| Issue |
A&A
Volume 507, Number 1, November III 2009
|
|
|---|---|---|
| Page(s) | 369 - 376 | |
| Section | Stellar structure and evolution | |
| DOI | https://doi.org/10.1051/0004-6361/200811104 | |
| Published online | 08 September 2009 | |
A&A 507, 369-376 (2009)
The relation between 13CO J
= 2-1 line width in molecular clouds and bolometric luminosity of
associated IRAS sources![[*]](/icons/foot_motif.png)
K. Wang1 - Y. F. Wu1 - L. Ran1,2 - W. T. Yu3 - M. Miller4
1 - Department of Astronomy, School of Physics, Peking
University, Beijing 100871, PR China
2 - Department of Atmospheric Sciences, School of Physics, Peking
University, Beijing 100871, PR China
3 - Institut für Anorganische Chemie, Universität Bonn, Römer
St. 164, 53117 Bonn, Germany
4 - I. Physikal. Institut, Universität zu Köln,
Zülpicher St. 77, 50937 Köln, Germany
Received 7 October 2008 / Accepted 21 July 2009
Abstract
Aims. We search for evidence of a relation between
properties of young stellar objects (YSOs) and their parent molecular
clouds to understand the initial conditions of high-mass star
formation.
Methods. A sample of 135 sources was
selected from the InfraRed Astronomical Satellite (IRAS)
point source catalog, on the basis of their red color to enhance the
possibility of discovering young sources. Using the Kölner
Observatorium für SubMillimeter Astronomie (KOSMA) 3-m telescope, a
single-point survey in 13CO J
= 2-1 was carried out for the entire sample, and 14 sources
were mapped further. Archival mid-infrared (MIR) data were compared
with the 13CO emissions to identify
evolutionary stages of the sources. A 13CO
observed sample was assembled to investigate the correlation between 13CO
line width of the clouds and the luminosity of the associated YSOs.
Results. We identified 98 sources suitable
for star formation analyses for which relevant parameters were
calculated. We detected 18 cores from 14 mapped sources, which were
identified with eight pre-UC H II
regions and one UC H II region,
two high-mass cores earlier than pre-UC H II
phase, four possible star forming clusters, and three sourceless cores.
By compiling a large (360 sources) 13CO
observed sample, a good correlation was found between the 13CO
line width of the clouds and the bolometric luminosity of the
associated YSOs, which can be fitted as a power law,
.
Results show that luminous (>
)
YSOs tend to be associated with both more massive and more turbulent (
)
molecular cloud structures.
Key words: stars: formation - ISM: clouds - ISM: molecules - ISM: kinematic and dynamics
1 Introduction
The past decade has witnessed significant progress in the study of high-mass star formation. Observations at millimeter and submillimeter wavelengths (Zhang 2005; Beuther et al. 2002; Cesaroni et al. 2007; Zhang et al. 1998; Keto 2002) suggest that massive proto B stars can form by disk mediated accretion, which is similar to the scenario that produces low-mass stars. However, most of the studies focus on relatively evolved stages, when the central star has already formed and hydrogen burning has begun, characterized by surrounding ultra compact (UC) H II regions and strong emission from complex molecules (Churchwell 2002). In contrast, the extremely early stages are poorly understood to date. In particular, knowledge to evolutionary stages prior to the onset of H II regions are crucial to understanding the initial conditions of high-mass star formation.
It is known that stars are formed in molecular clouds.
Therefore,
the relation between forming stars and parent clouds is important to
understand the formation process and the properties of the eventual
stars. On galaxy scales, star formation activities are usually
described by the so-called Schmidt law, which relates the star
formation rate (SFR) to the surface density of gas:
,
where the index N=1-2(Kennicutt
1998; Gao
& Solomon 2004; Schmidt 1959).
Studies
of Galactic dense cores have shown
that this relation may be universal and can be connected to Galactic
star formation (Wu
et al. 2005a).
Larson
(1981)
studied the turbulence in star forming
clouds and found a strong correlation between the internal velocity
dispersion
of the region and its size L:
.
This
relation, also called the Larson law, is valid for low-mass cores
but is found to be break down in high-mass cores
103
(Plume
et al. 1997; Caselli
& Myers 1995;
Guan
et al. 2008). This is indicative of the different
status of
turbulence in low- and high-mass cores. The breakdown of the Larson
law can be interpreted as evidence of widespread supersonic
turbulence in high-mass cores, in contrast to subsonic turbulent
low-mass cores (Plume
et al. 1997). A molecular line width
is an observational indicator of turbulence in clouds, and
bolometric luminosity is an indicator of forming stars. Any relation
between these quantities may help us to understand the initial star
forming process.
Here we report results from a 13CO J=2-1survey
towards 135 IRAS sources using the KOSMA 3-m
telescope. To search for high-mass star forming regions in their
early stages, we select a sample on the basis of their red
IRAS color to enhance the possibility of finding
young
sources. We present the primary results and investigate the relation
between line width in molecular clouds and bolometric luminosity of
associated infrared sources. We describe our sample selection in
Sect. 2
and observations in Sect. 3.
In Sect. 4
we present statistical results of the
single-point survey (Sect. 4.1)
and
follow-up
mapping (Sect. 4.2).
We discuss the
relation as
well as other relations in Sect. 5,
and summarize the paper in Sect. 6.
2 Sample
We selected the sample from the Infrared Astronomical Satellite (IRAS) point source catalog (PSC, Beichman et al. 1988) version 2.1 according to our developed color criteria (Wu et al. 2003), namely:
- (a)
-
Jy,
lg
,
lg
,
where
is the flux
density; - (b)
- lack of 6 cm radio continuum radiation to exclude potential H II associations;
- (c)
- declination
,
so that targets are
accessible to the telescope KOSMA.
