Issue |
A&A
Volume 506, Number 3, November II 2009
|
|
---|---|---|
Page(s) | 1083 - 1094 | |
Section | Cosmology (including clusters of galaxies) | |
DOI | https://doi.org/10.1051/0004-6361/200912287 | |
Published online | 27 August 2009 |
A&A 506, 1083-1094 (2009)
Radio observations of
ZwCl 2341.1+0000: a double radio relic cluster![[*]](/icons/foot_motif.png)
R. J. van Weeren1 - H. J. A. Röttgering1 - J. Bagchi2 - S. Raychaudhury3 - H. T. Intema1 - F. Miniati4 - T. A. Enßlin5 - M. Markevitch6 - T. Erben7
1 - Leiden Observatory, Leiden University, PO Box 9513, 2300 RA Leiden,
The Netherlands
2 - Inter-University Centre for Astronomy and Astrophysics (IUCAA),
Pune 411007, India
3 - School of Physics and Astronomy, University of Birmingham,
Edgbaston, Birmingham B15 2TT, UK
4 - Physics Department, Wolfgang-Pauli-Strasse 27, ETH-Zürich, 8093
Zürich, Switzerland
5 - Max-Planck-Institut für Astrophysik, Karl-Schwarzschild-Str.1, PO
Box 1317, 85741 Garching, Germany
6 - Harvard-Smithsonian Center for Astrophysics, 60 Garden Street,
Cambridge, MA 02138, USA
7 - Argelander-Institut für Astronomie, Universität Bonn, Auf dem Hügel
71, 53121 Bonn, Germany
Received 6 April 2009 / Accepted 30 July 2009
Abstract
Context. Hierarchal models of large-scale structure
(LSS) formation predict that galaxy clusters grow via gravitational
infall and mergers of smaller subclusters and galaxy groups. Diffuse
radio emission, in the form of radio halos and relics,
is found in clusters undergoing a merger, indicating that shocks or
turbulence associated with the merger are capable of accelerating
electrons to highly relativistic energies. Double relics are a rare
class of radio sources found in the periphery of clusters, with the two
components located symmetrically on the opposite sides of the cluster
center. These relics are important probes of the cluster periphery as
(i) they provide an estimate of the magnetic field strength, and (ii)
together with detailed modeling can be used to derive information about
the merger geometry, mass, and timescale. Observations of these double
relics can thus be used to test the framework of LSS formation. Here we
report on radio observations of ZwCl 2341.1+0000, a
complex merging structure of galaxies located at z=0.27,
using Giant Metrewave Radio Telescope (GMRT) observations.
Aims. The main aim of the observations is to study
the nature of the diffuse radio emission in the galaxy cluster
ZwCl 2341.1+0000.
Methods. We carried out GMRT 610, 241, and
157 MHz continuum observations of
ZwCl 2341.1+0000. The radio observations are
combined with X-ray and optical data of the cluster.
Results. The GMRT observations show a double
peripheral radio relic in the cluster
ZwCl 2341.1+0000. The spectral index is
for the northern relic and
for the southern relic. We have derived values of
0.48-0.93
Gauss
for the equipartition magnetic field strength. The relics are probably
associated with outward traveling merger shock waves.
Key words: radio continuum: galaxies - galaxies: active - galaxies: clusters: individual: ZwCl 2341.1+0000 - cosmology: large-scale structure of Universe
1 Introduction
Galaxy clusters grow by mergers of smaller subclusters and galaxy groups as predicted by hierarchical models of large-scale structure formation. During a clusters merger a significant amount of energy is released, of 1063-1064 erg for the most massive mergers according to these models. All massive clusters have undergone several mergers in their history and presently clusters are still in the process of accreting matter. Key properties for testing models of large-scale structure (LSS) formation include the total energy budget and the detailed temperature distribution within a cluster, which are both strongly affected by the cluster's merger history. Moreover, the physics of shock waves in the tenuous intra-cluster medium (ICM) and the effect of cosmic rays on galaxy clusters are all fundamental for our understanding of LSS formation.
Diffuse radio sources with relatively steep spectra (
),
which are not directly associated with individual galaxies, are
observed in a number of clusters (e.g., see the review by Ferrari et al. 2008).
The vast majority of clusters with diffuse extended radio sources are
massive, X-ray luminous and show signs of undergoing a merger. Shocks
and turbulence associated with the merger are thought to be responsible
for (re)accelerating electrons to highly relativistic energies and
synchrotron radiation is produced in the presence of magnetic fields
(e.g., Brunetti
et al. 2001; Ensslin et al. 1998;
Fujita
et al. 2003; Miniati et al. 2000;
Petrosian
2001). The correlation between cluster mergers and diffuse
radio emission is strongly suggested by current observational and
theoretical work, however the connection between the diffuse radio
emission and clusters mergers has still not been fully understood.
The diffuse radio sources in clusters are commonly divided
into three groups: radio halos, radio mini-halos, and relics. Radio
halos have smooth morphologies, are extended with sizes 1 Mpc,
unpolarized (with upper limits of a few percent, except Abell 2255; Govoni et al. 2005),
and are found in the center of clusters. Radio halos follow the thermal
X-ray emitting gas from the ICM. Radio mini-halos are not associated
with merging clusters and are found in the centers of cool core
clusters (e.g., Peterson & Fabian 2006;
Fabian
et al. 1991). They are associated with the central,
brightest cluster galaxy and have typical sizes
500 kpc (e.g., Govoni et al. 2009).
Radio relics can be highly polarized, are usually found in the
periphery of clusters, and have a filamentary or elongated irregular
morphology. Their polarization fraction, morphology, and location can
vary significantly, possibly reflecting different physical origins or
conditions in the ICM; see Kempner
et al. (2004).
Giant radio relics are observed in the cluster periphery, with
sizes up to several Mpc (e.g., Röttgering et al. 1994;
Clarke
& Ensslin 2006; Giovannini et al. 1991).
These giant radio relics sometimes show symmetric or ring-like
structures and are highly polarized (10-
at 1.4 GHz). They are probably signatures of electrons
accelerated at large-scale shocks. Smaller relics have been found
closer to cluster centers. In this case they could be ``radio ghosts'',
i.e., remnants of past AGN activity. All known radio relics and halos
are found in clusters that show signs of undergoing a merger. This
gives strong support for the scenario in which the electrons are
accelerated by merger-induced shocks or turbulence. Giacintucci et al.
(2008) reported that the location of the peripheral relic in
Abell 521 coincided with an X-ray brightness edge. This edge
could well be the shock front where particles are accelerated. The
spectral index of
for the A521 relic is in agreement with the low Mach numbers expected
in clusters mergers (see below). This suggests that at least in some
clusters, the relativistic particles responsible for the presence of a
peripheral radio relic are accelerated in a shock front. However, not
all merging clusters host a diffuse radio source, indicating that other
processes must be identified for a full understanding of this
phenomena.
The class of double radio relics is particular interesting because, based on current models of electron acceleration for this class of radio sources, it enables us to explore the connection between clusters mergers and shock waves (e.g., Roettiger et al. 1999; Ensslin et al. 1998). In this case two (sometimes ring-like) relics are found in the periphery, symmetric with respect to the cluster center as traced by the X-ray emission. These relics are thought to trace an outward traveling shock emanating from the cluster center, which was created during a cluster merger with a smaller substructure. An alternative shockwave-inducing mechanism is that of external ``accretion'' shocks where the intergalactic medium (IGM) in filaments of galaxies funnels deep into the cluster (Keshet et al. 2003; Miniati et al. 2000; Miniati 2003). The merger shocks are weaker than external accretion shocks, since the gas has already been heated by these external shocks. The external accretion shocks occur farther out than the merger shocks up to a few times the virial radius of the cluster. However, the gas density is much higher closer to the cluster center so the energy densities in cosmic ray (CR) electrons and magnetic fields are also higher. Accretion shocks of filaments can therefore also be responsible for the occurrence of peripheral radio relics (Miniati et al. 2001). While double relics are allowed in the filament accretion picture, they are not necessarily symmetric with respect to the X-ray elongation axis. A symmetric configuration arises naturally in the binary cluster merger picture (e.g., Roettiger et al. 1999).
