Issue |
A&A
Volume 506, Number 3, November II 2009
|
|
---|---|---|
Page(s) | 1071 - 1082 | |
Section | Cosmology (including clusters of galaxies) | |
DOI | https://doi.org/10.1051/0004-6361/200811601 | |
Published online | 27 August 2009 |
A&A 506, 1071-1082 (2009)
The bright galaxy population of five medium redshift clusters
II. Quantitative galaxy morphology
B. Ascaso1,3 - J. A. L. Aguerri2 - M. Moles3 - R. Sánchez-Janssen2 - D. Bettoni4
1 - Department of Physics, University of California, Davis,
One Shields Avenue, Davis, CA 95616, USA
2 -
Instituto de Astrofísica de Canarias, C/ Vía
Láctea, S/N, La Laguna, Spain
3 -
Instituto de Astrofísica de Andalucia, Camino
Bajo de Huetor 50, 18008 Granada, Spain
4 -
INAF - Osservatorio Astronomico di Padova, Vicolo
Osservatorio 5, 35122 Padova, Italy
Received 29 December 2008 / Accepted 2 July 2009
Abstract
Aims. Following the study presented in our previous paper, based
on the Nordic Optical Telescope (NOT) sample, which consists of five
clusters of galaxies within the redshift range
imaged in the central 0.5-2 Mpc in very good seeing conditions, we
have studied the quantitative morphology of their bright galaxy
population
Methods. We analyzed the surface brightness profiles of the
galaxy population in those clusters, after performing simulations in
order to check the reliability of the fits. We also derived a
quantitative morphological classification.
Results. The structural parameters derived from these analyses
are presented. We obtained that the structural parameters of E/S0
galaxies are similar to those shown by galaxies in low redshift
clusters. However, the disc scales are different. In particular, the
scales of the discs of galaxies in medium redshift clusters are
statistically different than those located in similar galaxies in the
Coma cluster. However, the scales of the discs of galaxies in medium
redshift clusters are similar to nearby field galaxies.
Conclusions. Our results suggest that the evolution of the disc
component of galaxies in clusters is faster than in field ones.
Mechanisms like galaxy harassment showing timescales of 1 Gyr
could be responsible for this disc scale evolution. This indicates that
spiral galaxies in clusters have undergone a strong evolution in the
last 2.5 Gyr or that Coma is in some way anomalous.
Key words: galaxies: clusters: general - galaxies: structure - cosmology: observations
1 Introduction
The brightest galaxies in the central part of clusters of galaxies have been an object of study for many years (Caon et al. 1993; De Lucia & Blaizot 2007; Merritt 1984; Ascaso et al. 2008; Dressler 1980; Fasano et al. 2000; Kormendy 1977; Aguerri et al. 2004; Bower et al. 1998; Kauffmann et al. 1994; Jørgensen & Franx 1994). Most of these studies have investigated their link with the formation of their host halo, leading to two main scenarios: the monolithic (Merritt 1984; Bower et al. 1998) and the hierarchical (De Lucia & Blaizot 2007; Kauffmann et al. 1994). The former assumes the cluster to be formed first and, consequently, the galaxies do not undergo transformation after the cluster collapse. The latter, on the other hand, implies that the galaxies were formed earlier than the cluster and therefore, environmental effects or interacting mechanisms such as harassment (Moore et al. 1996), gas-stripping (Gunn & Gott 1972; Quilis et al. 2000), starvation (Bekki et al. 2002), or merging (Aguerri et al. 2001; Eliche-Moral et al. 2006) are able to alter the galaxy population.
The galaxy population has a bimodal nature based on its stellar population and the shape of its surface brightness profiles. As Driver et al. (2006) showed, the redder and more compact objects are usually early-type systems, while the late-type galaxies are, generally, bluer and less concentrated profiles. Recent results (Bell 2008; Ascaso 2008; Skibba et al. 2009; Cameron & Driver 2009) have pointed out that this bi-modal behaviour for field and cluster galaxies can be translated in the color-log(n) plane, where n is the Sérsic index (Sérsic 1968), up to redshift 1. This result agrees with the hierarchical clustering scenario, as the late type galaxy population would be formed by cooling the gas in the dark matter halos and, as a consequence, the early type population would be formed by merging of late type galaxy members or by dry-merging of the early type galaxies.
Table 1: The sample of clusters.
Many works related to the evolution of the galaxy population in
clusters of galaxies have also shown a decrease of the S0/E fraction
with redshift. This decrement is mainly due to the variation with
redshift of the S0 fraction, while the elliptical fraction remains
constant up to
(Fasano et al. 2000; Desai et al. 2007; Dressler et al. 1997; Postman et al. 2005). This fact indicates a different time scale for the process of formation of elliptical and lenticular galaxies. However, Jørgensen & Franx (1994)
studied the nature of elliptical and S0 galaxies in the Coma cluster,
suggesting that they are a continuum class of objects in their
distribution of bulge-to-disk ratios. Subsequent studies have given
support to this fact (Jørgensen et al. 1996; Krajnovic et al. 2008).
Likewise, a number of papers reflect a continuity in the parameter
space for bright elliptical and dwarf galaxies in clusters, (Gutiérrez et al. 2004; Sandage & Visvanathan 1978; Graham 2003; Aguerri et al. 2004; Ascaso et al. 2008)
suggesting that these objects could be a continous family. However,
recent studies have been devoted to the study of the physical
differences between elliptical and spheroidal or dwarf elliptical
galaxies (Kormendy et al. 2009; Aguerri et al. 2005; Aguerri & González-García 2009) suggesting recent evolution in their structural parameters. For example, Kormendy et al. (2009) have shown that the bright (
)
elliptical galaxies in the Virgo cluster have cuspy cores, rotate
slowly, have anisotropic velocity distributions, boxy isophotes and
Sérsic values, n, larger than 4, while the faint ellipticals (
)
do not have cores, rotate much faster, usually have more isotropic
velocity distributions, disky isophotes and smaller Sérsic parameters.
