Issue |
A&A
Volume 506, Number 3, November II 2009
|
|
---|---|---|
Page(s) | 1501 - 1509 | |
Section | Atomic, molecular, and nuclear data | |
DOI | https://doi.org/10.1051/0004-6361/200912493 | |
Published online | 27 August 2009 |
A&A 506, 1501-1509 (2009)
Radiative rates and electron impact
excitation rates for transitions in Cr VIII![[*]](/icons/foot_motif.png)
K. M. Aggarwal1 - T. Kato2 - F. P. Keenan1 - I. Murakami2
1 - Astrophysics Research Centre, School of Mathematics and Physics, Queen's University Belfast, Belfast BT7 1NN, Northern Ireland, UK2 - National Institute for Fusion Science, Oroshi-cho, Toki, Gifu, 509-5292 Japan
Received 14 May 2009/ Accepted 24 August 2009
Abstract
Aims. In this paper we report on calculations of
energy levels, radiative rates, oscillator strengths, line strengths,
and effective collision strengths for transitions among the lowest
362 levels of the (1s22s22p6)
3s23p5, 3s3p6,
3s23p43d, 3s3p53d,
3s23p33d2,
3s3p43d2, 3p63d,
and 3s23p44
configurations of Cr VIII.
Methods. The general-purpose relativistic atomic
structure package ( GRASP) and flexible
atomic code ( FAC) are adopted for the
calculations.
Results. Radiative rates, oscillator strengths, and
line strengths are reported for all electric dipole (E1),
magnetic dipole (M1), electric quadrupole (E2), and
magnetic quadrupole (M2) transitions among the
362 levels. Comparisons are made with earlier available
results and the accuracy of the data is assessed. Additionally,
lifetimes for all 362 levels are listed, although comparisons
with other theoretical results are limited to only a few levels. Our
energy levels are estimated to be accurate to better than 3%
(within 0.4 Ryd), whereas results for other parameters are
probably accurate to better than 20%. Finally, electron impact
collision strengths and excitation rates are computed for all
transitions over a wide energy (temperature) range. For these
calculations, FAC is adopted and results in the form of effective
collision strengths are reported over a wide temperature range of 105.0-106.6 K.
Key words: atomic data - atomic processes
1 Introduction
Iron group elements (Sc-Zn) are becoming increasingly important in the study of astrophysical plasmas, as many of their emission lines are frequently observed from different ionisation stages. These observations provide a wealth of data about the plasma characteristics, such as: temperature, density, and chemical composition. Additionally, iron group elements are often impurities in fusion reactors, and to estimate the power loss from the impurities, atomic data (namely energy levels, oscillator strengths or radiative decay rates, and excitation rates) are required for many ions. Since there is paucity of measured parameters, one must depend on theoretical results. Therefore, in the recent past we have reported atomic parameters for many ions of Fe (IX-XXVI; see Aggarwal et al. 2008a, and references therein) and Ni (XI-XIX; see Aggarwal & Keenan 2008, and references therein). In this paper we focus our attention on Cl-like Cr VIII.
Emission lines of Cr ions have been observed in astrophysical
plasmas, as listed by Dere et al. (2001). Many emission
lines of Cl-like Cr VIII have
also been listed in the 100-430
wavelength range in the Atomic Line List (v2.04)
of Peter van Hoof at http://www.pa.uky.edu/ peter/atomic/,
because these are useful in the generation of synthetic spectra. For an
analysis of observations and/or estimating the power loss in fusion
reactors, atomic data for energy levels, and radiative rates
(A-values), and electron impact excitation rates are required. Since
experimental data are not available, except for some energy levels,
theoretical results are required.
Considering the importance of Cr VIII,
a few calculations have been performed in the past, such as by Huang
et al. (1983),
Fawcett (1987),
and more recently by Mohan et al. (2005) and Froese
Fischer et al. (2006).
Huang et al. adopted the relativistic Dirac-Fock computer code
of Desclaux (1975)
and calculated energies for the 31 levels of the 3s23p5,
3s3p6, and 3s23p43d configurations.
In their calculations they included configuration interaction
(CI) with the additional 3s3p53d, 3p53d2,
3s23p33d2,
3p63d, and 3s3p43d2 configurations.
