Issue |
A&A
Volume 506, Number 3, November II 2009
|
|
---|---|---|
Page(s) | 1261 - 1267 | |
Section | Stellar structure and evolution | |
DOI | https://doi.org/10.1051/0004-6361/200912791 | |
Published online | 27 August 2009 |
A&A 506, 1261-1267 (2009)
Continuous monitoring of pulse period variations in Hercules X-1 using Swift/BAT
D. Klochkov1 - R. Staubert1 - K. Postnov2 - N. Shakura2 - A. Santangelo1
1 - Institut für Astronomie und Astrophysik, Universität
Tübingen (IAAT), Sand 1, 72076 Tübingen, Germany
2 - Sternberg Astronomical Institute, Moscow University, 119992 Moscow, Russia
Received 30 June 2009 / Accepted 30 July 2009
Abstract
Context. Monitoring of pulse period variations in accreting
binary pulsars is an important tool to study the interaction between
the magnetosphere of the neutron star and the accretion disk. While the
X-ray flux of the brightest X-ray pulsars have been successfully
monitored over many years (e.g. with RXTE/ASM, CGRO/BATSE, Swift/BAT), the possibility to monitor their pulse timing properties continuously has so far been very limited.
Aims. In our work we show that the Swift/BAT observations can be used to monitor coherent pulsations of bright X-ray sources and use Swift
archival data to study one of the most enigmatic X-ray pulsars,
Hercules X-1. A quasi-continuous monitoring of the pulse period
and the pulse period derivative of an X-ray pulsar, here Her X-1,
is achieved over a long time (4 yr).
We compare our observational results with predictions of accretion
theory and use them to test different aspects of the physical model of
the system.
Methods. In our analysis we use the data accumulated with Swift/BAT
starting from the beginning of 2005 (shortly after launch) until the
present time. To search for pulsations and for their subsequent
analysis we used the count rate measured by the BAT detector in the entire field of view.
Results. The slope of the correlation between the locally
determined spin-up rate and the X-ray luminosity is measured for Her
X-1 and found to be in agreement with predictions of basic accretion
torque theory. The observed behaviour of the pulse period together with
the previously measured secular decrease of the system's orbital period
is discussed in the framework of a model assuming ejection of matter
close to the inner boundary of the accretion disk.
Key words: X-rays: binaries - stars: neutron - accretion, accretion disks
1 Introduction
The persistent accreting pulsar Hercules X-1 was one of the first
X-ray sources discovered by the Uhuru satellite in 1972
(Tananbaum et al. 1972; Giacconi et al. 1973)
and since then it remains
one of the most intensively studied X-ray pulsars. The basic
phenomenological picture of Her X-1 was established soon after its
discovery:
a close binary system consisting of an accreting magnetized neutron
star with a 1.24 s spin period and a stellar companion HZ Her
(first suggested by Liller 1972) - a main sequence star of the spectral type A/F (Crampton 1974). The mass of the optical companion is 2
which places the system between high and low mass X-ray
binaries. Other main parameters of the binary system are the following:
orbital period
days, X-ray luminosity of the source
for a distance of
7 kpc (Reynolds et al. 1997). The binary orbit is almost circular (Staubert et al. 2009b) and has an inclination
(Gerend & Boynton 1976).
The magnetic field strength on the surface of the neutron star is
believed to be around
G, as estimated from the energy of the cyclotron resonant scattering feature (Trümper et al. 1978).
Like many other X-ray pulsars, Her X-1 exhibits significant
variation of the pulsation period (i.e. spin rate of the neutron star).
Alternation of spin-up and spin-down episodes on time-scales of several
months in this system is superimposed on a background of systematic spin-up
(Klochkov 2007; Sheffer et al. 1992; Staubert et al. 2006). The behaviour of the
pulsar's spin period on shorter time scales is not very well studied because
such a study would require a continuous monitoring of Her X-1 with a
sensitive X-ray detector. Only between 1991 and 2000 did the BATSE instrument onboard CGRO (Fishman et al. 1989)
provide information about the source's pulse period on a regular basis.
These data allowed Staubert et al. (2006) to reveal an anticorrelation
between the pulse period and times of X-ray turn-ons,
i.e. switching from an off-state with low X-ray flux to the
so-called main-on state with high flux (such turn-ons regularly occur in Her X-1 with a period of 35 days and are believed to be caused by a precessing tilted accretion disk around the neutron star, see e.g. Gerend & Boynton 1976).
