Issue |
A&A
Volume 506, Number 3, November II 2009
|
|
---|---|---|
Page(s) | 1107 - 1121 | |
Section | Extragalactic astronomy | |
DOI | https://doi.org/10.1051/0004-6361/200912288 | |
Published online | 22 July 2009 |
A&A 506, 1107-1121 (2009)
An X-ray view of 82 LINERs with Chandra and XMM-Newton data![[*]](/icons/foot_motif.png)
O. González-Martín1 - J. Masegosa2 - I. Márquez2 - M. Guainazzi3 - E. Jiménez-Bailón4
1 - X-ray Astronomy Group, Department of Physics and Astronomy, Leicester University, Leicester LE1 7RH, UK (IAA)
2 -
Instituto de Astrofísica de Andalucía, CSIC, Granada, Spain
3 -
European Space Astronomy Centre of ESA, P.O. Box 78, Villanueva de la
Canada, 28691 Madrid, Spain
4 -
Instituto de Astronomía, Universidad Nacional Autónoma de Mexico, Apartado Postal 70-264, 04510 Mexico DF, Mexico
Received 3 April 2009 / Accepted 13 May 2009
Abstract
We present the results of a homogeneous X-ray analysis
for 82 nearby low-ionisation, narrow emission-line regions
(LINERs) selected from the catalogue of Carrillo et al. (1999, Rev.
Mex. Astron. Astrofis., 35, 187). All sources have
available Chandra (68 sources) and/or XMM-Newton (55
sources) observations. This is the largest sample of LINERs with
X-ray spectral data (60 out of the 82 objects), and it
significantly improves our previous analysis based on
Chandra data for 51 LINERs (Gonzalez-Martin et al.
2006b, A&A, 460, 45). It both increases the
sample size and adds XMM-Newton data. New models permit the
inclusion of double absorbers in the spectral fits. Nuclear X-ray
morphology is inferred from the compactness of detected nuclear
sources in the hard band (4.5-8.0 keV). Sixty per cent of the
sample shows a compact nuclear source and are classified as active
galactic nucleus (AGN) candidates. The spectral analysis indicates
that best fits involve a composite model: 1) absorbed primary
continuum and 2) soft spectrum below 2 keV described by an
absorbed scatterer and/or a thermal component. The resulting
median spectral parameters and their standard deviations are
= _totmedian,
keV,
and
=
.
We complement our X-ray
results with an analysis of HST optical images and literature data
on emission lines, radio compactness, and stellar population.
After adding all these multiwavelength data, we conclude that
evidence supports the AGN nature of their nuclear engine for 80%
of the sample (66 out of 82 objects).
Key words: galaxies: active - galaxies: nuclei - galaxies: Seyfert - X-rays: galaxies - catalogs
1 Introduction
The term active galactic nucleus (AGN) generally refers to the galaxies that show energetic phenomena in their nuclei that cannot be unambiguously attributed to starlight. The 2-10 keV X-ray luminosity has been used as a reasonably reliable measure of AGN power allowing information be extracted about the central engine from the spectral fit and the absorbing material (
These studies are especially important for low-luminosity
AGN (LLAGN) with bolometric luminosities
because more than 40% of nearby galaxies show
evidence of low-power AGN (see the review
by Ho 2008). Even at lower luminosities Zhang et al. (2009)
have recently studied the X-ray nuclear activity of 187 nearby
galaxies, most of them classed as non-active, with Chandra
data, finding evidence of AGN in 46% of their sample (60% when
considering ellipticals and early-type spirals.
We focused our attention on low-ionisation, narrow emission-line regions (LINERs), originally defined as a subclass of LLAGN by Heckman (1980). They show optical spectra dominated by emission lines of moderate intensities arising from gas in lower ionisation states than classical AGN. Previous studies of LINERs reached different conclusions about the ionisation mechanism responsible for the LINER emission. Possibilities included: 1) shock heating (Dopita & Sutherland 1995), 2) Wolf-Rayet or OB stars in compact near-nuclear star clusters (Terlevich & Melnick 1985; Filippenko & Terlevich 1992) and 3) low-luminosity AGN (Ho et al. 1997; Eracleous & Halpern 2001).
It is therefore important to isolate and study the nature of the source hosted by most of the LINERs. Satyapal et al. (2005) (see also Ho et al. 2001; Dudik et al. 2005; Satyapal et al. 2004) estimated 2-10 keV luminosities for a sample of 41 LINERs using Chandra data. They find that AGN are very frequent among LINERs. Eddington-ratio considerations led them to conclude that LINERs represent the faint end of the fundamental correlation between mass accretion and star formation rates (e.g. LINERs very inefficient accreting systems). Flohic et al. (2006) have studied a sample of 19 LINERs using archival Chandra data and find that the median AGN contribution to the 0.5-10 keV luminosity is 60%. They suggest that AGN power is not sufficient for producing the observed optical emission lines and invoke shocks and/or stellar processes. Our previous analysis (Gonzalez-Martin et al. 2006b, hereinafter GM+06) presented results from an homogeneous analysis of 51 LINER galaxies observed with Chandra. Morphological classification, together with spectral analysis (when possible), led us to conclude that at least 60% of LINERs may host an AGN. Following Ho et al. (1997), we consider a LINER to host an AGN when the nuclear regions showing an unresolved source at high X-ray energies (Zhang et al. 2009).
This paper presents a study of 82 LINERs, which is the largest sample so far analysed at X-ray wavelengths. In contrast to GM+06, we include objects observed with XMM-Newton yielding 68 sources with Chandra and 55 with XMM-Newton data. The high spatial resolution of the Chandra optics is optimally suited to disentangling the different components of the often complex X-ray morphology (GM+06) found in our sample. Analysis of X-ray images is improved by using a different smoothing process. On the other hand, the addition of XMM-Newton data complements Chandra by allowing more detailed spectral analysis in 60 of the sources. In contrast to GM+06, we now use a different baseline model with the main improvement being the use of an additional power-law component and two neutral absorbers. We present a detailed study of the X-ray LINER properties added to multiwavelength information. In summary, compared to GM+06, the current paper presents 33 new LINERs and 19 new Chandra data points, presents XMM-Newton information for the 41 objects with both Chandra and XMM-Newton data, and proves new X-ray spectral baseline models.
Section 2 introduces the sample and the data. Section 3 explains the data reduction. The data analysis is presented in Sect. 4. Section 5 includes the results and the discussion while Sect. 6 includes summary and conclusions.
This paper is complemented by a second paper (González-Martín et al. in preparation, hereinafter Paper II), which contains detailed analysis of LINER obscuring material and its Compton-thickness (objects with a primary source completely suppressed below 10 keV).
2 The sample and the data
Our sample was extracted from the multi-wavelength LINER catalogue
compiled by Carrillo et al. (1999) (hereinafter
MCL). We updated the sample by including all the galaxies in
MCL with available Chandra data up to 2007-06-30 and XMM-Newton data up
to 2007-04-30. We recall that only Chandra data were used in GM+06.
This search used the
HEASARC
archive. The
sample includes 108 LINERs with Chandra data and 107 LINERs with
XMM-Newton data. Seventy-six objects are present in both archives
yielding a total of 139 LINERs.
LINER identifications were revised with standard diagnostic diagrams (Baldwin et al. 1981; Veilleux & Osterbrock 1987). We obtained emission line fluxes for all but 18 objects from the literature (Ho et al. 2001; Veilleux et al. 1995; Moustakas & Kennicutt 2006; Wu et al. 1998). The 18 objects were excluded to ensure a sample of bonafide LINERs. In the same vein, another four objects that lack [OIII] measured fluxes (NGC 3189, NGC 4414, NGC 5350, and NGC 6503) were excluded. NGC 4013 was also rejected because its [OIII] measurement is affected by a 100% error. Fifty-one out of the 116 objects had already been classified as LINERs in our previous work (GM+06). However, later reanalysis showed that the classification given by GM+06 for NGC 4395 and NGC 5194 was not correct. Thus, they are most likely Seyfert galaxies. This yields 49 LINERs in common with GM+06.
After optical re-identification we ended up with a final sample of 83 sources including 68 observed with Chandra and 55 with XMM-Newton. Chandra data for 19 new LINERs are provided here. Forty LINERs are found in both datasets. Observations of one of these objects showed strong pileup effects, leaving us with a final sample of 82 objects (see Sect. 3).
Table 1 includes the properties of the host
galaxies. Distances were taken from Tonry et al. (2001),
Ferrarese et al. (2000), Tully (1998), and otherwise it
assumes H0 = 75 km s-1 Mpc, in this order of priority.
Figure 1 shows, from top to bottom,
redshift, morphological type, absolute B magnitude, and apparent
B magnitude distributions.
![]() |
Figure 1: (Left): total sample of LINERs in MCL (empty histogram) versus X-ray sample (dashed histogram), normalised to the peak. (Right): X-ray sample (empty histogram) versus the sample reported by GM+06, normalised to the peak. a) Redshift, b) morphological types (from the RC3 catalogue: t<0 are for ellipticals, t=0 for S0, t=1 for Sa, t=3 for Sb, t=5 for Sc, t=7 for Sd, and t>8 for irregulars), c) absolute magnitudes, and d) apparent magnitudes distributions. |
Open with DEXTER |
After comparing with our previous work (GM+06), we now have later
morphological types. The lack of faint LINERs in our previous
analysis (GM+06) now disappears. The median total absolute
magnitude is now
,
which is consistent
with that in the MCL catalogue (
). The
median redshift is
,
higher to that for MCL
(
)
but still within one sigma deviation.
Table 2 provides the observational details of the
current X-ray LINER sample.
The MCL catalogue contains all the known LINERs until 1999. Therefore, it is not biased to any kind of LINERs. However, the X-ray selection relies on the availability of X-ray archival data, and consequently might introduce a bias, whose nature is not easy to quantify. Nevertheless, looking at the different goals of the individual proposals, a wide range of scientific aims is covered: AGN, superwinds, radio galaxies, ULIRGs, LINERs, ULX, LMXBs, clusters, merger systems, starburst nuclei, star-forming galaxies, or SNe. Moreover, there are a few objects that were not the target, but were observed by chance (e.g. NGC 3226 is in the field of view of NGC 3227). It is worth noticing that the study of LINERs is the main goal for 8 of the sources and the main topic behind the observations of 38 objects was the study of the host galaxy (ULXs, LMXBs, and/or diffuse emission).
To evaluate possible biases towards bright AGN LINERs, we used
[OIII] luminosity as it can be considered as an isotropic
indicator of AGN power. Figure 2 plots the
distribution of L([OIII]) for our LINERs (middle panel) and for
those in the volume limited sample of nearby AGN reported by
Ho et al. (1997) (top panel). Our sample is distributed
similarly to the one by Ho et al. (1997), but it shows an
extension towards the most luminous objects. However, when
selecting the objects in our sample within the same volume as
those in Ho's (bottom panel), the discrepancy disappears (K-S
probability of 90% for both samples coming from the same parent
population). Therefore, our sample seems to be representative of
the level of nuclear activity of LINERs in the local universe,
with X-ray observations not introducing any significant bias
towards AGN-type objects. Another interesting parameter to
consider is the ratio L([OIII])/L(X-rays), which we defer for a
full discussion in Paper II. Here we only anticipate that the
values for this ratio may indicate a high percentage of LINERs
hosting Compton-thick AGN (GM+09).
![]() |
Figure 2: [OIII] luminosity distributions using Ho et al. (1997) sample (top), this sample (centre) and this sample excluding objects with distances greater than 100 Mpcs (bottom). |
Open with DEXTER |
3 Data reduction
ACIS instrument level 2 event data were extracted from Chandra archive. The data products were analysed in a uniform, self-consistent manner using CXC Chandra Interactive Analysis of Observations (CIAO) software version 3.4. Chandra data have been reduced following the prescriptions in GM+06. In the following subsections we include the details on Chandra reduction only if they differ from the reported in GM+06. XMM-Newton data were reduced with SAS v7.0.0, using the most updated calibration files available. In this paper, only data from the EPIC pn camera (Struder et al. 2001) is discussed. The spectral analysis was performed with XSPEC (version 12.3.1).Images could be dominated by the background if time intervals affected by ``flares'' are not excluded. For Chandra data see GM+06. For XMM-Newton data, these time intervals of quiescent particle background were determined through an algorithm that maximises the signal-to-noise ratio (S/N) of the net source spectrum by applying different constant count rate threshold on the single-events, E>10 keV field-of-view background light curve. At the same time, the algorithm calculates the optimal source extraction region size yielding the maximum number of net source counts for a given background threshold.
Pileup affects both flux measurements and spectral characterisation of bright sources (Ballet 2001). The pileup estimation has been performed using PIMMS software. To evaluate the importance of pileup for each source we used the 0.5-2 keV and 2-10 keV flux, the best-fit model, and the redshift. The resulting pileup fraction in 0.5-2 keV and 2-10 keV are reported in Cols. 12 and 15 in Table 2. We notice that these effects are unimportant in our sample, because in most cases they are 10%. For Chandra data six galaxies, NGC 3998, NGC 4486, NGC 4494, NGC 4579, NGC 4594, and NGC 5813, show pileup fractions between 10% and 20%.
An inspection of the final XMM-Newton spectral data of MCG -5-23-16, NGC 4486, and NGC 4696 showed a wavy structure that cannot be fitted properly. It might be attributed to the high pileup fraction. We hence decided not to use these XMM-Newton data that led to a final sample of 82 galaxies. We reject MCG -5-23-16 since it is the only case with XMM-Newton data strongly affected by pileup and with no Chandra data.
3.1 Image data reduction
To gain insight into the emission mechanisms for the LINER sample,
we studied the X-ray morphology of the sources in six energy
bands: 0.6-0.9, 0.9-1.2, 1.2-1.6, 1.6-2.0, 2.0-4.5, and
4.5-8.0 keV (see GM+06). In the last energy band (4.5-8.0 keV),
the range from 6.0 to 7.0 keV was excluded to avoid possible
contamination by the FeK emission line. The corresponding band will be
called (4.5-8.0)
keV hereafter. All the bands were
shifted according to the redshift, although the effect is low
because of the low redshift of the sample. An example of the
images in the four bands 0.6-0.9, 1.6-2.0, 4.5-8.0
,
and 6-7 keV are given in Fig. 4. See
Appendix C of the catalogue of images that
provides this information for the whole sample. Chandra data were
used for image analysis when available; XMM-Newton data were used
otherwise. Fourteen XMM-Newton images were included in the image
catalogue, namely NGC 0410, NGC 2639, NGC 2655, NGC 2685,
NGC 3185, NGC 3226, NGC 3623, NGC 3627, IRAS 12112+0305,
NGC 5005, NGC 5363, IC 4395, NGC 7285, and NGC 7743. They
were flagged in Table 7 with asterisks
and their X-ray morphological classification is obviously not
considered as robust as that from Chandra data (see
Sect. 5).
In Fig. 4 in Appendix C (bottom-right) we also provide the processed optical images from archival HST data available for 67 out of the 82 galaxies; the images were processed following the sharp dividing method (Marquez et al. 2003, and references therein), in order to better show the internal structure of the galaxy. The observational details of the HST data are included in Table 2 (Cols. 16-18). The same figure provides the 2MASS image in the Ks band (bottom-centre).
We employed smoothing techniques that enhance weak structures, to have a conservative estimate of the morphological compactness of each X-ray source. We applied the adaptive smoothing CIAO tool CSMOOTH to the Chandra data, based on the algorithm developed by Ebeling et al. (2006). CSMOOTH is an adaptive smoothing tool for images containing multi-scale complex structures, and it preserves the spatial signatures and the associated counts as well as significance estimates. We used CSMOOTH task with a minimum and a maximum significance S/N between 3 and 4, respectively, lower than the value used by GM+06. It allows the enhancement of small structures, while avoiding the detection of extended features. Given that our main goal is the study of the central engine, it is better suited to our purposes. Only in a few cases are differences on the morphological classification are found due to this improvement (see Sect. 5.1.3 and Appendix B for a discussion of the particular cases).
XMM-Newton smoothed images were generated using the ASMOOTH SAS
task applied to the pn images. We applied the adaptive convolution
technique, designed for Poissonian images, with .
3.2 Nuclear identification and extraction region
The inner parts of the galaxies hosting a LINER show a complex morphology, with several sources surrounded by diffuse emission (GM+06, see the catalogue of images presented in Appendix C). This complex structure makes the nuclear identification a decisive issue.The extraction region of the nuclear source for Chandra data is in
most cases around 2
and always smaller than
8
(see Table 2). This corresponds
to less than 100 pc in five cases (NGC 2787, NGC 2841,
NGC 4594, NGC 4736, and NGC 5055) and to a median value of
300 pc for the whole sample. The use of such small radii rules out
a significant contamination of extra-nuclear sources in the
extraction regions in our sample (see also the discussion in
Sect. 5.2). All but two sources are within the
extraction region, namely NGC 4696 and MRK 0848. NGC 4696 has
already been reported as having extended morphology without a
nuclear component in GM+06. None of the point-like sources in
MRK 0848 corresponds to the 2MASS identified nuclear position.
For XMM-Newton data, the nuclear positions were retrieved from NED and
circular regions with 25
radii (500 pixels) were
automatically used as the extraction regions. This 25
radius is between 80% (85%) of the PSF at 1.5 keV (9.0 keV) for
an on-axis source with the EPIC pn instrument. These extraction
regions range between 630 pc (NGC 4736) and 40 kpc
(IRAS 14348-1447) at the distances of our sample. The
extraction radius is hence large enough to include the nucleus,
together with the circumnuclear central region of the galaxy, or
even the whole galaxy (see Appendix F). In four
objects (IRAS 14348-1447, IRAS 17208-0014, MRK 0848, and
NPM1G -12.0625), the size provided by
hyperleda
is smaller
than 25
.
3.3 Spectral data reduction
Only objects with more than 200 total of counts in the 0.5-10 keV energy range were considered for the spectral fitting. It allows enough bins to make a feasible fit, after spectral binning of at least 20 counts per bin (required to the use of
For Chandra data the source and background regions were selected
following GM+06 (no contaminating sources included in either
regions). For XMM-Newton data, the background was extracted from a
circular region (between 30
and 75
of
radius) in the same chip as for the source region and excluding
point sources. The regions were extracted by using the
EVSELECT task and pn redistribution matrix, and effective areas
were calculated with RMFGEN and ARFGEN tasks,
respectively. For Chandra data, the background regions were
selected within the corresponding galaxy, so that the host
contribution is subtracted from the nuclear spectrum. For XMM-Newton
data, the background region have been located as close as possible
to the extraction region. In the four objects with sizes smaller
than 25
(IRAS 14348-1447, IRAS 17208-0014,
MRK 0848, and NPM1G -12.0625), the background region is taken
out of the host galaxies. However, all these objects have also
Chandra data that allows insight into the possible galaxy
contribution. Sixty out of the 82 resulting nuclear spectra have
at least 200 counts (see above) and are therefore used for the
spectral fitting.
4 Data analysis
4.1 Image analysis
Since we focus our attention on the nuclear sources, no attempt
has been made to fully characterise the flux and spectral
properties of extra-nuclear sources. As a first insight into the
nature of LINERs, we took the presence of an unresolved compact
nuclear source in the hard band (4.5-8.0 keV) as
evidence of an AGN.
We searched for all sources in the (4.5-8.0) keV energy
band within 10
of the NED position in Chandra data
using the WAVEDETECT algorithm (Freeman et al. 2002, see also CIAO
software). Therefore, we selected the closest source
to the NED position. No sources within the 15
of the
NED position were found in 21 out of the 68 objects with Chandra
data. Furthermore, four objects (NGC 3379, NGC 3628, NGC 5866,
and NGC 7331) show an identification too far away (8
,
12
,
13
,
and 12
)
to be the
nuclear source. If the nucleus is detected in the 4.5-8 keV
energy range, it is always coincident with the nuclear region in
the 0.5-10 keV energy range selected for the spectral analysis.
To determine quantitatively whether a nuclear source is resolved,
its radial profile has to be studied. For this purpose, a minimum
of 100 counts in the (4.5-8.0) keV energy band is needed
to perform the PSF analysis. Only nine objects (NGC 315, 3C 218,
NGC 3998, NGC 4261, NGC 4594, UGC 08696, NGC 6251, NGC 6240,
and IC 1459) accomplish this condition. In these cases we
extracted the point spread function (PSF) from the PSF Chandra
library at the same position ( MKPSF task within CIAO
software). Figure 3 shows the radial profile of
NGC 6251 and the PSF of Chandra. All but NGC 6240 are consistent
with the PSF of the instrument (
). NGC 6240 is a
well-studied binary AGN, explaining such broadened profiles (
).
![]() |
Figure 3: Radial profile of NGC 6251 (black circles). Gaussian fit of this radial profile is shown as a continuous line and the Gaussian fit of the Chandra PSF at the same position is shown as a dashed line. |
Open with DEXTER |
![]() |
Figure 4:
Images of i) the AGN candidate NGC 4594 and
ii) of the non-AGN candidate CGCG 162-010. The top image
corresponds to the 0.6-8.0 keV band without smoothing. The
extraction region is plotted with a black circle. The following
four images correspond to the X-ray bands 0.6-0.9
(centre-left), 1.6-2.0 (centre-centre),
4.5-8.0 |
Open with DEXTER |
The sample was grouped into two main categories (same as
GM+06):
- AGN candidates include all galaxies with a clearly
identified unresolved nuclear source in the
(4.5-8.0)
keV energy band. Classification was based on a visual inspection of each image carried out independently by three co-authors of the paper. In Fig. 4i, we show NGC 4594, as an example of AGN candidate, where a clear point-like source exists in the hardest band (centre-right).
- Non-AGN candidates include all objects without a clearly identifiable nuclear source in the hard band; however, we note that the lack of a point source is not evidence of lack of AGN activity. In Fig. 4ii, we show the images of CGCG 162-010 as an example of these systems. There does not appear to be a nuclear source in the hardest energy band (centre-right).
Figure 4 plots the same example as reported in GM+06; however, the smoothing treat is different (see Sect. 3.1). The PSF profile classification of the nine objects agree to the visually-based classification.
4.2 Spectral fit
The spectra in the 0.5-8.0 keV energy range were fitted using XSPEC v12.3.1. To be able to use the
We have five models to parametrise five scenarios. We want to stress that each model could have more than a physical interpretation. For instance, a single power-law model could be interpreted as the AGN continuum emission, the emission of X-ray binaries, or the scattering component of the AGN intrinsic continuum. Therefore, the spectral fit is another proof of the AGN nature, but it is not conclusive by itself (see the discussion in Sect. 5.2). Here, we report the five models and the scenario for which they were chosen:
- 1.
- Power-law model: (for simplicity hereinafter PL). This is the simplest scenario of an AGN. The column density is added as a free parameter, to take the absorption by matter into account between our galaxy and the target nucleus.
- 2.
- MEKAL model: (for simplicity hereinafter ME). In this case the thermal emission (from unresolved binaries or supernovae remanents) is responsible for the bulk of the X-ray energy distribution.
- 3.
- MEKAL plus power-law model: (for simplicity hereinafter MEPL). The AGN dominates the hard X-rays, although it cannot explain the soft X-rays (<2 keV) that require an additional thermal contribution.
- 4.
- Power-law plus power-law model: (for simplicity hereinafter 2PL). This is the general scenario for which the bulk of the hard X-rays are due to a primary continuum described by a power law and the soft X-ray spectrum comes from a scattering component also described by a power law with the same spectral index.
- 5.
- MEKAL plus
power-law and power-law model: (for simplicity hereinafter
ME2PL). Like model (iv), but including the plausible contribution
of thermal emission at soft X-rays. This is the Compton-thin
(obscured with
cm-2 and above the Galactic value) Seyfert 2 baseline model used by Guainazzi et al. (2005).
For models (iii)-(v), two absorbing column densities were used, which is hereinafter called NH1 and NH2. In the most complex model, (v), NH2 is assumed to cover the hardest power-law component and NH1 covers MEKAL plus power-law components. Moreover, Galactic absorption has been fixed to the predicted value (Col. 3 in Table 2) using NH tool within FTOOLS (Kalberla et al. 2005; Dickey & Lockman 1990).
We searched for the presence of the neutral iron fluorescence emission line, adding a narrow Gaussian with centroid energy fixed at the observed energy corresponding to a rest frame at 6.4 keV. Two Gaussians were also included to model recombination lines from FeXXV at 6.7 keV and FeXXVI at 6.95 keV.
4.3 Best-fit selection criteria
We chose the best-fit model as the simplest model that gives a good fit with acceptable parameters. To estimate whether the inclusion of a more complex model improves the fit significantly, the F-statistics test (F-test task within XSPEC software) was applied. A standard threshold for selecting the more complex model is a significance lower than 0.05 (95% confidence). Tables 3 and 4 show the F-test results for Chandra and XMM-Newton data, respectively.We considered it to be a reliable model when
reduced (
)
ranges from 0.6 to 1.5, its null
hypothesis probability is higher than 0.01, and the resulting
parameters are within an acceptable range of values, which we
consider kT = 0-2 keV or
= 0-3. An upper limit of
kT = 2 keV was considered to take the characteristic
temperatures observed in central cluster galaxies into account
(Kaastra et al. 2008, and references therein). An upper
limit of
has been assumed since this is the upper value
obtained in Starburst (Grimes et al. 2005) and LINERs
(GM+06). Those values corresponding to unphysical parameters
and/or with a bad
are marked with ``U'' in
Tables 3 and 4.
Within the reliable models, we determined the
best-fit model as the simplest model for which the quality
of the fit is not improved by more complex models at the 95%
confidence. We chose the model with a
closest
to the unity only when two models with the same number of
components agree with the best-fit model definition above.
4.4 Luminosities
Soft (0.5-2.0 keV) and hard (2-10 keV) luminosities were computed using the best fit in the subsample of 60 objects available with spectral fitting (16 objects with Chandra data, 16 objects with XMM-Newton data and 28 objects with Chandra and XMM-Newton data). To estimate the luminosity for the remaining 22 galaxies, we used the procedure developed in GM+06, which was based on the one proposed by Ho et al. (2001). We obtained a count-rate-to-flux conversion factor for 2.0-10.0 keV and 0.5-2.0 keV energy ranges, respectively, assuming a power-law model with a spectral index of 1.8 and the Galactic interstellar absorption ( NH task within FTOOLS) when the spectral fit is not available. Tables 5 and 6 show the resulting X-ray fluxes and luminosities for Chandra and XMM-Newton data, respectively.To validate the approximation, we computed the soft and hard X-ray luminosity assuming a spectral index of 1.8 and the Galactic interstellar absorption in the subsample of objects with spectral fit. We assumed that the faint objects (i.e. those without enough counts to make spectral analysis) show the same spectral shape as bright objects (i.e. those with spectral fit). Colour-colour diagrams as reported in GM+06 (Fig. 7) show that faint objects are located in the same locus as bright objects (ruling out the thermal model), reinforcing this assumption.
The median values and standard deviation of the soft luminosities
are
using the
best-fit model and
using
the fixed power-law assumption for Chandra (XMM-Newton) data. The soft
luminosity is consistent with the assumption of fixed power law,
although it tends to be underestimated (median standard deviation
from the expected value of 0.65). Seven objects only have large
differences for the soft X-ray luminosity calculated assuming a
fixed power-law model (NGC 0315, NGC 3898, NGC 4111, NGC 4261,
NGC 4696, NGC 5813, and NGC 7130). For NGC 0315, NGC 3898,
and NGC 4111, we can attribute such differences to the differing
column densities, but this is not the case for the remaining
objects.
The 2-10 keV luminosity using the best-fit model is
), while the
estimated luminosity assuming a single power law is
)
for Chandra
(XMM-Newton) data. Therefore, both hard X-ray luminosities agree with
a median deviation of 0.10. NGC 0833, NGC 0835, NGC 1052,
UGC 05101, UGC 08696, and NGC 6240 show high discrepancies
between estimated and computed luminosities, mainly because the
spectral model suggests that high column densities (
)
and/or strong iron
emission lines are required, whereas we are assuming a Galactic
column density value in our estimation.
It therefore appears that, while soft X-ray luminosities calculated with a fixed power-law model have to be taken with some reserve, the estimation of the hard X-ray luminosity calculated in the same way is reasonably good, except for very obscured galaxies.
5 Results and discussion
We present the largest sample of LINERs ever analysed with X-ray data, including the spectral analysis of 60 of them.5.1 X-ray characterisation of LINERs
5.1.1 Imaging
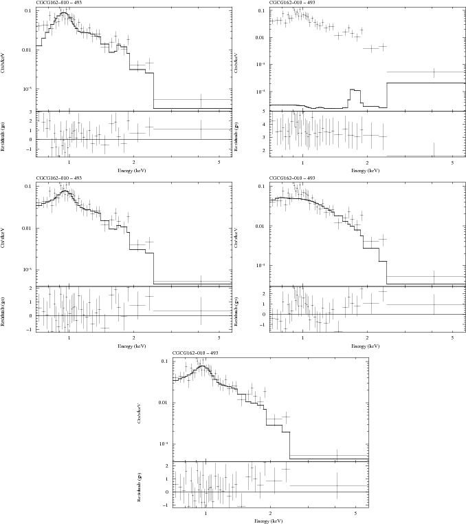
Provided the complex morphology of LINERs with surrounding point-like sources (e.g. NGC 4594) and diffuse emission (e.g. CGCG 162-010) Chandra data are better suited to imaging purposes. For completeness we added the results of the whole sample including XMM-Newton data, but as explained above, the classification from XMM-Newton imaging is indicative and the corresponding column in Table 7 is marked with an asterisk.- AGN candidates: Sixty-three per cent (43/68)
of our
Chandra sample galaxies were classified as AGN-like nuclei, almost
60% (48/82) including XMM-Newton data. This fraction increases up to
80% when only objects with more than 200 counts are considered
(35 out of the 44 objects). Our results might represent a lower
limit to the true fraction of AGN candidates in our sample.
- Non-AGN candidates: Thirty-seven per cent (25/68) of the Chandra sample of LINERs falls into this category, with 40% (34/82) including XMM-Newton data.
Among the 14 objects with X-ray imaging from XMM-Newton, six are classified as AGN-like objects (NGC 2655, NGC 2685, NGC 3226, NGC 5005, NGC 5363, and NGC 7285). We note that HETG Chandra data have been reported by George et al. (2001) for NGC 3226 and a nuclear point source detected using the zero order data; for NGC 3623, NGC 3627, and NGC 5005. Snapshot ACIS-S data were shown in Dudik et al. (2005) who, following Ho et al. (2001), classified the first two galaxies as class IV (no nuclear source) and the last one as class III (a hard nuclear point source embedded in soft diffuse emission). All agree with our classifications.