Additionally, they reported A-values for the electric dipole (E1)
transitions from the levels of the (3s23p5)
2P
ground configuration to higher
excited levels, and for the magnetic
dipole (M1) and electric quadrupole (E2) transitions between
the two levels of the ground state. Similarly, Fawcett adopted the
Hartree-Fock Relativistic (HFR) code of Cowan (1981), and reported
energy levels among the same 31 levels, as considered by Huang
et al. They included CI among the 3s23p5,
3s3p6, 3s23p43d,
3s3p53d, 3p63d, 3s3p43d2,
and 3s23p44s configurations,
and reported A-values for E1 (and some E2, E3, M1, and M2) transitions
from the levels of the (3s23p5)
2P
ground configuration to higher
excited levels. Froese Fischer
et al. have adopted their Multi-Configuration Hartree-Fock
(MCHF) method, and have reported energy levels of the 3s23p5,
3s3p6, 3s23p43d,
and 3s23p44s configurations,
and A-values for most of the E1 transitions. Like other
workers, they also included relativistic
effects along with CI with many configurations up to n = 7
and
= 4.
However, their reported results are limited to only a few
levels/transitions and hence are insufficient for the modelling of
plasmas. Finally, Mohan et al. have performed a comparatively
larger calculation, as they have also included levels of the 3p63d,
3s23p44s, and 3s23p44d configurations,
apart from the lowest 31 levels of the 3s23p5,
3s3p6, and 3s23p43d configurations.
Furthermore, they have included an extensive CI (see Table 3 of Mohan
et al.) for the construction of wavefunctions apart from
one-body relativistic operators in Breit-Pauli approximation. For the
calculations, they adopted the CIV3 program
of Hibbert (1975).
However, as in earlier works, they too reported A-values for
E1 transitions alone, whereas in plasma modelling A-values for
all types of transitions, namely electric dipole (E1),
electric quadrupole (E2), magnetic dipole (M1), and
magnetic quadrupole (M2), are required as demonstrated by Del
Zanna et al. (2004).
Apart from this, Mohan et al. have not
included the levels of the 3s23p33d2,
3s3p43d2, and 3s3p53d configurations,
although these have been included in the generation of wavefunctions.
The above listed three configurations give rise to 375 levels
which closely interact and intermix with those of the 3s23p5,
3s3p6, 3s23p43d,
3p63d, 3s23p44s,
and 3s23p44d configurations,
included by Mohan et al. These missing levels from the
calculations of Mohan et al. and other workers are required in
the modelling of plasmas, as they affect the construction of the
synthetic spectrum as well as the
calculation of lifetimes. Therefore, the aim of
the present paper is not only to improve upon the calculations of Mohan
et al. but also to report a complete set
of results, among the lowest 362 levels of Cr VIII,
which can be confidently applied in plasma modelling.
For our calculations we have adopted the GRASP (General-purpose Relativistic Atomic Structure Package) code to generate the wavefunctions. This code was originally developed as GRASP0 by Grant et al. (1980) and has been updated by Dr. Norrington. It is a fully relativistic code, and is based on the jj coupling scheme. Further relativistic corrections arising from the Breit interaction and QED effects have also been included. Additionally, we have used the option of extended average level (EAL), in which a weighted (proportional to 2j+1) trace of the Hamiltonian matrix is minimized. This produces a compromise set of orbitals describing closely lying states with moderate accuracy, and generally yields results comparable to other options, such as average level (AL), as noted by Aggarwal et al. (2008b, 2010) for several ions of Kr and Xe. Furthermore, in order to assess the accuracy of our results we have performed parallel calculations using the Flexible Atomic Code ( FAC) of Gu (2003), which is available from the website http://kipac-tree.stanford.edu/fac. This is also a fully relativistic code which provides a variety of atomic parameters, and yields results comparable to GRASP, as already shown for three Mg-like ions by Aggarwal et al. (2007). Thus results from FAC will be helpful in assessing the accuracy of our energy levels and radiative rates.
