Free Access
Issue
A&A
Volume 506, Number 3, November II 2009
Page(s) 1243 - 1247
Section Interstellar and circumstellar matter
DOI https://doi.org/10.1051/0004-6361/200912770
Published online 03 September 2009

A&A 506, 1243-1247 (2009)

Constraining the ortho-to-para ratio of H2 with anomalous H2CO absorption[*]

N. Troscompt - A. Faure - S. Maret - C. Ceccarelli - P. Hily-Blant - L. Wiesenfeld

Laboratoire d'Astrophysique de Grenoble, Université Joseph Fourier, UMR 5571-CNRS, Grenoble, France

Received 26 June 2009 / Accepted 5 August 2009

Abstract
Context. The ortho-to-para ratio (OPR) of molecular hydrogen is a fundamental parameter in understanding the physics and chemistry of molecular clouds. In dark and cold regions, however, H2 is not directly observable and the OPR of H2 in these sources has so far remained elusive.
Aims. We show that the 6 cm absorption line of ortho-formaldehyde (H2CO) can be employed to constrain both the density and the OPR of H2 in dark clouds.
Methods. Green Bank Telescope (GBT) observations of ortho-H2CO toward the molecular cloud Barnard 68 (B68) are reported. Non-LTE radiative transfer calculations combined with the well-constrained structure of B68 are then employed to derive the physical conditions in the absorption region.
Results. We provide the first firm confirmation of the Townes & Cheung mechanism: propensity rules for the collisions of H2CO with H2 molecules are responsible for the sub-2.7 K cooling of the 6 cm doublet. Non-LTE calculations show that in the absorption region of B68, the kinetic temperature is $\sim $10 K, the ortho-H2CO column density amounts to $\sim $ $2.2\times 10^{13}$ cm-2, the H2 density is in the range $1.4{-}2.4\times 10 ^4$ cm-3, and the OPR of H2 is close to zero. Our observations thus provide fresh evidence that H2 is mostly in its para form in the cold gas, as expected from theoretical considerations. Our results also suggest that formaldehyde absorption originates in the edge of B68, at visual extinctions $A_{\rm V}\la 0.5$ mag.

Key words: astrochemistry - ISM: molecules - ISM: abundances - ISM: individual objects: Barnard 68

1 Introduction

The ortho-to-para ratio (OPR) of molecular hydrogen (H2) is a fundamental parameter in understanding the physics and chemistry of interstellar molecular clouds. Chemical models have shown, in particular, that the degree of deuteration of molecular ions and molecules during the pre-protostellar collapse is very sensitive to the form of H2 (Pagani et al. 2009; Flower et al. 2006). In these environments, H2forms on grain surfaces, and it is generally assumed that the initial OPR is equal to the statistical value of 3. Although the details of the H2 formation mechanism remain uncertain, it is also commonly accepted that ortho-to-para conversion of H2 occurs subsequently in the gas phase by means of proton exchange reactions with H+ and H3+. Although the timescales associated with these reactions are large, the OPR of H2 is expected to decrease toward zero (the Boltzmann equilibrium value at 10 K is $3.6 \times
10^{-7}$) during the lifetime of a molecular cloud and it is, therefore, a potentially valuable probe of the age of the cloud. This ratio is however expected to be not fully thermalized in dark clouds because of the recycling of hydrogen via gas phase reactions and catalysis on grains (Le Bourlot 1991). The chemical modelling of Flower et al. (2006) for $n_{\rm H}=10^4$ cm-3 and T=10 K thus suggests that the OPR is $\sim $10-3 at steady-state, that is exceeds the Boltzmann equilibrium value by 4 orders of magnitude. In addition, in the warm gas associated with molecular shocks ( $T_{\rm kin}>300$ K), direct observations of H2rovibrational lines have shown that the OPR is generally not equal to the Boltzmann equilibrium value of 3, but lies in the range 0.5-2 (e.g., Maret et al. 2009; Lefloch et al. 2003; Neufeld et al. 1998, and references therein). These relatively low values are interpreted as the legacy of earlier stages of the thermal history of the gas. There is therefore evidence, both observational and theoretical, that H2 is mostly in its para form in cold and dark progenitor molecular clouds. However, since the gas temperature in this latter type of clouds is too low to populate excited levels of H2, a direct measure of the OPR of cold H2 has remained so far elusive.

\begin{figure}
\par\includegraphics*[origin=rb,angle=270,width=12cm]{12770fg1.eps}
\end{figure} Figure 1:

Spectrum of the ${1_{10} \leftarrow 1_{11}}$ absorption line of ortho-H2CO at 4.82966 GHz toward B68. The GBT spectrum is given by the black line while the red line denotes the CLASS HFS fit. The hyperfine transitions $\rm {1_{10}\ F' \leftarrow 1_{11}\ F}$ are marked at their respective frequencies.