In this work we present a continuous monitoring of the Her X-1 pulse
period P and its local (measured at the time of the observation)
time derivative
using the Swift/BAT instrument
starting from 2005 (begin of scientific operation) to 2009.
We compare the observed pulse period development with that measured
previously with CGRO/BATSE. The data of the monitoring allowed us to explore for the first time the correlation between the locally measured
and
the X-ray flux of the pulsar and compare the results with predictions
of accretion
theory. The observed strong spin-down episodes are discussed in the
framework of a model assuming ejection of matter from the inner part of
the accretion disk along the open magnetic field lines.
2 Observations
For our analysis, we used the public archival data obtained with the
Burst Alert Telescope (BAT, 15-150 keV, Barthelmy et al. 2005) onboard the Swift observatory (Gehrels et al. 2004). With its large field of view (1.4 sterad), the BAT instrument was originally designed to provide fast triggers for gamma-ray bursts and their accurate positions in the sky (4 arcsec).
Following such a trigger, the observatory points in the direction of
the burst, which can be then observed with the X-ray and UV/optical
telescopes onboard the satellite. While searching for bursts, BAT
points at different locations of the sky, thus performing an all-sky
monitoring in hard X-rays (measurements of the X-ray flux are provided
by the Swift/BAT team in the form of X-ray light curves for the several hundred bright persistent and transient sources
).
Most of the BAT observations are stored in the form of
detector plane maps (histograms) accumulated over the 5-min exposure
time, which limits the possibilities of timing analysis. In addition to
the detector plane histograms, however, the stored data contain 64-ms
count rates corresponding
to the total flux detected by BAT. If a bright pulsating source
with a known period falls into the field of view of the instrument,
the total count rate can be used to search for coherent pulsations of
that source. We have used this strategy to measure the 1.24 s pulsations
of Her X-1 during its main-on states (when the X-ray flux of the source is high), repeating every 35 days.
3 Timing analysis of BAT data
To determine the pulse period, we used a method similar to that
described by Staubert et al. (2009b). The method includes two techniques
for the determination of the period: epoch folding
with a
search
(e.g. Leahy et al. 1983) and pulse phase connection
(e.g. Deeter et al. 1981). The first one is used to establish the
presence of the periodic signal from Her X-1 in the BAT data,
determine the approximate period, and construct pulse profiles
(by folding the data with the found period), while the second
is subsequently applied to the pulse profiles to determine the
precise value of the period and its time derivative.
As already mentioned, for our analysis we used the total count rates
measured by BAT with a time resolution of 64 ms. All times
of the count rates were translated to the solar system barycenter and
corrected for binary motion (using our newest orbital ephemeris presented in
Staubert et al. 2009b). We then performed a period search using
epoch folding in a narrow period interval around the expected
pulse period (1.237 s). If a strong periodic signal was present,
we determined the period and used it to construct X-ray pulse profiles for subsequent pulse phase connection.
The integration time in each case was chosen to be large enough to
obtain a pulse profile with sufficient statistics (normally
1 ks). A typical profile used in our phase-connection analysis is shown in Fig. 1.
![]() |
Figure 1:
An example of a Swift/BAT
pulse profile used to study pulse shifts for the precise measurement of
the pulse period variations in Her X-1. The profile is taken at
MJD 54516.083 with |
Open with DEXTER |
To obtain pulse arrival times for the subsequent phase connection analysis
we have fit all individual pulse profiles with a template profile
constructed by superposing the individual profiles from the same main-on
state. In many cases we ignored the data at the start and the end
of a main-on where the profiles deviate noticeably from those obtained
in the middle of the main-on. Thus, within one main-on, we restricted
our analysis to the time intervals where the shape of the pulse profile
does not change appreciably. Nevertheless, we cannot completely exclude
possible systematic effects which might affect our results
due the variation of the profile
shape (see also the Discussion). If the interval between the adjacent
pulse arrival times is short enough (or if the uncertainty of the
assumed pulse period is sufficiently small), one can reconstruct the number
of pulsation cycles passed in between, excluding any mis-counting. In this
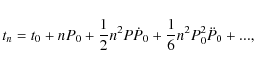
case, the estimated pulse arrival times can be analytically modelled.
