Issue |
A&A
Volume 506, Number 3, November II 2009
|
|
---|---|---|
Page(s) | 1183 - 1198 | |
Section | Interstellar and circumstellar matter | |
DOI | https://doi.org/10.1051/0004-6361/200911845 | |
Published online | 27 August 2009 |
A&A 506, 1183-1198 (2009)
Low-mass protostars and dense cores in different evolutionary stages in IRAS 00213+6530
G. Busquet1 - Aina Palau1,2 - R. Estalella1 - J. M. Girart3 - G. Anglada4 - I. Sepúlveda1
1 - Departament d'Astronomia i Meteorologia (IEEC-UB), Institut de
Ciències del Cosmos, Universitat de Barcelona, Martí i Franquès 1,
08028 Barcelona, Catalunya, Spain
2 -
Centro de Astrobiología (CSIC-INTA), Laboratorio de Astrofísica
Estelar y Exoplanetas, LAEFF campus, PO Box 78, 28691 Villanueva de la
Cañada (Madrid), Spain
3 -
Institut de Ciències de l'Espai (CSIC-IEEC), Campus UAB,
Facultat de Ciències, Torre C-5 parell, 08193 Bellaterra,
Catalunya, Spain
4 -
Instituto de Astrofísica de Andalucía (CSIC), C/ Camino
Bajo de Huétor 50, 18008, Granada, Spain
Received 13 February 2009 / Accepted 27 July 2009
Abstract
Aims. The aim of this paper is to study with high angular
resolution a dense core associated with a low-luminosity IRAS source,
IRAS 00213+6530, in order to investigate whether low mass star
formation is taking place in isolation.
Methods. We carried out observations at 1.2 mm with the
IRAM 30 m telescope, and VLA observations in the continuum
mode at 6 cm, 3.6 cm, 1.3 cm and 7 mm, together
with H2O maser and NH3 lines toward IRAS 00213+6530. Additionally, we observed the CCS JN=21-10 transition, and H2O
maser emission using the NASA 70 m antenna at Robledo de Chavela,
Spain. We studied the nature of the centimeter and millimeter emission
of the young stellar objects (YSOs) found in the region, and the
physical properties of the dense gas and dust emission.
Results. The centimeter and millimeter continuum emission,
together with the near infrared data from 2MASS allowed us to identify
three YSOs, IRS 1, VLA 8A, and VLA 8B, with different
radio and infrared properties, and which seem to be in different
evolutionary stages. IRS 1, detected only in the infrared, is in
the more advanced stage. On the other hand, VLA 8A, bright at
centimeter and millimeter wavelengths, coincides with a near infrared
2MASS source, whereas VLA 8B has no infrared emission associated
with it and is in the earliest evolutionary stage. The overall
structure of the NH3 emission consists of three clouds. Two
of these, MM1 and MM2, are associated with dust emission at millimeter
wavelengths, while the southern cloud is only detected in NH3.
The YSOs are embedded in MM1, where we found evidence of line
broadening and temperature enhancements. On the other hand, the
southern cloud and MM2 appear to be quiescent and starless. Concerning
the 1.2 mm dust emission, we modeled the radial intensity profile
of MM1. The model fits the data reasonably well, but it underestimates
the intensity at small projected distances from the 1.2 mm peak,
probably due to the presence of multiple YSOs embedded in the dusty
envelope. There is a strong differentiation in the relative NH3 abundance with low values of
toward MM1, which harbors the YSOs, and high values, up to 10-6, toward the southern cloud and MM2, suggesting that these clouds could be in a young evolutionary stage.
Conclusions. IRAS 00213+6530 harbors a multiple system of
low-mass protostars, indicating that star formation in this cloud is
taking place in groups or clusters, rather than in isolation. The
low-mass YSOs found in IRAS 00213+6530 are in different
evolutionary stages, suggesting that star formation takes place in
different episodes.
Key words: stars: formation - ISM: individual objects: IRAS 00213+6530 - ISM: clouds
1 Introduction
It is widely accepted that there are two modes of star formation: the isolated mode and the clustered mode. This classification results from studying the association between dense cores and young stellar objects (YSOs). For example, Benson & Myers (1989) study a wide sample of ammonia cores and its relation with the position of IRAS sources, and find that typically only one IRAS source is associated with a single ammonia core in the Taurus Molecular Cloud, where star formation can be assumed to take place in isolation. On the contrary, Orion and Perseus would be examples of molecular clouds forming stars in clustered mode (Lada et al. 1993). A broad base of recent studies, carried out with higher angular resolution than that of Benson & Myers, show that most stars form in groups or clusters (e.g., Clarke et al. 2000; Lada & Lada 2003), including low-mass stars (e.g., Gómez et al. 1993; Teixeira et al. 2007; Huard et al. 1999; Brooke et al. 2007; Lee et al. 2006), indicating that truly isolated star formation is rare. Adams & Myers (2001) propose an intermediate case between the isolated and clustered modes, i.e., star formation in groups, and propose that most stars form in groups and/or clusters, i.e., in cluster environments. However, the theories of low mass star formation assume that star formation takes place in the isolated mode (Lada 1999; Shu et al. 1987). Since star formation in cluster environments may differ from the isolated mode (e.g., Pfalzner et al. 2008), it is necessary to study with high angular resolution dense cores associated with one single IRAS source to assess if star formation is really taking place in isolation. In this context, we aim at investigating with high angular resolution a dense ammonia core associated with a single low luminosity IRAS source, IRAS 00213+6530 (hereafter I00213).
Table 1: VLA observational parameters in the IRAS 00213+6530 region.
I00213, with a luminosity of 20
and at 850 pc of distance, belongs to the molecular cloud M120.1+3.0 (Yang et al. 1990) in
the Cepheus OB4 star-forming region. The region is physically related to the H II region S171 (Yang et al. 1990). The NH3 emission in
the north of M120.1+3.0 was studied through single-dish observations by Sepúlveda (2001). The NH3
emission consists of two
condensations, each one peaking very close to the position of an IRAS
source, I00213 and IRAS 00217+6533 (I00217), suggesting
that both IRAS sources are deeply embedded in high density gas. The
mass derived for the condensation associated with I00213 is
45
.
The ammonia emission engulfing both IRAS sources is associated with CO high-velocity emission, indicating the presence of
a molecular outflow in the region (Yang et al. 1990). However, it is not clear which IRAS source is driving the outflow.
In this paper we report on high angular resolution observations with the Very Large Array (VLA) of the continuum emission at 6 cm, 3.6 cm, 1.3 cm, and 7 mm, as well as of the dense gas traced by NH3 (1, 1) and NH3 (2, 2) together with observations of H2O maser emission. In addition we also present the continuum emission at 1.2 mm observed with the IRAM 30 m telescope, and CCS and H2O maser observations carried out with the NASA 70 m antenna at Robledo de Chavela. The paper layout is the following: in Sect. 2 we describe our observations and the data reduction process, and present the main results for the continuum and molecular line emission in Sect. 3. In Sect. 4 we analyze the dust and NH3 emission and show the method used to derive the NH3 abundance in this region. Finally, in Sect. 5 we discuss our findings, and we list the main conclusions in Sect. 6.
2 Observations
2.1 IRAM 30 m observations
The MPIfR 37-element bolometer array MAMBO at the IRAM 30 m telescope was used to map the 1.2 mm dust continuum emission toward I00213. The observations were carried
out on 2006 June 2. The main beam has a HPBW of 10''. We used the on-the-fly mapping mode, in which the telescope scans
continuously in azimuth along each row. The sampled area was
,
and the scanning speed was 5''
.
Each scan was separated by 5'' in elevation. The secondary mirror was wobbling at a rate of 2 Hz in azimuth with
a wobbler throw of 46''. The average zenith opacity was in the range 0.3-0.4. Pointing and focus were done on NGC 7538. The
rms of the final map was
3.8 m
.
Data reduction was performed with the MOPSIC
software package that contains the necessary scripts for data reduction
(distributed by R. Zylcka).
2.2 VLA radio continuum observations
The observations were carried out using the VLA of the NRAO in the D configuration in the continuum mode at 6 cm and 3.6 cm on 2000
September 23, and at 3.6 cm and 7 mm during 2004 August 24. The observational parameters for each epoch are
summarized in Table 1.
During the first epoch, absolute flux calibration was achieved by
observing 3C 286,
with an adopted flux density of 7.49 Jy at 6 cm and
5.18 Jy at 3.6 cm. The absolute flux calibrator was 00137+331
(3C 48) during the 2004 observations, for which flux densities of
3.15 Jy and 0.53 Jy were adopted at 3.6 cm
and 7 mm, respectively. In order to minimize the effects of
atmospheric phase fluctuations, at 7 mm we used
the fast switching technique (Carilli & Holdaway 1997)
between the source and the phase calibrator over a cycle of 80 s,
with 50 s spent on the source and 30 s on the calibrator. The
1.3 cm continuum emission was
observed on 2006 December 2 simultaneously with the H2O maser emission (see below, Sect. 2.3).
