Issue |
A&A
Volume 506, Number 3, November II 2009
|
|
---|---|---|
Page(s) | 1351 - 1365 | |
Section | Stellar atmospheres | |
DOI | https://doi.org/10.1051/0004-6361/200911780 | |
Published online | 27 August 2009 |
A&A 506, 1351-1365 (2009)
Radiative hydrodynamics simulations of red supergiant stars
I. interpretation of interferometric observations
A. Chiavassa1,2 - B. Plez2,4 - E. Josselin2 - B. Freytag3,4
1 - Max-Planck-Institut für Astrophysik, Karl-Schwarzschild-Str. 1,
Postfach 1317, 85741 Garching b. München, Germany
2 - GRAAL, Université de Montpellier II - IPM, CNRS, Place Eugéne
Bataillon, 34095 Montpellier Cedex 05, France
3 - Centre de Recherche Astrophysique de Lyon, UMR 5574: CNRS,
Université de Lyon, École Normale Supérieure de Lyon, 46 allée
d'Italie, 69364 Lyon Cedex 07, France
4 - Department of Physics and Astronomy, Division of Astronomy and
Space Physics, Uppsala University, Box 515, 75120 Uppsala, Sweden
Received 3 February 2009 / Accepted 14 July 2009
Abstract
Context. It has been proposed that convection in red
supergiant (RSG) stars produces large-scale granules causing observable
surface inhomogeneities. This convection is also extremely vigorous and
is suspected to be one of the main causes of mass-loss in RSGs. It
should thus be understood in detail. Evidence has accumulated of
asymmetries in the photospheres of RSGs, but detailed studies of
granulation are still lacking. Interferometric observations provide an
innovative way of addressing this question, but they are still often
interpreted using smooth symmetrical limb-darkened intensity
distributions, or simple, spotted, ad hoc models.
Aims. We explore the impact of the granulation on
visibility curves and closure phases using the radiative transfer code
OPTIM3D. We simultaneously assess how 3D simulations of convection in
RSG with CO5BOLD can be tested by comparing with
these observations.
Methods. We use 3D radiative hydrodynamical (RHD)
simulations of convection to compute intensity maps at various
wavelengths and time, from which we derive interferometric visibility
amplitudes and phases. We study their behaviour with time, position
angle, and wavelength, and compare them to observations of the RSG Ori.
Results. We provide average limb-darkening
coefficients for RSGs. We describe the prospects for the detection and
characterization of granulation (i.e., contrast, size) on RSGs. We
demonstrate that our RHD simulations provide an excellent fit to
existing interferometric observations of Ori, in contrast to
limb darkened disks. This confirms the existence of large convective
cells on the surface of Betelgeuse.
Key words: stars: supergiants - stars: atmospheres - hydrodynamics - radiative transfer - techniques: interferometric
1 Introduction
Massive stars with masses between roughly 10 and 25
spend some time as
red supergiant (RSG) stars, which represent the largest stars in the
universe. They have effective temperatures,
,
ranging from 3450 to 4100 K, luminosities of between
20 000 and 300 000
and radii up to 1500
(Levesque et al.
2005). Their luminosities imply that they are among the
brightest
stars, visible to very large distances. However, a number of open
issues remain. They shed large amounts of mass back to the interstellar
medium, but their mass-loss mechanism is unidentified, although Alfvén
and acoustic waves have been proposed (Pijpers & Hearn 1989;
Cuntz
1997; Hartmann & Avrett 1984),
as well as acoustic waves and radiation pressure on molecules (Josselin & Plez 2007).
Their chemical composition is largely unknown, despite the work of e.g.
Carr et al. (2000),
and Cunha et al.
(2007), because of difficulties in analysing their spectra,
which contain broad, asymmetric lines that according to a convection
pattern of large granules and (super-)sonic velocities (Gray
2008; Josselin & Plez 2007).
Their
-scale has been
revised both at solar and Magellanic Cloud metallicities
using 1D hydrostatic models (Massey et al. 2007;
Levesque
et al. 2005,2006,2007).
Although these MARCS models (Gustafsson
et al. 2008) provide an accurate
fit to the optical spectra allowing the derivation of
and reddening, problems remain. There is a blue-UV excess in many of
the observed spectra, which may be related to either scattering by
circumstellar dust or to an insufficiency in the models. There is also
some disagreement in the IR colours,
which may be related to atmospheric temperature inhomogeneities that
are
characteristic of convection (Levesque
et al. 2006).
Hydrodynamical modeling of convection in RSGs has lagged behind that of solar type stars because of the need to include the entire star in the simulation box. Freytag et al. (2002) managed to develop numerical simulations of a typical RSG. We thus attempted to improve our understanding and description of RSGs using detailed numerical simulations and a large set of observational material.
This paper is the first in a series exploring the granulation pattern of RSGs and its impact on interferometric observations.
2 3D radiative transfer in a radiative hydrodynamical simulation
2.1 3D hydrodynamical simulations with CO
BOLD
The numerical simulations employed in this work were developed using CO5BOLD
(Freytag
& Höfner 2008; Freytag et al. 2002)
in the star-in-a-box configuration:
the computational domain is a cube, and the grid is equidistant in all
directions.
All six faces of the cube use the same open boundary conditions
for material flows and emergent radiation.
In addition, there is an ``inner boundary condition'':
in a small spherical region in the centre of the cube,
a source term to the internal energy provides the stellar luminosity
and a drag force brakes dipolar flows through it.
Otherwise, the hydrodynamics and the radiative transfer scheme
are unaffected by the core and an integration can be completed without
problem.
Radiation transport is strictly in LTE.
The grey Rosseland mean opacity is a function of both gas pressure and
temperature.
The necessary values are derived by interpolating in a table derived
for temperatures around 12 000 K from
high-temperature OPAL data
(Iglesias et al.
1992) and low-temperature PHOENIX data
(Hauschildt et al.
1997) by Hans-Günter Ludwig.
Some more technical information can be found in
Freytag &
Höfner (2008),
the CO5BOLD Online User Manual,
and in a forthcoming paper by Freytag (2009).
The 12
model that we use in this paper, called st35gm03n07, was produced by of
intensive calculations corresponding to about 7.5 years
of simulated stellar time. It has a numerical resolution of
8.6
within
a cube of 2353 grid points.
The model parameters are a luminosity of
,
an effective temperature of
K,
a radius of
,
and correspondingly a surface gravity of
.
These values are
averages over both spherical shells and time (over the past year), and
the errors are one standard deviation fluctuations with respect to the
average over time.