For example, if the pulse period P is constant, the expected arrival
time of pulse number n is
where t0 is the arrival time of the ``zero''-th pulse. In the case of non-zero first and second derivatives of the pulse period, the arrival times are given by (see e.g. Staubert et al. 2009b)
where P0,


A convenient way to explore the variation of the pulse period,
often used in the phase connection technique,
is to construct a so-called (O-C) diagram
showing the estimated (observed) pulse arrival time minus the
calculated one assuming a constant period (i.e. using
Eq. (1)). An example of such a diagram
measured with BAT during one of the Her X-1
main-on states is shown in Fig. 2. A straight line in the
graph would correspond to a constant period defined by the slope
of the line. The solid curve indicates
a parabolic fit to the data corresponding to a constant
positive
according to Eq. (2) (in the shown
case the best-fit
s/s).
![]() |
Figure 2: Estimated
(observed) minus calculated (assuming a constant period) pulse arrival
times of Her X-1 in units of its pulse period during one of its main-on
states observed with Swift/BAT. A parabolic fit to the data shown with the solid line corresponds to a constant positive
|
Open with DEXTER |
![]() |
Figure 3:
Pulse period P of Her X-1 measured with Swift/BAT as a function of time. The cones around each point indicate the allowed range of the slope corresponding to the measured |
Open with DEXTER |
4 Pulse period variability
Using the method described in the previous section we determined the
pulse period P and its time derivative
for most of the
Her X-1 main-on cycles observed with BAT
(for other parts of the 35 d cycle
the flux was too low for such determinations).
At the time of writing this paper the data are available for the time period
from March 2005 to May 2009 that covers 45 35d cycles (main-on states) of the pulsar.
For several cycles the BAT observations
have relatively poor statistics due to gaps in the data. For such cycles,
only P, but no
,
could be determined. For the cycle with the turn-on at
,
even the pulse period could not be found due to a gap in the data.
However, during this cycle Her X-1 was observed with the
INTEGRAL satellite (Staubert et al. 2009b). So, we included
the value of P measured with INTEGRAL in our data set
(since the INTEGRAL observations caught only the end of the
main-on,
could not be measured).
For the main-on starting at MJD 53577.14 only the pulse period Pcould be measured with BAT (no
). But the main-on was simultaneously observed with the INTEGRAL and RXTE
observatories (Staubert et al. 2009b; Klochkov et al. 2008). The value
of P measured during these pointings is consistent (within
1
uncertainty) with the value found from the BAT data.
We consider this agreement as a successful cross-check between the
Swift, RXTE, and INTEGRAL observations.
The time evolution of the measured pulse period for the main-ons of
Her X-1 is shown in Fig. 3. Where a corresponding
value of
was measured, the 1
-uncertainty range is indicated
by the cones, the orientation of which reproduce the measured
value.
A close quantitative inspection of all measured values of P and
leads to the following list of statements about their evolution with time.
- The pulse period evolution shown in Fig. 3
resembles a saw-tooth where one can distinguish five spin-down and five
spin-up episodes (from comparing adjacent measurements). The overall
mean spin-up rate is
s s-1 or -15.728(2) ns d-1. We note that this is slightly steeper than the general mean spin-up of -9 ns d-1 observed from the discovery of the source to the dramatic spin-down event during the Anomalous Low of 1999/2000 (Klochkov 2007).
- The spin-down episodes (with mean spin-down rates between
and
s s-1), lasting from 1 to 3 35 d cycles, are generally shorter than the spin-up episodes (with mean spin-up rates from
to
s s-1) which last from 3 to 13 35 d cycles.
- Locally measured
values, ranging from
s s-1 to +
s s-1, show stronger modulation than
values found from comparing the pulse period of adjacent 35 d cycles which range from
s s-1 to
s s-1.
- Generally, the locally measured
values and the ``cycle-to-cycle''
values show a similar behavior (with the former having the larger amplitude). For many points, however, the locally measured
is substantially different from the one derived from P values of adjacent measurements (that is, from the slope of the pulse period development).
We will discuss the pulse period variations again in Sect. 6.
5 Correlation between spin-up rate and X-ray flux
A positive correlation between the spin-up rate of a neutron star and
its X-ray luminosity is generally expected from accretion theory
(see e.g. Pringle & Rees 1972), where an increase of the mass accretion
rate
leads to an increase in the rate of change of the neutron
star's angular momentum. Such a correlation has been observed in many
accreting pulsars (see e.g. Bildsten et al. 1997, for a review).
