| Issue |
A&A
Volume 506, Number 3, November II 2009
|
|
|---|---|---|
| Page(s) | 1437 - 1443 | |
| Section | The Sun | |
| DOI | https://doi.org/10.1051/0004-6361/200912616 | |
| Published online | 27 August 2009 | |
A&A 506, 1437-1443 (2009)
Electron beam - plasma system with the return current and directivity of its X-ray emission
M. Karlický - J. Kasparová
Astronomical Institute of the Academy of Sciences of the Czech Republic, 25165 Ondrejov, Czech Republic
Received 2 June 2009 / Accepted 29 July 2009
Abstract
Aims. An evolution of the electron distribution function in the
beam-plasma system with the return current is computed numerically for
different parameters. The X-ray bremsstrahlung corresponding to such an
electron distribution is calculated and the directivity of the X-ray
emission is studied.
Methods. For computations of the electron distribution functions
we used a 3-D particle-in-cell electromagnetic code. The directivity of
the X-ray emission was calculated using the angle-dependent
electron-ion bremsstrahlung cross-section.
Results. It was found that the resulting electron distribution
function depends on the magnetic field assumed along the electron beam
propagation direction. For small magnetic fields the electron
distribution function becomes broad in the direction perpendicular to
the beam propagation due to the Weibel instability and the return
current is formed by the electrons in a broad and shifted bulk of the
distribution. On the other hand, for stronger magnetic fields the
distribution is more extended in the beam-propagation direction and the
return current is formed by the electrons in the extended distribution
tail. In all cases, the anisotropy of the electron distribution
decreases rapidly due to fast collisionless processes. However, the
magnetic field reduces this anisotropy decrease. The X-ray directivity
shows the same trend and it is always closer to the isotropic case than
that in a simple beaming model.
Key words: Sun: flares - Sun: particle emission - Sun: X-rays, gamma rays
1 Introduction
It is commonly believed that the hard X-ray emission in solar flares is produced by the bremsstrahlung process of energetic electrons in dense layers of the solar atmosphere (Brown 1971; Tandberg-Hanssen & Emslie 1988).
It is also known that up to now this scenario has several unresolved drawbacks
as summarized in the paper by Brown et al. (1990). For example, the
bremsstrahlung mechanism generating the hard X-ray bursts is of a very low
efficiency and therefore huge electron beam fluxes
-1012 erg s-1 cm-2 are required for an explanation of the
observed X-ray fluxes (Hoyng et al. 1978). It means that at the acceleration
site in the low corona with a relatively low density (
cm-3), a substantial part of all plasma electrons needs to be
accelerated. Furthermore, these electron beams represent huge electric currents
that have to be neutralized by the return currents. The return current is a
natural part of any beam-plasma system (van den Oord 1990).
The beam-plasma interaction has been studied for a long time, starting with the paper by Bohm & Gross (1949). While the first 1-D models considered the electrostatic aspects of this interaction (two-stream instability, generation of Langmuir waves, and quasi-linear relaxation of the beam, see e.g. Melrose 1980; Birdsall & Langdon 1985; Benz 1993; Karlický 1997, and the references therein), new 3-D studies include the return current and electromagnetic effects which lead to many further instabilities (Weibel, filamentation, oblique, Bell, Buneman, and so on, see Karlický 2009; Karlický & Bárta 2009; Bret 2009). (Remark: The Weibel instability in the sense used here and in the paper by Nishikawa et al. (2008) is also known as the filamentation instability (Bret 2009).) To cover all these processes, especially inductive processes neutralizing the total electric current, in the present study we use a general and fully self-consistent (basic plasma physics) approach - a 3-D electromagnetic particle-in-cell (PIC) modelling.
All the abovementioned processes necessarily modify the electron distribution function in the flare X-ray source. Moreover, contrary to simple models, which generally predict high anisotropy of electrons and X-rays, it was found that the observed hard X-ray directivities are low (e.g. Kane 1983). Furthermore, Kontar & Brown (2006) found a low anisotropy of the electron distribution function in the X-ray source by separating the reflected X-ray emission from the direct one. They concluded that the conventional solar flare models with downward beaming are excluded.