Criteria (a) and (c) lead to 500 sources being
selected from the
PSC, which contains 245 889 sources. However, only
135 sources were
observed because of limited observing time and after applying
criterion (b). These sources represent the sample reported in this
paper. The sample sources are concentrated across the Galactic plane
and cover a wide range of longitude,
.
3 Observations
A single-point survey in 13CO J=
2-1(220.398 GHz) was carried out from September 2002 to March
2003
using the Kölner Observatorium für SubMillimeter Astronomie
(KOSMA
) 3-m telescope on
Gornergrat near Zermatt in Switzerland.
All of the sample sources were surveyed in
13CO J= 2-1. About
half of the sample sources
were also observed in 12CO J=
2-1(230.538 GHz) and 14 of them were mapped in
13CO J= 2-1.
The beamwidth of the KOSMA at 230 GHz was 130
.
The
pointing accuracy was superior to 10
.
The telescope
was equipped with a dual-channel SIS receiver, which had a noise
temperature of 150 K. A high resolution spectrometer with 2048
channels was employed and the spectral resolution was
165.5 KHz,
giving a velocity resolution of 0.22
.
The main
beam temperature (
)
had been corrected for the effects
of Earth's atmosphere, antenna cover loss, radiation loss, and
forward spillover and scattering efficiency (92
). From the
calibrated Jupiter observations, the main beam efficiency
was estimated as 68
during our observation.
On-the-fly mode was adopted during mapping, with a mapping step of
60
.
Most maps were extended until the line
intensity decreased to half of the maximum value or even lower. The
GILDAS
software package
(CLASS/GREG/SIC) was used for the data reduction
(Guilloteau
& Lucas
2000).
|
Figure 1: Example spectra of 13CO J= 2-1towards the IRAS sources given in the text. |
| Open with DEXTER | |
4 Results
4.1 Survey
Among the entire sample of 135 IRAS sources, we identified 98 sources suitable for star formation analyses (another 37 sources were excluded either because they had multiple components or bad baselines, or failed to be detected), of which 60 have both 13CO J= 2-1 and 12CO J= 2-1 data. Figure 1 presents example spectra of 13CO J= 2-1: (a) IRAS 00117+6412, a perfect Gaussian profile; (b) IRAS 02541+6208, a fairly narrow line width; (c) IRAS 06067+2138, a broad line with red wing, also seen in J= 1-0 transition (Wu et al. 2003); (d) IRAS 20326+3757, a blue wing; (e) IRAS 18278-0212, red asymmetry; (f) IRAS 21379+5106, two peaks; (g) IRAS 19348+2229, two components; and (h) IRAS 02485+6902, multiple components.
Observed and derived parameters are listed in an online
Table 1,
starting with IRAS name and its
J2000 equatorial coordinates in Cols. (1) to (3). By Gaussian fit,
we obtain the observed parameters including main beam temperature
,
local standard of rest velocity
,
and 13CO J= 2-1
line width (full width at
half-maximum)
for each source, listed in Cols. (4)
to (7). When a line profile is obviously non-Gaussian, the
parameters are measured with a cursor (e.g.,
Wu
& Evans 2003),
and the velocity uncertainty is
given as the velocity resolution; when the line profile has
distinctive multiple components, only the strongest component is shown,
indicated by a character m in corresponding
columns.
The distance to most sources was unavailable in the
literature. The
kinematic distances were calculated based on the radial velocity
and the velocity
field of the outer Galaxy given
by Brand
& Blitz
(1993). When two kinematic distances were
available, we selected the closer one, except when the closer
distance is too small (<100 pc). For
8 sources, however, no
reasonable distances could be calculated in this way and we assumed
that the distance to these sources is 1 kpc. These are marked
as *
in the distance Col. (8) of Table 1.
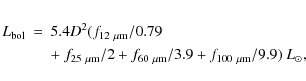
The bolometric luminosity was calculated based on the
distances and
the IRAS fluxes in four bands (12, 25, 60,
100
m),
following the formula given by Casoli
et al. (1986)

where D is the distance in kpc and
Table 2: Core properties.
Assuming local thermodynamic equilibrium (LTE) and that the
13CO J= 2-1
transition is optically thin
(i.e.
), we derive excitation
temperatures,
optical depth and column densities for 13CO,
using radiation
transfer equation (Garden
et al. 1991). Based on the assumption of LTE, 13CO
and 12CO share the same excitation
temperature
,
which can be derived from the main beam
temperature of optically thick 12CO,
.
When
>1,
an optical depth correction factor
is multiplied by its corresponding
column density. The relative CO abundance [12CO/H2]
is
estimated to extend from
(Rodriguez
et al. 1982)
to 10-4(Garden
et al. 1991), and we adopt the median value of
.
Using the terrestrial [12C/13C]
ratio of 89, we adopt a value for [13CO/H2]
of
when computing the column density of H2. These
parameters are listed in Cols. (10) to (13). References of former
works are given in the last Col. (14) of Table 1.
The distribution of 13CO J=
2-1 line width of
this sample has a mean of 3.09
and a standard
deviation of 1.06
.
This line width is relatively
smaller than that of typical bright/red IRAS
sources
associated with water masers (3.5
,
Wu
et al. 2001;
note that this value was measured in
J= 1-0 transition), while significantly
larger than
that of a molecular cloud hosting intermediate-mass star formation
activities (
2
,
Sun
et al. 2006,
averaged throughout the Perseus
cloud). The luminosities are distributed over a wide range, from
20
to
about 105
,
with a mean of
104
.