In this paper we report our results for energy levels and
radiative rates for E1, E2, M1, and M2 transitions among the
lowest 362 levels of the (1s22s22p6)
3s23p5, 3s3p6,
3s23p43d, 3s3p53d,
3s23p33d2,
3s3p43d2, 3p63d,
and 3s23p44 configurations
of Cr VIII. We also report
results of lifetimes for all levels. Comparisons are made with the
earlier available theoretical results and the accuracy of the data is
assessed. Finally, effective collision strengths are reported for all
transitions over a wide temperature range of 105.0-106.6 K.
For these calculations, we have adopted the FAC
code, which is based on the well-known and widely-used distorted-wave
(DW) method. As for other parameters, the calculations for collision
strengths include relativistic effects, but the contribution of
resonances has not been included in the determination of effective
collision strengths.
2 Energy levels
Although Cr VIII is moderately heavy (Z = 24)
and 7 times ionized, CI is still very important for an
accurate determination of energy levels. For this reason all earlier
workers have included CI with additional configurations, although their
calculations have mostly been confined to the lowest 31 levels
of the 3s23p5, 3s3p6,
and 3s23p43d configurations.
After a few tests, with a number of n =
3-5 configurations, we too have arrived at the same conclusion
that an elaborate CI needs to be included in order to achieve a better
accuracy in the determination of energy levels. Therefore, we have
included 36 configurations (namely 3s23p5,
3s3p6, 3s23p43d,
3s3p53d, 3s23p33d2,
3s3p43d2, 3p63d,
3s23p23d3,
3s3p33d3, 3p53d2,
3s3p3d5, 3p23d5,
3s23d5, 3s3d6,
3p3d6, 3d7, 3s23p3d4,
3s3p23d4, 3s23p44,
3s3p54
,
3s23p45
,
and 3s3p55
), which yield 4031 levels. However, we
will focus our results on the lowest 362 levels. These levels
include all 226 levels of the 3s23p5,
3s3p6, 3s23p43d,
3s3p53d, 3s23p33d2,
3p63d, 3s23p44s,
and 3s23p44p
configurations, but only some levels of the other configurations.
Table 1: Energy levels (in Ryd) of Cr VIII and their lifetimes (s). The complete table is available in electronic form at the CDS.
We list in Table 1
our calculated energies from GRASP (only
limited levels are listed here but a complete table including all
362 levels is available electronically at the CDS), obtained with
and without the inclusion of Breit and QED
corrections. Also included in this table are the experimental energies
compiled by NIST (http://physics.nist.gov/PhysRefData),
and those
obtained by Fawcett (1987)
from the HFR code of Cowan (1981),
Mohan et al. (2005)
from the CIV3 program of Hibbert (1975), and Froese
Fischer et al. (2006)
who adopted their MCHF code. We note that neither the
experimental nor the earlier theoretical energies are available for all
the desired 362 levels of Cr VIII. The effect of the
inclusion of Breit and QED corrections on the energy levels is limited
to 0.2%, except
for the 3s23p5 2P
level
for which the energy has become lower by only 0.0025 Ryd,
i.e. 3%. However, it has now become closer to the
NIST energy. Among the lowest 31 levels for which a
variety of calculations are available with which to compare,
experimental values are limited to only seven levels, and our energies
from GRASP are higher by up to
3% - see levels 27-31. It may be noted that our
energies are particularly higher, by up to 0.4 Ryd, for the
levels of the 3s23p44d configuration.
Similarly, the CIV3 energies of Mohan et al. differ
from the NIST compilation (and our calculations) by up
to 3%, particularly for the 3s23p5
2P
and 3s3p6
2S1/2 levels,
in spite of the fact that they have also included a large CI apart from
one-body relativistic operators. In addition, they have adjusted
the diagonal elements of the Hamiltonian matrices in order to minimise
the differences with the experimental energies. This exercise of
adjusting the Hamiltonian is only useful if the
experimental energies are available for a majority of levels, which is
not the case for Cr VIII. Additionally, this exercise is not
useful for adjusting the level orderings as discussed in detail by
Aggarwal et al. (2007)
for Mg-like ions. Finally, corrections to the energy levels alone are
not sufficient to improve the accuracy of subsequent atomic parameters,
i.e. the radiative rates, as discussed below
in Sect. 3.
Table 2: Eigenvectors for some highly mixed levels of Cr VIII.