In the present paper we want to demonstrate the importance of the abovementioned processes on the evolution of the beam-plasma system with the return current. Our aim is to show their effects on the anisotropy of the electron distribution function in this system and thus on the directivity of the corresponding X-ray emission. Using the 3-D electromagnetic PIC model, for the first time in the study of X-ray directivity, we compute the evolution of the beam-plasma system with the return current depending on the magnetic field in the beam propagation direction. Then, assuming that the resulting electron distribution functions generate X-ray bremsstrahlung, we calculate the directivity of the associated X-ray emission. (For a detailed analysis of the instabilities and waves produced in the studied beam-plasma system, see Karlický et al. 2008; Karlický 2009; Karlický & Bárta 2009.)
The layout of the paper is as follows: in Sect. 2 we outline our model. The results of computations of the electron distribution functions with the return current are shown in Sect. 3. In Sect. 4 we present the corresponding X-ray directivities. Finally, in Section 5 the results are discussed and conclusions given.
2 Model
Table 1: Model parameters.
For our study we used a 3-D (3 spatial and 3 velocity components) relativistic
electromagnetic PIC code (Buneman 1993). The system sizes are
,
,
and
(where
is the
grid size).
For a basic set of models we initiated a spatially homogeneous electron-proton
plasma with the proton-electron mass ratio
(Models A-F, and K-O in Table 1). This is unrealistic and it was chosen to
shorten the proton skin depth and computations. Nevertheless, the ratio is
still sufficient to well separate the dynamics of electrons and protons. For
comparison we added models with the mass ratio
and 100 (Models G-J in Table 1). The electron thermal velocity is
(the corresponding temperature is
MK), where c is the speed of light. In all models, 160 electrons
and 160 protons per cube grid were used. The plasma frequency is
and the electron Debye length is
.
In
the models with the proton-electron mass ratio
,
the electron and proton skin depths are
and
,
respectively.
Then, we included one monoenergetic beam homogeneous throughout the numerical box (see Models A-M). Note that due to the physical and numerical simplicity and the propagation effect in which faster electrons escape from the slower ones, in most cases we consider monoenergetic electron beams, although in the interpretation of solar flare hard X-rays, the power-law distributions are used. The power-law distributions are derived as mean distributions over the whole X-ray source for much longer timescales than those considered in the present study. In much smaller flare volumes and on much shorter timescales, the monoenergetic beam is a reasonable choice. Nevertheless, in Models N and O we added computations with the beam having a power-law distribution function. To show effects of instabilities distinctly we chose its power-law index (in the velocity space) as 1.5, and the low-velocity cutoff of 0.09 c.
Table 2:
The real spatial and time scales
as a function of the chosen plasma density
.
To keep the total current zero in these models in the initial states, we
shifted the background plasma electrons in the velocity space (i.e. we
initiated the return current) according to the relation
,
where
is the velocity
of the electron beam,
and
are the beam and
background plasma densities (for this type of initiation see
Niemiec et al. 2008). The beam velocity was chosen to be
or 0.333
(in the z direction), see Table 1. The ratio of the beam and plasma densities
was taken as
(Models A-L and N-O), and
(Model M).
|
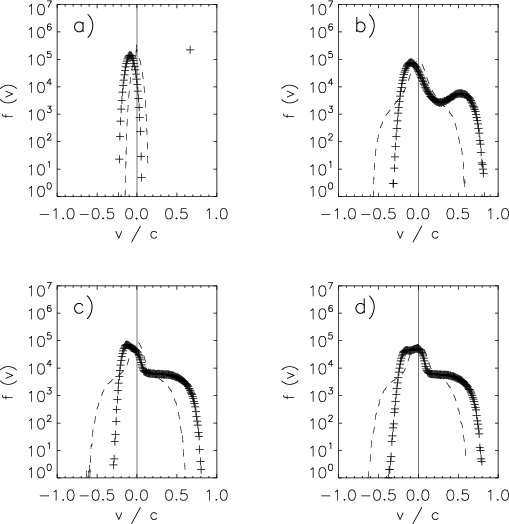
Figure 1:
The electron distribution functions in Model B
at four different times:
at the initial state
a), at
|
| Open with DEXTER | |
Because computations in the PIC models are dimensionless, the results are valid
for a broad range of plasma densities. The real time and spatial scales are
given by specifying the plasma density. Table 2 summarizes temporal and spatial
scales (the interval of computations
and the Debye
length) for the plasma densities in the 108-1011 cm-3 range. The
processes under study are very fast. The collisional processes are much longer,
see the collisional free time (1/
)
in Table 2. The numerical system size
is small (45
45
600
,
i.e. for the plasma
density e.g.
cm-3 it gives 76 cm
76 cm
1010 cm). Since the periodic boundary conditions are used, in reality the studied
problem is infinite in space.
|
Figure 2:
The electron distribution
functions
at
|
| Open with DEXTER | |
|
Figure 3:
The electron distribution
functions in electron energies (thick lines)
at
|
| Open with DEXTER | |
The beam density and the corresponding beam energy flux is given by the chosen
plasma density
,
= (1/8 and 1/40),
and the beam velocities (see Table 1). For example, for
cm-3,
/
,
and
c, the beam density
cm-3 and the beam energy flux
erg s-1 cm-3.