Calibration and data reduction were performed using standard procedures of the Astronomical Imaging Processing System (AIPS) of the NRAO. Clean maps at 3.6 cm and 7 mm were made using the task IMAGR of AIPS with the robust parameter of
Briggs (1995) set equal to 5, which is close
to natural weighting, whereas the map at 6 cm was made with the
robust parameter equal to
zero in order to obtain a synthesized beam similar to that at
3.6 cm. Since the signal-to-noise ratio of the longest baselines
of the 7 mm
data was low, we applied a uv-taper function of 80 k
in order to improve the sensitivity.
2.3 VLA NH3 and H2O maser observations
The observations of
(J,K)=(1,1) and
(J,K)=(2,2) inversion lines of the ammonia molecule were carried out in the same run as
the 2004 continuum observations. In Table 1
we summarize the observational parameters. The adopted flux density of
the absolute flux calibrator 0137+331 (3C 48) was 1.05 Jy at
a wavelength of 1.3 cm, and the bandpass calibrator used was
0319+415
(3C 84). We used the 4IF spectral line mode, which allows
simultaneous observations of the NH3 (1,1) and (2,2) lines with two
polarizations for each line. The bandwidth used was 3.12 MHz, with 63 channels with a channel spacing of 48.8 kHz
(0.6 km s-1 at 1.3 cm) centered at
19.0 km s-1, plus a continuum channel that contains the average of the central
75% of the bandwidth.
The water maser line at 22.2351 GHz (616-523 transition) was observed with the VLA in the C configuration during 2006
December 2. The phase center was the same as for the NH3 observations, and the adopted flux density of the absolute flux calibrator,
0137+331 (3C 48), was 1.13 Jy at 1.3 cm. We summarized the observational parameters in Table 1.
We used the 4IF
mode, employing two IF with a total bandwidth of 3.12 MHz, with 63
channels with a channel spacing of 48.8 kHz (0.6 km s-1) centered at
-10 km s-1 , and two IF with a
total bandwidth of 25 MHz were used to observe the continuum emission.
The NH3 and H2O data were reduced with the standard AIPS procedures. The images were constructed using natural weighting in both cases.
2.4 NASA 70 m CCS and H2O maser observations
We carried out a H2O maser emission monitoring toward
IRAS 00213+6530 with the NASA 70 m antenna (DSS-63) at
Robledo de Chavela (Spain). The observations were performed in 2008 Apr
18, June 19, and September 23 using a cooled
high-electron-mobility transistor as 1.3 cm front-end, and a 384
channel spectrometer as backend, covering a bandwidth of 16 MHz
(216 km s-1 with 0.6 km s-1 resolution). Spectra were taken in position-switching mode. The HPBW of the telescope at this
frequency is
41''. The typical system temperature was 120 K and the total integration time was around 30 min (on+off) for
each session.
In addition to the H2O maser observations, we also observed the CCS JN=21-10 transition (22.344 GHz), with the same bandwidth and spectral resolution used for H2O. The CCS transition was observed on October 3rd 2008 and on February 7th 2009 during a total integration time of 26 and 40 minutes, respectively. The system temperature was 60 K and 73 K, respectively.
For all the observations, the rms pointing accuracy of the telescope
was better than 10''. A noise diode was used to calibrate the data,
and the uncertainty in the flux calibration is estimated to be 30%. The data reduction was performed using the CLASS package, which
is part of the GILDAS
software.
3 Results
3.1 Continuum at 1.2 mm
Figure 1 shows the
1.2 mm continuum emission observed with the IRAM 30 m
telescope toward I00213. The overall structure of
the dust emission consists of a central and compact dust condensation,
MM1, with some extended structure to the west. A 2D Gaussian fit to
MM1 yields a deconvolved size of
,
PA
.
In addition, we also detected a fainter dust condensation, MM2, located
to the northwest of MM1, and elongated in the north-south direction, in a filamentary structure connecting MM1 and MM2. The
main results are summarized in Table 2.
![]() |
Figure 1:
1.2 mm continuum emission toward IRAS 00213+6530.
Contour levels are 3, 6, 9, 12, 15, 20, 25, 30 and 35 times the rms of the map, 3.8 m
|
Open with DEXTER |
Table 2: Parameters of the 1.2 mm emission.
3.2 VLA radio continuum emission
Table 3: Parameters of the continuum sources detected in the IRAS 00213+6530 region.
![]() |
Figure 2:
In both panels grey contours represent the main beam brightness temperature of the main line of
the NH3
(J,K)=(1, 1) inversion transition from Sepúlveda (2001). Left: VLA 6 cm continuum
emission map (black contours) of the I00213 region. Contour levels are -3, 3, 4, 6, 10, 14, 18, 22, 32, and 42
times the rms of the map, 24 |
Open with DEXTER |
![]() |
Figure 3:
Top: VLA contour map of the 6 cm continuum emission toward I00213. Contour levels are -3, 3, 6, 9, 12, 15, 18, and 21
times the rms of the map, 24 |
Open with DEXTER |
We detected 11 sources at 6 cm, and 7 sources at 3.6 cm above the 4
detection threshold. Figure 2 shows
the 6 cm and 3.6 cm continuum emission observed with the VLA toward I00213. In Table 3
we list the positions and
flux densities, corrected for primary beam response, of the detected
sources, and the estimated spectral indices between 6 cm
and 3.6 cm. To obtain the 3.6 cm map we analyzed separately
the observations of the two epochs (see Sect. 2.2) in order to see
the degree of variability of the detected sources at this wavelength.
The final map was obtained after subtracting the uvdata of VLA 3, which presents a variability greater than 8
,
and VLA 6, detected in 2004 but not during the
observations carried out in 2000. In Table 4 we show the flux density measured in 2000 and 2004 for VLA 3 and VLA 6,
as well as the variability during this period. Both sources, VLA 3 and VLA 6, have a negative spectral index (from
simultaneous observations at 6 cm and 3.6 cm) and are probably non-thermal extragalactic background sources.
Table 4: Highly variable sources at 3.6 cm.
As can be seen in Fig. 3
(middle panel), at 3.6 cm we detected two sources toward I00213,
VLA 7 and VLA 8, separated by
20'' and both inside the position error ellipse of the IRAS source.
These sources are barely resolved at 6 cm, with VLA 8 just
being a weak prolongation to the north-east of VLA 7 (see
Fig. 3
top panel). Yet, the higher angular resolution of the
3.6 cm map allows to separate the two sources. VLA 8 peaks
close to the position of the dust condensation MM1, whereas VLA 7
lies
20'' to the south-west, in the extended structure of the dust emission (see Fig. 1).
Both sources are spatially
resolved and VLA 8 shows a weak tail extending to the west. A 2D
Gaussian fit to the two sources (excluding the weak tail of VLA 8)
yields deconvolved sizes of
(PA
), and
(PA
)
for VLA 7 and
VLA 8, respectively. The spectral index in the 6-3.6 cm range of VLA 7 is -
,
characteristic of non-thermal emission,
whereas VLA 8 has a spectral index of
,
which is consistent with free-free thermal emission from ionized gas that may be
arising from a thermal radio jet. Positive spectral indices, i.e.,
,
have been found to be associated with
sources driving molecular outflows (e.g., Beltrán et al. 2001; Anglada et al. 1998). The 2MASS
-band
image shows two sources,
2MASS J00241110+6547095 and 2MASS J00241010+6547091, the first nearly
coinciding with VLA 8 and the second, named IRS 1, lying
6'' to the west.
The maps of the 1.3 cm and 7 mm continuum emission obtained with natural weighting are shown in Fig. 3
(bottom panel).
While we did not detect 7 mm continuum emission toward VLA 7,
the 7 mm emission of VLA 8 is resolved into two components,
VLA 8A
and VLA 8B, separated by 5'' (
4300 AU at the distance of the source). At 1.3 cm we detected one source associated with
VLA 8B, whose peak position coincides within
5 with the 7 mm peak (Fig. 3
bottom panel). The 1.3 cm source
is elongated roughly in the northeast-southwest direction, and is
spatially resolved only in one direction, with a deconvolved size
of
(
1020 AU), at PA
.
In Table 5
we show the position, peak intensity, and flux density of
VLA 8A and VLA 8B at 1.3 cm and 7 mm, as well as
the spectral index between these wavelengths. In order to properly
estimate the
spectral index in the 1.3 cm-7 mm range, we applied a uv-taper function of 80 k
to obtain similar angular resolutions
at both wavelengths (see Sect. 2.2). The resulting spectral indices are >1.4 and
for VLA 8A and VLA 8B, respectively.
Table 5: Parameters of sources detected at 1.3 cm and 7 mm in the IRAS 00213+6530 region.