The energy levels of Froese Fischer et al. (2006) from the MCHF
code are, in general, comparable in both magnitude (within 2%)
and orderings with those of NIST and our calculations from GRASP.
It may also be noted that like our calculations from GRASP,
no adjustment of Hamiltonian matrices have been made by them. However,
their energy for the 3s23p5
2P
level is anomalous,
as it is up to 11% lower than the experimental or other
theoretical results, although the difference is only 0.01 Ryd.
On the other hand, their calculated energies for the levels of the 3s23p44s configuration
are probably the most accurate among those listed in Table 1. For the levels of
this configuration, there is a possibility of interaction with 3p64s,
which we have not included in our calculations from GRASP.
However, subsequent test calculations confirm
that its inclusion makes no difference on the energies of the lowest
362 levels considered here. This is mainly because 3p64s
generates only one level, namely 4S1/2
and its energy is
13 Ryd,
i.e. well above those of the lowest 362 levels.
Furthermore, our calculations from FAC,
which are discussed below and include the 3p64s configuration,
do not show any appreciable difference for a majority of levels,
including those of 3s23p44s.
The other theoretical results available in the literature for
the lowest 31 levels of Cr VIII are from the
calculations of Huang et al. (1983)
and Fawcett (1987),
who have adopted the multi-configuration Dirac-Fock (MCDF) and
Hartree-Fock Relativistic (HFR) codes, respectively. Energy levels of
Fawcett are comparable in both magnitude and orderings with those of
NIST and our calculations, as may be noted from Table 1. In fact, their
energies are almost identical with those of NIST, because they have
also adjusted the ab initio Slater parameters with the Zeeman
least-squares optimisation routines in order to minimise the
discrepancies between the measured and computed energies. Finally, the
energy levels of Huang et al. (not listed in Table 1) are not very
accurate, because their energy for the 3s23p5
2P
level is
6% lower
than the experimental or other theoretical results. Additionally, their
identification of the 3s23p4(1D)3d
2P
and 3s23p4(3P)3d
2P
levels
(i.e. 9/13 and 28/29) is in reverse order and hence
agrees neither with the experiments nor other theories. This is mainly
because they have included limited CI within the n =
3 configurations in the generation of wavefunctions, and have
omitted the n = 4 configurations,
as stated in Sect. 1.
Among the higher excited levels of the 3s23p44s
and 3s23p44d
configurations of Cr VIII, the CIV3 energies of Mohan
et al. (2005)
are closer to the NIST values, because they have adjusted
their Hamiltonian as noted above. However, the differences with our
calculations from GRASP are up to 2% (0.15 Ryd)
for some levels, such as 3p63d 2D
(219
and 221). More importantly, their level orderings differ from
our calculations in many instances, such as levels 275, 277,
295, 309, and 321. In the absence of experimental or other theoretical
results, it is difficult to confirm the level orderings, particularly
when some of the levels are highly mixed, such as 3s23p3(2P)3d2(3P)
2S
and 3s23p3(2D)3d2(1D)
2P
(101 and 114), 3s23p3(2P)3d2(1D)
2D
and 3s23p3(2P)3d2(1D)
2F
(112 and 113), 3s23p3(2D)3d2(3F)
4D
and 3s23p3(2P)3d2(3P)
4P
(126 and 127), 3s23p4(3P)4p
4P
and 3s23p3(2D)3d2(3P)
2P
(165 and 170), and 3s23p4(3P)4p
4D
and 3s23p3(2D)3d2(1G)
2F
(179 and 181) - see
Table 2
for the mixing of
eigenvectors for these levels. There are some more levels similar to
those listed in Table 2
which are highly mixed and hence cannot be identified unambiguously.
Among the lowest 31 levels, mixing is strong for two, namely 3s23p4(3P)3d
4P5/2 and 3s23p4(1D)3d
2D5/2 (17
and 18). Therefore, in order to have confidence in our
results, we have performed another calculation from the Flexible Atomic
Code ( FAC) of Gu (2003), which we discuss
below.
In our calculations from FAC we
have included all possible combinations of the n =
3 configurations, in addition to 3s23p44,
3s23p45
,
3s3p54
,
3s3p55
,
3p64
,
and 3p65
.
