Issue |
A&A
Volume 506, Number 3, November II 2009
|
|
---|---|---|
Page(s) | 1147 - 1168 | |
Section | Extragalactic astronomy | |
DOI | https://doi.org/10.1051/0004-6361/200912718 | |
Published online | 27 August 2009 |
A&A 506, 1147-1168 (2009)
A photometric and spectroscopic study of the new dwarf spheroidal galaxy in Hercules
,![[*]](/icons/foot_motif.png)
Metallicity, velocities, and a clean list of RGB members
D. Adén1 - S. Feltzing1 - A. Koch2 - M. I. Wilkinson2 - E. K. Grebel3 - I. Lundström1 - G. F. Gilmore4 - D. B. Zucker5,6 - V. Belokurov4 - N. W. Evans4 - D. Faria4
1 - Lund Observatory, Box 43, 22100 Lund, Sweden
2 -
Department of Physics and Astronomy, University of Leicester, University Road, Leicester LE1 7RH, UK
3 -
Astronomisches Rechen-Institut, Zentrum für Astronomie der Universität Heidelberg, Mönchhofstr. 12-14, 69120 Heidelberg, Germany
4 -
Institute of Astronomy, Madingley Road, Cambridge, CB3 0HA, UK
5 -
Department of Physics, Macquarie University, North Ryde, NSW 2109, Australia
6 -
Anglo-Australian Observatory, PO Box 296, Epping, NSW 1710, Australia
Received 18 June 2009 / Accepted 13 August 2009
Abstract
Context. Dwarf spheroidal (dSph) galaxies are the least
luminous, least massive galaxies known. Recently, the number of
observed galaxies in this class has greatly increased thanks to large
surveys. Determining their properties, such as mass, luminosity and
metallicity, provides key information in our understanding of galaxy
formation and evolution.
Aims. Our aim is to provide as clean and as complete a sample as
possible of red giant branch stars that are members of the Hercules
dSph galaxy. With this sample we explore the velocity dispersion and
the metallicity of the system.
Methods. Strömgren photometry and multi-fibre spectroscopy are
combined to provide information about the evolutionary state of the
stars (via the Strömgren c1 index) and their radial
velocities. Based on this information we have selected a clean sample
of red giant branch stars, and show that foreground contamination by
Milky Way dwarf stars can greatly distort the results.
Results. Our final sample consists of 28 red giant branch stars
in the Hercules dSph galaxy. Based on these stars we find a mean
photometric metallicity of
dex
which is consistent with previous studies. We find evidence for an
abundance spread. Using those stars for which we have determined radial
velocities we find a systemic velocity of
with a dispersion of 3.72 km s-1,
this is lower than values found in the literature. Furthermore we
identify the horizontal branch and estimate the mean magnitude of the
horizontal branch of the Hercules dSph galaxy to be
,
which corresponds to a distance of
kpc.
Conclusions. When studying sparsely populated and/or heavily
foreground contaminated dSph galaxies it is necessary to include
knowledge about the evolutionary stage of the stars. This can be done
in several ways. Here we have explored the power of the
index in Strömgren photometry. This index is able to clearly identify
red giant branch stars redder than the horizontal branch, enabling a
separation of red giant branch dSph stars and foreground dwarf stars.
Additionally, this index is also capable of correctly identifying both
red and blue horizontal branch stars. We have shown that a proper
cleaning of the sample results in a smaller value for the velocity
dispersion of the system. This has implications for galaxy properties
derived from such velocity dispersions.
Key words: galaxies: dwarf - galaxies: fundamental parameters - galaxies: individual: Hercules - galaxies: kinematics and dynamics - galaxies: photometry
1 Introduction
In the past few years the number of known Milky Way satellites has increased considerably. Our Galaxy has gained at least ten newly recognized companions, and additional ones await confirmation (e.g. Belokurov et al. 2009,2006,2007; Walsh et al. 2007; Zucker et al. 2006b,a; Belokurov et al. 2008). These recently discovered satellites resemble the previously known dwarf spheroidal (dSph) galaxies in many of their characteristics (see Grebel et al. 2003, for a detailed discussion of the properties of the classical dSph galaxies), but most of the new satellites are several magnitudes fainter than any dwarf galaxy known before. Hence these objects are now often referred to as ``ultra-faint dwarf spheroidal galaxies''. Since most of the new discoveries were made using deep CCD sky surveys such as the Sloan Digital Sky Survey, which cover primarily the northern hemisphere, it seems highly likely that additional objects will be added once the southern sky is scanned in a similar manner (e.g. Walsh et al. 2009; Keller et al. 2007).
One of the new discoveries is the Hercules dwarf spheroidal galaxy (Belokurov et al. 2007). Hercules lies at a distance of kpc from us, has an absolute V-band magnitude of about
,
a V-band surface brightness of only
mag arcsec-2, and appears highly elongated (Martin et al. 2008; Coleman et al. 2007). Its stellar mass is estimated to be in the range of several
.
The mass of the Hercules dSph galaxy, as inferred from line-of-sight radial velocity measurements, is of the order of
within the central 300 pc (Strigari et al. 2008). This value is in good agreement with the seemingly ubiquitous, common mass scale of the other Galactic satellites (e.g. Strigari et al. 2008; Gilmore et al. 2007; Walker et al. 2007, and references therein).
As would be expected from its low luminosity and low surface
brightness, Hercules is a metal-poor dSph galaxy. From measurements of
the Ca II IR triplet lines in red giant stars, Simon & Geha (2007) inferred a mean metallicity of [Fe/H] =
on the metallicity scale of Carretta & Gratton (1997). Using spectrum synthesis of Fe I lines,
Kirby et al. (2008b) derived a mean metallicity of
dex.
Both studies found a wide range of metallicities among the red giant
stars in Hercules, confirming the trend known from
brighter dSph galaxies that often exhibit spreads of 1 dex and
more (e.g. Shetrone et al. 2001; Koch et al. 2007b,a,2006).
A detailed, high-resolution abundance analysis of two red giants in the Hercules dSph galaxy revealed that the enrichment in heavy elements proceeded inhomogeneously and that core-collapse supernovae were the primary contributors to the enrichment of Hercules (Koch et al. 2008b). Evidence for such chemical inhomogeneities on small scales has also been found in the more luminous dSph galaxies (Koch et al. 2008a) and in more massive dIrr galaxies (Kniazev et al. 2005).
In our current study we explore the potential of Strömgren photometry for the study of the stellar content of ultra-faint dSph galaxies, such as the one in Hercules. In contrast to the usual broadband photometry, Strömgren photometry offers several advantages. It provides us with gravity-sensitive multi-colour indices useful for distinguishing different evolutionary stages including giant-dwarf discrimination. This is a very valuable option when trying to eliminate foreground dwarfs from a giant candidate sample to be used for subsequent spectroscopy, particularly when dealing with sparse, extended, ultra-faint dSph galaxies that tend to suffer from substantial Galactic foreground contamination. Moreover, Strömgren indices offer the possibility to estimate metallicities for red giant stars. This method has been considerably refined since the early calibration attempts by Grebel & Richtler (1992). As compared to other photometric estimates, it has the added advantage of providing age-independent metallicity estimates (e.g. Faria et al. 2007). In terms of telescope time, intermediate-band photometry is a lot cheaper than spectroscopic surveys of faint giants.
We have obtained both Strömgren photometry as well as spectroscopic observations of the Ca II IR triplet lines for stars in the field of the Hercules dSph galaxy. These observations enable a full analysis both of evolutionary stage as well as radial velocities for these stars. It turns out that knowledge about the evolutionary stage of the stars is crucial for the construction of a clean sample of red giant branch (RGB) stars in the Hercules dSph galaxy.
The paper is organized as follows: in Sect. 2 we describe the observations and data reductions for both the photometric and the spectroscopic observations. In Sect. 3 we present the colour-magnitude diagram as well as the measured radial velocities. In Sect. 4 we show how the gravity sensitive Strömgren c1 index can be used to disentangle the Hercules dSph galaxy members from the foreground contamination, and Sect. 5 deals with membership determination based on radial velocities. Section 6 summarizes how we define a Hercules member star. Section 7 provides a comparison with previous velocity determinations. In Sect. 8 we derive metallicities for the stars identified as members of the Hercules dSph galaxy using the Strömgren m1 index as well as from the measurements of the Ca II IR triplet lines, and compare the results with previous studies of the metallicity of the Hercules dSph galaxy. In Sect. 9 our results are discussed and they are summarized in Sect. 10.
2 Observations and data reductions
In this section we detail the observations as well as the data reduction for both photometric and spectroscopic observations.
![]() |
Figure 1: Position on the sky
of our observations. The coordinates are given in decimal degrees,
epoch J2000. Central coordinates for the galaxy are from Martin et al. (2008).
The solid ellipse represents the core radius and the dotted ellipse the
King profile limiting radius of the Hercules dSph galaxy as determined
by Coleman et al. (2007). Solid rectangles outline the four CCD chips in the WFC used for the photometric observations. |
Open with DEXTER |
2.1 Photometry
Intermediate-band Strömgren u, v, b and y
photometry was obtained during six nights with the Wide Field Camera
(WFC) on the 2.5-m Isaac Newton Telescope (INT) on La Palma. Of the six
nights only three provided useful data due to bad weather conditions.
The WFC consists of 4 2k
4k CCDs. The CCDs have a pixel size of 13.5 microns corresponding to 0.33
per pixel. Figure 1 shows the location and dimensions of the galaxy on the sky and the positions of the CCD chips of the WFC.
Table 1: Summary of the photometric observations obtained with the Isaac Newton Telescope.
The observations are summarised in Table 1 and all observations were centered at RA =
and Dec = +
(Martin et al. 2008). Typical seeing during the three good nights was about 1.3 arcsec.
Table 2: Standard stars from Schuster & Nissen (1988), except HD107853 (Olsen 1993).
Multiple standard and extinction stars were observed each night. During the observations of the Hercules dSph galaxy, we observed 12 Strömgren standard stars chosen from the list in Schuster & Nissen (1988) plus one star from Olsen (1993), see Table 2. Two stars from the list of standard stars were observed several times during each night in order to sample the extinction for a large range of airmass. These stars will henceforth be referred to as extinction stars.
The observations of standard and extinction stars are used to find the zeropoint, extinction coefficients and colour terms, see Sect. 2.1.2.
2.1.1 Reduction of the photometric observations
The images for the Hercules dSph galaxy and the standard stars were reduced with the Wide Field Survey Pipeline provided by the Cambridge Astronomical Survey Unit (Irwin & Lewis 2001). The processing operations applied to the images were de-biasing, trimming, flatfielding, astrometry and correction for non-linearity.
2.1.2 Standard star photometry and establishing the photometric calibration
We obtained aperture photometry for the standard and extinction stars using the task PHOT within the IRAF
APPHOT package. The size of the aperture was determined individually
for each star by plotting the measured flux as a function of increasing
aperture size. The aperture at which the flux no longer increased was
chosen as the aperture for that star (typically 4-5
of the stellar psf). This curve-of-growth is used in order to maximise the signal-to-noise ratio (S/N) while measuring as much flux as possible from the star (Howell 1989).
The measurements of the standard and extinction stars were used to establish the transformations needed to put our observations on the standard system of Olsen (1993). Note that the Schuster & Nissen (1988) stars are secondary standards in this system. See Olsen (1995) for a discussion about the Olsen system as compared to the system established by Bond (1980) and Anthony-Twarog & Twarog (1994).
The first night out of the three useful nights did not give us reliable photometry for the standard stars (i.e. there was no well defined linear relation for the transformation to the standard system for that night), and this night was thus excluded from the calibration.
First, we derived preliminary extinction coefficients, ki, and zeropoints, zi, for each filter i by solving the following equation with a least-square fit
where m is the magnitude of the star and X is the airmass. The subscripts s, 0 and i designates the standard magnitude, the observed magnitude and the filter, respectively. With preliminary zeropoints and extinction coefficients we then solved for the colour term, ai, using a least-square fit
where zi' is the residual from the linear fit. Note that here we use the data for both nights in order to make use of the colours for all standard stars. With preliminary colour terms we can now solve the full equation to obtain better estimates of zi and ki
with these better estimates, Eq. (2) is again solved and Eqs. (2) and (3) are then iterated until convergence in a, z and k is achieved. Typically convergence is reached within 6 to 7 iterations. The final zeropoint is given by z'' in Eq. (3) plus the residual zeropoint from Eq. (2) from the last iteration. The extinction coefficients, colour terms, zeropoints and correlation coefficients between the uncertainty in z and k,