In addition, they confirm that the biggest elliptical galaxies have
X-ray emitting gas whereas the smallest ones have a lack of it.
Therefore, larger samples of faint dwarf galaxies at medium-high
redshift is necessary to study their evolution.
The galaxy surface brightness and main structural parameters have been studied in several works for different samples. These samples have been restricted to local clusters (Gutiérrez et al. 2004; Caon et al. 1993; Aguerri et al. 2004; Jørgensen & Franx 1994) or to galaxy samples preselected by morphological type, (e.g. early types Caon et al. 1993; Graham 2003; Jørgensen & Franx 1994 or late types De Jong 1996; Graham 2001,2003; Möllenhoff 2004). In addition, larger samples of field galaxies have been analyzed. For example, Trujillo & Aguerri (2004) presented quantitative structural parameters in the V-band rest-frame for all galaxies with z < 1 and I814(AB) < 24.5 mag in the Hubble Deep Fields North and South. Nevertheless, the present number of works devoted to the study of global samples of galaxies in clusters at medium redshift range is small (Balogh et al. 2002; Trujillo et al. 2001; Fasano et al. 2000). In this work, we have studied the surface brightness of the whole galaxy population in a sample of clusters of galaxies at medium redshift.
Our data consists of five clusters observed with the Nordic Optical Telescope (NOT) in very good seeing conditions with two filters in a range of redshift from 0.18 to 0.25, where there are very few cases of clusters analysed due to difficulties in the deepness and quality of the observations. The analysis of the properties of such clusters can provide a new perspective on the evolutionary trends of clusters at that range of redshift, as well as the extension of the properties of other samples at low redshift to high redshift (HST).
In this paper, we have continued the analysis of the properties of the brightest galaxies (
)
in the central part of this cluster sample at medium redshift. We have
analyzed their surface brightness, and performed a study of their
structural parameters. We have also extracted their quantitative
morphology and compared this to their visual morphology already derived
in Ascaso et al. (2008).
The structure of this paper is as follows. In Sect. 2, we
describe our sample and its analysis and we explain how we have fitted
the surface brightness analysis to a one-Sérsic profile (Sérsic 1968) or a two-component, Sérsic+ exponential profile (Freeman 1970).
In Sect. 3, we explain and show the results of the simulations for
the establishment of the range of the parameters where we can fit the
different models. In Sect. 4, we describe the galaxy
classification and analyze the structural parameters extracted from the
surface brightness fits for bulge and disc galaxies. A discussion of
the results and conclusions are given in Sect. 5. The color
figures are available electronically. Throughout that paper we have
adopted a CDM cosmology: H0=71 km s-1 Mpc-1,
and
.
2 Data analysis
We have extended our study to the data previously presented in Ascaso et al. (2008) of five clusters of galaxies imaged with the Stand Camera of the 2.5 m Nordic Optical Telescope (NOT) located at the Roque de Los Muchachos Observatory (La Palma). The main characteristics of the sample are collected in Table 1.
We refer the reader to Fasano et al. (2000) for more extended details about the observations and the data reduction process. The detection and extraction of the galaxy sample is explained in Ascaso et al. (2008).
2.1 Two dimensional surface brightness fit
The surface brightness of the galaxies in our medium redshift clusters were modelled using one or two photometric components. The fits were carried out using the automatic fitting routine (GASP-2D) developed and successfully validated by Méndez-Abreu et al. (2008). The surface brightness of those galaxies modelled with only one component was described by a Sérsic law (Sérsic 1968), while the surface brightness of those galaxies fitted with two photometrical components was described by a Sérsic law plus an exponential (Freeman 1970).
The fits of the galaxies were fully two-dimensional. The photometric galaxy components were characterized by elliptical and concentric isophotes with constant (but possibly different) ellipticity and position angle. We have assumed a Cartesian coordinate system (x,y,z) with the origin in the galaxy center, the x-axis parallel to the direction of the right ascension and pointing westward, the y-axis parallel to the direction of declination and pointing northward, and the z-axis along the line-of-sight and pointing toward the observer. The plane of the sky is confined to the (x,y) plane, and the galaxy center is located at the position (x0, y0).
The Sérsic law has been extensively used in the literature to model the surface brightness of elliptical galaxies (Graham & Guzman 2003; Graham & Driver 2005), bulges of early and late-type galaxies, (Aguerri et al. 2004; Möllenhoff 2004; Andredakis et al. 1995; Prieto et al. 2001), the low surface brightness host of blue compact galaxies (Caon et al. 2005; Amorin et al. 2007; Amorín et al. 2009), and dwarf elliptical galaxies (Graham & Guzman 2003; Binggeli & Jerjen 1998; Aguerri et al. 2005). The radial variation of the intensity of this law is given by:
![]() |
(1) |
where





rb | = | ![]() |
|
![]() |
(2) |
Hereafter, we will call ``bulge'' the photometric galaxy component fitted by a Sérsic law in those galaxies fitted with two components.
On the other hand, the exponential law has been used in the
literature to model the surface brightness profile of the discs shown
by spiral galaxies (e.g. Aguerri et al. 2005 and references therein). This law was proposed by Freeman (1970) and is given by:
![]() |
(3) |
where I0 and h are the central intensity and scale length, respectively. Similar to the photometric component modelled by a Sérsic law, we have considered that the disc isophotes are ellipses centered on the galaxy center ( x0, y0) with constant position angle PAd and constant ellipticity


rd | = | ![]() |
|
![]() |
(4) |
The GASP-2D routine fits all free parameters iteratively using a non-linear least-squares minimization method. It was based on the robust Levenberg-Marquardt method (Press et al. 1992). During each iteration of the fitted algorithm, the seeing effect was taken into account by convolving the model image with a circular point spread function (PSF) extracted from the images (see Méndez-Abreu et al. 2008, for more details about the fitting routine).