These configurations give rise to 4881 levels in total and
hence the calculations are comparable with those from GRASP
which included 4031 levels. The energy levels obtained from
this calculation are also listed in Table 1. Differences between
the two sets of calculations from GRASP and
FAC are within 0.5% for a majority
of levels, which is highly satisfactory. However, (particularly) for
10 levels (namely 219, 221, 234, 240, 296, 298, 326, 329, 334,
and 362), the energies from FAC
are lower by up to 1% (0.1 Ryd). This is mainly
because it is not straightforward to compare the two independent sets
of calculations due to mixing of some of the levels, as mentioned
above. In general, there are no major differences between our
calculations from GRASP and FAC,
in both magnitude and ordering. Based on this and other comparisons, we
may confidently state that the present calculations not only cover a
larger range of levels but are probably the most accurate available to
date. However, before concluding we discuss yet another
calculation below.
Since CI is very important for the determination of the energy
levels of Cr VIII, as already stated in Sect. 1, we
have performed a calculation from FAC
(FAC2), which includes a total of 16 102 levels. The
11 221 levels additional to the FAC1 calculations
arise from the 3s23p34,
3s23p35
,
3s23p34
5
,
3p54
,
3p55
,
and 3p54
5
configurations.
However, all the lowest 362 levels under discussion from the
FAC1 and FAC2 calculations agree within 0.6% and the orderings are also
(nearly) the same. Therefore, the effect of additional CI on
the energy levels of Cr VIII listed in Table 1 is negligible.
To conclude, we may state with confidence that the energy
levels listed in Table 1
from our calculations from both GRASP and FAC
are accurate to better than
3%.
Experimental energies are available for only a few levels for which
differences with our calculations are up to 0.4 Ryd,
particularly for the levels of the 3s23p44d configuration.
Furthermore, the listed levels cover a wider range than available to
date either experimentally or theoretically. However, we remind readers
that the
designations
listed in Table 1
have been chosen after a careful consideration, but the possibility of
their redesignation cannot be ruled out in a few cases. This is because
some of the levels are highly mixed, as noted above and demonstrated in
Table 2.
Table 3:
Radiative rates (Aji
in s-1) and oscillator strengths (fij,
dimensionless) for electric dipole (E1) transitions of Cr VIII with f
0.1. (
).
The complete table for transition wavelengths (
), radiative rates, oscillator
strengths, and line strengths (S) for all E1, and Aji
for E2, M1, and M2 transitions of Cr VIII is available in the
electronic form at the CDS.
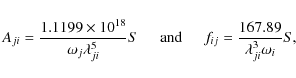
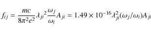
3 Radiative rates
The absorption oscillator strength (fij)
and radiative rate Aji
(in s-1) for a transition
are related by the following expression:
![]() |
(1) |
where m and e are the electron mass and charge, respectively, c is the velocity of light,





![]() |
(2) |
![]() |
(3) |
![]() |
(4) |
![]() |
(5) |
In Table 3 we present transition energies (



In Table 4
we compare our f-values from both GRASP and
FAC with the corresponding results of Huang
et al. (1983),
Fawcett (1987),
Mohan et al. (2005),
and Froese Fischer et al. (2006),
among the lowest 31 levels of Cr VIII, common to all
calculations. For all these (and many more) transitions there is a
satisfactory agreement between our two sets of f-values from GRASP
and FAC. The f-values of Fawcett are
available for only a few transitions, and differ from other
calculations by up to a factor of two for some of the transitions, such
as 1-3, 2-3, and 2-28. Differences are even larger, by a factor of
five, for the 2-25 transition, which is comparatively weaker (f
10-3). This is in spite of the fact that the
Fawcett energy levels agree closely with our calculations from GRASP
and FAC as well as with the experimental
compilations. The main reason for such large differences in the
f-values is the inclusion of limited CI in their calculations, as
stated in Sect. 1. For the same reason the f-values of Huang
et al. also differ by up to a factor of six for some weak
transitions, such as 1-5 (f
10-5) and 1-12 (f
10-6). It may also be noted that we have swapped
the 9 and 13 levels of Huang et al. with 28
and 29 (see Sect. 2), in order to facilitate an easy
comparison. However, there is comparatively a better agreement
(within 50%) between our f-values and those of Froese Fischer
et al. for most of the transitions, although the differences
are larger for two weak transitions, namely 1-26 and 2-6. The other
available calculations of Mohan et al. also differ with our as
well as other calculations by up to an order of magnitude for many
transitions, such as 1-6, 1-17, 1-26, 2-6, and 2-14. Although they have
included extensive CI and one-body relativistic operators in
their calculations from the CIV3 code, large differences
between their f-values and all other calculations indicate an
unreliability in their results. Finally, for the two most important
transitions of Cr VIII, namely 1-3 and 2-3, two other
sophisticated calculations by Biemont & Träbert (2000) and Berrington
et al. (2001)
are available for which there is no discrepancy with our results from GRASP
and FAC, and those of Froese Fischer
et al., but results from the MCDF, HFR, and
CIV3 calculations differ by up to 50%.