The high dispersion of luminosities indicates
that these sources are embedded in very different environments. This
luminosity distribution is similar to the young ``low''
sources of Molinari et al. (1996,
see their Fig. 6), in
agreement with the assumption that our sample group may be
relatively younger than that chosen by traditional color criteria.
The excitation temperature
ranges
from 4.4 to
22.5 K, with an average of 9.7 K. This suggests that
very cold
gases surround the sample sources, colder than those
surrounding the luminous IRAS sources
(Zhu
& Wu 2007). The 13CO column
densities are
,
with an average of
,
while H2 column
densities are
,
with
an average of
.
These
densities are roughly close to the critical value for gravitational
collapse (Hartquist
et al. 1998).
4.2 Mapping
To improve our understanding of the properties of the surveyed
sample, 14 sources were mapped in 13CO J=
2-1and compared with archival mid-infrared (MIR) continuum data. Mapped
sources were selected from the surveyed sample as those with only
single emission component, and they almost evenly cover longitude
,
avoiding low Galactic longitudes, where
13CO lines are often affected by multiple
velocity components
from the Galactic molecular ring. Using these sources as a guide,
maps were extended until at least one core was resolved. We name a
map on the basis of its guide source name, as outlined in
Fig. 2.
In four cases, one map resolved two cores,
resulting in 18 cores in total. We found that 13 cores are
associated with the original guide sources, two cores are associated
with other IRAS sources, and three cores have no
embedded
infrared source (sourceless hereinafter). A core is named after its
associated IRAS source; for a sourceless core, it
is named
after its nearest IRAS source plus relative
direction to
the core (e.g., 20067+3415NE). See Table 2 for core
properties.
The core size (Col. 2 of Table 2) is
defined as
an
equivalent linear size
,
where A is the
projected area of each cloud within the 50
contour (highlighted
in Fig. 2).
It is corrected for the effect of beam
smearing by multiplying its value by a factor
,
where
is the angular diameter of the core and
is the beamwidth. For three
cores, the observed
angular diameters are comparable to the beamwidth, so that the cores
are just marginally resolved and the corresponding core sizes are
highly uncertain. In a few cases, maps were not complete to 50
of the peak
intensity, and can only infer lower limits to R(indicated
by a symbol ``>''). The average line width of each core
(Col. 3) is determined by combining all the spectra in the core and
then fitting a Gaussian profile to the average spectrum. In a few
cases, the average spectra show line asymmetry/absorption and need
to be fitted with two Gaussian profiles, and then the line width of
the stronger profile is given. The typical uncertainty in the
average line width is 0.04
.
Column (4) lists the
luminosity also given in Table 1 for
reference.
Peak volume densities for H2,
(Col. 5), and
the LTE core masses,
(Col. 6), are calculated based
on both R and the peak 13CO
column densities determined by
interpolating the maps. For three maps (IRAS
06067+2138,
07024-1102, and 21391+5802), however, no
are
available in Table 1
because of a lack of 12CO
data. To estimate their core properties, we assume reasonable
excitation temperatures: for IRAS 06067 and 07024,
we
assume a typical
of 15 K; and for IRAS
21391, we assume that
equals the dust temperature
(25 K, Beltrán
et al. 2002). Column (7) presents the
virial mass derived from the sizes and line widths following
MacLaren
et al.
(1988). The ratio of virial to LTE mass
/
is
listed in the last Col. (8) of
Table 2.
We exclude the marginally resolved cores when
computing averages except for the line width column.
Overall, the core mass ranges from
to
,
the linear size from 0.11 pc to 2.41 pc, and
molecular
hydrogen density is in the range
.
The
luminosities are once again, distributed across a wide range, from
30
to
.
Overall, the line
width
>
,
and has
an average of 2.80
,
smaller than that of the
entire surveyed sample. We find an average value of 1.3 for the
ratio of virial to LTE core mass,
.
Overall the mapping
sample infers
,
indicating that most of the cores
appear to be virialized.
Comparisons between 13CO maps and MIR images are presented in Fig. 2, and a detailed evolutionary identification of individual mapped sources is presented in the online Appendix A.
|
Figure 2:
13CO J= 2-1
integrated intensity
contours overlay the Midcourse Space Experiment
(MSX; Price
et al. 2001) band A
(8.28 |
| Open with DEXTER | |
5 Discussion
5.1 The line width-luminosity relation
The empirical correlation of line width versus luminosity has been
found by various authors from observations in C18O
(Ridge
et al. 2003; Saito
et al. 2001),
as well as in NH3(Myers
et al. 1991;
Ladd
et al. 1994; Jijina
et al. 1999;
Wouterloot
et al. 1988; Harju
et al. 1993). The line width is in general found to
increase
with luminosity, for different
slopes: 0.13-0.19 for NH3(Jijina
et al. 1999)
and 0.11 for C18O
(Saito
et al. 2001).