Because we want to study the influence of the magnetic field, in the models we
consider several values of the ratio of the electron-cyclotron and
electron-plasma frequencies (
,
0.1, 0.5, 0.7, 1.0, and 1.3 - see Table 1). Note that in the space close to
the flare acceleration site in the low corona there is plasma of relatively low
density. Thus, for the huge electron beam fluxes required for an explanation of
the observed X-ray bursts, such high ratios of
are
needed. In all models, the periodic boundary conditions were used.
3 Results of 3-D PIC simulations
As an illustration of the time evolution of the electron distribution function
in the beam-plasma system with the return current, Fig. 1 shows this evolution
for Model B. As can be seen, due to the two-stream instability (Michailovskij
1975), a plateau of the distribution function f(vz) (in the beam propagation
direction) on the beam side is formed. Moreover, some small part of the
electrons even increased their energy due to their interaction with generated
Langmuir waves. Simultaneously, the distribution functions f(vx) and
f(vy), i.e. the distribution functions in the directions perpendicular to
that of the beam propagation, are strongly heated. This is due to the
Weibel instability (1959, see also Nishikawa et al. 2006).
|
Figure 4:
Time evolution of the ratio of the electron kinetic parallel and
perpendicular energies
|
| Open with DEXTER | |
|
Figure 5:
The electron distribution
functions
at
|
| Open with DEXTER | |
To demonstrate how the magnetic field influences the resulting electron
distribution function, Fig. 2 presents the distribution functions for six
values of the ratio of the electron-cyclotron and electron-plasma frequencies
(
,
0.1,0.5, 0.7, 1.0, and 1.3 - Models A-F, Table 1). It is evident that with the increase of the ratio
,
the role of the Weibel instability is
more and more reduced, the distribution functions in the direction
perpendicular to the beam propagation f(vx) and f(vy) are less heated. On
the other hand, the problem of the return current formation becomes more and
more one-dimensional and a more extended tail on the return current side is
formed (compare Model A and F in Fig. 2, see also Karlický et al. 2008;
Karlický 2009; Karlický & Bárta 2009). In Fig. 3 the same results are expressed in terms of the
electron distribution functions depending on the electron energies. Although
this type of description is more common in flare research, the distribution
functions in
velocity space presented in Fig. 2 carry more information than those in Fig. 3
and thus they are more physically relevant in describing the studied processes.
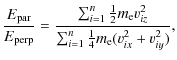
The ratio of the electron kinetic energies in the direction parallel and
perpendicular to that of beam propagation, which expresses the ``anisotropy'' of
the system, is shown in Fig. 4. The ratio of energies is defined as:
|
(1) |
where n is the number of electrons in the whole numerical box. As can be seen in Fig. 4, the collisionless (wave-particle) processes very rapidly decrease the ``anisotropy'' on time scales shorter than
In Fig. 5 a comparison of models with three different mass ratios
(
,
16, 100) and two values of the ratio
(0.0 and 1.3) is made. While in the
cases with
(the electron-positron plasma) the
strong heating of the distribution functions f(vx) and f(vy) can be seen
even for the strong magnetic field
(
), for the proton-electron plasma the resulting f(vx) and f(vy) for
and 100 do not differ significantly. Note that
in the model with
the proton skin depth is
greater than the system sizes Lx and Ly.
We also compared the evolution of the electron distribution functions in Models
A and F with Models K and L, i.e. the models with a lower initial beam velocity
(
). We found that only the extent of the return-current
tail in Model L is shorter than that in Model F. It is a natural consequence of
the greater beam velocity in Model F than in Model L. Furthermore, it was found
that Model M gave qualitatively the same results as Model A.