One of the general criteria to assess the accuracy of
radiative rates is to compare the length and velocity forms of the f-
or A-values. However, such comparisons are only desirable, and are not
a fully sufficient test to assess accuracy, as calculations based on
different methods (or combinations of configurations) may give
comparable f-values in the two forms, but entirely different results in
magnitude. Generally, there is a good agreement between the length and
velocity forms of the f-values for strong
transitions (f
0.01), but differences between the two forms can sometimes be
substantial even for some very strong transitions, as demonstrated
through various examples by Aggarwal et al. (2007). Nevertheless,
for almost all of the strong E1 transitions the two forms
agree to within 20%, but differences for 196 (
1%) of
the transitions are higher by up to 50%, and for three
transitions (49-198: f = 0.015, 90-316: f =
0.018, and 92-323: f = 0.015), the two
forms differ by a factor of 5. Therefore, on the basis of
these and earlier comparisons we may state that for a majority of the
strong E1 transitions, our radiative rates are accurate to
better than 20%. However, for the weaker transitions this
assessment of accuracy does not apply, because weak transitions are
very sensitive to mixing coefficients, and hence differing amount
of CI (and methods) produce different f-values, as discussed
in detail by Hibbert (2000).
This is the main reason that the two forms of f-values for some weak
transitions (
3%)
differ significantly (by over a factor of 1000), and examples
include 1-256 (f = 1.1
10-9), 13-196 (f =
2.1
10-9), and 44-327 (f =
3.3
10-11). The f-values for weak transitions are
required in plasma modelling for completeness, but their contributions
are less important in comparison to stronger transitions with f
0.01. For this reason many authors (and some codes) do not normally
report the A-values for very weak transitions.
Table 4:
Comparison of oscillator strengths (f-values) for transitions among the
lowest 31 levels of Cr VIII.
.
Finally, we compare the f-values for E1 transitions
obtained from our GRASP and FAC
calculations. In general, both sets of f-values from GRASP
and FAC agree well (within 20%) for a
majority of strong transitions. However, for some transitions the
differences between the two calculations are higher, particularly for
three, namely 37-359 (f = 0.195), 186-287 (f =
0.369), and 205-320 (f = 0.438), for which
the discrepancy is up to an order of magnitude. Considering the large
number of transitions being compared, such a good agreement between the
two independent calculations is satisfactory and supports the accuracy
of the listed results.
Table 5:
Comparison of lifetimes (
in s) for levels of Cr VIII.
.
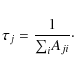
4 Lifetimes
The lifetime
of a level j is defined as follows:
![]() |
(6) |
In Table 1 we include lifetimes for all levels from our calculations from the GRASP code. These results include A-values from all types of transitions, i.e. E1, E2, M1, and M2. Unfortunately no experimental results for lifetimes are available with which to compare. However, theoretical results are available for some levels from the calculations of Mohan et al. (2005) and Froese Fischer et al. (2006). Therefore, in Table 5 we compare our values of







5 Effective collision strengths
Using FAC we have performed calculations
for collision strengths (). However, for these
calculations only 495 levels belonging to the 3s23p5,
3s3p6, 3s23p43d,
3s3p53d, 3s23p33d2,
3p63d, 3s3p43d2,
and 3s23p44
configurations are considered. Furthermore, assuming a Maxwellian
distribution of electron velocities, effective collision
strengths (
)
have also been calculated over a wide temperature range of 105.0-106.6 K.