![]() |
Figure 4:
Top panel: VLA channel maps of the NH3 (1, 1)
main line. Contours levels are -6, -3, 3, 6, 9, 12, 18, 24, 30, 33, and 36
times the rms noise of the map, 1.1 m
|
Open with DEXTER |
![]() |
Figure 5: Spectra toward six positions of the IRAS 00213+6530 region for NH3 (1,1) (left) and NH3 (2, 2) (right), averaged over one beam. The six positions, which are labeled on the right panel of each row, are, from top to bottom, VLA 8A, VLA 8B, IRS 1, MM2 (peak of the northwestern cloud), MM1 (peak of the central cloud), and SC (peak of the southern cloud). The vertical scale for each transition is indicated in the bottom row. |
Open with DEXTER |
As seen in Fig. 3 (bottom panel), VLA 8A coincides with the near infrared source 2MASS J00241110+6547095, whereas VLA 8B
has no infrared emission associated with it. In addition, 6'' (
5100 AU
) west of VLA 8A there is the near-infrared
source IRS 1 with no detected 7 mm emission. At 7 mm
both thermal dust emission and free-free emission can contribute to the
total
emission. Then, in order to estimate the mass of gas and dust from the
7 mm emission, we need first to know the flux density coming
from thermal dust emission. Since the angular resolution achieved at
3.6 cm is not sufficient to resolve the two millimeter
sources, we cannot estimate the contribution of free-free emission at
7 mm for each individual source. A first approach is to
smooth the 7 mm emission to the angular resolution of the
3.6 cm data. The result is a single source with a flux density of
mJy,
which is consistent with the sum of the flux densities of both
millimeter sources. Extrapolating the flux
obtained at 3.6 cm for VLA 8 to millimeter wavelengths with
the spectral index obtained from the centimeter emission at 6 cm
and
3.6 cm (
), we find that the expected free-free emission at 7 mm is
0.48 mJy
(19% of the 7 mm flux),
indicating that the thermal dust component dominates at this
wavelength. We note that the free-free contribution estimated at
7 mm
can be considered as an upper limit because the free-free spectral
index between 3.6 cm and 7 mm is expected to be flatter than
between 6 and 3.6 cm. However, the thermal dust contribution at
7 mm may be different for VLA 8A and VLA 8B. The fact
that VLA 8A
is not detected at 1.3 cm above a 4
level indicates that at 7 mm the emission is mainly due to thermal
dust emission
rather than free-free emission, whereas VLA 8B, which is
associated with a 1.3 cm source, must have less thermal dust
emission
associated with it.
To estimate the mass, we assumed that the dust emission is optically thin, and used the opacity law of
(Ossenkopf & Henning 1994), extrapolated to 7 mm. We used a
dust emissivity index
(derived from the spectral energy distribution, see Sect. 4.2). The dust temperature is estimated by
correcting the rotational temperature derived from NH3 (
20 K, see next sections) to kinetic temperature (
25 K),
following the expression of Tafalla et al. (2004). Using the fraction of the 7 mm flux density arising from thermal dust emission
(
2.1 mJy), the total mass derived for the two sources, VLA 8A and VLA 8B, is 6.3
.
It is worth noting that this mass is an
upper limit since at 7 mm we are sensitive to spatial scales of
2500 AU, smaller than that achieved with the NH3 observations.
Thus, the temperature should be higher than that estimated from the NH3 emission, and the resulting mass would be lower. The
uncertainty in the mass is around a factor of 4 mainly due to uncertainties in the dust opacity and the dust emissivity index.
As interferometers are not sensitive to large-scale structures, we
compared the 7 mm continuum emission with the 1.2 mm dust
emission from
the IRAM 30 m telescope. We followed the method described in Girart et al. (2000), which relates the FWHM of the single-dish emission with the
half-power (u,v) radius, to estimate the magnitude of this effect at 7 mm. By applying the relation of Girart et al. (2000), and adopting a
FWHM for MM1 of
the half-power (u,v) radius of the 1.2 mm dust emission MM1
becomes
k
.
Given the shortest baseline of the VLA in the D configuration, which is 2.5 k
,
and the
size of the observed emission one can estimate the fraction of
correlated flux detected by the interferometer. For a source of 11'',
this
corresponds to 94% for our VLA configuration at 7 mm, indicating
that at 7 mm we are not filtering out too much dust emission.
3.3 NH3(1, 1) and (2, 2)
NH3 (1,1) and NH3 (2,2) emission is detected in individual velocity channels from -19.6 to -20.9 km s-1 and from -20.2 to
-20.9 km s-1,
respectively. We also detected the inner satellite lines as well as one
of the outer satellite lines of the (1,1)transition, and we marginally
detected one of the inner satellite lines of the NH3 (2, 2). Figure 4 shows the velocity channel
maps of the NH3 (1,1) and (2,2) main line emission, and in Fig. 5 we show the NH3 (1,1) and (2,2) spectra, not
corrected for the primary beam response, at some selected positions. In Table 6 we show the line parameters toward these
positions obtained from a Gaussian fit to the NH3 (1, 1) main and inner satellites lines, as well as the NH3 (2,
2) line. We additionally
show the ratio of the main line to the inner satellites, which gives an
indication of the line optical depth. The values obtained for the
optical depth are in the range
-3. In Table 7 we present the line parameters resulting from the hyperfine fit
to the NH3 (1, 1) line toward the same positions. Given our spectral resolution,
km s-1,
the intrinsic line width has been
obtained by selecting the value that minimize the hyperfine fit
residual. The optical depths derived from the magnetic hyperfine fit
are
systematically higher but compatible with the values obtained from the
Gaussian fit (see Appendix for further details).
![]() |
Figure 6:
Top panel: zero-order moment of the NH3 (1,1) main line emission. Bottom panel: zero-order moment map
of the NH3 (2,2) main line emission (black contours). Grey contours: 1.2 mm continuum emission. Grey contour levels are 3, 6, 9,
12, 25, and 35 times the rms of the map, 3.8 m
|
Open with DEXTER |
Table 6: NH3 line parameters obtained from the Gaussian fits to the NH3 (1, 1) and (2, 2).
Table 7: NH3 line parameters from the fits to the NH3 (1, 1) magnetic hyperfine components.
![]() |
Figure 7:
Top panel: first-order moment map of the NH3 (1,1) main line emission. Bottom panel: second-order
moment map of the NH3 (1,1) main line emission. Symbols are the same as in Fig. 6. Color wedge scales are
km s-1. The synthesized beam is shown at the bottom right corner of the images. Note that the second-order moment gives
the velocity dispersion, and must be multiplied by the factor
|
Open with DEXTER |

Table 8: Summary of H2O maser observations toward IRAS 00213+6530.
In Fig. 7 (top) we show the first-order moment (intensity weighted mean
)
of the NH3 (1,1) main line
emission. As can be seen in this figure, the velocity along the central ammonia cloud MM1 shows only small variations, and no
significant velocity gradients are found between MM1 and the southern cloud. The millimeter source VLA 8B is redshifted by
0.3 km s-1 with respect to VLA 8A. In addition toward the western and eastern edges of MM1 the NH3 emission is
redshifted by
0.4 km s-1. Toward MM2 there is a small velocity gradient in the north-south direction of
0.6 km s-1 along a region of
30''.
The map of the second-order moment (intensity weighted velocity dispersion) of the NH3 (1,1) main line emission is shown in
Fig. 7 (bottom). The typical value found for the velocity dispersion in the southern cloud is 0.25-0.3 km s-1, which
corresponds for a Gaussian line profile to a full width at half maximum (FWHM) of 0.6 km s-1, similar to the instrumental resolution. In
contrast, in the NH3 cloud MM1 there is evidence of line broadening toward the three embedded sources (forming an arc-shaped structure),
with values up to 0.4-0.5 km s-1, corresponding to line widths of 0.7-1 km s-1, corrected for instrumental resolution, significantly higher
than the expected thermal line width
0.23 km s-1 (estimated for a kinetic temperature of
20 K), indicative of a significant
contribution from non-thermal processes. We found that the typical value of velocity dispersion in the NH3 cloud MM2 is
0.3-0.35 km s-1, corresponding to line widths of 0.4-0.5 km s-1, corrected for instrumental resolution, and rises up to 0.45 km s-1
(line width of 0.9 km s-1, corrected for instrumental resolution) toward the northern peak of MM2. These values are slightly higher than those
found in the southern cloud, suggesting that the gas is being perturbed in the NH3 cloud MM2.
Finally, we compared the VLA NH3 (1, 1) emission with the single-dish NH3 (1, 1) emission of Sepúlveda (2001). From the VLA
NH3 observations we estimated a peak intensity of 27.8 m
,
which corresponds to a main beam brightness temperature
K.
The
largest angular scale detectable by the VLA at 1.3 cm in the D
configuration is around 60'', and the size of the largest features
detected by us with the VLA is
30''. From the size of the NH3 emission we can estimate the dilution effect when observed this
emission with a single-dish telescope of
.
The dilution effect would decrease the main beam brightness temperature,
,
by a
factor of 7.8, consistent with the
measured by Sepúlveda (2001), indicating that the fraction of emission filtered out by the
interferometer must be small or negligible.
3.4 H2O maser emission
In Table 8 we compiled the H2O maser observations carried out toward I00213 up to date, including our observations with the VLA
and NASA 70 m. The H2O maser emission was clearly detected only in 1993 by Han et al. (1998), using the 13.7 m radio telescope of Purple
Mountain Observatory, with a peak intensity of 38.8 Jy. We did not detect H2O maser emission toward I00213, except in the
NASA 70 m observations on 2008 April 18, where we marginally detected emission at a 3
level of 0.1
(see
Fig. 8). The integrated intensity was
0.49
km s-1, and the velocity of the feature was -15.2 km s-1, offset by
5 km s-1 from the velocity of the cloud,
-20 km s-1.