5.1.2 Best fit
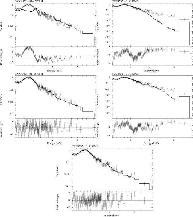
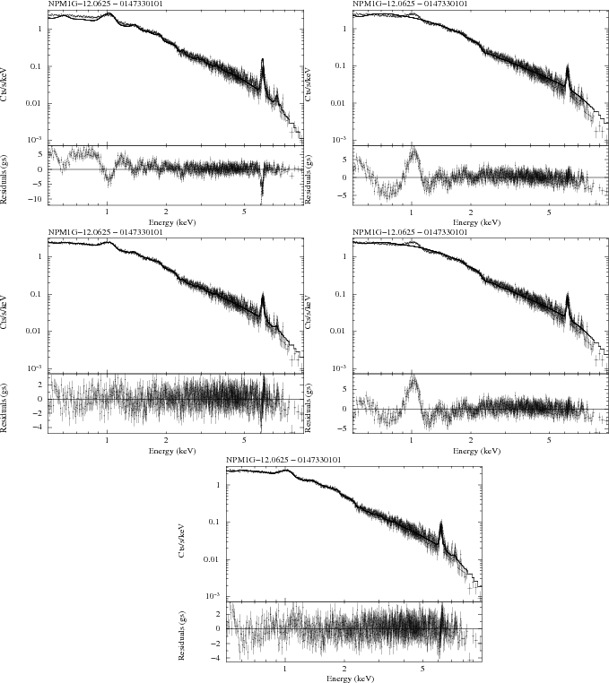
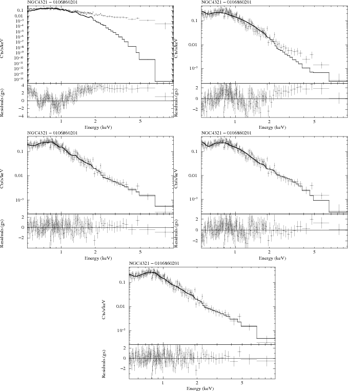
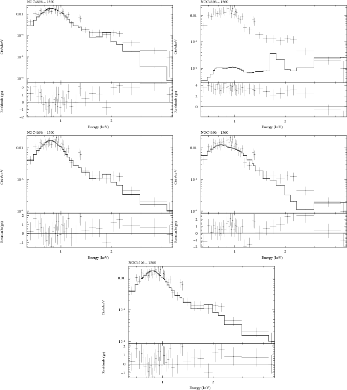
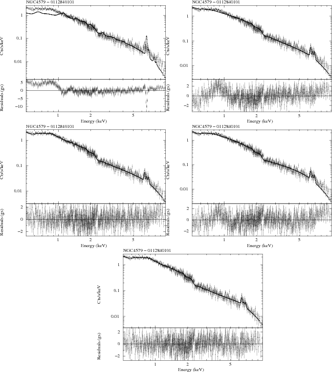
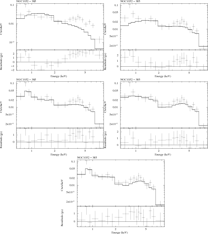
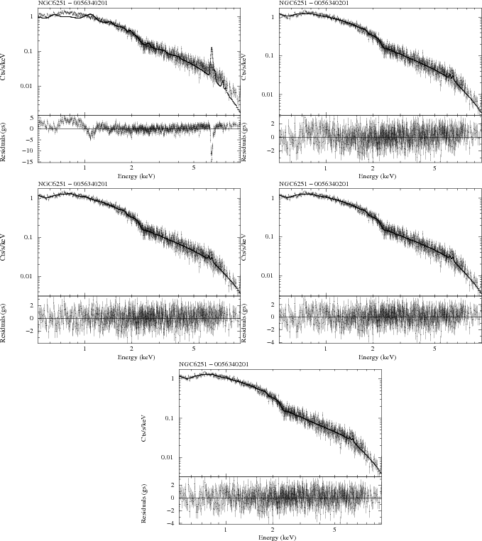
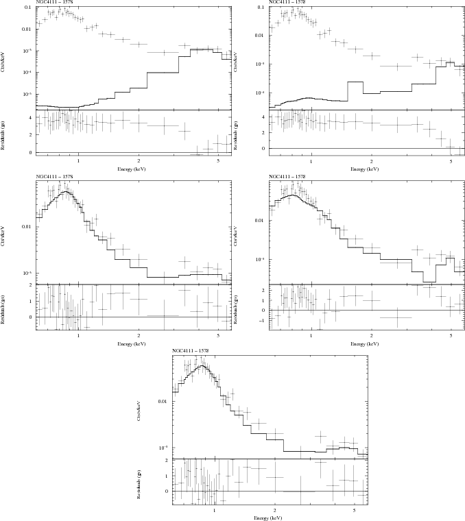
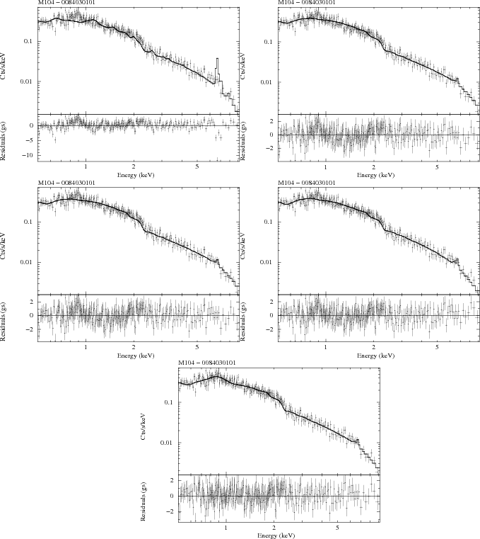
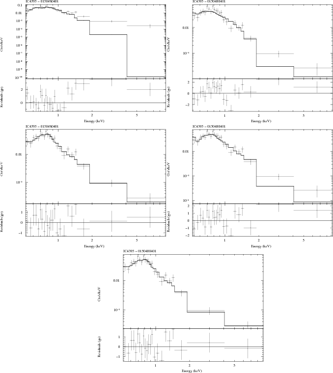
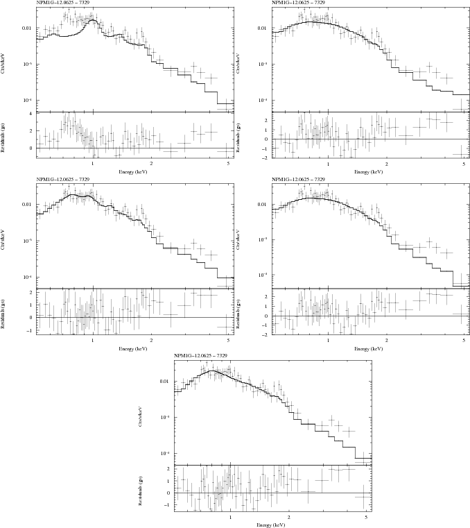
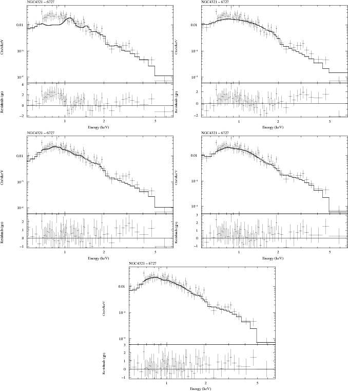
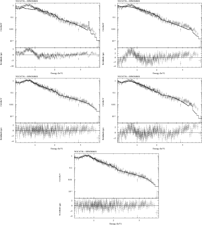
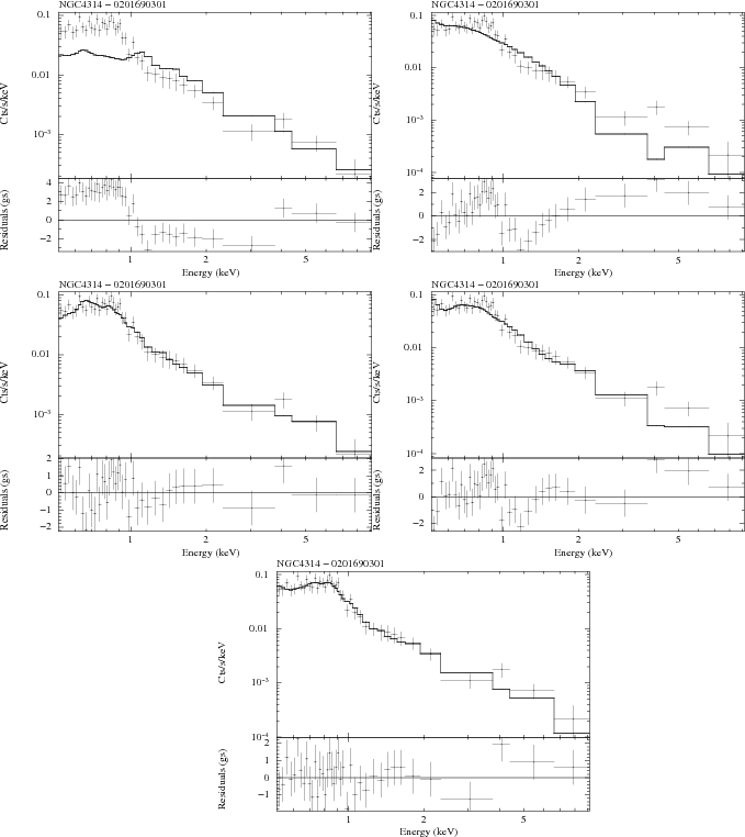
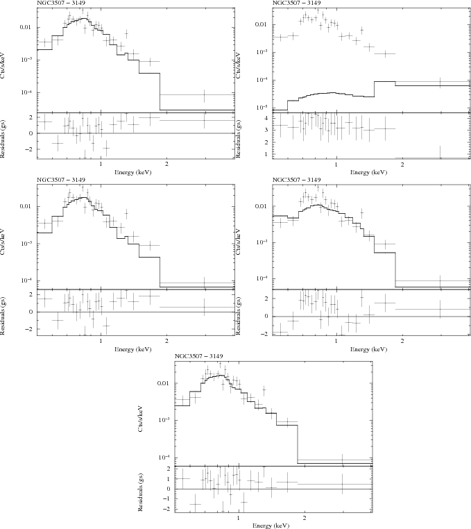
Spectral analysis was possible for 44 (44) out of 68 (55) LINERs with Chandra (XMM-Newton) data. Figure 5 shows an example of the nuclear XMM-Newton spectrum of NGC 2655. The five panels show the results for each of the five models used in the spectral fitting (see the caption).![]() |
Figure 5: Spectral fits ( top panels) and residuals ( bottom panels) for the nuclear spectrum of NGC 2655 (XMM-Newton data). (Top-left): thermal model (ME), (top-right): power-law model (PL), (centre-left): power-law plus thermal model (MEPL), (centre-right): two power-law model (2PL), (bottom): two power-law plus thermal model (ME2PL). The best fit for this object is a ME2PL model (see Table 7). Figures of spectral fits of the LINER sample are in the electronic edition in Appendices D and E. |
Open with DEXTER |
For the full-sample analysis, we grouped our sources into those best fit with ``Simple models'' (one component, i.e. ME or PL) and those fit with ``Composite models'' (more than a single component required, as MEPL, 2PL, and ME2PL models). We get
- 1.
- Simple models - Chandra data: (see
Table 3) a PL model is reliable in 25 cases;
however, 2PL and/or MEPL models result in an improvement in all
but 7 (NGC 2787, NGC 3414, NGC 3945, NGC 4594, NGC 5055,
NGC 5746, and IRAS 17208-0014). The ME model is reliable in 14
galaxies, however, the PL model, or the inclusion of a composite
model, result in an improvement in all but three cases (NGC 3507,
CGCG 162-010, and NGC 6482).
XMM-Newton data: (see Table 4), the PL model is reliable in 13 cases but 2PL and/or MEPL models lead to an improvement in all but 4 objects (NGC 3628, NGC 3998, NGC 4494 and MRK 0848). ME model is reliable in seven galaxies, but the PL model or the inclusion of a composite MEPL model result in an improvement in all but five cases (NGC 2639, UCG 04881, IRAS 14348-1447, IRAS 17208-0014, and NGC 6482).
- 2.
- Composite models - When excluding cases where ME or
PL models are required, the complex model is needed in 34 out of
the 44 objects with Chandra data and 36 out of the 44 objects
XMM-Newton data.
Chandra data: 2PL model is better than MEPL model in 12 cases (NGC 0833, NGC 1052, UGC 05101, NGC 3998, NGC 4374, NGC 4486, NGC 4736, MRK 266NE, UGC 08696, NGC 6251, NGC 6240, and IC 1459). The MEPL model is better than the 2PL model in 19 objects, and in three cases (NGC 0835, NGC 4111, and NGC 4261) a good fit has not been found with neither MEPL nor 2PL models.
XMM-Newton data: 2PL model is better than the MEPL model in three cases (NGC 1052, NGC 3226, and NGC 4594). The MEPL model is better than 2PL model in 29 objects. Among these 29 objects, none of the models provides a statistically acceptable fit for NGC 7743, with MEPL the one providing the best fit (
). Moreover, in UGC 05101, NGC 4261, UGC 08696, and NGC 7743 neither MEPL nor 2PL models are good representations of the datasets.
For these 12 (3) objects with Chandra (XMM-Newton) data reliably fitted with the 2PL model, the F-test demonstrates that the use of ME2PL model is an improvement in all the objects (all but NGC 3226) with Chandra (XMM-Newton) data. Among the objects reliably fitted with MEPL model, the F-test demonstrates that the use of ME2PL model improves the results in two objects (NGC 2681 and NGC 3898) from the Chandra dataset and in 12 of the cases with XMM-Newton data. Three objects (NGC 0835, NGC 4111, and NGC 4261) observed with Chandra and four objects with XMM-Newton (UGC 05101, NGC 4261, UGC 08696, and NGC 7743) statistically require the ME2PL model. For the interested readers, full details on results of the fit are given in Gonzalez-Martin et al. (2008).
A comparative analysis of the spectral fitting of the 40 sources observed with both Chandra and XMM-Newton is presented in Appendix A. This analysis consists of a) a comparison of the X-ray properties of the 40 objects observed by both satellites, b) the same comparison using the same extraction region, and c) a statistical comparison of the two samples. The main results of this study are 1) The spectral index is a robust parameter, independent of the extraction radius of the source, 2) XMM-Newton luminosities are about a factor of 5-10 brighter in the 0.5-2 keV range and 2.5 times in the 2-10 keV range wider than Chandra luminosities, 3) NH2 column density is independent on the selected aperture and appears to be strongly linked to the best-fit model, and 4) the discrepancies in NH1 stem from to aperture effects.
Keeping in mind all the considerations when comparing Chandra and XMM-Newton data, we constructed the final sample for spectral analysis by using XMM-Newton data only when Chandra data were not available. The results are shown in Tables 7 and 8.
We found that MEPL or ME2PL models are the best representation for 73% of the sample (24 galaxies have been fitted with MEPL model and 20 with ME2PL model), while 2PL model is a poor representation of the data (only one case). Moreover, when the number counts are taken into consideration, all the objects with a simple model best fit are those with low number counts in their spectra, while composite models cover a wide range of number counts. This suggests that the requirement of a composite best seems to be the most choice for our LINER sample.
We also computed the relative contribution coming from each of the spectral fit components to the 0.5-2 keV and 2-10 keV fluxes (Table 8, Cols. 9-11). The thermal component dominates the soft emission (>50%) in 31 LINERs and its contribution is higher than 20% in 23 objects above 2 keV, although the main contribution (>50%) above 2 keV comes from the power-law components.
Tables 9 and 10
show the statistic of best fits and the median parameters of the
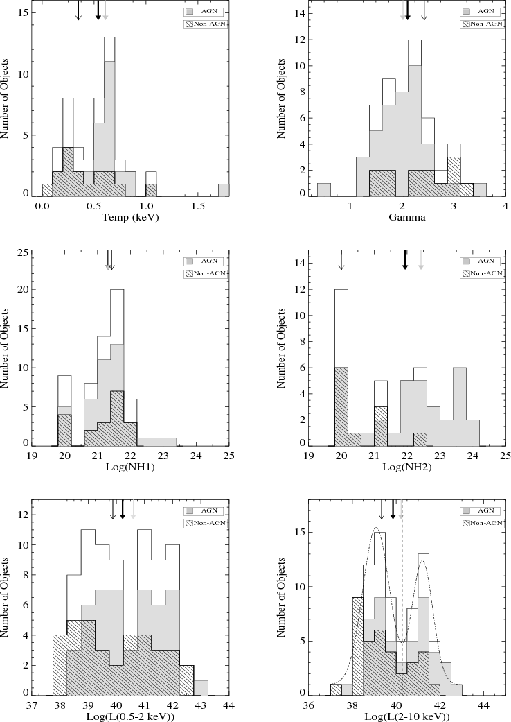
sample. Figure 6 shows the distributions of
temperature (top-left), spectral index
(bottom-left), NH1 (top-centre), NH2
(bottom-centre), soft (0.5-2 keV, top-right), and
hard (2-10 keV, bottom-right) luminosities.
Table 10 also includes the K-S test probability
of investigating whether AGN and non-AGN LINERs are consistent
with derivation from the same parent population.
![]() |
Figure 6:
Distributions of temperature
(top-left), spectral index (top-right), NH1
(centre-left), NH2 (centre-right), soft (0.5-2 keV,
bottom-left), and hard (2-10 keV, bottom-right)
luminosities. The median values are marked with arrows (bold-face
arrows for the whole LINER sample, grey arrows the AGN-like sample
and thin arrows the non-AGN sample, see
Table 10). Empty distributions show the whole
LINER sample results, grey filled distributions show the subsample
of AGN candidates and dashed-filled distributions show the
subsample of non-AGN candidates. Dashed lines show the minima
between the two peaks found in the distribution of temperature
(kT = 0.45 keV) and hard luminosity (
|
Open with DEXTER |
A deeper understanding of the nature of LINER nuclei can be obtained based on their spectral characteristics. Within our expectations for the AGN-like population, the ME model is not found to be a good fit for any of the galaxies.
Within the family of non-AGN nuclei, a proper spectral fitting was
possible for nine galaxies (NGC 3507, NGC 3898, NGC 4321,
NGC 4696, CGCG 162-010, NGC 5813, NGC 5846, NGC 6482, and
NPM1G -12.0625). In four cases (NGC 4321, NGC 4696,
CGCG 162-010, and NPM1G -12.0625), the resulting (2-10 keV)
X-ray luminosities seem to be too high (>10
)
to be interpreted as from star-forming processes.
Additional sources for such an excess could be either an obscured
AGN or an additional component like the one coming from the hot
gas observed in galaxy clusters. In that respect, it is worthwhile
noticing that five out of the nine non-AGN galaxies (NGC 4696,
CGCG 162-010, NGC 5846, NGC 6482, and NPM1G -12.0625) are
confirmed brightest galaxies in clusters; all the remaining,
excepts NGC 3507, are known to be members of clusters. Thus, the
inclusion of cluster emission could be a possible explanation for
their high luminosity. A proper model of the hot gas from the
underlying cluster, beyond the scope of this paper, indeed needs
to be done before any conclusion is drawn. Moreover, none of
object need two power-law components. In three cases (NGC 3507,
CGCG 162-010, and NGC 6482), a simple ME model is the best
representation. For the remaining six galaxies, MEPL model is
shown as the best fit.
The spectral index shows an asymmetrical distribution with a
median value (
), consistent
with other AGN as reported by Guainazzi et al. (2005) (see
Table 10 and Fig. 6). This
is an important clue to the AGN nature. No differences are found
between AGN-like LINERs and non-AGN LINERs.
5.1.3 Comparison with GM+06
This paper presents the analysis of X-ray data on 33 new LINERs, includes XMM-Newton information on 41 objects with both Chandra and XMM-Newton data, uses a different smoothing process for the X-ray images, and proves new X-ray spectral baseline models. We recall that only Chandra data were used in GM+06. The morphological types of this enlarged sample, with a total of 82 LINERs, cover later morphological types than in GM+06, but the latest morphological types (t > 4) still to be appear lacking. It seems that the lack of faint LINERs in GM+06's sample now disappears for optical luminosities.
The differences in the smoothing process used in this paper lead to a different morphological classification of four sources. NGC 3245, NGC 4438, and NGC 4676B are now classed as AGN candidate. NGC 3628 has changed the classification from AGN to a non-AGN source. Although a source is present in the hard band for NGC 3628, it is not point-like (see Appendix C). Using the same 46 objects than in GM+06, we end up now with 29 AGN candidates instead of 27 in GM+06.
We present the spectral analysis for 60 LINER nuclei, 36 more
objects than in GM+06. This improvement comes from including both
new Chandra data and XMM-Newton data. In addition to this, the spectral
analysis itself shows differences with the previous reported
analysis. The main differences between the current spectral
analysis and in GM+06 are 1) excluding the Raymond Smith model
since MEKAL model has been proven to be significantly better, in
particular with respect to the Fe-L emission line forest; 2)
including two absorptions in composite models; 3) introducing 2PL
and ME2PL models, as some of the sample sources could not be
fitted with the models used by GM+06; and 4) explicitly including
Fe emission lines in all the fits. Thus, the comparison between
our current spectral analysis and in GM+06 is not straightforward,
and the results there cannot be simply added up to those for the
new objects here. However, if we assume that the previous RS+PL
and ME+PL models are the same as the current MEPL model reported
here, the final best-fit does not agree with that obtained by
GM+06 in 10 cases (NGC 0315, NGC 3690B, NGC 4374, NGC 4410A,
NGC 4696, UGC 08696, CGCG 162-010, NGC 6240, NGC 7130, and
IC 1459). NGC 0315, NGC 3690B, UGC 08696, NGC 6240,
NGC 7130, and IC 1459 are better fitted now with a more complex
model (ME2PL). NGC 4374, NGC 4410A, and NGC 4696 are better
fitted with MEPL model instead of PL model. This can be explained
for the inclusion of two absorptions in our current MEPL model.
CGCG 162-010 is better fitted with ME model, instead of the RS+PL
model. Statistically speaking, the reduced
for the
objects in common shows a median value and standard deviation
in this paper
and
in GM+06. The
median value is lower in this work because more complicated models
with a large set of free parameters were used. However, the
standard deviation is lower, hinting that we have found a better
fit in more cases.
Temperatures (spectral index) here and in GM+06 show a correlation coefficient of r = 0.7 (r = 0.5). The inclusion of two absorptions and additional power-law components are definitely responsible for the poor correlation between the two sets of spectral indices. Column densities cannot be compared because we use here two column densities instead of the one used in GM+06.
5.1.4 Iron emission lines
Within the Chandra sample, the FeK

For the XMM-Newton sample, the FeK
emission line is measured
in 10 objects (NGC 0315, NGC 0835, NGC 1052, UGC 05101,
NGC 3690B, NGC 4579, MRK 266NE, UGC 08696, NGC 6240, and
NGC 7285). Four of them (NGC 0835, UGC 05101, MRK 266NE, and
NGC 6240) are compatible with high EW (EW > 500 eV). Nine out
of these 10 cases have Chandra observations (except NGC 7285);
however, only in three objects that we detect the FeK
emission lines, whose width is coincident with the XMM-Newton data.
FeXXV emission line is detected in 12 cases (NGC 0315, NGC 0410,
NGC 1052, UGC 05101, 3C 218, NGC 3690B, NGC 4579, UGC 08696,
CGCG 162-010, NGC 6251, NGC 6240, and NPM1G -12.0625). The
equivalent widths of the ionised lines are also consistent with
Chandra results.
XMM-Newton data is more suitable in the range where these emission
lines are placed (7 keV). Thus, XMM-Newton results are taken
when available, while Chandra results are taken otherwise (see
Table 11). Thirteen detections of the
FeK
emission line, 13 detections of the FeXXV emission
line, and 8 detections of the FeXXVI emission lines are reported.
All the objects with detected FeK
emission line are
morphologically classified as AGN-like objects. Iron emission
lines as an indication of the obscuration will be discussed in
Paper II.
5.1.5 Obscuring material
We focus the analysis of the obscuration on Chandra data because the column density results might be affected by the lower spatial resolution of XMM-Newton data (see Appendix A for a detailed explanation).
The histograms with the resulting column densities for Chandra data
are given in Fig. 7. While NH1 column
density has a narrow distribution (see
Table 10), NH2 column density shows a wide
range of values. NH1 column density shows a distribution similar
to this reported in GM+06 (
), where only one column density was
used in the spectral fit.
![]() |
Figure 7: Histogram of column densities obtained with Chandra data (empty histogram). The filled histogram is the subsample of objects fitted to ME2PL and 2PL models. (Top): NH1 column density histogram and (bottom): NH2 column density histogram. Dashed lines show the locus of the median value for the Chandra sample. |
Open with DEXTER |
The median value for NH1 column density in our LINERs with Chandra
data (
= 21.32
0.71)
is higher than reported for type 2 Seyferts (consistent with the
Galactic value, Bianchi et al. 2009). This is also shown with the
median value for the whole sample (see Fig. 6,
centre-right). We also found that AGN and non-AGN
populations show different NH2 distributions (2% probability that
they come from the same parent population, see
Table 10).
We also studied how column densities vary with the chosen spectral model (Fig. 7). NH1 column density distributions are quite similar for the whole sample and the previous subset (Kolmogorov-Smirnov test probability of 93%). Nevertheless, the highest values of NH2 column density are obtained for the nuclei best-fitted with ME2PL or 2PL models (Kolmogorov-Smirnov test probability of being the same distribution of 6%). A detailed analysis of the obscuring matter in LINERs, including the amount and location of the absorbers, will be presented in Paper II.
5.1.6 Luminosities
Our derived luminosities for the LINER sample completely overlap with those found for type 2 Seyferts, although both soft and hard luminosities in LINERs tend to cover lower values. Hard X-ray luminosities show a bimodal distribution centred at










As a consequence of the high obscuration obtained in ME2PL and 2PL
models, the unabsorbed X-ray luminosities are among the highest
values of the sample when ME2PL or 2PL models are the best fit. To
illustrate the relationship between this obscuration and the
luminosity, Fig. 8 shows NH1 and NH2 column
densities versus L(0.5-2.0 keV) and L(2-10 keV) X-ray
luminosities. XMM-Newton data are included. Upper limits are not
included in the plots for clarity but are consistent with the
detections. The NH1 column density does not show any tendency with
luminosity (correlation coefficient
), while a hint
of such a correlation is seen when either soft or hard luminosity
is compared to the NH2 column density. This is not an artifact of
the quality of the data, since no trend has been found between the
NH2 column density and the number counts. This correlation was not
found by Panessa et al. (2005) for a sample of unobscured
type 2 Seyfert galaxies (see
also Risaliti et al. 1999); however, their result is
perfectly consistent with ours, because their column density is
closer to our NH1 column density. In Paper II, we discuss this
result again including an exploration about the Compton-thick nature of LINER nuclei.
![]() |
Figure 8: Comparison between NH column densities and luminosities. Top-left: soft (0.5-2.0 keV) luminosity versus NH1 column density; top-right: soft (0.5-2.0 keV) luminosity versus NH2 column density; bottom-left: hard (2-10 keV) luminosity versus NH1 column density; and bottom-right: hard (2-10 keV) luminosity versus NH2 column density. XMM-Newton data are plotted with open circles. For clarity, upper limits are not included in the plot. The correlation coefficient r(r(Chandra)) is provided for each plot for the whole sample (the subsample with Chandra data). AGN candidates are shown as red circles, while non-AGN candidates are shown as black circles. |
Open with DEXTER |
5.1.7 Thermal component
The thermal component is an important ingredient in LINERs, since it is needed in 53 out of the 60 objects. This contribution is a high fraction of the emission, especially at kT < 2 keV (see Table 8, Col. 9). Its asymmetrical, bimodal distribution is centred at kT = 0.25 keV and kT = 0.65 keV (see Fig. 6). Only IRAS 14348-0014 shows kT > 2 keV. Temperatures above kT = 0.45 keV are related to strong thermal processes (Strickland et al. 2002), whereas temperatures around kT = 0.2 keV are typical of Seyfert 1 objects (Panessa et al. 2008; Teng et al. 2005).To study whether the thermal component comes from the host galaxy we did the spectral analysis of the diffuse emission around the nucleus using Chandra data. From the sample of 55 objects with spectral fitting, we selected the 19 objects for which the spectral analysis on the diffuse emission is expected to be reliable; i.e. a clean extraction of the diffuse emission can be done. Any point-like source has been excluded from the extraction region.
We investigated ME, PL, and MEPL models. The ME model is used to
reproduce thermal emission. The PL model is considered to take the
eventual contamination of unresolved point-like sources into
account. MEPL model is included to add the possibility that
unresolved point-like sources and thermal emission are
contributing to the final emission. The resulting parameters for the
best-fit models are summarised in Table 13.
The comparison between the nuclear temperature (kT (keV)
(nucleus)) and the diffuse emission temperature (kT (keV)
(diffuse emission)) is shown in Fig. 9. Only
four objects (3C 218, NGC 4486, CGCG 162-010, and NGC 6240)
show discrepancies. Thus, it can be safely concluded that the
material responsible for the thermal component is the same as the
one producing the circumnuclear diffuse emission. However, the
physical mechanism is still unknown.
![]() |
Figure 9: Temperature of the diffuse emission (kT (keV) (diffuse emission)) versus the temperature of the nuclear emission (kT(keV) (Nucleus)). Arrows are upper limits. The unity slope is shown as a continuous line. 3C 218 and CGCG 162-010 are out of the plot with coordinates (x, y) = [1.7 keV, 3.0 keV] and (x, y) = [1.0 keV, 4.1 keV], respectively (see text). |
Open with DEXTER |
Since both 2-10 keV luminosities and temperatures show bimodal
distribution, we attempted to analyse whether a connection exists
between L(2-10 keV) and kT (see
Fig. 10). The values where the histograms
reach the minimum between the two peaks: kT = 0.45 keV and
.
XMM-Newton data are included. All the objects but one
(NGC 4457
) with low
temperatures (kT<0.45 keV) are in the group of high luminosities
(>
)
(NGC 3690B,
NGC 3998, NGC 4321, NGC 4410, NGC 4579, NGC 6251, and
NGC 7285). Also all the objects but NGC 4457 in the
low-luminosity range (<
)
show a temperature above kT = 0.45 keV (NGC 2681,
NGC 2841, NGC 4278, NGC 4374, NGC 4494, NGC 4552, NGC 4696,
NGC 4736, NGC 5363, NGC 5813, and NGC 6482). There is also a
mixed group of objects with high temperature and high luminosity.
The same trend is found with the soft luminosity.
![]() |
Figure 10:
Hard X-ray (2-10 keV) luminosity versus temperature. AGN
candidates are shown as red circles, non-AGN candidates as black
circles. The XMM-Newton data are shown with open circles. Dashed lines
show the minima between the two peaks found in the distribution of
temperature (kT = 0.45 keV) and hard luminosity (
|
Open with DEXTER |
The temperature of thermal spectral components that we formally obtain in high-power LINERs is comparable to what is obtained in type 1 AGN (Panessa et al. 2008; Teng et al. 2005). In type 1 AGN, the soft excess is probably associated with atomic physics processes such as ionised absorption or disk reflection (Gierlinski & Done 2004; Crummy et al. 2006). Therefore, we suggest that the soft excess is not indicative of thermal processes in AGN candidates amongst LINERs. Only non-AGN candidates would exhibit signatures of truly thermal processes in their X-ray spectra. Thus, the nature of this thermal component remains unclear but is very suggestive that of a high fraction of LINERs. In fact, some scattering can be seen below 2 keV in most cases, which might point to more complex assumptions than a simple thermal model to reproduce the soft emission. For this purpose we analysed XMM-Newton data from the reflection grating spectrometer (RGS) (Gonzalez-Martin et al. in preparation).
5.2 Multiwavelength analysis
In addition to the X-ray signatures used in this paper (e.g. hard X-ray compact nuclear source, FeK
Before entering into it, we want to say a few words about the
longstanding controversy (see Ho 2008, for a full
discussion) involving alternatives for explaining the
X-ray emission in LINERs, including starburst and/or ULX
contamination. A starburst contribution has been invoked to
explain the observed X-ray emission for some particular cases
(i.e. Jimenez-Bailon et al. 2005; Eracleous et al. 2002, for the LINER NGC 4736, and for the low-luminosity
AGN NGC 1808,
respectively).
In these cases the emission from high-mass X-ray binaries (HMXB)
can be claimed as a strong contributor. Nevertheless, in GM+06 we
already argued that HMXB cannot be considered as an important
ingredient for most of the galaxies. By using the data from
Cid-Fernandes et al. (2004) and Gonzalez-Delgado et al. (2004),
we found that for the 21 objects in common a young stellar
population can only be claimed in three cases: NGC 3507,
NGC 3998, and NGC 4321 (see Col. 8 in
Table 12). NGC 3998 has a reported broad
emission line (Ho et al. 1997), which
reinforces its AGN nature. The X-ray morphology of the two other
galaxies is that of a non-AGN candidate, so a detailed analysis
needs to be done to evaluate the importance of HMXB in them. But
for the remaining 18 objects, young stars do not appear to be
important contributors to the observed emission.
On the other hand, ULX sources (see Fabbiano 2006, for a
review) can constitute a significant
contribution at X-rays energies. The high X-ray luminosity found
for an ULX in the star-forming galaxy NGC 7424
(Soria et al. 2006), with a luminosity of
erg s-1, proves how
strong the contamination produced by such objects can be if they
are found at nuclear locations. This makes the analysis extremely
difficult and implies that only indirect proofs can be invoked.
But it has to be considered that the reported ULXs are mostly
associated to young clusters where strong events of star formation
are occurring (see for instance the data on the Antenae and
NGC 1275, Gonzalez-Martin et al. 2006a; Wolter et al. 2006, respectively) which
does not appear to be our case. Figure 11 shows
the luminosity function (LF) of the whole LINER sample and the LF
reported for ULXs (Kim & Fabbiano 2004) and HMXBs
(Grimm et al. 2003) for two different star-forming rates, 12 and
100
.
Kim & Fabbiano (2004) find that the
ULX LF for a sample of normal galaxies is well-fitted by two power
laws with a break at
(see
Fig. 11). The slope before the break is around
-1.8 and after the break is -2.8. However, the LF we obtain
for LINER nuclear sources fits to a broken power law with a break
at
and slopes -0.2 and
-0.8 before and after the break (see
Fig. 11); hence, the LF of LINER nuclei notably
differs from that of HMXBs and ULX. Thus it seems safe to conclude
that neither HMXBs nor ULXs can be considered as a serious
alternative to explain the X-rays emission in LINERs.
![]() |
Figure 11:
Hard (2-10 keV) LF for the whole LINER sample
(continuous line). That for ULXs in Kim & Fabbiano (2004) is plotted as
a dashed line. The dashed-dotted lines correspond to the LF of
HMXRBs from Grimm et al. (2003) for two different star-forming
rates, 12 and 100
|
Open with DEXTER |
To further analyse the nature of our LINER nuclei, we compiled all the information available from the literature at frequencies from radio to UV. Table 12 lists the multiwavelength data discussed in this paper. Under the assumptions of the unified model, the main ingredients expected to be common to AGN are 1) a region of high velocity and high velocity dispersion, called the broad line region (BLR); 2) variability at UV; and 3) an unresolved radio compact core associated with a flat continuum (Nagar et al. 2005; Filho et al. 2004). The signature of any of these ingredients will be taken as an AGN signature.
1) Broad
emission line components have
been reported for 15 cases (18%) in our sample. We stress that
weak broad
emission lines could exist and remain
undetected. Low spectral resolution could lead to misclassifying
the blending of narrow
emission line as a broad
emission line. With the exception of NGC 2639
and NGC 4636, all the 15 BLR LINER nuclei in our sample are
classified as having AGN X-ray morphology (86%).
Ho (2008) has shown that the type 1 LINERs in his sample
host a point like source in 95% of the cases, consistent with our
findings. In contrast, among type 2 LINERs, our detection rate of
X-ray AGN is 50%, lower than the reported rate by
Ho (2008). This difference may be related to the less
homogeneous character of our sample with respect to Ho's, which
only uses sources from the Palomar Sky spectroscopic survey.
From the comparison between optical and X-ray results, the
existence of a BLR in NGC 2639 and NGC 4636, with no AGN
signatures at X-rays remains unclear.
We could imagine two scenarios to explain: 1) The matter that
obscures the BLR at optical wavelengths is not the same as that
obscuring the X-ray source, with the
latter possibly located in the inner parts, eventually within the
BLR itself (Elvis et al. 2004; Risaliti et al. 2005). Or 2)
the obscuring torus is clumpy, which might explain transitions
between types 1 and 2 (Elitzur 2007). In this case
the time evolution of the clouds around the AGN is responsible for
such discrepancies, provided that they were not observed
simultaneously at optical and X-ray frequencies. In fact, a
general picture can emerge in which the optical obscuring torus is
a smooth continuation of the BLR clouds. However, the clumpy torus
seems to dilute at bolometric luminosities lower than
1042 erg s-1 (Elitzur 2007), which is
well above the luminosities computed for NGC 4636 and NGC 2639.
That only a few LINERs show broad
would support
the hypothesis of the dissolution of the BLR in LLAGN
(Martínez et al. 2008; Nicastro et al. 2003).
2) In six cases (NGC 3998, NGC 4486, NGC 4552, NGC 4579, NGC 4594, and NGC 4736), UV variability has been found (Maoz et al. 2005, Table 12, Col. 10), all of them compatible with the X-ray morphological classification as AGN. Interestingly, all the sources showing UV variability appear as Compton-thin at X-ray frequencies.
3) Finally, observations at radio frequencies do exist for
75 out of our 82 LINERs (Nagar et al. 2005, and references
therein). Twenty-eight sources have not been
detected at 2 cm, whereas compact sources are
detected in 54/75 (72%). Among the 54 compact sources, six of
them show steep nuclear spectra and 25 of them are compatible with
the presence of an AGN (17 show a flat spectra and 8 show jet
structure). Among these 25 objects, 14 have been classified as AGN
candidates and 11 as non-AGN candidates. Among the 54 sources
detected at radio frequencies, 30 are detected at X-rays.
Adding together the X-ray results presented in this paper with the
information on UV variability, broad
emission
line and radio classifications, 16 sources (19.5%) do not show
any evidence of any AGN, namely NGC 0410, NGC 474, NGC 0524,
UGC 4881, NGC 3379, NGC 3623, NGC 3628, NGC 3898, NGC 4314,
NGC 4321, NGC 4459, NGC 4596, NGC 4676A, IC 4395, NGC 6482,
and NPM1G -12.0625. The spectral analysis was possible for 10
sources of these sources, and it is incompatible with a pure
thermal origin (i.e. ME model) in three cases (UGC 4881,
NGC 3507, and NGC 6482).
Hence, taking the X-ray and multiwavelength information of this large compilation of LINERs into account, a huge amount of LINERs (80%) seem to host an AGN. Recently, Dudik et al. (2009) combined optical, X-ray, and mid-IR diagnostics, to find an AGN detection rate of 74%, close to our findings. This fraction might be a lower limit since we have not taken Compton-thick sources into account (a full discussion will be reported in Paper II).
6 Summary and conclusions
In this paper the nuclear characterisation of 82 LINER galaxies in X-rays is presented, 68 with Chandra and 55 with XMM-Newton data. They make the largest sample of LINERs with X-ray spectral fits ever analysed (60 out of the 82 objects). We also use the information on the optical morphology with HST data, optical emission lines, UV variability, radio compactness, and stellar populations reported in the literature.To summarise, the most relevant findings in this paper are
- 1.
- X-ray imaging: 60% (49/82) of the sample shows a compact nuclear source in the 4.5-8 keV band (the so-called AGN candidates) and 68% (41/60) within the sample with spectral fit.
- 2.
- X-ray spectroscopy: MEPL and ME2PL models are the
best representation of the data in 73% (44/60) of the sample. 2PL
was good enough only in one case (2%), while simple models (ME or
PL) were needed in 15 cases (25%). The median and standard
deviation of the parameters are
= _totmedian,
0.54
0.30 keV,
= 21.32
0.71, and
=
. Spectral indices are consistent with the presence of an AGN (Piconcelli et al. 2005; Nandra et al. 2007; Page et al. 2003). A single thermal model is reported as the best fit in only six cases, all of them morphologically classified at X-rays as non-AGN candidates. The FeK iron emission line was detected in 13 cases, all of them AGN-like sources.
- 3.