In Figs. 6 and 7 the electron distribution functions in Models N and O, i.e. in
the models with the power-law beam and with two different ratio of
electron-cyclotron and electron-plasma frequencies
(
and 1.3) are shown. Because
these models are not subject to the bump-on-tail instability there are no
significant changes in the distribution f(vz) on the beam distribution side.
On the other hand, the Weibel instability plays its role, especially in the
case without the magnetic field (Model N). Once again, in Model N the plasma is
heated in the direction perpendicular to that of beam propagation, whereas in
Model O, the return current is formed by the extended distribution tail.
|
Figure 6:
The electron distribution functions in Model N with the power-law beam
at four different times: at the initial state a),
at
|
| Open with DEXTER | |
4 Directivity of X-ray emission
Knowing the electron distribution function
,
an instantaneous X-ray
bremsstrahlung, i.e. the so-called thin-target emission (e.g. Brown et al.
2003) can be calculated. To account for the anisotropy of
,
we
considered the angle-dependent electron-ion bremsstrahlung cross-section
differential in the electron energy E and the solid
angle of the incoming electron, where
is the photon energy
and
is the angle between the electron pre-collision velocity and direction
of the photon emission (Gluckstern & Hull 1953). We used the expression for
given in Appendix of Massone et al. (2004), which
includes the Elwert (1939) Coulomb correction. The cross-section was evaluated
using hsi_reg_ge_angle_cross.pro available in the Solar Software.
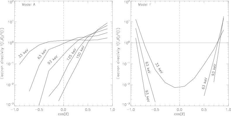
Figure 8 shows the X-ray directivity, i.e. the ratio of the
angle-dependent
to integral photon spectrum
,
where
and
is the polar and azimuthal angle, respectively,
is the solid angle. The z-axis of the coordinate system is chosen to
be along the beam propagation direction. Note that due to axial symmetry of the
problem around the z-axis, the photon spectrum
is
also independent of
,
so
.
Assuming that the beam propagates along the local normal line towards the
photosphere, Fig. 8 displays a variation of the X-ray directivity
observed from different viewing angles: the cases with
and
correspond to the forward (the direction to the photosphere)
and backward (the direction to the Earth's observer when the X-ray source is at
the disc centre) emissions, while the case with
denotes the
emission in the perpendicular direction (the X-ray source placed on the solar
limb).
The behaviour of the X-ray directivity is closely related to the corresponding
electron distribution. Comparing Model A and F at the time
with Models A-F in the initial state (i.e. the case with a simple
beaming) in Fig. 8, it can be seen that values of the directivity,
especially in the backward direction, become closer to the value 1 (the
isotropic case). Therefore, the global directivity decreased during the
evolution of the electron distribution. Furthermore, we can see that the
directivity values for
in Model A are closer to the isotropic
case than those in Model F. This is due to the strong heating of the plasma in
the direction perpendicular to the beam propagation and it is caused by the
Weibel instability in Model A (the case with zero magnetic field).
We also defined the electron directivity
,
similarly to the
X-ray one. Models A and F at time
are presented in
Fig. 9 and show in another way the electron distribution
characteristics discussed above in Sect. 3, Fig. 2. Comparing these
electron directivities, we can see that they differ more distinctly than the
corresponding X-ray directivities (Fig. 8). Such a difference is
caused by the strong smoothing effect of the bremsstrahlung cross-section.
We also calculated the X-ray directivities for Models K-L and N-O. They show
the same changes as follows from the comparison of plots in Fig. 8, but these
changes are less pronounced due to smaller changes of the
anisotropy in these models.
|
Figure 7:
The electron distribution functions in Model O
with the power-law beam
at four different times: at the initial state a),
at
|
| Open with DEXTER | |
5 Discussion and conclusions
Varying the ratio of electron-cyclotron and electron-plasma frequencies
,
it was found that the magnetic field
influences the evolution of the electron distribution function in electron beam
- plasma system with a return current. While for small magnetic fields
(
)
the electron distribution
function becomes broad in the direction perpendicular to the beam propagation
due to the Weibel instability and the return current is formed by the electrons
in a broad and shifted bulk of the distribution, for stronger magnetic fields
(
)
the distribution is more
extended in the beam-propagation direction and the return current is formed by
the electrons in an extended distribution tail. Assuming the magnetic field and
electron density as B = 100 G and
cm-3relevant to solar flares, the ratio of the electron-cyclotron and
electron-plasma frequencies is
.