As many authors have recently explored, (Cameron & Driver 2009; Gadotti 2008), the presence of bars in the galaxies may result in poor bulge fits if not correctly modelled. Nevertheless, we address this by carefully examining the residuals.
3 Simulations
One of the advantages of the quantitative morphology is that the accuracy of the obtained results can be tested by simulating artificial galaxies similar to the real ones. We have created a large number of artificial galaxies with one and two galactic components described by the previous equations. These modeled galaxies are similar to the galaxies observed in our medium redshift galaxy clusters.
We generated 5000 images of galaxies with a Sérsic component. The total magnitude, effective radius, shape Sérsic parameter, and ellipticity of the simulated galaxies were similar to those from real galaxies. They were asigned randomly to the models, and their values were in the ranges:
![]() |
|
![]() |
(5) |
We have also generated 5000 galaxies with two photometric components: Sérsic and exponential. These artificial galaxies have a central photometric ``bulge'' component, modeled by a Sersic law, and an external ``disc'' component, modeled by an exponential law. The total magnitude of these galaxies spans


![]() |
(6) |
The disc free parameters of the galaxies were:
![]() |
(7) |
In order to mimic the same instrumental setup, we added a background level and photon noise to these artificial images similar to the observed images. They were also convolved simulating the seeing that we have in our observations. Finally, these simulated galaxies were fitted with the same conditions as the real ones. The simulated galaxies will be used to determine the errors of the fitted structural parameters.
3.1 Galaxies with one photometric component
![]() |
Figure 1:
Magnitudes versus absolute (
|
Open with DEXTER |
Figure 1 shows the errors
of the free parameters of those simulated galaxies with only one
component as a function of their magnitude absolute errors for
and relative errors for
,
n and
.
Notice that bright galaxies show smaller relative errors in the fitted
parameters than faint ones. Consequently, the goodnes of the fit
depends on the galaxy magnitudes or, due to the correlation between
area and magnitude, on the galaxy area. The areas of the objects were
computed as the number of pixels with signal higher than 1.5 times the
rms of the sky background of the images, and belonging to the
intersection of the observed image and the fitted model. The last
restriction was imposed in order to avoid wrong area measurements due
to nearby objects.
We have considered that a galaxy was properly fitted when all free
parameters were recovered with relative errors of less than 20.
Figure 2
shows the fraction of properly fitted simulated galaxies as a function
of the area. We defined the minimum area of properly fitted galaxies as
the one at which the fraction shown in Fig. 2
is equal to 0.5. This corresponds to 550 pixels for galaxies
modeled with only one Sérsic component. This means that more than 50
of the galaxies with areas larger than 550 pixels were properly fitted.
3.2 Galaxies with two photometric components
Figure 4 shows the relative errors of the fitted free parameters of the simulated galaxies with bulge and disc components except for
and
,
where we show the absolute errors. Notice that in general the disc
parameters are better fitted than the bulge ones. It is also clear that
those galaxies with large B/T show larger errors in the disc parameters than in the bulge ones. In contrast, galaxies with smaller B/T show larger errors in the bulge than in the disc. Indeed, the bulge and disc parameters for faint galaxies (
)
with low surface brightness (
or
mag arcsec-2) are not well fitted.
We have also considered that a galaxy was properly fitted if all
free parameters were recovered with relative errors smaller than 20.
Figure 3 shows the fraction of properly fitted bulge and disc simulated galaxies. In this case, the area at which at least 50
of the population is well fitted depends on their B/T values. We have adopted in this case 800 pixels as the minimum area in order to obtain reliable fits.
![]() |
Figure 2: Fraction of properly fitted galaxies versus area of the one-component simulated galaxies. |
Open with DEXTER |
![]() |
Figure 3: Fraction of properly fitted bulge and disc simulated galaxies as a function of their area. The full line represents galaxies with B/T<0.2, the dotted line those with 0.2<B/T<0.8, and the dashed line B/T>0.8. |
Open with DEXTER |
3.3 Number of components
![]() |
Figure 4: Sérsic+ Disc profile parameters versus its error for those galaxies with areas larger than 800 pixels (see text for details). The lines are the same as Fig. 1. |
Open with DEXTER |
The simulations have shown that all galaxies with areas larger than
800 pixels can be properly fitted. This area corresponds to
galaxies brighter than
.
Thus, all the galaxies down to
were fitted with one and two components. The galaxies with areas between 550 and 800 pixels were not included in our analysis.
Usually, the
value is used to decide which is the best fitted model. Nevertheless, models with two components tend to have smaller values of
than
models with one component. This fact is due to the different number of
free parameters between both fits. Additionally, it is also possible
that the model with the lowest value of
might not be a physical solution. What is more, luminous, well resolved
galaxies with spiral arms or inner dust-lanes that can't be properly
described by the model tend to have larger values of
.
For these reasons, we have adopted an alternative method in order to
decide the best fitted photometric model. The method is similar to that
used by Allen et al. (2006).
It is based on the analysis of the surface brightness radial profiles
of the fitted models. Our aim is that those galaxies finally fitted
with two components should be ``classical'' bulge and disc systems,
i.e. their central regions should be dominated by the bulge component,
while the disc dominates at large radial distances from the galaxy
center. Galaxies with different light distribution were fitted with
only one component.