We define the stellar radius, R, and the effective
temperature,
,
as follows.
First, we compute the average temperature and luminosity over spherical
shells, T(r),
and L(r). We then search the
radius R for which
,
where
is the
Stefan-Boltzmann constant. The effective temperature is then
.
Figure 1
shows the value of the radius, temperature, and luminosity over the
past 3.5 years.
The radius drifts by about
per year and seems to have stabilised to
in the last
year. Over the
entire sequence
fluctuates by
,
and has a constant average value. The luminosity fluctuations are of
the order of
,
reflecting the temperature variations, with a decrease of about
per year in the first few years, reflecting the radius decrease. These
drifts indicate that the simulation has not completely converged in the
first few years. In this work, we consider the entire 3.5 year
sequence, despite the small radius drift, to obtain better statistics.
The preceding 4 years of the simulation are not considered here, since
they show
larger drifts. The interferometric observables derived in this work are
insensitive to the drift in the parameters.
This is our most successful RHD simulation so far because it
has stellar parameters
closest to those of real RSGs (e.g., 3650 K for Ori,
Levesque et al.
2005). We are developing additional simulations with
different stellar
parameters and will present the analysis of these simulations in a
forthcoming paper.
![]() |
Figure 1:
Radius (Panel A), luminosity (Panel B)
and temperature (Panel C) as a function of
time for the simulation used in this work. The radius is fitted with
the law: |
Open with DEXTER |
2.2 Radiative transfer code: OPTIM3D
We developed a 3D pure LTE radiative transfer code, OPTIM3D, to
generate synthetic spectra and intensity maps from snapshots of the 3D
hydrodynamical simulations, taking into account the Doppler shifts
caused by the convective motions. The radiation transfer is calculated
in detail using pre-tabulated extinction coefficients generated with
the MARCS code (Gustafsson
et al. 2008). These tables are functions of
temperature, density, and wavelength, and were computed by assuming the
solar composition of Asplund
et al. (2006). The tables include the same extensive
atomic and molecular data as the MARCS models. They were constructed
with no micro-turbulence broadening and the temperature and density
distribution was optimized to cover the values encountered in the outer
layers of the RHD simulations. The wavelength resolution is
and we checked that this resolution is sufficient to ensure an accurate
calculation of broadened line profiles of RSGs even after interpolation
of the opacity at the Doppler shifted wavelengths.
The monochromatic intensity emerging towards the observer at a
given position on the simulation can be computed by integrating
the source function along a ray perpendicular to a face of the cube, at
that position. In LTE it is given by:
where










In practice, once the input simulation is read, OPTIM3D interpolates the opacity tables in temperature and logarithmic density for all the simulation grid points using a bi-linear interpolation. The interpolation coefficients are computed only once, and stored. Bi-linear interpolation was chosen instead of spline interpolation because: (i) spline interpolation is significantly more time consuming, and (ii) comparisons with other codes do not indicate that great improvements can be achieved using splines (see below). The logarithmic extinction coefficient is then linearly interpolated at each Doppler-shifted wavelength in each cell along the ray, and the optical depth scale along the ray is calculated. Equation (1) is then integrated, inferring the intensity emerging towards the observer at that wavelength and position. This calculation is performed for every line-of-sight that is perpendicular to the face of the computational box, for all the required wavelengths.
Table 1: Gauss-Laguerre quadrature weights for n=10.
Comparisons with existing codes were carried out.
The spectral synthesis code Turbospectrum (Plez et al. 1993;
Alvarez & Plez 1998,
and further improvements by Plez) was used with one-dimensional MARCS
models, where the source function was very well sampled on the -scale.
OPTIM3D computations completed with bi-linear interpolation deviate by
less than
,
and the deviation decreases to 0.2
with spline interpolation.
We also checked OPTIM3D against Linfor3D (Cayrel et al. 2007
for the Non-LTE version, and
for the LTE version) using 3D CO5BOLD local
models. We compared synthetic spectra computed for three artificial
iron lines (of increasing strength) centered on a laboratory wavelength
of 5500 Å using the same abundances. The discrepancy between
the results of the codes was less than 3
and was even less than 0.2
when a spline interpolation of the opacity tables was used in OPTIM3D
(with a significant increase in the CPU time). Finally, comparisons
were made with the spectral line formation code used by, e.g., Asplund (2000) for 3D
local convection simulations carried out with the code by Stein & Nordlund (1998)
for giant stars (Collet
et al. 2007). The tests were carried out on the [OI]
line at 6300.3 Å and various Fe I and Fe II
lines around 5000 Å. The discrepancies between the resulting
synthetic spectra were less than 2
,
and became even less than 0.6
when a spline interpolation of the opacity tables is used in OPTIM3D.
Thus, the interpolation is the main source of error. In conclusion, if
only a few lines are computed for, e.g., accurate abundance
determinations, Linfor3D or the Asplund code are superior because they
mostly avoid interpolations into opacity tables. The code used by
Asplund performs bi-cubic interpolations of both the continuum
opacity and the individual number densities, whereas we interpolate the
total opacity from all lines contributing at a given
wavelength, which is in principle less accurate. Therefore, when a
large wavelength range must be calculated by taking into account many
molecular and atomic lines simultaneously, OPTIM3D is superior, faster
choice, which still provides results with an accuracy of a few percent.
3 Simulated images in the H and K bands: giant convective cells
We analyze the properties of the simulations in the H
and K bands, where many interferometric
observations were completed, and existing interferometers, e.g.,
VLTI/AMBER, operate routinely. We calculated intensity maps for a
series of snapshots about 23 days apart covering 3.5 years of the model
described above. We used the transmission curve of the four K
band filters mounted on FLUOR (Fiber Linked Unit for Optical
Recombination; Coude Du
Foresto et al. 1998), and the H
band filter mounted on IONIC (Integrated Optics Near-infrared
Interferometric Camera; Berger
et al. 2003) at the IOTA interferometer (Traub et al. 2003).
The K band filters (Fig. 2) are: K203
(with a central wavelength of 2.03 m), K215 (2.15
m), K222 (2.2
m), and K239 (2.39
m). The H band filter has a
central wavelength of 1.64
m
(Fig. 3).
The resulting intensities reported in this work are normalized to the
filter transmission as
where
is the intensity and
is the transmission curve of the filter at a certain wavelength. The
intensity maps are showed after applying a median [
]
smoothing (see Sect. 5).