The characterization of H2O maser emission is difficult
because of its high temporal variability, and thus it is possible that
there was no
maser during the epochs of observation (2006 Dec and 2008) with the
exception of the marginal detection during 2008 April. However,
it is not clear whether the H2O maser detected by Han et al. (1998) is associated with the I00213 region. On one hand, the maser emission was
detected at
=-0.7 km s-1, 19.2 km s-1 offset from the systemic velocity of the cloud studied in this work. On the other hand, the beam of
the 13.7 m radio telescope at this wavelength is 4
2, with a pointing accuracy of 20'', making it difficult to ascertain whether the
maser is associated with the IRAS source. In addition, other attempts to detect H2O maser emission toward I00213 have failed
(Felli et al. 1992; C. Codella observed the source between 1989 and 1999 using the 32 m Medicina telescope but did not detect it; private
communication). Thus, the maser activity of I00213 seems to be currently in a rather quiescent state.
3.5 CCS emission
![]() |
Figure 8: Spectrum of the H2O maser observed with the NASA 70 m telescope on 2008 April 18. The spectrum was smoothed to a spectral resolution of 1.13 km s-1. The dashed line is a Gaussian fit to the spectrum. |
Open with DEXTER |
Table 9: Parameters of the NASA 70 m CCS line emission toward I00213.
In Table 9 we show the parameters obtained from a Gaussian fit of the CCS line detected with the NASA 70 m, after combining the
data of the two days observed, and we show its spectrum in Fig. 9. The line is centered around -20 km s-1, the same velocity as NH3,
and its line width (FWHM) is 1.3 km s-1, larger than the expected thermal line width for a kinetic temperature of
20 K (estimated
from NH3), which is of
0.13 km s-1.
This could be indicative of the CCS line width having a strong
contribution from non-thermal
processes, such as turbulence injected by the passage of an outflow
and/or global systematic motions. The measured line width is higher
than
the largest line width measured by de Gregorio-Monsalvo et al. (2006) toward a sample of low-mass YSOs. A high angular resolution study of
de Gregorio-Monsalvo et al. (2005) in CCS shows that this molecule is possibly enhanced via shocked-induced chemistry, and has a velocity gradient in the
same direction of the outflow.
4 Analysis
4.1 Rotational temperature and column density maps
![]() |
Figure 9: Spectrum of the CCS JN=21-10 transition observed with the NASA 70 m telescope toward I00213. The dashed line is a Gaussian fit to the spectrum. |
Open with DEXTER |
We computed maps of the rotational temperature and column density of NH3. To do this, we extracted the NH3 (1,1) and (2,2) spectra on a
grid of points separated by 1'' in the NH3 cloud MM1. We fitted the hyperfine structure of the NH3 (1,1) and a single Gaussian to the
NH3 (2,2) for each spectrum. For the NH3 (1,1) transition we fitted only the spectra with an intensity greater than 5
in order
to ensure the detection of the satellite lines, whereas for the NH3 (2,2) we fitted the spectra with an intensity greater than
4
.
From the results of the fits of NH3 (1,1) and NH3 (2,2) we computed the rotational temperature (
)
and NH3 column density maps
following the standard procedures (Anglada et al. 1995; Ho & Townes 1983; Sepúlveda 1993; Harju et al. 1993,
see Appendix for a complete description of their
derivation). This analysis assumes implicitly that the physical
conditions of the gas are homogeneous along the line-of-sight, i.e.,
the
excitation and the rotational temperature are constant along the
line-of sight. Since gradients are probably present along the
line-of-sight
(see Sect. 4.2), the values obtained from this analysis should be
considered as an ``average'' along the line of sight.
The map of the ``average'' rotational temperature obtained is shown in Fig. 10a. Interestingly, to the north of the millimeter
sources VLA 8A and VLA 8B, there is a temperature enhancement, reaching a maximum value of 20 2 K.
Toward the millimeter sources the
``average'' rotational temperature is around 16 K, and it
decreases toward the south. In addition, at the western edge of the NH3
cloud MM1
and toward the infrared source IRS 1 there is a temperature
enhancement. The ``average'' rotational temperature obtained at the
position of
IRS 1 is
K, which is consistent with the expected association of this source with the high density gas. We also found a local
maximum of temperature around 8'' to the southwest of VLA 8A.
Figure 10b shows the resulting column density map for NH3, obtained after correction for the primary beam response. The highest
values of the NH3 column density,
cm-2, are found to the south of the millimeter sources, where the rotational
temperature shows the smallest values. Toward the two millimeter sources, VLA 8A and VLA 8B, the NH3 column density is
cm-2.
![]() |
Figure 10: a) ``Average'' Rotational temperature map from NH3 (1,1) and NH3 (2,2) toward MM1 (see text). Scale units are in K. b) NH3 column density map. Scale units are in cm-2. In both panels red crosses mark the position of the two millimeter sources, VLA 8A and VLA 8B, and the red tilted cross marks the position of IRS 1. Note that VLA 7 lies outside the limits of this plot. |
Open with DEXTER |
![]() |
Figure 11: Top: circularly averaged radial intensity profile at 1.2 mm of MM1. The error bars indicate the data rms inside each 3'' wide ring. The dotted line shows the beam profile, including the error beams as given by Greve et al. (1998). The solid line shows the best fit model. Bottom: spectral energy distribution (SED) for MM1 in the IRAS 00213+6530 region. Filled circles are data from the VLA, the open circle represents the 1.2 mm (250 GHz) flux from the IRAM 30 m telescope, diamonds are IRAS data, filled diamonds are MSX data, and triangles are 2MASS data (see Table 11). The solid line is the sum of the free-free emission and envelope dust emission. |
Open with DEXTER |
Table 10: Parameters of the envelope model used to fit the radial intensity profile of the 1.2 mm continuum emission and the SED of MM1.
Table 11: Photometry of the MM1 clump.
4.2 Radial intensity profile and Spectral Energy Distribution
In order to study the spatial structure of the dusty condensation MM1 detected at 1.2 mm, we computed the circularly averaged radial intensity profile, in rings of 3'' width, as a function of the projected distance from the 1.2 mm peak (see Table 2). The result is plotted in Fig. 11 (top panel), together with the IRAM 30 m beam profile, and the best model fitted to the data.
In Table 10 we show the parameters of the envelope model, which have been calculated by following Estalella et al. (2009).
In this
paper the authors fit the radial intensity profile, using the full
Planck function to describe the intensity, and the observed Spectral
Energy
Distribution (SED) simultaneously, adopting as a model of the source a
spherically symmetric envelope of gas and dust surrounding the
protostar(s). We do not include the possible contribution from the
circumstellar disk because our angular resolution, 10''
(8500 AU), is
much larger than the typical sizes of accretion disks (tens to hundreds
of AU). Note that we do not attempt to fit the near/mid-infrared
emission
of MM1, since it originates from components at higher temperatures than
that responsible for the mm/submm emission. So, the model is used to
fit
the SED up to frequencies corresponding to 60
m. We assumed the dust opacity law
(Ossenkopf & Henning 1994),
being a free parameter of the model. For the density and temperature we considered
power-laws as a function of radius,
and
,
with p as a free parameter of the model, and
(Kenyon et al. 1993).
In order to compare the model with the observed intensity profile, we
computed the 2-dimensional intensity map from the model,
and we convolved it with the IRAM 30 m beam. We note that the
beam was adopted to be the sum of two circular Gaussian beams. Then,
from the
convolved map, we computed the circularly averaged profile. Thus, our
free parameters were the dust emissivity index
,
the density
power-law index p,
and the scale of the density and temperature power-laws, namely, the
density and temperature at a radius of 1000 AU (taken
arbitrarily as the reference radius for the power-laws). From the
fitted parameters we derived the temperature power-law index q, the size,
,
and mass,
,
of the envelope.
is defined as the radius for which the envelope density
falls to a particle density similar to the ambient density, taken as
cm-3.
is the integral of the envelope
mass density up to the envelope radius
(see Table 10).
As mentioned above, the model fits the radial intensity profile and
the SED simultaneously. The SED for MM1 was built by using the data
shown in
this work and by searching the literature for 2MASS, IRAC-Spitzer, MSX,
and IRAS data. In Table 11
we list the photometry used for MM1
(adopting the values of VLA 8A for 1.3 cm, 7 mm and
2MASS, where the high angular resolution allows us to disentangle the
different sources). We
were able to simultaneously fit the SED and the intensity profile at
1.2 mm. In Fig. 11
(bottom panel) we show the best fit of the
model to the observed SED. In this figure we show the sum of the
free-free emission and the envelope flux density integrated inside the
radius of
the envelope. The centimeter continuum emission is dominated by
free-free emission with a spectral index of .
At millimeter and
submillimeter wavelengths, the dust emission of the envelope is dominant.