Double relics are rare, with only five of them known in total. Abell 3667 hosts a giant double relic (Röttgering et al. 1997) with a total size of 3.8 Mpc. A numerical model for the diffuse radio and X-ray emission in A3667 was presented by Roettiger et al. (1999) where the formation of the double relics was explained by an outgoing merger shock front. The model suggested that the two relics were produced by a slightly off-axis merger about 1 Gyr ago, with the merging subcluster having 20% of the mass of the primary cluster. Their model correctly predicted (i) the orientation of the X-ray emission; (ii) the spectral index gradients of the radio relics with steeper spectra farther away from the shock front due to spectral aging; (iii) the approximate location of the radio emission with respect to the X-ray emission; and (iv) roughly the shape of the two relics.
The double radio relic around Abell 3376 (Bagchi et al. 2006) has a maximum size of about 2 Mpc. Bagchi et al. (2006) argue that the relics can be explained by outgoing merger shocks or by accretion shocks tracing the infall of the inter galactic medium (IGM) or warm-hot intergalactic medium (WHIM) onto the cluster at approximately the viral radius. RXC J1314.4-2515 (Valtchanov et al. 2002; Feretti et al. 2005; Venturi et al. 2007) also hosts a double relic. This is the only cluster known to have a radio halo and a double radio relic.
Bonafede et al. (2009) present observations of double relics in Abell 2345 and Abell 1240. The polarization fraction for the relics in A2345 was found to be 22% and 14%. For A1240, values of 26% and 29% were derived. Steepening of the spectral index was observed away from the shock front towards the center of the cluster for one relic in A1240 (the data for the other relic was consistent with this trend), as well as for one relic in A2345. They concluded that these trends are consistent with shock model predictions. An opposite trend has been seen for the second relic in A2345, i.e., steeper spectra farther away from the cluster center. This trend could be explained by the peculiar position of the relic between two merging substructures.
![]() |
Figure 1:
X-ray emission from Chandra in the 0.5-3.0 keV energy band.
Point sources were excluded from the image, see Raychaudhury
et al. (in prep.). The image has been convolved with
a circular Gaussian of 24
|
Open with DEXTER |
In this paper we present deep low-frequency Giant Metrewave Radio
Telescope (GMRT) observation of the merging system
ZwCl 2341.1+0000 at 610, 241, and 157 MHz.
These observations were taken to investigate the nature of the diffuse
radio emission within the cluster and explore the connection between
the radio and the X-ray emission. ZwCl 2341.1+0000 (
,
)
is a complex cluster galaxies, composed out of several different
subclusters, probably at the junction of supercluster filaments (Raychaudhury et al., in prep.;
Bagchi
et al. 2002). The system is located at a redshift of
z = 0.27 (using SDSS DR7 spectroscopic redshifts of
several galaxies in the vicinity). The cluster is also listed as
SDSS CE J355.930756+00.303606 and NSCS
J234339+001747. Galaxy isodensity maps, derived from SDSS imaging
data, show an elongated cluster of galaxies, including several
subclusters distributed roughly along a north-south axis. A galaxy
filament is seen branching off from the main structure towards the
northeast.
Bagchi
et al. (2002) discovered the presence of diffuse
radio emission in 1.4 GHz NVSS images (FWHM
45
Condon et al. 1998),
as the emission was not seen in higher resolution 5
FIRST images (White
et al. 1997; Becker et al. 2003)
around ZwCl 2341.1+0000.
Very Large Array (VLA) observations at 325 MHz confirmed the
presence of diffuse emission in the cluster, although the resolution in
the corresponding images was rather low (
),
making it difficult to disentangle the diffuse emission from compact
sources. At 325 MHz an extension of diffuse emission towards
the northeast was suggested, with a spectral index <-0.9, as
well diffuse radio emission following the north-south galaxy
distribution. The spectral index (between 1400 and 325 MHz) of
the diffuse emission was found to be
-0.5, which is not steep
compared to other diffuse radio sources in clusters. The derived
equipartition magnetic field strength was
Gauss.
Bagchi
et al. also found the system to be an extended
source in ROSAT PSPC All-Sky X-ray Survey. They concluded that the
diffuse radio emission was the first evidence of cosmic-ray particle
acceleration taking place at cosmic shocks in a magnetized IGM on
scales
5 Mpc.
Raychaudhury et al. (in prep.) obtained high sensitivity X-ray observations of ZwCl 2341.1+0000 using the Chandra and XMM-Newton satellites. They find the X-ray emission span about 3.3 Mpc in the north-south direction. An extension towards the east is also visible (see Fig. 1). The X-ray data show a complex, clearly disturbed ICM, indicating a merger in progress.
The layout of this paper is as follows. In Sect. 2 we give an overview of the observations and data reduction. In Sects. 3 and 4 we present the radio maps and compare them to the X-ray and galaxy distribution. In Sect. 5 we present the spectral index maps and derive the equipartition magnetic field strength. We end with a discussion and conclusions in Sects. 6 and 7.
Throughout this paper we assume a CDM cosmology with
H0
= 71 km s-1 Mpc-1,
,
and
.
At a distance of z=0.27, 1
corresponds to a
physical scale of 246 kpc.
2 Observations and data reduction
High-sensitivity radio observations of the merging cluster ZwCl 2341.1+0000 were carried out with the GMRT at 610, 241, and 157 MHz. The 241 and 610 MHz observations were carried out simultaneously using the dual-frequency mode. At 610 MHz only the righthanded circular polarization (RR) was recorded and at 241 MHz only the left-handed circular polarization (LL). Both upper (USB) and lower (LSB) sidebands were recorded at 610 MHz resulting in a total bandwidth of 32 MHz. At 241 MHz only the USB was recorded with a effective bandwidth of 6 MHz (see below). The data were collected in spectral line mode with 128 channels per sideband (IF), resulting in a spectral resolution of 125 kHz per channel. The 157 MHz observations recorded the LSB sideband and included both LL and RR polarizations. The data were also collected in spectral line mode with 128 channels and a total bandwidth of 8 MHz (62.5 kHz per channel). The total integration time for the dual-frequency 610 and 241 MHz observations was 12.9 h. For the 157 MHz observations this was 6.25 h. A summary of the observations is given in Table 1.
Table 1: Observations.
The data was reduced and analyzed with the NRAO Astronomical
Image Processing System (AIPS) package. Bandpass calibration was
carried out using the standard flux calibrators: 3C 48,
3C 147, and 3C 286. The flux densities for our
primary calibrators were taken from the Perley
& Taylor (1999) extension to the Baars et al. (1977)
scale. This results in 29.43 Jy for 3C 48 and
38.26 Jy for 3C 147 at 610 MHz;
51.05 Jy and 59.42 Jy at 241 MHz. At
157 MHz, the flux density scale gives 62.71 Jy for
3C 48 and 31.02 Jy for 3C 286. A set of
channels (typically 5) free of radio frequency interference (RFI) were
taken to normalize the bandpass for each antenna. We removed strong
radio frequency interference (RFI) automatically with the AIPS task
``FLGIT'', but also carefully visually inspected the data for remaining
RFI using the AIPS tasks ``SPFLG'' and ``TVFLG''. The RFI was partially
strong at 241 and 157 MHz. The antenna gains were set using
the primary (bandpass) and secondary calibrators and applied to our
target source. We have not chosen to average any channels to aid
further removal of RFI at a later stage. The first and last few
channels of the data were discarded as noisy. At 241 MHz, only
the first
of the 16 MHz bandwidth is usable.
