities, like for instance star formation. Our results provide first theoretically obtained information on low-metallicity dust characteristics that determine the opacity, and we, therefore, generally conclude that- Dust can form at very low metallicities but the dust-to-gas ratio decreases with decreasing metallicity.
- The mean grain size decrease with decreasing metallicities for a given local temperature and density leaving behind a less depleted gas phase then for higher metallicities.
- The dust material composition changes from Mg/Si-silicate-dominated to MgO/Fe-dominated with decreasing metallicity at about [M/H] = -4.0.
The dust clouds in our models are shifted inwards for decreasing effective temperature, increasing surface gravity and decreasing metallicity. This shift is responsible for the continuing strong presence of the clouds, as it yields a higher gas density, which is in parts able to compensate for the decreasing metal abundances with [M/H]. Therefore, the maximum dust content in our models does not linearly scale with the metallicity, but decreases slower than might be expected.
The convective overshooting becomes more efficient in hot, low-gravity objects and also with increasing element abundances. Hence, young, hot giant planets and brown dwarfs are likely to have high-altitude clouds compared to T- or Y-dwarfs where the clouds disappear below visibility. Thus, dust clouds may turn out as a good tool to distinguish planets from substellar companion by a pronounced polarisation signal in the planetary case. Indeed the haze-like high-altitude clouds of our models support the observational findings of Richardson et al. (2007) and Pont et al. (2008) which were confirmed by Lecavelier Des Etangs et al. (2008) and Sengupta (2008), based on their polarimetry studies.
The gas phase at the dust clouds is typically strongly depleted. In all three model sequences we find a metallicity value for which this depletion compared to the deep interior model abundances reaches a maximum. For higher and lower metallicities of the same sequence, the depletion is less strong. Because of the strong depletion, which is already present at the upper, optically thin cloud, it is risky to determine element abundances from absorption lines, as the visible abundances may not reflect the deep interior value.
We have observed a shift in the composition of the dust grains. The upper part of the dust cloud, which is dominated by silicates, in particular in the case of solar-like metallicities, vanishes due to a developing temperature inversion with decreasing metallicity. This becomes more severe if the surface gravity is getting stronger. While dust grains at the bottom of the dust cloud are almost fully made of Al2O3[s] for abundances around the solar value, a predominantly Fe[s] volume fraction is found in the extremely low metallicity cloud bases, i.e., for the oldest amongst the brown dwarfs. High temperatures and surface gravities amplify this change.
Dust features are presently not distinguishable in the synthetic spectra, as the dust opacity features in the near- to mid-infrared are too weak and too strongly convolved with the spectral energy distribution of deeper atmosphere layers and molecule bands from above the dust cloud. However, the spectral dust features are extremely reliant on the lattice structure of individual dust grains. Unfortunately, no present dust model is able to properly treat this issue. Despite the lack of directly observable features, the dust clouds remain sufficiently dense to affect the near- and mid-infrared spectra even below [M/H] = -2.5. Adjustments to the code, in order to improve our fitting results, like the adaption of a new EOS routine are almost complete. Subsequently, a new model grid will be produced and be available for public use.
AcknowledgementsS.W. would like to thank the Research Training Group 1351 of the German Research Foundation for funding. Furthermore, S.W. acknowledges the hospitality of St. Andrews University where large parts of this paper were written. Some of the calculations presented here were performed at the Höchstleistungs Rechenzentrum Nord (HLRN); at the Hamburger Sternwarte Apple G5 and Delta Opteron clusters financially supported by the DFG and the State of Hamburg; and at the National Energy Research Supercomputer Center (NERSC), which is supported by the Office of Science of the US Department of Energy under Contract No. DE-AC03-76SF00098. We thank all these institutions for a generous allocation of computer time.