![]() |
Figure 2:
The transmission curves of the 4 narrow band filters mounted on the
FLUOR instrument at IOTA together with the K band
synthetic spectrum of a snapshot of the simulation and the
corresponding continuum (bottom black curve). From the top, the spectra
computed with only H2O (red), only CO (green),
and only CN (blue) are shown with an offset of, respectively, |
Open with DEXTER |
![]() |
Figure 3:
The transmission curve of the filter mounted on IONIC at IOTA together
with the H band synthetic spectra computed as in
Fig. 2.
From the top, the offset of the spectra is |
Open with DEXTER |
It can be seen from our simulations (see Fig. 4)
that the surface of the stellar model is covered by a few large
convective cells of size between about 400 and 500
that evolve
on a timescale of years.
These cells have strong downdrafts that can penetrate
to the stellar core (Freytag et al. 2002, 2009, in preparation).
Close to the surface, there are short-lived (a few months to one year)
small-scale (50 to 100
)
granules (bottom panels of Fig. 4).
Freytag et al.
(1997) found a relation between the mean horizontal size of
convective granules
and the atmospheric pressure scale-height defined as
for GK dwarfs and subgiants. It is unclear if this relation can be
extrapolated to 3D simulations of RSGs. Using it we find that
,
for parameters appropriate to a RSG atmosphere dominated by gas
pressure. Obviously, this leads to a size much smaller than can be seen
in Fig. 4.
Freytag et al.
(1997) found that a value of
would fit 2D simulations for GK dwarfs and subgiants, but they also
showed that A-type and F-type stars lie above the curve indicating that
they have larger granules. These stars have high turbulent pressure
that may dominate over the gas pressure in turbulent convective layers.
Following Gustafsson
et al. (2008), we write
,
where
is the turbulent velocity,
is the gas density, and
is a parameter close to one, whose value depends on the anisotropy of
the velocity field. A clearer way to express
is thus
,
where
is the adiabatic exponent, and
the sound speed. If
is only a factor of 2 larger than
,
is increased by a factor of about 5. This is the case for our RSG
simulation, where
at the surface, R*, as
determined in Sect. 2.1.
This implies then that
,
after extrapolating Freytag
et al. (1997) formula. This is more consistent with
the properties of the large granules visible on intensity maps in
Fig. 4.
Additional mechanisms might influence the size of the granules: (i) in
RSGs, most of the downdrafts will not grow fast enough to reach any
significant depth before they are swept into the existing deep and
strong downdrafts enhancing the strength of neighboring downdrafts;
(ii) radiative effects and smoothing of small fluctuations can cause an
enhancement in the growth time for small downdrafts, while the granule
crossing time is short because of the large horizontal velocities;
(iii) sphericity effects, see for example (Steffen & Freytag 2007;
Freytag
& Ludwig 2007); (iv) Freytag et al. (1997)
use both the effective temperature and the pressure scale height at the
bottom of the photosphere as a reference, although layers below the
photosphere also matter; and (v) numerical resolution (or lack of it)
could also have an effect.
![]() |
Figure 4:
Top 6 panels: maps of the intensity in the
IONIC filter (linear scale with a range of [0;
|
Open with DEXTER |
4 Intensity profiles
The simulated RSG atmospheres appear very irregular both in their structure and dynamics. The surface inhomogeneities and their temporal evolution induce strong variations in the emerging spectra, and intensity profiles. In this section, we analyse the average centre-to-limb intensity profiles, and their time variations.
4.1 Surface inhomogeneities and temporal evolution
The top left panel of Fig. 5 shows a
three-dimensional image representation of the intensity emerging from
one face of a snapshot of the simulation in the H
band. The K band appearance is similar. This image
shows very sharp intensity peaks, two to three pixels wide. This is
also evident in the top right panel of the figure as small bright (up
to
brighter than the surrounding points) patches. These patches reflect
the ill-conditioning of the source function, because of a lack of
spatial resolution
around
along some lines of sight, where the source function may have a
significant discontinuity
(see Sect. 2.2).
Attempts were made to solve this problem by interpolating the source
function and opacity inside CO5BOLD, although
this led to numerical instabilities. The only possible solution is to
increase the number of grid points, which would require larger and
faster computers.
Radial intensity profiles within a given snapshot exhibit
large variations with position angle in
their radial extension of about
(see bottom left panel of Fig. 5). The
variation with time in the intensity profiles are of the same order of
magnitude (10
,
see
bottom right panel of figure).
![]() |
Figure 5:
Top left panel: three-dimensional image of a
snapshot from Fig. 4.
Top right panel: intensity map of the same
snapshot represented using the histogram equalization algorithm to
underline the thin bright patches because of the undersampling of the |
Open with DEXTER |
4.2 The limb darkening law
Despite the large azimuthal variations in the intensity profiles, and their temporal variations, it is interesting to derive radially averaged intensity profiles for each snapshot. These may be be used, e.g., as a first approximation when interpreting interferometric observations, instead of limb-darkening (LD) laws computed from hydrostatic models (Claret 2000). The bottom right panel of Fig. 5 shows all the radially averaged intensity profiles obtained from the simulation.
We use a LD law of the form
where


















Table 2: Time-averaged limb-darkening coefficients for the RHD simulation.
In Table 2, we present the values of the four LD coefficients averaged over all 3.5 years, renormalized to the disk center, for both the IONIC H-band filter, and the K222 filter (because the sensitivity of the FLUOR instrument is always superior in the continuum than in the molecular bands (Perrin et al. 2004b), and it samples the maximum transmission region of the K band). Figure 6 shows an example of a LD fit. The intensity profiles for different position angles in the same snapshot are very different (see Fig. 5, bottom left panel), the fitting coefficients having large scatter. The time averaged LD fits provides, however, an indication of the shape of the intensity profile in the H and K bands (we note that they are very similar). They differ of course very much from simple first order LD laws. They also differ from LD laws calculated by Claret (2000) for parameters appropriate to RSGs (see Fig. 7). When comparing with observations of RSGs, we recommend the use of our fits. Ideally, one should use single snapshots, as we do below in our analysis of Betelgeuse, because they may deviate from the average LD fit by large amounts (see Table 2).
![]() |
Figure 6:
Example of a LD fit (dashed line) using the LD law described in the
text for the radially averaged intensity profile (solid line)
emphasized in Fig. 5 (bottom
right panel). The intensity is normalized to the area subtended by the
curve. This best-fit model has a |
Open with DEXTER |
![]() |
Figure 7: The time-averaged H-band radial intensity profile of our simulation (solid line), and the fit of Table 2 (dashed line). A fully LD (dash-dotted line), a partially LD (triple dot-dashed line), and a LD fit from Claret (2000, dotted line) for comparable RSG parameters are plotted for comparison. |
Open with DEXTER |
5 Visibility curves and phases
The granulation pattern has a significant impact on the interferometric visibility curves and phases. We attempted here to derive their characteristic signature.