For making the images (used subsequently in the
selfcalibration), we used the polyhedron method (Perley 1989; Cornwell
& Perley 1992) to minimize the effects of
non-coplanar baselines. At 610 MHz the USB and LSB were
reduced separately. We used a total of 199 facets covering 2 times the
full primary beam in order to remove sidelobes from strong sources far
away from the field center. After a first round of imaging, ``ripples''
in the background were subsequently removed by identifying
corresponding bad baseline(s). Several rounds of phase selfcalibration
were carried out before doing a final amplitude and phase
selfcalibration. A deep image was made, and the corresponding clean
component model was subtracted from the UV-data. This data was then
visually inspected for remaining low-level RFI and flagged
automatically with ``FLGIT'' using a
rms clip before adding back the clean component model to the UV-data.
The data was then averaged to 22 (610 MHz), 8
(241 MHz), and 11 (157 MHz), channels. The
610 MHz USB and LSB were combined using the tasks ``UVFLP''
(Garn et al. 2007)
written by Green, ``BLOAT'', and ``DBCON'' so they could be
simultaneously imaged and cleaned.
The 157 MHz data was further calibrated for
ionospheric phase distortions, because they can become quite severe at
this frequency, using the SPAM package by Intema et al. (2009).
Phase solutions of the 10 brightest sources within the field of view
were used to fit an ionospheric model to the data. The resulting
direction-dependent phase corrections were applied during imaging using
the Cotton-Schwab clean algorithm (Schwab 1984; Cotton
1999; Cornwell et al. 1999).
This lowered the rms noise in the image by factor of 1.2 with respect
to conventional selfcalibration. The final 610 and 241 MHz
images were made using CASA (formerly AIPS++),
using w-projection (Cornwell et al. 2008,2005)
with 512 internal planes
.
We weighted our UV-data using robust weighting 0.5 (Briggs 1995), increasing the
noise level in the maps by about 15%. The 610 and 241 MHz were
cleaned with the Multi-scale CLEAN algorithm (Cornwell 2008)
yielding significantly better results than Clark CLEAN for large-scale
diffuse emission. Five different convolving scales were used at
610 MHz (0.0
,
3.6
,
18.0
,
60.0
,
120.0
)
and three at 241 MHz (0.0
,
9.3
,
15.5
). We checked absolute flux
calibration by obtaining flux measurements from the literature for 15
strong compact sources within our field from 74 MHz to
4.8 GHz. These flux measurements were fitted with second order
polynomials in log-space to obtain the radio spectra. The fitted
spectra were then compared to fluxes measured from the GMRT maps. The
accuracy of the absolute flux calibration was found to be about 5-
at all three frequencies, in agreement with values derived by Chandra et al. (2004).
![]() |
Figure 2:
Radio map at 610 MHz. The greyscale image represent the
high-resolution map with a restoring beam size of
|
Open with DEXTER |
The theoretical thermal noise in the image is given by
![]() |
(1) |
with the











![[*]](/icons/foot_motif.png)

















![]() |
Figure 3:
Radio map at 241 MHz. The restoring beam size is
|
Open with DEXTER |
![]() |
Figure 4:
Radio map at 157 MHz. The restoring beam size is
|
Open with DEXTER |
3 Results
A summary of the maps made, the corresponding restoring beam values and noise levels, is given in Table 1. The high-resolution maps at three different frequencies are shown Figs. 2-4.
Table 2: Source properties.
We labeled the compact (
)
radio sources alphabetically in order to clarify the discussion of the
different sources found in the maps, see Fig. 2 and
Appendix A.
We only chose to label the brightest sources and those located close to
regions with diffuse emission. The 610 MHz, as well as the
241 MHz image, show two regions of diffuse emission, one to
the north of the cluster center (RN: relic north) and one in the south
(RS: relic south). The southern diffuse region consists of three
different components labeled RS-1, RS-2, and RS-3. RS-3 seems to be
detached from RS-1 and RS-2. A hint of the diffuse emission is visible
in the 157 MHz map at the
level. Given that the diffuse sources are located in the periphery of
the cluster and the diffuse emission does not seem to be associated
with any of the radio galaxies, we will refer to them as relics (see
Sect. 6).
Several compact sources related to AGNs, including several possible
head-tail sources, are located within the cluster. Other compact
sources are related to AGNs located behind or in front of the cluster.
An overview of the labeled sources with their flux densities and
spectral indices is given in Table 2.
Source A is located in the center of the clusters (near the X-ray emission peak, see Sect. 4). Other bright sources include B northeast to RN, D in the far north, and G in the south north of RS-2. Several fainter sources are visible close to relic RN, namely E and F, and nearby RS, namely H, I, J, K, and L.
Sources A, B, and D are also detected by the 1.4 GHz FIRST
survey. Source G is not listed in the FIRST catalog, but a hint is seen
in the FIRST image. In the 1.4 GHz NVSS image sources A, B, D, and G
are visible, and the combined emission from sources I, J, K, L, RS-2,
and RS-1. A hint of source RN is seen (blended with B). In the
325 MHz image from Bagchi
et al. (2002) source A and B are visible, although
the resolution is not high enough to separate source B from the relic
RN. The northeast extension of diffuse emission towards source D, which
was detected at the -level
in the 325 MHz image from Bagchi
et al., is not visible in any of our maps,
indicating that this feature is not real.
The deep high-resolution 610 MHz map shows that the
radio relics RN and RS are truly diffuse and do not originate from
compact sources. RN has a size of about 1.5 by 1
(0.37
by 0.25 Mpc) and a total flux of 14, 21, and 36 mJy at 610,
241, and 157 MHz, respectively. RS (RS-1 + RS-2 + RS-3) has a
size of about 5
by
2
(1.2
by 0.49 Mpc) and a total flux of 43 mJy (610 MHz), 72
(241 MHz), and 70 mJy (157 MHz), see
Table 2.
We subtracted the flux contribution of the compact sources (E, F, I, J,
K, and L) at 610 MHz from RS and RN. At 241 and
157 MHz we assumed a spectral index of -0.5, because the
resolution at those frequencies was too low to properly identify these
sources within the diffuse emission. The flux of RN and RS was
determined by measuring the flux within a region showing the diffuse
emission (using the lowest contour visible in the convolved
610 MHz image in Fig. 1) with the AIPS
task ``TVSTAT''.
A description of the compact sources and their optical counterparts is given in Appendix A.
4 Radio, X-ray, and galaxy distribution comparison
An X-ray map of 0.5-3.0 keV X-ray emission from Chandra with
radio contours is shown in Fig. 1. The Chandra
image was taken from Raychaudhury
et al. (in prep). These observations had a net
exposure time of 29.5 ks, and the cluster was placed on the
ACIS I3 CCD array. Point sources were removed from the maps based on
the criteria described in Raychaudhury
et al. The X-ray image shows extended emission
roughly in the north-south direction. A fainter northeastern extension
is also visible. The morphology clearly shows a highly distorted ICM,
an indication of a recent or ongoing merger. The global temperature in
the cluster was found to be 5 keV.