The model resulting from the simultaneous fit to the radial
intensity profile and the SED is able to fit the radial intensity
profile remarkably
well, but slightly underestimates the intensity at projected distances
of
and
(see Fig 11
top panel). This
can be due to the presence of several YSOs close (<10'') to the
1.2 mm peak. The value obtained for the power-law density
distribution index
p=1.9 is similar to that found for other protostellar envelopes. Chandler & Richer (2000) carried out a submillimeter survey of Class 0 and Class I
sources and fitted the observed radial intensity profiles with density index p between 1.5 and 2 for the majority of the sources.
Hogerheijde & Sandell (2000) find p=0.9-2.1 in a sample of four Class I YSOs, and Motte & André (2001) find p=1.2-2.6 in a sample of embedded YSOs in
Taurus and Perseus, similar to the value obtained here.
![]() |
Figure 12: a) H2 column density map from the 1.2 mm dust emission. b) NH3 column density map. c) NH3/H2abundance map, for MM1 and the southern cloud ( left panels) and for MM2 ( right panels) in logarithmic scale. Scale units for the H2 and NH3 column density are cm-2. In all panels red crosses indicate the position of the two millimeter sources, VLA 8A and VLA 8B, and the red tilted cross marks the position of the infrared source IRS 1. The blue cross denotes the position of VLA 7. The color scale is the same for the left and right panels. |
Open with DEXTER |
4.3 Column density maps and mass
In order to estimate the relative NH3 abundance in I00213, we computed the H2 column density map. To do so, we used the expression given
in Motte et al. (1998) to compute the column density of H2 from the 1.2 mm dust in a grid of
(the pixel size of our
maps), and using a dust mass opacity coefficient
cm2 g-1. Since the beam size of the 1.2 mm
emission is a factor of 2 larger than the beam size of the NH3 observations, we convolved the NH3 emission to the same angular resolution as
the 1.2 mm dust emission (
10''). We obtained the rotational temperature and column density of NH3 following the procedure described
in Sect. 4.1 (see Appendix). In MM1 we obtained the rotational temperature from the NH3 (1, 1) and (2, 2) emission, which was
converted to kinetic temperature using the relation given in Tafalla et al. (2004, see also the Appendix). In order to estimate lower limits of
the NH3 column density in the southern cloud and MM2 we adopted a rotational temperature of 10 K (see Sect. 5.2).
Maps of the H2 column density and NH3 column density are shown in Fig. 12. The H2 column density has a maximum
value of
cm-2 toward the peak position of the 1.2 mm emission of MM1, and decreases in the more extended structure
to values of
1022 cm-2. The uncertainty in the H2
column density is around a factor of 2, mainly due to the
uncertainty in the dust opacity, as the uncertainty in the mm flux
density (the rms of the map), and in the dust temperature constitute
only a small contribution to the total uncertainty. The NH3 column density map, corrected for the primary beam response, also
shows differences between the three NH3 clouds (see Fig. 12b). In MM1, the maximum value of the NH3 column density,
cm-2, is found to the south of VLA 8A and VLA 8B, which is consistent with the results found in Sect. 4.1.
The uncertainty in the NH3 column density is of the order of 10-20%. It has been estimated from the uncertainty in
rotational temperature, in line width, and in
(see Appendix). The values of the NH3 column density toward MM2 are
significantly higher, in the range of
.
For the case of MM2 and the southern cloud, the NH3 column density derived
is a lower limit since the rotational temperature adopted is an upper limit due to the non-detection of NH3 (2, 2).
We estimated the mass of each condensation from the H2 column density maps (see Table 12). The mass in MM1 is 3.5
,
consistent
with the values obtained from the 7 mm continuum emission and for the envelope model (
6
). In addition, we compared the values obtained
with the virial mass,
,
estimated using Eq. (5) of Beltrán et al. (2006), which assumes a spherical cloud with a power-law density distribution
,
with p = 2.0, and neglecting contributions from magnetic fields and surface pressure. As can be seen in Table 12,
the mass of MM1 is higher than the virial mass, indicating that it might be unstable and undergoing collapse. The mass of MM2 is
,
indicating that the material in this cloud is stable. In contrast, toward the southern cloud the total mass of gas is
M<0.4
,
this clump being gravitationally unbound and it could disperse at roughly the internal sound speed of
0.3 km s-1 on a
timescale of around 105 yr, unless it is confined by external pressure. All this suggests that the southern cloud could be in an earlier
evolutionary stage than MM1 and MM2.
4.4 Relative NH3 abundance
Table 12: Physical parameters of IRAS 00213+6530.
In Fig. 12c we show the relative NH3 abundance maps of MM1 and MM2. The typical value of the NH3 abundance found in MM1, in
a position just south of the three YSOs, is around
,
which is similar to the typical value found in
dense clouds (Herbst & Klemperer 1973; see Anglada et al. 1995, for a discussion on NH3 abundances). In MM1, near the YSOs, there is a slight
trend in the NH3 abundance to increase, from
near IRS 1, up to
toward
VLA 8B. In this case, the
most evolved YSO IRS 1 is likely dispersing the dense gas material
of its surroundings, and the result is a decrease of the NH3 abundance.
It is, however, a modest effect, slightly above the typical uncertainty of a factor of 2. Toward the southern cloud we derived a
lower limit for the relative NH3 abundance of
.
Regarding the NH3 abundance in MM2, we find values ranging from
up to
.
This abundance is higher than in MM1,
despite the observed NH3 emission in MM2 being fainter than in MM1, mainly due to two effects: the NH3 column density is higher due to the
correction for the primary beam response, and the H2 column density is low,
cm-2. The relative NH3 abundance in MM2 is a lower limit. Although these abundances are high, Benson & Myers (1983) and Ohishi et al. (1992) find NH3 abundances around
in starless cores of the dark clouds L1498 and L1512, and in L134N, respectively. In addition, chemical models of
Hartquist et al. (2001) are able to reproduce such a high NH3 abundance for a young core, Core D in TMC-1, with N2
and CO not freezing-out.
Therefore, it is plausible that MM2 and the southern cloud are in a
young evolutionary stage, as suggested by the starless properties of
this
cloud (see Sect. 5.2).
5 Discussion
The results obtained for IRAS 00213+6530 show that in this region there are different sources, which have different radio and infrared properties.
5.1 VLA 8A, VLA 8B, and IRS 1: multiple sources in different evolutionary stages
The centimeter and millimeter continuum observations, together with near-infrared data, allowed us to identify three YSOs in MM1: IRS 1, VLA 8A and VLA 8B. While at 3.6 cm we could not resolve the centimeter emission of VLA 8, at 7 mm we found two sources, VLA 8A and VLA 8B. In the near infrared, only VLA 8A and IRS 1 are detected. In addition, all sources are deeply embedded in the dense gas traced by NH3. Line broadening and local heating have been detected toward their position, indicating the true association of the three objects with the molecular gas.
From these preliminary results, we can make a rough estimate of the
evolutionary stage of the detected sources. First, IRS 1 is
associated with
an infrared source with no detected 7 mm continuum emission.
VLA 8A, although bright in the infrared, is the strongest
millimeter source in the
field. Its SED has a quite steep profile at the 2MASS wavelengths.
Thus, d(log
)/d(log
between 1 and 10
m,
which is consistent with the classification of VLA 8A as a Class I source (e.g., Hartmann 1998). Regarding the near-infrared colors of
the 2MASS sources associated with IRS 1 and VLA 8A, derived from 2MASS photometry (see Table 13), we found that both sources fall
inside the area corresponding to YSOs of Class 0/I (e.g., Matsuyanagi et al. 2006; Itoh et al. 1996; Ojha et al. 2004).
Finally, VLA 8B, which is also associated
with dense gas tracers, shows no infrared emission at all. At
7 mm, VLA 8B has associated little dust continuum emission,
suggesting that the
dust emission is colder, probably detectable at 1 mm and/or
submillimeter wavelengths. Thus, VLA 8B could be in a previous
stage of evolution,
being still more embedded than VLA 8A, possibly in the
Class 0 phase. We found an extended temperature enhancement to the
north of VLA 8A and
VLA 8B, which seems to be associated with the passage of an
outflow that heats and perturbs the dense gas; Busquet et al. (in
prep.) find that the
large scale molecular outflow (Yang et al. 1990), when observed with high angular resolution, is centered on a position near VLA 8A and VLA 8B,
these sources being candidates to drive the observed high-velocity gas.
Thus, it seems that the I00213 region harbors a multiple system of low mass protostars, indicating that the star formation process in this region does not produce only a single YSO. Since low mass protostars evolve approximately at the same rate to the main sequence, the different evolutionary stages found in I00213 suggest that stars in this region are not forming simultaneously but continuously. Also, there may be different generations due to different timescales of core collapse, as has been found in other low mass star-forming regions (e.g., L1551: Moriarty-Schieven et al. 2006), indicating that the formation of different stars is not simultaneous but sequential in time, possibly triggered by the interaction of the molecular outflow with a dense core in its surroundings (Yokogawa et al. 2003; Shimajiri et al. 2008). Therefore, the initial assumption that star formation occurs in an isolated mode may not be appropriate to describe the I00213 region when the region is studied with high angular resolution. This poses the question of to what extent we can adopt the isolated mode in the theories of star formation, as this high angular resolution study together with a large number of recent studies (e.g., Huard et al. 1999; Chen et al. 2008,2009; Carrasco-González et al. 2008; Teixeira et al. 2007; Gutermuth et al. 2008; Girart et al. 2009; Swift & Welch 2008; Djupvik et al. 2006; Forbrich et al. 2009) suggest that isolated star formation seems to be rare in the Galaxy, even in low mass star-forming regions.