- Luminosities: Soft and
hard luminosities range between
= 37.5-43.5 and
= 37-43 with median values of
keV)) = 40.22
1.33 and
keV)) = _totmedian, respectively. The 2-10 keV luminosity shows a bimodal distribution centred at
and
. A weak dependence of the NH2 column density on the intrinsic luminosities is found. The X-ray luminosities overlap with those found for type 2 Seyferts (Panessa et al. 2006; Guainazzi et al. 2005; Cappi et al. 2006).
- 4.
- Multiwavelength analysis: Adding up the multiwavelength information discussed throughout this paper, at least 66 out of the 82 objects (80%) show any evidence of harbouring an AGN, although we do not rule out the presence of an AGN in the remaining ones. NGC 2639 and NGC 4636 do not show X-ray signatures of an AGN while, interestingly, the host BLR (Ho et al. 2001). A more complex scenario than the simplest version of the unified model is said to include the LINER nuclei family.
Thanks goto the anonymous referee for his/her useful comments that helped to improve the paper. J. M., I. M., and O. G. M. also gratefully acknowledge the useful comments from R. Dupke and F. Panessa. We thank F. Durret for her helpful comments on this work. We gratefully acknowledge J. Acosta, F. Carrera, and E. Florido, members of O. G. M.'s Ph.D. jury. We also thank to J. Sulentic and A. de Ugarte Postigo for the help in improving the text. This work was financed by DGICyT grants AYA 2003-00128, AYA 2006-01325, AYA 2007-62190, and the Junta de Andalucía TIC114. O. G. M. acknowledges financial support from the Ministerio de Educación y Ciencia through the Spanish grant FPI BES-2004-5044 and research fellowship of STFC. This research made use of data obtained from the Chandra Data Archive provided by the Chandra X-ray Center (CXC). This research made use of data obtained from the XMM-Newton Data Archive provided by the XMM-Newton Science Archive (XSA). This research made use of the NASA/IPAC extragalactic database (NED), which is operated by the Jet Propulsion Laboratory under contract with the National Aeronautics and Space Administration. This publication made use of data products from the Two Micron All Sky Survey, which is a joint project of the University of Massachusetts and the Infrared Processing and Analysis Center/California Institute of Technology, funded by the National Aeronautics and Space Administration and the National Science Foundation. We acknowledge the use of the Hyperleda database. This paper is partially based on NASA/ESA Hubble Space Telescope observations.
Appendices
The appendices below are provided in the on-line edition.
- Appendix A. XMM-Newton versus Chandra results.
- Appendix B. Notes on individual objects.
- Appendix C. Catalogue of X-ray images.
- Appendix D. Nuclear spectra from Chandra data.
- Appendix E. Nuclear spectra from XMM-Newton data.
- Appendix F. Large-scale optical (DSS) images.
References
- Anderson, J. M., & Ulvestad, J. S. 2005, ApJ, 627, 674 [NASA ADS] [CrossRef]
- Baan, W. A., & Klockner, H.-R. 2006, A&A, 449, 559 [NASA ADS] [CrossRef] [EDP Sciences]
- Bajaja, E., Hummel, E., Wielebinski, R., & Dettmar, R.-J. 1988, A&A, 202, 35 [NASA ADS]
- Baldwin, J. A., Phillips, M. M., & Terlevich, R. 1981, PASP, 93, 5 [CrossRef]
- Ballet, J. 2001, in Astronomical Data Analysis Software and Systems X, ASP Conf. Ser., 238, 381
- Cappi, M., Panessa, F., Bassani, L., et al. 2006, A&A, 446, 459 [NASA ADS] [CrossRef] [EDP Sciences]
- Carral, P., Turner, J. L., & Ho, P. T. P. 1990, ApJ, 362, 434 [NASA ADS] [CrossRef]
- Carrillo, R., Masegosa, J., Dultzin-Hacyan, D., & Ordonez, R. 1999, Rev. Mex. Astron. Astrofis., 35, 187 [NASA ADS]
- Chiaberge, M., Capetti, A., & Macchetto, F. D. 2005, ApJ, 625, 716 [NASA ADS] [CrossRef]
- Cid-Fernandes, R., Delgado, R. M. G., Schmitt, H., et al. 2004, ApJ, 605, 105 [NASA ADS] [CrossRef]
- Clemens, M. S., Vega, O., Bressan, A., et al. 2008, A&A, 477, 95 [NASA ADS] [CrossRef] [EDP Sciences]
- Comastri, A., & Brusa, M. 2008, Astron. Nachr., 329, 122 [NASA ADS] [CrossRef]
- Condon, J. J., & Broderick, J. J. 1991, AJ, 102, 1663 [NASA ADS] [CrossRef]
- Corbett, E. A., Norris, R. P., Heisler, C. A., et al. 2002, ApJ, 564, 650 [NASA ADS] [CrossRef]
- Crummy, J., Fabian, A. C., Gallo, L., & Ross, R. R. 2006, MNRAS, 365, 1067 [NASA ADS]
- Dickey, J. M., & Lockman, F. J. 1990, ARA&A, 28, 215 [NASA ADS] [CrossRef]
- Dopita, M. A., & Sutherland, R. S. 1995, ApJ, 455, 468 [NASA ADS] [CrossRef]
- Dudik, R. P., Satyapal, S., Gliozzi, M., & Sambruna, R. M. 2005, ApJ, 620, 113 [NASA ADS] [CrossRef]
- Dudik, R. P., Satyapal, S., & Marcu, D. 2009, ApJ, 691, 1501 [NASA ADS] [CrossRef]
- Ebeling, H., White, D. A., & Rangarajan, F. V. N. 2006, MNRAS, 368, 65 [NASA ADS]
- Elitzur, M. 2007, in, 415
- Elvis, M., Risaliti, G., Nicastro, F., et al. 2004, ApJ, 615, L25 [NASA ADS] [CrossRef]
- Eracleous, M., & Halpern, J. P. 2001, ApJ, 554, 240 [NASA ADS] [CrossRef]
- Eracleous, M., Shields, J. C., Chartas, G., & Moran, E. C. 2002, ApJ, 565, 108 [NASA ADS] [CrossRef]
- Fabbiano, G. 2006, ARA&A, 44, 323 [NASA ADS] [CrossRef]
- Ferrarese, L., Ford, H. C., Huchra, J., et al. 2000, ApJS, 128, 431 [NASA ADS] [CrossRef]
- Filho, M. E., Barthel, P. D., & Ho, L. C. 2000, ApJS, 129, 93 [NASA ADS] [CrossRef]
- Filho, M. E., Barthel, P. D., & Ho, L. C. 2002, ApJS, 142, 223 [NASA ADS] [CrossRef]
- Filho, M. E., Fraternali, F., Markoff, S., et al. 2004, A&A, 418, 429 [NASA ADS] [CrossRef] [EDP Sciences]
- Filho, M. E., Barthel, P. D., & Ho, L. C. 2006, A&A, 451, 71 [NASA ADS] [CrossRef] [EDP Sciences]
- Filippenko, A. V., & Terlevich, R. 1992, ApJ, 397, L79 [NASA ADS] [CrossRef]
- Flohic, H. M. L. G., Eracleous, M., Chartas, G., Shields, J. C., & Moran, E. C. 2006, ApJ, 647, 140 [NASA ADS] [CrossRef]
- Freeman, P. E., Kashyap, V., Rosner, R., & Lamb, D. Q. 2002, ApJS, 138, 185 [NASA ADS] [CrossRef]
- George, I. M., Mushotzky, R. F., Yaqoob, T., et al. 2001, ApJ, 559, 167 [NASA ADS] [CrossRef]
- Gierlinski, M., & Done, C. 2004, MNRAS, 349, L7 [NASA ADS] [CrossRef]
- Gonzalez-Delgado, R. M., Fernandes, R. C., Perez, E., et al. 2004, ApJ, 605, 127 [NASA ADS] [CrossRef]
- Gonzalez-Martin, O., Fabian, A. C., & Sanders, J. S. 2006a, MNRAS, 367, 1132 [NASA ADS] [CrossRef]
- Gonzalez-Martin, O., Masegosa, J., Marquez, I., Guerrero, M. A., & Dultzin-Hacyan, D. 2006b, A&A, 460, 45 [NASA ADS] [CrossRef] [EDP Sciences]
- Gonzalez-Martin et al., O. 2008, Ph.D. Thesis [www.star.le.ac.uk/ gmo4/O.Gonzalez-Martin-part1.pdf]
- Grimes, J. P., Heckman, T., Strickland, D., & Ptak, A. 2005, ApJ, 628, 187 [NASA ADS] [CrossRef]
- Grimm, H.-J., Gilfanov, M., & Sunyaev, R. 2003, MNRAS, 339, 793 [NASA ADS] [CrossRef]
- Guainazzi, M., Matt, G., & Perola, G. C. 2005, A&A, 444, 119 [NASA ADS] [CrossRef] [EDP Sciences]
- Heckman, T. M. 1980, A&A, 87, 152 [NASA ADS]
- Ho, L. C. 2008, ARA&A, 46, 475 [NASA ADS] [CrossRef]
- Ho, L. C., & Ulvestad, J. S. 2001, ApJS, 133, 77 [NASA ADS] [CrossRef]
- Ho, L. C., Filippenko, A. V., Sargent, W. L. W., & Peng, C. Y. 1997, ApJS, 112, 391 [NASA ADS] [CrossRef]
- Ho, L. C., Feigelson, E. D., Townsley, L. K., et al. 2001, ApJ, 549, L51 [NASA ADS] [CrossRef]
- Jimenez-Bailon, E., Piconcelli, E., Guainazzi, M., et al. 2005, A&A, 435, 449 [NASA ADS] [CrossRef] [EDP Sciences]
- Jones, D. L., Unwin, S. C., Readhead, A. C. S., et al. 1986, ApJ, 305, 684 [NASA ADS] [CrossRef]
- Kaastra, J. S., Bykov, A. M., Schindler, S., et al. 2008, Space Sci. Rev., 134, 1 [NASA ADS] [CrossRef]
- Kalberla, P. M. W., Burton, W. B., Hartmann, D., et al. 2005, A&A, 440, 775 [NASA ADS] [CrossRef] [EDP Sciences]
- Kim, D.-W., & Fabbiano, G. 2004, ApJ, 611, 846 [NASA ADS] [CrossRef]
- Maiolino, R., Salvati, M., Bassani, L., et al. 1998, A&A, 338, 781 [NASA ADS]
- Maoz, D., Nagar, N. M., Falcke, H., & Wilson, A. S. 2005, ApJ, 625, 699 [NASA ADS] [CrossRef]
- Marquez, I., Masegosa, J., Durret, F., et al. 2003, A&A, 409, 459 [NASA ADS] [CrossRef] [EDP Sciences]
- Martínez, M. A., del Olmo, A., Coziol, R., & Focardi, P. 2008, ApJ, 678, L9 [NASA ADS] [CrossRef]
- Moustakas, J., & Kennicutt, R. C. 2006, ApJ, 651, 155 [NASA ADS] [CrossRef]
- Nagar, N. M., Falcke, H., & Wilson, A. S. 2005, A&A, 435, 521 [NASA ADS] [CrossRef] [EDP Sciences]
- Nandra, K., O'Neill, P. M., George, I. M., & Reeves, J. N. 2007, MNRAS, 382, 194 [NASA ADS] [CrossRef]
- Nicastro, F., Martocchia, A., & Matt, G. 2003, ApJ, 589, L13 [NASA ADS] [CrossRef]
- Page, M. J., McHardy, I. M., Gunn, K. F., et al. 2003, Astron. Nachr., 324, 101 [NASA ADS] [CrossRef]
- Panessa, F., Wolter, A., Pellegrini, S., et al. 2005, ApJ, 631, 707 [NASA ADS] [CrossRef]
- Panessa, F., Bassani, L., Cappi, M., et al. 2006, A&A, 455, 173 [NASA ADS] [CrossRef] [EDP Sciences]
- Panessa, F., Bassani, L., de Rosa, A., et al. 2008, A&A, 483, 151 [NASA ADS] [CrossRef] [EDP Sciences]
- Piconcelli, E., Jimenez-Bailón, E., Guainazzi, M., et al. 2005, A&A, 432, 15 [NASA ADS] [CrossRef] [EDP Sciences]
- Risaliti, G., Maiolino, R., & Salvati, M. 1999, ApJ, 522, 157 [NASA ADS] [CrossRef]
- Risaliti, G., Elvis, M., Fabbiano, G., Baldi, A., & Zezas, A. 2005, ApJ, 623, L93 [NASA ADS] [CrossRef]
- Sarazin, C. L., Burns, J. O., Roettiger, K., & McNamara, B. R. 1995, ApJ, 447, 559 [NASA ADS] [CrossRef]
- Satyapal, S., Sambruna, R. M., & Dudik, R. P. 2004, A&A, 414, 825 [NASA ADS] [CrossRef] [EDP Sciences]
- Satyapal, S., Dudik, R. P., O'Halloran, B., & Gliozzi, M. 2005, ApJ, 633, 86 [NASA ADS] [CrossRef]
- Slee, O. B., Sadler, E. M., Reynolds, J. E., & Ekers, R. D. 1994, MNRAS, 269, 928 [NASA ADS]
- Smith, B. J. 2000, ApJ, 541, 624 [NASA ADS] [CrossRef]
- Soria, R., Kuncic, Z., Broderick, J. W., & Ryder, S. D. 2006, MNRAS, 370, 1666 [NASA ADS]
- Strickland, D. K., Heckman, T. M., Weaver, K. A., Hoopes, C. G., & Dahlem, M. 2002, ApJ, 568, 689 [NASA ADS] [CrossRef]
- Struder, L., Briel, U., Dennerl, K., et al. 2001, A&A, 365, L18 [NASA ADS] [CrossRef] [EDP Sciences]
- Taylor, G. B., Perley, R. A., Inoue, M., et al. 1990, ApJ, 360, 41 [NASA ADS] [CrossRef]
- Teng, S. H., Wilson, A. S., Veilleux, S., et al. 2005, ApJ, 633, 664 [NASA ADS] [CrossRef]
- Terlevich, R., & Melnick, J. 1985, MNRAS, 213, 841 [NASA ADS]
- Tonry, J. L., Dressler, A., Blakeslee, J. P., et al. 2001, ApJ, 546, 681 [NASA ADS] [CrossRef]
- Tully, R. 1998, Cambridge: Cambridge Univ. Press, 1
- Tzanavaris, P., & Georgantopoulos, I. 2007, A&A 468, 129
- Urry, C. M., & Padovani, P. 1995, PASP, 107, 803 [NASA ADS] [CrossRef]
- van Breugel, W., Heckman, T., Butcher, H., & Miley, G. 1984, ApJ, 277, 82 [NASA ADS] [CrossRef]
- Veilleux, S., & Osterbrock, D. E. 1987, ApJS, 63, 295 [NASA ADS] [CrossRef]
- Veilleux, S., Kim, D.-C., Sanders, D. B., Mazzarella, J. M., & Soifer, B. T. 1995, ApJS, 98, 171 [NASA ADS] [CrossRef]
- Vermeulen, R. C., Ros, E., Kellermann, K. I., et al. 2003, A&A, 401, 113 [NASA ADS] [CrossRef] [EDP Sciences]
- Wolter, A., Trinchieri, G., & Colpi, M. 2006, MNRAS, 373, 1627 [NASA ADS] [CrossRef]
- Wu, H., Zou, Z. L., Xia, X. Y., & Deng, Z. G. 1998, A&AS, 132, 181 [NASA ADS] [CrossRef] [EDP Sciences]
- Zhang, W. M., Soria, R., Zhang, S. N., Swartz, D. A., & Liu, Ji F. 2009, ApJ, 699, 281 [NASA ADS] [CrossRef]
Online Material
Table 1: Summary of the general properties of our LINER sample.
Table 2:
Observational details.
Table 3: F-test applied to the Chandra data fits.
Table 4: F-test applied to the XMM-Newton data fits.
Table 5:
Observed fluxes and absorption corrected luminosities with Chandra data.
Table 6: Observed fluxes and absorption corrected luminosities with XMM-Newton data.
Table 7: Final compilation of bestfit models for the LINER sample.
Table 8: Final compilation of observed fluxes and absorption corrected luminosities for the LINER sample.
Table 9: Number of objects per spectral model best fit.
Table 10: Median and standard deviation properties for the final compilation of our LINER sample in X-rays.
Table 11:
Final compilation of EW(FeK)
for the LINER sample.
Table 12:
Multiwavelength properties of LINERs.
Table 13: Bestfit model applied to the diffuse emission extracted from Chandra data.
Table 14:
Bestfit model applied to Chandra data with the XMM-Newton extraction region (25
).
Table 15:
X-ray luminosity for Chandra data with the XMM-Newton extraction region (25
).
Appendix A: XMM-Newton versus Chandra results
We have added XMM-Newton data in an attempt to achieve three main
objectives: (1) to enlarge the sample with spectral fits; (2) to
obtain more accurate spectral analysis since XMM-Newton data have
higher sensitivity than Chandra data; and (3) to get information
about the iron FeK
line due to the superb sensitivity of
the XMM-Newton/EPIC camera at such energies.
However, the high spatial resolution of Chandra data have
demonstrated that LINERs present complex morphologies with
point-like sources close to the nucleus and diffuse emission
contaminating the nuclear extraction apertures of XMM-Newton data.
Thus a careful analysis of the limitation of XMM-Newton data must be
done to fully understand in which cases XMM-Newton data are still
valid for our purposes. We have followed three approaches: (1)
Comparison with Chandra data for the objects in common, (2)
Re-analysis of Chandra data for these objects in common with the
same aperture (25
)
and (3) statistical comparison between
the 68 objects observed with Chandra and the 55 objects observed
with XMM-Newton. These three steps will be discussed in the following
subsections.
![]() |
Figure A.1: Temperature (top-left), spectral index (Top-Right), NH1 (Centre-Left), NH2 (Centre-Right), soft (0.5-2 keV) luminosity (Bottom-Left) and hard (2-10 keV) luminosity (Bottom-Right) histograms. The Chandra data is shown as dashed histogram while the grey histogram plots the XMM-Newton data. The median value for Chandra and XMM-Newton data are marked as black and grey arrows, respectively. Four objects (3C 218, CGCG 162-010, IRAS 14348-1447 and NPM1G -12.0625) have been excluded from the XMM-Newton temperature histograms because they show a temperature above 2 keV. |
Open with DEXTER |
Table A.1: Correlation between X-ray parameters and luminosities.
A.1 Comparison with Chandra data
There are 40 objects with Chandra and XMM-Newton data and 28 with
spectral fits. It has to be noticed that about half of them (14
cases) shows the same spectral fit. Seven objects have a more
complex model in XMM-Newton data than in Chandra data (NGC 2787,
NGC 4579, NGC 4594, CGCG 162-010, NGC 5846, NGC 6251 and
NPM1G -12.0625), five have a more complex model with Chandra
data (3C 218, NGC 3690B, NGC 4278, NGC 4494 and IC 1459) and
IRAS 17208-0014 appears as a ME with XMM-Newton data and as PL with
Chandra data. Statistically speaking, the reduced
shows
median value and standard deviation
and
for the objects in common between Chandra and XMM-Newton
samples, respectively. XMM-Newton median value is larger than in
Chandra data most probably because of its higher sensitivity.
However, the standard deviation is similar for both datasets.
Table A.1 show the results on the
linear fit between parameters and luminosities in Chandra and
XMM-Newton data in common. Three objects have much higher temperature
with XMM-Newton data than Chandra data (3C 218, CGCG 162-010 and
NPM1G -12.0625). They are the central galaxies of the clusters
Abell 780, Abell 1795 and Abell 2597 and thus a strong thermal
emission from the cluster might be included in the XMM-Newton
aperture. For XMM-Newton data the aperture is 25 arcsec in comparison
with the Chandra apertures of 2.2, 3.9 and 1.8 arcsecs,
respectively. The resulting XMM-Newton and Chandra temperatures have
larger departures when different best-fits are selected. Objects
with low temperatures at Chandra data (
)
tend to be
located at higher temperatures (
keV) with XMM-Newton
data. It has to be noticed that three objects depart from the
quoted correlation, NGC 3690B, NGC 4579 and NGC 6251, all with
different fits. Only NGC 3690B and UGC 05101 show departures on
the resulting spectral index. NH1 column density shows a poor
correlation although all the objects show nevertheless compatible
NH1 column densities. Four objects show departures in the NH2
column density correlation, namely NGC 3690B, NGC 4579, IC 1459
and NPM1G -12.0625, all of them with different fits. Finally,
L(0.5-2keV) and L(2-10keV) are the best correlated, however, both
XMM-Newton luminosities tend to be larger than those calculated with
Chandra data, a median factor around of 6.0 and 2.4 dex in the
energy ranges (0.5-2.0 keV) and (2-10 keV), respectively. When
only results from the same best fit are selected, temperature and
NH2 column density tend to be similar while the other parameters
does not seem to be affected.
A.2 Aperture effects. Chandra 25" aperture data versus XMM-Newton data
The finding of higher luminosities, both soft and hard, and the discrepancies in temperatures point to the idea that these effects might be due to the difference in the window extraction. To test such a possibility we have performed a new spectral analysis on Chandra data using a fixed 25" radius for the extraction region (Chandra 25" hereinafter), same that used in XMM-Newton data, for the 28 objects in common. The process has been the same than in the previous analysis and the best fit and flux and luminosity results are shown in Tables 14 and 15. The values of new correlations are given in Table A.1.
Sixteen out of the 28 objects show the same spectral model when it is compared to XMM-Newton data. It has to be noticed that among them, in ten cases the small aperture of Chandra data also show the same spectral model indicating the dominance of the nuclear source over the surrounding medium. For the other six galaxies (3C 218, NGC 3690B, NGC 4278, CGCG 162-010, IC 1459 and NPM1G -12.0625), the best-fit model changes from ME2PL with Chandra small aperture to MEPL with Chandra 25" and XMM-Newton data in four objects. Thus, it seems that the large aperture tends to dilute the final best-fit to a simplified model. For the remaining galaxies, the comparison is rather confusing. Six of them (NGC 1052, NGC 2787, UGC 05101, NGC 4494, NGC 5846 and NGC 6251) show the same spectral model for Chandra small and large apertures, but it is different to that from XMM-Newton data analysis. The discrepancy with XMM-Newton spectral fit has to be found in the poor quality data for these Chandra observations. Another two galaxies (NGC 4125 and NGC 4552) are fitted with the same best-fit in Chandra small aperture and XMM-Newton data (MEPL) while Chandra 25" data reports a different model (ME2PL). Finally, there are four cases (NGC 3998, NGC 4579, NGC 4594 and IRAS 17208-0014) showing different best-fits for the three datasets.
CGCG 162-010 and NPM1G -12.0625 recover the XMM-Newton temperature with the same fit when we use Chandra 25" data, whereas 3C 218 results in a lower temperature and a different model with the larger aperture. It then appears that the differences between Chandra and XMM-Newton temperatures do not seem to be due to aperture effects in this object. Objects with rather low temperatures (around 0.2 keV) show again a lower temperature with the large aperture (NGC 3690B, NGC 4278, NGC 6251, IRAS 17208-0014). We think that the only explanation for this effect has to be related to the lower sensitivity of XMM-Newton data at low energies. NH1 column densities show a much better correlation (r = 0.80) than with Chandra small aperture (r = 0.38). Thus, NH1 column density discrepancies seem to be related to aperture effects. Higher discrepancies when using different models are found in spectral index and NH2 column density, suggesting that the differences from Chandra and XMM-Newton data may related to the selection of the best-fit model rather than to aperture effects.
Both L(0.5-2keV) and L(2-10keV) are well correlated, where offsets have disappeared. Therefore, the difference in luminosities can be entirely attributed to aperture effects. However, the effect is smaller for the harder luminosity, since there is only a factor of 2.4 dex between Chandra small aperture and XMM-Newton data in L(2-10 keV).
A.3 Statistical comparison between Chandra small aperture and XMM-Newton samples
A reliable comparison between the fitting parameters from the two sets of data is difficult because of the small number of objects in common. The statistical comparison of the two samples is important to ensure the final conclusions about the utility of the XMM-Newton sample.
Figure A.1 shows the histograms of parameters and luminosities and the Kolmogorov-Smirnov (K-S) test probability is included in Table A.1, Only the spectral index shows a high probability that the two distributions are the same. Then the intrinsic spectral index seems to be equally derived from both sets of data.
Temperatures show median values compatible within one standard deviation (see Table 10). Bimodal distribution is also found in both samples although four objects, all located at the centre of a galaxy cluster, show values higher than 2 keV (3C 218, CGCG 162-010, IRAS 14348-1447 and NPM1G -12.0625), and the peak at 0.60 keV is much stronger in XMM-Newton data When the K-S test is performed taking out all the sources with temperatures larger than 2 keV, a higher probability is found (44%). These differences is easily explained because of the large aperture used for XMM-Newton spectra. Cluster centres show a strong thermal contribution that can be described by a thermal model with temperatures around 2-3 keV (Kaastra et al. 2008). The large aperture of XMM-Newton spectra includes a substantial amount of cluster contribution which is easily removed in Chandra data. In fact, Chandra 25" data recovers the XMM-Newton temperature in two of the three galaxies (CGCG 162-010 and NPM1G 12.0625) common in both samples. The soft, diffuse observed emission is a thermal component at around 0.6-0.7 keV, which is the case for most of the galaxies (see figures in Appendix C). Temperatures around 0.1-0.2 keV seem to be most probably related with differences in sensitivity between both datasets at low energies, with XMM-Newton data worse suited to trace it.
The K-S test shows that neither NH1 nor NH2 column densities are
drawn from the same distribution. In NH1 column density, both
samples show a peak around 3
but XMM-Newton
data show an additional peak compatible with the value of Galactic
absorption. Aperture effects and lower sensitivity at soft
energies seems to be the responsible. However, the median values,
also for NH2 column density, are not too far (see Table
10).
The largest discrepancies between both sets of data are found in the luminosities (see median values in Table 10). XMM-Newton data result in soft (hard) luminosity around 10 (2.5) times brighter than Chandra data. From previous section we now know that luminosities, specially the soft band, are contaminated by the surrounding medium. When we make the offset proposed in the previous section (offsets 1.13 and 0.44 dex, respectively) the K-S test shows that (0.5-2.0 keV) and (2-10 keV) luminosities have 50% and 53% probabilities that these two distributions are the same.
In summary, differences in luminosities, both soft and hard are a
factor of 5-10 and
times the Chandra
luminosity, respectively. NH1 column density and temperature
discrepancies might be due to different sensitivity between the
two instruments. NH1 column density discrepancies also seem to be
related to aperture effects. NH2 column density is strongly linked
to the best-fit model selected and independent of the selected
aperture or sensitivity. Finally, the spectral index has shown to
be the most robust parameter while temperature is strongly
dependent of the aperture effect and different sensitivity of the
instruments at lower energies.
Appendix B: Notes on individual sources
Some of the notes given here was already published in paper GM+06. It is duplicated for the easier access of the reader to the information. Here we present an actualization of the previous reported notes and the addition of the new LINERs included in this paper.NGC 315 (UGC 597, B2 0055+30). NGC 315 is a giant cD
radiogalaxy located in the Zwicky cluster 0107.5+3212 (Zwicky et al. 1961, see
Appendix F,
Fig. F.1), with two-sided well
resolved radiojets shown both with the VLA and VLBI
observations (Cotton et al. 1999; Venturi et al. 1993).
Nagar et al. (2005) reported also an unresolved core in
addition to the radio jet at VLBI resolutions. The high spatial
resolution provided by Chandra imaging allowed the
detection of X-ray jets, the most striking one being the one along
10'' to the NW (see Fig. C.1
and Donato et al. 2004; Worrall et al. 2003,2007)
In both studies, based on a short 4.67 ks exposure, they found
that the central source is of quite high (2-10 keV) luminosity
1041erg s-1 given its AGN character.
With a more recent, longer exposure (
52 ksec) dataset,
Satyapal et al. (2005) obtained very similar results
(kT = 0.54 keV,
cm-2,
,
and a hard X-ray luminosity of
erg s-1). Both results do agree with the ones
reported in GM+06. Here we present a reanalysis of the longest,
previous Chandra data (
52 ksec) and analize the
43.6 ksec XMM-Newton data finding that both datasets fit
with ME2PL with not very discrepant parameters, which leads to a
similar (2-10 keV) X-ray luminosity,
erg s-1 and
erg s-1respectively. A clear FeK
has been detected with
equivalent width of 82 eV. The AGN nature of this galaxy was noted
by Ho et al. (1997), who reported a broad H
component.
NGC 410 (UGC 735). NGC 410 is the central galaxy of the
NORAS cluster RXC 0112.2+3302 (Böhringer et al. 2000), see
Appendix F, Fig. F.1. After the
ROSAT observations new data on the galaxy have not been
reported. Here, we analyse the archival 19.6 ksec
XMM-Newton observations. The bestfit model obtained is MEPL
(
,
kT=0.69 keV,
and NH2
).
NGC 474 (UGC 864). This lenticular galaxy is a member of
the wide pair Arp 227, together with NGC 470 (see Appendix
F, Fig. F.1), which is the dominant member
of a loose group. Rampazzo et al. (2006) reported
XMM-Newton EPIC data for the group. They calculated X-ray
luminosities of LX(0.5-2 keV) =
and LX(2-10 keV) =
assuming
and galactic
column density. The low count rate of these data does not allow us
to perform any spectral fitting. We have computed upper limits in
the hard X-ray luminosity of
for Chandra observations and
for
XMM-Newton, both consistent with an upper limit of
1039 erg s-1, which is roughly consistent with the value
quoted by Rampazzo et al. (2006)
(
).
IIIZw 035 (CGPG 0141.8+1650). This galaxy belongs to a close interacting galaxy pair (see Appendix F, Fig. F.1). There are not previous X-ray data reported in the literature. We have analysed both the 14.5 ksec Chandra and 16.3 ksec XMM-Newton data. Neither have a high enough count-rate for the spectral analysis to be performed. The X-ray morphology shows two diffuse peaks both seen at hard energies, whith the northern one coincident with the LINER nuclear position, see Fig. C.4). Hattori et al. (2004) indicate that the morphological appearance in radio continuum emission suggests that star-forming activity dominates the energetics of the northern galaxy (Pihlstrim et al. 2001); the classification as a LINER may be due to a contribution from shock heating, possibly driven by superwind activity (Taniguchi et al. 1999; Lutz et al. 1999). However Baan & Klockner (2006) by means of observations at 1.4 and 8.4 GHz suggest an AGN nature of the radio continuum emission based in the compactness and flat index spectral nature of the nuclear source (see Table 12).
NGC 524 (UGC 968). This massive S0 galaxy dominates a
small group (see Appendix F, Fig. F.1). The
15.4 ksec Chandra ACIS-S data show a morphology with
diffuse emission at low energies (<2 keV) and no X-ray
detection in the hard band (2-10 keV), with a total X-ray
luminosity amounting to
.
Filho et al. (2002) reported a slightly resolved 2 mJy core
in the centre of the optical galaxy from their VLA data at
5 GHz and 1'' resolution. They compare their data with those by
Wrobel & Heeschen (1991), who detected a 1.4 mJy core
at 5" resolution, concluding that the source has to be compact and
have a flattish spectrum. Dwarakanath & Nath (2006) on the
contrary, based on the analysis at radiofrequencies, conclude that
this group do not show any evidence of either current or past AGN
activity.
NGC 835 and NGC 833 (Arp 318A and B; HCG 16 A and B).
Both members of an unusually active compact group, they have been
optically classified as LINER and Seyfert 2, respectively
(Coziol et al. 2004), and are strongly interacting with
each other (see Appendix F, Figs. F.1 and
F.2). Only NGC 835 was detected at radiofrequencies
(Corbett et al. 2002) as a nuclear compact source. At X-ray
frequencies no point sources were detected in neither hard band
images (4.5-8 keV or 6-7 keV), but the X-ray soft
emission is extended (see Fig. C.6).
Turner et al. (2001) analysed the 40 ksec EPIC
XMM-Newton first-light observations and confirmed the
presence of an AGN in both galaxies A and B. They fitted three
components to the EPIC X-ray spectrum of NGC 833 (Arp
318B): (1) a power-law for the obscured AGN, with
and
cm-2,
(2) an unabsorbed power law for the radiation scattered into our
line of sight by thin, hot plasma directly illuminated by the AGN,
and (3) an optically-thin thermal plasma with kT = 0.47 keV; the
luminosity of the AGN component of
erg s-1 turns out to be 100 times brighter than the thermal
X-ray emission. The core of NGC 835 (Arp 318A) shows a very
similar spectrum, with absorbed and scattered power laws
indicating a heavily obscured AGN (
cm-2 and
)
of
erg-1 (0.5-10 keV) and a soft thermal component with
kT = 0.51 keV contributing to 2% of the total luminosity. Due
to a missidentification, the sources used in GM+06 do not
correspond to the nuclear sources we analyse here. FeK
line has been detected in both galaxies with equivalent width of
334 and 774 eV respectively.
NGC 1052. NGC 1052 is the brightest member of a small
group (see Appendix F, Fig. F.2) which
together with the NGC 1069 group makes up the Cetus I cluster
(Wiklind et al. 1995). The X-ray morphology clearly
indicates the presence of an unresolved nuclear source in the hard
bands (Fig. C.8), in agreement with the
classification by Satyapal et al. (2004), that made use of
the same dataset. Evidence of the AGN nature of this object have
already been given with the detection of (a) broad lines in
spectropolarimetric measurements by Barth et al. (1999)
and a broad underlying component in H
reported in
Ho et al. (1997); (b) a variable radio core
(Vermeulen et al. 2003); (c) H20 megamaser emission
(Claussen et al. 1998); (d) highly probable UV variability
(Maoz et al. 2005). Guainazzi et al. (2000)
confirm that its X-ray spectrum may therefore resemble that of
Seyfert galaxies with the analysis of its BeppoSAX spectrum
(0.1-100 keV). They obtain a very good fit with a two-component
model for the spectrum, constituted by an absorbed (
cm-2) and rather flat
(
1.4) power-law plus a ``soft excess''
below 2 keV. The corresponding flux in the 2-10 keV energy range
is
erg cm-2 s-1. We have best
modelled the Chandra data with two power-laws with a flat
index (
)
and column density compatible with that
reported by Guainazzi et al. (2000), althought we are
using a different instrument. Kadler et al. (2004) obtained a
much flatter spectral index with another set of Chandra
data (2.3 ksec) that they atributed to piled up effects. In
addition to this, we also analise the 47.2 ksec XMM-Newton
observation. We find the soft excess reported by
Guainazzi et al. (2000), with the best-fit model
resulting to be ME2PL (
), steeper than the
Chandra spectrum, and kT = 0.60 keV. The FeK
line
has been detected with an equivalent width of 144 eV.
NGC 2639 (UGC 4544). This a rather isolated object
(Marquez et al. 2003), see Appendix F,
Fig. F.1). XMM-Newton/pn images show a very faint
source with almost no emission detection at hard energies, what
argues in favour of classifying it as a Non-AGN like object. The
spectral analysis at soft energies results in MEKAL as the best
fit (kT = 0.18 keV) with
.
However this galaxy is a well known type 1.9 LINER with broad
H
emission (Ho et al. 1997) and it is one of the
best known detections of a water megamaser (Wilson et al. 1995).
At radio frequencies Ho & Ulvestad (2001) reported an inverted
Spectrum in the compact nuclear source detected. Then it appears
that this galaxy can be a very good candidate to a heavily
obscured AGN. This could explain the fit at soft energies with a
kT value typical of what it is found in some Seyfert 1 like
objects (Teng et al. 2005) due to the presence of a warm
absorber. Terashima et al. (2002) comment that the large EW
(>1.1 keV) of the
emission line detected in the
ASCA data suggests that the nucleus is highly obscured.