The cluster has a total X-ray luminosity (
,
0.3-8.0 keV) of
erg s-1.
The combined (restframe) radio power
of the two relics is
W Hz-1.
The two diffuse radio structures are located to the north and the south
of the X-ray emission, symmetrically with respect to the cluster
center. The radio emission is located outside the X-ray bright area,
similar to the double relics found in A3667, A3376, A2345, and A2140 (Röttgering
et al. 1997; Bagchi et al. 2006;
Bonafede
et al. 2009). The relics appear elongated
perpendicular to the direction of the main merger apparent from the
X-ray data (the main merger axis is orientated north-south). No central
radio halo is detected, with a limit on the surface brightness of
1.5
Jy arcsec-2.
The largest spatial scale detectable in the 610 MHz map is
about 4
,
which corresponds to a physical size of 1 Mpc. This indicates
that a possible radio halo in ZwCl 2341.1+0000 has a
size
1 Mpc,
or a very low surface brightness; or alternatively, it does not exist
at all.
An optical R band image from the Wide Field Imaging (WFI)
system at the MPG/ESO 2.2m telescope, showing the large-scale galaxy
distribution around ZwCl 2341.1+0000, is shown in
Fig. 5.
For more details about this image see Raychaudhury
et al. (in prep.). The galaxy isodensity contours
are also indicated in Figs. 1 and 5. The surface
density of galaxies (per square arcmin) was computed using the
photometric redshifts from the SDSS DR7 catalogs. Galaxies between
were selected from the catalogs, with
(typically between 0.02 and 0.06) the error in the photometric
redshift. This assures that galaxies at approximately the distance of
the cluster are selected while fore-/background galaxies are omitted.
The galaxy distribution more or less follows the X-ray emission. The
fainter northeastern extension in the X-ray emission is associated with
a galaxy filament extending roughly in the same direction. Several
substructures are visible within the main north-south galaxy structure.
5 Spectral index and equipartition magnetic field strength
5.1 Spectral index
Radio spectra can be an important tool for understanding the origin of
the relativistic electrons. We have created a spectral index map
between 610 and 241 MHz, by convolving the 610 MHz
image to the 241 MHz resolution, see Fig. 6. We blanked
pixels with a signal-to-noise ratio (SNR) below 3 in both maps. The
errors in the spectral index are displayed in Fig. 7 and are
based on the rms noise in the images. Taking the uncertainty of about
in the absolute flux calibration into account results in an additional
systematic error in the spectral index of
.
Spectral index variations are visible for RS and RN. At the location of compact sources (I, J, K, and L) embedded within the relic RS, the spectral index is relatively flat, around -0.5. A region with steep steep spectra is found in the northern region of RS-2. The spectral index of RN seems to steepen towards the east. However one has to be careful not to overinterpret these variations, as residual calibration errors may have resulted in artificial variations. Furthermore, differences in the UV-coverage can also have introduced spurious variations in the spectral index map. For source A, there is an indication of spectral steepening towards the northwest consistent with the hypothesis that the core of the radio source is located southeast. The same is observed for source B, with steepening towards the north.
![]() |
Figure 5:
Large-scale galaxy distribution around
ZwCl 2341.1+0000. The optical R band image, a
combination of several individual exposures resulting in a total
exposure time of 7800 s, was obtained with the WFI at the
MPG/ESO 2.2 m telescope. Dashed contours show the galaxy
isodensity contours from SDSS, for details see Fig. 1. The image shows
an area of
|
Open with DEXTER |
![]() |
Figure 6:
Spectral index map between 610 and 241 MHz with a resolution
of 18
|
Open with DEXTER |
The integrated spectral index for RN (excluding the compact sources) is
,
with the second error the previously reported systemic flux calibration
error. The spectral index of -0.49 is consistent with the value of
measured by Bagchi
et al. (2002). For RS (not including RS-3), we find
,
somewhat steeper than the value of
reported by Bagchi
et al. but consistent within the errors. The
spectral indices were determined by fitting a simple power-law spectra
through the integrated fluxes for RN and RS. The flux measurements in
this work were combined with those measured from the images presented
by Bagchi
et al. (2002). The fluxes were determined in a fixed
region, which was the same at all frequencies (without blanking).
Compact sources were subtracted using the flux measurements at
610 MHz and a spectral index of -0.5.
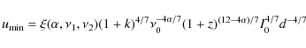
5.2 Equipartition magnetic field
The presence of magnetic fields in the cluster on scales 1 Mpc
is demonstrated from the observed synchrotron radiation from the two
radio relics (RN and RS). The strength of the magnetic field can be
estimated by assuming minimum energy densities in the radio sources.
The minimum energy density (in units of erg cm-3)
is given by
with


This method calculates the synchrotron luminosity using a fixed high and low-frequency cutoff (




Using a ratio of unity for the energy in relativistic protons to that in electrons (i.e., k=1) and applying the first of the previous two methods, we derive an equipartition magnetic field of








![]() |
Figure 7:
Spectral index error map between 610 and 241 MHz. The
uncertainty of about |
Open with DEXTER |









![$\gamma \sim 5 \times 10^{2}~\times\left( \nu\mbox{[MHz]}/ B_{\perp}\mbox{[$\mu$ Gauss]} \right)$](/articles/aa/full_html/2009/42/aa12287-09/img133.png)

6 Discussion
We have interpreted the diffuse radio emission in the periphery of ZwCl 2341.1+0000 as a double radio relic, arising from outgoing shock fronts because of a cluster merger. This interpretation is based on (i) the location of the diffuse radio emission with respect to the X-ray emission; (ii) the presence of an elongated structure of galaxies in optical images; (iii) the orientation of the symmetry axis of the double relic perpendicular to the elongation axis of the X-ray and optical emission; (iv) the morphology of the X-ray emission; (v) the lack of a direct connection between the diffuse emission and the radio galaxies within the cluster; and (vi) the presence of head-tail galaxies, which are commonly found in merging clusters (e.g., Burns et al. 1994). This is all clear evidence that we are witnessing a merging system of subclusters where electrons are (re-)accelerated by large-scale shocks. Neither the Chandra nor the XMM-Newton X-ray images (Raychaudhury et al.) show any shock fronts at the location of the relics. However, both observations are probably too short to see any sharp details in the low-brightness X-ray regions so far from the cluster center.
6.1 Alternative explanations
AGN also provides a source of relativistic electrons, and the question
arises whether the diffuse radio emission could be related to an AGN.
In particular, could RS and RN be the lobes of a giant radio galaxy
located within the cluster? This seems unlikely, as (i) no host galaxy
is visible located roughly halfway between RN and RS. The most likely
candidate would then be source A, but this source has the
morphology of a compact head tail source, with no indication of a
large-scale jet. The arm-length ratio of 1.9 between the two lobes and
the core would also be quite extreme, because arm-length ratios are
typically smaller than 1.5 (e.g., Konar
et al. 2008). A faint 0.6 mJy source (RA 2343
39.7
,
Dec 00$^$17
55
0)
is located below A, resulting in a more reasonable arm-length
ratio of about 1.3. But this source seems to be associated with a much
more distant
galaxy. It could also be that the host galaxy is no longer active and
therefore no central radio source is visible; however, in this case the
spectral index of the lobes is expected to be steeper than about -1,
which is not observed; (ii) this would make it one of the largest radio
galaxies known with a size of 2.2 Mpc, but radio galaxies of
this size are very rare. The largest known radio source is
J1420-0545, with a projected size of 4.69 Mpc (Machalski et al. 2008);
and (iii) these giant radio galaxies do not reside in a high-density
cluster environment. Bagchi
et al. (2002) came to the same conclusion that
sources RN and RS are probably not related to a giant radio galaxy.