In Her X-1, however, the correlation was so far questionable (see
however Klochkov 2007; Wilson et al. 1994). One of the difficulties is the relatively
low amplitude of the
variation in the system (reflected by the
maximum main-on flux, see below), of a factor
2. Another problem
is the lack of local spin-up measurements (so far
in
Her X-1 was locally measured only in a few
cases). For the rest of the existing data
was estimated by taking
differences of the pulse periods between adjacent main-on states which
gives an averaged value over two or more 35 d cycles
(see e.g. Klochkov 2007, where data from CGRO/BATSE were used).
The X-ray luminosity
which we assume to be
proportional to the mass accretion rate
is usually estimated from the maximum X-ray flux during the main-on coincident with the observation (Staubert et al. 2007). Such an estimate is supposed to be very close to the local value of
.
In this work we have used the values of
locally measured with
BAT to explore the correlation between the spin-up rate
and the X-ray luminosity. Following Staubert et al. (2007) we have used
the maximum main-on flux detected with BAT
as a measure of
.
In Fig. 4we
plot the measured pulse period derivative versus the maximum main-on
flux. The dashed line indicates a linear fit to the data that takes
uncertainties of both variables into account (using the orthogonal
regression method, Boggs et al. 1989). The data indicate an
anticorrelation as predicted by the basic accretion theory. Inspection
of the linear Pearson's correlation coefficient gives a probability
of
to find the measured correlation by chance.
We note, however, that such a high significance appears
mainly due to the group of four points with high spin-down rate and low
flux (in the upper left part of the graph in Fig. 4). The rest of the points form an uncorrelated ``cloud'' around
.
On the other hand, the data contain no points with large spin-down (
s/s) and large luminosity (in the upper right part of the graph) that could destroy the correlation.
![]() |
Figure 4:
The locally measured time derivative of the pulse period, |
Open with DEXTER |
The best-fit slope of the
dependence assuming
a linear relation is found to be
,
where
and
is the
count rate measured with BAT. Assuming a distance of 7 kpc (see Introduction) one can find that
0.05 BAT cts s-1 approximately corresponds to
erg s-1. Thus, we can rewrite the found value of the slope as
where
erg s-1.
At a first approximation the value of the slope can be calculated
using the equation:
where the first term stands for the spin-up from the inner disk radius







At the corotational regime when





and used to calculate the theoretical slope of the








6 Discussion
6.1 Pulse period variations. Comparison with BATSE data
![]() |
Figure 5: Pulse period P of Her X-1 measured with CGRO/BATSE as a function of time. The values are derived from the publicly available pulse search data (Wilson, priv. comm.). The solid lines indicate the exponential fit to the pulse period during the ``relaxation'' time after two ``glitch''-like episodes. |
Open with DEXTER |
The general behaviour of the pulse period in Her X-1 measured with Swift/BAT (Fig. 3) is similar to that observed previously in this source. The long-term spin-up trend is occasionally interrupted by short (a few 35 d cycles) spin-down episodes. In Fig. 5 we plot for comparison the historical development of the Her X-1 pulse period measured with CGRO/BATSE. We have made use of the publicly distributed pulsar data as well as lists kindly provided by Wilson (see also Staubert et al. 2006).
In both the BATSE and BAT data, the spin-down episodes
are generally shorter than the spin-up episodes. One also sees that in
most cases the averaged absolute value of
is larger during
the spin-down intervals than during spin-ups. Such an asymmetry is
difficult to explain within the basic accretion theory (i.e. using
Eq. (3)) assuming that the spin period reflects
stochastic variations of
.
In some cases spin-down
episodes with subsequent spin-ups are reminiscent of
glitch-like behaviour observed in some radio-pulsars where a rapid change of the pulse period
is followed by a slower ``relaxation'' to the long-term trend.
However, compared to radio pulsars, the ``glitches'' in Her X-1
appear with an opposite sign: an initial rapid increase of the period
is followed by a slower decrease (as it should be if in both
radio pulsars and Her X-1 the glitches are caused by a sudden
decrease/increase of the moment of inertia of the star's crust).