In such conditions the Weibel instability plays a role, but it is reduced for a
higher magnetic field. The evolution is influenced also by the two-stream
instability. Besides the formation of the plateau of the electron distribution
on the electron beam side, the simultaneously generated Langmuir waves even
accelerate a small part of the electrons.
|
Figure 8:
The X-ray directivity in several energies for
|
| Open with DEXTER | |
|
Figure 9:
The electron directivity in several energies
for Models A and F at
|
| Open with DEXTER | |
The collisionless processes cause a very fast decrease of the ratio of the electron kinetic parallel and perpendicular (with respect to the beam propagation direction) energies and lead to a decrease of the ``anisotropy'' of the system. Thus, the distribution function rapidly deviates from that with simple beaming. This can be also expressed by a decrease of the directivity of the associated X-ray bremsstrahlung emission. This fact agrees with the statement of Kontar & Brown (2006) that conventional solar flare models with a simple downward beaming should be excluded.
An additional aspect of the present study is that the inclusion and physical necessity of the return current in the beam - plasma system resolves the problem of number of electrons needed for an acceleration of the dense electron beam in the corona where the density is relatively low. The return current simply carries the same amount of electrons as in the electron beam back to the acceleration site. However, the return current does not have the same distribution function as the initially injected beam.
Variations of the X-ray directivity obtained in our models are of a level comparable to those in the electron beam propagation models by Langer & Petrosian (1977, Fig. 1) and Leach & Petrosian (1983, Fig. 4). However, there is an important difference between our model and the models by Langer & Petrosian (1977) and Leach & Petrosian (1983). We treat only collisionless processes which were neglected in the previous studies. Due to the very short time scales in our computations, no effects of longer beam propagation or collision scattering are included in the electron beam evolution.
Therefore, the similar level of X-ray directivies suggests that a comparable level of isotropisation of the electron distribution function caused by the collisional processes can be produced by the studied wave-particle processes on much shorter time scales. Moreover, it means that these fast processes should not be neglected in X-ray directivity studies.
Our study is not aimed at a direct comparison with observations, mainly due to
the large difference between simulated and observationally available time
scales. Nevertheless, the paper by Kontar & Brown (2006) allows us to compare
our simulations with their derived ratio of downward-to-upward electron
distributions,
.
The comparison reveals an
agreement between inferred
and Model F within
the confidence interval up to
50 keV. At higher energies, our models
predict a directivity higher than that obtained from observations.
The results presented here could be appropriate for low-density parts of flare loops where the collisionless processes are dominant. Furthermore, one may consider them as input into simulations (on much longer time scales) which treat a propagation of the beam in the environment where Coulomb collisions play a significant role, such as the transition region and the chromosphere. Since all these processes (collisionless on long time scales, collisional and even ionization processes in the background plasma) lead to further isotropisation of the particle distribution, we speculate that the resulting electron distribution and X-ray directivity would be much closer to the isotropic case, as was recently found from X-ray observations (Kontar & Brown 2006).
AcknowledgementsAll computations were performed on the parallel computer OCAS (Ondrejov Cluster for Astrophysical Simulations, see http://wave.asu.cas.cz/ocas). This research was supported by the grant IAA300030701 (GA CR) and the research project AV0Z10030501 (Astronomical Institute). The authors thank the referee for constructive comments that improved the paper.
References
- Benz, A. O. 1993, Plasma Astrophysics (Dordrecht, The Netherland: Kluwer Acad. Publ.)
- Birdsall, Ch. K., & Langdon, A. B. 1985, Plasma Physics via computer simulation (USA: McGraw-Hill Book Comp.)