These results are listed in Table 6 for all transitions among
the lowest 362 levels of Table 1. The indices adopted
for defining the lower and upper levels of a transition are defined in
Table 1.
We would like to clarify here that the level orderings followed in
Table 6 are corresponding to the orderings from the GRASP
code, as listed in Table 1,
although the (effective) collision strengths are from the FAC
code. This is in order to facilitate a compatibility among orderings of
different tables. However, we would
like to emphasize here that resonances have not
been included in these calculations. Generally, the contribution of
resonances in the determination of effective collision strengths and
subsequently the excitation rates is significant, especially for the
forbidden transitions, even at temperatures as high as 106.6 K,
as demonstrated in several of our earlier papers, such as by Aggarwal
et al. (2009)
for transitions in Kr XXXII. In order to account for the
resonances, calculations based on the Dirac atomic R-matrix
code ( DARC) need to be performed. Such
calculations, although very useful, will be computationally expensive
and time consuming, but should be considered in future. Therefore, our
results for
have scope for improvement, both in the construction of the
wavefunctions as well as in the accounting of resonances. Till such
calculations become possible, we hope the presently listed data for
over a wide temperature range, along with the radiative rates, will be
useful for the modelling of a variety of plasmas.
6 Conclusions
In this work, energy levels, radiative rates, oscillator strengths, and
line strengths for transitions among 362 fine-structure levels
of Cr VIII are computed using the fully relativistic GRASP
code, and results are reported for electric and magnetic dipole and
quadrupole transitions. For calculating these parameters an extensive
CI has been included, apart from the relativistic effects, which has
been observed to be significant, particularly for the accurate
determination of energy levels. There is a paucity of measured energies
for a majority of levels, but theoretical results are available,
particularly for the lowest 31 levels. Based on a variety of
comparisons among different calculations, the reported energy levels
are assessed to be accurate to better than 3%. However, the
accuracy of other parameters (A, f, and S) for a
majority of strong
transitions is 20%.
Lifetimes are also reported for all levels but no measurements are available with which to compare, and the limited calculations available earlier differ significantly for some levels.Further large calculations and particularly measurements for some of the levels will be highly useful for assessing the accuracy of our reported lifetimes.
Calculations for collision strengths and effective collision
strengths have also been performed, but only among the
495 levels of Cr VIII. Since no other similar
calculations are available in the literature for these parameters, the
listed values of
over a wide temperature range should be highly useful for the modelling
of a variety of plasmas. However, scope remains for improvement over
the present results, mainly because the contribution of resonances in
the thresholds region has not been accounted for. Their contribution
generally enhances the values of
,
for a majority of transitions and almost over the entire temperature
range of consideration.
Finally, calculations for energy levels and radiative rates have been performed for 4031 levels of Cr VIII, but for brevity results have been reported for only the lowest 362 levels. However, a complete set of results for all calculated parameters can be obtained on request from KMA ( K.Aggarwal@qub.ac.uk) or IM ( murakami.izumi@nifs.ac.jp). Similarly, results for collision strengths and effective collision strengths for all transitions among the calculated 495 levels of Cr VIII can be obtained electronically on request from the authors.
AcknowledgementsThis work has been jointly financed by the Engineering and Physical Sciences and Science and Technology Facilities Councils of the United Kingdom and the NIFS/NINS project of Formation of International Network for Scientific Collaborations. F.P.K. is grateful to A.W.E. Aldermaston for the award of a William Penney Fellowship, and KMA will like to acknowledge the hospitality of NIFS enjoyed during the visits in November 2007 and October 2008 when part of this work was performed. We thank the two Referees for the critical reading of the earlier version of the paper and for making useful suggestions for the overall improvement.