Given the relatively wide availability
of the archival 13CO data, it is helpful to
compile an
up-to-date 13CO observed sample to investigate
the
luminosity-line width relation in case of 13CO.
|
Figure 3: Line width plotted versus bolometric luminosity of 360 13CO observed sources: surveyed sources (open circles), mapped sources (filled circles), and other samples adopted from the literature (diamonds). Solid line represents a least squares fitting to the data, and the dash lines represent the luminosity/line-width criteria (Sect. 5.1). |
| Open with DEXTER | |
In Fig. 3,
we plot in logarithmic space the
line width versus luminosity from our sample and other 13CO
observed samples adopted from the literature
(Wu
et al. 2004; Ridge
et al. 2003;
Wu
et al. 2001; Beichman
et al. 1986;
Yamashita
et al. 1989; Fischer
et al. 1985;
Dent
et al. 1985). This sample contains 360
sources in total. One finds that the luminosity of the IRAS
sources is well correlated with the 13CO line
width, as fitted
by a power law:

where the correlation coefficient c.c.= 0.69. This suggests that the mass of the forming stellar objects is linked to the dynamic status of their parent clouds. Saito et al. (2001) measured a similar correlation in the Centaurus tangential region and suggested that the mass of the formed stars is determined by the internal velocity dispersion of the dense cores. If the velocity dispersion is a reliable indicator of the turbulence, this is consistent with the idea that turbulence is different in high-mass and low-mass cores. We note that the 13CO line widths adopted from the literature were measured from J= 1-0transition with smaller beams.
It is generally agreed that embedded infrared point sources of
high
luminosity (
)
but without associated
H II regions are good candidates
to be high-mass YSOs in the
pre-UC H II phase (e.g., Wu
et al. 2006,
and
references therein). However, sufficiently young massive objects are
not necessarily bright at infrared wavelengths; some of them have no
infrared counterparts. High-mass objects at sufficiently young
evolutionary stages could be quite faint in infrared ranges either
because they are not yet mature enough to have developed infrared
emission or they are embedded very deeply in cold dust. For
instance, Sridharan
et al. (2005) identified several 1.2 mm
emitting high-mass starless cores (HMSCs) that exhibit absorption or
no emission at the MIR wavelengths; a centimeter-emitting UC
H
II region was also found without an infrared
counterpart
(Forbrich
et al.
2008). In our mapped sample, faint
(<
)
sources associated with very massive
(>
)
cores (20149, 20151) do exist. Although we
cannot rule out the possibility that these two sources could evolve
to only low-mass stars, it is very likely that the clouds will
eventually fragment to form high-mass stars, given the large amount
of gas therein.
Hereafter, for clarity, our luminosity criterion
refers to
bolometric luminosity
,
and our
line-width criterion refers to line width
(13CO J=
2-1) >2
.
According to the
relation above, luminosity
corresponds to
.
Because high-mass stars are
far more luminous than their low-mass counterparts, luminous IRAS
sources
(
)
are likely to be high-mass stellar
objects. Therefore, we tentatively (not exclusively) suggest the
lower limit,
,
as a
characteristic value for the line-width criterion, analogous to the
widely used luminosity criterion. Objects with line width larger
than this characteristic value are probably high-mass objects. The
line-width criterion includes 94.5% sources that also satisfy the
luminosity criterion (Fig. 3),
which
implies
that line width may be a key parameter in measuring the masses of
the forming stellar objects in the cores, at least in our sample. We
note that this criterion (2
)
is larger than the
typical line width of low mass cores (1.3
,
Myers
et al. 1983),
and smaller than the average line
width of high-mass cores (3.5
,
Wu
et al. 2001).
Applying the luminosity/line-width criteria to our sample, there are 68 sources satisfying luminosity criterion, 65 (95.6%) of which also satisfy line-width criterion. We suggest that the 65 sources are candidate high-mass star formation regions in a pre-UC H II phase. For the remaining 30 less luminous sources, 23 of them satisfy the line-width criterion but not the luminosity criterion. We suggest that the 23 sources are high-mass YSO candidates earlier than pre-UC H II phase.
5.2 Core masses and line widths
The core masses provide a direct test of our line-width criterion.
Figure 3
includes 15 cores with luminosities
listed in Table 2.
We exclude sourceless cores and
marginally resolved cores in the discussion in this section, because
the former's luminosity cannot be determined and latter's estimated
size and mass are highly uncertain. The remaining 14
luminosity-available cores can be divided into two groups: group I,
which do not satisfy the luminosity criterion, including 03414,
21391, 03260, 20149, 06067, 20151; and group II, satisfying the
luminosity criterion, including 00557, 22198, 03101, 06103, 00117,
05168, 22506, 20067 (in order of increasing line width). All group
II cores also satisfy the line-width criterion, and they are located
in the upper right panel of Fig. 3.
They are
very massive, their estimated masses being higher than several
,
except core 00117 (
).
On
the other hand, group I cores mostly satisfy the line-width
criterion. They are relatively less massive than group II cores,
their masses being typically
or more, with two very
massive cores 20149 and 20151 (>
). The only case
that does not satisfy the line-width criterion, core 03414, has the
lowest mass in group I. We note that all group I cores are
still
significantly more massive than the low-mass cores
(Myers
et al. 1983).
The high-mass nature of group I cores confirms again (in addition to the previously mentioned cores 20149, 20151) that the luminosity criterion cannot be applied to some young sources. On the other hand, the line-width criterion is applicable to our sample. While in terms of inferring mass, line width may not be as direct an indicator as luminosity, it is helpful when luminosity is unavailable or is affected by large uncertainty (e.g., due to distance ambiguity, flux upper limit), which is often the case. In addition, line width can be measured observationally more easily and more accurately than luminosity.
In Fig. 4a,
we plot
versus
.
A weak correlation is evident in the data,
with a correlation coefficient of 0.38. This may indicate that, for
molecular clouds with associated YSOs, the 13CO
line width at
some degree is related to the cloud mass, and massive cores tend to
have larger line widths. This weak correlation, together with the
strong
correlation, indicates that massive stars are
more likely to form in massive molecular cores. The core mass and
associated IRAS luminosity in our mapped sample are
indeed
well correlated (
c.c.
= 0.76). However, this correlation may
need to be corrected for distance effects (0.3-6.08 kpc for
mapped
sample) because both mass and luminosity are proportional to D2.