References
- Ackerman, A. S., & Marley, M. S. 2001, ApJ, 556, 872 [NASA ADS] [CrossRef]
- Allard, F., & Hauschildt, P. H. 1995, ApJ, 445, 433 [NASA ADS] [CrossRef]
- Allard, F., Hauschildt, P. H., Alexander, D. R., Tamanai, A., & Schweitzer, A. 2001, ApJ, 556, 357 [NASA ADS] [CrossRef]
- Baron, E., Hauschildt, P. H., Allard, F., et al. 2003, in Modelling of Stellar Atmospheres, IAU Symp., 210, 19
- Bate, M. R. 2005, MNRAS, 363, 363 [NASA ADS]
- Begemann, B., Dorschner, J., Henning, T., et al. 1997, ApJ, 476, 199 [NASA ADS] [CrossRef]
- Boss, A. P. 2001, ApJ, 551, L167 [NASA ADS] [CrossRef]
- Bruggeman, D. A. G. 1935, Ann. Phys., 24, 636 [CrossRef]
- Burgasser, A. J. 2004, ApJ, 614, L73 [NASA ADS] [CrossRef]
- Burgasser, A. J., Kirkpatrick, J. D., Burrows, A., et al. 2003, ApJ, 592, 1186 [NASA ADS] [CrossRef]
- Burgasser, A. J., Witte, S., Helling, C., & Hauschildt, P. H. 2009, ApJ, 697, 148 [NASA ADS] [CrossRef]
- Burrows, A., Sudarsky, D., & Hubeny, I. 2006, ApJ, 650, 1140 [NASA ADS] [CrossRef]
- Caffau, E., Ludwig, H.-G., Steffen, M., et al. 2008, A&A, 488, 1031 [NASA ADS] [CrossRef] [EDP Sciences]
- Campbell, S. W., & Lattanzio, J. C. 2008, A&A, 490, 769 [NASA ADS] [CrossRef] [EDP Sciences]
- Christlieb, N. 2006, in Stellar Evolution at Low Metallicity: Mass Loss, Explosions, Cosmology, ed. H. J. G. L. M. Lamers, N. Langer, T. Nugis, & K. Annuk, ASP Conf. Ser., 353, 271
- Clark, P. C., Glover, S. C. O., & Klessen, R. S. 2008, ApJ, 672, 757 [NASA ADS] [CrossRef]
- Cooper, C. S., Sudarsky, D., Milsom, J. A., Lunine, J. I., & Burrows, A. 2003, ApJ, 586, 1320 [NASA ADS] [CrossRef]
- Dehn, M. 2007, Ph.D. thesis, Universität Hamburg
- Fortney, J. J., Marley, M. S., Saumon, D., & Lodders, K. 2008, ApJ, 683, 1104 [CrossRef]
- Frebel, A., Aoki, W., Christlieb, N., et al. 2005, in From Lithium to Uranium: Elemental Tracers of Early Cosmic Evolution, ed. V. Hill, P. François, & F. Primas, IAU Symp., 228, 207
- Frebel, A., Collet, R., Eriksson, K., Christlieb, N., & Aoki, W. 2008, ApJ, 684, 588 [NASA ADS] [CrossRef]
- Gail, H.-P., Keller, R., & Sedlmayr, E. 1984, A&A, 133, 320 [NASA ADS]
- Gizis, J. E. 1997, AJ, 113, 806 [NASA ADS] [CrossRef]
- Greaves, J. S. 2005, Astron. Nachr., 326, 1044 [NASA ADS] [CrossRef]
- Greaves, J. S., Holland, W. S., & Pound, M. W. 2003, MNRAS, 346, 441 [NASA ADS] [CrossRef]
- Grevesse, N., Noels, A., & Sauval, A. J. 1992, in Coronal Streamers, Coronal Loops, and Coronal and Solar Wind Composition, ESA SP-348, 305
- Grevesse, N., Asplund, M., & Sauval, A. J. 2007, Space Sci. Rev., 130, 105 [NASA ADS] [CrossRef]
- Hauschildt, P. H., & Baron, E. 1999, J. Comput. Appl. Math., 109, 41 [NASA ADS] [CrossRef]
- Helling, C. 2009, in AIP Conf. Ser. 1094, ed. E. Stempels, 162
- Helling, C., & Rietmeijer, F. J. M. 2009, Int. J. Astrobiol., 8, 3 [CrossRef]
- Helling, C., & Woitke, P. 2006, A&A, 455, 325 [NASA ADS] [CrossRef] [EDP Sciences]
- Helling, C., Ackerman, A., Allard, F., et al. 2008a, MNRAS, 391, 1854 [NASA ADS] [CrossRef]