NGC 2655 (UGC 4637, Arp 225). Arp 225 is an Sa galaxy
which shows traces of a strong interaction or merger event
(Möllenhoff & Heidt 2001): faint outer stellar loops (see
Appendix F, Fig. F.2) and extended
HI-envelope (Huchtmeier & Richter 1982). The X-ray
XMM-Newton morphology of this galaxy shows a clear diffuse
extended emission in the softer and harder bands that almost
disappears in the medium band (1.0-2.0 keV) (see
Fig. C.10). The bestfit model is ME2PL
(
,
kT=0.64 keV, no absorption for the soft
component and
).
Terashima et al. (2002) comment on the lack of a strong
fluorescent line in ASCA data, ruling out
the possibility of ``cold'' reflection as the origin of the
observed flat spectral slope. Ho et al. (1997) report a
questionable detection of a broad band H
component in its
optical spectrum. Moreover, core radio emission has been detected
at a flux density of 1.1 mJy and indications of polarized light in
the nucleus pointing to their AGN nature (Nagar et al. 2000).
NGC 2681 (UGC 4645). A small companion at the same
redshift, namely MCG 09-15-039, appears in Appendix
F, Fig. F.2. An unresolved nuclear source
was clearly detected at hard X-ray energies
(Fig. C.11). Satyapal et al. (2005), who
made use of the same archival Chandra ACIS observations of
this galaxy, classed them as an AGN-LINER, and derived
and kT = 0.73 keV for an apec plus power-law
fit to the nuclear spectrum. These values are in perfect
agreement, within the errors, with the parameters we derive for
our best model (MEPL)
(
and kT = 0.63 keV.
Ho et al. (1997) report several arguments for the reality of
the broad H
component derived from the profile fitting,
whereas they indicate that the actual parameters of the broad
H
component are not well constrained.
NGC 2685 (UGC 4666, Arp 336). This is a rather isolated
object (see Appendix F, Fig. F.2). We
report a snapshot (0.86ksec) XMM-Newton observation. No
nuclear point-like source is detected at hard X-ray, but only a
very faint source at high energies (>2 keV). A (2-10 keV)
luminosity of
erg s-1 has been
estimated assuming a power law (
)
and galactic
column density, a factor of three lower than the value reported by
Cappi et al. (2006), who analysed the same dataset. But we
would like to notice that, in addition to the low count rate in
these data, these authors determine a highly unrealistic value for
,
what makes us confident in our results.
UGC 4881 (Arp 55). UGC 4881 is a member of an strongly
interacting galaxy pair (see Appendix F,
Fig. F.3). We present the analysis of 19 ksec
XMM-Newton and 14.6 ksec Chandra observations. The
X-ray morphology (see Fig. C.13) shows two
peaks at soft X-rays with no point-like source at high energies
(>2 keV). The best fit for the XMM-Newton spectrum is
obtained with a MEKAL model (kT = 0.19 keV) with a resulting
luminosity
.
These
values could be uncertain since the two members of the pair are
included in the XMM-Newton aperture (see Appendix
F, Fig. F.3). Althought the low quality of
the Chandra data does not allow any spectral fitting, we
have estimated a very high luminosity of
erg-1.
3C 218 (Hydra A). 3C 218 is one of the most luminous radio
sources in the local (
)
Universe, only surpassed by
Cygnus A. It has been optically identified with the cD2 galaxy
Hydra A (Simkin 1979), which dominates the poor
cluster Abell 780 (see Appendix F,
Fig. F.3). Its X-ray morphology shows strong thermal
emission (showing caves and bubbles) at the whole X-ray energy
range, and a point-like source at the nuclear position on the hard
band (>2 keV). Sambruna et al. (2000) discovered with
Chandra a LLAGN in the LINER harboured by this nearby cD
galaxy. They reported the existence of a compact source at
energies larger than 2 keV. Their best fit Chandra spectrum
was found to be an obscured (
)
power law with
plus an
unabsorbed Raymond-Smith with kT = 1.05 with abundance 0.1
solar. Here we present Chandra/ACIS (80 ksec) and
XMM-Newton/pn (24 ksec) data. The spectrum for
Chandra data is fitted by a ME2PL model (
and kT = 1.71 keV) and the XMM-Newton data by a MEPL with
and kT = 2.77. It has to be noticed that we
obtain a difference in luminosities of two orders of magnitude.
This might be due to the large contribution of the diffuse thermal
emission at hard X-rays from the cluster thermal emission.
Previous studies conclude that both cooling flow and radio jet
emission are important (Lane et al. 2004) and also thermal
emission form supercavities/bubbles (Wise et al. 2007, based on 227 ksec
Chandra observations).
NGC 2787 (UGC 4914). This a rather isolated object (see
Appendix F, Fig. F.3). Snapshot
Chandra data of this galaxy were reported by
Ho et al. (2001), who estimated an X-ray luminosity of
by assuming a power-law model with
and galactic column density. We report the
analysis of 29.4 ksec Chandra and 33 ksec XMM-Newton
observations. The Chandra data have been fitted to a PL
model (
)
while XMM-Newton data is better
modelled by a moderately obscured (
cm-2) ME2PL model. The Chandra X-ray
morphology shows a point-like source coincident with the nucleus
and an extranuclear source to its SE. Evidence of its AGN nature
have been reported at other frequencies. Nagar et al. (2000)
confirm its AGN nature at radiofrequencies, based on its flat
radio spectrum between 20 and 6 cm. Ho et al. (1997)
reported a fairly prominent broad H
component classifying
it as a type 1.9 LINER. Tremaine et al. (2002) have estimated
a mass for the central black hole of
.
NGC 2841 (UGC 4966). This is a rather isolated object (see
Appendix F, Fig. F.3). The Chandra
X-ray morphology shows a number of point sources with diffuse
emission, one of these coinciding with the nuclear position. We
report here the analysis of both Chandra and
XMM-Newton data. Snapshot Chandra data of this
galaxy was reported previously by Ho et al. (2001). They
estimated an X-ray luminosity of
ergs/s by assuming a power law with
and
galactic column density. Our estimated value for the
Chandra data is a factor of 2 larger than this value. For
the XMM-Newton spectrum we have obtained the best fit with
a ME2PL model with
and kT= 0.58 keV.
Ho et al. (1997) estated that broad H
emission is
absent in this galaxy.
UGC 05101 (IRAS 09320+6134). A clearly perturbed
morphology characterises this ultra-luminous infrared galaxy, with
a long tail extending to the West (see Appendix F,
Fig. F.3). In addition to the hard-band point-like nuclear
source, extended emission is seen in both (4.5-8.0 keV)
and (6-7 keV) bands in the image obtained from Chandra data
(Fig. C.17). The evidence of a heavily
obscured AGN in this galaxy has been provided by
Imanishi et al. (2001) and Imanishi et al. (2003),
based in near-IR spectroscopy and on its XMM-Newton EPIC
spectrum, respectively. They fit the spectrum with an absorbed
power-law (
fixed), a narrow Gaussian for the
6.4 keV Fe K
emission line, which is clearly seen in their
spectrum, and a 0.7 keV thermal component; they derive N
cm-2 and EW(Fe K
) = 0.41 keV. The
resulting (2-10 keV) luminosity (
erg s-1) is within a factor of 2-3 of the values we
obtain both from Chandra and XMM-Newton data. Our
best fit model for the spectra is that of a double power-law for
Chandra data and a ME2PL for XMM-Newton data, with
consistent spectral slopes for both sets of data. The use of a
fixed power law slope of 1.8 to estimate the luminosity can
explain the difference between the value we calculate from the
spectral fitting and that estimated by Satyapal et al. (2004)
for the same Chandra dataset. The type 1 AGN nature of the
nucleus was already reported by
Sanders et al. (1988). Farrah et al. (2003)
found that this system is a composite object containing both
starburst and AGN contributions, consistent with the result for
its optical spectrum (Goncalves et al. 1999). New evidence come
from radiofrequencies where it is found a compact nucleus with
flat spectral shape (Baan & Klockner 2006). The Fe-K emission is
marginally detected in the analysis of Chandra data by
Ptak et al. (2003). We have measured an equivalent width of
278 for the FeK
line.
NGC 3185 (UGC 5554, HCG 44c). It makes up the compact
group HCG 44, together with NGC 3193, NGC 3190 and NGC 3187
(see Appendix F, Fig. F.3).
Cappi et al. (2006) report their analysis of the
XMM-Newton available data for this galaxy, finding a very
weak nuclear emission with an X-ray spectrum consistent with a
power-law with
,
which results in a luminosity
of 1039 ergs/s, in very good agreement with the one we
estimate here (see Table 8).
Ho & Ulvestad (2001) reported this galaxy as marginally detected
at 6 cm but not at 20 cm, using VLA 1'' resolution data.
NGC 3226 (UGC 5617, Arp 94a). Strongly interacting with
NGC 3227 (see Appendix F, Fig. F.4),
several point sources have been detected at the (4-8) keV band
image of this galaxy, with Fe emission
unambiguously present in the nucleus.
The analysis of HETGS Chandra data by
George et al. (2001), whose properties strongly suggested
that this galaxy hosted a central AGN, resulted in an adequate fit
with a photon index
and N
cm-2, with the resulting luminosity
L(2-10 keV)
erg s-1. The
XMM-Newton observations of this dwarf elliptical galaxy
most probably indicate the presence of a sub-Eddington,
super-massive black hole in a radiatively inefficient stage
(Gondoin et al. 2004). They conclude that, since the
best fit is provided by a bremsstrahlung model absorbed by neutral
material, the X-ray emission may therefore be reminiscent of
advection-dominated accretion flows. Nevertheless, an acceptable
fit is also obtained by including a power-law model
(
)
absorbed by neutral (N
cm-2) and ionised material. The resulting (2-10 keV)
luminosity, calculated for the distance we use, is
erg s-1, a factor of 4 higher than the one we
estimate.
Terashima & Wilson (2003) fit the 22 ksec Chandra ACIS
nuclear spectrum with a power-law with
(from
1.62 to 2.76) and N
cm-2.
Notice that substantial absorption is also derived from the
position of this galaxy in the colour-colour diagrams in GM+06,
whereas the power-law
index is somewhat steeper.
We analyse 31 ksec XMM-Newton observations finding that the
best fit is a combination of two power-laws (
,
and
). This is a more complicated
model than that proposed by Gondoin et al. (2004). A
flat compact radio source has been detected at the nuclear region
(Condon et al. 2002; Filho et al. 2006). Ho et al. (1997)
succeeded in extracting a moderately strong broad H
component from a complicated, three narrow-line component blend.
NGC 3245 (UGC 5663). It forms a wide pair together with
NGC 3245A (see Appendix F, Fig. F.4), with
cz = 1322 km s-1. A nuclear source is detected in the
(4.5-8.0 keV) band image from Chandra data. This
agrees with the analysis by Filho et al. (2004) who already
noticed a hard nuclear X-ray source coincident with the optical
nucleus. The luminosity they calculated with a fixed
is in excellent agreement with our estimation.
Filho et al. (2002) concluded that at radio frequencies the
source could be consistent with a flat and compact spectrum.
Wrobel & Heeschen (1991) found an unresolved 3.3 mJy
core at 5 GHz, 5" resolution.
NGC 3379 (UGC 5902, M 105), is the dominant elliptical
galaxy in the nearby Leo Group (see Appendix F,
Fig. F.4). David et al. (2005) published their study
of its X-ray emission as traced by ACIS-S Chandra
observations. That work is mainly devoted to the analysis of
extra-nuclear X-ray sources and diffuse emission, and they derive
a power-law index for the diffuse emission of 1.6-1.7, in
agreement with the value reported by
Georgantopoulos et al. (2002). David et al. (2005)
do not fit the spectrum of the nuclear source (their source 1) due
to the too low net counts in the S3 chip data for this object.
This is also the reason for having neither a fit nor an estimation
of the spectral parameters by GM+06. The X-ray image is used for
the morphological classification (SB or Non-AGN) and for
estimating the (2-10 keV) luminosity (
).
NGC 3414 (UGC 5959, Arp 162). UGC 5959 is a peculiar
galaxy, with two companions at very similar redshifts (NGC 3418
and UGC 5958) within 250 kpc (see Appendix F,
Fig. F.4). The Chandra X-ray morphology shows a
point-like source coincident with the optical nucleus. The best
spectral fit to the Chandra data is a PL with
and
,
which
provides a luminosity of
.
To our knowledge no previous X-ray data have
been reported in the literature. Condon et al. (2002)
suggested that the radio source is powered by an AGN. This has
been later confirmed with the data reported by
Nagar et al. (2005).
NGC 3507 (UGC 6123, KPG 263b). It makes up a wide
isolated physical pair (number 263 in Karachentsev's catalogue of
isolated pairs) together with NGC 3501 (see Appendix
F, Fig. F.4). No hard nuclear point source
has been detected in the Chandra images of this galaxy
(Fig. C.23). The only previously published
X-ray study is based on observations obtained with ASCA.
Terashima et al. (2002) obtained a power-law to be the best
model to fit the data, with
and
N
7.2
cm
.
However, our best fit is MEKAL with kT = 0.5 keV and absorption
consistent with the galactic value. Our estimated luminosity
amounts to
,
which
seems to be much lower than the value reported by
Terashima et al. (2002).
NGC 3607 (UGC 6297), is the brightest member of the Leo II group, which NGC 3608 and NGC 3605 also belong to (see Appendix F, Fig. F.4). No hard nuclear point source has been detected in the Chandra images of this galaxy (Fig. C.24). No spectral fitting can be made with the data. Based on observations obtained with ASCA, Terashima et al. (2002) find no clear evidence of an AGN in this LINER, in agreement with our classification as a non-AGN candidate.
NGC 3608 (UGC 6299), member of the Leo II group, it forms
a non interacting pair with NGC 3607 (see Appendix
F, Fig. F.5). No hard nuclear point source
has been detected in the Chandra images of this galaxy
(Fig. C.25). The previous X-ray study of this
galaxy is that by O'Sullivan et al. (2001), who present a
catalogue of X-ray bolometric luminosities for 401 early-type
galaxies obtained with ROSAT PSPC pointed observations.
Adjusted to our adopted distance, this luminosity result to be
1.37
10
erg s
,
about 2 orders
of magnitudes brighter than our estimation. However our results
are in good agreement with the analysis reported by
Flohic et al. (2006), maybe suggesting that O'Sullivan data
correspond to extranuclear sources (see
Fig. C.25).
NGC 3623 (Arp 317a, M 65). It makes up the Leo Triplet
together with NGC 3628 and NGC 3627, with which it forms a
non-interacting pair (see Appendix F,
Fig. F.5). We report the results on the unique X-ray data
provided by XMM-Newton observations, althought their
quality does not allow a spectral analysis. We have estimated an
X-ray luminosity of
assuming
a power law with spectral index
and galactic
column density. Satyapal et al. (2004) use 1.76 ksec
Chandra observations to get a luminosity which is in good
agreement with our determination. A black hole mass of
has been estimated by
Dong & Robertis (2006).
NGC 3627 (UGC 6346, Arp 16, M 66, Arp 317b). It makes
up the Leo Triplet together with NGC 3628 and NGC 3623, with
which it forms a non-interacting pair (see Appendix
F, Fig. F.5). Soft X-ray emission extends
over about 2' in a Northwest-Southeast direction, similar to the
extent and orientation of the triple-radio source
(Filho et al. 2004). No obvious nuclear X-ray source - hard
or soft - was found on the available snapshot Chandra image
(see Fig. C.27
and Ho et al. 2001). Panessa et al. (2006) noted that
another source at 10" is present in this image with similar flux
than that of the nucleus, which probably contaminates other data
with worse spatial resolution (see
also Georgantopoulos et al. 2002). They derive an upper limit
on the Chandra (2-10) keV luminosity of
erg s
with a fixed
.
Previous analyses of ROSAT, ASCA and BeppoSAX
data resulted in a moderately absorbed power-law component with
2-2.5 required to fit the spectra
(Dadina 2007; Roberts & Warwick 2000; Georgantopoulos et al. 2002).
The XMM-Newton data do not have enough count-rate for a
spectral analysis to be perfomed. Our estimated luminosity
assuming a power-law model with a fixed
and
galactic absorption is
,
much
larger than the value by Panessa et al. (2006). Its AGN
nature was assessed by Filho et al. (2000) based in the
compact nuclear source which appears to have a variable flat
radio-spectrum.
NGC 3628 (UGC 6350, Arp 317c). It makes up the Leo
Triplet together with NGC 3623 and NGC 3627 (see Appendix
F, Fig. F.5). The hard X-ray morphology
provided by Chandra data shows an unresolved nuclear
component that also appears in the Fe image
(Fig. C.28). Chandra X-ray and
ground-based optical H
,
arc-second resolution imaging
is studied by Strickland et al. (2004), with the main aim of
determining both spectral and spatial properties of the diffuse
X-ray emission. They also show the total counts for the nuclear
region (an extraction of 1 kpc radius around the dynamical centre
that, for this galaxy, corresponds to the central 20''), but no
spectral fitting was attempted. Our morphological classification
does not agree with that of Dudik et al. (2005), who have
classified this galaxy as an object displaying no nuclear source
according to its morphology in previous Chandra ACIS
snapshot (1.8 ksec) data; this galaxy is taken as a
LINER/transition object and an upper limit of
erg s
(corrected to our
adopted distance) is given for its (2-10 keV) nuclear luminosity,
which is consistent with our result. Note that high absorption is
derived from the position of this galaxy in the colour-colour
diagrams by GM+06. Here we report 41.6 ksec observation of
XMM-Newton/pn data. The best fit model is a single
power-law (
)
with
.
The X-ray luminosity with XMM-Newton
data is two orders of magnitude brighter than that from
Chandra data. This can be explained because there are three
point-like sources close to the diffuse nucleus, which may be
contributing to the XMM-Newton aperture. Another
explanation could be the high level of variability detected in
this galaxy (Roberts et al. 2001).
NGC 3690B (Arp 299, Mrk 171). This galaxy is strongly
interacting, in a probable merger, with IC 694 (see Appendix
F, Fig. F.5). X-ray emission from
Chandra data has plenty of features, with a hard unresolved
source clearly detected in the nuclear position, which is also
seen in the 6-7 keV band (Fig. C.29). The
EPIC-pn XMM-Newton spatially resolved data have clearly
demonstrated the existence of an AGN in NGC 3690, for which a
strong 6.4 keV line is detected, and suggested that the nucleus of
its companion IC 694 might also host an AGN, since a strong 6.7 keV
Fe-K
line is present (Ballo et al. 2004).
Chandra and XMM-Newton data have been fitted to
ME2PL and MEPL, respectively, with (
)
and
kT=0.19 for Chandra and (
)
and
kT = 0.63 for XMM-Newton. The XMM-Newton X-ray
luminosity results to be almost one order of magnitude brighter
than that from Chandra. This can be understood due to the
inclusion of the companion galaxy NGC 3690A in the
XMM-Newton extraction. Condon & Broderick (1991) suggested
an AGN nature of this source because of its compact flat
radio-spectrum.
NGC 3898 (UGC 6787). This object is a member of the
cluster of galaxies Abell 1377 (see Appendix F,
Fig. F.5). There are no previously reported results on
X-ray data for this object in the literature. Here we analyse the
available Chandra data and find MEPL to be the best-fit
model (
,
kT=0.04 keV,
and
)
to
describe the X-ray spectral energy distribution. The X-ray
morphology shows a point-like source only at soft energies,
questioning its AGN nature. Thus, we have classified this object
as Non-AGN like object. Ho et al. (1997) adopted the
conservative assumption that broad H
is not present
due to the ambiguity of its detection, but they claim that it
would be highly desirable to verify this with data of higher S/N.
NGC 3945 (UGC 6860). This is a rather isolated object (see
Appendix F, Fig. F.6). We have detected a
nuclear unresolved source at hard energies with Chandra
data (Fig. C.31), leading to an AGN-like
classification. At softer energies (0.4-1 keV) it shows a ring
like or arm like structure of diffuse extended emission. The
spectral analysis of the nucleus gives as best fit model a single
PL with
and column density consistent with the
galactic value. There are not previous reported X-ray data in the
literature for this object. Nagar et al. (2005) detect a
compact continuum radiosource.
NGC 3998 (UGC 6946). Five galaxies (NGC 3990, NGC 3977,
NGC 3972, NGC 3982 and UGC 6919) are seen within 250 kpc (see
Appendix F, Fig. F.6), all but one at cz
compatible with sharing the same physical association. The AGN
nature of this galaxy was assed by Ho et al. (1997) based on
the clear detection of a broad H
line, the detection
of a variable radio core (Filho et al. 2002) and a 20% UV
flux variation reported by Maoz et al. (2005).
Ptak et al. (2004) published the analysis of the same 10 ks
XMM-Newton data on this LINER galaxy. They fitted the X-ray
spectrum with a simple-absorber power-law with
,
and obtained an observed flux
F(2-10 keV) = 1.1
,
already
in agreement with previously published data from BeppoSAX
(Dadina 2007; Georgantopoulos et al. 2002; Pellegrini et al. 2000)
and ASCA (Terashima et al. 2000,2002).
Our spectral fitting for XMM-Newton data results in a
single PL with spectral index
at
.
However, the fitting to the
Chandra spectrum is improved when using a model with two
power-laws and a thermal contribution. Both sets of data gives the
same value for the X-ray luminosity. A BeppoSAX observation
(Pellegrini et al. 2000) showed that the Fe K
line was not detected to an EW upper limit of 40 eV. Nevertheless,
in the ASCA spectrum by Terashima et al. (2002) an Fe
K
line is marginally detected at 6.4 keV.
NGC 4036 (UGC 7005). It forms a wide pair (see Appendix
F, Fig. F.6) together with NGC 4041
(cz = 1234 km s-1). The Chandra images show a
point-like source within diffuse emission extending less than 5''
(Fig. C.33). Also several knotty regions are
present within 20'' radius. We estimate
by assuming a single PL model with
(
fixed) and galactic absorption. Its AGN nature
is also confirmed by the optical data, since
Ho et al. (1997) reported a faint, broad H
line.
NGC 4111 (UGC 7103). At least four galaxies are found
within 250 kpc (see Appendix F, Fig. F.6)
with redshifts from 600 to 900 km s-1. A hard nuclear point
source has been detected for this galaxy
(Fig. C.34). A previous X-ray spectral
analysis was based in ASCA data by
Terashima et al. (2000) (see also
Terashima et al. 2002) who could not fit the spectrum with a
single-component model, but instead they required a combination of
a power-law together with a Raymond-Smith plasma, with
,
kT = 0.65 keV and
.
These parameters agree with those estimated
from its position in the colour-colour diagrams by GM+06. We have
fitted the Chandra spectrum with ME2PL (
,
kT = 0.66 keV,
and
)
which leads to an estimated
hard luminosity of
,
a
factor of 3 brighter than Terashima et al.'s estimation. The
agreement is remarkably good taking into account the different
instruments used and the different models assumed for the spectral
fitting.
NGC 4125 (UGC 7118). It forms a pair with NGC 4121, at
3.6 arcmin (see Appendix F, Fig. F.6) and
less than 60 km s-1 in cz. Figure C.35
shows the presence of a nuclear hard point-like source. The best
fit that Georgantopoulos et al. (2002) obtained for the
central 2 BeppoSAX spectrum is provided by an
absorbed power-law with
and
N
cm
,
that resulted
in L(2-10 keV) = 0.68
erg s
.
Based on the same Chandra ACIS dataset,
Satyapal et al. (2004) class this galaxy among those
revealing a hard nuclear source embedded in soft diffuse emission.
They estimate the luminosity by assuming an intrinsic power-law
slope of 1.8, which results in L(2-10 keV) = 7.3
erg s
,
in very good agreement with the
value estimated by GM+06. We provide here a new fit to the
Chandra data, with a best-fit MEPL (
and
kT=0.57 keV). The 35.3 ksec XMM-Newton data are
reproduced by an unabsorbed MEPL (
and
kT=0.54 keV). The much larger luminosity for Chandra data
are difficult to understand but it may be attributed to the
difference in the column density between both sets of data. In
principle a larger luminosity should be expected for
XMM-Newton data since in addition to the nucleus, an ULX to
the NE is included in this extraction aperture.
IRAS 12112+0305. This merging system (see Appendix
F, Fig. F.6) contains two separate nuclei
with a pair of tidal tails (Scoville et al. 2000). Very
faint extended X-ray emission has been detected in this
Ultraluminous Infrared Galaxy with no evidence of unresolved hard
nuclear emission. Franceschini et al. (2003) presented
XMM-Newton first results for this galaxy and made a formal
fitting to the spectrum with MEPL in spite of the low count-rate
of the data. We have not tried any spectral fitting and estimated
an X-ray luminosity L(2-10 keV)=1.5
erg s
,
which is in very well agreement with
Franceschini et al.'s value. Condon & Broderick (1991) detect a
compact radio core with a flat continuum.
NGC 4261 (UGC 7360, 3C 270). NGC 4261 is the main galaxy
in a group of 33 galaxies (Nolthenius 1993) in the
Virgo West cloud (see Appendix F,
Fig. F.7). Noel-Storr et al. (2003) pointed out this
galaxy to host a nuclear dust disk together with a twin radio jet
morphology in the VLA and VLBI images. The nuclear hard band
emission of this galaxy is clearly unresolved both in the
(4.5-8.0
keV) and 6-7 keV bands
(Fig. C.37). The various features seen at soft
energies (Fig. C.37) were already shown by
Donato et al. (2004), who analysed its Chandra
ACIS data for the core component (core radius of 0.98''); they fit
it with a PL+apec model with
,
kT = 0.60 keV,
and a high column density N
cm
,
reported to be the largest intrinsic
column density among the 25 radio galaxies in their study. These
parameters agree with those obtained by Rinn et al. (2005)
and Satyapal et al. (2005) for the same data.
Zezas et al. (2005) published the analysis of the same 35ks
Chandra ACIS-S observations we use here. They reported a
point-like emission above 4.0 keV and the evidence of an X-ray jet
component down to arc-second scales from the nucleus (barely
visible in our Fig. C.37). A three-component
model was given as the best fit for the X-ray spectrum of the
nuclear 2'': a heavily obscured flat power law (
and N
cm
), a less
absorbed steeper power-law (
and N
cm
), and a thermal
component (kT = 0.50 keV), which resulted in
L(2-10 keV)=10.8
erg s
,
in
agreement with our results. They reported an equally good fit with
a single power-law (
)
seen through a partially
covering absorber (N
cm
,
f
)
plus a thermal
component. GM+06 did not include this object in the subsample with
spectral fits due to its complexity which gave as unexpected
parameters with any of the five models we tested. We provide here
an acceptable fit by using ME2PL.
Sambruna et al. (2003) published its nuclear EPIC-pn
XMM-Newton spectrum (the central 10''), which was
best-fitted with a two-component model with a power law
(
)
absorbed by a column density of
N
10
cm
plus a thermal component with
keV (in agreement
with Chandra spectral results by Gliozzi et al. (2003) and
Chiaberge et al. (2003)); an unresolved FeK emission line
with EW
keV was detected at
keV.
They also reported short-term flux variability from the nucleus
(timescale of 3-5 ks), which they argued as being originated in
the inner jet. We analyse 27 ksec XMM-Newton data finding
that the bestfit is ME2PL (
,
kT = 0.62 keV,
and
), which is a more complicated model than
Sambruna et al. (2003) proposed, with a temperature compatible with
theirs but a higher value for the spectral index. Our best fit to
the XMM-Newton spectrum agrees with that obtained for
Chandra data with consistent parameters. The reported
luminosity is also consistent (
and
,
respectively). No obvious
signs of broad H
have been reported in optical
spectroscopic data either from the ground (Ho et al. 1997)
or from small-aperture (0.1") HST spectra (Ferrarese et al. 1996).
NGC 4278 (M 98). It is a member of a group together with
NGC 4314, with 3 of its members visible in Appendix
F, Fig. F.7. Ho et al. (2001) used
snapshot (1.43 ksec) Chandra data to class the X-ray
morphology of this galaxy as type I, i.e. dominated by a nuclear
source (see also Dudik et al. 2005). The same dataset is
used by Terashima & Wilson (2003) who, in addition to the
unresolved nucleus, report the presence of a faint elongated
structure about 50" long along PA
in the (0.5-2
keV) band. Their best spectral fitting corresponds to an
unabsorbed power-law with
,
after the
correction of a slight pile-up effect. They also reported flux
variability from the comparison between Chandra and
previous ASCA data. We fitted the same
ksec dataset with ME2PL (
,
kT=0.57 keV). The
best fit model we derive for the 30.5 ksec XMM-Newton data
2PL (
,
,
). An equally good fit is
obtained with MEPL with
,
kT=0.65 keV,
,
The estimated XMM-Newton hard X-ray
luminosity is a factor of 10 brighter than that from
Chandra data This difference can be in part explained as
due to the contamination by a number of point-like sources around
the AGN that can be seen on Chandra X-ray image
(Fig. C.37).
The AGN nature of this source was well known since earlies 80's
when Jones (1984) observed this object using VLBI and
found that the core flux density is 180 and 190 mJy at 18 and 6
cm, on size scales less than 5 and less than 1 mas, respectively.
Later on, Ho et al. (1997) classified it as a type 1.9 LINER
based on the broad component detected in the H
line.
Nagar et al. (2005) have detected a radiojet at 2cm.
NGC 4314 (UGC 7443). It is a member of a group together
with NGC 4278, wich can be seen in the SW corner in Appendix
F, Fig. F.7. No nuclear source has been
detected in the hard X-ray band images from Chandra data
(Fig. C.39). Satyapal et al. (2004) used
the same Chandra ACIS dataset to classify this galaxy among
those exhibiting multiple, hard off-nuclear point sources of
comparable brightness to the nuclear source. With an assumed
power-law index of 1.8, the corresponding luminosity, corrected to
our adopted distance, results in L(2-10 keV) = 8
erg s
,
in excellent agreement with the
one that was estimated by GM+06. We report here the analysis of
the 22 ksec XMM-Newton data. We have found that the X-ray
spectral distribution can be best fitted by MEPL
(
,
kT = 0.24 keV,
).
NGC 4321 (UGC 7450, M 100). NGC 4321 is a well-studied,
grand design spiral galaxy, located in the Virgo Cluster (see
Appendix F, Fig. F.7). Based on snapshot
imaging data, Ho & Ulvestad (2001) classed its Chandra
X-ray morphology as type I, i.e. with a dominant nuclear source at
variance with our results as an Non-AGN candidate.
Roberts et al. (2001) analysed previous ASCA data and
derived a best model for the spectral fitting with an absorbed
power-law (N
cm
and
)
and a MEKAL (kT = 0.67 keV) components; these
parameters are far from the range we have derived from the
analysis of the available XMM-Newton and Chandra
data, which agree perfectly well. No evidence of an AGN is found
at radio frequencies. Filho et al. (2000,2006)
found a resolved extended source at 6cm.
NGC 4374 (UGC 7494, 3C 272.1, M 84). NGC 4374 is one of
the brightest giant elliptical galaxies in the centre of the Virgo
cluster (see Appendix F, Fig. F.7). It
shows strong radio emission and a two-sided jet emerging from its
compact core (Xu et al. 2000). Bower et al. (1998)
find a black hole mass of (0.9-2.6)
from velocities measured in the central
emission-gas disk. An unresolved nuclear source is detected both
in (4.5-8.0
keV) and 6-7 keV band images from
Chandra data (Fig. C.41).
Satyapal et al. (2004) have already described the X-ray
morphology traced by the same Chandra ACIS dataset of this
galaxy as revealing a hard nuclear source embedded in soft diffuse
emission. The Chandra ACIS-S data are also analysed by
Finoguenov & Jones (2001)
; they report a remarkable interaction of the
radio lobes and the diffuse X-ray emission, and provide the
parameters for a fit with an absorbed (N
cm
)
power law (
)
and the
corresponding L(0.5-10 keV) = 4.7
erg s
,
all in very good agreement with the ones we
give in GM+06. These values somewhat differ from those obtained
from the ASCA spectrum (Terashima et al. 2002), most
probably due to the different spatial resolutions.
NGC 4410A (UGC 7535, Mrk 1325). NGC 4410A is a member of
a compact group of galaxies (see Appendix F,
Fig. F.7), being NGC 4410A associated with the VLA
radio source (Hummel et al. 1986). Both
(4.5-8
keV) and 6-7 keV band images show the
unresolved nature of the nuclear source at these energies
(Fig. C.42). The same ACIS-S Chandra
observations we use for the NGC 4410 group are presented in
Smith et al. (2003), who obtained an adequate fit for the
spectrum of the inner 1'' with a power law with
and a fixed N
cm
,
in agreement with a previous analysis
of ROSAT X-ray observations (Tschöke et al. 1999). The
best fit model by GM+06 only needs the inclusion of a power law
with
(consistent with theirs within the
errors). The reanalysis of Chandra data results in a best
fit model MEPL with
,
kT = 0.30 keV and
N
cm
and no
absorption for the hard component.
This fit agrees with the reported by GM+06. AGN nature of this
object was obtained throught the detection of a rather broad
H
component by Donahue et al. (2002).
NGC 4438 (UGC 7574, Arp 120b). This galaxy is in
a pair with NGC 4435 (see Appendix F, Fig. F.8) in the Virgo cluster
(Rauscher 1995). Ho et al. (1997) reported this galaxy
as that with the weakest broad H
nucleus.
The results from
25 ks Chandra ACIS-S observations of this galaxy are also
presented in Machacek et al. (2004), who suggest the presence of an
AGN, based on the steep spectral index and the location of the hard
emission at the centre of the galaxy, in contrast to our
morphological classification. The spectrum of the central 5'' is
claimed to be best-fitted by a combination of an absorbed power law
(with N
cm
and a fixed
)
and a MEKAL with kT = 0.58 keV thermal component, providing
L(2-10 keV) = 2.5
erg s
.
Nevertheless, Satyapal et al. (2005) class this galaxy as a non-AGN LINER based on
the same ACIS Chandra dataset, in agreement with GM+06
classification. The new fit for Chandra data results in
MEPL with kT = 0.52 keV,
and
N
cm
,
wich is consistent, within the errors, with that
provided by GM+06.
NGC 4457 (UGC 7609). This is a rather isolated object in
the Virgo Cluster, with an unphysical companion within 250 kpc
(UGC 7644 at cz = 4222 km s-1). Unresolved hard X-ray
emission is seen in the nucleus on this galaxy
(Fig. C.44). The spectral analysis of the same
ACIS Chandra data by Satyapal et al. (2005) gives
,
kT = 0.69 keV, and no additional absorption,
in very good agreement with GM+06 results. The best fit model
reported here is also MEPL, with compatible parameters but with a
larger column density,
.
NGC 4459 (UGC 7614). With NGC 4468 at 8.5 arcmin and
NGC 4474 at 13.5 arcmin to the E-NE, NGC 4477 and NGC 4479 are
the two similar-sized galaxies to the SE within 250 kpc (see
Appendix F, Fig. F.8) close in redshift.
GM+06 morphologically classified this galaxy as a Non-AGN
candidate (see Fig. C.45), in agreement with
Satyapal et al. (2005) who, also based on these ACIS
Chandra data, gave no additional X-ray information on this
object. A mass of
has been
reported for its nuclear black hole (Tremaine et al. 2002, based on Space
Telescope Imaging Spectrograph (STIS) measurements of ionised-gas
disks by Sarzi et al. (2001)).
NGC 4486 (UGC 7654, Virgo A, Arp 152, 3C 274, M 87).