Nevertheless, strong mass-luminosity correlations were reported in
other regions or samples that have far smaller distance differences
than our sample (Dobashi
et al. 1996;
Ridge
et al. 2003; Saito
et al. 2001).
Figure 4b
plots line width
and core size R
in logarithm. With an average
virial mass of
,
the cores exhibit no
correlation between size and line width. This indicates that the
Larson law is invalid for our mapped sample, consistent with the
results of previous works (Plume
et al. 1997,
;
Guan
et al. 2008,
).
The correlations in Fig. 4
are unaffected by distance, because the line width and distance of
the plotted cores are not correlated (
c.c.=0.04).
We conclude that, based on the currently available sample,
YSOs with
higher bolometric luminosity (>
), tend to be
associated with more massive molecular cloud structures, which are
usually more turbulent, and have a large 13CO
line width,
.
It is important to note that,
the characteristic value (
)
may not be
universal, and can vary from region to region and/or from line to
line. Further mapping of more clouds, as well as higher angular
resolution data if available, are required to examine the line-width
criterion proposed here.
|
Figure 4:
Relations between 13CO line width
|
| Open with DEXTER | |
6 Summary
We have carried out a 13CO J= 2-1 survey of 135 IRAS sources selected as potential YSOs earlier than UC H II regions. Our main findings are summarized as follows:
- 1.
- Ninety-eight sources have good enough emission profile for
analysis; some of them show asymmetric line profiles of 13CO J=
2-1. The
line width is
3.09
and excitation temperature is
9.7 K, on average. The H2
column densities are
.
Sixty-five sources
are suggested to be candidate precursors of UC H II
regions.
- 2.
- Fourteen sources were mapped and resolved as eighteen cores, which have been identified with eight pre-UC H II regions and one UC H II region, two high-mass cores earlier than pre-UC H II phase, four possible star forming clusters, and three sourceless cores.
- 3.
- For molecular clouds with known associated YSOs and
measured
, 13CO
line width
of the clouds is
correlated with the bolometric luminosity of the YSOs. Based on the
current 13CO observed sample
(360 sources in total), this
correlation can be fitted as a power law,
.
- 4.
- Luminous (>
)
YSOs tend to be produced in more massive and more turbulent
(
)
molecular cloud structures.
- 5.
- High-mass stars are more likely to form in massive molecular clouds.
We are grateful to Q. Zhang, X. Guan, R. Xue and L. Zhu for valuable discussion. We thank H. Du and F. Virgili for their help on the manuscript. We also thank the anonymous referee whose comments and suggestions helped to improve the content and the clarity of this paper. This research is supported by Grants 10733030 and 10873019 of NSFC. It made use of data products from the Infrared Astronomical Satellite (IRAS) and the Midcourse Space Experiment (MSX) retrieved from the NASA/IPAC Infrared Science Archive, which is operated by the JPL/Caltech under a contract with NASA.
References
- Ao, Y., Yang, J., & Sunada, K. 2004, AJ, 128, 1716 [CrossRef] [NASA ADS]
- Beichman, C. A., Myers, P. C., Emerson, J. P., et al. 1986, ApJ, 307, 337 [CrossRef] [NASA ADS]
- Beichman, C. A., Neugebauer, G., Habing, H. J., Clegg, P. E., & Chester, T. J. 1988, Infrared astronomical satellite (IRAS) catalogs and atlases, Explanatory supplement, 1
- Beltrán, M. T., Girart, J. M., Estalella, R., Ho, P. T. P., & Palau, A. 2002, ApJ, 573, 246 [CrossRef] [NASA ADS]
- Beuther, H., Schilke, P., Sridharan, T. K., et al. 2002, A&A, 383, 892 [EDP Sciences] [CrossRef] [NASA ADS]
- Brand, J., & Blitz, L. 1993, A&A, 275, 67 [NASA ADS]
- Brand, J., Cesaroni, R., Caselli, P., et al. 1994, A&AS, 103, 541 [NASA ADS]
- Bronfman, L., Nyman, L.-A., & May, J. 1996, A&AS, 115, 81 [NASA ADS]
- Caselli, P., & Myers, P. C. 1995, ApJ, 446, 665 [CrossRef] [NASA ADS]
- Casoli, F., Combes, F., Dupraz, C., Gerin, M., & Boulanger, F. 1986, A&A, 169, 281 [NASA ADS]
- Cesaroni, R., Galli, D., Lodato, G., Walmsley, C. M., & Zhang, Q. 2007, in Protostars and Planets V, ed. B. Reipurth, D. Jewitt, & K. Keil, 197
- Churchwell, E. 2002, ARA&A, 40, 27 [CrossRef] [NASA ADS]
- Churchwell, E., Walmsley, C. M., & Cesaroni, R. 1990, A&AS, 83, 119 [NASA ADS]
- Dent, W. R. F., Little, L. T., Kaifu, N., Ohishi, M., & Suzuki, S. 1985, A&A, 146, 375 [NASA ADS]