Open with DEXTER

The OPR of H2 is also important for collisional excitation processes at low temperature because the interaction potential is different for ground state para-H2 (J=0) and ortho-H2(J=1). This is because the permanent quadrupole moment of H2vanishes when H2 is in its spherically symmetric ground para state (J=0). As a result, rate coefficients with ortho-H2(J=1) are generally higher than those with para-H2(J=0). Collisional propensity rules can also be different for the two forms of H2, as shown for example by Flower et al. (1990) in the case of ammonia and, more recently, by Troscompt et al. (2009) in the case of formaldehyde (H2CO). One particularly interesting observation of (ortho) H2CO is the absorption of the 6 cm line ( ${1_{10} \leftarrow 1_{11}}$) against the 2.7 K Cosmic Microwave Background (CMB). This ``anomalous'' absorption, which implies an excitation temperature $T_{\rm ex}<2.7$ K for the doublet, was first discovered by Palmer et al. (1969) in the direction of dark nebulae. Numerous theoretical studies (in particular Evans et al. 1975; Garrison et al. 1976; Townes & Cheung 1969) proposed an explanation in terms of competing radiative and collisional population transfer mechanisms. The H2CO absorption was thus found to provide a sensitive probe of the temperature and density conditions in dark sources. All previous studies were however hampered by i) the lack of accurate collisional rates between H2CO and H2 (He atoms were employed as substitutes for H2 molecules) and ii) low spectral resolution, which did not allow to properly resolve the hyperfine structure.

In this study, we present the first high spectral resolution observation of the H2CO 6 cm absorption line toward Barnard 68 (hereafter B68), the prototype of a dense molecular cloud (Burkert & Alves 2009, and references therein). Non-local thermodynamic equilibrium (LTE) radiative transfer calculations based on the theoretical collisional rates of Troscompt et al. (2009) are then employed to derive the physical conditions in the absorption region, including constraints on the OPR of H2 in this source. The observations and data reduction are described in Sect. 2. Radiative transfer modelling is presented in Sect. 3, and results are discussed in Sect. 4.

2 Observations

We observed the ${1_{10} \leftarrow 1_{11}}$ transition of ortho-H2CO ( $\nu=4.82966$ GHz) towards B68 ( ${\rm RA} = 17^{\rm h}22^{\rm m}38.2^{\rm s}$, $\delta = -23$$^\circ$ $49\hbox{$^\prime$ }34\hbox{$^{\prime\prime}$ }$ [J2000]) using the NRAO Robert C. Byrd Green Bank Telescope (GBT). The observation was performed on October 17, 2008. The C-band ( 3.95-6.1 GHz) receiver was used together with the GBT auto-correlator in nine-level sampling mode, providing a spectral resolution of 762.9 Hz (0.047 km s-1). At the observed frequency, the HPBW of the GBT is  $2.5\hbox{$^\prime$ }$and the main beam efficiency is $\eta_{\rm mb}=0.97$. The observations were performed in frequency switching mode, with a frequency throw of 100 MHz. Finally, the observation is an average of $4\times 10$ min scans, for a total integration time of 40 min.

The data was reduced with the CLASS software package[*]. A first order polynomial baseline was subtracted from the spectrum, which is shown in Fig. 1. Because of the high resolution and high signal-to-noise ratio of the spectrum, several hyperfine components are resolved. Especially, the F=1-1 and the (blended) F=1-2 and 2-1 components are clearly distinguishable from the (blended) F=2-2 and 0-1 components. The F=1-0 component is also easily resolved. The line parameters were fitted with the HFS method in CLASS, which allows the simultaneous fitting of all the hyperfine components of a rotational transition, based on the assumption that the excitation temperature is the same for all hyperfine components and the lines do not overlap. We note that the frequencies and relative intensities of hyperfine components were taken from the laboratory measurements of Tucker et al. (1971). As shown in Fig. 1, an excellent fit to the observed spectrum is obtained, with a rms of $\sim $10-2 K.