This well known giant elliptical galaxy located at the centre of
the Virgo cluster (see Appendix F,
Fig. F.8), hosts a very strong central radio source and a
synchrotron jet that is visible from radio to X-ray wavelengths
(Marshall et al. 2002). Both the unresolved nuclear
emission and the jet-like feature extending 15'' to the
W-NW, in the direction of the optical jet, are seen in
Fig. C.46. Deep 500 ksec Chandra
observations of this galaxy are shown in
Forman et al. (2005), where the same salient features
present in our Fig. C.46 can be seen, with
X-ray jets clearly detected, but unfortunately no spectral
analysis is made. Donato et al. (2004) analyse both
Chandra and XMM-Newton data providing a radius for
the core of 0.22''. Dudik et al. (2005), based on 38 ksec
Chandra observations, classed it among objects exhibiting a
dominant hard nuclear point source and estimated its luminosity as
L(2-10 keV)=3.3
erg s
with a
fixed
power law, in good agreement with the one
estimated by GM+06 with the same dataset. Here we use a much
longer exposure time dataset (
ksec) and improve the
fitting by ME2PL (
,
kT = 0.82,
and
), what
results in a luminosity of
,
20
times lager than the value obtained by
Forman et al. (2005). The spectrum extracted from a
19 ksec XMM-Newton observation suffers from strong pile-up
effects, so the resulting parameters will not be discussed any
further. Noel-Storr et al. (2003) found by using optical
spectroscopic STIS data that a broad component is needed to fit
the spectrum. A black hole of mass M
M
is found by
Lauer et al. (1992). The active nucleus in M87 emits a
nonstellar continuum, which is found to vary in strength over time
in UV (Maoz et al. 2005; Perlman et al. 2003),
optical (Tsvetanov et al. 1998) and X-rays
(Harris et al. 1997).
NGC 4494 (UGC 7662). This elliptical galaxy is located in
the Coma I cloud (see Appendix F,
Fig. F.8). Hard nuclear emission from Chandra data
is point-like (Fig. C.47). The
XMM-Newton EPIC spectrum extracted from a 45'' region has
been published by O'Sullivan & Ponman (2004). A MEPL model
results in their best model for the spectral fitting, for which
they get
(consistent with GM+06 value) but for
hydrogen column density fixed at the Galactic value
(N
cm
)
and
kT = 0.25 keV. Dudik et al. (2005) classed it as a hard
nuclear point-dominated source and estimated
L(2-10 keV)=7.2
erg s
with a
fixed
power law, about a factor of 6 fainter
than the one GM+06 calculated with the spectral fitting. The new
fitted model agrees with that reported in GM+06. We have also
analised the 24.5 ksec XMM-Newton observation, obtaining a
single PL as bestfit model with a spectral index consistent with
Chandra spectral index and absorption consistent with
galactic absorption.
NGC 4552 (UGC 7760, M 89). This Virgo elliptical galaxy
(see Appendix F, Fig. F.8) has no detected
broad band H
component
(Cappellari et al. 1999); its nuclear source shows
long-term variability at UV wavelengths
(Maoz et al. 2005; Cappellari et al. 1999)
and a radio jet with VLBI observations (Nagar et al. 2005).
This galaxy shows an unresolved source in the hard
X-rays band over an extended nebulosity with the peak of emission
coincident with the galaxy centre determined from 2MASS data
(Fig. C.48). Xu et al. (2005) found
from Chandra ACIS-S data that the central source is the
brightest in the field and that it coincides with the
optical/IR/radio centre of the galaxy within 0.5''. The
X-ray-identified source is compact and variable on short time
scales of 1 h. Their best-fitted model of the source is consistent
with an absorbed power-law with spectral index
,
in rather good agreement with the ASCA data reported by
Colbert & Mushotzky (1999). The inferred luminosity in the
2-10 keV is 4
erg s
,
consistent with our result (2.6
erg
s
). Their main conclusion based on the variability,
the spectral analysis, and multi-wavelength data is that the
central source is more likely a low-luminosity AGN than
contribution from LMXBs (Low Mass X-ray Binaries). GM+06 best-fit
parameters are consistent with a model of a power law
(
)
plus a thermal RS (kT = 0.83 keV), in much
better agreement with the results by Filho et al. (2004) on
the analysis of Chandra archival data, with
and kT = 0.95. The new Chandra spectral
analysis is consistent with those obtained before. We also report
32 ksec XMM-Newton observation. The bestfit model and
parameters agree with these obtained with Chandra data.
However the X-ray luminosity is a factor of 10 larger than
Chandra data (
). This difference can be easily explained by
the contribution of point-like sources within the XMM-Newton
extraction region that can be seen in the hard X-ray image (see
Fig. C.48).
NGC 4589 (UGC 7797). It is part of a small group
(Wiklind et al. 1995), from wich NGC 4648 and NGC 4572
are visible in Appendix F, Fig. F.9.
Roberts et al. (1991) already reported it as a faint
X-ray source. We present here the new 54 ksec Chandra data
for this galaxy, which allow to derive a luminosity
). We cannot
perform a proper spectral fitting due to the low count rate. The
X-ray morphology shows a diffuse emission without any point-like
source at hard energies (
). However a radio jet has
been reported by Nagar et al. (2005), pointing to its AGN
nature.
NGC 4579 (UGC 7796, M 58). Another galaxy (NGC 4564)
lies in the field within 250 kpc (see Appendix F,
Fig. F.9, SW corner), which is close in redshift (cz = 1142
km/s). NGC 4579 shows a compact nuclear source sitting in a
diffuse halo (Fig. C.50), as already reported
by Ho & Ulvestad (2001). Eracleous et al. (2002) fitted the
compact unresolved central source detected in Chandra X-ray
data, coincident with the broad-line region detected in UV by
Barth et al. (2002), with a simple power-law spectra with
,
which gives an estimated luminosity of
1.7
erg s-1. Dewangan et al. (2004)
presented XMM-Newton data to search for the presence of an
FeK
line. The best-fit spectrum is rather complex: an
absorbed power-law with
plus a narrow Gaussian
at 6.4 keV and a broad Gaussian at 6.79 keV with FWHM
20.000 km s
.
This broad component is interpreted as
arising from the inner accretion disk. The estimated luminosity
amounts to 1.2
erg s
,
lower
than both Eracleous's estimation and GM+06 (1.4
erg s
). We have made a new analysis on
both 30 ksec Chandra and 19.6 ksec XMM-Newton data.
The spectrum extracted from XMM-Newton observations suffers
from strong pile-up effects, so the resulting parameters will not
be discussed any further. The fitting to Chandra data gives
MEPL with
,
kT = 0.20 keV and column densities
for the soft and hard frequencies
.
The derived X-ray luminosity is
,
consistent with those by
Barth et al. (2002) and GM+06. The AGN nature of this LINER
is confirmed by the detection of broad wings in the H
line
Keel (1983); Ho et al. (1997); Stauffer (1982); Filippenko & Sargent (1985)
along with broad lines in the UV (Maoz et al. 1998),
large UV variability
(Maoz et al. 2005,1998; Barth et al. 1996)
and a flat-spectrum radio core
(Hummel et al. 1987; Nagar et al. 2005).
NGC 4596 (UGC 7828). It forms a wide pair (see Appendix
F, Fig. F.9) together with NGC 4608
(cz = 1864 km s-1). This galaxy is very faint at X-ray
frequencies, showing diffuse X-ray morphology, from a
Chandra observation, in all the spectral bands
(Fig. C.51). In fact, information on its
spectral properties could not be obtained based on the present
data due to the lack of sufficient counts in the hard band
(4.5-8.0
keV). No previous X-ray data have been
reported for this galaxy. A black hole mass of 7.8
M
is calculated by
Tremaine et al. (2002) based on Space Telescope Imaging
Spectrograph (STIS) measurements of ionised-gas disks by
Sarzi et al. (2001).
NGC 4594 (M 104, Sombrero Galaxy). The famous galaxy
NGC 4594, with no evidence of a similar size galaxy within
250 kpc (see Appendix F, Fig. F.9), was one
of the earliest galaxies to show evidence of the possible presence
of a central supermassive (up to
M
)
black hole (Kormendy 1988). Its nucleus shows large
short-term variability in the UV (Maoz et al. 2005) and show
a radio compact core Its X-ray morphology shows a compact
unresolved nuclear source on top of a diffuse halo
(Fig. C.52). Dudik et al. (2005) used
the classification by Ho & Ulvestad (2001) based on snapshot
Chandra observations (
ksec), that classed it
with the objects that exhibit a dominant hard nuclear point
source. We have made for the Chandra spectrum a new
analysis and found a best fit model consistent with a single PL
(
with
). This is in close agreement, within the errors,
with the spectral fitting values provided by GM+06
(
with
). We also present here the 15.8 ksec
XMM-Newton spectrum, which is better modelled with ME2PL
(
,
and kT = 0.69 keV). Pellegrini et al. (2003) presented a
spectral analysis based on 40 ksec XMM-Newton of the 7''
central nuclear source, which they derive to be consistent with an
absorbed power law with
and a column density of
N
cm
.
The value of
our estimated 2-10 keV luminosity, 1.6
erg s
,
agrees fairly well with that reported by
Pellegrini from XMM-Newton. The XMM-Newton computed
hard X-ray luminosity is a factor of 1.7 higher than that obtained
from Chandra data. The morphology of hard X-rays and the
larger extraction aperture of XMM-Newton data cannot
explain this difference.
NGC 4636 (UGC 7878). It belongs to a galaxy group
number 98j in Mahtessian (1998), but it shows no
companion within 250 kpc (see Appendix F,
Fig. F.9). This galaxy does not show emission at high
energies (Fig. C.53), althought a moderately
strong broad component at H
was detected by
Ho et al. (1997) in the starlight-subtracted optical
spectrum. Chandra data do not have high enough quality to
allow a proper fitting to the spectrum. The difference in our
estimation of the X-ray luminosity (1.77
erg s
)
and the value reported by
Loewenstein et al. (2001) for the nucleus (2
erg s
)
is due to the different apertures
used, 13'' and 3'', respectively. Xu et al. (2002)
and O'Sullivan et al. (2005) presented XMM-Newton data
for this source and find that it can be consistent with thermal
plasma with a temperature kT between 0.53 and 0.71 keV. We present
the 16.4 ksec XMM-Newton observation. The extracted nuclear
spectrum is better modelled with MEPL (
and
kT = 0.54 keV) with no additional absorption. The arm-like
structure reported by Jones et al. (2002) at soft energies
can be produced by shocks driven by symmetric off-centre
outbursts, preventing the deposition of gas in the centre.
O'Sullivan et al. (2005) suggest that the X-ray morphology
can be the result of a past AGN that is quiescent at the present.
There is a two orders of magnitude difference in the luminosities
obtained with XMM-Newton data compared to Chandra
data, which can be attributed to the diffuse emission at hard
X-rays shown in Chandra images (see
Fig. C.53).
NGC 4676A and B (Arp 242, The Mice Galaxy). These two galaxies are the members of the well known interacting pair named ``The Mice'' (Arp 242, see Appendix F, Figs. F.9 and F.10). No high energy X-rays emission is detected (Fig. C.54) for component A, but it is present for component B (Fig. C.55). Read (2003) presented the first Chandra analysis of the Mice Galaxy and found a compact source in component B with a rather diffuse emission in A. Their spectral fitting in B is both consistent with MEKAL and power-law models. We did not perform any fitting due to poor counting statistics. From the colour-colour diagrams and based on the same dataset, GM+06 concluded that the spectrum for component A is consistent with a power law with a spectral index in the range 0.8-1.2. GM+06 did not make any estimation for component B since the errors in the count-rate for the hardest band is greater than 80%. GM+06 estimated the luminosities for both components which agree remarkably well with the results by Read (2003), who explain the X-ray emission as produced by starbursts in both components. Our new estimation is also in agreement with these previously published values.
NGC 4698 (UGC 7970). This seems to be a rather isolated
object, since no companion is visible within 250 kpc (see Appendix
F, Fig. F.10). This galaxy shows a very
faint, high-energy X-ray emission from its central region. The
largest extension is found at intermediate energies, between 1 and
4 keV (Fig. C.56).
Georgantopoulos & Zezas (2003) made a careful analysis of
the Chandra data on this source and found that the X-ray
nuclear position coincides with the faint radio source reported by
Ho & Ulvestad (2001). They find that the best-fit model consists
of an absorbed power law with
and column
density of N
cm
,
which gives a a nuclear luminosity of 10
erg
s
.
GM+06 found, from the colour-colour diagrams
obtained from the same Chandra data, that they may be well
reproduced by a combined model with a power law with
and a thermal component with
kT = [0.7-0.8] keV, what results in a luminosity fainter by a
factor of two than that estimated by
Georgantopoulos & Zezas (2003). Cappi et al. (2006) fit
its XMM-Newton spectrum with a single power law model with
and get L(2-10 keV) = 1.6
erg s
,
a factor of 3 brighter than our
determination from Chandra data. Our XMM-Newton
(2-10 keV) luminosity is consistent with the result reported by
Cappi et al. (2006). The discrepancies between both
measurements can be explained because of the off-nuclear point
sources located within the XMM-Newton extraction region. No
trace of broad H
is visible in the relatively high
S/N spectrum presented by Ho et al. (1997).
NGC 4696 (Abell 3526). NGC 4696 is the brightest member
of the rich Centaurus Cluster, Abell 3526 (see Appendix F, Fig. F.10). This galaxy is rather
diffuse at high X-ray energies, having a clear nuclear halo
morphology at soft energies (Fig. C.57). In
fact, Satyapal et al. (2004) classed it as an object that
reveals a hard nuclear point source embedded in soft diffuse
emission. Taylor et al. (2006) used 196.6 ksec
Chandra data, extracted the nuclear source with a 0.9''
aperture, and obtained the best-fit model by a MEKAL thermal
plasma with kT = 0.75 keV and abundance 0.22 solar.
Rinn et al. (2005) fit its XMM-Newton spectrum with a
thermal model with kT = 0.7 keV but with a matellicity 1.2 times
solar. At variance with them, GM+06 best-fit model was a power law
but with a rather high and unrealistic spectral index of 4.26. In
spite of this difference, the estimated luminosities are within a
factor of 2 (6
erg s
and
1.2
erg s
for our analysis
and Taylor's, respectively). GM+06 classified this source as a
good candidate for a Starburst due to the absence of a
nuclear-unresolved source at hard energies
(Fig. C.57). Nevertheless, the VLBA data
reported by Taylor and collaborators reveal a weak nucleus and a
broad, one-sided jet extending over 25 pc, suggesting an AGN
nature of this peculiar source. We have reanalysed the same
Chandra data than in GM+06 and obtained that the best-fit
model is MEPL (
and kT = 0.67 keV) without
additional absorption. The X-ray luminosity is now
.
The available XMM-Newton data
(40 ksec) produce a spectrum with strong pile-up effects, so it
will not be used any further.
NGC 4736 (UGC 7996, M 94). This is a rather isolated
object in terms of similar size galaxies within 250 kpc projected
distance (see Appendix F, Fig. F.10). An
unresolved nuclear source was reported for this galaxy using 0.15
arcsec resolution VLA data at 2cm (Nagar et al. 2005).
Maoz et al. (2005) reported a factor of 2.5 long-term
variability at UV. This galaxy shows a large number of unresolved
compact sources in the few central arcseconds, which makes the
extraction of the true nuclear source rather difficult
(Fig. C.58). The high abundance of
extranuclear sources can be due to the blue knots and HII regions
located in an external ring
(Maoz et al. 2005; Roberts et al. 2001)). With the same
Chandra dataset we have used for this galaxy,
Eracleous et al. (2002) identified 3 X-ray sources in the
nuclear region, all of them showing hard spectra with power law
indices ranging from 1.13, for the brightest one, to 1.8 for X-3,
and luminosities in the 2-10 keV band between 4
erg s
and 9.1
erg s
.
We assign the source X-2 by Eracleous to be the
nucleus of the galaxy since it coincides with the 2MASS near-IR
nucleus within 0.82''. Eracleous et al. (2002) stressed the
complications of defining an AGN or SB character to this source,
suggesting that even if the brightest source is associated with an
AGN it will only contribute 20% to the energy balance in X-rays.
The radio monitoring observations made by
Körding et al. (2005) with the VLBI found a double structure,
with the radio position N4736-b coinciding with our X-ray nucleus.
From this double structure the brightest knot N4736-b also appears
to be variable, pointing to an AGN nature for this LLAGN. Our new
fit to Chandra data agrees with that reported in GM+06
(MEPL). We report also on our analysis on 16.8 ksec
XMM-Newton data. The spectrum is modelised by an ME2PL. An
order of magnitude difference is found between the luminosities
obtained from Chandra and XMM-Newton data as
expected due to including of all the X-ray sources mentioned by
Eracleous et al. (2002) in the XMM-Newton extraction
aperture.
ASCA and ROSAT results are given by
Roberts et al. (1999) and Roberts et al. (2001), where they
report a marginal detection of an ionised Fe K emission line.
Terashima et al. (2002) find a possible hint of Fe K emission
in the ASCA spectrum. In our XMM-Newton spectrum
there is only marginal evidence of such an emission line (see
Appendix E).
NGC 5005 (UGC 8256). This is a rather isolated object with
no similar size galaxies within 250 kpc projected distance (see
Appendix F, Fig. F.10), but two galaxies
(NGC 5002 at cz = 1091 km s-1 and NGC 5014 at cz = 1126
km/s) are just out of the 250 kpc box. A broad H
component was found in its optical spectrum
Ho et al. (1997); Terashima et al. (2002). Its ASCA X-ray
spectrum (Terashima et al. 2002) was fitted with an absorbed
(N
cm
)
power-law
with
,
and a thermal (Raymond-Smith) component
with kT = 0.76 keV. They also reported a factor about 2
variability for this source. Dudik et al. (2005) classed
its Chandra X-ray morphology as type III, i.e. a nuclear
source embedded in diffuse emission; their spectral fitting
provided N
cm
,
and kT = 0.9 keV. Guainazzi et al. (2005b)
analysed both Chandra and XMM-Newton data, to
disclaim the Compton-thick nature of this source
(Risaliti et al. 1999), deriving
and
.
Gallo et al. (2006) obtained, with the same
XMM-Newton dataset,
and
,
and a total (2-10) keV
luminosity of
.
We report our
results on the available XMM-Newton observations
(0.86 ksec). The best fit model is a MEPL model with
(
and kT = 0.27 keV) with a column density of
,
even lower that in
Guainazzi et al. (2005a), and a luminosity of
.
NGC 5055 (UGC 8334, M 63). Only a dwarf spiral, namely
UGC 8313, at very similar redshift (cz = 593 km s-1) appears
close to this galaxy (see Appendix F,
Fig. F.10). Its shows a clearly unresolved nuclear source
coincident with the 2MASS position for the nucleus
(Fig. C.60). No previous study of
Chandra data has been reported. The only data available
were ROSAT PSPC and HRI observations
(Roberts & Warwick 2000; Read et al. 1997) that pointed to the
nucleated nature of this source within their low spatial
resolution (10'' at best). In the course of an investigation of
ULXs over a sample of 313 nearby galaxies,
Liu & Bregman (2005) found 10 ULX in this galaxy, one of
which is close to the nucleus with a luminosity variation from
0.96 and 1.59
erg s
in 1.6
days. The new Chandra data can be fitted with a PL model
(
), with a very low luminosity (
). This seems to be consistent with the
spatially resolved UV source detected by
(Maoz et al. 2005,1998), which they
reported as an extended, non-varying source, who suggested a young
star origin to the observed emission. The 0.2" resolution
observations by Nagar et al. (2000) give an upper limit of
1.1 mJy to any small-scale radio emission at 15 GHz.
Ho et al. (1997) classified it as a type 1.9 LINER based in
the detection of a broad H
component.
Mrk 266NE (NGC 5256, UGC 8632, IZw 67). Mrk 266 is a
merging system (see Appendix F, Fig. F.11)
with two nuclei separated by 10"
(Wang et al. 1997; Hutchings & Neff 1988): a Seyfert 2
nucleus to the southwest and a LINER nucleus to the northeast.
Here we pay attention to the LINER nucleus. Its X-ray morphology
shows the double structure of these merging, luminous infrared
system with the northeast nucleus brighter than the southwestern
one. Also the southwest nucleus shows hard emission being more
diffuse (Fig. C.61). Our nuclear morphology
agrees with that reported by Satyapal et al. (2004). Here we
find the best fit for the Chandra spectrum to be ME2PL
(
,
and kT = 0.83 keV). The resulting X-ray luminosity is
.
We also report
XMM-Newton data which seem to be consistent with the same
model but with a steeper spectral index (
)
and an
X-ray luminosity a bit larger but consistent with Chandra
data. A clear FeK
has been detected with equivalent
width of 276 eV.
UGC 08696 (Mrk 273, IRAS 13428+5608). Mrk 273 is one of
the prototypical ultra-luminous galaxies, showing a very complex
structure at optical frequencies with a double nucleus, with a
projected separation of
1", and a long tidal tail,
indicative of a merging system (see Appendix F,
Fig. F.11). A compact flat spectrum radio source has been
detected between 2 and 6 cm (Baan & Klockner 2006). At high X-ray
energies only the northern nucleus is detected
(Fig. C.62), which is coincident with the
compact radio source shown in VLBI observations
(Carilli & Taylor 2000; Cole et al. 1999). Based on
Chandra ACIS imaging, Satyapal et al. (2004) classed
this galaxy among those revealing a hard nuclear source embedded
in soft diffuse emission. X-ray Chandra data have been
previously analysed by (Xia et al. 2002), who carefully
studied both the nucleus and the extended emission. They showed
that the compact nucleus is well described by an absorbed power
law (N
cm
,
,
L(2-10 keV) = 2.9
10
erg s
)
plus a narrow FeK
line. The most
remarkable result of this analysis is that the spectrum of the
central 10" is consistent with 1.5Z
metallicity,
whereas the extended halo seems to be consistent with a thermal
plasma with 0.1 Z
metallicity. The results reported
by Ptak et al. (2003) on the same Chandra dataset
(the only available up to now) point out that most of the observed
X-ray emission (95%) comes from the nucleus. GM+06 best-fit model
agrees with those data within the errors (
,
kT = 0.75 keV, N
cm
and L(2-10 keV) = 1.5
10
erg s
).
Our new best fit to the Chandra data is consistent with a
ME2PL model with a column density 10 times higher than previouly
reported and almost a factor of ten larger X-ray luminosity. In
addition, we report the results for the available 18 ksec
XMM-Newton observation obtaining the same bestfit model
with consistent spectral parameters and luminosity. Using
XMM-Newton data, Balestra et al. (2005) analysed
the FeK
line and concluded that, alike the case of
NGC 6240, the line is the result of the superposition of neutral
FeK
and a blend of highly ionised lines of FeXXV and
FeXXVI. We have measured an equivalent width of 266 eV for the
FeK
line.
CGCG 162-010 (Abell 1795, 4C 26.42). This galaxy is the
central cD galaxy of the cluster A1795 (see Appendix
F, Fig. F.11), which hosts the powerful
type I radio source 4C26.42. The X-ray morphology shows a rather
diffuse emission at high energies and a very clear long filament
at soft energies (Fig. C.63). A full
description of the nature of this filament was made in
Crawford et al. (2005), who attributed the observed structure
to a large event of star formation induced by the interaction of
the radio jet with the intra-cluster medium.
Satyapal et al. (2004) classed this galaxy among those
revealing a hard nuclear source embedded in soft diffuse emission,
based on Chandra ACIS imaging. Nevertheless,
Donato et al. (2004), investigating the nature of the
X-ray central compact core in a sample of type I radio galaxies,
classified this galaxy among sources without a detected compact
core, in agreement with GM+06 classification. The X-ray
spectroscopic analysis of GM+06 results in this object being one
of the five most luminous in the sample, with a value for the
luminosity in very good agreement with that estimated by
Satyapal et al. (2004) for an intrinsic power-law slope of
1.8 for the
same dataset.
Here we report a new analysis on these 20 ksec Chandra data
and 42.3 ksec XMM-Newton data. The spectrum extracted from
Chandra data is better fitted with ME (kT = 1.1 keV)
whereas that from XMM-Newton data is better described by
MEPL (
and kT = 3.3 keV). The hard X-ray
luminosity estimated from XMM-Newton data appears to be
three orders of magnitude brighter than the Chandra value.
These large differencies can be attributed to the contribution of
an extranuclear hard X-ray component from the cooling flow of the
galaxy cluster (Fabian 1994). In fact, the
difference vanishes for the spectrum extracted from Chandra
data and 25'' aperture.
NGC 5363 (UGC 8847). It makes a wide pair together with
NGC 5364 (cz = 1241), in a group with several smaller galaxies,
as NGC 5356 and NGC 5360 (see Appendix F,
Fig. F.11). We report here for the first time the analysis
on archival 19.3 ksec XMM-Newton observations. The
extracted spectrum is better fitted with ME2PL (
and kT = 0.61 keV). Evidence of its AGN nature can be found in the
radio data reported by Nagar et al. (2005).
IC 4395 (UGC 9141). This galaxy is disturbed by a
neighbouring edge-on galaxy, UGC 9141 at cz = 1102 km s-1)
(see Appendix F, Fig. F.11). The only
previously published X-ray data on this galaxy correspond to the
XMM-Newton RGS spectrum by Guainazzi & Bianchi (2007),
in which neither of the studied emission lines have been detected.
We report the first analysis of archival 18 ksec XMM-Newton
observation, that results in MEPL (
and
kT = 0.26 keV) with no additional absorption as the best fit.
IRAS 14348-1447. IRAS 14348-1447 is part of a merging
galaxy pair (see Appendix F, Fig. F.11).
Our Chandra image shows a diffuse morphology in the whole
X-ray energy range, but does not allow any kind of spectral
analysis. We estimate a (2-10 keV) X-ray luminosity of
by assuming a single power-law
with fixed spectral index to 1.8 and galactic absorption.
Franceschini et al. (2003) analysed the same
XMM-Newton dataset presented in this paper, deriving a two
component model as the best fit, with a thermal component with
kT
0.62 keV, and an absorbed power-law with
and
accounting for a significant hard X-ray component. They described
the (0.2-10) keV X-ray morphology at larger spatial scales (2
2 arcminutes), with a bow-like structure extending
about 30" in the NS direction, together with another relatively
bright blob at about 20" to the SE which lacks any optical
counterpart. The spectrum we have extracted from XMM-Newton
data is fitted with an unabsorbed ME with kT = 3.67 keV; this
value for the temperature is a rather extreme, but no other model
is able to provide a good fit with physically reasonable
parameters. The derived luminosity is
4.9
erg s
,
consistent with the
value estimated with Chandra data.
NGC 5746 (UGC 9499). This galaxy is part of a very wide
galaxy pair with NGC 5740 (cz = 1572 km s-1), at
18' (out of the plotted field of view in
Appendix F, Fig. F.12). No previous X-ray
data analysis have been reported. Here we make use of the archival
Chandra observations, that indicate an X-ray morphology
showing a clearly compact, unresolved nuclear source
(Fig. C.67). We obtain that a single power-law
model (
)
with moderate obscuration (
)
can explain the observed spectrum. The
analysis reported by GM+06 with the same data, both the fitting
and the position in the colour-colour diagrams, provided very
similar results. Nagar et al. (2002) detected a compact radio
source suggesting the AGN nature of the nuclear source in this
galaxy.
NGC 5813 (UGC 9655). NGC 5813 belongs to the group of
galaxies #50 in the catalogue by de Vaucouleurs (1975),
whith NGC 5846 being the brightest member of the group; the
closest galaxy to NGC 5813 is NGC 5814 at 4.8 arcmin to the S-SE
(see Appendix F, Fig. F.12), but it lies
too far away to be a physical companion (cz = 10581 km s-1).
The X-ray morphology is extremely diffuse, with very extended
emission at softer energies and without any emission at hard
energies. We present the analysis on the spectra extracted from
48.4 ksec Chandra and 28 ksec XMM-Newton
observations. Both Chandra and XMM-Newton data are
best fitted with a MEPL model. The fitting parameters are
compatible, excepting for the hydrogen column density (consistent
with zero for Chandra data and
for XMM-Newton data). This leads to a
high discrepancy between Chandra and XMM-Newton
luminosities (
and
,
respectivelly). This discrepancy can be
explained as due to the inclusion in the XMM-Newton
spectrum of diffuse emission coming from the core galaxy cluster
group. In fact, the higher luminosity is recovered when the
aperture used from extracting the spectrum with
Chandra data is fixed to 25''.
radiofrequencies Nagar et al. (2005) found a well detected
compact radiocore.
NGC 5838 (UGC 9692, CGCG 020-057). Also belonging to the
NGC 5846 group, a number of small galaxies are seen within 250
kpc (see Appendix F, Fig. F.12). There is
not previous reported X-ray data in the literature. We present the
analysis on the available 13.6 ksec Chandra observations,
for which unfortunatelly no spectral fitting can be made due to
the low count-rate. The estimated hard X-ray luminosity is
assuming a power-law model
with fixed spectral index to 1.8 and galactic absorption. The hard
X-ray morphology appears extended and diffuse with a faint nuclear
source. Filho et al. (2002) detected a slightly resolved
2.2 mJy source, and confirm its compactness from
subarcsecond-resolution 8.4 GHz images. Based on previous data at
radio frequencies, they also conclude that the nuclear radio
source in NGC 5838 must have a flat radio spectrum.
NGC 5846 (UGC 9706). NGC 5846 is the brightest member of
the G50 group in the catalogue of de Vaucouleurs (1975).
In Appendix F, Fig. F.12 the two galaxies
closest to it are the two small ones to the W (NGC 5845, at
cz = 1458 km s-1) and NGC 5839, at 1225 km s-1); the
barred spiral to the E is NGC 5850, at 2556 km s-1, and
hence it does not conform a close interacting pair. Based on
Chandra data, Trinchieri & Goudfrooij (2002) revealed a
complex X-ray morphology with no clear nuclear identification (see
also Fig. C.70). They detected, however, a
large amount of individual, compact sources in the luminosity
range from 3 to 20
10
erg s
.
Filho et al. (2004) reanalysed the data already presented
in Trinchieri & Goudfrooij (2002) and reported a weak, hard
(2-10 keV) nuclear source with
,
which is
compatible within the errors with the value we obtain from the
spectral fitting. Satyapal et al. (2005) analysed the
Chandra data of this galaxy that they classed within
Non-AGN LINERs, fitting its spectrum with a single thermal model
with kT = 0.65 keV, exactly the same as in GM+06 for our single RS
model. We have reanalysed the spectra extracted from
Chandra and XMM-Newton data, that result to
best-fitted by MEPL for Chandra and ME2PL for
XMM-Newton. At radiofrequencies it appears as a clearly
compact radio core with a flat continuum
(Filho et al. 2000,2006).
NGC 5866 (UGC 9723). With several galaxies in the field of
view in Appendix in Fig. F.12, two of them are physically
close to it, namely NGC 5666A (cz = 585 km s-1) and
NGC 5826 (cz = 823 km s-1). It forms a wide physical group
with NGC 5879 (at 80 arcmin and cz = 929 km s-1) and
NGC 5907 (at 85 arcmin and cz = 779 km s-1). The data for
this galaxy reveals a rather complex morphology at hard X-ray
energies with an identifiable nuclear region and extended emission
in the northwest direction (Fig. C.71).
Previous X-ray data analysis by Pellegrini (1994)
based on ROSAT PSPC observations, pointed out a high excess
of soft X-ray emission in S0 galaxies. Filho et al. (2004)
and Terashima & Wilson (2003) failed to detect any hard
nuclear X-ray emission in the Chandra image of this galaxy,
and Satyapal et al. (2005) classed it as a Non-AGN-LINER,
which agrees with GM+06 morphological classification. We estimate
a hard X-ray luminosity
.
Multifrequency radio observations suggest it
harbours a compact, flat-spectrum radio core
Wrobel & Heeschen (1991); Filho et al. (2000); Hummel (1980); Nagar et al. (2005); Filho et al. (2004); Falcke et al. (2000).
IZw 107 (Mkn 848, VV 705). Mark 848S is a Luminous
Infrared Galaxy (Goldader et al. 1997) belonging to a
close pair (see Appendix F, Fig. F.12) of
interacting galaxies (Armus et al. 1990). The
Chandra X-ray imaging (see Fig. C.72)
shows a diffuse source at the nuclear position and a point-like
source to its North. The spectrum extracted from XMM-Newton
data is better fitted with a single PL (
)
without
additional absorption. The reported X-ray Luminosity is
.
NGC 6251 (UGC 10501). Paired with NGC 6252 at 2.4 arcmin
(cz = 6428 km s-1) (see Appendix F,
Fig. F.13), this is a well-known radio galaxy hosting a
giant radio jet (Birkinshaw & Worrall 1993; Urry & Padovani 1995; Sudou & Taniguchi 2000). The high-energy X-ray
morphology shows a well-defined unresolved nuclear source without
any extended halo (Fig. C.73).
Guainazzi et al. (2003) reported a full analysis of the
nuclear energy source comparing Chandra, BeppoSAX,
and ASCA data. They found that the spectrum can be modelled
with a combination of a thermal plasma at kT = 1.4 keV, plus a
power law with
and N
cm
,
but they do not find evidence for the
broad FeK
claimed in previous ASCA
observations. However, the high sensitivity of XMM-Newton
leads Gliozzi et al. (2004) to suggest again that such a
broad (
keV) FeK
line at 6.4 keV
with an EW = 0.22 keV is really there. The presence of an
accretion disk in addition to the jet were suggested for
explaining the origin of the X-ray emission.
Chiaberge et al. (2003) modelled the spectral energy
distribution from
-ray to radio frequencies and found
that it was consistent with a synchrotron self-Compton model with
an unexpected high resemblance to blazar-like objects. This model,
together with the dispute over the existence of FeK
,
lead Evans et al. (2005) to favor the relativistic jet
emission as the main component of the observed emission. We report
here the analysis of the spectra extracted from 25.4 ksec
Chandra and 41 ksec XMM-Newton data. Chandra
results are consistent with our previous analysis (GM+06).
XMM-Newton data is better reproduced by ME2PL.
The hard X-ray luminosity calculated from
XMM-Newton data is one order of magnitude brighter than
that obtained from Chandra data, which cannot be
interpreted as due to an aperture effect (Table
14).
NGC 6240 (IC 4625, UGC 10592, 4C 02.44). This is a very
well-known ultraluminous infrared merger remnant (see Appendix
F, Fig. F.13) with a strong nonthermal
radio excess and two nuclei separated by
2".
Carral et al. (1990) report a compact radio source at 15 GHz.
Making use of the same dataset we analyse here,
Komossa et al. (2003) discovered a binary AGN in the
galaxy coincident with the optical nucleus. They appear as
compact-unresolved at energies between 2.5-8 keV. With the same
dataset we use here, Satyapal et al. (2004) classed it as an
object that reveals a hard nuclear point source embedded in soft
diffuse emission. The spectroscopic analysis shows a very hard
radiation for both nuclei, with
for the one to
the South and 0.9 for the one to the Northeast. The
FeK
emission line is present in both nuclei.