- Bohm, D., & Gross, E. P. 1949, Phys. Rev., 75, 1851 [NASA ADS] [CrossRef]
- Bret, A. 2009, ApJ, 699, 990 [NASA ADS] [CrossRef]
- Brown, J. C. 1971, Sol. Phys., 18, 489 [NASA ADS] [CrossRef]
- Brown, J. C., Karlický, M., MacKinnon, A. L., & van den Ooord, G. H. J. 1990, ApJS, 73, 343 [NASA ADS] [CrossRef]
- Brown, J. C., Emslie, A. G., & Kontar, E. P. 2003, ApJ, 595, L115 [NASA ADS] [CrossRef]
- Buneman, O. 1993, in Computer Space Plasma Physics, ed. H. Matsumoto, & Y. Omura (Tokyo: Terra Scientific Publ. Comp.), 305
- Elwert, G. 1939, Ann. Phys., 34, 178 [CrossRef]
- Gluckstern, R. L., & Hull, M. H. 1953, Ohys. Rev., 90, 1030 [NASA ADS] [CrossRef]
- Hoyng, P., Knight, J. W., & Spicer, D. S. 1978, Sol. Phys., 58, 139 [NASA ADS] [CrossRef]
- Kane, S. R. 1983, Sol. Phys., 86, 355 [NASA ADS] [CrossRef]
- Karlický, M. 1997, Space Sci. Rev., 81, 143 [NASA ADS] [CrossRef]
- Karlický, M. 2009, ApJ, 690, 189 [NASA ADS] [CrossRef]
- Karlický, M., & Bárta, M. 2009, Nonlinear Processes in Geophysics, 16, 525 [NASA ADS]
- Karlický, M., Nickeler, D. H., & Bárta, M. 2008, A&A, 486, 325 [NASA ADS] [CrossRef] [EDP Sciences]
- Kontar, E. P., & Brown, J. C. 2006, ApJ, 653, L149 [NASA ADS] [CrossRef]
- Langer, S. H., & Petrosian, V. 1977, ApJ, 215, 666 [NASA ADS] [CrossRef]
- Leach, J., & Petrosian, V. 1983, ApJ, 269, 715 [NASA ADS] [CrossRef]
- Massone, A. M., Emslie, A. G., Kontar, E. P., et al. 2004, ApJ, 612, 1233 [NASA ADS] [CrossRef]
- Melrose, D. B. 1980, Plasma Astrophysics (New York, USA: Gordon and Breach Sci. Publ.)
- Michailovskij, A. B. 1975, Teorija plazmennych neustojchivostej, Atomizdat, Moskva (in Russian)
- Niemiec, J., Pohl, M., Stroman, T., & Nishikawa, K. 2008, ApJ, 684, 1174 [NASA ADS] [CrossRef]
- Nishikawa, K.-I., Hardee, P. E., Hededal, C. B., & Fishman, G. J. 2006, ApJ, 642, 1267 [NASA ADS] [CrossRef]
- Tandberg-Hanssen, E., & Emslie, A. G. 1988, The Physics of Solar Flares (Cambridge, UK: Cambridge Univ. Press)
- van den Oord, G. H. 1990, A&A, 234, 496 [NASA ADS]
- Weibel, E. S. 1959, Phys. Rev. Lett., 2, 83 [NASA ADS] [CrossRef]
All Tables
Table 1: Model parameters.
Table 2:
The real spatial and time scales
as a function of the chosen plasma density
.
All Figures
|
Figure 1:
The electron distribution functions in Model B
at four different times:
at the initial state
a), at
|
| Open with DEXTER | |
| In the text | |
|
Figure 2:
The electron distribution
functions
at
|
| Open with DEXTER | |
| In the text | |
|
Figure 3:
The electron distribution
functions in electron energies (thick lines)
at
|
| Open with DEXTER | |
| In the text | |
|
Figure 4:
Time evolution of the ratio of the electron kinetic parallel and
perpendicular energies
|
| Open with DEXTER | |
| In the text | |
|
Figure 5:
The electron distribution
functions
at
|
| Open with DEXTER | |
| In the text | |
|
Figure 6:
The electron distribution functions in Model N with the power-law beam
at four different times: at the initial state a),
at
|
| Open with DEXTER | |
| In the text | |
|
Figure 7:
The electron distribution functions in Model O
with the power-law beam
at four different times: at the initial state a),
at
|
| Open with DEXTER | |
| In the text | |
|
Figure 8:
The X-ray directivity in several energies for
|
| Open with DEXTER | |
| In the text | |
|
Figure 9:
The electron directivity in several energies
for Models A and F at
|
| Open with DEXTER | |
| In the text | |
Copyright ESO 2009
Current usage metrics show cumulative count of Article Views (full-text article views including HTML views, PDF and ePub downloads, according to the available data) and Abstracts Views on Vision4Press platform.
Data correspond to usage on the plateform after 2015. The current usage metrics is available 48-96 hours after online publication and is updated daily on week days.
Initial download of the metrics may take a while.



![\begin{figure}
\par\includegraphics[width=12cm,clip]{12616fg4.ps}
\end{figure}](/articles/aa/full_html/2009/42/aa12616-09/Timg50.png)