Table 3: Coefficients for Eq. (3).
The z, k and a obtained were used to transform our observations onto the standard system of Olsen (1993). The uncertainty for z, k and a, and the correlation coefficient
were used to calculate the errors in the magnitudes, Sect. 2.1.4.
![]() |
Figure 2:
The residuals for the standard stars as a function of our final (v-y) colour. The residuals are given in the sense ``our observed value'' - ``the standard value''. Mean differences and |
Open with DEXTER |
In Fig. 2 we show the residuals between our photometry and the standard values from Schuster & Nissen (1988) and Olsen (1993) as a function of our calibrated (v-y) colour. We note that there are no trends with colour.
2.1.3 Photometry of the stars in the science images
Instead of co-adding the science images, we did aperture photometry on each of the images separately. Co-adding the images would be difficult since the seeing varied from night to night and because of the necessity to apply the extinction correction for each night separately. As described later in this section the final flux for each star in each filter was calculated using a weighted-mean of the individual measurements. This enables us to do a more detailed study of the night to night quality. As a quality check we compared the flux for the brightest targets for each night with a mean flux, calculated for each object for all nights, to see if any of the images deviated in flux. None of the images deviated. From this we draw the conclusion that the calibration was consistent throughout the entire observing run.
Coordinate lists for the images were created using the task DAOFIND in the APPHOT package in IRAF. To establish the coordinate lists we used the best y image, since the stars are brightest in this filter. We then used this catalogue of coordinates for all the other images. We used the aperture photometry task PHOT, within the APPHOT package, to measure the flux for all objects on the images.
Aperture correction.
When doing photometry on the science images we used a fixed aperture of 5 pixels. Applying a curve-of-growth we obtained, for each individual image, the aperture correction out to
Table 4: Aperture corrections.
Table 5: Summary of the spectroscopic observations with FLAMES.
Final magnitudes.
Initial magnitudes were calculated for each object and night for every image and calibrated for the airmass extinction and zeropoint using Eq. (2), but this time with subscript s as our calibrated magnitude and, as before, 0 as the observed magnitude, with coefficients from Table 3. Since the first night did not give us reliable standard star photometry, and we thus have no calibration for that night, we normalized the magnitudes from that night to the mean of the magnitudes for the two following nights.For all three nights, erroneous measurements returned from PHOT for
the individual exposures were removed from the data set (i.e. the
measurements for which sier, cier and pier0,
which are the error in sky fitting, centering algorithm and photometry,
respectively). The flux was then calculated for each star. The final
flux,
,
was obtained by using a weighted-mean flux where the photometric errors returned from PHOT (merr) were used as weights. The expression for the final flux is thus
where the subscript j is the exposure, n is the total number of exposures, fj is the flux of the individual exposure and


2.1.4 Photometric errors
The errors in magnitude for the Strömgren photometry were calculated using a Monte Carlo Simulation, taking into account merr, the uncertainty in zeropoint, extinction coefficient and colour term and the strong anti-correlation between the uncertainty in zeropoint and extinction coefficient.
We did this in the following way. For each object, a new magnitude was calculated
![]() |
(5) |
where m0 is the observed magnitude in filter i and



![]() |
(6) |
![]() |
(7) |
where z0,i and k0,i are the zeropoint and extinction coefficient for filter i used in the calibration (see Sect. 2.1.2) and





![]() |
(8) |
where a0,i is the calculated colour term for filter i and


This process was then repeated 2000 times, generating a new set of u, v, b and y
magnitudes in each iteration. As the final error for each magnitude we
adopt the standard deviation of the magnitudes from the Monte Carlo
simulation. This is calculated as follows
where the subscript j is the Monte Carlo iteration number, and