- Dobashi, K., Bernard, J.-P., & Fukui, Y. 1996, ApJ, 466, 282 [CrossRef] [NASA ADS]
- Fischer, J., Sanders, D. B., Simon, M., & Solomon, P. M. 1985, ApJ, 293, 508 [CrossRef] [NASA ADS]
- Forbrich, J., Menten, K. M., & Reid, M. J. 2008, A&A, 477, 267 [EDP Sciences] [CrossRef] [NASA ADS]
- Gao, Y., & Solomon, P. M. 2004, ApJ, 606, 271 [CrossRef] [NASA ADS]
- Garden, R. P., Hayashi, M., Hasegawa, T., Gatley, I., & Kaifu, N. 1991, ApJ, 374, 540 [CrossRef] [NASA ADS]
- Gregory, P. C., & Condon, J. J. 1991, ApJS, 75, 1011 [CrossRef] [NASA ADS]
- Griffith, M. R., Wright, A. E., Burke, B. F., & Ekers, R. D. 1994, ApJS, 90, 179 [CrossRef] [NASA ADS]
- Griffith, M. R., Wright, A. E., Burke, B. F., & Ekers, R. D. 1995, ApJS, 97, 347 [CrossRef] [NASA ADS]
- Guan, X., Wu, Y., & Ju, B. 2008, MNRAS, 391, 869 [CrossRef] [NASA ADS]
- Guilloteau, S., & Lucas, R. 2000, in Imaging at Radio through Submillimeter Wavelengths, ed. J. G. Mangum, & S. J. E. Radford, ASP Conf. Ser., 217, 299
- Harju, J., Walmsley, C. M., & Wouterloot, J. G. A. 1993, A&AS, 98, 51 [NASA ADS]
- Harju, J., Lehtinen, K., Booth, R. S., & Zinchenko, I. 1998, A&AS, 132, 211 [EDP Sciences] [CrossRef] [NASA ADS]
- Hartquist, T. W., Caselli, P., Rawlings, J. M. C., Ruffle, D. P., & Williams, D. A. 1998, in The Molecular Astrophysics of Stars and Galaxies, ed. T. W. Hartquist, & D. A. Williams, 101
- Jijina, J., Myers, P. C., & Adams, F. C. 1999, ApJS, 125, 161 [CrossRef] [NASA ADS]
- Kennicutt, Jr., R. C. 1998, ApJ, 498, 541 [CrossRef] [NASA ADS]
- Keto, E. 2002, ApJ, 568, 754 [CrossRef] [NASA ADS]
- Kim, K.-T., & Kurtz, S. E. 2006, ApJ, 643, 978 [CrossRef] [NASA ADS]
- Knee, L. B. G., & Sandell, G. 2000, A&A, 361, 671 [NASA ADS]
- Ladd, E. F., Myers, P. C., & Goodman, A. A. 1994, ApJ, 433, 117 [CrossRef] [NASA ADS]
- Larson, R. B. 1981, MNRAS, 194, 809 [NASA ADS]
- Lee, Y., & Jung, J.-H. 2003, New Astronomy, 8, 191 [CrossRef] [NASA ADS]
- MacLaren, I., Richardson, K. M., & Wolfendale, A. W. 1988, ApJ, 333, 821 [CrossRef] [NASA ADS]
- Matthews, H. I. 1979, A&A, 75, 345 [NASA ADS]
- Molinari, S., Brand, J., Cesaroni, R., & Palla, F. 1996, A&A, 308, 573 [NASA ADS]
- Motte, F., Bontemps, S., Schilke, P., et al. 2007, A&A, 476, 1243 [EDP Sciences] [CrossRef] [NASA ADS]
- Myers, P. C., Ladd, E. F., & Fuller, G. A. 1991, ApJ, 372, L95 [CrossRef] [NASA ADS]
- Myers, P. C., Linke, R. A., & Benson, P. J. 1983, ApJ, 264, 517 [CrossRef] [NASA ADS]
- Palla, F., Brand, J., Comoretto, G., Felli, M., & Cesaroni, R. 1991, A&A, 246, 249 [NASA ADS]
- Plume, R., Jaffe, D. T., Evans, II, N. J., Martin-Pintado, J., & Gomez-Gonzalez, J. 1997, ApJ, 476, 730 [CrossRef] [NASA ADS]
- Price, S. D., Egan, M. P., Carey, S. J., Mizuno, D. R., & Kuchar, T. A. 2001, AJ, 121, 2819 [CrossRef] [NASA ADS]
- Richards, P. J., Little, L. T., Heaton, B. D., & Toriseva, M. 1987, MNRAS, 228, 43 [NASA ADS]
- Ridge, N. A., Wilson, T. L., Megeath, S. T., Allen, L. E., & Myers, P. C. 2003, AJ, 126, 286 [CrossRef] [NASA ADS]
- Rodriguez, L. F., Carral, P., Ho, P. T. P., & Moran, J. M. 1982, ApJ, 260, 635 [CrossRef] [NASA ADS]
- Saito, H., Mizuno, N., Moriguchi, Y., et al. 2001, PASJ, 53, 1037 [NASA ADS]
- Schmidt, M. 1959, ApJ, 129, 243 [CrossRef] [NASA ADS]
- Sridharan, T. K., Beuther, H., Saito, M., Wyrowski, F., & Schilke, P. 2005, ApJ, 634, L57 [CrossRef] [NASA ADS]
- Sun, K., Kramer, C., Ossenkopf, V., et al. 2006, A&A, 451, 539 [EDP Sciences] [CrossRef] [NASA ADS]
- Szymczak, M., Hrynek, G., & Kus, A. J. 2000, A&AS, 143, 269 [EDP Sciences] [CrossRef] [NASA ADS]
- Wood, D. O. S., & Churchwell, E. 1989, ApJ, 340, 265 [CrossRef] [NASA ADS]
- Wouterloot, J. G. A., Walmsley, C. M., & Henkel, C. 1988, A&A, 203, 367 [NASA ADS]
- Wouterloot, J. G. A., Brand, J., & Fiegle, K. 1993, A&AS, 98, 589 [NASA ADS]
- Wu, J., & Evans, II, N. J. 2003, ApJ, 592, L79 [CrossRef] [NASA ADS]
- Wu, J., Evans, II, N. J., Gao, Y., et al. 2005a, ApJ, 635, L173 [CrossRef] [NASA ADS]
- Wu, Y., Wu, J., & Wang, J. 2001, A&A, 380, 665 [EDP Sciences] [CrossRef] [NASA ADS]
- Wu, Y., Wang, J., & Wu, J. 2003, Chin. Phys. Lett., 20, 1409 [CrossRef] [NASA ADS]
- Wu, Y., Wei, Y., Zhao, M., et al. 2004, A&A, 426, 503 [EDP Sciences] [CrossRef] [NASA ADS]
- Wu, Y., Zhang, Q., Chen, H., et al. 2005b, AJ, 129, 330 [CrossRef] [NASA ADS]
- Wu, Y., Zhang, Q., Yu, W., et al. 2006, A&A, 450, 607 [EDP Sciences] [CrossRef] [NASA ADS]
- Yamashita, T., Suzuki, H., Kaifu, N., et al. 1989, ApJ, 347, 894 [CrossRef] [NASA ADS]