5.1 Computation
We computed visibilities and phases using the IDL data visualization
and analysis platform. For each image, a discrete Fourier transform was
calculated. To reduce the problems caused by the finite size of the
object and avoid edge effects, the resolution in the Fourier plane was
increased by resampling the input pixel
image to a grid size of
pixels.
The visibility V was defined as the modulus |z|
of the complex Fourier transform,
,
normalized to the modulus at the origin of the frequency plane,
|z0|, with the phase
.
When dealing with observations, the natural spatial frequency (
)
unit is arcsec-1.
Since we study theoretical models, we instead use
units.
The conversion factor between these is
where 214.9 is the astronomical unit expressed in solar radii, and d is the distance of the observed star. The relation between the baseline, B (in m), of an interferometer, and the spatial frequency




![$[3\times 3]$](/articles/aa/full_html/2009/42/aa11780-09/img18.png)



![]() |
Figure 8:
The solid line is the visibility curve for the IONIC filter intensity
map of Fig. 5
(top right). The dotted line is computed for the same map after
applying a |
Open with DEXTER |
We now study the first few lobes of the visibility curves of our simulations, and how they are affected by asymmetries and surface structure.
5.2 The first lobe
The first lobe of the visibility curve is mostly sensitive to the
radial extension of the observed source. Figure 9 (bottom panel)
shows the visibility curves computed for 36 different angles from the
intensity map of one snapshot in the IONIC filter (top panel). A
dispersion of the visibility curves (thin grey lines in Fig. 9)
is noticeable. This behavior is similar for all the snapshots. These
synthetic visibilities have been compared with a uniform disk (UD)
model (solid line in Fig. 9), and with
limb-darkened (LD) models. We use both a fully limb-darkened disk (
,
dotted-dashed line in the figure), and a partially limb-darkened model
with a1=-0.5 (
,
dashed line in the figure).
The radius determined by fitting a UD disk model to the computed
visibilities ranges
from 794 to 845
for the 36 angles, and is up to 5
smaller than
,
the radius of the simulation determined as described in Sect. 2.1.
The partially-, and fully-darkened models are respectively
2%, and only
1% smaller
than
.
In Fig. 9,
we also show the visibility amplitude resulting from our average LD fit
of Table 2.
The resulting diameter is then 842
,
very close to the simulation radius. We note, that Nardetto et al. (2006)
also found that the UD radius is about 4 to 5
smaller than the photospheric radius in their simulation of Cepheids,
and that the LD radius is much closer to the radius of their
simulation.
Stellar diameters determined with UD or LD fits to the observed first
visibility lobe of RSGs will be affected
by these systematic errors. As shown below, observations of higher
spatial frequencies
will greatly improve the knowledge of both limb-darkening and
asymmetries, thus helping the radius to be more tightly
constrained.
![]() |
Figure 9:
Top panel: intensity map in the IONIC filter
(the range is [0;
|
Open with DEXTER |
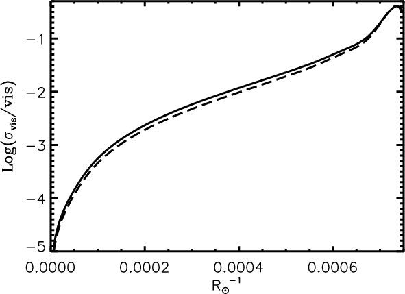
It is interesting to compare the angular and temporal visibility
fluctuations at one standard deviation, defined as ,
where vis is the visibility: (i) the temporal evolution,
fixing one angle and following the RHD simulation for
3.5 years with a time-step of
23 days; (ii) the angular
evolution, considering a single snapshot and computing the
visibilities for 36 different angles 5
apart. In the first lobe, Fig. 10 shows that
temporal and angular fluctuations have the same order of magnitude. The
fluctuations are less than 1% at frequency
0.00040
(at this frequency, the visibility is greater than
), they are
3% at
frequency 0.00057
,
and are close to
10%
at 0.00069
.
![]() |
Figure 10: Standard deviation of the visibility normalized to the visibility in the first lobe. The solid line indicates the temporal fluctuations for one fixed angle over 3.5 years. The trend is similar for all other angles. The dashed curve corresponds to the angular fluctuations of the snapshot in Fig. 9. |
Open with DEXTER |
![]() |
Figure 11: Same as Fig. 9 for the second, third, and fourth lobes. In addition, the dotted line is the visibility curve for the particular azimuth parallel to the x-axis of the IONIC intensity map of Fig. 9. |
Open with DEXTER |
5.3 The second, third, and fourth lobes: signature of convection
As in Sect. 5.2,
we analyze the angular and temporal visibility fluctuations at one
sigma with respect to the average value in the H
band (IONIC filter). Figure 11 shows an
enlargement of the second, third, and fourth lobes of the visibility
curves
computed for different position angles. The dispersion clearly
increases with spatial frequency, and visibilities deviate
significantly from the UD or LD cases, because of the small scale
structure in the model stellar disk. The same is true for temporal
fluctuations of the visibility at a given position angle.
Figure 12
shows the temporal fluctuations of the visibilities for one fixed
position angle, as well as the angular fluctuations for the snapshot of
Fig. 9.
As for the first lobe, there is no clear distinction between angular
and temporal fluctuations. Relative fluctuations are of course large
around the minima of visibility, where visibilities are also more
difficult to measure. However, with the precision of current
interferometers
(e.g., 1% for visibilities of 5-10% for VLTI-AMBER), it
should be possible to characterize the granulation pattern of RSGs.
This requires observing the third and the fourth lobes and not limiting
the observation at the first and second lobes, which only provide
information about the radius and LD. The signal to be expected in these
lobes is higher than the UD or LD predictions (see dashed line in
Fig. 11).
Efforts should therefore be directed toward observing at these
frequencies.