![]() |
Figure 3: Errors in the photometry for y, b, v and u, as indicated. The calculation of the errors is described in Sect. 2.1.4. The few stars with anomalously high errors at a given magnitude are also discussed there. |
Open with DEXTER |
Figure 3 presents our final photometric errors, .
The base-level error of
0.02 mag (0.035 for the b filter) is due mainly to the errors in the photometric calibration, see Table 3 and the discussion above. The profile of the errors, i.e. increasing error with decreasing magnitude, is dominated by merr (i.e. photon statistics).
Some stars show a larger
than the majority of stars at that magnitude. This is most obvious in the u filter and is a statistical feature caused by the number of exposures that are
included for that star. The u
filter suffers most from this since stars are generally a lot fainter
in this filter, and therefore more measurements are rejected due to
errors in sky fitting,
centering and photometry. For example, the stars in u with a larger
for a given magnitude have three or fewer individual measurements while
the stars in the main trend all have five measurements. The higher
error in b is caused by the higher uncertainty for the zeropoint in b (compare Table 3).
2.1.5 Stellar classification using SExtractor
Contamination by background galaxies is a concern for our observations. As our images are uncrowded we can reach faint magnitudes with relative ease using aperture photometry. However, by using aperture photometry we have no information about the shape of the objects. In order to sort the stars from background galaxies we used SExtractor v2.5. SExtractor uses a tunable neural network trained on realistic simulated images to separate galaxies from stars in moderately crowded images (Bertin & Arnouts 1996). The SExtractor output, which is of interest to us, is the stellarity index, sclass; sclass takes on values between 0 and 1, where 0 indicates a galaxy and 1 a star. Following Bertin & Arnouts (1996), objects with a stellarity index greater than or equal to 0.5 were identified as stars.
As can be seen in Fig. 4, SExtactor clearly removes galaxies at bright magnitudes but its ability to distinguish stars from galaxies diminishes at fainter magnitudes where the S/N is lower. During our membership analysis (see Sect. 4.2) we investigated objects in a stellarity index range 0.07<sclass<0.5 and magnitude range 18<V0<21 in order to make sure that we did not exclude any objects of interest based on the stellarity index alone. This area is marked with a solid line in Fig. 4. We found two objects of interest, INT 34489 and INT43290 (see Sect. 4.2 for a discussion of these two objects).
![]() |
Figure 4: SExtractor stellarity index (sclass) as a function of V0. A star takes on values close to 1 and galaxies values close to 0. The rectangle indicates the area where we investigated each object individually (see Sect. 2.1.5). |
Open with DEXTER |
2.2 Spectroscopy
Our spectroscopy was carried out using the multiobject spectrograph
Fibre Large Array Multi Element Spectrograph (FLAMES) at the Very Large
Telescope (VLT) on Paranal. Operated in Medusa fibre mode, this
instrument allows for the observation of up to 130 targets at the same
time (Pasquini et al. 2002). Figure 1
shows the fibre positions on the sky for the stellar targets. 21
additional fibres were dedicated to observing blank sky. We used the
GIRAFFE/L8 grating, which provides a nominal spectral resolution of
and a wavelength coverage from 821 nm to 940 nm, centred on the Ca II IR triplet lines in the spectral region around 860 nm.
2.2.1 Reduction of spectroscopic observations
Initially, the FLAMES observations were reduced with the standard GIRAFFE pipeline version 2.2 (Blecha et al. 2000). This version of the pipeline, however, was not able to reduce a persistent glow on the CCD (Lind et al. 2008). This glow then created an extra background that increases towards the red. The effect was very large and would have affected the equivalent width measurements. Fortunately, during our work with these spectra a beta-version of the next version of the pipeline became available. The data were thus re-reduced with the GIRAFFE pipeline, version 2.5. This pipeline provides bias subtraction, flat fielding, dark-current subtraction, and accurate wavelength calibration from a ThAr lamp. It also solved the issue of the CCD glow.
![]() |
Figure 5: Example showing the
subtraction of sky-emission lines from the stellar spectra. At the top
we show a raw, one-dimensional, spectrum for one of the brightest stars
in our sample, V=18.4.
Below that spectrum is the final spectrum of the sky constructed
through the combination of all 21 sky fibres. At the bottom we show the
stellar spectrum once the sky has been removed. The S/N for the final stellar spectrum is 28. The rms in the sky spectrum is |
Open with DEXTER |
2.2.2 Spectroscopic measurements
The 21 sky spectra were combined and subtracted from the object spectra with the task SKYSUB in the SPECRED package in IRAF. Figure 5 gives an example of the sky-subtraction process.
Finally, the object spectra from the individual frames were
Doppler-shifted to the heliocentric rest frame and median-combined into
the final one-dimensional spectrum. When combining the object spectra
we used an average sigma clipping algorithm, rejecting measurements
deviating by more than 3,
in order to remove cosmic rays.
Radial velocities were determined by a Fourier cross-correlation of the combined spectra against a synthetic template spectrum using the IRAF task FXCOR. The template consisted of three Gaussian absorption lines at the positions of the Ca II IR triplet lines, with equivalent widths (W) representative for red giant stars. The radial velocities were determined from a Gaussian fit to the strongest correlation peak within a 300 km s-1 window. The uncertainty in the measurement of the radial velocity was returned by FXCOR and is based on the Tonry-Davis R-value (Tonry & Davis 1979, see Figs. 7a and b).
During the Fourier cross-correlation process we performed an ocular
inspection of the quality of the spectra. Spectra of objects fainter
than
showed no clearly visible Ca II IR triplet lines and were thus removed from the sample. The S/N for these spectra was typically
4 or less.
The equivalent widths, W, for the Ca II IR triplet lines were measured by fitting a Gaussian profile (Cole et al. 2004) to each of the three lines using the IRAF task SPLOT. From an ocular inspection of the spectra we found that the Gaussian profile fitted the Ca II triplet lines better than a Voigt profile.
2.3 Interstellar reddening
We corrected the photometric magnitudes for interstellar extinction using the dust maps by Schlegel et al. (1998). This gives E(B-V)=0.062, in agreement with Koch et al. (2008b).
Coleman et al. (2007) used a reddening of
E(B-V)=0.055 with an uncertainty of 0.005 that represents the variation in reddening over the Large Binocular Telescope 23
23
field. In Sect. 8.1 we investigate how different values of E(B-V) affect the estimated metallicities for the stars.
We used the Schlegel et al. (1998) relations to translate these extinction values into the Strömgren system. De-reddened magnitudes, colours and Strömgren indices will henceforth have the subscript 0.
![]() |
Figure 6:
Colour-magnitude diagram centred on the Hercules dSph galaxy. a) V0 vs. (b-y)0. b) V0 vs. (v-y)0. Only objects with a stellarity index
|
Open with DEXTER |
3 Results
3.1 Colour-magnitude diagram in the direction of the Hercules dSph galaxy
Figure 6 presents our
colour-magnitude diagrams in the direction towards the Hercules dSph
galaxy. The horizontal branch (HB) is seen at
in Fig. 6a. A large population of foreground stars can also be seen with a cut-off at
,
associated with the blue limit of the turnoff stars in the Milky Way
disk and halo. The RGB of the Hercules dSph galaxy cannot easily be
seen due to the heavy contamination by foreground dwarf stars.
![]() |
Figure 7:
a) SExtractor stellarity index vs. radial velocity for the objects observed with FLAMES. The error-bars represent the error in
|
Open with DEXTER |
3.2 Radial velocities
Figure 7a shows the stellarity index as a function of the derived radial velocity for the objects observed with FLAMES. Objects with a stellarity index less than 0.5 are excluded from the sample (see Sect. 2.1.5). We investigated the objects with a stellarity index less than 0.5 and a velocity close to the systemic velocity and found that all of these objects are fainter than V0=21 except three objects, INT 43290, INT 40586 and INT 41659. INT 43290 lies on top of a background galaxy and is therefore contaminated. INT 40586 and INT 41659 have a questionable surface distribution on the CCD. We flag them as blends and possible double-star systems and identify them in Fig. 7b.
Figure 7b shows the magnitude of the stars vs. the derived radial velocities. The error-bars on the radial velocities are from the Tonry-Davis R-value (Tonry & Davis 1979) estimates. As expected, errors in the velocities correlate with magnitude such that fainter stars have larger errors.
In Fig. 8 we compare the distribution of our radial velocities in the direction of the Hercules dSph galaxy with the predictions of the Besançon model (Robin et al. 2003) with the same area on the sky as that covered by our observations. The colour and magnitude range for the distribution of stars from the Besançon model is the same as spanned by the FLAMES targets. As can be seen, also in this respect the Hercules dSph galaxy suffers from heavy foreground contamination. We note that the observed velocity distribution is not centred on the field star distribution predicted by the model, but is shifted by about -25 km s-1. Moreover, disregarding the peak created by the Hercules members, the observed distribution is narrower than the model prediction. This may point to some problem with the model; however, a full investigation of the origin of this difference is beyond the scope of the present study.
4 Finding the giant and horizontal branch stars in the Hercules dSph galaxy
4.1 The ability of the Strömgren c
index to identify RGB stars
As Figs. 6 and 8 show, the line of sight towards the Hercules dSph galaxy is heavily contaminated with foreground stars, making it impossible to determine membership from the Colour-magnitude diagram alone. Even when radial velocities are added the selection remains uncertain, because the mean velocity of the Hercules dSph galaxy coincides with the velocity of the (thick) disk.
The c1 index in the Strömgren system gives us the
ability to disentangle the RGB and HB stars in a dSph galaxy from the
foreground dwarf stars. The c1 index is a measure of the Balmer discontinuity in a stellar spectrum and is defined as
The strength of the Balmer discontinuity depends on the evolutionary stage of the star. Stars in a plot of c1,0 vs. (b-y)0 will therefore occupy different regions depending on their evolutionary stage. Figure 9 shows which regions are occupied by stars at different evolutionary stages. This classification is adopted from Schuster et al. (2004). We also show the region occupied by the RGB stars in the Draco dSph galaxy (Faria et al. 2007).
![]() |
Figure 8: Distributions of radial velocities. The solid histogram shows the distribution of velocities from a Besançon model in the direction of the Hercules dSph galaxy. The shaded histogram shows the distribution of radial velocities for our FLAMES observations. Only objects with sclass>0.5 are included (see Sect. 2.1.5). Note that the area of the histogram based on the Besançon model has been normalized to cover the same area as the FLAMES histogram. |
Open with DEXTER |
![]() |
Figure 9:
c1,0 vs. (b-y)0 diagram with regions occupied by stars at various evolutionary stages as defined in Schuster et al. (2004).
MS: the main sequence; SG: sub-giant stars; RG: red giant stars;
RHB-AGB: the red horizontal-branch-asymptotic-giant-branch transition;
HB: the horizontal branch. The shaded region marked DRACO indicates the
region occupied by the RGB stars in the Draco dSph galaxy (Faria et al. 2007). The dashed lines indicate dwarf star sequences for different metallicities,
|
Open with DEXTER |
Schuster et al. (2004) were mainly concerned with high velocity dwarf stars and to a lesser extent interested in the redder dwarf and RGB stars. As the high-velocity halo stars that they studied tend to be fairly blue we will use tracings for dwarf stars from Árnadóttir et al. (in preparation), and isochrones for RGB stars by VandenBerg et al. (2006) with colour transformations by Clem et al. (2004), in the c1,0 vs. (b-y)0 diagram to define the dwarf and giant star regions also in the red. The dwarf sequences in Árnadóttir et al. (in preparation) provide an extension of the preliminary dwarf relation from Olsen (1984). The major difference between the preliminary relation by Olsen (1984) and the new relations is that the new relations are functions of metallicity. In Fig. 9 we show dwarf sequences for three different metallicities. These sequences, in accordance with Olsen (1984), trace the lower envelope for the dwarf stars (for (b-y)0 less than about 0.55). Note that for redder colours ((b-y)0 larger than about 0.55) all dwarf sequences merge and form a single line that traces the mean values of the colours. By studying dwarf stars from Olsen (1994a,b,1993) in a c1,0 vs. (b-y)0 diagram it is possible to define an upper envelope for the region occupied by foreground dwarf stars. Árnadóttir et al. (in preparation) define such an upper envelope. We include this in our plots henceforth.
To define the RGB region we use two isochrones with [Fe/H] =-2.3 and [Fe/H] =0.0 by VandenBerg et al. (2006) and colour transformations by Clem et al. (2004), see Fig. 10.
![]() |
Figure 10:
c1,0 vs. (b-y)0 for stars, |
Open with DEXTER |
As can be seen from Fig. 10, for giant stars, the index
has a clear metallicity dependence. This is more prononounced for the
reddest colours (i.e. the tip of the RGB). However, in spite of this,
this index still provides a strong discriminant between giant and
dwarf stars for cooler stars. Note that the dwarf sequence is not
metallicity dependent
at these colours.
![]() |
Figure 11: Errors in the Strömgren colour index c1 (see Sect. 4.1). The solid line indicates a spline function fitted to fall just above the trend with smaller errors. This line is used in Sect. 4.2 and Figs. 12 and 13 where we define the RGB stars. |
Open with DEXTER |
The blue limit for membership determination.
Since in the c1,0 vs. (b-y)0 plane the dwarf and RGB stellar sequences converge around
In Fig. 10 we see 8 stars within the RGB region. A Besançon model in the direction of the Hercules dSph galaxy gives 15 RGB stars in the given magnitude and colour range. The conclusion is therefore that these stars are most likely foreground RGB stars belonging to the thick disc of the Milky Way.
4.2 Membership based on Strömgren photometry.
We study the c1,0 vs. (b-y)0
in magnitude bins rather than the entire sample of all stars all at
once. With this approach the RGB region is easier to track. Figure 11 shows the errors in c1,0 as a function of magnitude. We note the large errors in c1 for fainter stars. These errors are due to the higher errors in u at any given magnitude. Note that in terms of errors (see Fig. 3), V=20 corresponds to
for our RGB stars. In order to exclude stars with large errors, we
reject all stars with errors higher than the median error, plus
0.015 mag, at a given magnitude (as indicated by the solid line in
Fig. 11). We will now use this function in our classification of members and potential members of the Hercules dSph galaxy.
![]() |
Figure 12:
c1,0 vs. (b-y)0 for
stars in the direction of the Hercules dSph galaxy. The range of
magnitude is indicated at the top of each panel. Dots are stars within
the given magnitude range. |
Open with DEXTER |
Figure 12a shows a clear and simple separation between the foreground dwarf stars and the four stars that fall in the RGB region. These four RGB stars all have errors in c1,0 less than the line fitted in Fig. 11. Figures 12b-d show the three remaining magnitude bins. We also note that 9 stars fall within the RHB-AGB region, they are discussed in Sect. 4.3.
In Fig. 13 we show
vs. V0 and (b-y)0 for all the stars falling in the RGB region.
![]() |
Figure 13:
|
Open with DEXTER |
In total we find 29 member stars in the RGB region, and 9 in the RHB-AGB region. They are listed in Table 9.
Objects with a stellarity index lower than 0.5.
As mentioned in Sect. 2.1.5 we found two objects of interest, based on their position in the c1,0 vs. (b-y)0 diagram, with a stellarity index lower than 0.5. INT 34489 at V0=20.27 has sclass=0.3 and is located right at the edge of the blue limit. An ocular inspection of the object indicates that it may be a star, but it is slightly elongated on the CCD. INT 43290 at V0=19.79 has sclass=0.35. In Sect. 3.2 we found that this object lies on top of a galaxy and is therefore contaminated. Given the higher uncertainty of these two objects we do not include them in further analysis. The stars are listed in Table 6.![]() |
Figure 14:
a) c1,0 vs. (b-y)0
for the stars in the direction of the Hercules dSph galaxy. BHB: the
blue horizontal branch; HB: the remainder of the horizontal branch; BS:
the blue stragglers (Schuster et al. 2004). The dotted line marks the upper envelope for dwarf stars. |
Open with DEXTER |
Table 6: Objects with a stellarity index lower than 0.5, a radial velocity much lower than the mean velocity of the galaxy or V0>21.
A possible foreground RGB star.
In Fig. 12b we found one star, INT 42668, that fall within the RGB region but it has a radial velocity of
![${\rm [Fe/H]_{Cal}}=-0.5$](/articles/aa/full_html/2009/42/aa12718-09/img102.png)
4.3 Finding the HB and AGB of the Hercules dSph galaxy
In Fig. 12 we identified RGB members of the Hercules dSph galaxy. Additionally, we found 9 RHB-AGB stars. However, it is possible to use the Strömgren photometry to further explore the RHB-AGB and blue HB stars (BHB). Figure 14a shows the BHB, HB and blue straggler (BS) regions in the c1 vs. (b-y) plane using the areas defined in Schuster et al. (2004).
In Fig. 14a and b we show the previously identified RGB and RHB-AGB stars. In addition we show all stars bluewards of
(b-y)0=0.5 with an
less than the function in Fig. 11. We further divide these stars into two sets according to their V magnitude. The HB of the Hercules dSph galaxy is roughly at V0=21.2 (compare Fig. 6 and Coleman et al. 2007). We therefore define a box with
21<V0<21.4 and
-0.2<(b-y)0<0.5
for the potential BHB stars. The second region is given by the
magnitude range above and below the first box, i.e. 15<V0<21 and
21.4<V0<22 with
-0.2<(b-y)0<0.5.
Figure 14a and b then show these stars both in the c1 vs. (b-y)
and in the Colour-magnitude diagram. The stars selected in the
magnitude range of the HB are all narrowly spaced in magnitude and they
all fall close to the BHB-RHB sequences. Hence we take all 10 of these
stars to represent the HB of the Hercules dSph galaxy. We find a mean
magnitude for the HB of
and
.
4.4 A new distance determination to the Hercules dSph galaxy
We used the relation between the absolute magnitude of the HB and metallicity (-2.35 dex as derived in Sect. 8), based on globular clusters, as defined in Carretta et al. (2000) to determine the absolute magnitude for the HB,
,
in the Hercules dSph galaxy.
Using an apparent magnitude for the Hercules HB of
we solve for the distance, d
![]() |
(11) |
The errors in the distance determination were calculated using a Monte Carlo simulation. For each parameter with an associated error (apparent HB magnitude, metallicity and constants in the relation between the absolute magnitude and HB and metallicity), a new random apparent HB magnitude, metallicity and constants were calculated, and a new distance based on these parameters was found. This process was repeated 100 000 times. In Fig. 15 we show the distribution of the Monte Carlo simulation. As the final errors for the distance, we adopt the lower and the upper sextile of the distribution of simulated distances; the lower sextile cuts off the lowest 16.67 per cent of the data and the upper sextile cuts off the highest 16.67 per cent of the data. We find that Hercules is at a distance of