We derived an antenna temperature $T_{\rm a}^*$ of the main hyperfine component (F=2-2) of $-0.44\pm 0.04$ K, a source velocity $v_{\rm LSR} = 3.374\pm 0.003$ km s-1, a total opacity of the transition $\tau_{\rm tot} = 1.29\pm 0.19$, and a line width $\Delta v = 0.294\pm 0.007$ km s-1. The excitation temperature was then derived from $T_{\rm a}^*$ within the Rayleigh-Jeans approximation (e.g., Martin & Barrett 1978) by assuming no clumping, that is a beam dilution factor of 1 since the spatial extent of B68 (2$^\prime$) and the beam extension (2.5$^\prime$) are similar. We obtained $T_{\rm ex}=1.63^{+0.19}_{-0.25}$ K. The present excitation temperature and opacity are thus in good agreement with those obtained by Heiles (1973), who found an average excitation temperature of 1.6 K and total opacities of $\sim $1 for a sample of dark clouds.

3 Non-LTE modelling

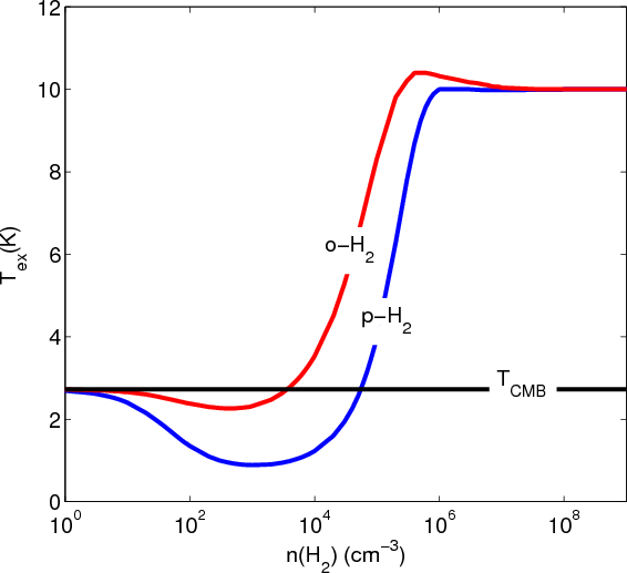
The collisional pumping mechanism invoked to explain the anomalous absorption of H2CO was first proposed by Townes & Cheung (1969). It was based on a classical formulation showing that collisions with neutral particles should favor excitation to the lower level of each doublet of ortho-H2CO. This collisional propensity rule, combined with the dipolar radiative selection rules, leads to an overpopulation of the 111 level and a cooling of the excitation temperature of the ${1_{10} \leftarrow 1_{11}}$ transition below 2.7 K[*]. This scheme was subsequently supported by semi-classical and quantum calculations (Garrison et al. 1976). However, as mentioned in the introduction, He atoms were employed as substitutes for H2 in all previous studies. Troscompt et al. (2009) showed that the propensity rule is weaker for H2 than for He and, furthermore, that it depends significantly on the ortho/para form of H2.

This is clearly illustrated in Fig. 2, where we plot the results of a non-LTE computation based on collisional excitation by either para-H2 (J=0) and He atoms or ortho-H2(J=1) and He atoms. We note, however, that excitation by H2 is entirely predominant, that is the contribution of He atoms was found to be negligible. Excitation by the far less abundant free electrons was neglected[*]. The hyperfine structure of H2CO levels was neglected in the calculations (see below). We employed the MOLPOP program, written by Moshe Elitzur and Philip Lockett, to solve the radiative transfer equations using the escape probability method for a homogeneous slab (Krolik & McKee 1978). The 10 first levels of ortho-H2CO were considered in the computation with the following basic parameters: the ortho-H2CO column density was fixed to N(H2CO) =  $1.0\times 10^{13}$ cm-2, the kinetic temperature to $T_{\rm kin}=10$ K, and the Doppler linewidth to 1 km s-1. The 2.7 K CMB radiation field was obviously included but all other possible sources of radiation were neglected. The collisional data was those of Troscompt et al. (2009) and Green (1991) for excitation by H2 and He, respectively. It is first observed, in agreement with previous calculations based on He as a collider, that cooling of the 6 cm doublet below 2.7 K does occur for densities lower than a few 104 cm-3. This provides the first robust confirmation of the Townes & Cheung mechanism in the case of H2 as a collider. Secondly, it is noticed that the cooling is significantly stronger for para-H2 (J=0) than for ortho-H2 (J=1), and that it occurs over a wider range of density. Hence, the cooling of the doublet is expected to depend markedly on the OPR of H2, with diminishing intensity of the 6 cm absorption line as the OPR increases.

\begin{figure}
\par\includegraphics*[width=8cm]{12770fg2.eps}
\end{figure} Figure 2:

Excitation temperature for the ${1_{10} \leftarrow 1_{11}}$ transition as a function of the H2 density. The blue and red lines correspond to para-H2 (J=0) and ortho-H2 (J=1) as collider, respectively. The black horizontal solid line denotes the background temperature $T_{\rm CMB}=2.7$ K. See text for details.