![]() |
Figure 12: Same as Fig. 10 for the second, third, and fourth lobe. |
Open with DEXTER |
It may however be that approximations in our model (e.g., limited
spatial resolution, grey radiative transfer) significantly affect the
intensity contrast of the granulation. The radiation transfer in our
RHD models indeed uses a frequency-independent grey treatment to speed
up the calculations. This approximation leads to errors in the mean
temperature structure within the optically thin layers that are
difficult to quantify. The implementation of non-grey opacities can
decrease the temperature fluctuations compared to the grey case (e.g., Ludwig et al. 1994,
for local RHD models). As a consequence, the intensity contrast will
decrease, reducing the visibility fluctuations. To investigate its
impact on visibilities, we artificially decrease the intensity contrast
in one of our images, and use the snapshot with its nominal intensities
as reference. We first fit a LD law (as in Sect. 4)
to the radially average intensity profile. After subtracting this
average profile from the intensity map,
we obtain the fluctuations caused by granulation, and measure the
contrast =
.
It is then easy to scale this contrast before again adding the LD
profile, to produce a reduced contrast image. An example of the
resulting intensities is shown in Fig. 13 (top
row). With a contrast of only 1% with respect to the nominal value,
small surface structures are hardly visible. As previously, we
determine
for all the images with various contrasts,
around the top of the second (
0.0010
), third (
0.0016
),
and fourth lobes
(
0.0022
).
The bottom left panel of Fig. 13 shows
that when
the contrast is reduced, and the surface structures fade, the resulting
visibility fluctuations similarly decrease in all the lobes (almost in
proportion to the intensity contrast decrease). Reducing the contrast
of course brings the visibility curves towards the visibility of the LD
profile (Fig. 13,
bottom right panel). This proportionality can be used to determine the
granulation contrast from observations of the visibility fluctuations
with time or position angle.
![]() |
Figure 13:
Top left panel: three-dimensional image of a
snapshot with nominal intensities. Top right panel:
same snapshot with a feature contrast reduced to 1%. Bottom
left panel: standard deviation of the visibility curves at
36 angles 5 |
Open with DEXTER |
5.4 Importance of spectral resolution in interferometry: the H and K bands
Interferometric observations completed with a broad-band filter combine
information about the lines and continuum.
Higher spectral resolution allows us to recover for more information,
about both visibility moduli and phases. The VLTI-AMBER interferometer
provides spectral resolutions of R=35, 1500, and
12 000. To illustrates the differences between these
resolutions, we compute intensity maps around the CO first overtone
line at 23041.75 Å (
and
eV)
for the three resolutions (Fig. 14). The
resulting images are shown in the central row of the figure, and the
spectrum
in the top row. The contrast, defined as in the previous section, is
similar for the low and medium resolution images but is
30% lower in
the high resolution image, at the CO line wavelength. Large
fluctuations are visible in all lobes, but they are smaller than those
seen in the H band IONIC filter
(see Fig. 12).
The visibility fluctuations in the high spectral resolution image of
the CO line are larger (second, third, and fourth lobes; see dotted
line in bottom panel), in spite of a lower intensity contrast,
presumably because of the darkening of large patches of
the simulated stellar surface.
![]() |
Figure 14: Top row: synthetic spectrum centered on the CO first overtone band head. The left panel shows the range of wavelengths spanned by one resolution element at the VLTI-AMBER low spectral resolution of 35. The right panel shows the same for the VLTI-AMBER medium spectral resolution of 1500, and the high spectral resolution of 12 000 (thick mark). Central row: intensity maps for those three spectral resolution elements. The intensity range is [0;105] erg cm-2 s-1 Å-1. Bottom row: standard deviation of the visibility in the second, third, and fourth lobes. Solid and dashed lines correspond to low and medium resolution, respectively, and the dotted line to high resolution. |
Open with DEXTER |
We also computed wavelength-dependent visibility curves in the
H band for the high and medium VLTI-AMBER
resolutions. Figure 15
displays a three-dimensional view of the visibility curves with a
resolution of 12 000 and 1500 (top panels). The simulated star
was scaled to an apparent diameter of 43.6 mas (the
observed diameter of
Ori,
Perrin et al.
2004a). The displacement of the zeropoints with wavelength is
easily seen, as well as the amplitude variations
in the higher frequency lobes.
To simulate differential observations with an interferometer
at medium and high spectral resolution, in Fig. 15, we also show
the variation in the visibility modulus with wavelength for a fixed
baseline (15 m, i.e., in the second lobe, at ).
The visibility shows variations related to the flux spectrum, which
decreases in absorption lines. At these wavelengths, wiggles and dark
spots appear on intensity maps (Fig. 14,
central right panel) increasing the visibility signal at frequencies
higher than the second lobe. The visibility variations are attenuated
significantly at lower spectral resolution. Observations at wavelengths
of a spectral line and the nearby continuum probe different atmospheric
depths, and thus layers at
different temperatures. They thus provide important information about
the wavelength dependence of limb darkening. Since the horizontal
temperature and density fluctuations depend on the atmospheric depth,
differential observations with relative phase determination provide
unique constraints on the granulation pattern.
The visibility variations in Fig. 15, such as the
steep visibility jump from 0.123 to 0.107 between 1.5975 and 1.5980
m,
could be measured in differential interferometric mode at high spectral
resolution with the current precision
of VLTI-AMBER (1% for visibilities of
5-10%), with optimal sky
conditions.
![]() |
Figure 15:
Top left panel: three-dimensional view of
the visibility curves as a function of wavelength for a particular
position angle. The spectral resolution is 12 000. Top
right panel: same as in top left panel at a spectral
resolution of 1 500. Bottom panel:
visibility as a function of wavelength for a baseline of |
Open with DEXTER |
5.5 Closure phase: departure from circular symmetry
Since terrestrial atmospheric turbulence affects the phases of the
complex visibilities with random errors, it is impossible to derive
them for individual pairs of telescopes. One instead uses closure phase
between three telescopes, because the sum of all phase differences
removes the atmospheric contribution,but not the phase information of
the object visibility (see e.g., Monnier
2007).
The closure phase is thus an important complementary piece of
information, which can detect asymmetries in the RSG atmospheres.
Figure 16
shows the scatter plot of the closure phase of one snapshot of the RHD
model computed in the IONIC filter (the scatter is similar for the K222
filter). The behavior is similar for all snapshots. We used 500 random
baseline triangles with a maximum linear extension of 40 m, and plot
the closure phase as a function of the
triangle maximum baseline. The closure phases deviate from zero or
already at
10
m (0.0008
,
if we scale the model to an apparent diameter of 43.6 mas at a
distance of 174.3 pc).
At higher baselines, it clearly differs from zero or
,
values that are indicating of a point symmetric brightness
distribution.