4.5 Variable stars in the Hercules dSph galaxy
In Fig. 14b we see some
scatter in the Colour-magnitude diagram above the HB. In agreement with
a Besançon model, some of these objects are likely HB stars that belong
to the Milky Way. However, the Besançon model can not explain the
overabundance of stars seen at
and
.
We now investigate if these stars are variable stars that, due to
variation in magnitude, position themselves above the HB. Since we do
not have more than 3 exposures in the bright filters, y and b, it is difficult to determine the variability of these stars as a function of time.
We investigated the variance between the individual exposures in the y,b,v and u filter, but given the small number of exposures we found no strong indication of variability for these stars.
Siegel (2006) report the finding of 15 RR Lyrae variable stars in the Boötes dSph galaxy with periods from 0.3 to
0.9 days. Since Boötes, with MV=-5.8 (Belokurov et al. 2006), is fainter than the Hercules dSph galaxy, finding a similar number of RR Lyrae stars in our sample is a plausible scenario.
To further investigate the possible presence of variable stars we cross-correlated our photometry with the SDSS photometry in order to obtain ugriz photometry for our stars. We then transformed the ugriz magnitudes on to the Johnson-Cousins UBVRI system using the colour transformations in Jordi et al. (2006). Bonanos et al. (2004) found 163 variable stars in the Draco dSph galaxy. Mean magnitudes in V,I and B and amplitudes in V for these stars are available on-line. We de-reddened the Draco photometry using E(B-V)=0.027 (Bonanos et al. 2004) and constructed an ellipse encircling the distribution of the variable stars from Bonanos et al. (2004) in the V0 vs. (B-V)0 Colour-magnitude diagram (see Fig. 14c).
Using isochrones by Marigo et al. (2008) we find that the HB for two metal-poor, old populations (-2.3 and -2.0 dex) coincide in V. We therefore normalized the positions of the Draco variable stars in V0 so that the ellipse is aligned with the mean magnitude of our HB in the Hercules dSph galaxy, Fig. 14c. We also include the variable stars in Draco from Bonanos et al. (2004)
that fall outside the ellipse. We see that the positions of the
variable stars in the Colour-magnitude diagram for the Draco dSph
galaxy are similar to the positions of our open triangles: 1) they have
a similar colour range; 2) they are more likely to fall above the HB
than below; 3) the spread in V0 at
is similar for both data sets.
![]() |
Figure 15: Determination of the distance to the Hercules dSph galaxy, see Sect. 4.4. Solid line indicates the median distance to the Hercules dSph galaxy. Dashed vertical lines indicate the upper and lower sextile. |
Open with DEXTER |
Table 7: Possible variable stars in the Hercules dSph galaxy identified in Sect. 4.5.
Our conclusion from this analysis is that the 8 stars, fainter than V0=19, likely are variable stars in the Hercules dSph galaxy. These stars are listed in Table 7.
5 Determining the systemic velocity of the Hercules dSph galaxy
Using radial velocity measurements to separate the stars belonging to a dSph galaxy from foreground stars has proven to be an efficient method for membership determination. However, for the Hercules dSph galaxy this method is complicated since this galaxy has a systemic velocity that falls within the velocity distribution of the foreground dwarf stars in the Milky Way.
In Fig. 8 we show the velocity distribution for our observations together with a Besançon model in the direction of the Hercules dSph galaxy. As can be seen, the velocity peak of the Hercules dSph galaxy lies within the velocity distribution of the Milky Way galaxy. A sample of member stars, identified as members based only on radial velocity will therefore contain a non-negligible number of foreground stars. However, adding knowledge about the evolutionary stage of the stars means that we can eliminate the foreground dwarf stars (compare Sect. 4.2) and obtain a clean sample which can be used to determine the systemic velocity and velocity dispersion for the dSph galaxy.
In order to illustrate the importance of knowing the evolutionary stage of the star we will first consider only the radial velocities as a means to define a sample of stars belonging to the dSph galaxy. After that we will add knowledge about the evolutionary stage to clean the sample further.
5.1 Using only radial velocities to select RGB members
We used the maximum likelihood method described in Walker et al. (2006) to determine the mean heliocentric velocity and internal velocity dispersion for stars in the direction of the Hercules dSph galaxy.
The natural logarithm of the probability function defined in Walker et al. (2006) was maximized
In each iteration we rejected stars deviating by more than 3





![]() |
Figure 16:
c1,0 vs. (b-y)0 diagram for stars considered as members from the radial velocity measurement alone (see Sect. 5.1). The thin solid lines indicate the isochrones for RGB stars by VandenBerg et al. (2006) with colour transformations by Clem et al. (2004). The thin dashed lines indicate dwarf star sequences for different metallicities,
|
Open with DEXTER |
5.2 Weeding out foreground dwarf stars with the same velocity as the Hercules dSph galaxy
One of the 32 stars found in Sect. 5.1 (excluding the three stars with sclass<0.5), INT 42568, lies on the edge of the WFC CCD #4 and does not have any photometry available and is hence excluded from the following discussions. In Fig. 16 we plot c1,0 vs. (b-y)0 for the 31 stars considered as possible members based on the radial velocities. We find the following
- out of the 31 stars 10 fall on or below the dwarf sequences and are therefore excluded;
- of the remaining 21 stars, 18 are RGB members, 2 fall in the RHB-AGB region;
- the last star falls below the RGB solar isochrone but is redder than the blue limit (compare Figs. 12 and 16). This star is marked in Fig. 16 (INT 14012). We consider this star as a member (but see discussion below).