Another possibility is that the electrons originate from some of the
compact sources located in or around the regions with diffuse emission.
However, RN does not seem to be associated with the proposed head-tail
source B, with the tail pointing north and RN located to the west.
Source E and F are located within the diffuse emission but are
unresolved. Source F would then be the most likely candidate because it
is located at the distance of the cluster (source E is located behind
the cluster with
).
However, in that case we would expect some head-tail morphology, but
the source is compact.
RS-1 and RS-2 could be the radio lobes from source L, which
coincides with an elliptical galaxy (probably a member of the cluster,
).
The radio source would then span a size of about 700 kpc.
However the morphology of RS-1 and RS-2 is not entirely consistent with
this scenario because no obvious lobe structure is visible. Furthermore
there are no jets originating from L and the radio bridge connecting
the two relics (RS-1 and RS-2) is very wide. In fact source L is
completely embedded within the diffuse emission. The diffuse emission
could also be associated with sources J, K, which could have supplied
the radio plasma. However, no clear connection is visible although
sources J and K are resolved. Both of these scenarios also fail to
explain the presence of RS-3. An association with source G is also
unlikely since it seems to be completely detached from the diffuse
emission.
6.2 Comparison of spectral indices and magnetic field strengths with other double relics
Röttgering et al.
(1997) report a spectral index of -1.1 for the northern relic of
A3667 (between 85.5, 408, and 843 MHz). For RXC
J1314.4-2515, Venturi
et al. (2007) report a spectral index of about -1.4
for both relics between 1400 and 610 MHz. Bonafede et al. (2009)
report integrated spectral indices of -1.5 and -1.3 between 1400 and
325 MHz for A2345 and -1.2, -1.3 for A1240. Spectral
steepening was observed away from the shock front towards the center of
the cluster for one relic in A1240 (the data for the other relic was
consistent with this trend) as well as for one of the relics in A2345.
If the relics trace outward traveling shock fronts, spectral steepening
towards the cluster center is expected because of spectral aging. Our
low SNR in the 241 MHz map means that this cannot be tested
for the double relics in ZwCl 2341.1+0000, although
this prediction relies on several assumptions about the viewing angle,
the magnetic field structure, and some assumptions about the merger
geometry. A detailed merger scenario is presently unavailable from
optical and X-ray observations.
Our derived spectral indices of -0.49 (RN) and -0.76 (RS) are
not particularly steep, although the errors in the spectral indices are
relatively large. We also note that some large-scale variations in the
background flux level are present, in particular east of the northern
relic. By measuring the total flux within with an area just east of RN,
we estimate that this could have potentially resulted in the flux loss
of 10 mJy. If correct, this suggests a spectral indices of -0.6 for RN.
High-sensitivity observations, at for example 325 MHz, are
needed to resolve this issue and create better spectral index maps.
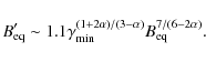
Equipartition magnetic fields of about Gauss have
been derived for several clusters having radio halos or relics (e.g., Govoni & Feretti 2004).
Our derived equipartition magnetic field strength of approximately
0.6
Gauss
is comparable to values derived for other double relics. Bagchi et al. (2006)
derive a value of 0.5-3.0
Gauss for the double relics in A3376,
and Bonafede
et al. (2009) derived field strengths of
1.0-2.5
Gauss
for A1240 and 0.8-2.9
Gauss for A2345.
Equipartition field strength should be used with caution, not only for their dependence on merely guessed properties of the electron spectrum, but also for the assumption of equipartition between relativistic particle and magnetic field energies, which may or may not be established by physical processes in the synchrotron emitting region. Faraday rotation and inverse Compton (IC) scattering of CMB photons by relativistic electrons in the relics can also give an independent estimate of the magnetic field strength. Both techniques give similar results (within a factor of 10) to the derived equipartition magnetic field strength, indicating that the assumptions made are reasonable (see Ferrari et al. 2008; Govoni & Feretti 2004; Bonafede et al. 2009, and references therein).
6.3 Origin of the double relic
The presence of Mpc scale radio emission in the periphery of the
cluster requires an acceleration mechanism for emitting relativistic
particles.
This is naturally provided by the diffusive shock acceleration
mechanism (DSA; Axford et al. 1977;
Drury
1983; Blandford & Eichler 1987;
Jones
& Ellison 1991; Malkov & O'C Drury 2001;
Krymskii
1977; Blandford & Ostriker 1978;
Bell
1978b,a) via the Fermi-I
process (Miniati et al. 2001;
Ensslin
et al. 1998). In this scenario
the synchrotron spectral index, ,
of the relativistic electrons is determined by the slope, q,
of the underlying CR distribution function,
which in turn depends on the shock Mach number,
(Sarazin
2002; Landau & Lifshitz 1959).
The
relevant expressions (in linear theory) are
![]() |
(5) |
For strong shocks,

However, the high-energy electrons responsible for the
synchrotron emission
have a finite lifetime given by
![]() |
(6) |
with B the magnetic field strength and






In the post-shock flow, the accelerated particles are most likely
trapped by the strong turbulent field generated by the shock itself.
Then, the extent of the region within which diffuse radio emission is
expected to be visible can be roughly estimated by taking the product
of the particles cooling time and the shock speed (Miniati et al. 2001).
This typically gives a few hundred kpc, roughly consistent with the
thickness of the sources observed in Fig. 1. The lateral
extent, on the
other hand, is related to the size and strength of the shock.
In addition, the energy losses mean that the longer the distances from
the acceleration site (shock front), the lower the energy cutoff
appearing in the particle distribution
function. As it turns out, the combination of the particles
distribution
functions at different locations has a slope that is steeper by one
unit with respect to the one at the acceleration site (Bagchi
et al. 2002). As a result,
although the spectrum is flat at the acceleration site (
), we expect to measure a
spectral index closer to minus one. Higher values than this (i.e.,
flatter radio spectra) can either indicate a continuous acceleration in
the post-shock
region, incomplete shock acceleration model, a systematic error in the
calculation of the spectral index, or a combination thereof.
Our spectral spectral indices are relatively flat and
marginally consistent
with the above description in which the radio emitting electrons are
shock-accelerated. Such flat spectral indices have also been found for
other
merger related relics. An example is the relic in Abell 2256.
Brentjens (2008)
measures a spectral index of -0.5 for
some parts of the relic between 338 and 365 MHz. The
integrated
spectral index for the relic was found to be
,
similar
to that in ZwCl 2341.1+0000.
High mach number shocks are required for efficient particle
acceleration (Blandford
& Eichler 1987). Numerical simulations indicate the
development of different types of shocks during structure formation,
including external accretion shocks, as well as merger and flow
shocks, both of which are internal to a galaxy
cluster (Miniati
et al. 2000). These shocks differ in their
respective
Mach number, (e.g., Skillman et al. 2008;
Ryu
et al. 2003; Miniati et al. 2000;
Miniati
2002; Pfrommer et al. 2006).
External accretion shocks,
which process the low-density, unshocked IGM, have
,
which result in flat spectral indices at the acceleration site of
about -0.5. Although some level of diffuse radio emission is
expected there, the surface brightness is too low to be detected by
current facilities, owing to the expected low density of both magnetic
field energy and CR particles there (Miniati et al. 2001;
Hoeft
et al. 2008; Pfrommer et al. 2008).