The three YSOs are spatially ordered from youngest (east) to oldest (west), suggesting that an external agent could be inducing star formation in MM1. For this, it would be very useful to identify and map the molecular outflows in the region. Alternatively, it would be very useful as well to study the possible association of I00213 with the HII region S171, located to the northwest of I00213. Finally, it is worth noting that the I00213 region falls exactly on the southern border of the Cep OB4 shell (Kun 2008).
Table 13: Infrared excess of 2MASS sources.
5.2 Starless candidates: MM2 and the southern cloud
While the southern cloud is detected only in NH3, MM2 is detected both in NH3 and dust emission. Given that the (2,2) line is not detected
toward the southern cloud, and only detected toward the northern peak of MM2, these clouds are cold, since
K.
As mentioned
in Sect. 3.3, the near-infrared source 2MASS J00241251+6546418
spatially coinciding with the southern cloud is not likely associated
with
the dense gas. We estimated the infrared excess from the (J-H) vs. (H-J) diagram (see Table 13).
The near-infrared colors
derived are characteristic of main sequence stars, giants, supergiants,
Class III sources, or Class II sources with small infrared
excess
(Matsuyanagi et al. 2006; Itoh et al. 1996). In addition, this source has an optical counterpart seen in the DSS2 image. Thus, it is likely a
foreground source, not associated with the NH3
dense gas and the I00213 star-forming region. No near-infrared sources
are
associated with MM2. In addition, neither MM2 nor the southern cloud
seem to be associated with molecular outflows (Busquet et al. in
prep.).
Therefore, no clear signposts of stellar activity are found for these
two clouds, suggesting that they could be starless.
5.3 On the nature of VLA 7
VLA 7, lying outside the NH3 dense gas and dust emission, has a very negative spectral index at centimeter wavelengths (
),
indicating that the emission has a non-thermal origin, found typically
for extragalactic sources with a steep spectrum and some pulsars (e.g.,
Lehtinen et al. 2003). Given the close proximity to MM1, we considered the possibility that VLA 7 could be related to the I00213 region. In low
mass star-forming regions, non-thermal emission has been detected toward some YSOs, like Class 0 YSOs (Choi et al. 2008) or T-Tauri stars (e.g., André 1996; Rodríguez et al. 1999; Gibb 1999).
However, centimeter emission arising from weak T-Tauri stars is usually
polarized, and they are
often optically visible. We did not find evidence of circular polarized
emission toward VLA 7, neither a visible counterpart, so we
consider
unlikely this possibility. Another possibility to explain the negative
spectral index of VLA 7 is non-thermal synchrotron emission
produced in
shocked regions of outflowing gas, found mainly in high mass
star-forming regions (e.g., Rodríguez et al. 2005; Rodríguez & Reipurth 1989; Garay et al. 2003).
As there is
molecular outflow emission in this region (Busquet et al. in
prep.) we cannot rule out this possibility, and further observations
would help to
confirm the true association of VLA 7 with the I00213 star-forming
region.
6 Conclusions
We observed with the VLA, IRAM 30 m Telescope, and the NASA 70 m antenna at Robledo de Chavela (Spain) the continuum emission at 6 cm, 3.6 cm, 1.3 cm, 7 mm, and 1.2 mm, the NH3 (1, 1) and NH3 (2, 2) lines, and the H2O maser and CCS emission toward the low mass star-forming region IRAS 00213+6530. Our main conclusions can be summarized as follows:
-
- 1.
- The 1.2 mm continuum emission observed with the
IRAM 30 m shows two dust condensations, MM1 and MM2. The
continuum emission at
centimeter and millimeter wavelengths, together with the available data
from 2MASS, have revealed three sources, IRS 1, VLA 8A, and
VLA 8B,
all embedded in the dusty cloud MM1. These sources show different radio
and infrared properties, and seem to be in different evolutionary
stages, with VLA 8B being in the earliest phase. In MM1, low mass
star formation appears to proceed along a west-east direction.
- 2.
- We marginally detected H2O maser emission toward I00213 with the NASA 70 m antenna during the observations carried out on 2008
September 23, but other attempts, including the VLA observations, yielded negative results.
- 3.
- The YSOs found in the region are deeply embedded in the high-density gas. The NH3 (1,
1) emission traces an elongated structure that
consists of a main cloud (MM1 and the southern cloud) and a smaller
cloud, MM2, located to the northwest of MM1. While the southern cloud
and MM2 appear as quiescent and starless, in MM1 there is evidence of a
perturbation of the gas (line broadening and local heating) along the
east-west direction, associated with IRS 1 and north of the two
millimeter sources, elongated in the north-south direction. We propose
that
part of the dense gas is being perturbed by the passage of one or more
outflow(s).
- 4.
- We detected CCS emission toward I00213 using the NASA 70 m antenna with a line width,
1.3 km s-1, that is large compared with previous studies.
- 5.
- The source VLA 7, which has a negative spectral index, lies outside but near the border of the NH3 (1,
1) condensation. Although this
source could be a background source we cannot rule out the possibility
that VLA 7 could be the result of the interaction of a
molecular outflow with the surrounding medium.
- 6.
- We used a spherically symmetric envelope model that simultaneously fits the observed SED from 7 mm to 60
m, and the radial intensity profile at 1.2 mm of the clump associated with MM1. The best fit was obtained for a dust opacity law index
, a temperature at 1000 AU of 31 K, and a density at 1000 AU of
g cm-3 or a particle density of n(H2)
cm-3. The envelope radius is
AU (
cm), and inside this radius the envelope model mass is 6
.
- 7.
- There is a strong differentiation of NH3 abundance in the region. In particular, we found low values,
, of the NH3 abundance associated with MM1, which contains the YSOs. On the other hand, toward those clouds with starless properties (the southern cloud and MM2), the NH3 abundance rises to
, suggesting that in evolved clouds with star-formation activity there is a decrease in the NH3 abundance.
G.B. is grateful to Serena Viti, David A. Williams, and Oscar Morata for useful discussion on the ammonia abundance. We are grateful to the anonymous referee and to the editor for valuable comments. The authors are supported by the Spanish MEC grant AYA2005-08523-C03, and the MICINN grant AYA2008-06189-C03 (co-funded with FEDER funds). A.P. is also supported by the MICINN grant ESP2007-65475-C02-02 and the program ASTRID S0505/ESP-0361 from La Comunidad de Madrid and the European Social Fund. G.A. acknowledges support from Junta de Andalucía. This publication makes use of the data products from the Two Micron All Sky Survey, which is a joint project of the University of Massachusetts and the Infrared Processing and Analysis Center/California Institute of Technology, funded by the National Aeronautics and Space Administration (NASA) and the National Science Foundation.