We have implemented a decision tree algorithm in order to find the best final number of structural components for each galaxy. The algorithm starts by comparing the magnitude of the galaxy obtained from the two component fit and the magnitude measured directly in the image using SExtractor. If the difference between those magnitudes is larger than 0.5 mag, then the galaxy was fitted with only one component (this case only happened for a 2.32% of the galaxies in our sample). This large difference between the modelled and measured magnitudes could be due to several reasons, such as the presence of more than two structural components in the galaxies, or the poor convergence of the fitted method. In the second step of the algorithm, we have analysed the bulge-to-total (B/T) ratio given by the two component fit. Those galaxies clearly dominated by the Sérsic components (B/T>0.7) were also fitted with only one component.
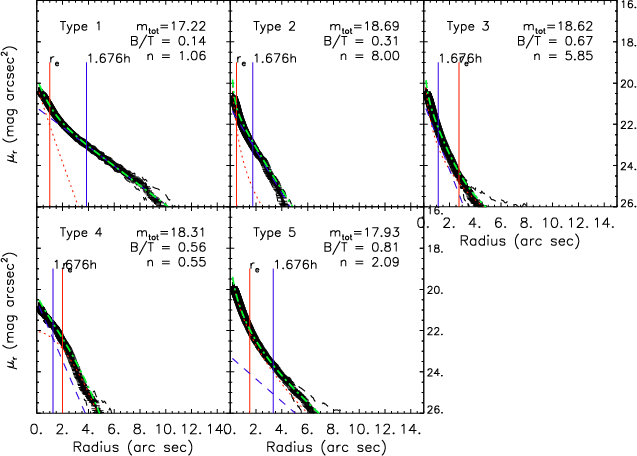
The remaining galaxies were analyzed following a similar procedure as in Allen et al. (2006). We identified five different types of fitted surface brightness profiles (see Fig. 5). According to the number of intersections between the Sérsic and the exponential fitted radial profiles, we can identify those with one (type 1, type 2 and type 4), two (type 3) and zero (type 5) intersections. Type 1 profiles were considered as ``classical'' bulge plus disc galaxies. The remaining types have different features that make them depart from a classical two component galaxy. Galaxies belonging to type 5 show bulges dominating the whole galaxy. Type 4 galaxies have a disc component dominating in the inner regions of the profile. Type 3 galaxies show a bulge effective radius larger than the disc effective radius (1.676h) and type 2 galaxies refer to those galaxies whose Sérsic parameter n has reached the maximum value allowed in the fit.
![]() |
Figure 5: Examples of profiles 1 to 5 following the notation of Allen et al. (2006). The black solid lines represent the galaxies surface brightness profiles and the black dashed lines show the errors limits. The red dotted lines are the Sérsic profile fits, the blue dashed lines are the disc profile fits and the green dashed dotted lines are the sum of bulge and disc profiles fits. |
Open with DEXTER |
Eventually, only the galaxies with type 1 profiles were considered
as two component fits. The remaining were fitted with only one
component. We obtained finally that 47
of the galaxies were fitted with one Sérsic component.
4 Structural parameters
The correlations between the structural parameters of galaxies have
been extensively investigated at low redshift in the literature (e.g. De Jong 1996; Graham 2001;
Graham 2003; MacArthur et al. 2003; Möllenhoff 2004; Aguerri et al. 2004; Gutiérrez et al. 2004; Aguerri et al. 2005). Our galaxy cluster sample is located at a mean redshift of 0.2,
and gives us the opportunity to compare the structural parameters of
these galaxies with similar ones located in nearby clusters. This
comparison will enable us to determine any evolution of the structural
parameters of the galaxies in clusters in the last
2.5 Gyr.
We have classified the galaxies taking into account the number of fitted photometric components and their B-r colors. Three diferent galaxy types were considered: early-types (E/S0), early-spirals (Spe) and late-spirals (Spe). The results of the fit for the galaxy sample, together with their quantitative classification, are shown in the Table A.1 in the Appendix.
The early-type galaxies were those fitted with one Sérsic component
and located in the red sequence of the color-magnitude relations (CMR)
of the clusters (within 0.2 magnitudes). Early-type spirals were those
fitted with two structural components and also located near the red
sequence of the CMR. Late-type spirals were those objects fitted with
two components and have at least 0.2 bluer B-r color than the red secuence of the cluster. This classification results in 36,
29
,
and 16
of the galaxies being early-type, early-spirals and late-spirals, respectively. The remaining 19
of the objects correspond to blue galaxies fitted with only one
component. These objects could be a mix of different kind of objects
(galaxies with more than two galactic components, blue spirals not well
fitted with two components, irregular galaxies, blue ellipticals...).
4.1 Sérsic parameters
In the present section we will compare the Sérsic parameters of the galaxies in the sample with similar galaxies located in local galaxy clusters.
Kormendy (1977) discovered a correlation between the size and the surface brightness
-
of elliptical galaxies, the so called, Kormendy Relation. Later on, Binggeli et al. (1984) found that this relationship was only given in elliptical galaxies brighter than
.
For fainter galaxies, the tendency inverts.