Open with DEXTER

\begin{figure}
\par\includegraphics[width=8cm]{12770fg3.eps}
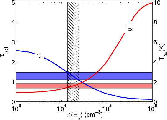
\end{figure} Figure 3:

Total opacity, $\tau _{\rm tot}$, and excitation temperature, $T_{\rm ex}$, as a function of density. The blue and red shaded area denote respectively the range of observed $\tau _{\rm tot}$ and $T_{\rm ex}$. The blue and red lines denote the results of the present model for a kinetic temperature of 10 K, an ortho-H2CO column density of $2.2\times 10^{13}$ cm-2 and an OPR of H2 of zero. The dashed area indicates the density range where both $\tau _{\rm tot}$ and $T_{\rm ex}$ are reproduced.

Open with DEXTER

As mentioned above, we neglected the hyperfine splitting of the H2CO transitions in our radiative transfer treatment. This approximation is strictly valid only when the separation of the hyperfine lines is negligible compared to the line broadening. For linear molecules with large splittings, e.g., HCN or N2H+, detailed treatments have shown that the total opacity of rotational lines can be uncertain by up to a factor of two (for $\tau_{\rm tot}\gg 1)$ if the hyperfine structure is neglected (Daniel et al. 2006). In the case of H2CO, accurate hyperfine collisional rates are not available because the two-spin recoupling formalism (see Daniel et al. 2004) has not yet been extended to asymmetric tops. However, we assessed the effect of the hyperfine structure by resorting to the approximation that hyperfine rates are proportional to the degeneracy (2F'+1) of the final hyperfine level. Ad hoc selection rules such as $\Delta F=0$ were also tested at both low and high opacitites ( $0<\tau_{\rm tot}<50$). Line overlap was included using the absorption probability method (Lockett & Elitzur 1989). The total opacity and excitation temperature (common to all hyperfine levels) were found to agree to within 10% with calculations considering only the rotational structure. As a result, in contrast to molecules containing a 14N nucleus, the hyperfine structure in H2CO can safely be neglected.

Based on the previous considerations, grids of models were constructed by varying the H2 density between 103 and 106 cm-3 and the kinetic temperature between 7 and 12 K, in accordance with the known physical structure of B68 (Bergin et al. 2006); the ortho-H2CO column density was varied between 1011 and 1015 cm-2, and the OPR of H2 between 0 and 3, with the objective of reproducing both the total opacity $\tau _{\rm tot}$ and the excitation temperature $T_{\rm ex}$ reported in Sect. 2. The line width was fixed at 0.294 km s-1, as deduced from the CLASS HFS fit. It should be noted that the impact of temperature variation (7-12 K) was found to be negligible in our modelling. In the following, we therefore assume a constant temperature of 10 K. On the other hand, the ortho-H2CO column density was found to be very well constrained by our observations, with a value of $2.2\pm0.8\times 10^{13}$ cm-2. Interestingly, both the excitation temperature and line total opacity were found to depend strongly on the assumed H2 density and OPR. This is illustrated in Fig. 3, which shows the predicted opacity and excitation temperature as a function of the H2 density, assuming an OPR equal to zero. In this particular case, our observations constrain the H2density to the narrow range $1.4\times10^4{-}2.4\times 10^4
~{\rm cm}^{-3}$.

For a higher OPR, the observed $\tau_{\rm\rm tot}$ and $T_{\rm ex}$ can still be reproduced simultaneously but for much lower H2 densities. This is shown in Fig. 4, where we plot the allowed range of densities for an OPR of 0, 1, and 2 respectively. It should be noted that the dependence of our model on the OPR is linear and not logarithmic. As a result, we can obviously not discriminate between an OPR of zero and, e.g., 10-3. We also report in Fig. 4 the visual extinction of B68 as a function of density, as derived by Alves et al. (2001). The case OPR = 3 is not plotted because it is not compatible with the observations. This figure shows that the H2densities compatible with our H2CO observation relate to the low visual extinction, $A_{\rm v}\lesssim 0.5$ mag, that is in the outer parts of the core. In the following paragraph, we discuss the implications of this result.

\begin{figure}
\par\includegraphics*[width=8cm]{12770fg4.eps}
\end{figure} Figure 4:

Visual extinction $A_{\rm v}$ in B68 as a function of H2 density adopted from the model of Alves et al. (2001). The dashed areas denote the ranges of H2 densities compatible with our H2CO observation for OPR equal to 0, 1, and 2, respectively.