Ptak et al. (2003) pointed out to the complexity of the
nuclear spectrum of this galaxy and constructed a more complex
model that, in addition to the standard MEKAL and power law
components, also included a Gaussian fit for the FeK
and a Compton reflection component with different column
densities. To give an idea of the complexity of the source, let us
point out that Boller et al. (2003) best-modelled the
FeK
line as resolved into 3 narrow lines: a neutral
FeK
line at 6.4 keV, an ionised line at 6.7 keV, and
a blend of higher ionised lines (FeXXVI and Fe K
line)
at 7.0 keV. For consistency with the statistical analysis, we
modelled the continuum spectrum with the combination of a thermal
plus a power law component, without taking the complexity of the
FeK
line into account. High absorption was derived
for this source from both the spectral fitting and the estimation
from colour-colour diagrams by GM+06. We have fitted the spectra
of this source, obtained from both Chandra and
XMM-Newton data, with ME2PL. The hard X-ray luminosity is
one order of magnitude brighter in the spectrum from
XMM-Newton data compared to that from Chandra data.
This cannot be totally explained considering that the two nuclear
sources are included in the XMM-Newton aperture
14. A clear FeK
been detected
in our data with equivalent width of 378 keV (see Table
11).
IRAS 17208-0014. This Ultraluminous Infrared source has
an optical morphology characterised by a single nucleus surrounded
by a disturbed disk (see Appendix F,
Fig. F.13) containing several compact star clusters, with a
single tail. Baan & Klockner (2006) detected a compact flat
spectrum nuclear radio source. Its X-ray nuclear emission appears
to be unresolved at high energies
(Fig. C.75).
Risaliti et al. (1999) analysed luminous IR galaxies
in X-rays with BeppoSAX to investigate the 2-10 keV nature
of their emission and classified this object as a star-forming
galaxy with quite a large X-ray luminosity
(L(2-10 keV)=1
erg s
).
Franceschini et al. (2003) reported their analysis on
XMM-Newton data for a sample of 10 ULIRGs and found that
for this galaxy the observations are equally consistent with a
model of a thermal plasma with a temperature kT = 0.75 keV plus a
power law component with
and
N
cm
,
and a
thermal component with a temperature kT = 0.74 keV plus a cut-off
power law component with
and
N
cm
,
leading in
both cases to similar luminosities on the order of a few times
10
erg s
.
Based on the lack of
FeK
emission line and the close value between the SFR
estimated through the far IR emission and the X-ray emission, they
suggested that the X-ray emission had a starburst origin. GM+06
did not tried to fit the spectrum extracted from Chandra
data due to low count rate; from the position in the colour-colour
diagrams, this galaxy seemed to be consistent with high column
density and a combined model with a power law index between 1.6
and 2.0 and a temperature in the range 0.6-0.8 keV.
Ptak et al. (2003) analysed the same Chandra data on
this object and found that the best fit to the global spectrum is
provided by a combined power law (
)
and thermal
(kT = 0.35 keV) with N
cm
model. The nuclear luminosity is
estimated to be L(2-10 keV)=4.2
erg s
,
a factor of 3 brighter than the value from
GM+06. We report here the analysis of the spectra extracted from
14.6 ksec Chandra and 14 ksec XMM-Newton
observations on this source. Chandra data are better
explained with a PL with a spectral index of 1.6, while
XMM-Newton data are better described by MEKAL
(kT = 0.64 keV). We report a luminosity of
calculated from Chandra data, close to
what it was reported before. XMM-Newton data result in a
lower value (
). The low count
rate of these observations donot allow to favour any of the
results.
NGC 6482 (UGC 11009). This galaxy is the brightest member of a fossil group (see Appendix F, Fig. F.13). Based on different Chandra observations that those reported here, Khosroshahi et al. (2004) analysed the temperature profile of the group, but not for the individuals. Chandra data on this source shows no hard nuclear source (Fig. C.76) associated with the compact radio source detected by Goudfrooij et al. (1994). The spectral analysis shows that the data are consistent with a thermal plasma at kT = 0.68 keV in GM+06. The Chandra analysis performed here is consistent with the values obtained before. We have also analysed 6.7 ksec XMM-Newton data finding that the best-fit is provided by MEKAL with a temperature of 0.7 keV (also consistent with that from Chandra data). The hard X-ray luminosity results to be almost one order of magnitude for XMM-Newton data. This discrepancy can be attributed to the extended emission around the nucleus. The nuclear spectrum is better-fitted by a single thermal component, maybe due to the contribution of the emission from the galaxy group. In fact, a very similar spectrum is recovered when using a 25'' extraction with Chandra data.
NGC 7130 (IC 5135, IRAS 21453-3511), is a peculiar
galaxy that has no close companions (see
Appendix F, Fig. F.13), since the closest
projected companion AM2145-351 is at z = 0.1. It shows a
well-defined nuclear source at high X-ray energies
(Fig. C.77). Since most of the UV emission is
spectrally characteristic of star formation
(Thuan 1984; Gonzalez-Delgado et al. 2004),
Levenson et al. (2005) used the same Chandra dataset
than we use in this paper; they tried to decompose the AGN and
Starburst contributions and found that the AGN contribution
manifested mainly at higher energies ( keV). They found
that the obscuration of the nucleus is Compton-thick, which
prevents the detection of the intrinsic emission in the
Chandra bandpass below 8 keV. The spectral fitting is not
statistically acceptable for this source in GM+06 but now, with
our refined method, we have that ME2PL shows an acceptable fit
(
,
kT = 0.76 keV,
). A clear FeK
has been measured
with equivalent width 382 eV.
NGC 7285 (Arp 93). NGC 7285 is a member of the close
interacting pair Arp 93, together with NGC 7284 at 0.5 arcmin
(see Appendix F, Fig. F.13) and cz = 4681
km/s. No previous X-ray data have been reported. Here we present
the 27.2 ksec XMM-Newton observations on this source. The
spectral analysis gives MEPL as the best fit with:
,
,
and
.
An
equally good fit is obtained with 2PL, with
,
and
.
A clear FeK
has been measured with
equivalent width 212 eV.

IC 1459 (IC 5265). IC 1459 is a giant elliptical in a
loose group with several spiral galaxies, the most conspicuous in
Appendix F, Fig. F.14 being IC 6269B
(cz = 2870 km s-1) and IC 5264 (cz = 1940 km s-1). A
variety of indicators suggesting a recent merger are present in
this galaxy, as a nuclear dust lane (Sparks et al. 1985), an
ionised gas disk and a number of shells
(Forbes et al. 1994). At X-ray frequencies, this galaxy
presents an unresolved nuclear source on top of a diffuse halo at
high energies (Fig. C.80), in agreement with
the classification by Satyapal et al. (2004). A compact radio
core has been detected (Slee et al. 1994).
Fabbiano et al. (2003), based on a different set of
data, found that it shows a rather weak
(L(2-10 keV)=8.0
10
erg s
)
unabsorbed nuclear X-ray source with
and a
faint FeK
line at 6.4 keV. These characteristics
correspond to a normal AGN radiating at sub-Eddington
luminosities, at 3
10
below the Eddington
limit. They suggest that ADAF solutions can explain the X-ray
spectrum, but these models failed to explain the high radio power
of its compact source (Drinkwater et al. 1997). The fitting
parameters from GM+06 are in remarkably good agreement with theirs
(
,
kT = 0.30 keV and
L(2-10 keV) = 3.6
10
erg s
).
We report here the results of the analysis of the nuclear spectra
extracted from 53 ksec Chandra and 26.9 ksec
XMM-Newton data. The former is better fitted by ME2PL with
,
kT = 0.61 keV and column densities
and
.
The spectrum extracted from XMM-Newton
data shows a MEPL best-fit with spectral index and hydrogen column
density NH1 consistent with that reported before.
The difference in luminosities dissapears when comparing Chandra
and XMM-Newton spectra obtained with the same aperture.
NPM1G -12.0625 (Abell 2597). The brightest galaxy in Abell 2597 cluster (see Appendix F, Fig. F.14). Sarazin et al. (1995) found a nuclear radiosource consisting of unresolved nuclear emission and two diffuse lobes. Previous X-ray data on this galaxy referred to the analysis of the extended emission in its parent cluster (Morris & Fabian 2005; Pointecouteau et al. 2005), but less attention was paid to the nuclear emission. Satyapal et al. (2004) classed its X-ray morphology based on 40 ksecs Chandra data, as those of objects revealing a nuclear point source embeded in difuse emission. We report the analysis of the nuclear spectra extracted from 59 ksec Chandra and 89.6 ksec XMM-Newton data. Chandra data are better fitted by MEPL and XMM-Newton with ME2PL with a consistent value of the spectral index, although high. The reported temperature is much lower in the case of Chandra data (kT = 0.31 keV) compared with XMM-Newton data (kT = 2.7 keV). This higher value in XMM-Newton data is an aperture effect since there is a strong hard diffuse component related to the cluster emission (see Tables 14 and 15).
NGC 7743 (UGC 12759). No other similar-sized galaxy is
seen within 250 kpc (see Appendix F,
Fig. F.14). This LINER appears not to have a broad
H
component (Terashima et al. 2000). It is the
only object in the sample by Terashima et al. (2002) with no
need of a power-law component to fit its ASCA spectrum,
what is interpreted as a possible Compton-thick nature for
this object. A clear compact flat spectrum radio core has been
detected by Ho & Ulvestad (2001). In fact, it appears as a Compton-thick candidate in the study by
Panessa et al. (2006). Our XMM-Newton spectrum covers
up to
keV, and is better fitted by MEPL with
,
kT = 0.26 keV,
and
.
We
stress that
,
which is the smallest value we
get, but the count number is at the low limit of our requirements
and the spectral fit is therefore not reliable.
References
- Armus, L., Heckman, T. M., & Miley, G. K. 1990, ApJ, 364, 471
- Baan, W. A., & Klockner, H.-R. 2006, A&A, 449, 559
- Balestra, I., Boller, T., Gallo, L., Lutz, D., & Hess, S. 2005, A&A, 442, 469
- Ballo, L., Braito, V., Ceca, R. D., et al. 2004, ApJ, 600, 634
- Barth, A. J., Reichert, G. A., Filippenko, A. V., et al. 1996, AJ, 112, 1829
- Barth, A. J., Filippenko, A. V., & Moran, E. C. 1999, ApJ, 525, 673
- Barth, A. J., Ho, L. C., & Sargent, W. L. W. 2002, AJ, 124, 2607
- Birkinshaw, M., & Worrall, D. M. 1993, ApJ, 412, 568
- Böhringer, H., Voges, W., Huchra, J. P., et al. 2000, ApJS, 129, 435
- Boller, T., Keil, R., Hasinger, G., et al. 2003, A&A, 411, 63
- Bower, G. A., Green, R. F., Danks, A., et al. 1998, ApJ, 492, L111
- Cappellari, M., Renzini, A., Greggio, L., et al. 1999, ApJ, 519, 117
- Cappi, M., Panessa, F., Bassani, L., et al. 2006, A&A, 446, 459
- Carilli, C. L., & Taylor, G. B. 2000, ApJ, 532, L95
- Carral, P., Turner, J. L., & Ho, P. T. P. 1990, ApJ, 362, 434
- Chiaberge, M., Gilli, R., Capetti, A., & Macchetto, F. D. 2003, ApJ, 597, 166
- Claussen, M. J., Diamond, P. J., Braatz, J. A., Wilson, A. S., & Henkel, C. 1998, ApJ, 500, L129
- Colbert, E. J. M., & Mushotzky, R. F. 1999, ApJ, 519, 89
- Cole, G. H. J., Pedlar, A., Holloway, A. J., & Mundell, C. G. 1999, MNRAS, 310, 1033
- Condon, J. J., & Broderick, J. J. 1991, AJ, 102, 1663
- Condon, J. J., Cotton, W. D., & Broderick, J. J. 2002, AJ, 124, 675
- Corbett, E. A., Norris, R. P., Heisler, C. A., et al. 2002, ApJ, 564, 650
- Cotton, W. D., Feretti, L., Giovannini, G., Lara, L., & Venturi, T. 1999, ApJ, 519, 108
- Coziol, R., Brinks, E., & Bravo-Alfaro, H. 2004, AJ, 128, 68
- Crawford, C. S., Sanders, J. S., & Fabian, A. C. 2005, MNRAS, 361, 17
- Dadina, M. 2007, A&A, 461, 1209
- David, L. P., Jones, C., Forman, W., & Murray, S. S. 2005, ApJ, 635, 1053
- de Vaucouleurs, G. 1975, Social Studies of Science, 9, 557
- Dewangan, G. C., Griffiths, R. E., Matteo, T. D., & Schurch, N. J. 2004, ApJ, 607, 788
- Donahue, M., Smith, B. J., & Stocke, J. T. 2002, AJ, 123, 1922
- Donato, D., Sambruna, R. M., & Gliozzi, M. 2004, ApJ, 617, 915
- Dong, X. Y., & Robertis, M. M. D. 2006, AJ, 131, 1236
- Drinkwater, M. J., Webster, R. L., Francis, P. J., et al. 1997, MNRAS, 284, 85
- Dudik, R. P., Satyapal, S., Gliozzi, M., & Sambruna, R. M. 2005, ApJ, 620, 113
- Dumke, M., Krause, M., Wielebinski, R., & Klein, U. 1995, A&A, 302, 691
- Dwarakanath, K. S., & Nath, B. B. 2006, ApJ, 653, L9
- Eracleous, M., Shields, J. C., Chartas, G., & Moran, E. C. 2002, ApJ, 565, 108
- Evans, D. A., Hardcastle, M. J., Croston, J. H., Worrall, D. M., & Birkinshaw, M. 2005, MNRAS, 359, 363
- Fabbiano, G., Elvis, M., Markoff, S., et al. 2003, ApJ, 588, 175
- Fabian, A. C. 1994, ARA&A, 32, 277
- Falcke, H., Nagar, N. M., Wilson, A. S., & Ulvestad, J. S. 2000, ApJ, 542, 197
- Farrah, D., Afonso, J., Efstathiou, A., et al. 2003, MNRAS, 343, 585
- Ferrarese, L., Ford, H. C., & Jaffe, W. 1996, ApJ, 470, 444
- Filho, M. E., Barthel, P. D., & Ho, L. C. 2000, ApJS, 129, 93
- Filho, M. E., Barthel, P. D., & Ho, L. C. 2002, ApJS, 142, 223
- Filho, M. E., Fraternali, F., Markoff, S., et al. 2004, A&A, 418, 429
- Filho, M. E., Barthel, P. D., & Ho, L. C. 2006, A&A, 451, 71
- Filippenko, A. V., & Sargent, W. L. W. 1985, ApJS, 57, 503
- Finoguenov, A., & Jones, C. 2001, ApJ, 547, L107
- Flohic, H. M. L. G., Eracleous, M., Chartas, G., Shields, J. C., & Moran, E. C. 2006, ApJ, 647, 140
- Forbes, D. A., Thomson, R. C., Groom, W., & Williger, G. M. 1994, AJ, 107, 1713
- Forman, W., Nulsen, P., Heinz, S., et al. 2005, ApJ, 635, 894
- Franceschini, A., Braito, V., Persic, M., et al. 2003, MNRAS, 343, 1181
- Gallo, L. C., Lehmann, I., Pietsch, W., et al. 2006, MNRAS, 365, 688
- Georgantopoulos, I., & Zezas, A. 2003, ApJ, 594, 704
- Georgantopoulos, I., Panessa, F., Akylas, A., et al. 2002, A&A, 386, 60
- George, I. M., Mushotzky, R. F., Yaqoob, T., et al. 2001, ApJ, 559, 167
- Gliozzi, M., Sambruna, R. M., & Brandt, W. N. 2003, A&A, 408, 949
- Gliozzi, M., Sambruna, R. M., Brandt, W. N., Mushotzky, R., & Eracleous, M. 2004, A&A, 413, 139
- Goldader, J. D., Joseph, R. D., Doyon, R., & Sanders, D. B. 1997, ApJ, 474, 104
- Goncalves, A. C., Veron-Cetty, M.-P., & Veron, P. 1999, A&AS, 135, 437
- Gondoin, P., Orr, A., & Siddiqui, H. 2004, A&A, 420, 905
- Gonzalez-Delgado, R. M., Fernandes, R. C., Perez, E., et al. 2004, ApJ, 605, 127
- Goudfrooij, P., de Jong, T., Hansen, L., & Norgaard-Nielsen, H. U. 1994, MNRAS, 271, 833
- Guainazzi, M., & Bianchi, S. 2007, MNRAS, 374, 1290
- Guainazzi, M., Oosterbroek, T., Antonelli, L. A., & Matt, G. 2000, A&A, 364, L80
- Guainazzi, M., Grandi, P., Comastri, A., & Matt, G. 2003, A&A, 410, 131
- Guainazzi, M., Fabian, A. C., Iwasawa, K., Matt, G., & Fiore, F. 2005a, MNRAS, 356, 295
- Guainazzi, M., Matt, G., & Perola, G. C. 2005b, A&A, 444, 119
- Harris, D. E., Biretta, J. A., & Junor, W. 1997, MNRAS, 284, L21
- Hattori, T., Yoshida, M., Ohtani, H., et al. 2004, AJ, 127, 736
- Ho, L. C., & Ulvestad, J. S. 2001, ApJS, 133, 77
- Ho, L. C., Filippenko, A. V., Sargent, W. L. W., & Peng, C. Y. 1997, ApJS, 112, 391
- Ho, L. C., Feigelson, E. D., Townsley, L. K., et al. 2001, ApJ, 549, L51
- Huchtmeier, W. K., & Richter, O.-G. 1982, A&A, 109, 331
- Hummel, E. 1980, A&AS, 41, 151
- Hummel, E., Kotanyi, C. G., & van Gorkom, J. H. 1986, A&A, 155, 161
- Hummel, E., van der Hulst, J. M., Keel, W. C., & Kennicutt, R. C. 1987, A&AS, 70, 517
- Hutchings, J. B., & Neff, S. G. 1988, AJ, 96, 1575
- Imanishi, M., Dudley, C. C., & Maloney, P. R. 2001, ApJ, 558, L93
- Imanishi, M., Terashima, Y., Anabuki, N., & Nakagawa, T. 2003, ApJ, 596, L167
- Jones, C., Forman, W., Vikhlinin, A., et al. 2002, ApJ, 567, L115
- Jones, D. L. 1984, ApJ, 287, 33
- Kaastra, J. S., Bykov, A. M., Schindler, S., et al. 2008, Space Science Reviews, 134, 1
- Kadler, M., Kerp, J., Ros, E., et al. 2004, A&A, 420, 467
- Kataoka, J., & Stawarz, L. 2005, ApJ, 622, 797
- Keel, W. C. 1983, ApJ, 269, 466
- Khosroshahi, H. G., Jones, L. R., & Ponman, T. J. 2004, MNRAS, 349, 1240
- Komossa, S., Burwitz, V., Hasinger, G., et al. 2003, ApJ, 582, L15
- Kormendy, J. 1988, ApJ, 335, 40
- Körding, E., Colbert, E., & Falcke, H. 2005, A&A, 436, 427
- Lane, W. M., Clarke, T. E., Taylor, G. B., Perley, R. A., & Kassim, N. E. 2004, ApJ, 127, 48
- Lauer, T. R., Faber, S. M., Lynds, R. C., et al. 1992, AJ, 103, 703
- Levenson, N. A., Weaver, K. A., Heckman, T. M., Awaki, H., & Terashima, Y. 2005, ApJ, 618, 167
- Liu, J.-F., & Bregman, J. N. 2005, ApJS, 157, 59
- Loewenstein, M., Mushotzky, R. F., Angelini, L., Arnaud, K. A., & Quataert, E. 2001, ApJ, 555, L21
- Lutz, D., Veilleux, S., & Genzel, R. 1999, ApJL, 517, L13
- Machacek, M. E., Jones, C., & Forman, W. R. 2004, ApJ, 610, 183
- Mahtessian, A. P. 1998, Astrophysics, 41, 308
- Maoz, D., Koratkar, A., Shields, J. C., et al. 1998, AJ, 116, 55
- Maoz, D., Nagar, N. M., Falcke, H., & Wilson, A. S. 2005, ApJ, 625, 699
- Marquez, I., Masegosa, J., Durret, F., et al. 2003, A&A, 409, 459
- Marshall, H. L., Miller, B. P., Davis, D. S., et al. 2002, ApJ, 564, 683
- Morris, R. G., & Fabian, A. C. 2005, MNRAS, 358, 585
- Möllenhoff, C., & Heidt, J. 2001, A&A, 368, 16
- Nagar, N. M., Falcke, H., Wilson, A. S., & Ho, L. C. 2000, ApJ, 542, 186
- Nagar, N. M., Falcke, H., Wilson, A. S., & Ulvestad, J. S. 2002, A&A, 392, 53
- Nagar, N. M., Falcke, H., & Wilson, A. S. 2005, A&A, 435, 521
- Noel-Storr, J., Baum, S. A., Kleijn, G. V., et al. 2003, ApJS, 148, 419
- Nolthenius, R. 1993, ApJS, 85, 1
- O'Sullivan, E., & Ponman, T. J. 2004, MNRAS, 349, 535
- O'Sullivan, E., Forbes, D. A., & Ponman, T. J. 2001, MNRAS, 328, 461
- O'Sullivan, E., Vrtilek, J. M., & Kempner, J. C. 2005, ApJ, 624, L77
- Panessa, F., Bassani, L., Cappi, M., et al. 2006, A&A, 455, 173
- Pellegrini, S. 1994, A&A, 292, 395
- Pellegrini, S., Cappi, M., Bassani, L., della Ceca, R., & Palumbo, G. G. C. 2000, A&A, 360, 878
- Pellegrini, S., Baldi, A., Fabbiano, G., & Kim, D.-W. 2003, ApJ, 597, 175
- Perlman, E. S., Harris, D. E., Biretta, J. A., Sparks, W. B., & Macchetto, F. D. 2003, ApJ, 599, L65
- Pihlstrim, Y. M., Conway, J. E., Booth, R. S., Diamond, P. J., & Polatidis, A. G. 2001, A&A, 377, 413
- Pointecouteau, E., Arnaud, M., & Pratt, G. W. 2005, A&A, 435, 1
- Ptak, A., Heckman, T., Levenson, N. A., Weaver, K., & Strickland, D. 2003, ApJ, 592, 782
- Ptak, A., Terashima, Y., Ho, L. C., & Quataert, E. 2004, ApJ, 606, 173
- Rampazzo, R., Alexander, P., Carignan, C., et al. 2006, MNRAS, 368, 851
- Rauscher, B. J. 1995, AJ, 109, 1608
- Read, A. M. 2003, MNRAS, 342, 715
- Read, A. M., Ponman, T. J., & Strickland, D. K. 1997, MNRAS, 286, 626
- Rinn, A. S., Sambruna, R. M., & Gliozzi, M. 2005, ApJ, 621, 167
- Risaliti, G., Maiolino, R., & Salvati, M. 1999, ApJ, 522, 157
- Roberts, T. P., & Warwick, R. S. 2000, MNRAS, 315, 98
- Roberts, M. S., Hogg, D. E., Bregman, J. N., Forman, W. R., & Jones, C. 1991, ApJS, 75, 751
- Roberts, T. P., Warwick, R. S., & Ohashi, T. 1999, MNRAS, 304, 52
- Roberts, T. P., Schurch, N. J., & Warwick, R. S. 2001, MNRAS, 324, 737
- Sambruna, R. M., Chartas, G., Eracleous, M., Mushotzky, R. F., & Nousek, J. A. 2000, ApJ, 532, L91
- Sambruna, R. M., Gliozzi, M., Eracleous, M., Brandt, W. N., & Mushotzky, R. 2003, ApJL, 586, L37
- Sanders, D. B., Soifer, B. T., Elias, J. H., et al. 1988, ApJ, 325, 74
- Sarazin, C. L., Burns, J. O., Roettiger, K., & McNamara, B. R. 1995, ApJ, 447, 559
- Sarzi, M., Rix, H.-W., Shields, J. C., et al. 2001, ApJ, 550, 65
- Satyapal, S., Sambruna, R. M., & Dudik, R. P. 2004, A&A, 414, 825
- Satyapal, S., Dudik, R. P., O'Halloran, B., & Gliozzi, M. 2005, ApJ, 633, 86
- Scoville, N. Z., Evans, A. S., Thompson, R., et al. 2000, AJ, 119, 991
- Simkin, S. M. 1979, ApJ, 234, 56
- Slee, O. B., Sadler, E. M., Reynolds, J. E., & Ekers, R. D. 1994, MNRAS, 269, 928
- Smith, B. J., Nowak, M., Donahue, M., & Stocke, J. 2003, AJ, 126, 1763
- Sparks, W. B., Wall, J. V., Thorne, D. J., et al. 1985, MNRAS, 217, 87
- Stauffer, J. R. 1982, ApJS, 50, 517
- Stockdale, C. J., Romanishin, W., & Cowan, J. J. 1998, ApJ, 508, L33
- Strickland, D. K., Heckman, T. M., Colbert, E. J. M., Hoopes, C. G., & Weaver, K. A. 2004, ApJS, 151, 193
- Sudou, H., & Taniguchi, Y. 2000, AJ, 120, 697
- Taniguchi, Y., Trentham, N., & Ikeuchi, S. 1999, ApJ, 526, L13
- Taylor, G. B., Sanders, J. S., Fabian, A. C., & Allen, S. W. 2006, MNRAS, 365, 705
- Teng, S. H., Wilson, A. S., Veilleux, S., et al. 2005, ApJ, 633, 664
- Terashima, Y., & Wilson, A. S. 2003, ApJ, 583, 145
- Terashima, Y., Ho, L. C., Ptak, A. F., et al. 2000, ApJ, 533, 729
- Terashima, Y., Iyomoto, N., Ho, L. C., & Ptak, A. F. 2002, ApJS, 139, 1
- Thuan, T. X. 1984, ApJ, 281, 126
- Tremaine, S., Gebhardt, K., Bender, R., et al. 2002, ApJ, 574, 740
- Trinchieri, G., & Goudfrooij, P. 2002, A&A, 386, 472
- Tschöke, D., Hensler, G., & Junkes, N. 1999, A&A, 343, 373
- Tsvetanov, Z. I., Hartig, G. F., Ford, H. C., et al. 1998, ApJ, 493, L83
- Turner, M. J. L., Reeves, J. N., Ponman, T. J., et al. 2001, A&A, 365, L110
- Urry, C. M., & Padovani, P. 1995, PASP, 107, 803
- Venturi, T., Giovannini, G., Feretti, L., Comoretto, G., & Wehrle, A. E. 1993, ApJ, 408, 81
- Vermeulen, R. C., Ros, E., Kellermann, K. I., et al. 2003, A&A, 401, 113
- Wang, J., Heckman, T. M., & Lehnert, M. D. 1997, ApJ, 491, 114
- Wiklind, T., Combes, F., & Henkel, C. 1995, A&A, 297, 643
- Wilson, A. S., Braatz, J. A., & Henkel, C. 1995, ApJ, 455, L127
- Wise, M. W., McNamara, B. R., Nulsen, P. E. J., Houck, J. C., & David, L. P. 2007, ApJ, 659, 1153
- Worrall, D. M., Birkinshaw, M., & Hardcastle, M. J. 2003, MNRAS, 343, L73
- Worrall, D. M., Birkinshaw, M., Laing, R. A., Cotton, W. D., & Bridle, A. H. 2007, MNRAS, 380, 2
- Wrobel, J. M., & Heeschen, D. S. 1991, AJ, 101, 148
- Xia, X. Y., Xue, S. J., Mao, S., et al. 2002, ApJ, 564, 196
- Xu, C., Baum, S. A., O'Dea, C. P., Wrobel, J. M., & Condon, J. J. 2000, AJ, 120, 2950
- Xu, H., Kahn, S. M., Peterson, J. R., et al. 2002, ApJ, 579, 600
- Xu, Y., Xu, H., Zhang, Z., et al. 2005, ApJ, 631, 809
- Zezas, A., Birkinshaw, M., Worrall, D. M., Peters, A., & Fabbiano, G. 2005, ApJ, 627, 711
- Zwicky, F., Herzog, E., & Wild, P. 1961, Catalogue of galaxies and of clusters of galaxies, Vol. I (Pasadena: California Institute of Technology (CIT), |c1961)
Appendix C: Catalogue of LINER images
![]() |
Figure C.1: NGC 0315 |
Open with DEXTER |
![]() |
Figure C.2: NGC 0410 (XMM-Newton) |
Open with DEXTER |
![]() |
Figure C.3: NGC 0474 |
Open with DEXTER |
![]() |
Figure C.4: IIIZW 035 |
Open with DEXTER |
![]() |
Figure C.5: NGC 0524 |
Open with DEXTER |
![]() |
Figure C.6: NGC 0833 |
Open with DEXTER |
![]() |
Figure C.7: NGC 0835 |
Open with DEXTER |
![]() |
Figure C.8: NGC1052 |
Open with DEXTER |
![]() |
Figure C.9: NGC 2639 (XMM-Newton) |
Open with DEXTER |
![]() |
Figure C.10: NGC 2655 (XMM-Newton) |
Open with DEXTER |
![]() |
Figure C.11: NGC 2681 |
Open with DEXTER |
![]() |
Figure C.12: NGC 2685 (XMM-Newton) |
Open with DEXTER |
![]() |
Figure C.13: UGC 4881 |
Open with DEXTER |
![]() |
Figure C.14: 3C 218 |
Open with DEXTER |
![]() |
Figure C.15: NGC 2787 |
Open with DEXTER |
![]() |
Figure C.16: NGC 2841 |
Open with DEXTER |
![]() |
Figure C.17: UGC 05101 |
Open with DEXTER |
![]() |
Figure C.18: NGC 3185 (XMM-Newton) |
Open with DEXTER |
![]() |
Figure C.19: NGC 3226 |
Open with DEXTER |
![]() |
Figure C.20: NGC 3245 |
Open with DEXTER |
![]() |
Figure C.21: NGC 3379 |
Open with DEXTER |
![]() |
Figure C.22: NGC 3414 |
Open with DEXTER |
![]() |
Figure C.23: NGC 3507 |
Open with DEXTER |
![]() |
Figure C.24: NGC 3607 |
Open with DEXTER |
![]() |
Figure C.25: NGC 3608 |
Open with DEXTER |
![]() |
Figure C.26: NGC 3623 (XMM-Newton) |
Open with DEXTER |
![]() |
Figure C.27: NGC 3627 (XMM-Newton) |
Open with DEXTER |
![]() |
Figure C.28: NGC 3628 |
Open with DEXTER |
![]() |
Figure C.29: NGC 3690B |
Open with DEXTER |
![]() |
Figure C.30: NGC 3898 |
Open with DEXTER |
![]() |
Figure C.31: NGC 3945 |
Open with DEXTER |
![]() |
Figure C.32: NGC 3998 |
Open with DEXTER |
![]() |
Figure C.33: NGC 4036 |
Open with DEXTER |
![]() |
Figure C.34: NGC 4111 |
Open with DEXTER |
![]() |
Figure C.35: NGC 4125 |
Open with DEXTER |
![]() |
Figure C.36: IRAS 12112+0305 (XMM-Newton) |
Open with DEXTER |
![]() |
Figure C.37: NGC 4261 |
Open with DEXTER |
![]() |
Figure C.38: NGC 4278 |
Open with DEXTER |
![]() |
Figure C.39: NGC 4314 |
Open with DEXTER |
![]() |
Figure C.40: NGC 4321 |
Open with DEXTER |
![]() |
Figure C.41: NGC 4374 |
Open with DEXTER |
![]() |
Figure C.42: NGC 4410A |
Open with DEXTER |
![]() |
Figure C.43: NGC 4438 |
Open with DEXTER |
![]() |
Figure C.44: NGC 4457 |
Open with DEXTER |
![]() |
Figure C.45: NGC 4459 |
Open with DEXTER |
![]() |
Figure C.46: NGC 4486 |
Open with DEXTER |
![]() |
Figure C.47: NGC 4494 |
Open with DEXTER |
![]() |
Figure C.48: NGC 4552 |
Open with DEXTER |
![]() |
Figure C.49: NGC 4589 |
Open with DEXTER |
![]() |
Figure C.50: NGC 4579 |
Open with DEXTER |
![]() |
Figure C.51: NGC 4596 |
Open with DEXTER |
![]() |
Figure C.52: NGC 4594 |
Open with DEXTER |
![]() |
Figure C.53: NGC 4636 |
Open with DEXTER |
![]() |
Figure C.54: NGC 4676A |
Open with DEXTER |
![]() |
Figure C.55: NGC 4676B |
Open with DEXTER |
![]() |
Figure C.56: NGC 4698 |
Open with DEXTER |
![]() |
Figure C.57: NGC 4696 |
Open with DEXTER |
![]() |
Figure C.58: NGC 4736 |
Open with DEXTER |
![]() |
Figure C.59: NGC 5005 (XMM-Newton) |
Open with DEXTER |
![]() |
Figure C.60: NGC 5055 |
Open with DEXTER |
![]() |
Figure C.61: MRK 266NE |
Open with DEXTER |
![]() |
Figure C.62: UGC 08696 |
Open with DEXTER |
![]() |
Figure C.63: CGCG 162-010 |
Open with DEXTER |
![]() |
Figure C.64: NGC 5363 (XMM-Newton) |
Open with DEXTER |
![]() |
Figure C.65: IC 4395 (XMM-Newton) |
Open with DEXTER |
![]() |
Figure C.66: IRAS 14348-1447 |
Open with DEXTER |
![]() |
Figure C.67: NGC 5746 |
Open with DEXTER |
![]() |
Figure C.68: NGC 5813 |
Open with DEXTER |
![]() |
Figure C.69: NGC 5838 |
Open with DEXTER |
![]() |
Figure C.70: NGC 5846 |
Open with DEXTER |
![]() |
Figure C.71: NGC 5866 |
Open with DEXTER |
![]() |
Figure C.72: Mkn 848 |
Open with DEXTER |
![]() |
Figure C.73: NGC 6251 |
Open with DEXTER |
![]() |
Figure C.74: NGC 6240 |
Open with DEXTER |
![]() |
Figure C.75: IRAS 17208-0014 |
Open with DEXTER |
![]() |
Figure C.76: NGC 6482 |
Open with DEXTER |
![]() |
Figure C.77: NGC 7130 |
Open with DEXTER |
![]() |
Figure C.78: NGC 7285 (XMM-Newton) |
Open with DEXTER |
![]() |
Figure C.79: NGC 7331 |
Open with DEXTER |
![]() |
Figure C.80: IC 1459 |
Open with DEXTER |
![]() |
Figure C.81: NPM1G -12.0625 |
Open with DEXTER |
![]() |
Figure C.82: NGC 7743 (XMM-Newton) |
Open with DEXTER |
Appendix D: Catalogue of spectra with Chandra data
![]() |
Figure D.1: Spectral fits of NGC0315. (Top-left): Thermal model (MEKAL), (Top-right): Power-law model, (Center-left): Power-law plus thermal model, (Center-right): Two power-law model, (Bottom): Two power-law plus thermal model. |
Open with DEXTER |
![]() |
Figure D.2: Spectral fits of NGC0833. (Top-left): Thermal model (MEKAL), (Top-right): Power-law model, (Center-left): Power-law plus thermal model, (Center-right): Two power-law model, (Bottom): Two power-law plus thermal model. |
Open with DEXTER |
![]() |