Two such glitch-like episodes
are indicated in Fig. 5 by solid lines which show the fit
of the ``relaxation'' intervals by an exponential function on top
of the linear decrease of the period (see e.g. Shemar & Lyne 1996).
The characteristic relaxation times,
,
for the two cases
are around 100 days which is similar to the values observed
in radio pulsars (Shemar & Lyne 1996).
Some of the other
spin-up/spin-down transitions also resemble glitches, even though their
decay is less clearly exponential.
One should note, however, than in radio pulsars the glitch-like
variations of the spin period are predominantly observed in cases of
young neutron
stars, with characteristic ages (
)
less than 1 Myr.
The neutron star in Her X-1 is believed to be much older.
6.2 Correlation
As we have shown, the BAT data
indicate a correlation between the spin-up rate ()
and
the X-ray flux
with the slope of the correlation
consistent with the prediction of the basic accretion theory.
However, even for the relatively narrow range of
observed in Her X-1 the correlation appears to be surprisingly
loose. There are several physical and observational
factors that might introduce dispersion in the observed
relation. The observational factors include the
systematics that affects our measurements of the spin-up rate and
the X-ray flux. As it was already mentioned in Sect. 3,
the pattern-matching technique requires a stable shape of the
pulse profiles. Even though we tried to restrict our analysis to the
intervals where the pulse profile does not change significantly, we cannot
exclude that the variability of the profile shape
contributes to the measured value of
.
We believe, however, that this systematic effect, if present,
does not exceed the statistical errors.
On the other hand,
the X-ray luminosity
might not be unambiguously related
to the maximum main-on flux if the latter is subject to variable
absorption by a hot corona even in the middle of a main-on
where the angle between the plane of the accretion disk and observer's
line of sight reaches a maximum.
A physical reason for the scattering in the correlation is the
possible bimodal behaviour of the pulsar where it switches between
the spin-up and spin-down regimes at the same level of X-ray
luminosity. Such a possibility appears e.g. in the accretion torque
theory
presented by Lovelace et al. (1995) where spin-up/spin-down transitions
occur if the corotation radius is close to the Alfvén radius
(or, more precisely, to the turnover radius
introduced by
Lovelace et al. 1995), i.e. if the pulsar is close to the so-called corotational regime when
the spin-up and spin-down torques are nearly balanced.
The ``uncorrelated'' cloud of data points around
in Fig. 4 might indicate an area of the spin-up/spin-down transitions (bimodal behaviour) where different values
of
are observed at the same level of
.
Another factor that might increase the dispersion of data points
in the correlation relates to the idea of a freely
precessing neutron star
in Her X-1 (Trümper et al. 1978). While having a number of
difficulties from the theoretical point of view
(Sedrakian et al. 1999; Shaham 1977), this hypothesis, however, can explain the
systematic variation of X-ray pulse profiles exhibited by the system
(Staubert et al. 2009a, and references therein).
Free precession results in
systematic variations of the observed spin period of the neutron
star (Postnov et al. 1991; Bisnovatyj-Kogan & Kahabka 1993; Shakura 1988).
With the geometrical parameters of free precession that can be assumed
for Her X-1 on the basis of modelling of its pulse profiles
(Postnov, priv. comm., paper in preparation),
the amplitude of
variation due to free precession might be as high as 10-12 s/s which is comparable to the variations that we observe with BAT (Fig. 4).
Since the precessional phase might be different in different
observations, the described effect might introduce additional
scattering in the
correlation if the
free precession indeed takes place in Her X-1.
6.3 Evidence for the coronal mass ejection
As mentioned in Sect. 5,
in Her X-1, spin-up and spin-down torques are very well balanced, so
that the averaged
is relatively close to zero.
However, from the points in the upper left part of the graph in
Fig. 4, one can conclude that there occur extremely
large spin-down torques (at small fluxes), which are up to 5 times as strong
as spin-up ones. So, the key feature to explain is why do we observe
such strong spin-down episodes?
One possibility is to assume that the accretion disk carries some
magnetic field which can interact via reconnection with the neutron
star's magnetosphere beyond the corotation radius .
This might imply
that beyond
the field lines can sometimes inflate to become open
(see also discussion in Lovelace et al. 1995).
During such episodes, a substantial fraction of matter in the inner part of
the accretion disk can escape the system in the form of a coronal
wind ejection along the open field lines.