- Helling, C., Dehn, M., Woitke, P., & Hauschildt, P. H. 2008b, ApJ, 675, L105 [NASA ADS] [CrossRef]
- Helling, C., Woitke, P., & Thi, W.-F. 2008c, A&A, 485, 547 [NASA ADS] [CrossRef] [EDP Sciences]
- Jäger, C., Dorschner, J., Mutschke, H., Posch, T., & Henning, T. 2003, A&A, 408, 193 [NASA ADS] [CrossRef] [EDP Sciences]
- Jappsen, A.-K., Klessen, R. S., Glover, S. C. O., & MacLow, M.-M. 2009, ApJ, 696, 1065 [NASA ADS] [CrossRef]
- Jeong, K. S., Chang, C., Sedlmayr, E., & Sülzle, D. 2000, J.Phys.B., 33, 3417 [NASA ADS]
- Johnas, C. M. S. 2007, Ph.D. thesis, Universität Hamburg
- Jones, H. R. A., & Tsuji, T. 1997, ApJ, 480, L39 [NASA ADS] [CrossRef]
- Koch, A., Grebel, E. K., Gilmore, G. F., et al. 2008, AJ, 135, 1580 [NASA ADS] [CrossRef]
- Korhonen, H., Napari, I., Timmreck, C., et al. 2003, J. Geophys. Res. - Atmosph., 108, 4546 [NASA ADS] [CrossRef]
- Lecavelier Des Etangs, A., Pont, F., Vidal-Madjar, A., & Sing, D. 2008, A&A, 481, L83 [NASA ADS] [CrossRef] [EDP Sciences]
- Ledieu, J., Hoeft, J. T., Reid, D. E., et al. 2005, Phys. Rev. B, 72, 035420 [NASA ADS] [CrossRef]
- Lépine, S., Rich, R. M., & Shara, M. M. 2007, ApJ, 669, 1235 [NASA ADS] [CrossRef]
- Levin, Z., Ganor, E., & Gladstein, V. 1996, J. Appl. Meteor., 35, 1511 [CrossRef]
- Ludwig, H.-G., Allard, F., & Hauschildt, P. H. 2002, A&A, 395, 99 [NASA ADS] [CrossRef] [EDP Sciences]
- Ludwig, H.-G., Allard, F., & Hauschildt, P. H. 2006, A&A, 459, 599 [NASA ADS] [CrossRef] [EDP Sciences]
- Luhman, K. L., Adame, L., D'Alessio, P., et al. 2005, ApJ, 635, L93 [NASA ADS] [CrossRef]
- Lunine, J. I., Hubbard, W. B., & Marley, M. 1986, ApJ, 310, 238 [NASA ADS] [CrossRef]
- Mie, G. 1908, Ann. Phys., 25, 377 [CrossRef]
- Nakajima, T., Oppenheimer, B. R., Kulkarni, S. R., et al. 1995, Nature, 378, 463 [NASA ADS] [CrossRef]
- Natta, A., Testi, L., Comerón, F., et al. 2002, A&A, 393, 597 [NASA ADS] [CrossRef] [EDP Sciences]
- Noll, K. S., Geballe, T. R., & Marley, M. S. 1997, ApJ, 489, L87 [NASA ADS] [CrossRef]
- Nuth, III, J. A., & Ferguson, F. T. 2006, ApJ, 649, 1178 [NASA ADS] [CrossRef]
- Omukai, K. 2008, in First Stars III, ed. B. W. O'Shea, & A. Heger, AIP Conf. Ser., 990, 63
- Oppenheimer, B. R., Kulkarni, S. R., Matthews, K., & van Kerkwijk, M. H. 1998, ApJ, 502, 932 [NASA ADS] [CrossRef]
- Palik, E. D. 1985, Handbook of optical constants of solids (Academic Press Handbook Series, New York: Academic Press), ed. E. D. Palik
- Palik, E. D. 1991, Handbook of optical constants of solids II (Boston: Academic Press), ed. E. D. Palik
- Pont, F., Knutson, H., Gilliland, R. L., Moutou, C., & Charbonneau, D. 2008, MNRAS, 385, 109 [NASA ADS] [CrossRef]
- Posch, T. 2008, private communication by Woitke, & Helling (2004)
- Rebolo, R., Zapatero-Osorio, M. R., & Martin, E. L. 1995, Nature, 377, 129 [NASA ADS] [CrossRef]
- Richardson, L. J., Deming, D., Horning, K., Seager, S., & Harrington, J. 2007, Nature, 445, 892 [NASA ADS] [CrossRef]
- Rietmeijer, F. J. M., Nuth, III, J. A., & Karner, J. M. 1999, ApJ, 527, 395 [NASA ADS] [CrossRef]
- Scholz, A., & Jayawardhana, R. 2008, ApJ, 672, L49 [NASA ADS] [CrossRef]