References
- Aggarwal, K. M., & Keenan, F. P. 2008, A&A, 488, 365 [NASA ADS] [CrossRef] [EDP Sciences]
- Aggarwal, K. M., Tayal, V., Gupta, G. P., & Keenan, F. P. 2007, At. Data Nucl. Data Tables, 93, 615 [NASA ADS] [CrossRef]
- Aggarwal, K. M., Hamada, K., Igarashi, A., et al. 2008a, A&A, 484, 879 [NASA ADS] [CrossRef] [EDP Sciences]
- Aggarwal, K. M., Keenan, F. P., & Lawson, K. D. 2008b, At. Data Nucl. Data Tables, 94, 323 [NASA ADS] [CrossRef]
- Aggarwal, K. M., Keenan, F. P., & Lawson, K. D. 2009, At. Data Nucl. Data Tables, 95, 607 [NASA ADS] [CrossRef]
- Aggarwal, K. M., Keenan, F. P., & Lawson, K. D. 2010, At. Data Nucl. Data Tables, in press
- Berrington, K. A., Pelan, J. C., & Waldock, J. A. 2001, J. Phys. B, 34, L419 [NASA ADS] [CrossRef]
- Biemont, E., & Träbert, E. 2000, J. Phys. B, 33, 2939 [NASA ADS] [CrossRef]
- Cowan, R. D. 1981, The Theory of Atomic Structure and Spectra, Univ. of California Press, Los Angeles
- Del Zanna, G., Berrington, K. A., & Mason, H. E. 2004, A&A, 422, 731 [NASA ADS] [CrossRef] [EDP Sciences]
- Dere, K. P., Landi, E., Young, P. R., & Del Zanna, G. 2001, ApJS, 134, 331 [NASA ADS] [CrossRef]
- Desclaux, J. P. 1975, Comput. Phys. Commun., 9, 31 [NASA ADS] [CrossRef]
- Fawcett, B. C. 1987, At. Data Nucl. Data Tables, 36, 151 [NASA ADS] [CrossRef]
- Froese Fischer, C., Tachiev, G., & Irimia, A. 2006, At. Data Nucl. Data Tables, 92, 607 [NASA ADS] [CrossRef]
- Grant, I. P., McKenzie, B. J., Norrington, P. H., Mayers, D. F., & Pyper, N. C. 1980, Comput. Phys. Commun., 21, 207 [NASA ADS] [CrossRef]
- Gu, M. F. 2003, ApJ, 582, 1241 [NASA ADS] [CrossRef]
- Hibbert, A. 1975a, Comput. Phys. Commun., 9, 141 [NASA ADS] [CrossRef]
- Hibbert, A. 2000, AIP Conf. Proc., 543, 242 [NASA ADS]
- Huang, K. N., Kim, Y. K., Cheng, K. T., & Desclaux, J. P. 1983, At. Data Nucl. Data Tables, 28, 355 [NASA ADS] [CrossRef]
- Mohan, M., Singh, A. K., Jha, A. K. S., & Singh, N. 2005, Pramana J. Phys., 65, 75 [NASA ADS] [CrossRef]
Footnotes
- ... VIII
- Full Tables 1, 3, and Table 6 are only available in electronic form at the CDS via anonymous ftp to cdsarc.u-strasbg.fr (130.79.128.5) or via http://cdsweb.u-strasbg.fr/cgi-bin/qcat?J/A+A/506/1501
All Tables
Table 1: Energy levels (in Ryd) of Cr VIII and their lifetimes (s). The complete table is available in electronic form at the CDS.
Table 2: Eigenvectors for some highly mixed levels of Cr VIII.
Table 3:
Radiative rates (Aji
in s-1) and oscillator strengths (fij,
dimensionless) for electric dipole (E1) transitions of Cr VIII with f
0.1. (
).
The complete table for transition wavelengths (
), radiative rates, oscillator
strengths, and line strengths (S) for all E1, and Aji
for E2, M1, and M2 transitions of Cr VIII is available in the
electronic form at the CDS.
Table 4:
Comparison of oscillator strengths (f-values) for transitions among the
lowest 31 levels of Cr VIII.
.
Table 5:
Comparison of lifetimes (
in s) for levels of Cr VIII.
.
Copyright ESO 2009
Current usage metrics show cumulative count of Article Views (full-text article views including HTML views, PDF and ePub downloads, according to the available data) and Abstracts Views on Vision4Press platform.
Data correspond to usage on the plateform after 2015. The current usage metrics is available 48-96 hours after online publication and is updated daily on week days.
Initial download of the metrics may take a while.