This is a clear signature of surface inhomogenities. The characteristic
size distribution on the stellar surface can also be derived from the
closure phase: the contribution of small-scale convection-related
surface structures increases with frequency. The first deviation at
0.0008
(just
beyond the first zero, see Fig. 11) corresponds
to the deviation of the stellar disk from circular symmetry.
It may be very efficient to constrain the level of asymmetry of RSG
atmospheres
by accumulating statistics on closure phase at short and long
baselines, since they are easily measured to high precision. A small
departure from zero immediately inters a departure from symmetry.
![]() |
Figure 16:
Scatter plot of closure phases in the IONIC filter centered on
1.64 |
Open with DEXTER |
We also computed the closure phase for the different K band VLTI-AMBER spectral resolution intensity maps of Fig. 14. The large deviations from circular symmetry are already noticeable at low spectral resolution (Fig. 17, left panels) and the closure phase scatter does not differ much from that at high spectral resolution (right panel). This provides the possibility of detecting asymmetries caused by granulation without being compelled to observe at high spectral resolution.
![]() |
Figure 17: Scatter plot of closure phases (cf. Fig. 16 for details) obtained from the VLTI-AMBER K band low, and high spectral resolution intensity maps (Fig. 14, central left, and right panels). |
Open with DEXTER |
6 Comparison with interferometric observations of
Ori
A preliminary comparison of our model predictions with true
observations is possible for Ori. We compare the
synthetic visibilities derived from our RHD simulations in the
continuum filter K222 (Fig. 2) with the
observation of
Ori
by Perrin et al.
(2004a) that reach the third lobe in the K
band.
The absolute model dimensions were scaled to match the interferometric
observation in the first lobe. This corresponds to an apparent diameter
of 43.6 mas at a distance of 179 pc. These values
agree with those of Perrin
et al., who found a diameter of
mas,
and Harper et al.
(2008), who reported a distance of
pc.
We computed over 2000 visibility curves and we found that the
data can be described by visibility fluctuations caused by the
granulation of the simulation (Fig. 18), as
already shown in Chiavassa
et al. (2007). Among this large number of visibility
curves, we find some that match all the observational datapoints with
greater accuracy than the uniform disk (with a diameter of 43.33 mas; Perrin et al. 2004a),
or limb-darkened disk model (linear-limb darkening law, ,
with a diameter of 43.64 mas and a=0.09 also in Perrin et al.,
see Fig. 18).
The best-fit model solution corresponded to a reduced
, and all
the visibility curves fall within a
range of [0.21, 18.1]. Our RHD simulations represent a great
improvement over parametric models (the UD model with reduced
,
and the LD model with
) when
interpreting these interferometric observations. The observation
datapoints in the first, second, and third lobes can be reproduced by a
single visibility curve, from the projection at a particular position
angle of one of our snapshots (see Fig. 18). There
is one observed point in the first lobe at 24.5 arcsec-1
that is difficult to reproduce. Adjustments to the absolute model
dimensions of the star required to reproduce this datapoint, would lead
to mismatch of the other observations at higher frequencies. However,
this may be a problem when calibrating the observation.
A more detailed comparison with Ori data in the H
band (Haubois
et al. 2006) will be presented in a forthcoming
paper (Chiavassa et al. 2009, in prep.)
![]() |
Figure 18:
Comparison of the RHD simulation with the |
Open with DEXTER |
7 Conclusions
Our radiation hydrodynamical simulations have confirmed that only a few
large granules cover the surfaces of RSG stars. The granules in the
simulation that we analyze here are 400-500
in diameter, and have lifetimes of years. Smaller scale structures
develop and evolve within these large granules, on shorter timescales
(of a month).
We have demonstrated that RHD simulations are essential to a
proper quantitative analysis of interferometric observations of the
surface of RSGs beyond the smooth, symmetrical, limb-darkened intensity
profiles. We present new average limb darkening coefficients within the
H and K bands, which differ
significantly from those commonly used in UD or LD profiles. However,
these LD coefficients fluctuate with time, and the average is only
indicative.
Our model surface granulation causes angular and temporal variations in
both visibility amplitudes and phases. In the first lobe, which is
sensitive to radius, fluctuations can be as high as 5,
and radii determinations can be affected to this extent: the radius
determined with a UD fit is 3-5% smaller than the radius of the
simulation, while the radius determined with a fully LD model is 1%
smaller.
The second, third, and fourth lobes, which carry a signature
of both limb-darkening and smaller scale structure, are very different
from the simple LD case. The visibility amplitudes
can be greater than the UD or LD case, and closure phases differ
significantly from 0 and ,
because of a departure from circular symmetry.
The visibilities also show fluctuations with both position angle and
time, which are directly related to the granulation contrast. We also
want to emphasize that data at high spectral resolution provides
extremely valuable information. The stellar surface differs
dramatically between images of absorption line and its nearby
continuum, and differential observations should be easier to carry out
with high precision. At lower resolution (e.g. R=1500),
continuum and line information become mixed and there is a considerable
loss of differential signal.
We conclude that the detection of the signature of granulation, as predicted by our simulation, is measurable with todays interferometers, if observations of both amplitude and closure phase are made at high spatial frequencies (second, third, and fourth lobes, or even higher if possible). These observations will provide direct information about the timescale of the variation, and the size and contrast of granulation.
A few RSGs are prime targets for interferometry, because of their large diameter, proximity, and high infrared luminosity. Only 4 or 5 are sufficiently close and bright for imaging to be possible, but a larger number (10-20) are within reach of less ambitious programs, such as closure phase measurements.
Three approaches can be combined to characterize the granulation pattern by
- searching for angular visibility variations, observing with the same telescope configuration (covering high spatial frequencies) and using the Earth's rotation to study 6-7 different position angles in one night, should be sufficient, if measurement errors can be kept below 10%, for visibilities of the order of between 5 and 10%. One or two other telescope configurations would provide more frequency points, but the change of configuration would then have to be made within days, which is possible at VLTI;
- looking for temporal visibility fluctuations by observing
at two (preferably more) epochs
1 month apart with the same telescope configuration. This can easily be scheduled with existing interferometers, such as CHARA or the VLTI;
- looking for visibilities as a function of wavelength, at
high spectral resolution, in different spectral regions belonging to
both spectral features and continuum. If measurement errors can be kept
close to 1%, for visibility of the order of
10%, variations in the visibility correlated with the flux spectrum could be detected, indicating variations in the radius, the limb-darkening, or the granulation pattern. These relative measurements are more easily completed at the required precision than absolute visibility measurements.