![]() |
Figure 6: Kormendy relation between effective ratius and mean bulge surface brightness for the early type sample of galaxies. Red points are E/S0 galaxies and green triangles represent the bulges of the Early Spiral galaxies. The solid line is the fit of the relation. |
Open with DEXTER |
In Fig. 6, we
have plotted the Kormendy relation for E/S0 (red points) and the bulges
of Early Spirals (Green triangles). Notice that bulges of early spirals
and E/S0 galaxies form a continuous family of objects. The fit of this
relation for both types is given by:
This fit gives that early-type galaxies brighter than




We have also plotted in Fig. 7
the relation between effective radius and shape parameters for red
galaxies fitted with one component (red points) and blue galaxies
fitted with one component (blue triangles). Clearly, a dichotomy
exists. By removing the obvious outliers, we have obtained the
following fits:
![]() |
(9) |
and for the blue ones
![]() |
(10) |
These fits are in agreement with recent measurements of the Sérsic indexes in wider samples of galaxies (Driver et al. 2006; Bell 2008) supporting the hypothesis that the origin and formation of these two kinds of galaxies are different. The red and blue population are located in split and parallel regions (within the errors in the slopes) in the



![]() |
Figure 7: Relation between effective ratius and shape parameter for one component galaxies. Red points refer to red one component galaxies and blue triangles represent blue one component galaxies. Solid and dotted lines are the respective fits. |
Open with DEXTER |
We have found two blue galaxies with a Sérsic index similar to the red galaxies in the sample. These galaxies are at 560 kpc distance from the core of A1878, a cluster which in our previous work (Ascaso et al. 2008) was shown to have a large blue fraction as well as a spiral-dominated population. These objects could be blue early-type galaxies results of mergers (Bildfell et al. 2008; Pipino & Matteucci 2008), spiral galaxies with some features such as bars or dust or galaxies in process of merging. As far as the three red galaxies with smaller Sérsic profiles are concerned, one of them is visually classified as spiral, so it might have been classified in one component but is a real spiral galaxy, the two other ones have been classified as ellipticals but a closer inspection of them shows that they are in clear interaction.
Furthermore, in Fig. 8,
we have shown the effective surface brightness, the shape parameter and
effective radius versus the absolute magnitude (left column) and color
(right column) for the E/S0 galaxies (red points) and the bulges of the
early spiral galaxies (green triangles). We can see that the B-r colors of bulges of early-type spirals and E/S0 galaxies are similar (median B-r=2.04 and 2.06 respectively). In general, bulges of early-type spiral galaxies show fainter
(median value is 21.05 mag arcsec2), and smaller
(median value is 2.02 kpc) and n (median value is 2.21) Sérsic parameters than E/S0 galaxies (median values are 21.79 mag arc sec2, 6.46 kpc and 2.42 respectively). The plane
shows a clear continuous relation between early-type bulges and E/S0 galaxies as pointed before by the Kormendy relation.
![]() |
Figure 8:
Absolute Gunn-r magnitude ( left column) and B-r colour ( right column) versus
|
Open with DEXTER |
Table 2: Bulge parameters for the Coma and NOT samples.
Finally, we have compared the scales of our E/S0 galaxies with those from similar objects in the Coma cluster (Aguerri et al. 2004). Early-type Coma galaxies were selected as those galaxies with B/T=1
and were fitted with one component. Due to the seeing effect, we have
not measured galaxies with scales smaller than 2.2 kpc. For this
reason, only galaxies in Coma with
kpc
were considered. We obtained that the sizes of our early-type galaxies
turned out to be similar to the Coma cluster galaxies (see Table 2).
As far as the shape parameter is concerned, the range of values in the NOT sample expands all the range of values of Coma. However, we find a mean value somewhat smaller for the NOT sample than for Coma but the values agree within the errors. Therefore, it seems that the bulge sizes have not changed substantially with respect to those in the Coma Cluster.
4.2 Disc parameters
The analysis of the structural parameters of the galaxies in
clusters gives information about the role played by the environment in
the evolution of galaxies in high density environments. Fast
galaxy-galaxy encounters can transform galaxies from late- to
early-type in short time-scales (1 Gyr). These kinds of encounters are usual in galaxy clusters (Moore et al. 1996).
The stars located in galactic discs have a lower binding energy than
those located in the central regions of the galaxies. Thus,
interactions can strip away easily stars located in the external
regions of the galaxies, and truncate the discs. There are hints about
this truncation in the literature. Coma cluster galaxies have smaller
discs than field nearby galaxies (Gutiérrez et al. 2004; Aguerri et al. 2004).
Few facts are known about the evolution of discs at medium redshift in
galaxy clusters. In the present section, we have compared the discs of
the galaxies located in our medium redshift clusters with similar ones
in the local environment.
![]() |
Figure 9: Disc scales versus absolute Gunn-r Magnitude for two component galaxies (Coma Cluster; Aguerri et al. (2004), black points), NOT sample (red diamonds) and (field galaxies; Graham (2001), blue triangles). The horizontal dotted line shows the minimum disc size determined by the minimum area and surface brightness limit. |
Open with DEXTER |
We have plotted in Fig. 9
the absolute magnitudes of the disks versus their scale parameters. The
red diamonds concerns our medium redshift galaxy cluster sample. The
blue triangles refer to a sample of field galaxies extracted from Graham (2001) in the R band and the black points are the disks from the Coma cluster taken from Aguerri et al. (2004). The galaxies in the latter sample have been selected as the galaxies with B/T<1 (two component galaxies). There are no discs in the medium redshift clusters with scales h<2.4 kpc.
This is due to our minimum cut area (800 pixels) and to the
surface brightness limit fitted corresponding to
mag arcsec-2. The horizontal dotted line overplotted in Fig. 9 shows this limit.
Our disc scales are as large as those of field galaxies, while those discs in Coma represent a minimum percentage. Figure 9 represents the well known Freeman law (Freeman 1970). The fit of this law for our disk sample is given by:

For a quantitative description of the disc scales, we have found that in the central regions of our clusters at medium redshift (R<200 kpc) there is a population of large disc galaxies that is absent in the Coma Cluster as collected in Table 3. These results may agree with an hypothesis of evolution from this range of redshift clusters to the present in the disc scales of the late type galaxy population in clusters.
We have performed statistical tests to check if the disc scales in the NOT medium redshift cluster sample are significantly different to disc scales of nearby galaxies in clusters or in the field. With that purpose, we have run the Kolmogorov-Smirnov (KS) test on the cumulative functions of the disc scales for the clusters in the NOT sample, the Coma sample and the sample of isolated galaxies from Graham (2001). We have selected only galaxies in the same range of magnitudes. These cumulative functions are shown in Fig. 10.