Nevertheless, these shocks could possibly
shine and be detected in gamma rays
(Keshet
et al. 2003; Loeb & Waxman 2000;
Miniati
2002; Miniati et al. 2007;
Miniati
2003). Internal shocks produced by accretion through
filaments are weaker than the external accretion
shocks but still strong enough to produce flat spectra at the shock
front.
In addition, unlike external accretion shocks, they occur in a high
enough density environment to be detected by
current radio facilities. Finally, binary merger shocks are weak and
inefficient in
the initial stages of the impact. As the shocks propagate outward into
the lower density environment, however, they steepen and evolve into
high Mach number shocks. Therefore, these shocks too are viable
candidates for the origin of the observed radio emission. Also, a weak
shock with
seems to be able to produce a peripheral radio relic in A521 (Giacintucci et al. 2008),
so it may be that the Mach numbers do not need to be that high for
efficient particle acceleration.
While, in principle, according to simulations double relics are allowed in the filament-shock-accretion picture discussed above, there is no reason why they should be symmetric with respect to any particular axis. Instead, a symmetric configuration with respect to the X-ray elongation axis arises quite naturally in the binary merger picture (Roettiger et al. 1999). Thus the morphological and symmetry properties of the source as they emerge from the combined X-ray and radio image seem to strongly suggest that the double radio relic is associated with a binary merger scenario.
7 Conclusions
We have presented low-frequency radio observations of the merging cluster ZwCl 2341.1+0000 at 610, 241, and 157 MHz taken with the GMRT. The radio maps show two diffuse structures to the north and south of the cluster, which we classify as a double radio relic, where the particles are accelerated by the DSA mechanism in an outward moving shock. Our interpretation is different from Bagchi et al. (2002), which proposed that the radio emission originated from cosmic shocks in the IGM. The relics are located along the elongated X-ray axis (i.e, the merger axis). Their orientation is perpendicular to this axis and the radio emission straddles the outer boundary of the X-ray emission. Several possible head-tail sources are also found within the cluster.
The derived galaxy distribution shows an elongated structure
consisting out of several substructures, and a galaxy filament
extending towards the northeast that seems to be connected to the main
structure. This extension is also visible in the Chandra X-ray images.
The radio spectral indices found are relatively flat,
for the northern relic and
for the southern relic. The derived equipartition magnetic field
strength is
0.6
Gauss,
comparable to values derived for other double relics. The two radio
relics on both sides of the cluster are probably outward traveling
shocks caused by a major merger event. High SNR radio spectral index
maps, together with more detailed optical and X-ray analyses of the
cluster, will be needed to further test the merger scenario, in
particular whether radial spectral steepening of the relics is observed
towards the cluster center. This would be evidence of an outward
traveling shock.
We would like to thank the anonymous referee for the useful comments. We would like to thank T. E. Clarke for her help with the GMRT proposal. We thank the staff of the GMRT who have made these observations possible. GMRT is run by the National Centre for Radio Astrophysics of the Tata Institute of Fundamental Research. RJvW acknowledges funding from the Royal Netherlands Academy of Arts and Sciences.
Funding for the SDSS and SDSS-II has been provided by the Alfred P. Sloan Foundation, the Participating Institutions, the National Science Foundation, the U.S. Department of Energy, the National Aeronautics and Space Administration, the Japanese Monbukagakusho, the Max Planck Society, and the Higher Education Funding Council for England. The SDSS Web Site is http://www.sdss.org/. The SDSS is managed by the Astrophysical Research Consortium for the Participating Institutions. The Participating Institutions are the American Museum of Natural History, Astrophysical Institute Potsdam, University of Basel, University of Cambridge, Case Western Reserve University, University of Chicago, Drexel University, Fermilab, the Institute for Advanced Study, the Japan Participation Group, Johns Hopkins University, the Joint Institute for Nuclear Astrophysics, the Kavli Institute for Particle Astrophysics and Cosmology, the Korean Scientist Group, the Chinese Academy of Sciences (LAMOST), Los Alamos National Laboratory, the Max-Planck-Institute for Astronomy (MPIA), the Max-Planck-Institute for Astrophysics (MPA), New Mexico State University, Ohio State University, University of Pittsburgh, University of Portsmouth, Princeton University, the United States Naval Observatory, and the University of Washington.
This research has made use of the NASA/IPAC Extragalactic Database (NED), which is operated by the Jet Propulsion Laboratory, California Institute of Technology, under contract with the National Aeronautics and Space Administration. This research has made use of the VizieR catalogue access tool, CDS, Strasbourg, France.
References
- Axford, W. I., Leer, E., & Skadron, G. 1977, in Int. Cosmic Ray Conf., 11, 132
- Baars, J. W. M., Genzel, R., Pauliny-Toth, I. I. K., & Witzel, A. 1977, A&A, 61, 99 [NASA ADS]
- Bagchi, J., Enßlin, T. A., Miniati, F., et al. 2002, New Astron., 7, 249 [NASA ADS] [CrossRef]
- Bagchi, J., Durret, F., Neto, G. B. L., & Paul, S. 2006, Science, 314, 791 [NASA ADS] [CrossRef]
- Beck, R., & Krause, M. 2005, Astron. Nachr., 326, 414 [NASA ADS] [CrossRef]
- Becker, R. H., Helfand, D. J., White, R. L., Gregg, M. D., & Laurent-Muehleisen, S. A. 2003, VizieR Online Data Catalog, 8071, 0
- Bell, A. R. 1978a, MNRAS, 182, 147 [NASA ADS]
- Bell, A. R. 1978b, MNRAS, 182, 443 [NASA ADS]
- Blandford, R., & Eichler, D. 1987, Phys. Rep., 154, 1 [NASA ADS] [CrossRef]
- Blandford, R. D., & Ostriker, J. P. 1978, ApJ, 221, L29 [NASA ADS] [CrossRef]
- Bonafede, A., Giovannini, G., Feretti, L., Govoni, F., & Murgia, M. 2009, A&A, 494, 429 [NASA ADS] [CrossRef] [EDP Sciences]
- Bondi, M., Ciliegi, P., Venturi, T., et al. 2007, A&A, 463, 519 [NASA ADS] [CrossRef] [EDP Sciences]