Figure D.3: Spectral fits of NGC0835. (Top-left): Thermal model (MEKAL), (Top-right): Power-law model, (Center-left): Power-law plus thermal model, (Center-right): Two power-law model, (Bottom): Two power-law plus thermal model. |
Open with DEXTER |
![]() |
Figure D.4: Spectral fits of NGC1052. (Top-left): Thermal model (MEKAL), (Top-right): Power-law model, (Center-left): Power-law plus thermal model, (Center-right): Two power-law model, (Bottom): Two power-law plus thermal model. |
Open with DEXTER |
![]() |
Figure D.5: Spectral fits of NGC2681. (Top-left): Thermal model (MEKAL), (Top-right): Power-law model, (Center-left): Power-law plus thermal model, (Center-right): Two power-law model, (Bottom): Two power-law plus thermal model. |
Open with DEXTER |
![]() |
Figure D.6: Spectral fits of 3C218. (Top-left): Thermal model (MEKAL), (Top-right): Power-law model, (Center-left): Power-law plus thermal model, (Center-right): Two power-law model, (Bottom): Two power-law plus thermal model. |
Open with DEXTER |
![]() |
Figure D.7: Spectral fits of NGC2787. (Top-left): Thermal model (MEKAL), (Top-right): Power-law model, (Center-left): Power-law plus thermal model, (Center-right): Two power-law model, (Bottom): Two power-law plus thermal model. |
Open with DEXTER |
![]() |
Figure D.8: Spectral fits of UGC05101. (Top-left): Thermal model (MEKAL), (Top-right): Power-law model, (Center-left): Power-law plus thermal model, (Center-right): Two power-law model, (Bottom): Two power-law plus thermal model. |
Open with DEXTER |
![]() |
Figure D.9: Spectral fits of UGC5959. (Top-left): Thermal model (MEKAL), (Top-right): Power-law model, (Center-left): Power-law plus thermal model, (Center-right): Two power-law model, (Bottom): Two power-law plus thermal model. |
Open with DEXTER |
![]() |
Figure D.10: Spectral fits of NGC3507. (Top-left): Thermal model (MEKAL), (Top-right): Power-law model, (Center-left): Power-law plus thermal model, (Center-right): Two power-law model, (Bottom): Two power-law plus thermal model. |
Open with DEXTER |
![]() |
Figure D.11: Spectral fits of NGC3690. (Top-left): Thermal model (MEKAL), (Top-right): Power-law model, (Center-left): Power-law plus thermal model, (Center-right): Two power-law model, (Bottom): Two power-law plus thermal model. |
Open with DEXTER |
![]() |
Figure D.12: Spectral fits of NGC3898. (Top-left): Thermal model (MEKAL), (Top-right): Power-law model, (Center-left): Power-law plus thermal model, (Center-right): Two power-law model, (Bottom): Two power-law plus thermal model. |
Open with DEXTER |
![]() |
Figure D.13: Spectral fits of UGC6860. (Top-left): Thermal model (MEKAL), (Top-right): Power-law model, (Center-left): Power-law plus thermal model, (Center-right): Two power-law model, (Bottom): Two power-law plus thermal model. |
Open with DEXTER |
![]() |
Figure D.14: Spectral fits of UGC6946. (Top-left): Thermal model (MEKAL), (Top-right): Power-law model, (Center-left): Power-law plus thermal model, (Center-right): Two power-law model, (Bottom): Two power-law plus thermal model. |
Open with DEXTER |
![]() |
Figure D.15: Spectral fits of NGC4111. (Top-left): Thermal model (MEKAL), (Top-right): Power-law model, (Center-left): Power-law plus thermal model, (Center-right): Two power-law model, (Bottom): Two power-law plus thermal model. |
Open with DEXTER |
![]() |
Figure D.16: Spectral fits of NGC4125. (Top-left): Thermal model (MEKAL), (Top-right): Power-law model, (Center-left): Power-law plus thermal model, (Center-right): Two power-law model, (Bottom): Two power-law plus thermal model. |
Open with DEXTER |
![]() |
Figure D.17: Spectral fits of NGC4261. (Top-left): Thermal model (MEKAL), (Top-right): Power-law model, (Center-left): Power-law plus thermal model, (Center-right): Two power-law model, (Bottom): Two power-law plus thermal model. |
Open with DEXTER |
![]() |
Figure D.18: Spectral fits of NGC4278. (Top-left): Thermal model (MEKAL), (Top-right): Power-law model, (Center-left): Power-law plus thermal model, (Center-right): Two power-law model, (Bottom): Two power-law plus thermal model. |
Open with DEXTER |
![]() |
Figure D.19: Spectral fits of NGC4321. (Top-left): Thermal model (MEKAL), (Top-right): Power-law model, (Center-left): Power-law plus thermal model, (Center-right): Two power-law model, (Bottom): Two power-law plus thermal model. |
Open with DEXTER |
![]() |
Figure D.20: Spectral fits of NGC4374. (Top-left): Thermal model (MEKAL), (Top-right): Power-law model, (Center-left): Power-law plus thermal model, (Center-right): Two power-law model, (Bottom): Two power-law plus thermal model. |
Open with DEXTER |
![]() |
Figure D.21: Spectral fits of NGC4410. (Top-left): Thermal model (MEKAL), (Top-right): Power-law model, (Center-left): Power-law plus thermal model, (Center-right): Two power-law model, (Bottom): Two power-law plus thermal model. |
Open with DEXTER |
![]() |
Figure D.22: Spectral fits of NGC4438. (Top-left): Thermal model (MEKAL), (Top-right): Power-law model, (Center-left): Power-law plus thermal model, (Center-right): Two power-law model, (Bottom): Two power-law plus thermal model. |
Open with DEXTER |
![]() |
Figure D.23: Spectral fits of NGC4457. (Top-left): Thermal model (MEKAL), (Top-right): Power-law model, (Center-left): Power-law plus thermal model, (Center-right): Two power-law model, (Bottom): Two power-law plus thermal model. |
Open with DEXTER |
![]() |
Figure D.24: Spectral fits of NGC4486. (Top-left): Thermal model (MEKAL), (Top-right): Power-law model, (Center-left): Power-law plus thermal model, (Center-right): Two power-law model, (Bottom): Two power-law plus thermal model. |
Open with DEXTER |
![]() |
Figure D.25: Spectral fits of NGC4494. (Top-left): Thermal model (MEKAL), (Top-right): Power-law model, (Center-left): Power-law plus thermal model, (Center-right): Two power-law model, (Bottom): Two power-law plus thermal model. |
Open with DEXTER |
![]() |
Figure D.26: Spectral fits of NGC4552. (Top-left): Thermal model (MEKAL), (Top-right): Power-law model, (Center-left): Power-law plus thermal model, (Center-right): Two power-law model, (Bottom): Two power-law plus thermal model. |
Open with DEXTER |
![]() |
Figure D.27: Spectral fits of NGC4579. (Top-left): Thermal model (MEKAL), (Top-right): Power-law model, (Center-left): Power-law plus thermal model, (Center-right): Two power-law model, (Bottom): Two power-law plus thermal model. |
Open with DEXTER |
![]() |
Figure D.28: Spectral fits of NGC4594. (Top-left): Thermal model (MEKAL), (Top-right): Power-law model, (Center-left): Power-law plus thermal model, (Center-right): Two power-law model, (Bottom): Two power-law plus thermal model. |
Open with DEXTER |
![]() |
Figure D.29: Spectral fits of NGC4696. (Top-left): Thermal model (MEKAL), (Top-right): Power-law model, (Center-left): Power-law plus thermal model, (Center-right): Two power-law model, (Bottom): Two power-law plus thermal model. |
Open with DEXTER |
![]() |
Figure D.30: Spectral fits of NGC4736. (Top-left): Thermal model (MEKAL), (Top-right): Power-law model, (Center-left): Power-law plus thermal model, (Center-right): Two power-law model, (Bottom): Two power-law plus thermal model. |
Open with DEXTER |
![]() |
Figure D.31: Spectral fits of NGC5055. (Top-left): Thermal model (MEKAL), (Top-right): Power-law model, (Center-left): Power-law plus thermal model, (Center-right): Two power-law model, (Bottom): Two power-law plus thermal model. |
Open with DEXTER |
![]() |
Figure D.32: Spectral fits of NGC5194. (Top-left): Thermal model (MEKAL), (Top-right): Power-law model, (Center-left): Power-law plus thermal model, (Center-right): Two power-law model, (Bottom): Two power-law plus thermal model. |
Open with DEXTER |
![]() |
Figure D.33: Spectral fits of MRK266NE. (Top-left): Thermal model (MEKAL), (Top-right): Power-law model, (Center-left): Power-law plus thermal model, (Center-right): Two power-law model, (Bottom): Two power-law plus thermal model. |
Open with DEXTER |
![]() |
Figure D.34: Spectral fits of UGC08696. (Top-left): Thermal model (MEKAL), (Top-right): Power-law model, (Center-left): Power-law plus thermal model, (Center-right): Two power-law model, (Bottom): Two power-law plus thermal model. |
Open with DEXTER |
![]() |
Figure D.35: Spectral fits of CGCG162-010. (Top-left): Thermal model (MEKAL), (Top-right): Power-law model, (Center-left): Power-law plus thermal model, (Center-right): Two power-law model, (Bottom): Two power-law plus thermal model. |
Open with DEXTER |
![]() |
Figure D.36: Spectral fits of NGC5746. (Top-left): Thermal model (MEKAL), (Top-right): Power-law model, (Center-left): Power-law plus thermal model, (Center-right): Two power-law model, (Bottom): Two power-law plus thermal model. |
Open with DEXTER |
![]() |
Figure D.37: Spectral fits of NGC5813. (Top-left): Thermal model (MEKAL), (Top-right): Power-law model, (Center-left): Power-law plus thermal model, (Center-right): Two power-law model, (Bottom): Two power-law plus thermal model. |
Open with DEXTER |
![]() |
Figure D.38: Spectral fits of NGC5846. (Top-left): Thermal model (MEKAL), (Top-right): Power-law model, (Center-left): Power-law plus thermal model, (Center-right): Two power-law model, (Bottom): Two power-law plus thermal model. |
Open with DEXTER |
![]() |
Figure D.39: Spectral fits of NGC6251. (Top-left): Thermal model (MEKAL), (Top-right): Power-law model, (Center-left): Power-law plus thermal model, (Center-right): Two power-law model, (Bottom): Two power-law plus thermal model. |
Open with DEXTER |
![]() |
Figure D.40: Spectral fits of NGC6240. (Top-left): Thermal model (MEKAL), (Top-right): Power-law model, (Center-left): Power-law plus thermal model, (Center-right): Two power-law model, (Bottom): Two power-law plus thermal model. |
Open with DEXTER |
![]() |
Figure D.41: Spectral fits of IRAS 17208-0014. (Top-left): Thermal model (MEKAL), (Top-right): Power-law model, (Center-left): Power-law plus thermal model, (Center-right): Two power-law model, (Bottom): Two power-law plus thermal model. |
Open with DEXTER |
![]() |
Figure D.42: Spectral fits of NGC6482. (Top-left): Thermal model (MEKAL), (Top-right): Power-law model, (Center-left): Power-law plus thermal model, (Center-right): Two power-law model, (Bottom): Two power-law plus thermal model. |
Open with DEXTER |
![]() |
Figure D.43: Spectral fits of NGC7130. (Top-left): Thermal model (MEKAL), (Top-right): Power-law model, (Center-left): Power-law plus thermal model, (Center-right): Two power-law model, (Bottom): Two power-law plus thermal model. |
Open with DEXTER |
![]() |
Figure D.44: Spectral fits of IC1459. (Top-left): Thermal model (MEKAL), (Top-right): Power-law model, (Center-left): Power-law plus thermal model, (Center-right): Two power-law model, (Bottom): Two power-law plus thermal model. |
Open with DEXTER |
![]() |
Figure D.45: Spectral fits of NPM1G -12.0625. (Top-left): Thermal model (MEKAL), (Top-right): Power-law model, (Center-left): Power-law plus thermal model, (Center-right): Two power-law model, (Bottom): Two power-law plus thermal model. |
Open with DEXTER |
Appendix E: Catalogue of spectra with XMM-Newton data
![]() |
Figure E.1: Spectral fits of NGC315. (Top-left): Thermal model (MEKAL), (Top-right): Power-law model, (Center-left): Power-law plus thermal model, (Center-right): Two power-law model, (Bottom): Two power-law plus thermal model. |
Open with DEXTER |
![]() |
Figure E.2: Spectral fits of NGC410. (Top-left): Thermal model (MEKAL), (Top-right): Power-law model, (Center-left): Power-law plus thermal model, (Center-right): Two power-law model, (Bottom): Two power-law plus thermal model. |
Open with DEXTER |
![]() |
Figure E.3: Spectral fits of NGC835. (Top-left): Thermal model (MEKAL), (Top-right): Power-law model, (Center-left): Power-law plus thermal model, (Center-right): Two power-law model, (Bottom): Two power-law plus thermal model. |
Open with DEXTER |
![]() |
Figure E.4: Spectral fits of NGC1052. (Top-left): Thermal model (MEKAL), (Top-right): Power-law model, (Center-left): Power-law plus thermal model, (Center-right): Two power-law model, (Bottom): Two power-law plus thermal model. |
Open with DEXTER |
![]() |
Figure E.5: Spectral fits of NGC2639. (Top-left): Thermal model (MEKAL), (Top-right): Power-law model, (Center-left): Power-law plus thermal model, (Center-right): Two power-law model, (Bottom): Two power-law plus thermal model. |
Open with DEXTER |
![]() |
Figure E.6: Spectral fits of NGC2655. (Top-left): Thermal model (MEKAL), (Top-right): Power-law model, (Center-left): Power-law plus thermal model, (Center-right): Two power-law model, (Bottom): Two power-law plus thermal model. |
Open with DEXTER |
![]() |
Figure E.7: Spectral fits of UGC4881. (Top-left): Thermal model (MEKAL), (Top-right): Power-law model, (Center-left): Power-law plus thermal model, (Center-right): Two power-law model, (Bottom): Two power-law plus thermal model. |
Open with DEXTER |
![]() |
Figure E.8: Spectral fits of HydraA. (Top-left): Thermal model (MEKAL), (Top-right): Power-law model, (Center-left): Power-law plus thermal model, (Center-right): Two power-law model, (Bottom): Two power-law plus thermal model. |
Open with DEXTER |
![]() |
Figure E.9: Spectral fits of NGC2787. (Top-left): Thermal model (MEKAL), (Top-right): Power-law model, (Center-left): Power-law plus thermal model, (Center-right): Two power-law model, (Bottom): Two power-law plus thermal model. |
Open with DEXTER |
![]() |
Figure E.10: Spectral fits of NGC2841. (Top-left): Thermal model (MEKAL), (Top-right): Power-law model, (Center-left): Power-law plus thermal model, (Center-right): Two power-law model, (Bottom): Two power-law plus thermal model. |
Open with DEXTER |
![]() |
Figure E.11: Spectral fits of UGC05101. (Top-left): Thermal model (MEKAL), (Top-right): Power-law model, (Center-left): Power-law plus thermal model, (Center-right): Two power-law model, (Bottom): Two power-law plus thermal model. |
Open with DEXTER |
![]() |
Figure E.12: Spectral fits of MCG -5-23-16. (Top-left): Thermal model (MEKAL), (Top-right): Power-law model, (Center-left): Power-law plus thermal model, (Center-right): Two power-law model, (Bottom): Two power-law plus thermal model. |
Open with DEXTER |
![]() |
Figure E.13: Spectral fits of NGC3226. (Top-left): Thermal model (MEKAL), (Top-right): Power-law model, (Center-left): Power-law plus thermal model, (Center-right): Two power-law model, (Bottom): Two power-law plus thermal model. |
Open with DEXTER |
![]() |
Figure E.14: Spectral fits of NGC3628. (Top-left): Thermal model (MEKAL), (Top-right): Power-law model, (Center-left): Power-law plus thermal model, (Center-right): Two power-law model, (Bottom): Two power-law plus thermal model. |
Open with DEXTER |
![]() |
Figure E.15: Spectral fits of NGC3690. (Top-left): Thermal model (MEKAL), (Top-right): Power-law model, (Center-left): Power-law plus thermal model, (Center-right): Two power-law model, (Bottom): Two power-law plus thermal model. |
Open with DEXTER |
![]() |
Figure E.16: Spectral fits of NGC3998. (Top-left): Thermal model (MEKAL), (Top-right): Power-law model, (Center-left): Power-law plus thermal model, (Center-right): Two power-law model, (Bottom): Two power-law plus thermal model. |
Open with DEXTER |
![]() |
Figure E.17: Spectral fits of NGC4125. (Top-left): Thermal model (MEKAL), (Top-right): Power-law model, (Center-left): Power-law plus thermal model, (Center-right): Two power-law model, (Bottom): Two power-law plus thermal model. |
Open with DEXTER |
![]() |
Figure E.18: Spectral fits of NGC4261. (Top-left): Thermal model (MEKAL), (Top-right): Power-law model, (Center-left): Power-law plus thermal model, (Center-right): Two power-law model, (Bottom): Two power-law plus thermal model. |
Open with DEXTER |
![]() |
Figure E.19: Spectral fits of NGC4278. (Top-left): Thermal model (MEKAL), (Top-right): Power-law model, (Center-left): Power-law plus thermal model, (Center-right): Two power-law model, (Bottom): Two power-law plus thermal model. |
Open with DEXTER |
![]() |
Figure E.20: Spectral fits of NGC4314. (Top-left): Thermal model (MEKAL), (Top-right): Power-law model, (Center-left): Power-law plus thermal model, (Center-right): Two power-law model, (Bottom): Two power-law plus thermal model. |
Open with DEXTER |
![]() |
Figure E.21: Spectral fits of NGC4321. (Top-left): Thermal model (MEKAL), (Top-right): Power-law model, (Center-left): Power-law plus thermal model, (Center-right): Two power-law model, (Bottom): Two power-law plus thermal model. |
Open with DEXTER |
![]() |
Figure E.22: Spectral fits of NGC4486. (Top-left): Thermal model (MEKAL), (Top-right): Power-law model, (Center-left): Power-law plus thermal model, (Center-right): Two power-law model, (Bottom): Two power-law plus thermal model. |
Open with DEXTER |
![]() |
Figure E.23: Spectral fits of NGC4494. (Top-left): Thermal model (MEKAL), (Top-right): Power-law model, (Center-left): Power-law plus thermal model, (Center-right): Two power-law model, (Bottom): Two power-law plus thermal model. |
Open with DEXTER |
![]() |
Figure E.24: Spectral fits of NGC4552. (Top-left): Thermal model (MEKAL), (Top-right): Power-law model, (Center-left): Power-law plus thermal model, (Center-right): Two power-law model, (Bottom): Two power-law plus thermal model. |
Open with DEXTER |
![]() |
Figure E.25: Spectral fits of NGC4579. (Top-left): Thermal model (MEKAL), (Top-right): Power-law model, (Center-left): Power-law plus thermal model, (Center-right): Two power-law model, (Bottom): Two power-law plus thermal model. |
Open with DEXTER |
![]() |
Figure E.26: Spectral fits of NGC4594. (Top-left): Thermal model (MEKAL), (Top-right): Power-law model, (Center-left): Power-law plus thermal model, (Center-right): Two power-law model, (Bottom): Two power-law plus thermal model. |
Open with DEXTER |
![]() |
Figure E.27: Spectral fits of NGC4636. (Top-left): Thermal model (MEKAL), (Top-right): Power-law model, (Center-left): Power-law plus thermal model, (Center-right): Two power-law model, (Bottom): Two power-law plus thermal model. |
Open with DEXTER |
![]() |
Figure E.28: Spectral fits of NGC4736. (Top-left): Thermal model (MEKAL), (Top-right): Power-law model, (Center-left): Power-law plus thermal model, (Center-right): Two power-law model, (Bottom): Two power-law plus thermal model. |
Open with DEXTER |
![]() |
Figure E.29: Spectral fits of NGC5005. (Top-left): Thermal model (MEKAL), (Top-right): Power-law model, (Center-left): Power-law plus thermal model, (Center-right): Two power-law model, (Bottom): Two power-law plus thermal model. |
Open with DEXTER |
![]() |
Figure E.30: Spectral fits of NGC5194. (Top-left): Thermal model (MEKAL), (Top-right): Power-law model, (Center-left): Power-law plus thermal model, (Center-right): Two power-law model, (Bottom): Two power-law plus thermal model. |
Open with DEXTER |
![]() |
Figure E.31: Spectral fits of Mrk266SW. (Top-left): Thermal model (MEKAL), (Top-right): Power-law model, (Center-left): Power-law plus thermal model, (Center-right): Two power-law model, (Bottom): Two power-law plus thermal model. |
Open with DEXTER |
![]() |
Figure E.32: Spectral fits of UGC08696. (Top-left): Thermal model (MEKAL), (Top-right): Power-law model, (Center-left): Power-law plus thermal model, (Center-right): Two power-law model, (Bottom): Two power-law plus thermal model. |
Open with DEXTER |
![]() |
Figure E.33: Spectral fits of CGCG162-010. (Top-left): Thermal model (MEKAL), (Top-right): Power-law model, (Center-left): Power-law plus thermal model, (Center-right): Two power-law model, (Bottom): Two power-law plus thermal model. |
Open with DEXTER |
![]() |
Figure E.34: Spectral fits of NGC5363. (Top-left): Thermal model (MEKAL), (Top-right): Power-law model, (Center-left): Power-law plus thermal model, (Center-right): Two power-law model, (Bottom): Two power-law plus thermal model. |
Open with DEXTER |
![]() |
Figure E.35: Spectral fits of IC4395. (Top-left): Thermal model (MEKAL), (Top-right): Power-law model, (Center-left): Power-law plus thermal model, (Center-right): Two power-law model, (Bottom): Two power-law plus thermal model. |
Open with DEXTER |
![]() |
Figure E.36: Spectral fits of IRAS 14348-1447. (Top-left): Thermal model (MEKAL), (Top-right): Power-law model, (Center-left): Power-law plus thermal model, (Center-right): Two power-law model, (Bottom): Two power-law plus thermal model. |
Open with DEXTER |
![]() |
Figure E.37: Spectral fits of NGC5813. (Top-left): Thermal model (MEKAL), (Top-right): Power-law model, (Center-left): Power-law plus thermal model, (Center-right): Two power-law model, (Bottom): Two power-law plus thermal model. |
Open with DEXTER |
![]() |
Figure E.38: Spectral fits of NGC5846. (Top-left): Thermal model (MEKAL), (Top-right): Power-law model, (Center-left): Power-law plus thermal model, (Center-right): Two power-law model, (Bottom): Two power-law plus thermal model. |
Open with DEXTER |
![]() |
Figure E.39: Spectral fits of Mkn848. (Top-left): Thermal model (MEKAL), (Top-right): Power-law model, (Center-left): Power-law plus thermal model, (Center-right): Two power-law model, (Bottom): Two power-law plus thermal model. |
Open with DEXTER |
![]() |
Figure E.40: Spectral fits of NGC6251. (Top-left): Thermal model (MEKAL), (Top-right): Power-law model, (Center-left): Power-law plus thermal model, (Center-right): Two power-law model, (Bottom): Two power-law plus thermal model. |
Open with DEXTER |
![]() |
Figure E.41: Spectral fits of NGC6240. (Top-left): Thermal model (MEKAL), (Top-right): Power-law model, (Center-left): Power-law plus thermal model, (Center-right): Two power-law model, (Bottom): Two power-law plus thermal model. |
Open with DEXTER |
![]() |
Figure E.42: Spectral fits of IRAS 17208-0014. (Top-left): Thermal model (MEKAL), (Top-right): Power-law model, (Center-left): Power-law plus thermal model, (Center-right): Two power-law model, (Bottom): Two power-law plus thermal model. |
Open with DEXTER |
![]() |
Figure E.43: Spectral fits of NGC6482. (Top-left): Thermal model (MEKAL), (Top-right): Power-law model, (Center-left): Power-law plus thermal model, (Center-right): Two power-law model, (Bottom): Two power-law plus thermal model. |
Open with DEXTER |
![]() |
Figure E.44: Spectral fits of NGC7285. (Top-left): Thermal model (MEKAL), (Top-right): Power-law model, (Center-left): Power-law plus thermal model, (Center-right): Two power-law model, (Bottom): Two power-law plus thermal model. |
Open with DEXTER |
![]() |
Figure E.45: Spectral fits of IC1459. (Top-left): Thermal model (MEKAL), (Top-right): Power-law model, (Center-left): Power-law plus thermal model, (Center-right): Two power-law model, (Bottom): Two power-law plus thermal model. |
Open with DEXTER |
![]() |
Figure E.46: Spectral fits of NPM1G -12.0625. (Top-left): Thermal model (MEKAL), (Top-right): Power-law model, (Center-left): Power-law plus thermal model, (Center-right): Two power-law model, (Bottom): Two power-law plus thermal model. |
Open with DEXTER |
![]() |
Figure E.47: Spectral fits of NGC7743. (Top-left): Thermal model (MEKAL), (Top-right): Power-law model, (Center-left): Power-law plus thermal model, (Center-right): Two power-law model, (Bottom): Two power-law plus thermal model. |
Open with DEXTER |
Appendix F: DSS images of LINERs in 150 kpc-side boxes
![]() |
Figure F.1: Images from the Digital Sky Survey showing boxes of 150 kpc on a side, based on distances provided in Table 1. The red circle indicates de 25'' extraction region for XMM-Newton spectra. Galaxies with label numbers from 1 to 6. |
Open with DEXTER |
![]() |
Figure F.2: Same as F.1 but for galaxies with label numbers from 7 to 12 |
Open with DEXTER |
![]() |
Figure F.3: Same as F.1 but for galaxies with label numbers from 13 to 18 |
Open with DEXTER |
![]() |
Figure F.4: Same as F.1 but for galaxies with label numbers from 19 to 24 |
Open with DEXTER |
![]() |
Figure F.5: Same as F.1 but for galaxies with label numbers from 25 to 30 |
Open with DEXTER |
![]() |
Figure F.6: Same as F.1 but for galaxies with label numbers from 31 to 36 |
Open with DEXTER |
![]() |
Figure F.7: Same as F.1 but for galaxies with label numbers from 37 to 42 |
Open with DEXTER |
![]() |
Figure F.8: Same as F.1 but for galaxies with label numbers from 43 to 48 |
Open with DEXTER |
![]() |
Figure F.9: Same as F.1 but for galaxies with label numbers from 49 to 54 |
Open with DEXTER |
![]() |
Figure F.10: Same as F.1 but for galaxies with label numbers from 55 to 60 |
Open with DEXTER |
![]() |
Figure F.11: Same as F.1 but for galaxies with label numbers from 61 to 66 |
Open with DEXTER |
![]() |
Figure F.12: Same as F.1 but for galaxies with label numbers from 67 to 72 |
Open with DEXTER |
![]() |
Figure F.13: Same as F.1 but for galaxies with label numbers from 73 to 78 |
Open with DEXTER |
![]() |
Figure F.14: Same as F.1 but for galaxies with label numbers from 79 to 82 |
Open with DEXTER |
Footnotes
- ... data
- Tables 1 to 15, and Appendices are only available in electronic form at http://www.aanda.org
- ...
MCL
- MCL includes most LINER galaxies known through 1999. It provides information on broad band and monochromatic emission from radio to X-ray frequencies for 476 objects classified as LINERs.
- ...
HEASARC
- http://heasarc.gsfc.nasa.gov/
- ...
galaxies
- Main properties extracted from the RC3 catalogue.
- ... line
- The most common emission features in the 2-10 keV band of AGN spectra are those of iron between 6.4 and 6.97 keV.
- ...
hyperleda
- http://leda.univ-lyon1.fr/
- ...
GM+06
- Note that the non-AGN class corresponds to SB class in GM+06.
- ... emission
- 2PL and ME2PL were not explored since they do not have a physical correspondence in the model of the diffuse emission.
- ...
(NGC 4457
- Note that its temperature range falls within the range of high temperature objects.
- ...
detected
- Note that the non detection might be due to low S/N level of the data.
- ... AGN,
- However, both galaxies are found in the comparative sample of starburst galaxies in Satyapal et al. (2004)
- ...Finoguenov & Jones
(2001)
- See also Kataoka & Stawarz (2005) for the analysis of the two extra-nuclear knots.
All Tables
Table 1: Summary of the general properties of our LINER sample.
Table 2:
Observational details.
Table 3: F-test applied to the Chandra data fits.
Table 4: F-test applied to the XMM-Newton data fits.
Table 5:
Observed fluxes and absorption corrected luminosities with Chandra data.
Table 6: Observed fluxes and absorption corrected luminosities with XMM-Newton data.
Table 7: Final compilation of bestfit models for the LINER sample.
Table 8: Final compilation of observed fluxes and absorption corrected luminosities for the LINER sample.
Table 9: Number of objects per spectral model best fit.
Table 10: Median and standard deviation properties for the final compilation of our LINER sample in X-rays.
Table 11:
Final compilation of EW(FeK)
for the LINER sample.
Table 12:
Multiwavelength properties of LINERs.
Table 13: Bestfit model applied to the diffuse emission extracted from Chandra data.
Table 14:
Bestfit model applied to Chandra data with the XMM-Newton extraction region (25
).
Table 15:
X-ray luminosity for Chandra data with the XMM-Newton extraction region (25
).
Table A.1: Correlation between X-ray parameters and luminosities.