![]() |
Figure 10: Cumulative function of disc scales for the NOT sample (solid line), Aguerri et al. (2004) Coma Cluster (dotted line) and Graham (2001) isolated sample (dashed line). The red dotted-dashed lines show the error of the cumulative function for the NOT sample. |
Open with DEXTER |
Table 3: Disc parameters for the Coma and NOT samples.
The results of the test suggest that the disc scale distribution of Coma galaxies is statistically different from the disc scale distribution of both our medium redshift clusters (98.1% significance) and the field galaxy sample (99.9% significance). However, the disc scales of the field galaxy sample and our medium redshift galaxy sample are not statistically different (86.9% significance).
The distributions for Coma and the NOT sample intersect at disc scales of 4 kpc. In Fig. 10, there is a greater difference between the distributions of disc sizes smaller than 4 kpc. We have performed a new Kolmogorov-Smirnov test for galaxies with discs larger than 4 kpc in all samples. The results show that none of the samples can be shown to be statistically different, with 54.95% significance for the Coma Cluster and NOT sample, 28.95% for the Coma Cluster and field galaxy sample and 28.37% for the NOT sample and field galaxy sample.
If we consider in our analysis the galaxies classified visually as spirals in Ascaso et al. (2008), we find similar results. The whole disc scale distribution for Coma and NOT clusters is statistically different with a 98.98% significance, while the NOT clusters and the field galaxy sample are not statistically different (19.41% significance). In addition, by considering only the galaxies with disc scales larger than 4 kpc in this subsample, the disc scales distributions for NOT and Coma galaxy clusters and NOT and field galaxies are not statistically different, with 66.55% and 28.95% respectively. This result reinforces the difference in the smaller disc scale distributions in local and medium redshift clusters from a morphological point of view.
Thus, Coma shows an excess of galaxies with disc scales smaller than 4 kpc with respect to the field galaxy and NOT sample. Field galaxies with large discs could have entered the cluster and undergone interactions with the environment that have made the discs become smaller (Kormendy et al. 2009; Aguerri et al. 2005; Aguerri & González-García 2009) in the last 2.5 Gyr. This conclusion supports a scenario in which the environment plays a crucial role in galaxy evolution.
5 Discussion and conclusions
In this paper, we have analyzed the structural properties of a sample of galaxies placed in five clusters between 0.18
0.25.
The structural parameters derived from this quantitative classification
have shown that the galaxies fitted with one component have a nearly
univocally correspondence with the shape parameter. Red galaxies fitted
with one component have a shape parameter between 2 and 4, while for
the blue galaxies fitted with one component, the shape parameter we
obtain is around 1. This bi-modality has been already observed in
previous works (Driver et al. 2006; Bell 2008), showing a clear difference in the formation and evolution of these two types of galaxy population.
Likewise, we have examined the relation of the structural
parameters. We have tested the Kormendy Relation and we have found that
the E/S0 and the bulges of early spirals seem to be acontinuous set of
parameters. Similar results are obtained with magnitude and color in
Fig. 8. The results show that
and n
follow a correlation with the magnitude taking out the obvious outliers
for the early types and for the bulges of early spirals, suggesting a
similar nature of these objects.
On the other hand, we have compared the bulge scales of the galaxies in the sample with the scale of the bulges of galaxies in the Coma cluster (Aguerri et al. 2004), obtaining the same range of values. We have compared the disc scales of the galaxies in our medium redshift sample with the disc scales in a sample of galaxies in Coma studied by Aguerri et al. (2004) and the disc scales of a sample of local field galaxies studied by Graham (2001). We considered the whole galaxy sample classified in two components following the procedure explained in 3.3 and also, to make sure that we were comparing spiral visually classified galaxies, we took the whole galaxy sample classified as spiral galaxies in Ascaso et al. (2008). We found in both cases that the disc scales of the galaxies in our sample are slightly larger than those in the Coma cluster and are statistically different. Moreover, the distribution of disc scales for the NOT sample is not statistically different to the disc scales for the local field galaxies This result indicates an evolution in the disc scales of the galaxies in clusters at medium redshift from local clusters.
Interestingly, we have seen that the main difference in the distribution is concentrated in the small disc galaxies (<4 kpc). This implies a different behavior of small and large disc galaxies, indicating the different nature of these kinds of objects. There is a large population of galaxies with h<4 kpc in the Coma cluster not observed in the field or in the medium redshift clusters.
One of the main concerns in the present work is that the compared galaxy clusters at
(the Coma cluster) and at
(our
NOT sample) are not statistically complete samples. It can be argued
that the Coma cluster is not a representative comparison due to its
high mass and degree of evolution. Thus, the different disc scales
found between the Coma cluster and those at medium redshift could be
due to the fact that we are comparing clusters with very different
properties. We have tested this assumption by splitting our cluster
sample into two groups according to their galaxy richness: poor
clusters (Richness Class (RC) <2) and rich clusters (
). The Coma cluster has a richness class similar to our rich cluster sample at
(RC=2).
We have found that, for both samples, their disc scale length
distributions are different to Coma and similar to the field one. This
same tendency is observed for the overall distribution. Therefore, the
result does not depend on the richness of the clusters.
More work needs to be done in the future to span both cluster
samples and determine the variance in the disc scale distribution in
nearby and medium redshift clusters. Nevertheless, this result
indicates that there was a strong evolution in the external parts of
the galaxies in these clusters during the last 2.5 Gyr, or that Coma is
in some way anomalous. Mechanisms such us galaxy harassment with small
timescales (1 Gyr) could explain this evolution.
We acknowledge the anonymous referee for improving this paper. BA is partially supported by NASA grant NNG05GD32G. JALA and RSJ were partially supported by the Ministerio de Ciencia e innovación by the grants AYA2007-67965-C03-01 and CSD2006-00070.