We find a mean final systemic velocity of
with a dispersion of
.
Our conclusion is that all stars, except INT 14012, with the right evolutionary stage fall within 3
of the systemic velocity.
Figures 17a to c show the Colour-magnitude diagrams for objects targeted with FLAMES, stars identified as members from the radial velocity measurement only and, finally, stars identified as members from the radial velocity measurement and using photometry to weed out foreground dwarf stars.
![]() |
Figure 17:
Colour-magnitude diagrams. a) Objects targeted with FLAMES are shown as large |
Open with DEXTER |
6 Final sample
Our final sample of RGB, AGB and HB Hercules member stars was
defined as follows: 1) first we select the RGB stars with the right
evolutionary stage and a radial velocity within 3
of the systemic velocity (compare Sect. 5.2 and Fig. 17c);
2) to these stars we add stars without spectroscopic measurements,
which were selected as RGB, AGB, or HB stars as determined from
photometry (compare Sect. 4.2). These stars are listed in Table 9. Figures 18a and b show the Colour-magnitude diagrams for the final
sample.
![]() |
Figure 18:
Final Colour-magnitude diagrams for the Hercules dSph galaxy. a) V0 vs. (b-y)0. b) V0 vs. (v-y)0. |
Open with DEXTER |
![]() |
Figure 19:
Difference, in units of Gaussian |
Open with DEXTER |
7 A comparison with previous velocity determinations
Simon & Geha (2007) have obtained radial velocities for 86 stars in the direction of the Hercules dSph galaxy. In order to avoid including foreground dwarf stars they used measurements of the strength of the Na I lines at 818.3 and 819.5 nm to distinguish between dwarf and giant stars. As discussed in Schiavon et al. (1997) the strength of these lines depend on the gravity of the star. Hence, it enables a distinction between dwarf and giant stars. Out of the 86 stars 29 were identified as members based on the measurements of the strength of the Na I lines.
There are 21 stars in common, including field dwarf stars, between our spectroscopic study and Simon & Geha (2007). In Fig. 19 we show the difference, in units of Gaussian
,
in stellar velocity for these stars (see Kleyna et al. 2002,
for a similar study of the Draco dSph galaxy). We note that the
velocity measurements are in agreement, and that there are no obvious
outliers, hence there is no evidence for binaries in this sample.
However, given the limited time sampling of the combined spectroscopy,
and the fact that there are stars in our spectroscopic study for which
there are no velocity measurement in Simon & Geha (2007),
we cannot rule out the presence of binaries in our study. The presence
of binaries could inflate the observed velocity dispersion by a small
amount (e.g. Olszewski et al. 1996).
![]() |
Figure 20:
Strömgren c1,0 vs. (b-y)0 diagram for the stars from Simon & Geha (2007). |
Open with DEXTER |
For the stars in common between our photometric study and Simon & Geha (2007) we show a
vs. (b-y) diagram in Fig. 20. From this comparison we find the following
- out of the 29 stars considered as members in Simon & Geha (2007), 2 fall in the RHB-AGB region and are therefore excluded as RGB members;
- of the remaining 27 stars, 12 have V0> 21, hence we have not considered their evolutionary stage as they are too faint. 4 out of the 12 stars with V0> 21 fall outside the limits of Fig. 20;
- 2 of the remaining stars fall on or below the dwarf sequences and are therefor excluded as members of the Hercules dSph galaxy;
- thus 13 stars remain that are considered as RGB members based on Strömgren photometry.


For 10 of the 13 RGB members we have determined radial velocities (see Sect. 2.2.2). Given the small offset in velocity determination between our study and Simon & Geha (2007), see Fig. 19,
it is possible to include the velocities of the 3 stars for which we
have not obtained a velocity measurement into our calculation of the
mean velocity. We find a mean systemic velocity of
with a dispersion of
which is in agreement with our result from Sect. 5.2.
There are 15 stars in our final sample of RGB members (based on the evolutionary stage) that do not have radial velocities measured in Simon & Geha (2007).
Measuring the strength of the Na I to exclude foreground dwarf stars is valid for (V-I)>1(Koch et al. 2008c; Gilbert et al. 2006). This corresponds to (b-y)>0.55 and is confirmed by our comparison where the 16 stars that are bluer than this limit are identified as either foreground dwarf stars or HB stars by the Strömgren c1 index.
8 Metallicities
8.1 Metallicities based on Strömgren photometry
8.1.1 Determination of metallicities
The Strömgren filters have proven useful to estimate stellar metallicities for RGB stars via the m1 index (e.g. Richtler 1989),
A review of the Strömgren metallicity calibrations for RGB stars, available at the time, is provided by Faria et al. (2007). They adopt the Hilker (2000) calibration for their RGB stars in the Draco dSph galaxy. Since the Hilker (2000) calibration is not valid for
![${\rm [Fe/H]}<-2.0$](/articles/aa/full_html/2009/42/aa12718-09/img144.png)
![]() |
Figure 21:
m1,0 vs. (v-y)0 for the Hercules dSph galaxy. |
Open with DEXTER |
Figure 21 shows the m1,0 vs. (v-y)0 plane for the stars identified as RGB stars in the Hercules dSph galaxy.
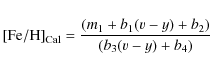
Equation (14), adopted from Calamida et al. (2007), is used to convert m1,0 and (v-y)0 to
for the RGB stars.
where



For comparison we re-calculated the stellar metallicities for the Draco RGB sample from Faria et al. (2007) using the calibration by Calamida et al. (2007, see Fig. 21). We found that the Draco dSph galaxy has a mean metallicity of -2.0 dex instead of -1.74 dex as calculated by Faria et al. (2007). A comparison between the metallicities derived using the older Hilker (2000) calibration and
shows an offset of
0.3 dex, where
is more metal-poor.
In Sect. 2.3 we described how we correct the photometric magnitudes for interstellar extinction using
E(B-V)=0.062. As a test we re-calculated
using
E(B-V)=0.032 and
E(B-V)=0.092, which correspond to an uncertainty of
mag. We found that
E(B-V)=0.032 increased and
E(B-V)=0.092 decreased the metallicity by
0.1 dex and
0.12 dex, respectively.
8.1.2 Error estimates
Following Faria et al. (2007), the errors in
were calculated using a Monte Carlo simulation.
The simplest version of this approach would be to calculate the errors in metallicities taking into account only the measurement errors from PHOT (merr) and propagate those errors through Eq. (14) (this is the approach used in Faria et al. 2007). A more involved approach would be to include also the uncertainties in zeropoints, extinction coefficients and colour terms. For comparison we have calculated the errors using both approaches.
In both cases we used the following approach to calculate the
errors. For every star identified as an RGB member of the Hercules dSph
galaxy, new random magnitudes (v, b and y)
were calculated
from Gaussian probability distributions with standard deviations equal
to that of the photometric error for each filter using a Box-Muller
transformation. m1,0 and (v-y)0
were re-calculated from these new magnitudes and used to derive a new
metallicity for the star. This process was then repeated 105
times for each star and since the distributions of the new
metallicities are not Gaussian around the original [Fe/H], a standard
deviation based on the sextiles (which is equivalent to
in the case of a Gaussian distribution) was calculated for each star
from the distribution of simulated [Fe/H]. This sextile standard
deviation is our error in
(compare Faria et al. 2007).
![]() |
Figure 22:
a) Errors in the
|
Open with DEXTER |
In Fig. 22a we show the errors in
as a function of V0.
Note that the five faintest stars have significantly larger errors.
Also note that the errors are much larger when the uncertainties in
zeropoints, extinction coefficients and colour terms are taken into
account. We find that it is the errors in the b filter that is the largest contributor to the error in
when the uncertainties in zeropoints, extinction coefficients and colour terms are taken into account (compare Table 3). The errors in the b filter account for almost 50 per cent of the total error.
8.2 Metallicities based on Ca II IR triplet lines
8.2.1 Determination of metallicities
For those RGB stars for which we have FLAMES observations we also determined metallicities (
)
from measurements of the equivalent width of the Ca II IR triplet lines at
,
854.2 and 866.2 nm. We follow Rutledge et al. (1997b) in defining the line strength of the Ca II IR triplet lines as the weighted sum of the W, with lower weights for the weaker lines
where W1, W2 and W3 are the widths of the individual Ca II IR triplet lines in the order of increasing wavelength.
As discussed e.g. in Rutledge et al. (1997a), the strength of the Ca II
IR triplet lines depend not only on metallicity but also on the surface
gravity and effective temperature of the star. It is possible to remove
the effect of gravity and temperature to first order by taking
into account the position of the star on the RGB. This is done by
defining the reduced W as
where


![${\rm[Fe/H]_{Ca~ II}}$](/articles/aa/full_html/2009/42/aa12718-09/img152.png)
Of the 18 RGB stars considered as members based on the evolutionary stage and which have measured velocities within

![]() |
Figure 23:
A comparison between metallicities derived from the m1 index and those derived from Ca II IR triplet line measurements.
|
Open with DEXTER |
Figure 23 shows a comparison between our two metallicity estimates. We find that
is on average 0.06 dex larger than
with a scatter of 0.18 dex. This scatter is consistent with the typical measurement uncertainty of
(see below). In conclusion, the agreement between the photometric and spectroscopic
metallicities is very good. Since the calibration by Calamida et al. (2007) is valid to at least [Fe/H] = -2.4, we conclude that the extrapolation for the
to
is valid (compare Battaglia et al. 2008). We note that the abundance scale of Zinn & West (1984), as used by Calamida et al. (2007), in general has
0.2 dex lower metallicities at around -2.0 dex than the abundance scale of Carretta & Gratton (1997) as used by Rutledge et al. (1997a).
8.2.2 Error estimates
Following Battaglia et al. (2008), we define the error due to random noise in the measurement of the W as
where FWHM is the Gaussian full-width-half maximum. The S/N varies from