Such an ejection of matter should be reflected
in a secular change of the system's
orbital period which is indeed observed in Her X-1
(Staubert et al. 2009b; Deeter et al. 1991).
To assess the importance of coronal mass ejections for the orbital period
evolution, we invoke
general considerations of the non-conservative
treatment of binary orbital parameters (see e.g. Grishchuk et al. 2001).
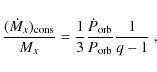
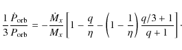
We shall assume a circular binary orbit. Let
be the mass of
the optical star and Mx - that of the neutron star,
is the
binary mass ratio. The total angular momentum of the binary is
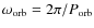
mostly stored in the orbital motion of the binary components:
,
where
is the orbital angular frequency,
is the orbital period, and
is the binary's
semimajor axis. Let us define the non-conservativeness parameter in the
standard way (e.g. Ritter & Kolb 1992):
![]() |
(6) |
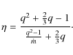
Next we assume that the ejected mass carries away the specific angular momentum of the neutron star





For


so that







From here we see that







The binary mass ratio q in Her X-1, however, may be
uncertain. Indeed, recent analysis of non-LTE effects in the formation
of the
absorption line allows two solutions: q=0.45 and q=0.72 (Abubekerov et al. 2008). Equation (8) implies that
the critical
decreases for smaller q: for q=0.45 we obtain
g s-1. For this mass ratio
the appropriate value of the dimensionless parameter
is 1/2,
for which from Eq. (9) we find
.
This value implies that on average about half of the matter transferred
through the disk should escape from the system to provide the
observed decrease of the system's orbital period.
Note, however, that such a small mass ratio suggests an unusually small
mass of the neutron star of about 0.85
.
It is very likely that an accretion disk corona is present in Her X-1
(see the recent analysis of Chandra X-ray observations by
Ji et al. 2009). This suggests that there might be a permanent
coronal accretion disk wind which carries away some angular momentum
from the system.
Episodic ejection of matter in Her X-1 has sporadically been invoked in the
literature to explain some properties of the system.
Crosa & Boynton (1980) found that the average mass transfer
rate to the outer rim of the accretion disk is somewhat larger
than that required to maintain the observed X-ray luminosity.
In the model of Schandl & Meyer (1994), the disk wind
results from irradiation of the disk by the central source.
Vrtilek et al. (2001) and Boroson et al. (2001) found signatures
of outflowing gas in the UV spectrum of the system.
In the framework of our model, the mass ejection from the system
through the open magnetic field lines occurs most efficiently
during strong spin-down episodes which are associated with low X-ray
luminosity.
Indeed, as we see in Fig. 4, the observed
X-ray flux is decreased by a factor of two during strong spin-down.
From Eq. (9) it is easy to find that
at a given q a fractional decrease in
leads to a comparable
fractional decrease in
,
i.e. accretion indeed becomes more
non-conservative during strong mass ejection episodes.
During such episodes, the neutron star spin-down power
is spent to expel accreting matter from the inner disk
radius
:
![]() |
(10) |
This equation is satisfied for the observed parameters of Her X-1: the ejected mass rate during strong spin-downs



7 Summary
We have used the publicly available Swift/BAT data to study the long-term behaviour of the pulsar's spin period in Her X-1. The measured pulse period variations were compared with those observed previously with CGRO/BATSE.
For the first time, the pulse period derivative was measured
for a long series of observed main-on states of the source. This allowed
us for the first time to test the correlation between the X-ray
luminosity and the locally measured spin-up rate of the
neutron star in Her X-1. We argue that the data indeed show such a
correlation with the slope consistent with the prediction of the
basic accretion theory for the parameters of Her X-1.
The relatively large scattering of the data points in the
vicinity of
can be caused by the bimodal behaviour of
the accretion flow configuration at the magnetospheric
boundary which results in switching of the pulsar between spin-up
and spin-down branches when it stays close to the corotational
regime. In addition, free
precession of the neutron star, if it takes place in the system, can
significantly affect the measured values of
and, therefore,
contribute to the scattering.
We argue that together with the long-term decrease of the orbital period in Her X-1 the measured pulse period behaviour requires the presence of mass ejection from the inner parts of the accretion disk along the open magnetic field lines. The mass ejection episodes probably take place during strong spin-down episodes which are associated with the low X-ray luminosity.