Appendix A
Table A.1: Results of the 2-dimensional surface brightness fit for the galaxies in the NOT sample
References
- Aguerri, J. A. L., & González-García, A. C. 2009, A&A, 494, 891 [NASA ADS] [CrossRef] [EDP Sciences]
- Aguerri, J. A. L., Balcells, M., & Peletier, R. F. 2001, A&A, 367, 428 [NASA ADS] [CrossRef] [EDP Sciences]
- Aguerri, J. A. L., Iglesias-Páramo, J., Vilchez J. M., & Munoz-Tunón, C., 2004, ApJ, 127, 1344 [NASA ADS]
- Aguerri, J. A. L., Iglesias-Páramo, J., Vílchez, J. M., Muñoz-Tuñón, C., & Sánchez-Janssen, R. 2005, AJ, 130, 475 [NASA ADS] [CrossRef]
- Allen, P. D., Driver, S. P., Graham, A. W., et al. 2006, MNRAS, 371, 2 [NASA ADS] [CrossRef]
- Amorin, R. O., Muñoz-Tuñón, C., Aguerri, J. A. L., Cairós, L. M., & Caon, N. 2007, A&A, 467, 541 [NASA ADS] [CrossRef] [EDP Sciences]
- Amorín, R., Aguerri, J. A. L., Muñoz-Tuñón, C., & Cairós, L. M. 2009, A&A, 501, 75 [NASA ADS] [CrossRef] [EDP Sciences]
- Andredakis, Y. C., Peletier, R. F., & Balcells, M. 1995, MNRAS, 275, 874 [NASA ADS]
- Ascaso, B. 2008, Tesis Doctoral, Universidad de Granada
- Ascaso, B., Moles, M., Aguerri, J. A. L., Sánchez-Janssen, R., & Varela, J. 2008, A&A, 487, 453 [NASA ADS] [CrossRef] [EDP Sciences]
- Balogh, M., Bower, R. G., Smail, I., et al. 2002, MNRAS, 337, 256 [NASA ADS] [CrossRef]
- Bekki, K., Couch, W. J., & Shioya, Y. 2002, ApJ, 577, 651 [NASA ADS] [CrossRef]
- Bell, E. F. 2008, ApJ, 682, 355 [NASA ADS] [CrossRef]
- Bildfell, C., Hoekstra, H., Babul, A., & Mahdavi, A. 2008, MNRAS, 389, 1637 [NASA ADS] [CrossRef]
- Binggeli, B., & Jerjen, H. 1998, A&A, 333, 17 [NASA ADS]
- Binggeli, B., Sandage, A., & Tarenghi, M. 1984, AJ, 89, 64 [NASA ADS] [CrossRef]
- Bower, R. G., Kodama, T., & Terlevich, A. 1998, MNRAS, 299, 1193 [NASA ADS] [CrossRef]
- Cameron, E., & Driver, S. P. 2009, A&A, 493, 489 [NASA ADS] [CrossRef] [EDP Sciences]
- Caon, N., Capaccioli, M., & D'Onofrio, M., 1993, MNRAS, 265, 1013 [NASA ADS]
- Caon, N., Cairós, L. M., Aguerri, J., Alfonso, L., & Muñoz-Tuñón, C. 2005, ApJS, 157, 218 [NASA ADS] [CrossRef]
- de Jong, R. S. 1996, A&A, 313, 45 [NASA ADS]
- De Lucia, G., & Blaizot, J. 2007, MNRAS, 375, 2 [NASA ADS] [CrossRef]
- Desai, V., Dalcanton, J. J., Aragón-Salamanca, A. 2007, ApJ, 660, 1151 [NASA ADS] [CrossRef]
- Dressler, A. 1980, ApJ, 236, 351 [NASA ADS] [CrossRef]
- Dressler, A., Oemler, A., Jr., Couch, W. J., et al. 1997, ApJ, 490, 577 [NASA ADS] [CrossRef]
- Driver, S. P., Allen, P. D., Graham, A. W., et al., 2006, MNRAS, 368, 414 [NASA ADS]
- Eliche-Moral, M. C., Balcells, M., Aguerri, J. A. L., & González-García, A. C. 2006, A&A, 457, 91 [NASA ADS] [CrossRef] [EDP Sciences]
- Fasano, G., Poggianti, B., Couch, W. J., et al. 2000, A&A, 542, 673 [NASA ADS]
- Freeman, K. C. 1970, ApJ, 160, 811 [NASA ADS] [CrossRef]
- Gadotti, D. A. 2008, MNRAS, 384, 420 [NASA ADS] [CrossRef]
- Graham, A. W. 2001, AJ, 121, 820 [NASA ADS] [CrossRef]
- Graham, A. W. 2003, AJ, 125, 3398 [NASA ADS] [CrossRef]
- Graham, A. W., & Driver, S. P. 2005, Publications of the Astronomical Society of Australia, 22, 118 [NASA ADS] [CrossRef]
- Graham, A. W., & Guzman 2003, AJ, 125, 2936 [NASA ADS] [CrossRef]
- Gunn, J. E., & Gott, J. R. I. 1972, ApJ, 176, 1 [NASA ADS] [CrossRef]
- Gutiérrez, C. M., Trujillo, I., Aguerri, J. A. L., Graham, A. W., & Caon, N. 2004, ApJ, 602, 664 [NASA ADS] [CrossRef]
- Jørgensen, I., & Franx, M. 1994, ApJ, 433, 553 [NASA ADS] [CrossRef]
- Jørgensen, I., Franx, M. & Kjaergaard, P. 1996, MNRAS, 280, 167 [NASA ADS]
- Kauffmann, G., Guiderdoni, B., & White, S. D. M. 1994, MNRAS, 267, 981 [NASA ADS]
- Kormendy, J. 1977, ApJ, 217, 406 [NASA ADS] [CrossRef]
- Kormendy, J., Fisher, D. B., Cornell, M. E., & Bender, R. 2009, ApJS, 182, 216 [NASA ADS] [CrossRef]
- Krajnovic, D., Bacon, R., Cappellari, M., et al. 2008, MNRAS, 390, 93 [NASA ADS] [CrossRef]
- MacArthur, L. A., Courteau, S., & Holtzman, J. A. 2003, ApJ, 582, 689 [NASA ADS] [CrossRef]
- Méndez-Abreu, J., Aguerri, J. A. L., Corsini, E. M., & Simonneau, E. 2008, A&A, 478, 353 [NASA ADS] [CrossRef] [EDP Sciences]
- Merritt, D. 1984, ApJ, 276, 26 [NASA ADS] [CrossRef]
- Möllenhoff, C. 2004, A&A, 415, 63 [NASA ADS] [CrossRef] [EDP Sciences]
- Moore, B., Katz, N., Lake, G., Dressler, A., & Oemler, A. 1996, Nature, 379, 613 [NASA ADS] [CrossRef]