- Zhang, Q. 2005, in Massive Star Birth: A Crossroads of Astrophysics, ed. R. Cesaroni, M. Felli, E. Churchwell, & M. Walmsley, IAU Symp., 227, 135
- Zhang, Q., Hunter, T. R., & Sridharan, T. K. 1998, ApJ, 505, L151 [CrossRef] [NASA ADS]
- Zhang, Q., Hunter, T. R., Brand, J., et al. 2005, ApJ, 625, 864 [CrossRef] [NASA ADS]
- Zhao, M., Wu, Y., Miller, M., & Mao, R. 2003, Acta Astron. Sin., 44, 103 [NASA ADS]
- Zhu, L., & Wu, Y.-F. 2007, Chin. J. Astron. Astrophys., 7, 331 [CrossRef] [NASA ADS]
Online Material
Appendix A: individual analyses
In Fig. 2,
we compare the integrated intensity of
13CO emissions to IRAS
(point sources) and MSX (point sources and images)
data. We use the most sensitive band
(band A, centered on 8.28
m) images of
MSX when
available. We note that maps in Fig. 2 are
labeled by
the original guide sources (Sect. 4.2). IRAS
03258+3104 has no band A data and we use band C
(centered on
12.13
m)
instead. IRAS 00557+5612 and 22198+6336 both
have no MSX
data. Individual analyses of each map are presented as follows.
IRAS 00117+6412: 13CO
emission peak coincides
well with IRAS and MSX point
sources, and there
are also strong counterparts in all four MSX bands.
This
distinctive 13CO core is massive (
),
in agreement with the conclusion deduced from the
luminosity/line-width criteria (Sect. 5.1).
We
therefore suggest that it is a pre-UC H II
region. Strong 22 GHz water maser (Wouterloot
et al. 1993) and outflow activity
(Zhao
et al. 2003; Zhang
et al. 2005)
have been detected within this area, providing evidence of active star
formation.
IRAS 00557+5612: MSX
data are
unavailable close to this region, but the IRAS
source
matches well to the 13CO core peak. A core as
massive as
agrees
with the conclusion deduced from
the luminosity/line-width criteria. We therefore suggest that it is
a pre-UC H II region. A velocity
gradient of
0.36
from northeast to southwest
is inferred, yielding a rotating angular velocity of
.
According to
13CO J= 1-0 and HCO+
mapping by
Zhu
& Wu (2007), two subcores
exist within this core.
IRAS 03101+5821: 13CO
emission coincides with
infrared point sources and image as well. A core more massive than
agrees
with the conclusion drawn from the
luminosity/line-width criteria. We therefore suggest that it is a
pre-UC H II region. A
22 GHz water maser has been detected
within this area (Wouterloot
et al. 1993).
IRAS 03258+3104: a MSX
band A image is
unavailable for this region and we use band C
instead. 13CO
emission within this area is more diffuse than that in former
sources. At least two cores (03260+3111 and 03260+3111NE) are
resolved within an area of 0.34 pc. The larger core coincides
with
IRAS 03260+3111, which does not satisfy our color
selection
criteria and was suggested as an UC H II
region by
Churchwell
et al. (1990). Taking both their line width and
luminosity into account, we suggest that core 03260+3111 is a
high-mass object in UC H II
phase, while 03260+3111NE is a
sourceless core. The original guide source of the map, IRAS
03258+3104, is not associated with any resolved 13CO
core. It
has been suggested to be a Class 0 object driving a low-mass bipolar
CO outflow (Knee
& Sandell 2000).
IRAS 03414+3200: 13CO
is quite diffuse
across the entire area of 0.34 pc, so that no distinctive 13CO
core is found. However, several infrared point sources are evident
close to the 90% contour within one beam, superimposed on a steep
density gradient. Although its mass (>85
)
and line
width 1.92
)
are relatively low
in all the mapped sources, it appears to be a star forming cluster.
IRAS 05168+3634: at least two
cores (05168+3634
and 05168+3634SW) are present within 3.01 pc. The dominant
northeastern core appears to be associated with the infrared
sources. The total core mass higher than
agrees
with the conclusion deduced from the luminosity/line-width
criteria. We suggest that the dominant core is a high-mass star
forming region in pre-UC H II
phase, and the SW core is a
sourceless core. This is consistent with results from
Molinari
et al. (1996). Strong outflow activity was
identified (Zhang
et al. 2005; Brand
et al. 1994)
at the position of the NE core, and the outflow driving source appears
deviated to the infrared
source IRAS 05168+3634. A 22 GHz water
maser was detected by Palla
et al. (1991) in this region.
IRAS 06067+2138: 13CO
core coincides with the
IRAS point source but is without MSX
counterpart.