The described technique allows one to use the BAT instrument as a long-term monitor of spin periods in other bright accreting pulsars (see also Camero-Arranz et al. 2009).
AcknowledgementsThe work was supported by the DLR grant BA5027, RFBR grant 09-02-00032, and DFG grants Sta 173/31 and RUS 113/717/0-1We thank ISSI (Bern, Switzerland) for its hospitality during the team meetings of our collaboration when we discussed the presented results.
D.K. thanks Valery Suleimanov (IAAT, Tübingen) for useful discussions.
References
- Abubekerov, M. K., Antokhina, E. A., Cherepashchuk, A. M., et al. 2008, Astron. Rep., 52, 379 [NASA ADS] [CrossRef]
- Barthelmy, S. D., Barbier, L. M., Cummings, J. R., et al. 2005, Space Sci. Rev., 120, 143 [NASA ADS] [CrossRef]
- Bildsten, L., Chakrabarty, D., Chiu, J., et al. 1997, ApJS, 113, 367 [NASA ADS] [CrossRef]
- Bisnovatyj-Kogan, G. S., & Kahabka, P. 1993, A&A, 267, L43 [NASA ADS]
- Boggs, P. T., Donaldson, J. R., Byrd, R. H., et al. 1989, ACM Trans. Math. Softw., 15, 348 [CrossRef]
- Boroson, B., Kallman, T., & Vrtilek, S. D. 2001, ApJ, 562, 925 [NASA ADS] [CrossRef]
- Camero-Arranz, A., Finger, M. H., Ikhsanov, N. R., Wilson-Hodge, C. A., & Beklen, E. 2009, ArXiv e-prints
- Crampton, D. 1974, ApJ, 187, 345 [NASA ADS] [CrossRef]
- Crosa, L., & Boynton, P. E. 1980, ApJ, 235, 999 [NASA ADS] [CrossRef]
- Deeter, J. E., Boynton, P. E., & Pravdo, S. H. 1981, ApJ, 247, 1003 [NASA ADS] [CrossRef]
- Deeter, J. E., Boynton, P. E., Miyamoto, S., et al. 1991, ApJ, 383, 324 [NASA ADS] [CrossRef]
- Fishman, G. J., Meegan, C. A., Wilson, R. B., et al. 1989, in BAAS, 21, 860
- Gehrels, N., Chincarini, G., Giommi, P., et al. 2004, ApJ, 611, 1005 [NASA ADS] [CrossRef]
- Gerend, D., & Boynton, P. E. 1976, ApJ, 209, 562 [NASA ADS] [CrossRef]
- Giacconi, R., Gursky, H., Kellogg, E., et al. 1973, ApJ, 184, 227 [NASA ADS] [CrossRef]
- Grishchuk, L. P., Lipunov, V. M., Postnov, K. A., Prokhorov, M. E., & Sathyaprakash, B. S. 2001, Physics Uspekhi, 44, 1 [NASA ADS] [CrossRef]
- Ji, L., Schulz, N., Nowak, M., Marshall, H. L., & Kallman, T. 2009, ArXiv e-prints
- Klochkov, D. 2007, Ph.D. Thesis, University of Tübingen, Germany, http://w210.ub.uni-tuebingen.de/volltexte/2007/3181/pdf/disser.pdf
- Klochkov, D., Staubert, R., Postnov, K., et al. 2008, A&A, 482, 907 [NASA ADS] [CrossRef] [EDP Sciences]
- Leahy, D. A., Elsner, R. F., & Weisskopf, M. C. 1983, ApJ, 272, 256 [NASA ADS] [CrossRef]
- Liller, W. 1972, IAU Circ., 2415
- Lovelace, R. V. E., Romanova, M. M., & Bisnovatyi-Kogan, G. S. 1995, MNRAS, 275, 244 [NASA ADS]
- Postnov, K. A., Prokhorov, M. E., & Shakura, N. I. 1991, in High-Energy Astrophysics. American and Soviet Perspectives, ed. W. H. G. Lewin, G. W. Clark, R. A. Sunyaev, K. K. Trivers, & D. M. Abramson, 307
- Pringle, J. E., & Rees, M. J. 1972, A&A, 21, 1 [NASA ADS]
- Reynolds, A. P., Quaintrell, H., Still, M. D., et al. 1997, MNRAS, 288, 43 [NASA ADS]
- Ritter, H., & Kolb, U. 1992, A&A, 259, 159 [NASA ADS]
- Schandl, S., & Meyer, F. 1994, A&A, 289, 149 [NASA ADS]
- Sedrakian, A., Wasserman, I., & Cordes, J. M. 1999, ApJ, 524, 341 [NASA ADS] [CrossRef]
- Shaham, J. 1977, ApJ, 214, 251 [NASA ADS] [CrossRef]