Open with DEXTER

4 Discussion

Our observations and modelling have demonstrated that the H2CO abnormal absorption originates in regions of the core of moderate extinction. However, the precise origin of the absorption depends on the H2 OPR. Conversely, one can place constraints on the OPR from simple arguments about the chemistry of the molecule. In particular, it is unlikely that the absorption of H2CO occurs in regions where $A_{\rm v} < 0.1$ mag. In these regions, the external UV field dissociates molecules and forms a photon-dominated layer. For example, in their detail modelling of the photon-dominated region (PDR) surface layer of B68, Pineda & Bensch (2007) found that the CO abundance peaks at higher visual extinctions ( $A_{\rm v} \sim 0.4$ mag). Although Pineda & Bensch do not present predictions for H2CO, we expect its abundance to peak at a similar or slightly greater $A_{\rm v}$because, unlike CO, H2CO should not be self-shielded from the UV field. Deeper inside the cloud, the abundance of both molecules are expected to decrease, because of the freeze-out on grain mantles (e.g., Bergin et al. 2002; Maret & Bergin 2007, in the case of B68). If we assume that the observed H2CO originates in a region where $A_{\rm v} \sim 0.4$ mag, our modelling indicates that the OPR is close to 0 (see Fig. 4). As mentioned above, it is very unlikely that the absorption originates in a region where $A_{\rm v} < 0.1$ mag, and therefore the OPR is necessarily smaller than 1. Thus, our modelling and observations are consistent with $0 \leq {\rm OPR} \la 1$, that is with H2 mostly in para form.

Furthermore, we have shown that the absorption originates in regions where $A_{\rm v} \la 0.5$ mag, that is the ortho-H2CO 6 cm absorption line probes the outermost envelope of B68. This conclusion was first reached by Minn & Greenberg (1975). Additional evidence supporting this scenario was subsequently obtained by Henkel et al. (1981) for TMC-1 and by Vanden Bout et al. (1983) for a sample of seven dark clouds. It is interesting to note that our estimate of the ortho-H2CO column density in B68 ( $2.2\pm0.8\times 10^{13}$ cm-2) is consistent with the range obtained by the previous authors ( 1012-1014 cm-2). Assuming $A_{\rm v}=0.4$ mag and using the relation $N({\rm H}_2)/A_{\rm v}=0.94\times 10^{21}$ cm-2 mag-1(Frerking et al. 1982), we obtained an H2CO relative abundance (in the absorption region) of X(H2CO) $\sim $  $6\times 10^{-8}$. In the envelope of dark clouds, such a large abundance cannot be reproduced by gas phase chemistry models, as first pointed out by Federman & Allen (1991). In the gas phase, H2CO is mainly formed by the reaction of atomic oxygen with CH3. However, there is never enough CH3 in the tenuous envelopes of dark clouds and, in addition, H2CO is rapidly destroyed by photodissociation and by reactions with C+ (Federman & Allen 1991). Alternatively, H2CO may form by successive hydrogenation of CO at the surface of the grains (Tielens & Hagen 1982). This mechanism is expected to be more efficient in the innermost regions of the cores, where the depletion of CO is at its highest. Thus, this scenario would require an efficient mixing mechanism to bring the grains from the interior to the surface, where CO and H2CO could be photo-evaporated. However, turbulence is observed to be small in B68 with both C18O and 13CO line widths being close to the thermal line width (Lada et al. 2003). Complex radial motions have been observed in this source, but their amplitude is also small (<0.05 km s-1, Maret et al. 2007). As a result, we are currently unable to distinguish between gas phase and grain surface chemistry for the H2CO formation, which has long been enigmatic in a variety of objects (e.g., Roueff et al. 2006). Future studies will address this important issue further. It will be interesting, in particular, to model other observable H2CO lines, in particular the 2 mm emission ( $2_{11}\rightarrow 1_{11}$) and 2 cm absorption ( $2_{11} \leftarrow 2_{12}$). These two lines are, however, understood to originate in higher density regions than the 6 cm line (Vanden Bout et al. 1983). Interferometric observations would also clearly be desirable to probe the spatial distribution of H2CO absorption in B68. We note that such observations were undertaken by Zhou et al. (1990) in a VLA study of the Bok globule B335.