- Brentjens, M. A. 2008, A&A, 489, 69 [NASA ADS] [CrossRef] [EDP Sciences]
- Briggs, D. S. 1995, Ph.D. Thesis, New Mexico Institute of Mining Technology, Socorro, New Mexico, USA
- Brunetti, G., Setti, G., & Comastri, A. 1997, A&A, 325, 898 [NASA ADS]
- Brunetti, G., Setti, G., Feretti, L., & Giovannini, G. 2001, MNRAS, 320, 365 [NASA ADS] [CrossRef]
- Burns, J. O., Rhee, G., Owen, F. N., & Pinkney, J. 1994, ApJ, 423, 94 [NASA ADS] [CrossRef]
- Chandra, P., Ray, A., & Bhatnagar, S. 2004, ApJ, 612, 974 [NASA ADS] [CrossRef]
- Clarke, T. E., & Ensslin, T. A. 2006, AJ, 131, 2900 [NASA ADS] [CrossRef]
- Condon, J. J., Cotton, W. D., Greisen, E. W., et al. 1998, AJ, 115, 1693 [NASA ADS] [CrossRef]
- Cornwell, T. J. 2008, IEEE J. Selected Topics in Signal Processing, 2, 793 [CrossRef]
- Cornwell, T. J., & Perley, R. A. 1992, A&A, 261, 353 [NASA ADS]
- Cornwell, T., Braun, R., & Briggs, D. S. 1999, in Synthesis Imaging in Radio Astronomy II, ed. G. B. Taylor, C. L. Carilli, & R. A. Perley, ASP Conf. Ser., 180, 151
- Cornwell, T. J., Golap, K., & Bhatnagar, S. 2005, in Astronomical Data Analysis Software and Systems XIV, ed. P. Shopbell, M. Britton, & R. Ebert, ASP Conf. Ser., 347, 86
- Cornwell, T. J., Golap, K., & Bhatnagar, S. 2008, IEEE J. Selected Topics in Signal Processing, 2, 647 [CrossRef]
- Cotton, W. D. 1999, in Synthesis Imaging in Radio Astronomy II, ed. G. B. Taylor, C. L. Carilli, & R. A. Perley, ASP Conf. Ser., 180, 357
- Drury, L. O. 1983, Rep. Progr. Phys., 46, 973 [NASA ADS] [CrossRef]
- Ensslin, T. A., Biermann, P. L., Klein, U., & Kohle, S. 1998, A&A, 332, 395 [NASA ADS]
- Fabian, A. C., Nulsen, P. E. J., & Canizares, C. R. 1991, A&AR, 2, 191 [NASA ADS]
- Feretti, L., Schuecker, P., Böhringer, H., Govoni, F., & Giovannini, G. 2005, A&A, 444, 157 [NASA ADS] [CrossRef] [EDP Sciences]
- Ferrari, C., Govoni, F., Schindler, S., Bykov, A. M., & Rephaeli, Y. 2008, Space Sci. Rev., 134, 93 [NASA ADS] [CrossRef]
- Fujita, Y., Takizawa, M., & Sarazin, C. L. 2003, ApJ, 584, 190 [NASA ADS] [CrossRef]
- Garn, T., Green, D. A., Hales, S. E. G., Riley, J. M., & Alexander, P. 2007, MNRAS, 376, 1251 [NASA ADS] [CrossRef]
- Giacintucci, S., Venturi, T., Macario, G., et al. 2008, A&A, 486, 347 [NASA ADS] [CrossRef] [EDP Sciences]
- Giovannini, G., Feretti, L., & Stanghellini, C. 1991, A&A, 252, 528 [NASA ADS]
- Govoni, F., & Feretti, L. 2004, Int. J. Mod. Phys. D, 13, 1549 [NASA ADS] [CrossRef]
- Govoni, F., Murgia, M., Feretti, L., et al. 2005, A&A, 430, L5 [NASA ADS] [CrossRef] [EDP Sciences]
- Govoni, F., Murgia, M., Markevitch, M., et al. 2009, A&A, 499, 371 [NASA ADS] [CrossRef] [EDP Sciences]
- Hoeft, M., Brüggen, M., Yepes, G., Gottlöber, S., & Schwope, A. 2008, MNRAS, 391, 1511 [NASA ADS] [CrossRef]
- Intema, H. T., van der Tol, S., Cotton, W. D., et al. 2009, A&A, 501, 1185 [NASA ADS] [CrossRef] [EDP Sciences]
- Jones, F. C., & Ellison, D. C. 1991, Space Sci. Rev., 58, 259 [NASA ADS] [CrossRef]
- Kempner, J. C., Blanton, E. L., Clarke, T. E., et al. 2004, in The Riddle of Cooling Flows in Galaxies and Clusters of galaxies, ed. T. Reiprich, J. Kempner, & N. Soker, 335
- Keshet, U., Waxman, E., Loeb, A., Springel, V., & Hernquist, L. 2003, ApJ, 585, 128 [NASA ADS] [CrossRef]
- Konar, C., Jamrozy, M., Saikia, D. J., & Machalski, J. 2008, MNRAS, 383, 525 [NASA ADS]
- Krymskii, G. F. 1977, Akademiia Nauk SSSR Doklady, 234, 1306 [NASA ADS]
- Landau, L. D., & Lifshitz, E. M. 1959, Fluid mechanics, ed. L. D. Landau, & E. M. Lifshitz
- Loeb, A., & Waxman, E. 2000, Nature, 405, 156 [NASA ADS] [CrossRef]
- Machalski, J., Kozie-Wierzbowska, D., Jamrozy, M., & Saikia, D. J. 2008, ApJ, 679, 149 [NASA ADS] [CrossRef]
- Malkov, M. A., & O'C Drury, L. 2001, Rep. Progr Phys., 64, 429 [NASA ADS] [CrossRef]
- Miley, G. 1980, ARA&A, 18, 165 [NASA ADS] [CrossRef]
- Miniati, F. 2002, MNRAS, 337, 199 [NASA ADS] [CrossRef]
- Miniati, F. 2003, MNRAS, 342, 1009 [NASA ADS] [CrossRef]
- Miniati, F., Ryu, D., Kang, H., et al. 2000, ApJ, 542, 608 [NASA ADS] [CrossRef]
- Miniati, F., Jones, T. W., Kang, H., & Ryu, D. 2001, ApJ, 562, 233 [NASA ADS] [CrossRef]
- Miniati, F., Koushiappas, S. M., & Di Matteo, T. 2007, ApJ, 667, L1 [NASA ADS] [CrossRef]
- Perley, R. A. 1989, in Synthesis Imaging in Radio Astronomy, ed. R. A. Perley, F. R. Schwab, & A. H. Bridle, ASP Conf. Ser., 6, 259
- Perley, R. T., & Taylor, G. B. 1999, VLA Calibrator Manual, Tech. rep., NRAO
- Peterson, J. R., & Fabian, A. C. 2006, Phys. Rep., 427, 1 [NASA ADS] [CrossRef]
- Petrosian, V. 2001, ApJ, 557, 560 [NASA ADS] [CrossRef]
- Pfrommer, C., Springel, V., Enßlin, T. A., & Jubelgas, M. 2006, MNRAS, 367, 113 [NASA ADS] [CrossRef]
- Pfrommer, C., Enßlin, T. A., & Springel, V. 2008, MNRAS, 385, 1211 [NASA ADS] [CrossRef]
- Raychaudhury, S., Temple, R. F., et al. 2009, in preparation
- Roettiger, K., Burns, J. O., & Stone, J. M. 1999, ApJ, 518, 603 [NASA ADS] [CrossRef]
- Röttgering, H., Snellen, I., Miley, G., et al. 1994, ApJ, 436, 654 [NASA ADS] [CrossRef]
- Röttgering, H. J. A., Wieringa, M. H., Hunstead, R. W., & Ekers, R. D. 1997, MNRAS, 290, 577 [NASA ADS]
- Ryu, D., Kang, H., Hallman, E., & Jones, T. W. 2003, ApJ, 593, 599 [NASA ADS] [CrossRef]
- Sarazin, C. L. 2002, in Merging Processes in Galaxy Clusters, ed. L. Feretti, I. M. Gioia, & G. Giovannini, Astrophysics and Space Science Library, 272, 1
- Schwab, F. R. 1984, AJ, 89, 1076 [NASA ADS] [CrossRef]
- Skillman, S. W., O'Shea, B. W., Hallman, E. J., Burns, J. O., & Norman, M. L. 2008, ApJ, 689, 1063 [NASA ADS] [CrossRef]
- Slee, O. B., Roy, A. L., Murgia, M., Andernach, H., & Ehle, M. 2001, AJ, 122, 1172 [NASA ADS] [CrossRef]
- Thompson, T. A., Quataert, E., Waxman, E., Murray, N., & Martin, C. L. 2006, ApJ, 645, 186 [NASA ADS] [CrossRef]
- Valtchanov, I., Murphy, T., Pierre, M., Hunstead, R., & Lémonon, L. 2002, A&A, 392, 795 [NASA ADS] [CrossRef] [EDP Sciences]
- Venturi, T., Giacintucci, S., Brunetti, G., et al. 2007, A&A, 463, 937 [NASA ADS] [CrossRef] [EDP Sciences]
- White, R. L., Becker, R. H., Helfand, D. J., & Gregg, M. D. 1997, ApJ, 475, 479 [NASA ADS] [CrossRef]
- Windhorst, R. A., Fomalont, E. B., Partridge, R. B., & Lowenthal, J. D. 1993, ApJ, 405, 498 [NASA ADS] [CrossRef]
Online Material
Appendix A: Compact sources at 610 MHz and optical counterparts
To identify optical counterparts for the radio sources we have overlaid the 610 MHz radio contours on SDSS images, see Figs. A.1, A.2, and A.3.