References
- Adams, F. C., & Myers, P. C. 2001, ApJ, 553, 744 [NASA ADS] [CrossRef]
- André, P. 1996, in Radio Emission from the Stars and the Sun, ed. A. R. Taylor, & J. M. Paredes (San Francisco: ASP), ASP Conf. Ser., 93, 273
- Anglada, G., Estalella, R., Mauersberger, J., et al. 1995, ApJ, 443, 682 [NASA ADS] [CrossRef]
- Anglada, G., Sepúlveda, I., & Gómez, J. F. 1997, A&AS, 121, 255 [NASA ADS] [CrossRef] [EDP Sciences]
- Anglada, G., Villuendas, E., Estalella, R., et al. 1998, ApJ, 116, 2953 [NASA ADS]
- Beltrán, M. T., Estalella, R., Anglada, G., Rodríguez, L. F., & Torrelles, J. M. 2001, ApJ, 121, 1556 [NASA ADS]
- Beltrán, M. T., Girart, J. M., & Estalella, R. 2006, A&A, 457, 865 [NASA ADS] [CrossRef] [EDP Sciences]
- Benson, P. J., & Myers, P. C. 1983, ApJ, 270, 589 [NASA ADS] [CrossRef]
- Benson, P. J., & Myers, P. C. 1989, ApJS, 71, 89 [NASA ADS] [CrossRef]
- Briggs, D. 1995, Ph.D. Thesis, New Mexico Inst. of Mining and Technology
- Brooke, T. Y., Huard, T. L., Bourke, T. L., et al. 2007, ApJ, 655, 364 [NASA ADS] [CrossRef]
- Carilli, C. L., & Holdaway, M. A. 1997, Millimeter Array Technical Memo, 173 (NRAO)
- Carrasco-González, C., Anglada, G., Rodríguez, L. F., et al. 2008, ApJ, 676, 1073 [NASA ADS] [CrossRef]
- Chandler, C. J., & Richer, J. S. 2000, ApJ, 530, 851 [NASA ADS] [CrossRef]
- Chen, X., Bourke, T. L., Launhardt, R., & Henning, T. 2008, ApJ, 686, L107 [NASA ADS] [CrossRef]
- Chen, X., Launhardt, R., & Henning, T. 2009, ApJ, 691, 1729 [NASA ADS] [CrossRef]
- Choi, M., Hamaguchi, K., Lee, J-.E., & Tatematsu, K. 2008, ApJ, 687, 406 [NASA ADS] [CrossRef]
- Clarke, C. J., Bonnell, I. A., & Hillenbrand. L. A. 2000, in Protostars & Planets IV, ed. V. Mannings, A. P. Boss, & S. S. Russell (Tucson: University of Arizona Press), 151
- Condon, J. J., Cotton, W. D., Greisen, E. W., et al. 1998, AJ, 115, 1693 [NASA ADS] [CrossRef]
- de Gregorio-Monsalvo, I., Chandler, C. J., Gómez, J. F., et al. 2005, ApJ, 628, 789 [NASA ADS] [CrossRef]
- de Gregorio-Monsalvo, I., Gómez, J. F., Suárez, O., et al. 2006, ApJ, 642, 319 [NASA ADS] [CrossRef]
- Djupvik, A. A., André, Ph., Bontemps, S., et al. 2006, A&A, 458, 789 [NASA ADS] [CrossRef] [EDP Sciences]
- Estalella, R., Palau, A., Girart, J. M., et al. 2009, A&A, submitted
- Felli, M., Palagi, F., & Tofani, G. 1992, A&A, 255, 293 [NASA ADS]
- Forbrich, J., Stanke, T., Klein, R., et al. 2009, A&A, 493, 547 [NASA ADS] [CrossRef] [EDP Sciences]
- Garay G., Brooks K. J., Mardones D., & Norris R. P. 2003, ApJ, 587, 739 [NASA ADS] [CrossRef]
- Gibb, A. G. 1999, MNRAS, 304, 1 [NASA ADS] [CrossRef]
- Girart, J. M., Estalella, R., Ho, P. T. P., & Rudolph, A. L. 2000, ApJ, 539, 763 [NASA ADS] [CrossRef]
- Girart, J. M., Rao, R., & Estalella, R. 2009, ApJ, 694, 56 [NASA ADS] [CrossRef]
- Gómez, M., Hartmann, L., Kenyon, S. J., & Hewett, R. 1993, AJ, 105, 1927 [NASA ADS] [CrossRef]
- Greve, A., Kramer, C., & Wild, W. 1998, A&AS, 133, 271 [NASA ADS] [CrossRef] [EDP Sciences]
- Gutermuth, R. A., Bourke, T. L., Allen, L. E., et al. 2008, ApJ, 673, L151 [NASA ADS] [CrossRef]
- Han, F., Mao, R. Q., Lu, J., et al. 1998, A&AS, 127 181
- Harju, J., Walmsley, C. M., & Wouterloot, J. G. A. 1993, A&AS, 98, 51 [NASA ADS]
- Hartmann, L. 1998, in Accretion Processes in Star Formation, ed. A. King, D. Lin, S. Maran, J. Pringle, & M. Ward (Cambrigde: Cambridge University Press), 8
- Hartquist, T. W., Williams, D. A., & Viti, S. 2001, A&A, 369, 605 [NASA ADS] [CrossRef] [EDP Sciences]
- Herbst, E., & Klemperer, W. 1973, ApJ, 185, 505 [NASA ADS] [CrossRef]
- Ho, P. T. P., & Townes, C. H. 1983, ARA&A, 21, 239 [NASA ADS] [CrossRef]
- Hogerheijde, M. R., & Sandell, G. 2000, ApJ, 534, 880 [NASA ADS] [CrossRef]
- Huard, T. L., Sandell, G., & Weintraub, D. A. 1999, ApJ, 526, 833 [NASA ADS] [CrossRef]
- Itoh, Y., Tamura, M., & Gatley, I. 1996, ApJ, 465, L129 [NASA ADS] [CrossRef]
- Kenyon, S. J., Calvet, N., & Hartmann, L. 1993, ApJ, 414, 676 [NASA ADS] [CrossRef]
- Kun, M. 2008, Star Forming Regions in Cassiopeia, Handbook of Star Forming Regions, V. I: The Northern Sky, ASP Monograph Publications, ed. by B. Reipurth, 4, 240
- Lada, C. J. 1999, in The Origin of Stars and Planetary Systems, ed. C. J. Lada, & N. D. Kylafis (Kluwer Acad. Publ.), 143
- Lada, C. J., & Lada, E. A. 2003, ARA&A, 41, 57 [NASA ADS] [CrossRef]
- Lada, E. A., Strom, K. M., & Myers, P. C. 1993, in Protostars & Planets III, ed. E. H. Levy, & J. I. Lumine (Tucson: University of Arizona Press), 245
- Lee, J.-E., Di Francesco, J., Lai, S.-P, et al. 2006, ApJ, 648, 49 [CrossRef]
- Lehtinen, K., Harju, J., Kontinen, S., & Higdon, J. L. 2003, A&A, 401, 1017 [NASA ADS] [CrossRef] [EDP Sciences]
- Matsuyanagi, I., Itoh, Y., Sugitani. K., et al. 2006, PASJ, 58, L29 [NASA ADS]
- Moriarty-Schieven, G. H., Johnstone, D., Bally, J., & Jenness, T. 2006, ApJ, 645, 357 [NASA ADS] [CrossRef]
- Motte, F., & André, P. 2001, A&A, 365, 440 [NASA ADS] [CrossRef] [EDP Sciences]
- Motte, F., André, P., & Neri, R. 1998, A&A, 336, 150 [NASA ADS]
- Ohishi, M., Irvine, W. M., & Kaifu, N. 1992, in Astrochemistry of Cosmic Phenomena, ed. P. D. Singh (Dordrecht: Kluwer), 171
- Ojha, D. K., Tamura, M., Nakajima, Y., & Fukagawa M. 2004, ApJ, 608, 797 [NASA ADS] [CrossRef]
- Ossenkopf, V., & Henning, Th. 1994, A&A, 291, 943 [NASA ADS]
- Pauls, A., Wilson, T. L., Bieging, J. H., & Martin, R. N. 1983, A&A, 124, 23 [NASA ADS]
- Pfalzner, S., Tackenberg, J., & Steinhausen, M. 2008, A&A, 487, L45 [NASA ADS] [CrossRef] [EDP Sciences]
- Rodríguez, L. F., Anglada, G., & Curiel, S. 1999, ApJS, 125, 427 [NASA ADS] [CrossRef]
- Rodríguez L. F., Garay G., Brooks K. J., & Mardones D. 2005, ApJ, 626, 953 [NASA ADS] [CrossRef]
- Rodríguez L. F., & Reipurth, B. 1989, Rev. Mex. Astron. Astrofis., 17, 59 [NASA ADS]
- Sepúlveda, I. 1993, Master Thesis. University of Barcelona
- Sepúlveda, I. 2001, Ph.D. Thesis. Universitat de Barcelona
- Shimajiri, Y., Takahashi, S., Takakuwa, S., Saito, M., & Kawabe, R. 2008, ApJ, 683, 255 [NASA ADS] [CrossRef]
- Shu, F. H., Adams, F. C., & Lizano, S. 1987, ARA&A, 25, 23 [NASA ADS] [CrossRef]
- Sweitzer, J. S. 1978, ApJ, 225, 116 [NASA ADS] [CrossRef]
- Swift, J. J., & Welch, W. J. 2008, ApJS, 174, 202 [NASA ADS] [CrossRef]
- Tafalla, M., Myers, P. C., Caselli, P., & Walmsley, C. M. 2004, A&A, 416, 191 [NASA ADS] [CrossRef] [EDP Sciences]
- Teixeira, P. S., Zapata, L. A., & Lada, C. J. 2007, ApJ, 667, L179 [NASA ADS] [CrossRef]
- Ungerechts, H., Winnewisser, G., & Walmsley, C. M. 1986, A&A, 157, 207 [NASA ADS]
- Yang, J., Fukui, Y., Umemoto, T., & Ogawa, H. 1990, ApJ, 362, 538 [NASA ADS] [CrossRef]
- Yokogawa, S., Kitamura, Y., Momose, M., & Kawabe, R. 2003, ApJ, 595, 266 [NASA ADS] [CrossRef]
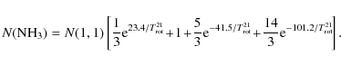
Appendix A: Derivation of
and N(NH3) from NH3 (1, 1) and (2, 2) observations
and
:
The NH3 (1, 1) method of CLASS fits the magnetic hyperfine structure of NH3 (1, 1). The output parameters for the fit to the hyperfine structure
are:
,
the velocity of the reference line, the intrinsic line width, and the optical depth of the (1, 1) main line,
(sum of the optical depths of the magnetic hyperfine components of the main line),
.
The
parameter A, according to Pauls et al. (1983), is defined as
,
where f is the filling factor. Then, from
the output parameters, and applying the radiative transfer equation, one can obtain the (1, 1) main line temperature
,
The excitation temperature


Note that no assumption is made concerning


The beam averaged column density in the (1, 1) level (Anglada et al. 1995),
the filling factor f being assumed to be 1 for our VLA observations.