The approximation of grey radiative transfer is only justified in the stellar interior and is inappropriate in the optically thin layers. The implementation of non-grey opacities (e.g., five wavelength groups employed to describe the wavelength dependency of the radiation field within a multigroup radiative transfer scheme, see Nordlund 1982, for details) would provide an important improvement to the hydrodynamical simulations. For local RHD simulations, Ludwig et al. (1994) found that frequency-dependent radiative transfer causes an intensified heat exchange of a fluid element with its environment, which tends to reduce the temperature differences. Consequently, the temperature fluctuations in the non-grey local models are smaller than in the grey case. This is also expected for global RSG models, and the result of such a decrease in the temperature fluctuations, would be a decrease in both the intensity contrast and the visibility fluctuations.
AcknowledgementsThis project was supported by the French Ministry of Higher Education through an ACI (PhD fellowship of Andrea Chiavassa, postdoc fellowship of Bernd Freytag, and computational resources). Present support is ensured by a grant from ANR (ANR-06-BLAN-0105). We are also grateful to the PNPS and CNRS for their financial support through the years. We thank the CINES for providing some of the computational resources necessary for this work. We thank Michel Belmas and Philippe Falandry for their help. Part of this work was made while BPz was on sabbatical at Uppsala Astronomical Observatory. We thank Bengt Gustafsson, Hans-Gunter Ludwig, John Monnier, Martin Asplund, Nik Piskunov, and Nils Ryde for enlightening discussions.
References
- Abramowitz, M., & Stegun, I. A. 1972, Handbook of mathematical functions, 9th edn. (New York: Dover publications, INC.)
- Alvarez, R., & Plez, B. 1998, A&A, 330, 1109 [NASA ADS]
- Asplund, M. 2000, A&A, 359, 755 [NASA ADS]
- Asplund, M., Grevesse, N., & Sauval, A. J. 2006, Commun. Asteroseismol., 147, 76 [NASA ADS] [CrossRef]
- Berger, J.-P., Haguenauer, P., Kern, P. Y., et al. 2003, in Interferometry for Optical Astronomy II, ed. W. A. Traub. Proc. SPIE, 4838, 1099
- Carr, J. S., Sellgren, K., & Balachandran, S. C. 2000, ApJ, 530, 307 [NASA ADS] [CrossRef]
- Cayrel, R., Steffen, M., Chand, H., et al. 2007, A&A, 473, L37 [NASA ADS] [CrossRef] [EDP Sciences]
- Chiavassa, A., Plez, B., Josselin, E., & Freytag, B. 2006, in EAS Publ. Ser. 18, ed. P. Stee, 177
- Chiavassa, A., Plez, B., Josselin, E., & Freytag, B. 2007, in SF2A-2007: Proceedings of the Annual meeting of the French Society of Astronomy and Astrophysics held in Grenoble, France, ed. J. Bouvier, A. Chalabaev, & C. Charbonnel, 447
- Claret, A. 2000, A&A, 363, 1081 [NASA ADS]
- Collet, R., Asplund, M., & Trampedach, R. 2007, A&A, 469, 687 [NASA ADS] [CrossRef] [EDP Sciences]
- Coude Du Foresto, V., Perrin, G., Ruilier, C., et al. 1998, in Astronomical Interferometry, ed. R. D. Reasenberg, Proc. SPIE, 350, 856
- Cunha, K., Sellgren, K., Smith, V. V., et al. 2007, ApJ, 669, 1011 [NASA ADS] [CrossRef]
- Cuntz, M. 1997, A&A, 325, 709 [NASA ADS]
- Freytag, B., & Höfner, S. 2008, A&A, 483, 571 [NASA ADS] [CrossRef] [EDP Sciences]
- Freytag, B., & Ludwig, H.-G. 2007, in SF2A-2007: Proceedings of the Annual meeting of the French Society of Astronomy and Astrophysics held in Grenoble, France, ed. J. Bouvier, A. Chalabaev, & C. Charbonnel, 481
- Freytag, B., Holweger, H., Steffen, M., & Ludwig, H.-G. 1997, in Science with the VLT Interferometer, ed. F. Paresce, 316
- Freytag, B., Steffen, M., & Dorch, B. 2002, Astron. Nachr., 323, 213 [NASA ADS] [CrossRef]
- Gray, D. F. 2008, AJ, 135, 1450 [NASA ADS] [CrossRef]
- Gustafsson, B., Edvardsson, B., Eriksson, K., et al. 2008, A&A, 486, 951 [NASA ADS] [CrossRef] [EDP Sciences]
- Harper, G. M., Brown, A., & Guinan, E. F. 2008, AJ, 135, 1430 [NASA ADS] [CrossRef]
- Hartmann, L., & Avrett, E. H. 1984, ApJ, 284, 238 [NASA ADS] [CrossRef]
- Haubois, X., Perrin, G., Lacour, S., et al. 2006, in SF2A-2006: Semaine de l'Astrophysique Française, ed. D. Barret, F. Casoli, G. Lagache, A. Lecavelier, & L. Pagani, 471
- Hauschildt, P. H., Baron, E., & Allard, F. 1997, ApJ, 483, 390 [NASA ADS] [CrossRef]
- Iglesias, C. A., Rogers, F. J., & Wilson, B. G. 1992, ApJ, 397, 717 [NASA ADS] [CrossRef]
- Josselin, E., & Plez, B. 2007, A&A, 469, 671 [NASA ADS] [CrossRef] [EDP Sciences]
- Levesque, E. M., Massey, P., Olsen, K. A. G., et al. 2005, ApJ, 628, 973 [NASA ADS] [CrossRef]
- Levesque, E. M., Massey, P., Olsen, K. A. G., et al. 2006, ApJ, 645, 1102 [NASA ADS] [CrossRef]
- Levesque, E. M., Massey, P., Olsen, K. A. G., & Plez, B. 2007, ApJ, 667, 202 [NASA ADS] [CrossRef]
- Ludwig, H.-G., Jordan, S., & Steffen, M. 1994, A&A, 284, 105 [NASA ADS]
- Massey, P., Levesque, E. M., Olsen, K. A. G., Plez, B., & Skiff, B. A. 2007, ApJ, 660, 301 [NASA ADS] [CrossRef]
- Monnier, J. D. 2007, New Astron. Rev., 51, 604 [NASA ADS] [CrossRef]
- Nardetto, N., Fokin, A., Mourard, D., & Mathias, P. 2006, A&A, 454, 327 [NASA ADS] [CrossRef] [EDP Sciences]
- Nordlund, A. 1982, A&A, 107, 1 [NASA ADS]
- Perrin, G., Ridgway, S. T., Coudé du Foresto, V., et al. 2004a, A&A, 418, 675 [NASA ADS] [CrossRef] [EDP Sciences]
- Perrin, G., Ridgway, S. T., Mennesson, B., et al. 2004b, A&A, 426, 279 [NASA ADS] [CrossRef] [EDP Sciences]
- Pijpers, F. P., & Hearn, A. G. 1989, A&A, 209, 198 [NASA ADS]
- Plez, B., Smith, V. V., & Lambert, D. L. 1993, ApJ, 418, 812 [NASA ADS] [CrossRef]
- Steffen, M., & Freytag, B. 2007, Astron. Nachr., 328, 1054 [NASA ADS] [CrossRef]
- Stein, R. F., & Nordlund, A. 1998, ApJ, 499, 914 [NASA ADS] [CrossRef]
- Traub, W. A., Ahearn, A., Carleton, N. P., et al. 2003, in Interferometry for Optical Astronomy II, ed. W. A. Traub, Proc SPIE, 4838, 45
Footnotes
- ... Manual
- www.astro.uu.se/ bf/co5bold_main.html
- ... and
- http://www.aip.de/ mst/Linfor3D/linfor_3D_manual.pdf
All Tables
Table 1: Gauss-Laguerre quadrature weights for n=10.