Source A is resolved, 13
by 19
,
with the brightest part of the emission located to the southeast. The
resolution is insufficient to classify the source, but the morphology
is consistent with a head-tail source. A spectral index gradient is
also observed towards the northwest (Sect. 5.1). An
optical counterpart is visible to the southwest of the center of the
radio source, close to the peak of the radio emission (see
Fig. A.1).
The photometric redshift (
)
of this galaxy is 0.32, consistent with being a cluster member. The
E/S0 galaxy (mag
= 18.65) has a close companion
(mag
= 21.12) about 3
to the southwest.
The spectral index of A is -0.92, between 157 and 1400 MHz,
typical for a radio galaxy. The source therefore does not seem to be
directly related to the diffuse emission within the cluster, as
suggested by Bagchi
et al. (2002).
Source B has a peculiar morphology, resembling a head-tail
galaxy. A mag
= 18.65 E/S0 counterpart is
located at
.
The direction of the tail suggest the galaxy is falling in from the
north towards the cluster center. The spectral index of the source is
-0.76 (between 241 and 610 MHz). Other sources north of the
cluster center are sources C, E, and F. Source C has a blue
star-forming galaxy (mag
)
as an optical counterpart at z=0.261 (spectroscopic
redshift). The SDSS DR6 spectrum of this galaxy shows strong emission
lines (in particular H
).
A close companion is located about 4
to the west. The
E/S0 mag
= 18.06 counterpart of source F
has a spectroscopic redshift of 0.269,
and the SDSS spectrum shows a strong Balmer break. The mag
= 20.11 optical counterpart of
E is located at
and may therefore not be associated with the cluster.
To the south of the cluster center we have sources G, H, I, J,
K, and L. Source G is probably a head-tail source, with the tail
pointing south, indicating the galaxy is also falling towards the
cluster center. The spectral index
of -1.53 is consistent with such an identification, and there is a hint
of spectral steepening towards the south. The counterpart of source G
is an E/S0 mag
= 18.35 galaxy (located at
)
with two close companions. The counterpart of source H is a blue mag
= 18.02 galaxy at
.
The spectral index
of
-1.08, quite
steep for a star-forming galaxy (e.g., Thompson
et al. 2006; Bondi et al. 2007;
Windhorst
et al. 1993), this indicates that an AGN may also be
present. The counterpart of source I is an E/S0 mag
galaxy located at
.
The counterpart of source L is an E/S0 mag
= 19.84 galaxy with
and
.
The galaxy is located roughly in the middle between RS-1 and RS-2.
Radio sources J and K are diffuse with sizes of about 10
.
Source K has no counterpart, while source J has a possible mag
,
counterpart.
However, J and K could also be the two lobes of a distant
radio galaxy.
![]() |
Figure A.1:
SDSS DR7 image color image (g, r,
and i bands) of the cluster center overlaid with
radio contours. The 610 MHz contour levels are drawn at
|
Open with DEXTER |
![]() |
Figure A.2: SDSS DR7 image color image (g, r, and i bands) of the northern part of the cluster overlaid with 610 MHz radio contours. Contours are drawn at the same levels as in Fig. A.1. |
Open with DEXTER |
![]() |
Figure A.3: SDSS DR7 image color image (g, r, and i bands) of the southern part of the cluster overlaid with 610 MHz radio contours. Contours are drawn at the same levels as in Fig. A.1. |
Open with DEXTER |
Footnotes
- ... cluster
- Appendix is only available in electronic form at http://www.aanda.org
- ... spectra
-
, with
the spectral index.
- ... ``UVFLP''
- http://www.mrao.cam.ac.uk/~dag/UVFLP/
- ... AIPS++)
- http://casa.nrao.edu/
- ... planes
- The 157 MHz images could not be made with the CASA imager since the direction-dependent phase corrections could only be applied using specialized imaging routines from the SPAM package.
- ... by
- http://www.gmrt.ncra.tifr.res.in/gmrt_hpage/Users/doc/manual/UsersManual/node13.html
- ...
- There are two sidebands but only one polarization is recorded.
All Tables
Table 1: Observations.
Table 2: Source properties.
All Figures
![]() |
Figure 1:
X-ray emission from Chandra in the 0.5-3.0 keV energy band.
Point sources were excluded from the image, see Raychaudhury
et al. (in prep.). The image has been convolved with
a circular Gaussian of 24
|
Open with DEXTER | |
In the text |
![]() |
Figure 2:
Radio map at 610 MHz. The greyscale image represent the
high-resolution map with a restoring beam size of
|
Open with DEXTER | |
In the text |
![]() |
Figure 3:
Radio map at 241 MHz. The restoring beam size is
|
Open with DEXTER | |
In the text |
![]() |
Figure 4:
Radio map at 157 MHz. The restoring beam size is
|
Open with DEXTER | |
In the text |
![]() |
Figure 5:
Large-scale galaxy distribution around
ZwCl 2341.1+0000. The optical R band image, a
combination of several individual exposures resulting in a total
exposure time of 7800 s, was obtained with the WFI at the
MPG/ESO 2.2 m telescope. Dashed contours show the galaxy
isodensity contours from SDSS, for details see Fig. 1. The image shows
an area of
|
Open with DEXTER | |
In the text |
![]() |
Figure 6:
Spectral index map between 610 and 241 MHz with a resolution
of 18
|
Open with DEXTER | |
In the text |
![]() |
Figure 7:
Spectral index error map between 610 and 241 MHz. The
uncertainty of about |
Open with DEXTER | |
In the text |
![]() |
Figure A.1:
SDSS DR7 image color image (g, r,
and i bands) of the cluster center overlaid with
radio contours. The 610 MHz contour levels are drawn at
|
Open with DEXTER | |
In the text |
![]() |
Figure A.2: SDSS DR7 image color image (g, r, and i bands) of the northern part of the cluster overlaid with 610 MHz radio contours. Contours are drawn at the same levels as in Fig. A.1. |
Open with DEXTER | |
In the text |
![]() |
Figure A.3: SDSS DR7 image color image (g, r, and i bands) of the southern part of the cluster overlaid with 610 MHz radio contours. Contours are drawn at the same levels as in Fig. A.1. |
Open with DEXTER | |
In the text |
Copyright ESO 2009
Current usage metrics show cumulative count of Article Views (full-text article views including HTML views, PDF and ePub downloads, according to the available data) and Abstracts Views on Vision4Press platform.
Data correspond to usage on the plateform after 2015. The current usage metrics is available 48-96 hours after online publication and is updated daily on week days.
Initial download of the metrics may take a while.