- Pipino, A., & Matteucci, F. 2008, A&A, 486, 763 [NASA ADS] [CrossRef] [EDP Sciences]
- Postman, M., Franx, M., Cross, N. J. G., et al. 2005, ApJ, 623, 721 [NASA ADS] [CrossRef]
- Press, W. H., Teukolsky, S. A., Vetterling, W. T., & Flannery, B. P., et al. 1992, Numerical recipes in FORTRAN: The art of Scientic Computing (Cambridge: Cambridge Univ. Press)
- Prieto, M., Aguerri, J. A. L., Varela, A. M., & Muñoz-Tuñón, C., et al. 2001, A&A, 367, 405 [NASA ADS] [CrossRef] [EDP Sciences]
- Quilis, V., Moore, B., & Bower, R. 2000, Science, 288, 1617 [NASA ADS] [CrossRef]
- Sandage, A., & Visvanathan, N. 1978, ApJ, 225, 742 [NASA ADS] [CrossRef]
- Sérsic, J. L. 1968, Atlas de Galaxias Australes (Córdoba: Obs. Astron. Univ. Nac. Córdoba)
- Skibba R. A., Bamford, S. P., Nichol, R. C., et al. 2009, MNRAS, 399, 966 [CrossRef]
- Trujillo, I., & Aguerri, J. A. L. 2004, MNRAS, 355, 82 [NASA ADS] [CrossRef]
- Trujillo, I., Aguerri, J. A. L., Cepa, J., & Gutiérrez, C. M. 2001, MNRAS, 328, 977 [NASA ADS] [CrossRef]
All Tables
Table 1: The sample of clusters.
Table 2: Bulge parameters for the Coma and NOT samples.
Table 3: Disc parameters for the Coma and NOT samples.
Table A.1: Results of the 2-dimensional surface brightness fit for the galaxies in the NOT sample
All Figures
![]() |
Figure 1:
Magnitudes versus absolute (
|
Open with DEXTER | |
In the text |
![]() |
Figure 2: Fraction of properly fitted galaxies versus area of the one-component simulated galaxies. |
Open with DEXTER | |
In the text |
![]() |
Figure 3: Fraction of properly fitted bulge and disc simulated galaxies as a function of their area. The full line represents galaxies with B/T<0.2, the dotted line those with 0.2<B/T<0.8, and the dashed line B/T>0.8. |
Open with DEXTER | |
In the text |
![]() |
Figure 4: Sérsic+ Disc profile parameters versus its error for those galaxies with areas larger than 800 pixels (see text for details). The lines are the same as Fig. 1. |
Open with DEXTER | |
In the text |
![]() |
Figure 5: Examples of profiles 1 to 5 following the notation of Allen et al. (2006). The black solid lines represent the galaxies surface brightness profiles and the black dashed lines show the errors limits. The red dotted lines are the Sérsic profile fits, the blue dashed lines are the disc profile fits and the green dashed dotted lines are the sum of bulge and disc profiles fits. |
Open with DEXTER | |
In the text |
![]() |
Figure 6: Kormendy relation between effective ratius and mean bulge surface brightness for the early type sample of galaxies. Red points are E/S0 galaxies and green triangles represent the bulges of the Early Spiral galaxies. The solid line is the fit of the relation. |
Open with DEXTER | |
In the text |
![]() |
Figure 7: Relation between effective ratius and shape parameter for one component galaxies. Red points refer to red one component galaxies and blue triangles represent blue one component galaxies. Solid and dotted lines are the respective fits. |
Open with DEXTER | |
In the text |
![]() |
Figure 8:
Absolute Gunn-r magnitude ( left column) and B-r colour ( right column) versus
|
Open with DEXTER | |
In the text |
![]() |
Figure 9: Disc scales versus absolute Gunn-r Magnitude for two component galaxies (Coma Cluster; Aguerri et al. (2004), black points), NOT sample (red diamonds) and (field galaxies; Graham (2001), blue triangles). The horizontal dotted line shows the minimum disc size determined by the minimum area and surface brightness limit. |
Open with DEXTER | |
In the text |
![]() |
Figure 10: Cumulative function of disc scales for the NOT sample (solid line), Aguerri et al. (2004) Coma Cluster (dotted line) and Graham (2001) isolated sample (dashed line). The red dotted-dashed lines show the error of the cumulative function for the NOT sample. |
Open with DEXTER | |
In the text |
Copyright ESO 2009
Current usage metrics show cumulative count of Article Views (full-text article views including HTML views, PDF and ePub downloads, according to the available data) and Abstracts Views on Vision4Press platform.
Data correspond to usage on the plateform after 2015. The current usage metrics is available 48-96 hours after online publication and is updated daily on week days.
Initial download of the metrics may take a while.