It is finally interesting to compare the OPR that we derive in B68 to other estimates. Based on observations and modelling of the DCO+ and HCO+ emission in this source, Maret & Bergin (2007) inferred an OPR of 0.015, a value that is consistent with the value obtained here. Furthermore, Pagani et al. (2009) used N2D+, N2H+ and ortho-H2D+ observations to derive the OPR in the L183 prestellar core, and found that it is 0.1 in most parts of the cloud. Finally, Maret et al. (2009) recently obtained maps of the H2 OPR in the shocked gas in NGC 1333 cloud, from which they concluded that the OPR in cold, pre-shock gas is lower than 1. Thus, all these studies are consistent with the result presented here, that is H2 is mostly in para form in cold gas.

Acknowledgements
Part of this work is funded by the french national program ``Physico-Chimie du Milieu Interstellaire'' (PCMI). Michel Guélin is acknowledged for fruitful suggestions. We specially thank Jim Braatz and all the staff of the Green Bank Telescope for all the valuable help they provided for a very successful observation.

References

Footnotes

... absorption[*]
This work has been inspired by our colleague and friend Pierre Valiron, who passed away in August 2008. This paper is dedicated to his memory.
... package[*]
GILDAS package, http://www.iram.fr/IRAMFR/GILDAS
... 2.7 K[*]
This phenomenon is also observed for the $2_{11} \leftarrow 2_{12}$ transition of ortho-H2CO at 2 cm.
... neglected[*]
We note that electron excitation of H2CO can play an important role at high electron fraction ( $x_{\rm e}\gtrsim 10^{-5}$), in particular in diffuse clouds where electron collisions are expected to cancel the anomalous 6 cm absorption (Turner 1993).
Copyright ESO 2009

All Figures

  \begin{figure}
\par\includegraphics*[origin=rb,angle=270,width=12cm]{12770fg1.eps}
\end{figure} Figure 1:

Spectrum of the ${1_{10} \leftarrow 1_{11}}$ absorption line of ortho-H2CO at 4.82966 GHz toward B68. The GBT spectrum is given by the black line while the red line denotes the CLASS HFS fit. The hyperfine transitions $\rm {1_{10}\ F' \leftarrow 1_{11}\ F}$ are marked at their respective frequencies.

Open with DEXTER
In the text

  \begin{figure}
\par\includegraphics*[width=8cm]{12770fg2.eps}
\end{figure} Figure 2:

Excitation temperature for the ${1_{10} \leftarrow 1_{11}}$ transition as a function of the H2 density. The blue and red lines correspond to para-H2 (J=0) and ortho-H2 (J=1) as collider, respectively. The black horizontal solid line denotes the background temperature $T_{\rm CMB}=2.7$ K. See text for details.

Open with DEXTER
In the text

  \begin{figure}
\par\includegraphics[width=8cm]{12770fg3.eps}
\end{figure} Figure 3:

Total opacity, $\tau _{\rm tot}$, and excitation temperature, $T_{\rm ex}$, as a function of density. The blue and red shaded area denote respectively the range of observed $\tau _{\rm tot}$ and $T_{\rm ex}$. The blue and red lines denote the results of the present model for a kinetic temperature of 10 K, an ortho-H2CO column density of $2.2\times 10^{13}$ cm-2 and an OPR of H2 of zero. The dashed area indicates the density range where both $\tau _{\rm tot}$ and $T_{\rm ex}$ are reproduced.

Open with DEXTER
In the text

  \begin{figure}
\par\includegraphics*[width=8cm]{12770fg4.eps}
\end{figure} Figure 4:

Visual extinction $A_{\rm v}$ in B68 as a function of H2 density adopted from the model of Alves et al. (2001). The dashed areas denote the ranges of H2 densities compatible with our H2CO observation for OPR equal to 0, 1, and 2, respectively.

Open with DEXTER
In the text


Copyright ESO 2009

Current usage metrics show cumulative count of Article Views (full-text article views including HTML views, PDF and ePub downloads, according to the available data) and Abstracts Views on Vision4Press platform.

Data correspond to usage on the plateform after 2015. The current usage metrics is available 48-96 hours after online publication and is updated daily on week days.

Initial download of the metrics may take a while.