To derive Eq. (A.3), N(1, 1) is not approximated to 2N+(1,1), but is taken as
(see Harju et al. 1993, for more details).
:
For NH3 (2, 2) we fitted one single Gaussian, with the (2, 2) main line temperature,
,
being an output parameter of the
fit.
:
The rotational temperature derived from NH3 (1, 1) and NH3 (2, 2) can be estimated, following Ho & Townes (1983,
Eq. (4)), by assuming that the transitions between the metastable inversion doublets are approximated as a two-level
system, and that the excitation temperature
and line width
are the same for both NH3 (1, 1) and
NH3 (2, 2). Then,
Note that we did not assume that the emission is optically thin. The assumption of a two-level system is reasonable because transitions between the metastable inversion doublets are usually much faster than those of other rotational states (Ho & Townes 1983). If the density and temperature were high enough to populate the upper non metastable states, multilevel statistical calculations would be required (e.g., Sweitzer et al. 1978).
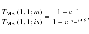
An estimate of the gas kinetic temperature can be obtained by correcting the rotational temperature derived from NH3, using the
expression given in Tafalla et al. (2004),
which is almost independent of core density and size. This relation is recommended for the range

N(NH3):
The NH3 column density was derived by following Ungerechts et al. (1986), and Harju et al. (1993). The main assumptions are: i) only
metastable levels are populated; ii)
is the same for each pair of rotational levels; iii) the ratio of the column
densities of each rotational level is the same as the ratio of the column densitiesof upper inversion levels; iv) the
contribution to the total NH3 column density comes essentially from levels with
;
v)the relative population of all
metastable levels of both orthoand para-NH3 is that given by thermal equilibrium at temperature
;
and vi) the frequencies
for the NH3 (1, 1) and NH3 (2, 2) transitions are very similar. With these assumptions,
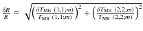
Uncertainty in
:
In order to estimate the uncertainties associated with
and N(NH3) introduced by this method, we did the
following.
The error of
was estimated by assuming optically thin emission and that the main sources of error come from
and
.
Defining
,
the
relative error is
,
with
and
given directly by the hyperfine fit. Then, the error in the rotational temperature was estimated as
As a test for the previous estimate of the error in


and derived

Footnotes
- ... telescope
- IRAM is supported by INSU/CNRS (France), MPG (Germany), and IGN (Spain).
- ... MOPSIC
- See http://www.iram.es/IRAMES/mainWiki/CookbookMopsic
- ... NRAO
- The Very Large Array (VLA) is operated by the National Radio Astronomy Observatory (NRAO), a facility of the National Science Foundation operated under cooperative agreement by Associated Universities, Inc.
- ... (AIPS)
- See http://aips.nrao.edu
- ...
- Note that the center velocity for the H2O
maser line observed with the VLA is shifted by 9 km s-1
from that of
the NH3 observations since the H2O
maser reported by Han et al.
(1998) was detected at
0.7 km s-1.
- ... GILDAS
- See http://www.iram.fr/IRAMFR/GILDAS
All Tables
Table 1: VLA observational parameters in the IRAS 00213+6530 region.
Table 2: Parameters of the 1.2 mm emission.
Table 3: Parameters of the continuum sources detected in the IRAS 00213+6530 region.
Table 4: Highly variable sources at 3.6 cm.
Table 5: Parameters of sources detected at 1.3 cm and 7 mm in the IRAS 00213+6530 region.
Table 6: NH3 line parameters obtained from the Gaussian fits to the NH3 (1, 1) and (2, 2).
Table 7: NH3 line parameters from the fits to the NH3 (1, 1) magnetic hyperfine components.
Table 8: Summary of H2O maser observations toward IRAS 00213+6530.
Table 9: Parameters of the NASA 70 m CCS line emission toward I00213.
Table 10: Parameters of the envelope model used to fit the radial intensity profile of the 1.2 mm continuum emission and the SED of MM1.
Table 11: Photometry of the MM1 clump.
Table 12: Physical parameters of IRAS 00213+6530.
Table 13: Infrared excess of 2MASS sources.
All Figures
![]() |
Figure 1:
1.2 mm continuum emission toward IRAS 00213+6530.
Contour levels are 3, 6, 9, 12, 15, 20, 25, 30 and 35 times the rms of the map, 3.8 m
|
Open with DEXTER | |
In the text |
![]() |
Figure 2:
In both panels grey contours represent the main beam brightness temperature of the main line of
the NH3
(J,K)=(1, 1) inversion transition from Sepúlveda (2001). Left: VLA 6 cm continuum
emission map (black contours) of the I00213 region. Contour levels are -3, 3, 4, 6, 10, 14, 18, 22, 32, and 42
times the rms of the map, 24 |
Open with DEXTER | |
In the text |
![]() |
Figure 3:
Top: VLA contour map of the 6 cm continuum emission toward I00213. Contour levels are -3, 3, 6, 9, 12, 15, 18, and 21
times the rms of the map, 24 |
Open with DEXTER | |
In the text |
![]() |
Figure 4:
Top panel: VLA channel maps of the NH3 (1, 1)
main line. Contours levels are -6, -3, 3, 6, 9, 12, 18, 24, 30, 33, and 36
times the rms noise of the map, 1.1 m
|
Open with DEXTER | |
In the text |
![]() |
Figure 5: Spectra toward six positions of the IRAS 00213+6530 region for NH3 (1,1) (left) and NH3 (2, 2) (right), averaged over one beam. The six positions, which are labeled on the right panel of each row, are, from top to bottom, VLA 8A, VLA 8B, IRS 1, MM2 (peak of the northwestern cloud), MM1 (peak of the central cloud), and SC (peak of the southern cloud). The vertical scale for each transition is indicated in the bottom row. |
Open with DEXTER | |
In the text |
![]() |
Figure 6:
Top panel: zero-order moment of the NH3 (1,1) main line emission. Bottom panel: zero-order moment map
of the NH3 (2,2) main line emission (black contours). Grey contours: 1.2 mm continuum emission. Grey contour levels are 3, 6, 9,
12, 25, and 35 times the rms of the map, 3.8 m
|
Open with DEXTER | |
In the text |
![]() |
Figure 7:
Top panel: first-order moment map of the NH3 (1,1) main line emission. Bottom panel: second-order
moment map of the NH3 (1,1) main line emission. Symbols are the same as in Fig. 6. Color wedge scales are
km s-1. The synthesized beam is shown at the bottom right corner of the images. Note that the second-order moment gives
the velocity dispersion, and must be multiplied by the factor
|
Open with DEXTER | |
In the text |
![]() |
Figure 8: Spectrum of the H2O maser observed with the NASA 70 m telescope on 2008 April 18. The spectrum was smoothed to a spectral resolution of 1.13 km s-1. The dashed line is a Gaussian fit to the spectrum. |
Open with DEXTER | |
In the text |
![]() |
Figure 9: Spectrum of the CCS JN=21-10 transition observed with the NASA 70 m telescope toward I00213. The dashed line is a Gaussian fit to the spectrum. |
Open with DEXTER | |
In the text |
![]() |
Figure 10: a) ``Average'' Rotational temperature map from NH3 (1,1) and NH3 (2,2) toward MM1 (see text). Scale units are in K. b) NH3 column density map. Scale units are in cm-2. In both panels red crosses mark the position of the two millimeter sources, VLA 8A and VLA 8B, and the red tilted cross marks the position of IRS 1. Note that VLA 7 lies outside the limits of this plot. |
Open with DEXTER | |
In the text |
![]() |
Figure 11: Top: circularly averaged radial intensity profile at 1.2 mm of MM1. The error bars indicate the data rms inside each 3'' wide ring. The dotted line shows the beam profile, including the error beams as given by Greve et al. (1998). The solid line shows the best fit model. Bottom: spectral energy distribution (SED) for MM1 in the IRAS 00213+6530 region. Filled circles are data from the VLA, the open circle represents the 1.2 mm (250 GHz) flux from the IRAM 30 m telescope, diamonds are IRAS data, filled diamonds are MSX data, and triangles are 2MASS data (see Table 11). The solid line is the sum of the free-free emission and envelope dust emission. |
Open with DEXTER | |
In the text |
![]() |
Figure 12: a) H2 column density map from the 1.2 mm dust emission. b) NH3 column density map. c) NH3/H2abundance map, for MM1 and the southern cloud ( left panels) and for MM2 ( right panels) in logarithmic scale. Scale units for the H2 and NH3 column density are cm-2. In all panels red crosses indicate the position of the two millimeter sources, VLA 8A and VLA 8B, and the red tilted cross marks the position of the infrared source IRS 1. The blue cross denotes the position of VLA 7. The color scale is the same for the left and right panels. |
Open with DEXTER | |
In the text |
Copyright ESO 2009
Current usage metrics show cumulative count of Article Views (full-text article views including HTML views, PDF and ePub downloads, according to the available data) and Abstracts Views on Vision4Press platform.
Data correspond to usage on the plateform after 2015. The current usage metrics is available 48-96 hours after online publication and is updated daily on week days.
Initial download of the metrics may take a while.