Table 2: Time-averaged limb-darkening coefficients for the RHD simulation.
All Figures
![]() |
Figure 1:
Radius (Panel A), luminosity (Panel B)
and temperature (Panel C) as a function of
time for the simulation used in this work. The radius is fitted with
the law: |
Open with DEXTER | |
In the text |
![]() |
Figure 2:
The transmission curves of the 4 narrow band filters mounted on the
FLUOR instrument at IOTA together with the K band
synthetic spectrum of a snapshot of the simulation and the
corresponding continuum (bottom black curve). From the top, the spectra
computed with only H2O (red), only CO (green),
and only CN (blue) are shown with an offset of, respectively, |
Open with DEXTER | |
In the text |
![]() |
Figure 3:
The transmission curve of the filter mounted on IONIC at IOTA together
with the H band synthetic spectra computed as in
Fig. 2.
From the top, the offset of the spectra is |
Open with DEXTER | |
In the text |
![]() |
Figure 4:
Top 6 panels: maps of the intensity in the
IONIC filter (linear scale with a range of [0;
|
Open with DEXTER | |
In the text |
![]() |
Figure 5:
Top left panel: three-dimensional image of a
snapshot from Fig. 4.
Top right panel: intensity map of the same
snapshot represented using the histogram equalization algorithm to
underline the thin bright patches because of the undersampling of the |
Open with DEXTER | |
In the text |
![]() |
Figure 6:
Example of a LD fit (dashed line) using the LD law described in the
text for the radially averaged intensity profile (solid line)
emphasized in Fig. 5 (bottom
right panel). The intensity is normalized to the area subtended by the
curve. This best-fit model has a |
Open with DEXTER | |
In the text |
![]() |
Figure 7: The time-averaged H-band radial intensity profile of our simulation (solid line), and the fit of Table 2 (dashed line). A fully LD (dash-dotted line), a partially LD (triple dot-dashed line), and a LD fit from Claret (2000, dotted line) for comparable RSG parameters are plotted for comparison. |
Open with DEXTER | |
In the text |
![]() |
Figure 8:
The solid line is the visibility curve for the IONIC filter intensity
map of Fig. 5
(top right). The dotted line is computed for the same map after
applying a |
Open with DEXTER | |
In the text |
![]() |
Figure 9:
Top panel: intensity map in the IONIC filter
(the range is [0;
|
Open with DEXTER | |
In the text |
![]() |
Figure 10: Standard deviation of the visibility normalized to the visibility in the first lobe. The solid line indicates the temporal fluctuations for one fixed angle over 3.5 years. The trend is similar for all other angles. The dashed curve corresponds to the angular fluctuations of the snapshot in Fig. 9. |
Open with DEXTER | |
In the text |
![]() |
Figure 11: Same as Fig. 9 for the second, third, and fourth lobes. In addition, the dotted line is the visibility curve for the particular azimuth parallel to the x-axis of the IONIC intensity map of Fig. 9. |
Open with DEXTER | |
In the text |
![]() |
Figure 12: Same as Fig. 10 for the second, third, and fourth lobe. |
Open with DEXTER | |
In the text |
![]() |
Figure 13:
Top left panel: three-dimensional image of a
snapshot with nominal intensities. Top right panel:
same snapshot with a feature contrast reduced to 1%. Bottom
left panel: standard deviation of the visibility curves at
36 angles 5 |
Open with DEXTER | |
In the text |
![]() |
Figure 14: Top row: synthetic spectrum centered on the CO first overtone band head. The left panel shows the range of wavelengths spanned by one resolution element at the VLTI-AMBER low spectral resolution of 35. The right panel shows the same for the VLTI-AMBER medium spectral resolution of 1500, and the high spectral resolution of 12 000 (thick mark). Central row: intensity maps for those three spectral resolution elements. The intensity range is [0;105] erg cm-2 s-1 Å-1. Bottom row: standard deviation of the visibility in the second, third, and fourth lobes. Solid and dashed lines correspond to low and medium resolution, respectively, and the dotted line to high resolution. |
Open with DEXTER | |
In the text |
![]() |
Figure 15:
Top left panel: three-dimensional view of
the visibility curves as a function of wavelength for a particular
position angle. The spectral resolution is 12 000. Top
right panel: same as in top left panel at a spectral
resolution of 1 500. Bottom panel:
visibility as a function of wavelength for a baseline of |
Open with DEXTER | |
In the text |
![]() |
Figure 16:
Scatter plot of closure phases in the IONIC filter centered on
1.64 |
Open with DEXTER | |
In the text |
![]() |
Figure 17: Scatter plot of closure phases (cf. Fig. 16 for details) obtained from the VLTI-AMBER K band low, and high spectral resolution intensity maps (Fig. 14, central left, and right panels). |
Open with DEXTER | |
In the text |
![]() |
Figure 18:
Comparison of the RHD simulation with the |
Open with DEXTER | |
In the text |
Copyright ESO 2009
Current usage metrics show cumulative count of Article Views (full-text article views including HTML views, PDF and ePub downloads, according to the available data) and Abstracts Views on Vision4Press platform.
Data correspond to usage on the plateform after 2015. The current usage metrics is available 48-96 hours after online publication and is updated daily on week days.
Initial download of the metrics may take a while.