![${\rm[Fe/H]_{Ca~ II}}$](/articles/aa/full_html/2009/42/aa12718-09/img152.png)
![${\rm[Fe/H]_{Ca~ II}}$](/articles/aa/full_html/2009/42/aa12718-09/img152.png)
![${\rm[Fe/H]_{Ca~ II}}$](/articles/aa/full_html/2009/42/aa12718-09/img152.png)
![${\rm[Fe/H]_{Ca~ II}}$](/articles/aa/full_html/2009/42/aa12718-09/img152.png)
8.3 A comparison with metallicities determined in other studies
Koch et al. (2008b) obtained
high resolution spectroscopy of two stars in the Hercules dSph galaxy,
Her-2 and Her-3. These stars correspond to our stars INT 42241
( V0=18.53) and INT 41082
(V0=18.86). The stars are marked in Fig. 18. Koch et al. (2008b) find
and -2.04 for Her-2 and Her-3, respectively.
In Sect. 4.2 we identify both of these stars as RGB stars and members of the Hercules dSph
galaxy. We only have a radial velocity for one of the stars, INT 41082 (Her-3). The velocity of this star falls within
of our final systemic velocity (see Sect. 5.2). For this star we find
and
.
For INT 42241 (Her-2) we derive
.
Hence, there is a difference of 0.11 and 0.06 dex, respectively, when high resolution spectroscopy Fe abundances and metallicities derived from Strömgren photometry are compared. This must be regarded as excellent agreement given the complexities in analysing spectra of such cool, evolved giant stars and the general simplifications made when using calibrations of photometric measurements to obtain estimates of stellar metallicities. It should also be noted that an overestimate in the reddening of a few hundredths would easily account for this difference (compare Sect. 8.1).
![]() |
Figure 24:
Strömgren c1,0 vs. (b-y)0 diagram for the stars from Kirby et al. (2008b). |
Open with DEXTER |
Kirby et al. (2008b) studied 20
stars in the direction of the Hercules dSph galaxy. Their metallicities
are based on a recently developed automated spectrum synthesis method
that takes the information in the whole spectrum into account (Kirby et al. 2008a).
The method was originally developed for globular clusters in the Milky
Way and was then applied to ultra-faint dSph galaxies in Kirby et al. (2008b). [Fe/H] from Kirby et al. (2008b) will henceforth be referred to as
.
We have cross-correlated our photometry with their 20 stars and found the following (see Fig. 24)
- out of the 20 stars considered as members by Kirby et al. (2008b), 2 fall in the RHB-AGB region and are therefore excluded as RGB members;
- of the remaining 18 stars, 4 have V0>21, hence we have not considered their evolutionary stage but all indications are that at least three of them are foreground dwarf stars, compare Fig. 24;
- 2 of the 14 remaining stars fall on or below the dwarf sequences and are therefore foreground dwarf stars.
![${\rm [Fe/H]_{Cal}}=-2.25 \pm 0.20$](/articles/aa/full_html/2009/42/aa12718-09/img169.png)
![${\rm [Fe/H]_{Kir}}=-2.70 \pm 0.47$](/articles/aa/full_html/2009/42/aa12718-09/img170.png)
![${\rm [Fe/H]_{Cal}}$](/articles/aa/full_html/2009/42/aa12718-09/img21.png)
![${\rm [Fe/H]_{Kirby}}$](/articles/aa/full_html/2009/42/aa12718-09/img25.png)
![${\rm [Fe/H]_{Cal}}$](/articles/aa/full_html/2009/42/aa12718-09/img21.png)
![$\Delta {\rm [Fe/H]}$](/articles/aa/full_html/2009/42/aa12718-09/img171.png)
![]() |
Figure 25:
A comparison between our metallicities derived from m1 and metallicities from Kirby et al. (2008b).
|
Open with DEXTER |
Table 8: Summary of determination of systemic velocities, velocity dispersions and metallicities for the Hercules dSph galaxy.
Simon & Geha (2007) obtained metallicities from the Ca II IR triplet lines and found a mean metallicity of [Fe/H] = -2.27 dex. Finally, Coleman et al. (2007) report a metallicity of [Fe/H] = -2.26 dex based on fitting an isochrone to a Colour-magnitude diagram.
In summary, we have five different determinations of the mean
metallicity for the Hercules dSph galaxy. These determinations range
from about -2.25 dex (Simon & Geha 2007; Coleman et al. 2007, this study) to -2.7 dex (Kirby et al. 2008b). All determinations based on measurements of the Ca II IR triplet lines and the -index agree on a mean metallicity of about -2.3 dex. These determinations also agree with the high-resolution analysis by Koch et al. (2008b). The determinations by Kirby et al. (2008b) are
0.5 dex more metal-poor (Table 8). This discrepancy is not-negligible. However, future high-resolution studies of additional Hercules stars (as in Koch et al. 2008b,
which essentially is in agreement with our method) will determine which
methods tend to over- or underestimate the [Fe/H]. This has important
implications for our understanding of the origin of the metal poor halo
stars (e.g. Helmi et al. 2006; Koch 2009).
![]() |
Figure 26:
Spatial distribution of the stars identified as members from both spectroscopy and photometry. a) |
Open with DEXTER |
8.4 Metallicity for the Hercules dSph galaxy
We find a metallicity range of
with a mean metallicity of
dex with
dex,
and a median [Fe/H] of -2.25 dex with an upper and lower quartile
of -2.11 dex and -2.56 dex, respectively. If we exclude stars
fainter than V0 =20.5 (compare Fig. 22a) we find a mean metallicity of
dex with
dex. We do not detect any significant spatial metallicity gradient in our data.
9 Discussion
9.1 Spatial distribution
The new, faint dSph galaxies are in general found to be quite elongated (Martin et al. 2008). The dSph galaxy in Hercules is no exception, in fact it is one of the new galaxies with the largest ellipticity (e=0.68). The large ellipticity of these objects might be attributable to tidal distortions but could also be due to poor sampling statistics. Each galaxy is only represented by a limited number of RGB stars in most of the cases (Martin et al. 2008). Martin et al. (2008) and Ural & Wilkinson (2008) conclude that it is entirely possible that the shape determinations for these the faintest of galaxies are entirely dominated by shot-noise. This does not exclude tidal disruption as an explanation for their, in general, very elongated shapes.
With our Strömgren observations we have searched about 2/3 of the area on the sky inside the King profile limiting radius, as defined by Coleman et al. (2007), for members of the Hercules dSph galaxy. Additionally, we have searched about the same area on the sky outside the King profile limiting radius (see Figs. 1 and 26). Through this search we have found in total 28 stars that are RGB members of the Hercules dSph galaxy. These stars are spatially confined to a fairly small, elongated area falling inside the core radius from Coleman et al. (2007; see Fig. 26a). The RGB members show a slight distortion such that there appear to be a few stars trailing the ellipsoid in the direction of the Milky Way. These stars are few and none have had their radial velocities measured.
The distribution of the HB, RHB, and potential variable stars are shown in Fig. 26b. These stars confirm the central concentration and general shape of the Hercules dSph galaxy. There are some HB, RHB and variable stars scattered outside the ellipsoid defining the King profile limiting radius. It can not be excluded that some of these stars are foreground contaminators. The presence of such stars might distort the determination of the shape parameters for the galaxy. Measurements of radial velocities for these stars would confirm their membership. To our knowledge the HB of the Hercules dSph galaxy has not yet been targeted for such observations.
In conclusion we find that for a well-defined sample of RGB stars (free from contaminating foreground dwarf stars) the Hercules dSph galaxy appears to still have a fairly elongated structure, confirming previous studies.
9.2 Measured velocity dispersion
As discussed in Sect. 5,
the velocity peak of the Hercules dSph galaxy lies within the bulk of
the velocity distribution of the Milky Way galaxy, thus contaminating
it. We have shown that relying on radial velocites for membership
determination yields a velocity dispersion of
,
whilst excluding stars that are not members (i.e. they are foreground dwarf stars) yields a velocity dispersion of
.
![]() |
Figure 27: Distributions of radial velocities. The solid histogram shows the distribution of velocities for objects in the direction of the Hercules dSph galaxy. The shaded histogram shows the distribution of radial velocities for stars identified as RGB members based on the evolutionary stage as derived from photometry. The solid-vertical line indicates the systemic velocity as derived from the RGB members. |
Open with DEXTER |
It is clear that the velocity dispersion is over-estimated when only considering the radial velocity for membership identification. This is expected since the foreground contaminating stars in the direction of the Hercules dSph galaxy have a much broader velocity distribution than that for the dSph galaxy (compare Fig. 8).
In Fig. 27 we show the velocity distribution for our observations in the velocity range
,
highlighting the objects that are members based on the evolutionary stage as derived in Sect. 4.2.
As can be seen, objects with a lower velocity than the systemic
velocity of the Hercules dSph galaxy are more likely to be excluded as
foreground contaminating dwarf stars. Comparing with Fig. 8
verifies that the majority of the velocities from a Besançon model in
the direction of the Hercules dSph galaxy have a velocity lower than
the systemic velocity for dSph galaxy.
In conclusion we find that when deriving the velocity dispersion for dSph galaxies it is important to have a well defined sample of member stars representing the velocity distribution of the dSph galaxy.
9.3 Kinematic sub-structure in Hercules.
Simon & Geha (2007) detected
possible evidence of kinematic sub-structure in the Hercules dSph
galaxy. They found nine stars clumped together between 41 and 43
in a sample of 30 stars distributed between 30 and 60
.
However, for our final sample of RGB stars in the Hercules dSph
galaxy a one-sample Kolmogorov-Smirnov test yields a significance level
of 74
for the null hypothesis that the radial velocity distribution is drawn
from a Gaussian distribution. The conclusion is therefore that we do
not see any kinematic sub-structure in our sample.
9.4 Metallicity
Figure 28a shows the metallicity distribution for the Hercules dSph galaxy based on the m1-index for our final sample of RGB members (see Sects. 6 and 8.1). Figure 28b shows the corresponding normal probability function. The data points only deviate slightly from a linear fit which suggests that the metallicity distribution is drawn from a single normal distribution. The slight deviation from the linear fit is noticeable at low metallicities where the cut-off is less sharp than at high metallicities. These features is predicted by models and indicate the occurrence of strong galactic winds (Lanfranchi & Matteucci 2007).
Table 9: Hercules dSph galaxy members.
![]() |
Figure 28:
a) Metallicity histogram for RGB stars in the Hercules
dSph galaxy. The solid histogram shows the distribution for all stars
in our final sample. The shaded histogram shows the distribution for
stars in our final sample with
V0 < 20.5 (compare Fig. 22a). b) Corresponding normal probability plot, for stars in our final sample with
V0 < 20.5, assuming a normal distribution.
The solid line indicates a linear fit to the data with a mean
metallicity of [Fe/H] = -2.26 dex and
|
Open with DEXTER |
In Sect. 8.1.2 we calculated the errors in
.
When we take into account the uncertainties in zeropoints, extinction
coefficients and colour terms we note that the errors are in general
much larger than the
of the metallicity distribution (compare Fig. 22a where we show the error in
).
However, since the uncertainties in zeropoints, extinction coefficients
and colour terms propagate as a magnitude offset, equal for all stars,
we re-calculate the errors in metallicities excluding the uncertainties
in zeropoints, extinction coefficients and colour terms (see Fig. 22a). We find that these errors in metallicity, for stars brighter than V0 =20.5, are smaller than the metallicity spread of 0.24 dex. This enables us to study the star-to-star scatter in
,
making the profile of the distribution in Fig. 28
significant. We conclude that there is an abundance spread in the
metallicity distribution for the RGB members of up to 1 dex.
10 Summary
We have, for the first time, presented a list of Hercules dSph galaxy members based on an analysis of radial velocity, evolutionary stage obtained from photometry, and stellar classification using SExtractor. In detail we provide the following inventory of the Hercules dSph galaxy
- 28 stars as RGB members based on their evolutionary stage, see Sect. 4.2. Of these, 19 have measured radial velocities (see Sect. 5.2).
- 9 stars as RHB-AGB members based on their evolutionary stage (see Sect. 4.2). Of these, 2 have radial velocities (see Sect. 5.2).
- 10 stars as BHB members based on their evolutionary stage, see Sect. 4.2.
- 8 stars that are possible variable stars based on their evolutionary stage, see Sect. 4.5.