The core mass
(
)
is only
one third of its virial mass
(
),
indicating that the core is not yet gravitationally bound. Taking
its large line width (3.36
)
into account, we
suggest that it is a high-mass object earlier than pre-UC H II
phase.
IRAS 06103+1523: 13CO
emission coincides with
both infrared point sources and image. A core as massive as
agrees
with the conclusion deduced from
the luminosity/line-width criteria. IRAS 06103+1523
is
found to be two point sources by MSX data, implying
that a
fine structure may exist there. A denser molecular tracer (e.g.,
N2H+ or HCO+)
and a higher resolution (several arcsec) are
needed to study these fine structures.
We therefore suggest that it is a high-mass star forming cluster.
IRAS 07024-1102: 13CO
map is incomplete
but a core is clearly evident. The core coincides with the
IRAS point source but does not have a MSX
counterpart. Although its luminosity (570
)
is a little
lower than the luminosity criterion, it does generate a line width
(1.99
)
very close to the line-width criterion. We
therefore suggest that it is a high-mass object earlier than pre-UC
H II phase.
IRAS 20067+3415: the 13CO
gas distribution is
quite complex in this region. At least two cores (20067+3415 and
20067+3415NE) are revealed. The dominant southwestern core
coincides with infrared point sources, while the northeastern core
is a sourceless core. Several sub-structures are revealed within an
area of 2.21 pc with total mass of
.
Thus,
we suggest that core 20067+3415 is a high-mass star forming cluster.
The MIR emission and luminosity are relatively weak compared to
those of other pre-UC H II
regions, indicating a very early evolutionary stage.
IRAS 20149+3913: 13CO
emission reveals two
cores (20149+3913 and 20151+3911); both also coincide with infrared
point sources and image. They do not satisfy the luminosity
criterion but have large line widths, consistent with their high
masses. Both sources are located in the Cygnus X molecular
cloud complex and were mapped in 1.2 mm continuum
(Motte
et al. 2007), yielding masses 8
and
23
,
respectively (see their Table 1 and Fig. 13).
Here we suggest that both cores are pre-UC H II
regions.
IRAS 21391+5802: 13CO
emission detects a
distinctive core and a belt of gas distributed along the southeast
to northwest direction, which is coincident with the MIR background
and several point sources. The core mass
(
)
is roughly half of its virial mass
(
),
indicating that the core is not yet gravitationally bound, responsible
for a large line width
(2.78
). Taking its relatively small
size
(0.32 pc) into account, we suggest that it is a star forming
cluster where high-mass stars could eventually form. A 22 GHz
water
maser and outflow were identified in this region (Zhang
et al. 2005; Palla
et al. 1991).
IRAS 22198+6336: MSX
data are unavailable
near this region, but the IRAS source matches the 13CO
core peak well. A core as massive as
agrees
with the conclusion deduced from the luminosity/line-width
criteria. A 22 GHz water maser and outflow were identified in
this
region (Zhang
et al. 2005; Palla
et al. 1991). We
therefore suggest that it is a pre-UC H II
region.
IRAS 22506+5944: 13CO
core coincides well
with a luminous IRAS point source and a bright MSX
counterpart. A core as massive as
agrees
with the conclusion deduced from the luminosity/line-width criteria.
Thus, we suggest that it is a pre-UC H II
region. Outflow
activity (Zhang
et al. 2005; Wu
et al. 2005b) and a
22 GHz water maser (Palla
et al. 1991) were identified,
indicating that active star formation process is underway.
In summary, 13CO J= 2-1 mapping reveals at least 18 massive cores from 14 maps. By means of individual analyses, we identify eight pre-UC H II regions and one UC H II region, two high-mass cores earlier than pre-UC H II phase, four possible star forming clusters, and three sourceless cores.
Table 1: Observed and derived parameters of surveyed sources.
Footnotes
- ... sources
- Appendix A and Table 1 are only available in electronic form at http://www.aanda.org
- ...
(KOSMA
- The KOSMA 3 m radiotelescope at Gornergrat-Süd Observatory is operated by the University of Cologne and supported by special funding from the Land NRW. The Observatory is administered by the Internationale Stiftung Hochalpine Forschungsstationen Jungfraujoch und Gornergrat, Bern.
- ...
GILDAS
- Available at http://www.iram.fr/IRAMFR/GILDAS
All Tables
Table 2: Core properties.
Table 1: Observed and derived parameters of surveyed sources.
Current usage metrics show cumulative count of Article Views (full-text article views including HTML views, PDF and ePub downloads, according to the available data) and Abstracts Views on Vision4Press platform.
Data correspond to usage on the plateform after 2015. The current usage metrics is available 48-96 hours after online publication and is updated daily on week days.
Initial download of the metrics may take a while.
![\begin{figure}
\par\includegraphics[width=9cm,clip]{11104f1.eps}
\end{figure}](/articles/aa/full_html/2009/43/aa11104-08/Timg31.png)
![\begin{figure}
\par\includegraphics[angle=-90,width=5cm,clip]{11104f2a.eps}\hspa...
...degraphics[angle=-90,width=5cm,clip]{11104f2n.eps}\hspace*{2.5cm}}\end{figure}](/articles/aa/full_html/2009/43/aa11104-08/Timg71.png)
![\begin{figure}
\par\includegraphics[width=11cm,clip]{11104f3.eps}\end{figure}](/articles/aa/full_html/2009/43/aa11104-08/Timg73.png)
![\begin{figure}
\par\includegraphics[width=9cm,clip]{11104f4.eps}
\end{figure}](/articles/aa/full_html/2009/43/aa11104-08/Timg88.png)