- Sengupta, S. 2008, ApJ, 683, L195 [NASA ADS] [CrossRef]
- Sharp, C. M., & Huebner, W. F. 1990, ApJS, 72, 417 [NASA ADS] [CrossRef]
- Smith, B. D., & Sigurdsson, S. 2007, ApJ, 661, L5 [NASA ADS] [CrossRef]
- Tsuji, T., Ohnaka, K., & Aoki, W. 1996a, A&A, 305, L1 [NASA ADS]
- Tsuji, T., Ohnaka, K., Aoki, W., & Nakajima, T. 1996b, A&A, 308, L29 [NASA ADS]
- Whitworth, A. P., & Stamatellos, D. 2006, A&A, 458, 817 [NASA ADS] [CrossRef] [EDP Sciences]
- Woitke, P. 2006, A&A, 460, L9 [NASA ADS] [CrossRef] [EDP Sciences]
- Woitke, P., & Helling, C. 2003, A&A, 399, 297 [NASA ADS] [CrossRef] [EDP Sciences]
- Woitke, P., & Helling, C. 2004, A&A, 414, 335 [NASA ADS] [CrossRef] [EDP Sciences]
- Wolf, S., & Voshchinnikov, N. V. 2004, Comput. Phys. Commun., 162, 113 [NASA ADS] [CrossRef]
All Tables
Table 1: Chemical surface reactions.
Table 2: Exemplary logarithmic photometric fluxes for JHK-bands as seen by 2MASS and UKIRT.
All Figures
![]() |
Figure 1:
(T,p)-structures for three model sequences of
varying metallicity [M/H]:
top:
|
Open with DEXTER | |
In the text |
![]() |
Figure 2:
Cloud structures for three model sequences of varying metallicity [M/H].
Left:
|
Open with DEXTER | |
In the text |
![]() |
Figure 3:
Effective supersaturation ratio
|
Open with DEXTER | |
In the text |
![]() |
Figure 4:
Volume fractions,
|
Open with DEXTER | |
In the text |
![]() |
Figure 5:
Dust-to-gas mass ratio
|
Open with DEXTER | |
In the text |
![]() |
Figure 6:
Element abundances,
|
Open with DEXTER | |
In the text |
![]() |
Figure 7:
Optical depth |
Open with DEXTER | |
In the text |
![]() |
Figure 8:
dust-to-gas ratio (upper panel) and mean grain size
(lower panels) at
|
Open with DEXTER | |
In the text |
![]() |
Figure 9: Spectral sequences. The red crosses indicate the photometric fluxes in J, H and K bands as they would be observed by 2MASS with the respective J, H and K filters. See also Table 2. Note that the flux scales differ between individual plots. |
Open with DEXTER | |
In the text |
![]() |
Figure 10: Temperature and dust cloud structure for three different solar abundance data sets: Grevesse (old) corresponds to Grevesse et al. (1992), Grevesse (new) to Grevesse et al. (2007) and Caffau to the Grevesse et al. (2007) data, but using the revised O-abundance by Caffau et al. (2008). |
Open with DEXTER | |
In the text |
![]() |
Figure 11: Deviation between the respective spectra for the three considered solar abundance sets. |
Open with DEXTER | |
In the text |
![]() |
Figure 12:
Comparison of a standard spectrum for
|
Open with DEXTER | |
In the text |
Copyright ESO 2009
Current usage metrics show cumulative count of Article Views (full-text article views including HTML views, PDF and ePub downloads, according to the available data) and Abstracts Views on Vision4Press platform.
Data correspond to usage on the plateform after 2015. The current usage metrics is available 48-96 hours after online publication and is updated daily on week days.
Initial download of the metrics may take a while.