Stellar metallicities have been determined using the Strömgren m1 index with a calibration that translates m1,0 to [Fe/H] for RGB stars. We found a mean metallicity of -2.35 dex. We also derived metallicities for our stars observed with FLAMES from measurements of the equivalent width of the Ca II IR triplet lines. The agreement between the two determinations was very good, with an offset of only 0.06 dex.
Finally, we have estimated the mean magnitude of the HB of the Hercules dSph galaxy to
based on the 10 stars identified as BHB members. This gives a distance of
kpc.
We would like to thank Andreas Korn for putting us on the right track to understand the erroneous spectra created by the CCD-glow. D.A. thanks Simon Hodgkin at the Wide Field Survey unit at IoA, Cambridge, for help with the INT data reduction. D.A. thanks Lennart Lindegren at Lund Observatory for his help in problems of mathematical nature. S.F. is a Royal Swedish Academy of Sciences Research Fellow supported by a grant from the Knut and Alice Wallenberg Foundation. M.I.W. is supported by a Royal Society University Research Fellowship.
Funding for the SDSS and SDSS-II has been provided by the Alfred P. Sloan Foundation, the Participating Institutions, the National Science Foundation, the US Department of Energy, the National Aeronautics and Space Administration, the Japanese Monbukagakusho, the Max Planck Society, and the Higher Education Funding Council for England. The SDSS Web Site is http://www.sdss.org/. The SDSS is managed by the Astrophysical Research Consortium for the Participating Institutions. The Participating Institutions are the American Museum of Natural History, Astrophysical Institute Potsdam, University of Basel, University of Cambridge, Case Western Reserve University, University of Chicago, Drexel University, Fermilab, the Institute for Advanced Study, the Japan Participation Group, Johns Hopkins University, the Joint Institute for Nuclear Astrophysics, the Kavli Institute for Particle Astrophysics and Cosmology, the Korean Scientist Group, the Chinese Academy of Sciences (LAMOST), Los Alamos National Laboratory, the Max-Planck-Institute for Astronomy (MPIA), the Max-Planck-Institute for Astrophysics (MPA), New Mexico State University, Ohio State University, University of Pittsburgh, University of Portsmouth, Princeton University, the United States Naval Observatory, and the University of Washington.
References
- Anthony-Twarog, B. J., & Twarog, B. A. 1994, AJ, 107, 1577 [NASA ADS] [CrossRef]
- Battaglia, G., Irwin, M., Tolstoy, E., et al. 2008, MNRAS, 383, 183 [NASA ADS]
- Belokurov, V., Zucker, D. B., Evans, N. W., et al. 2006, ApJ, 647, L111 [NASA ADS] [CrossRef]
- Belokurov, V., Zucker, D. B., Evans, N. W., et al. 2007, ApJ, 654, 897 [NASA ADS] [CrossRef]
- Belokurov, V., Walker, M. G., Evans, N. W., et al. 2008, ApJ, 686, L83 [NASA ADS] [CrossRef]
- Belokurov, V., Walker, M. G., Evans, N. W., et al. 2009, MNRAS, 397, 1748 [NASA ADS] [CrossRef]
- Bertin, E., & Arnouts, S. 1996, A&AS, 117, 393 [NASA ADS] [CrossRef] [EDP Sciences]
- Blecha, A., Cayatte, V., North, P., Royer, F., & Simond, G. 2000, in Optical and IR Telescope Instrumentation and Detectors, ed. M. Iye, & A. F. Moorwood, Proc. SPIE, 4008, 467
- Bonanos, A. Z., Stanek, K. Z., Szentgyorgyi, A. H., Sasselov, D. D., & Bakos, G. Á. 2004, AJ, 127, 861 [NASA ADS] [CrossRef]
- Bond, H. E. 1980, ApJS, 44, 517 [NASA ADS] [CrossRef]
- Calamida, A., Bono, G., Stetson, P. B., et al. 2007, ApJ, 670, 400 [NASA ADS] [CrossRef]
- Carretta, E., & Gratton, R. G. 1997, A&AS, 121, 95 [NASA ADS] [CrossRef] [EDP Sciences]
- Carretta, E., Gratton, R. G., Clementini, G., & Fusi Pecci, F. 2000, ApJ, 533, 215 [NASA ADS] [CrossRef]
- Clem, J. L., VandenBerg, D. A., Grundahl, F., & Bell, R. A. 2004, AJ, 127, 1227 [NASA ADS] [CrossRef]
- Cole, A. A., Smecker-Hane, T. A., Tolstoy, E., Bosler, T. L., & Gallagher, J. S. 2004, MNRAS, 347, 367 [NASA ADS] [CrossRef]
- Coleman, M. G., de Jong, J. T. A., Martin, N. F., et al. 2007, ApJ, 668, L43 [NASA ADS] [CrossRef]
- Faria, D., Feltzing, S., Lundström, I., et al. 2007, A&A, 465, 357 [NASA ADS] [CrossRef] [EDP Sciences]
- Gilbert, K. M., Guhathakurta, P., Kalirai, J. S., et al. 2006, ApJ, 652, 1188 [NASA ADS] [CrossRef]
- Gilmore, G., Wilkinson, M. I., Wyse, R. F. G., et al. 2007, ApJ, 663, 948 [NASA ADS] [CrossRef]
- Grebel, E. K., & Richtler, T. 1992, A&A, 253, 359 [NASA ADS]
- Grebel, E. K., Gallagher, III, J. S., & Harbeck, D. 2003, AJ, 125, 1926 [NASA ADS] [CrossRef]
- Helmi, A., Irwin, M. J., Tolstoy, E., et al. 2006, ApJ, 651, L121 [NASA ADS] [CrossRef]
- Hilker, M. 2000, A&A, 355, 994 [NASA ADS]
- Howell, S. B. 1989, PASP, 101, 616 [NASA ADS] [CrossRef]
- Irwin, M., & Lewis, J. 2001, New Astron. Rev., 45, 105 [NASA ADS] [CrossRef]
- Jordi, K., Grebel, E. K., & Ammon, K. 2006, A&A, 460, 339 [NASA ADS] [CrossRef] [EDP Sciences]
- Keller, S. C., Schmidt, B. P., Bessell, M. S., et al. 2007, Publications of the Astronomical Society of Australia, 24, 1 [NASA ADS] [CrossRef]
- Kirby, E. N., Guhathakurta, P., & Sneden, C. 2008a, ApJ, 682, 1217 [NASA ADS] [CrossRef]
- Kirby, E. N., Simon, J. D., Geha, M., Guhathakurta, P., & Frebel, A. 2008b, ApJ, 685, L43 [NASA ADS] [CrossRef]
- Kleyna, J., Wilkinson, M. I., Evans, N. W., Gilmore, G., & Frayn, C. 2002, MNRAS, 330, 792 [NASA ADS] [CrossRef]
- Kniazev, A. Y., Grebel, E. K., Pustilnik, S. A., Pramskij, A. G., & Zucker, D. B. 2005, AJ, 130, 1558 [NASA ADS] [CrossRef]
- Koch, A. 2009, ArXiv e-prints
- Koch, A., Grebel, E. K., Wyse, R. F. G., et al. 2006, AJ, 131, 895 [NASA ADS] [CrossRef]
- Koch, A., Grebel, E. K., Kleyna, J. T., et al. 2007a, AJ, 133, 270 [NASA ADS] [CrossRef]
- Koch, A., Wilkinson, M. I., Kleyna, J. T., et al. 2007b, ApJ, 657, 241 [NASA ADS] [CrossRef]
- Koch, A., Grebel, E. K., Gilmore, G. F., et al. 2008a, AJ, 135, 1580 [NASA ADS] [CrossRef]
- Koch, A., McWilliam, A., Grebel, E. K., Zucker, D. B., & Belokurov, V. 2008b, ApJ, 688, L13 [NASA ADS] [CrossRef]
- Koch, A., Rich, R. M., Reitzel, D. B., et al. 2008c, ApJ, 689, 958 [NASA ADS] [CrossRef]
- Lanfranchi, G. A., & Matteucci, F. 2007, A&A, 468, 927 [NASA ADS] [CrossRef] [EDP Sciences]
- Lind, K., Korn, A. J., Barklem, P. S., & Grundahl, F. 2008, A&A, 490, 777 [NASA ADS] [CrossRef] [EDP Sciences]
- Marigo, P., Girardi, L., Bressan, A., et al. 2008, A&A, 482, 883 [NASA ADS] [CrossRef] [EDP Sciences]
- Martin, N. F., de Jong, J. T. A., & Rix, H.-W. 2008, ApJ, 684, 1075 [NASA ADS] [CrossRef]
- Olsen, E. H. 1983, A&AS, 54, 55 [NASA ADS]
- Olsen, E. H. 1984, A&AS, 57, 443 [NASA ADS]
- Olsen, E. H. 1993, A&AS, 102, 89 [NASA ADS]
- Olsen, E. H. 1994a, A&AS, 104, 429 [NASA ADS]
- Olsen, E. H. 1994b, A&AS, 106, 257 [NASA ADS]
- Olsen, E. H. 1995, A&A, 295, 710 [NASA ADS]
- Olszewski, E. W., Pryor, C., & Armandroff, T. E. 1996, AJ, 111, 750 [NASA ADS] [CrossRef]
- Pasquini, L., Avila, G., Blecha, A., et al. 2002, The Messenger, 110, 1 [NASA ADS]
- Richtler, T. 1989, A&A, 211, 199 [NASA ADS]
- Robin, A. C., Reylé, C., Derrière, S., & Picaud, S. 2003, A&A, 409, 523 [NASA ADS] [CrossRef] [EDP Sciences]
- Rutledge, G. A., Hesser, J. E., & Stetson, P. B. 1997a, PASP, 109, 907 [NASA ADS] [CrossRef]
- Rutledge, G. A., Hesser, J. E., Stetson, P. B., et al. 1997b, PASP, 109, 883 [NASA ADS] [CrossRef]
- Schiavon, R. P., Barbuy, B., Rossi, S. C. F., & Milone, A. 1997, ApJ, 479, 902 [NASA ADS] [CrossRef]
- Schlegel, D. J., Finkbeiner, D. P., & Davis, M. 1998, ApJ, 500, 525 [NASA ADS] [CrossRef]
- Schuster, W. J., & Nissen, P. E. 1988, A&AS, 73, 225 [NASA ADS]
- Schuster, W. J., Beers, T. C., Michel, R., Nissen, P. E., & García, G. 2004, A&A, 422, 527 [NASA ADS] [CrossRef] [EDP Sciences]
- Shetrone, M. D., Côté, P., & Sargent, W. L. W. 2001, ApJ, 548, 592 [NASA ADS] [CrossRef]
- Siegel, M. H. 2006, ApJ, 649, L83 [NASA ADS] [CrossRef]
- Simon, J. D., & Geha, M. 2007, ApJ, 670, 313 [NASA ADS] [CrossRef]
- Strigari, L. E., Bullock, J. S., Kaplinghat, M., et al. 2008, Nature, 454, 1096 [NASA ADS] [CrossRef]
- Tonry, J., & Davis, M. 1979, AJ, 84, 1511 [NASA ADS] [CrossRef]
- Ural, U., & Wilkinson, M. 2008, Astron. Nachr., 329, 1040 [NASA ADS] [CrossRef]
- VandenBerg, D. A., Bergbusch, P. A., & Dowler, P. D. 2006, ApJS, 162, 375 [NASA ADS] [CrossRef]
- Walker, M. G., Mateo, M., Olszewski, E. W., et al. 2006, AJ, 131, 2114 [NASA ADS] [CrossRef]
- Walker, M. G., Mateo, M., Olszewski, E. W., et al. 2007, ApJ, 667, L53 [NASA ADS] [CrossRef]
- Walsh, S. M., Jerjen, H., & Willman, B. 2007, ApJ, 662, L83 [NASA ADS] [CrossRef]
- Walsh, S. M., Willman, B., & Jerjen, H. 2009, AJ, 137, 450 [NASA ADS] [CrossRef]
- Zinn, R., & West, M. J. 1984, ApJS, 55, 45 [NASA ADS] [CrossRef]
- Zucker, D. B., Belokurov, V., Evans, N. W., et al. 2006a, ApJ, 650, L41 [NASA ADS] [CrossRef]
- Zucker, D. B., Belokurov, V., Evans, N. W., et al. 2006b, ApJ, 643, L103 [NASA ADS] [CrossRef]
Footnotes
- ... Hercules