All Figures
![]() |
Figure 1: (Left): total sample of LINERs in MCL (empty histogram) versus X-ray sample (dashed histogram), normalised to the peak. (Right): X-ray sample (empty histogram) versus the sample reported by GM+06, normalised to the peak. a) Redshift, b) morphological types (from the RC3 catalogue: t<0 are for ellipticals, t=0 for S0, t=1 for Sa, t=3 for Sb, t=5 for Sc, t=7 for Sd, and t>8 for irregulars), c) absolute magnitudes, and d) apparent magnitudes distributions. |
Open with DEXTER | |
In the text |
![]() |
Figure 2: [OIII] luminosity distributions using Ho et al. (1997) sample (top), this sample (centre) and this sample excluding objects with distances greater than 100 Mpcs (bottom). |
Open with DEXTER | |
In the text |
![]() |
Figure 3: Radial profile of NGC 6251 (black circles). Gaussian fit of this radial profile is shown as a continuous line and the Gaussian fit of the Chandra PSF at the same position is shown as a dashed line. |
Open with DEXTER | |
In the text |
![]() |
Figure 4:
Images of i) the AGN candidate NGC 4594 and
ii) of the non-AGN candidate CGCG 162-010. The top image
corresponds to the 0.6-8.0 keV band without smoothing. The
extraction region is plotted with a black circle. The following
four images correspond to the X-ray bands 0.6-0.9
(centre-left), 1.6-2.0 (centre-centre),
4.5-8.0 |
Open with DEXTER | |
In the text |
![]() |
Figure 5: Spectral fits ( top panels) and residuals ( bottom panels) for the nuclear spectrum of NGC 2655 (XMM-Newton data). (Top-left): thermal model (ME), (top-right): power-law model (PL), (centre-left): power-law plus thermal model (MEPL), (centre-right): two power-law model (2PL), (bottom): two power-law plus thermal model (ME2PL). The best fit for this object is a ME2PL model (see Table 7). Figures of spectral fits of the LINER sample are in the electronic edition in Appendices D and E. |
Open with DEXTER | |
In the text |
![]() |
Figure 6:
Distributions of temperature
(top-left), spectral index (top-right), NH1
(centre-left), NH2 (centre-right), soft (0.5-2 keV,
bottom-left), and hard (2-10 keV, bottom-right)
luminosities. The median values are marked with arrows (bold-face
arrows for the whole LINER sample, grey arrows the AGN-like sample
and thin arrows the non-AGN sample, see
Table 10). Empty distributions show the whole
LINER sample results, grey filled distributions show the subsample
of AGN candidates and dashed-filled distributions show the
subsample of non-AGN candidates. Dashed lines show the minima
between the two peaks found in the distribution of temperature
(kT = 0.45 keV) and hard luminosity (
|
Open with DEXTER | |
In the text |
![]() |
Figure 7: Histogram of column densities obtained with Chandra data (empty histogram). The filled histogram is the subsample of objects fitted to ME2PL and 2PL models. (Top): NH1 column density histogram and (bottom): NH2 column density histogram. Dashed lines show the locus of the median value for the Chandra sample. |
Open with DEXTER | |
In the text |
![]() |
Figure 8: Comparison between NH column densities and luminosities. Top-left: soft (0.5-2.0 keV) luminosity versus NH1 column density; top-right: soft (0.5-2.0 keV) luminosity versus NH2 column density; bottom-left: hard (2-10 keV) luminosity versus NH1 column density; and bottom-right: hard (2-10 keV) luminosity versus NH2 column density. XMM-Newton data are plotted with open circles. For clarity, upper limits are not included in the plot. The correlation coefficient r(r(Chandra)) is provided for each plot for the whole sample (the subsample with Chandra data). AGN candidates are shown as red circles, while non-AGN candidates are shown as black circles. |
Open with DEXTER | |
In the text |
![]() |
Figure 9: Temperature of the diffuse emission (kT (keV) (diffuse emission)) versus the temperature of the nuclear emission (kT(keV) (Nucleus)). Arrows are upper limits. The unity slope is shown as a continuous line. 3C 218 and CGCG 162-010 are out of the plot with coordinates (x, y) = [1.7 keV, 3.0 keV] and (x, y) = [1.0 keV, 4.1 keV], respectively (see text). |
Open with DEXTER | |
In the text |
![]() |
Figure 10:
Hard X-ray (2-10 keV) luminosity versus temperature. AGN
candidates are shown as red circles, non-AGN candidates as black
circles. The XMM-Newton data are shown with open circles. Dashed lines
show the minima between the two peaks found in the distribution of
temperature (kT = 0.45 keV) and hard luminosity (
|
Open with DEXTER | |
In the text |
![]() |
Figure 11:
Hard (2-10 keV) LF for the whole LINER sample
(continuous line). That for ULXs in Kim & Fabbiano (2004) is plotted as
a dashed line. The dashed-dotted lines correspond to the LF of
HMXRBs from Grimm et al. (2003) for two different star-forming
rates, 12 and 100
|
Open with DEXTER | |
In the text |
![]() |
Figure A.1: Temperature (top-left), spectral index (Top-Right), NH1 (Centre-Left), NH2 (Centre-Right), soft (0.5-2 keV) luminosity (Bottom-Left) and hard (2-10 keV) luminosity (Bottom-Right) histograms. The Chandra data is shown as dashed histogram while the grey histogram plots the XMM-Newton data. The median value for Chandra and XMM-Newton data are marked as black and grey arrows, respectively. Four objects (3C 218, CGCG 162-010, IRAS 14348-1447 and NPM1G -12.0625) have been excluded from the XMM-Newton temperature histograms because they show a temperature above 2 keV. |
Open with DEXTER | |
In the text |
![]() |
Figure C.1: NGC 0315 |
Open with DEXTER | |
In the text |
![]() |
Figure C.2: NGC 0410 (XMM-Newton) |
Open with DEXTER | |
In the text |
![]() |
Figure C.3: NGC 0474 |
Open with DEXTER | |
In the text |
![]() |
Figure C.4: IIIZW 035 |
Open with DEXTER | |
In the text |
![]() |
Figure C.5: NGC 0524 |
Open with DEXTER | |
In the text |
![]() |
Figure C.6: NGC 0833 |
Open with DEXTER | |
In the text |
![]() |
Figure C.7: NGC 0835 |
Open with DEXTER | |
In the text |
![]() |
Figure C.8: NGC1052 |
Open with DEXTER | |
In the text |
![]() |
Figure C.9: NGC 2639 (XMM-Newton) |
Open with DEXTER | |
In the text |
![]() |
Figure C.10: NGC 2655 (XMM-Newton) |
Open with DEXTER | |
In the text |
![]() |
Figure C.11: NGC 2681 |
Open with DEXTER | |
In the text |
![]() |
Figure C.12: NGC 2685 (XMM-Newton) |
Open with DEXTER | |
In the text |
![]() |
Figure C.13: UGC 4881 |
Open with DEXTER | |
In the text |
![]() |
Figure C.14: 3C 218 |
Open with DEXTER | |
In the text |
![]() |
Figure C.15: NGC 2787 |
Open with DEXTER | |
In the text |
![]() |
Figure C.16: NGC 2841 |
Open with DEXTER | |
In the text |
![]() |
Figure C.17: UGC 05101 |
Open with DEXTER | |
In the text |
![]() |
Figure C.18: NGC 3185 (XMM-Newton) |
Open with DEXTER | |
In the text |
![]() |
Figure C.19: NGC 3226 |
Open with DEXTER | |
In the text |
![]() |
Figure C.20: NGC 3245 |
Open with DEXTER | |
In the text |
![]() |
Figure C.21: NGC 3379 |
Open with DEXTER | |
In the text |
![]() |
Figure C.22: NGC 3414 |
Open with DEXTER | |
In the text |
![]() |
Figure C.23: NGC 3507 |
Open with DEXTER | |
In the text |
![]() |
Figure C.24: NGC 3607 |
Open with DEXTER | |
In the text |
![]() |
Figure C.25: NGC 3608 |
Open with DEXTER | |
In the text |
![]() |
Figure C.26: NGC 3623 (XMM-Newton) |
Open with DEXTER | |
In the text |
![]() |
Figure C.27: NGC 3627 (XMM-Newton) |
Open with DEXTER | |
In the text |
![]() |
Figure C.28: NGC 3628 |
Open with DEXTER | |
In the text |
![]() |
Figure C.29: NGC 3690B |
Open with DEXTER | |
In the text |
![]() |
Figure C.30: NGC 3898 |
Open with DEXTER | |
In the text |
![]() |
Figure C.31: NGC 3945 |
Open with DEXTER | |
In the text |
![]() |
Figure C.32: NGC 3998 |
Open with DEXTER | |
In the text |
![]() |
Figure C.33: NGC 4036 |
Open with DEXTER | |
In the text |
![]() |
Figure C.34: NGC 4111 |
Open with DEXTER | |
In the text |
![]() |
Figure C.35: NGC 4125 |
Open with DEXTER | |
In the text |
![]() |
Figure C.36: IRAS 12112+0305 (XMM-Newton) |
Open with DEXTER | |
In the text |
![]() |
Figure C.37: NGC 4261 |
Open with DEXTER | |
In the text |
![]() |
Figure C.38: NGC 4278 |
Open with DEXTER | |
In the text |
![]() |
Figure C.39: NGC 4314 |
Open with DEXTER | |
In the text |
![]() |
Figure C.40: NGC 4321 |
Open with DEXTER | |
In the text |
![]() |
Figure C.41: NGC 4374 |
Open with DEXTER | |
In the text |
![]() |
Figure C.42: NGC 4410A |
Open with DEXTER | |
In the text |
![]() |
Figure C.43: NGC 4438 |
Open with DEXTER | |
In the text |
![]() |
Figure C.44: NGC 4457 |
Open with DEXTER | |
In the text |
![]() |
Figure C.45: NGC 4459 |
Open with DEXTER | |
In the text |
![]() |
Figure C.46: NGC 4486 |
Open with DEXTER | |
In the text |
![]() |
Figure C.47: NGC 4494 |
Open with DEXTER | |
In the text |
![]() |
Figure C.48: NGC 4552 |
Open with DEXTER | |
In the text |
![]() |
Figure C.49: NGC 4589 |
Open with DEXTER | |
In the text |
![]() |
Figure C.50: NGC 4579 |
Open with DEXTER | |
In the text |
![]() |
Figure C.51: NGC 4596 |
Open with DEXTER | |
In the text |
![]() |
Figure C.52: NGC 4594 |
Open with DEXTER | |
In the text |
![]() |
Figure C.53: NGC 4636 |
Open with DEXTER | |
In the text |
![]() |
Figure C.54: NGC 4676A |
Open with DEXTER | |
In the text |
![]() |
Figure C.55: NGC 4676B |
Open with DEXTER | |
In the text |
![]() |
Figure C.56: NGC 4698 |
Open with DEXTER | |
In the text |
![]() |
Figure C.57: NGC 4696 |
Open with DEXTER | |
In the text |
![]() |
Figure C.58: NGC 4736 |
Open with DEXTER | |
In the text |
![]() |
Figure C.59: NGC 5005 (XMM-Newton) |
Open with DEXTER | |
In the text |
![]() |
Figure C.60: NGC 5055 |
Open with DEXTER | |
In the text |
![]() |
Figure C.61: MRK 266NE |
Open with DEXTER | |
In the text |
![]() |
Figure C.62: UGC 08696 |
Open with DEXTER | |
In the text |
![]() |
Figure C.63: CGCG 162-010 |
Open with DEXTER | |
In the text |
![]() |
Figure C.64: NGC 5363 (XMM-Newton) |
Open with DEXTER | |
In the text |
![]() |
Figure C.65: IC 4395 (XMM-Newton) |
Open with DEXTER | |
In the text |
![]() |
Figure C.66: IRAS 14348-1447 |
Open with DEXTER | |
In the text |
![]() |
Figure C.67: NGC 5746 |
Open with DEXTER | |
In the text |
![]() |
Figure C.68: NGC 5813 |
Open with DEXTER | |
In the text |
![]() |
Figure C.69: NGC 5838 |
Open with DEXTER | |
In the text |
![]() |
Figure C.70: NGC 5846 |
Open with DEXTER | |
In the text |
![]() |
Figure C.71: NGC 5866 |
Open with DEXTER | |
In the text |
![]() |
Figure C.72: Mkn 848 |
Open with DEXTER | |
In the text |
![]() |
Figure C.73: NGC 6251 |
Open with DEXTER | |
In the text |
![]() |
Figure C.74: NGC 6240 |
Open with DEXTER | |
In the text |
![]() |
Figure C.75: IRAS 17208-0014 |
Open with DEXTER | |
In the text |
![]() |
Figure C.76: NGC 6482 |
Open with DEXTER | |
In the text |
![]() |
Figure C.77: NGC 7130 |
Open with DEXTER | |
In the text |
![]() |
Figure C.78: NGC 7285 (XMM-Newton) |
Open with DEXTER | |
In the text |
![]() |
Figure C.79: NGC 7331 |
Open with DEXTER | |
In the text |
![]() |
Figure C.80: IC 1459 |
Open with DEXTER | |
In the text |
![]() |
Figure C.81: NPM1G -12.0625 |
Open with DEXTER | |
In the text |
![]() |
Figure C.82: NGC 7743 (XMM-Newton) |
Open with DEXTER | |
In the text |
![]() |
Figure D.1: Spectral fits of NGC0315. (Top-left): Thermal model (MEKAL), (Top-right): Power-law model, (Center-left): Power-law plus thermal model, (Center-right): Two power-law model, (Bottom): Two power-law plus thermal model. |
Open with DEXTER | |
In the text |
![]() |
Figure D.2: Spectral fits of NGC0833. (Top-left): Thermal model (MEKAL), (Top-right): Power-law model, (Center-left): Power-law plus thermal model, (Center-right): Two power-law model, (Bottom): Two power-law plus thermal model. |
Open with DEXTER | |
In the text |
![]() |
Figure D.3: Spectral fits of NGC0835. (Top-left): Thermal model (MEKAL), (Top-right): Power-law model, (Center-left): Power-law plus thermal model, (Center-right): Two power-law model, (Bottom): Two power-law plus thermal model. |
Open with DEXTER | |
In the text |
![]() |
Figure D.4: Spectral fits of NGC1052. (Top-left): Thermal model (MEKAL), (Top-right): Power-law model, (Center-left): Power-law plus thermal model, (Center-right): Two power-law model, (Bottom): Two power-law plus thermal model. |
Open with DEXTER | |
In the text |
![]() |
Figure D.5: Spectral fits of NGC2681. (Top-left): Thermal model (MEKAL), (Top-right): Power-law model, (Center-left): Power-law plus thermal model, (Center-right): Two power-law model, (Bottom): Two power-law plus thermal model. |
Open with DEXTER | |
In the text |
![]() |
Figure D.6: Spectral fits of 3C218. (Top-left): Thermal model (MEKAL), (Top-right): Power-law model, (Center-left): Power-law plus thermal model, (Center-right): Two power-law model, (Bottom): Two power-law plus thermal model. |
Open with DEXTER | |
In the text |
![]() |
Figure D.7: Spectral fits of NGC2787. (Top-left): Thermal model (MEKAL), (Top-right): Power-law model, (Center-left): Power-law plus thermal model, (Center-right): Two power-law model, (Bottom): Two power-law plus thermal model. |
Open with DEXTER | |
In the text |
![]() |
Figure D.8: Spectral fits of UGC05101. (Top-left): Thermal model (MEKAL), (Top-right): Power-law model, (Center-left): Power-law plus thermal model, (Center-right): Two power-law model, (Bottom): Two power-law plus thermal model. |
Open with DEXTER | |
In the text |
![]() |
Figure D.9: Spectral fits of UGC5959. (Top-left): Thermal model (MEKAL), (Top-right): Power-law model, (Center-left): Power-law plus thermal model, (Center-right): Two power-law model, (Bottom): Two power-law plus thermal model. |
Open with DEXTER | |
In the text |
![]() |
Figure D.10: Spectral fits of NGC3507. (Top-left): Thermal model (MEKAL), (Top-right): Power-law model, (Center-left): Power-law plus thermal model, (Center-right): Two power-law model, (Bottom): Two power-law plus thermal model. |
Open with DEXTER | |
In the text |
![]() |
Figure D.11: Spectral fits of NGC3690. (Top-left): Thermal model (MEKAL), (Top-right): Power-law model, (Center-left): Power-law plus thermal model, (Center-right): Two power-law model, (Bottom): Two power-law plus thermal model. |
Open with DEXTER | |
In the text |
![]() |
Figure D.12: Spectral fits of NGC3898. (Top-left): Thermal model (MEKAL), (Top-right): Power-law model, (Center-left): Power-law plus thermal model, (Center-right): Two power-law model, (Bottom): Two power-law plus thermal model. |
Open with DEXTER | |
In the text |
![]() |
Figure D.13: Spectral fits of UGC6860. (Top-left): Thermal model (MEKAL), (Top-right): Power-law model, (Center-left): Power-law plus thermal model, (Center-right): Two power-law model, (Bottom): Two power-law plus thermal model. |
Open with DEXTER | |
In the text |
![]() |
Figure D.14: Spectral fits of UGC6946. (Top-left): Thermal model (MEKAL), (Top-right): Power-law model, (Center-left): Power-law plus thermal model, (Center-right): Two power-law model, (Bottom): Two power-law plus thermal model. |
Open with DEXTER | |
In the text |
![]() |
Figure D.15: Spectral fits of NGC4111. (Top-left): Thermal model (MEKAL), (Top-right): Power-law model, (Center-left): Power-law plus thermal model, (Center-right): Two power-law model, (Bottom): Two power-law plus thermal model. |
Open with DEXTER | |
In the text |
![]() |
Figure D.16: Spectral fits of NGC4125. (Top-left): Thermal model (MEKAL), (Top-right): Power-law model, (Center-left): Power-law plus thermal model, (Center-right): Two power-law model, (Bottom): Two power-law plus thermal model. |
Open with DEXTER | |
In the text |
![]() |
Figure D.17: Spectral fits of NGC4261. (Top-left): Thermal model (MEKAL), (Top-right): Power-law model, (Center-left): Power-law plus thermal model, (Center-right): Two power-law model, (Bottom): Two power-law plus thermal model. |
Open with DEXTER | |
In the text |
![]() |
Figure D.18: Spectral fits of NGC4278. (Top-left): Thermal model (MEKAL), (Top-right): Power-law model, (Center-left): Power-law plus thermal model, (Center-right): Two power-law model, (Bottom): Two power-law plus thermal model. |
Open with DEXTER | |
In the text |
![]() |
Figure D.19: Spectral fits of NGC4321. (Top-left): Thermal model (MEKAL), (Top-right): Power-law model, (Center-left): Power-law plus thermal model, (Center-right): Two power-law model, (Bottom): Two power-law plus thermal model. |
Open with DEXTER | |
In the text |
![]() |
Figure D.20: Spectral fits of NGC4374. (Top-left): Thermal model (MEKAL), (Top-right): Power-law model, (Center-left): Power-law plus thermal model, (Center-right): Two power-law model, (Bottom): Two power-law plus thermal model. |
Open with DEXTER | |
In the text |
![]() |
Figure D.21: Spectral fits of NGC4410. (Top-left): Thermal model (MEKAL), (Top-right): Power-law model, (Center-left): Power-law plus thermal model, (Center-right): Two power-law model, (Bottom): Two power-law plus thermal model. |
Open with DEXTER | |
In the text |
![]() |
Figure D.22: Spectral fits of NGC4438. (Top-left): Thermal model (MEKAL), (Top-right): Power-law model, (Center-left): Power-law plus thermal model, (Center-right): Two power-law model, (Bottom): Two power-law plus thermal model. |
Open with DEXTER | |
In the text |
![]() |
Figure D.23: Spectral fits of NGC4457. (Top-left): Thermal model (MEKAL), (Top-right): Power-law model, (Center-left): Power-law plus thermal model, (Center-right): Two power-law model, (Bottom): Two power-law plus thermal model. |
Open with DEXTER | |
In the text |
![]() |
Figure D.24: Spectral fits of NGC4486. (Top-left): Thermal model (MEKAL), (Top-right): Power-law model, (Center-left): Power-law plus thermal model, (Center-right): Two power-law model, (Bottom): Two power-law plus thermal model. |
Open with DEXTER | |
In the text |
![]() |
Figure D.25: Spectral fits of NGC4494. (Top-left): Thermal model (MEKAL), (Top-right): Power-law model, (Center-left): Power-law plus thermal model, (Center-right): Two power-law model, (Bottom): Two power-law plus thermal model. |
Open with DEXTER | |
In the text |
![]() |
Figure D.26: Spectral fits of NGC4552. (Top-left): Thermal model (MEKAL), (Top-right): Power-law model, (Center-left): Power-law plus thermal model, (Center-right): Two power-law model, (Bottom): Two power-law plus thermal model. |
Open with DEXTER | |
In the text |
![]() |
Figure D.27: Spectral fits of NGC4579. (Top-left): Thermal model (MEKAL), (Top-right): Power-law model, (Center-left): Power-law plus thermal model, (Center-right): Two power-law model, (Bottom): Two power-law plus thermal model. |
Open with DEXTER | |
In the text |
![]() |
Figure D.28: Spectral fits of NGC4594. (Top-left): Thermal model (MEKAL), (Top-right): Power-law model, (Center-left): Power-law plus thermal model, (Center-right): Two power-law model, (Bottom): Two power-law plus thermal model. |
Open with DEXTER | |
In the text |
![]() |
Figure D.29: Spectral fits of NGC4696. (Top-left): Thermal model (MEKAL), (Top-right): Power-law model, (Center-left): Power-law plus thermal model, (Center-right): Two power-law model, (Bottom): Two power-law plus thermal model. |
Open with DEXTER | |
In the text |
![]() |
Figure D.30: Spectral fits of NGC4736. (Top-left): Thermal model (MEKAL), (Top-right): Power-law model, (Center-left): Power-law plus thermal model, (Center-right): Two power-law model, (Bottom): Two power-law plus thermal model. |
Open with DEXTER | |
In the text |
![]() |
Figure D.31: Spectral fits of NGC5055. (Top-left): Thermal model (MEKAL), (Top-right): Power-law model, (Center-left): Power-law plus thermal model, (Center-right): Two power-law model, (Bottom): Two power-law plus thermal model. |
Open with DEXTER | |
In the text |
![]() |
Figure D.32: Spectral fits of NGC5194. (Top-left): Thermal model (MEKAL), (Top-right): Power-law model, (Center-left): Power-law plus thermal model, (Center-right): Two power-law model, (Bottom): Two power-law plus thermal model. |
Open with DEXTER | |
In the text |
![]() |
Figure D.33: Spectral fits of MRK266NE. (Top-left): Thermal model (MEKAL), (Top-right): Power-law model, (Center-left): Power-law plus thermal model, (Center-right): Two power-law model, (Bottom): Two power-law plus thermal model. |
Open with DEXTER | |
In the text |
![]() |
Figure D.34: Spectral fits of UGC08696. (Top-left): Thermal model (MEKAL), (Top-right): Power-law model, (Center-left): Power-law plus thermal model, (Center-right): Two power-law model, (Bottom): Two power-law plus thermal model. |
Open with DEXTER | |
In the text |
![]() |
Figure D.35: Spectral fits of CGCG162-010. (Top-left): Thermal model (MEKAL), (Top-right): Power-law model, (Center-left): Power-law plus thermal model, (Center-right): Two power-law model, (Bottom): Two power-law plus thermal model. |
Open with DEXTER | |
In the text |
![]() |
Figure D.36: Spectral fits of NGC5746. (Top-left): Thermal model (MEKAL), (Top-right): Power-law model, (Center-left): Power-law plus thermal model, (Center-right): Two power-law model, (Bottom): Two power-law plus thermal model. |
Open with DEXTER | |
In the text |
![]() |
Figure D.37: Spectral fits of NGC5813. (Top-left): Thermal model (MEKAL), (Top-right): Power-law model, (Center-left): Power-law plus thermal model, (Center-right): Two power-law model, (Bottom): Two power-law plus thermal model. |
Open with DEXTER | |
In the text |
![]() |
Figure D.38: Spectral fits of NGC5846. (Top-left): Thermal model (MEKAL), (Top-right): Power-law model, (Center-left): Power-law plus thermal model, (Center-right): Two power-law model, (Bottom): Two power-law plus thermal model. |
Open with DEXTER | |
In the text |
![]() |
Figure D.39: Spectral fits of NGC6251. (Top-left): Thermal model (MEKAL), (Top-right): Power-law model, (Center-left): Power-law plus thermal model, (Center-right): Two power-law model, (Bottom): Two power-law plus thermal model. |
Open with DEXTER | |
In the text |
![]() |
Figure D.40: Spectral fits of NGC6240. (Top-left): Thermal model (MEKAL), (Top-right): Power-law model, (Center-left): Power-law plus thermal model, (Center-right): Two power-law model, (Bottom): Two power-law plus thermal model. |
Open with DEXTER | |
In the text |
![]() |
Figure D.41: Spectral fits of IRAS 17208-0014. (Top-left): Thermal model (MEKAL), (Top-right): Power-law model, (Center-left): Power-law plus thermal model, (Center-right): Two power-law model, (Bottom): Two power-law plus thermal model. |
Open with DEXTER | |
In the text |
![]() |
Figure D.42: Spectral fits of NGC6482. (Top-left): Thermal model (MEKAL), (Top-right): Power-law model, (Center-left): Power-law plus thermal model, (Center-right): Two power-law model, (Bottom): Two power-law plus thermal model. |
Open with DEXTER | |
In the text |
![]() |
Figure D.43: Spectral fits of NGC7130. (Top-left): Thermal model (MEKAL), (Top-right): Power-law model, (Center-left): Power-law plus thermal model, (Center-right): Two power-law model, (Bottom): Two power-law plus thermal model. |
Open with DEXTER | |
In the text |
![]() |
Figure D.44: Spectral fits of IC1459. (Top-left): Thermal model (MEKAL), (Top-right): Power-law model, (Center-left): Power-law plus thermal model, (Center-right): Two power-law model, (Bottom): Two power-law plus thermal model. |
Open with DEXTER | |
In the text |
![]() |
Figure D.45: Spectral fits of NPM1G -12.0625. (Top-left): Thermal model (MEKAL), (Top-right): Power-law model, (Center-left): Power-law plus thermal model, (Center-right): Two power-law model, (Bottom): Two power-law plus thermal model. |
Open with DEXTER | |
In the text |
![]() |
Figure E.1: Spectral fits of NGC315. (Top-left): Thermal model (MEKAL), (Top-right): Power-law model, (Center-left): Power-law plus thermal model, (Center-right): Two power-law model, (Bottom): Two power-law plus thermal model. |
Open with DEXTER | |
In the text |
![]() |
Figure E.2: Spectral fits of NGC410. (Top-left): Thermal model (MEKAL), (Top-right): Power-law model, (Center-left): Power-law plus thermal model, (Center-right): Two power-law model, (Bottom): Two power-law plus thermal model. |
Open with DEXTER | |
In the text |
![]() |
Figure E.3: Spectral fits of NGC835. (Top-left): Thermal model (MEKAL), (Top-right): Power-law model, (Center-left): Power-law plus thermal model, (Center-right): Two power-law model, (Bottom): Two power-law plus thermal model. |
Open with DEXTER | |
In the text |
![]() |
Figure E.4: Spectral fits of NGC1052. (Top-left): Thermal model (MEKAL), (Top-right): Power-law model, (Center-left): Power-law plus thermal model, (Center-right): Two power-law model, (Bottom): Two power-law plus thermal model. |
Open with DEXTER | |
In the text |
![]() |
Figure E.5: Spectral fits of NGC2639. (Top-left): Thermal model (MEKAL), (Top-right): Power-law model, (Center-left): Power-law plus thermal model, (Center-right): Two power-law model, (Bottom): Two power-law plus thermal model. |
Open with DEXTER | |
In the text |
![]() |
Figure E.6: Spectral fits of NGC2655. (Top-left): Thermal model (MEKAL), (Top-right): Power-law model, (Center-left): Power-law plus thermal model, (Center-right): Two power-law model, (Bottom): Two power-law plus thermal model. |
Open with DEXTER | |
In the text |
![]() |
Figure E.7: Spectral fits of UGC4881. (Top-left): Thermal model (MEKAL), (Top-right): Power-law model, (Center-left): Power-law plus thermal model, (Center-right): Two power-law model, (Bottom): Two power-law plus thermal model. |
Open with DEXTER | |
In the text |
![]() |
Figure E.8: Spectral fits of HydraA. (Top-left): Thermal model (MEKAL), (Top-right): Power-law model, (Center-left): Power-law plus thermal model, (Center-right): Two power-law model, (Bottom): Two power-law plus thermal model. |
Open with DEXTER | |
In the text |
![]() |
Figure E.9: Spectral fits of NGC2787. (Top-left): Thermal model (MEKAL), (Top-right): Power-law model, (Center-left): Power-law plus thermal model, (Center-right): Two power-law model, (Bottom): Two power-law plus thermal model. |
Open with DEXTER | |
In the text |
![]() |
Figure E.10: Spectral fits of NGC2841. (Top-left): Thermal model (MEKAL), (Top-right): Power-law model, (Center-left): Power-law plus thermal model, (Center-right): Two power-law model, (Bottom): Two power-law plus thermal model. |
Open with DEXTER | |
In the text |
![]() |
Figure E.11: Spectral fits of UGC05101. (Top-left): Thermal model (MEKAL), (Top-right): Power-law model, (Center-left): Power-law plus thermal model, (Center-right): Two power-law model, (Bottom): Two power-law plus thermal model. |
Open with DEXTER | |
In the text |
![]() |
Figure E.12: Spectral fits of MCG -5-23-16. (Top-left): Thermal model (MEKAL), (Top-right): Power-law model, (Center-left): Power-law plus thermal model, (Center-right): Two power-law model, (Bottom): Two power-law plus thermal model. |
Open with DEXTER | |
In the text |
![]() |
Figure E.13: Spectral fits of NGC3226. (Top-left): Thermal model (MEKAL), (Top-right): Power-law model, (Center-left): Power-law plus thermal model, (Center-right): Two power-law model, (Bottom): Two power-law plus thermal model. |
Open with DEXTER | |
In the text |
![]() |
Figure E.14: Spectral fits of NGC3628. (Top-left): Thermal model (MEKAL), (Top-right): Power-law model, (Center-left): Power-law plus thermal model, (Center-right): Two power-law model, (Bottom): Two power-law plus thermal model. |
Open with DEXTER | |
In the text |
![]() |
Figure E.15: Spectral fits of NGC3690. (Top-left): Thermal model (MEKAL), (Top-right): Power-law model, (Center-left): Power-law plus thermal model, (Center-right): Two power-law model, (Bottom): Two power-law plus thermal model. |
Open with DEXTER | |
In the text |
![]() |
Figure E.16: Spectral fits of NGC3998. (Top-left): Thermal model (MEKAL), (Top-right): Power-law model, (Center-left): Power-law plus thermal model, (Center-right): Two power-law model, (Bottom): Two power-law plus thermal model. |
Open with DEXTER | |
In the text |
![]() |
Figure E.17: Spectral fits of NGC4125. (Top-left): Thermal model (MEKAL), (Top-right): Power-law model, (Center-left): Power-law plus thermal model, (Center-right): Two power-law model, (Bottom): Two power-law plus thermal model. |
Open with DEXTER | |
In the text |
![]() |
Figure E.18: Spectral fits of NGC4261. (Top-left): Thermal model (MEKAL), (Top-right): Power-law model, (Center-left): Power-law plus thermal model, (Center-right): Two power-law model, (Bottom): Two power-law plus thermal model. |
Open with DEXTER | |
In the text |
![]() |
Figure E.19: Spectral fits of NGC4278. (Top-left): Thermal model (MEKAL), (Top-right): Power-law model, (Center-left): Power-law plus thermal model, (Center-right): Two power-law model, (Bottom): Two power-law plus thermal model. |
Open with DEXTER | |
In the text |
![]() |
Figure E.20: Spectral fits of NGC4314. (Top-left): Thermal model (MEKAL), (Top-right): Power-law model, (Center-left): Power-law plus thermal model, (Center-right): Two power-law model, (Bottom): Two power-law plus thermal model. |
Open with DEXTER | |
In the text |
![]() |
Figure E.21: Spectral fits of NGC4321. (Top-left): Thermal model (MEKAL), (Top-right): Power-law model, (Center-left): Power-law plus thermal model, (Center-right): Two power-law model, (Bottom): Two power-law plus thermal model. |
Open with DEXTER | |
In the text |
![]() |
Figure E.22: Spectral fits of NGC4486. (Top-left): Thermal model (MEKAL), (Top-right): Power-law model, (Center-left): Power-law plus thermal model, (Center-right): Two power-law model, (Bottom): Two power-law plus thermal model. |
Open with DEXTER | |
In the text |
![]() |
Figure E.23: Spectral fits of NGC4494. (Top-left): Thermal model (MEKAL), (Top-right): Power-law model, (Center-left): Power-law plus thermal model, (Center-right): Two power-law model, (Bottom): Two power-law plus thermal model. |
Open with DEXTER | |
In the text |
![]() |
Figure E.24: Spectral fits of NGC4552. (Top-left): Thermal model (MEKAL), (Top-right): Power-law model, (Center-left): Power-law plus thermal model, (Center-right): Two power-law model, (Bottom): Two power-law plus thermal model. |
Open with DEXTER | |
In the text |
![]() |
Figure E.25: Spectral fits of NGC4579. (Top-left): Thermal model (MEKAL), (Top-right): Power-law model, (Center-left): Power-law plus thermal model, (Center-right): Two power-law model, (Bottom): Two power-law plus thermal model. |
Open with DEXTER | |
In the text |
![]() |
Figure E.26: Spectral fits of NGC4594. (Top-left): Thermal model (MEKAL), (Top-right): Power-law model, (Center-left): Power-law plus thermal model, (Center-right): Two power-law model, (Bottom): Two power-law plus thermal model. |
Open with DEXTER | |
In the text |
![]() |
Figure E.27: Spectral fits of NGC4636. (Top-left): Thermal model (MEKAL), (Top-right): Power-law model, (Center-left): Power-law plus thermal model, (Center-right): Two power-law model, (Bottom): Two power-law plus thermal model. |
Open with DEXTER | |
In the text |
![]() |
Figure E.28: Spectral fits of NGC4736. (Top-left): Thermal model (MEKAL), (Top-right): Power-law model, (Center-left): Power-law plus thermal model, (Center-right): Two power-law model, (Bottom): Two power-law plus thermal model. |
Open with DEXTER | |
In the text |
![]() |
Figure E.29: Spectral fits of NGC5005. (Top-left): Thermal model (MEKAL), (Top-right): Power-law model, (Center-left): Power-law plus thermal model, (Center-right): Two power-law model, (Bottom): Two power-law plus thermal model. |
Open with DEXTER | |
In the text |
![]() |
Figure E.30: Spectral fits of NGC5194. (Top-left): Thermal model (MEKAL), (Top-right): Power-law model, (Center-left): Power-law plus thermal model, (Center-right): Two power-law model, (Bottom): Two power-law plus thermal model. |
Open with DEXTER | |
In the text |
![]() |
Figure E.31: Spectral fits of Mrk266SW. (Top-left): Thermal model (MEKAL), (Top-right): Power-law model, (Center-left): Power-law plus thermal model, (Center-right): Two power-law model, (Bottom): Two power-law plus thermal model. |
Open with DEXTER | |
In the text |
![]() |
Figure E.32: Spectral fits of UGC08696. (Top-left): Thermal model (MEKAL), (Top-right): Power-law model, (Center-left): Power-law plus thermal model, (Center-right): Two power-law model, (Bottom): Two power-law plus thermal model. |
Open with DEXTER | |
In the text |
![]() |
Figure E.33: Spectral fits of CGCG162-010. (Top-left): Thermal model (MEKAL), (Top-right): Power-law model, (Center-left): Power-law plus thermal model, (Center-right): Two power-law model, (Bottom): Two power-law plus thermal model. |
Open with DEXTER | |
In the text |
![]() |
Figure E.34: Spectral fits of NGC5363. (Top-left): Thermal model (MEKAL), (Top-right): Power-law model, (Center-left): Power-law plus thermal model, (Center-right): Two power-law model, (Bottom): Two power-law plus thermal model. |
Open with DEXTER | |
In the text |
![]() |
Figure E.35: Spectral fits of IC4395. (Top-left): Thermal model (MEKAL), (Top-right): Power-law model, (Center-left): Power-law plus thermal model, (Center-right): Two power-law model, (Bottom): Two power-law plus thermal model. |
Open with DEXTER | |
In the text |
![]() |
Figure E.36: Spectral fits of IRAS 14348-1447. (Top-left): Thermal model (MEKAL), (Top-right): Power-law model, (Center-left): Power-law plus thermal model, (Center-right): Two power-law model, (Bottom): Two power-law plus thermal model. |
Open with DEXTER | |
In the text |
![]() |
Figure E.37: Spectral fits of NGC5813. (Top-left): Thermal model (MEKAL), (Top-right): Power-law model, (Center-left): Power-law plus thermal model, (Center-right): Two power-law model, (Bottom): Two power-law plus thermal model. |
Open with DEXTER | |
In the text |
![]() |
Figure E.38: Spectral fits of NGC5846. (Top-left): Thermal model (MEKAL), (Top-right): Power-law model, (Center-left): Power-law plus thermal model, (Center-right): Two power-law model, (Bottom): Two power-law plus thermal model. |
Open with DEXTER | |
In the text |
![]() |
Figure E.39: Spectral fits of Mkn848. (Top-left): Thermal model (MEKAL), (Top-right): Power-law model, (Center-left): Power-law plus thermal model, (Center-right): Two power-law model, (Bottom): Two power-law plus thermal model. |
Open with DEXTER | |
In the text |
![]() |
Figure E.40: Spectral fits of NGC6251. (Top-left): Thermal model (MEKAL), (Top-right): Power-law model, (Center-left): Power-law plus thermal model, (Center-right): Two power-law model, (Bottom): Two power-law plus thermal model. |
Open with DEXTER | |
In the text |
![]() |
Figure E.41: Spectral fits of NGC6240. (Top-left): Thermal model (MEKAL), (Top-right): Power-law model, (Center-left): Power-law plus thermal model, (Center-right): Two power-law model, (Bottom): Two power-law plus thermal model. |
Open with DEXTER | |
In the text |
![]() |
Figure E.42: Spectral fits of IRAS 17208-0014. (Top-left): Thermal model (MEKAL), (Top-right): Power-law model, (Center-left): Power-law plus thermal model, (Center-right): Two power-law model, (Bottom): Two power-law plus thermal model. |
Open with DEXTER | |
In the text |
![]() |
Figure E.43: Spectral fits of NGC6482. (Top-left): Thermal model (MEKAL), (Top-right): Power-law model, (Center-left): Power-law plus thermal model, (Center-right): Two power-law model, (Bottom): Two power-law plus thermal model. |
Open with DEXTER | |
In the text |
![]() |
Figure E.44: Spectral fits of NGC7285. (Top-left): Thermal model (MEKAL), (Top-right): Power-law model, (Center-left): Power-law plus thermal model, (Center-right): Two power-law model, (Bottom): Two power-law plus thermal model. |
Open with DEXTER | |
In the text |
![]() |
Figure E.45: Spectral fits of IC1459. (Top-left): Thermal model (MEKAL), (Top-right): Power-law model, (Center-left): Power-law plus thermal model, (Center-right): Two power-law model, (Bottom): Two power-law plus thermal model. |
Open with DEXTER | |
In the text |
![]() |
Figure E.46: Spectral fits of NPM1G -12.0625. (Top-left): Thermal model (MEKAL), (Top-right): Power-law model, (Center-left): Power-law plus thermal model, (Center-right): Two power-law model, (Bottom): Two power-law plus thermal model. |
Open with DEXTER | |
In the text |
![]() |
Figure E.47: Spectral fits of NGC7743. (Top-left): Thermal model (MEKAL), (Top-right): Power-law model, (Center-left): Power-law plus thermal model, (Center-right): Two power-law model, (Bottom): Two power-law plus thermal model. |
Open with DEXTER | |
In the text |
![]() |
Figure F.1: Images from the Digital Sky Survey showing boxes of 150 kpc on a side, based on distances provided in Table 1. The red circle indicates de 25'' extraction region for XMM-Newton spectra. Galaxies with label numbers from 1 to 6. |
Open with DEXTER | |
In the text |
![]() |
Figure F.2: Same as F.1 but for galaxies with label numbers from 7 to 12 |
Open with DEXTER | |
In the text |
![]() |
Figure F.3: Same as F.1 but for galaxies with label numbers from 13 to 18 |
Open with DEXTER | |
In the text |
![]() |
Figure F.4: Same as F.1 but for galaxies with label numbers from 19 to 24 |
Open with DEXTER | |
In the text |
![]() |
Figure F.5: Same as F.1 but for galaxies with label numbers from 25 to 30 |
Open with DEXTER | |
In the text |
![]() |
Figure F.6: Same as F.1 but for galaxies with label numbers from 31 to 36 |
Open with DEXTER | |
In the text |
![]() |
Figure F.7: Same as F.1 but for galaxies with label numbers from 37 to 42 |
Open with DEXTER | |
In the text |
![]() |
Figure F.8: Same as F.1 but for galaxies with label numbers from 43 to 48 |
Open with DEXTER | |
In the text |
![]() |
Figure F.9: Same as F.1 but for galaxies with label numbers from 49 to 54 |
Open with DEXTER | |
In the text |
![]() |
Figure F.10: Same as F.1 but for galaxies with label numbers from 55 to 60 |
Open with DEXTER | |
In the text |
![]() |
Figure F.11: Same as F.1 but for galaxies with label numbers from 61 to 66 |
Open with DEXTER | |
In the text |
![]() |
Figure F.12: Same as F.1 but for galaxies with label numbers from 67 to 72 |
Open with DEXTER | |
In the text |
![]() |
Figure F.13: Same as F.1 but for galaxies with label numbers from 73 to 78 |
Open with DEXTER | |
In the text |
![]() |
Figure F.14: Same as F.1 but for galaxies with label numbers from 79 to 82 |
Open with DEXTER | |
In the text |
Current usage metrics show cumulative count of Article Views (full-text article views including HTML views, PDF and ePub downloads, according to the available data) and Abstracts Views on Vision4Press platform.
Data correspond to usage on the plateform after 2015. The current usage metrics is available 48-96 hours after online publication and is updated daily on week days.
Initial download of the metrics may take a while.