- Shakura, N. I. 1988, in Proc. ``Physics of Neutron Stars'', Leningrad, 2, english translation: Physics of Neutron Stars, ed. A. M. Kaminker, Nova, Sci. Publ., Inc., 55, 1995
- Sheffer, E. K., Kopaeva, I. F., Averintsev, M. B., et al. 1992, Sov. Astron., 36, 41 [NASA ADS]
- Shemar, S. L., & Lyne, A. G. 1996, MNRAS, 282, 677 [NASA ADS]
- Staubert, R., Schandl, S., Klochkov, D., et al. 2006, in The Transient Milky Way: A Perspective for MIRAX, ed. F. D'Amico, J. Braga, & R. E. Rothschild, AIP Conf. Ser., 840, 65
- Staubert, R., Shakura, N. I., Postnov, K., et al. 2007, A&A, 465, L25 [NASA ADS] [CrossRef] [EDP Sciences]
- Staubert, R., Klochkov, D., Postnov, K., et al. 2009a, A&A, 494, 1025 [NASA ADS] [CrossRef] [EDP Sciences]
- Staubert, R., Klochkov, D., & Wilms, J. 2009b, A&A [arXiv:0904.2307], Accepted
- Tananbaum, H., Gursky, H., Kellogg, E. M., et al. 1972, ApJ, 174, L143 [NASA ADS] [CrossRef]
- Trümper, J., Pietsch, W., Reppin, C., et al. 1978, ApJ, 219, L105 [NASA ADS] [CrossRef]
- Vrtilek, S. D., Quaintrell, H., Boroson, B., et al. 2001, ApJ, 549, 522 [NASA ADS] [CrossRef]
- Wilson, R. B., Finger, M. H., Pendleton, G. N., Briggs, M., & Bildsten, L. 1994, in The Evolution of X-ray Binariese, ed. S. Holt, & C. S. Day, AIP Conf. Ser., 308475
Footnotes
- ... sources
- http://heasarc.gsfc.nasa.gov/docs/swift/results/transients/
- ...BAT
- We used the Swift/BAT transient monitor results provided by the Swift/BAT team (http://heasarc.gsfc.nasa.gov/docs/swift/results/transients/).
All Figures
![]() |
Figure 1:
An example of a Swift/BAT
pulse profile used to study pulse shifts for the precise measurement of
the pulse period variations in Her X-1. The profile is taken at
MJD 54516.083 with |
Open with DEXTER | |
In the text |
![]() |
Figure 2: Estimated
(observed) minus calculated (assuming a constant period) pulse arrival
times of Her X-1 in units of its pulse period during one of its main-on
states observed with Swift/BAT. A parabolic fit to the data shown with the solid line corresponds to a constant positive
|
Open with DEXTER | |
In the text |
![]() |
Figure 3:
Pulse period P of Her X-1 measured with Swift/BAT as a function of time. The cones around each point indicate the allowed range of the slope corresponding to the measured |
Open with DEXTER | |
In the text |
![]() |
Figure 4:
The locally measured time derivative of the pulse period, |
Open with DEXTER | |
In the text |
![]() |
Figure 5: Pulse period P of Her X-1 measured with CGRO/BATSE as a function of time. The values are derived from the publicly available pulse search data (Wilson, priv. comm.). The solid lines indicate the exponential fit to the pulse period during the ``relaxation'' time after two ``glitch''-like episodes. |
Open with DEXTER | |
In the text |
Copyright ESO 2009
Current usage metrics show cumulative count of Article Views (full-text article views including HTML views, PDF and ePub downloads, according to the available data) and Abstracts Views on Vision4Press platform.
Data correspond to usage on the plateform after 2015. The current usage metrics is available 48-96 hours after online publication and is updated daily on week days.
Initial download of the metrics may take a while.