- Based on observations made with the INT telescope operated on the island of La Palma by the Isaac Newton Group in the Spanish Observatorio del Roque de los Muchachos of the Instituto de Astrofisica de Canarias.
- ...
- Based on spectra obtained with the VLT-U2 telescope ESO Proposal number 079.B-0447(A).
- ... IRAF
- IRAF is distributed by the National Optical Astronomy Observatories, which are operated by the Association of Universities for Research in Astronomy, Inc., under cooperative agreement with the National Science Foundation.
- ...Simon & Geha (2007)
- J. Simon and M. Geha have kindly provided the relevant data so that we could do this analysis.
- ...)
- E. Kirby has kindly provided the relevant data so that we could do this analysis.
All Tables
Table 1: Summary of the photometric observations obtained with the Isaac Newton Telescope.
Table 2: Standard stars from Schuster & Nissen (1988), except HD107853 (Olsen 1993).
Table 3: Coefficients for Eq. (3).
Table 4: Aperture corrections.
Table 5: Summary of the spectroscopic observations with FLAMES.
Table 6: Objects with a stellarity index lower than 0.5, a radial velocity much lower than the mean velocity of the galaxy or V0>21.
Table 7: Possible variable stars in the Hercules dSph galaxy identified in Sect. 4.5.
Table 8: Summary of determination of systemic velocities, velocity dispersions and metallicities for the Hercules dSph galaxy.
Table 9: Hercules dSph galaxy members.
All Figures
![]() |
Figure 1: Position on the sky
of our observations. The coordinates are given in decimal degrees,
epoch J2000. Central coordinates for the galaxy are from Martin et al. (2008).
The solid ellipse represents the core radius and the dotted ellipse the
King profile limiting radius of the Hercules dSph galaxy as determined
by Coleman et al. (2007). Solid rectangles outline the four CCD chips in the WFC used for the photometric observations. |
Open with DEXTER | |
In the text |
![]() |
Figure 2:
The residuals for the standard stars as a function of our final (v-y) colour. The residuals are given in the sense ``our observed value'' - ``the standard value''. Mean differences and |
Open with DEXTER | |
In the text |
![]() |
Figure 3: Errors in the photometry for y, b, v and u, as indicated. The calculation of the errors is described in Sect. 2.1.4. The few stars with anomalously high errors at a given magnitude are also discussed there. |
Open with DEXTER | |
In the text |
![]() |
Figure 4: SExtractor stellarity index (sclass) as a function of V0. A star takes on values close to 1 and galaxies values close to 0. The rectangle indicates the area where we investigated each object individually (see Sect. 2.1.5). |
Open with DEXTER | |
In the text |
![]() |
Figure 5: Example showing the
subtraction of sky-emission lines from the stellar spectra. At the top
we show a raw, one-dimensional, spectrum for one of the brightest stars
in our sample, V=18.4.
Below that spectrum is the final spectrum of the sky constructed
through the combination of all 21 sky fibres. At the bottom we show the
stellar spectrum once the sky has been removed. The S/N for the final stellar spectrum is 28. The rms in the sky spectrum is |
Open with DEXTER | |
In the text |
![]() |
Figure 6:
Colour-magnitude diagram centred on the Hercules dSph galaxy. a) V0 vs. (b-y)0. b) V0 vs. (v-y)0. Only objects with a stellarity index
|
Open with DEXTER | |
In the text |
![]() |
Figure 7:
a) SExtractor stellarity index vs. radial velocity for the objects observed with FLAMES. The error-bars represent the error in
|
Open with DEXTER | |
In the text |
![]() |
Figure 8: Distributions of radial velocities. The solid histogram shows the distribution of velocities from a Besançon model in the direction of the Hercules dSph galaxy. The shaded histogram shows the distribution of radial velocities for our FLAMES observations. Only objects with sclass>0.5 are included (see Sect. 2.1.5). Note that the area of the histogram based on the Besançon model has been normalized to cover the same area as the FLAMES histogram. |
Open with DEXTER | |
In the text |
![]() |
Figure 9:
c1,0 vs. (b-y)0 diagram with regions occupied by stars at various evolutionary stages as defined in Schuster et al. (2004).
MS: the main sequence; SG: sub-giant stars; RG: red giant stars;
RHB-AGB: the red horizontal-branch-asymptotic-giant-branch transition;
HB: the horizontal branch. The shaded region marked DRACO indicates the
region occupied by the RGB stars in the Draco dSph galaxy (Faria et al. 2007). The dashed lines indicate dwarf star sequences for different metallicities,
|
Open with DEXTER | |
In the text |
![]() |
Figure 10:
c1,0 vs. (b-y)0 for stars, |
Open with DEXTER | |
In the text |
![]() |
Figure 11: Errors in the Strömgren colour index c1 (see Sect. 4.1). The solid line indicates a spline function fitted to fall just above the trend with smaller errors. This line is used in Sect. 4.2 and Figs. 12 and 13 where we define the RGB stars. |
Open with DEXTER | |
In the text |
![]() |
Figure 12:
c1,0 vs. (b-y)0 for
stars in the direction of the Hercules dSph galaxy. The range of
magnitude is indicated at the top of each panel. Dots are stars within
the given magnitude range. |
Open with DEXTER | |
In the text |
![]() |
Figure 13:
|
Open with DEXTER | |
In the text |
![]() |
Figure 14:
a) c1,0 vs. (b-y)0
for the stars in the direction of the Hercules dSph galaxy. BHB: the
blue horizontal branch; HB: the remainder of the horizontal branch; BS:
the blue stragglers (Schuster et al. 2004). The dotted line marks the upper envelope for dwarf stars. |
Open with DEXTER | |
In the text |
![]() |
Figure 15: Determination of the distance to the Hercules dSph galaxy, see Sect. 4.4. Solid line indicates the median distance to the Hercules dSph galaxy. Dashed vertical lines indicate the upper and lower sextile. |
Open with DEXTER | |
In the text |
![]() |
Figure 16:
c1,0 vs. (b-y)0 diagram for stars considered as members from the radial velocity measurement alone (see Sect. 5.1). The thin solid lines indicate the isochrones for RGB stars by VandenBerg et al. (2006) with colour transformations by Clem et al. (2004). The thin dashed lines indicate dwarf star sequences for different metallicities,
|
Open with DEXTER | |
In the text |
![]() |
Figure 17:
Colour-magnitude diagrams. a) Objects targeted with FLAMES are shown as large |
Open with DEXTER | |
In the text |
![]() |
Figure 18:
Final Colour-magnitude diagrams for the Hercules dSph galaxy. a) V0 vs. (b-y)0. b) V0 vs. (v-y)0. |
Open with DEXTER | |
In the text |
![]() |
Figure 19:
Difference, in units of Gaussian |
Open with DEXTER | |
In the text |
![]() |
Figure 20:
Strömgren c1,0 vs. (b-y)0 diagram for the stars from Simon & Geha (2007). |
Open with DEXTER | |
In the text |
![]() |
Figure 21:
m1,0 vs. (v-y)0 for the Hercules dSph galaxy. |
Open with DEXTER | |
In the text |
![]() |
Figure 22:
a) Errors in the
|
Open with DEXTER | |
In the text |
![]() |
Figure 23:
A comparison between metallicities derived from the m1 index and those derived from Ca II IR triplet line measurements.
|
Open with DEXTER | |
In the text |
![]() |
Figure 24:
Strömgren c1,0 vs. (b-y)0 diagram for the stars from Kirby et al. (2008b). |
Open with DEXTER | |
In the text |
![]() |
Figure 25:
A comparison between our metallicities derived from m1 and metallicities from Kirby et al. (2008b).
|
Open with DEXTER | |
In the text |
![]() |
Figure 26:
Spatial distribution of the stars identified as members from both spectroscopy and photometry. a) |
Open with DEXTER | |
In the text |
![]() |
Figure 27: Distributions of radial velocities. The solid histogram shows the distribution of velocities for objects in the direction of the Hercules dSph galaxy. The shaded histogram shows the distribution of radial velocities for stars identified as RGB members based on the evolutionary stage as derived from photometry. The solid-vertical line indicates the systemic velocity as derived from the RGB members. |
Open with DEXTER | |
In the text |
![]() |
Figure 28:
a) Metallicity histogram for RGB stars in the Hercules
dSph galaxy. The solid histogram shows the distribution for all stars
in our final sample. The shaded histogram shows the distribution for
stars in our final sample with
V0 < 20.5 (compare Fig. 22a). b) Corresponding normal probability plot, for stars in our final sample with
V0 < 20.5, assuming a normal distribution.
The solid line indicates a linear fit to the data with a mean
metallicity of [Fe/H] = -2.26 dex and
|
Open with DEXTER | |
In the text |
Copyright ESO 2009
Current usage metrics show cumulative count of Article Views (full-text article views including HTML views, PDF and ePub downloads, according to the available data) and Abstracts Views on Vision4Press platform.
Data correspond to usage on the plateform after 2015. The current usage metrics is available 48-96 hours after online publication and is updated daily on week days.
Initial download of the metrics may take a while.