| Issue |
A&A
Volume 507, Number 1, November III 2009
|
|
|---|---|---|
| Page(s) | 159 - 169 | |
| Section | Extragalactic astronomy | |
| DOI | https://doi.org/10.1051/0004-6361/200912188 | |
| Published online | 08 September 2009 | |
A&A 507, 159-169 (2009)
Probing variability patterns of the Fe K
line complex in bright nearby AGNs![[*]](/icons/foot_motif.png)
B. De Marco1 - K. Iwasawa2 - M. Cappi3 - M. Dadina3 - F. Tombesi3,4,5,6 - G. Ponti7 - A. Celotti1 - G. Miniutti8
1 - SISSA International School for Advanced Studies, via Beirut 2-4,
34151 Trieste, Italy
2 - INAF - Osservatorio Astronomico di Bologna, via Ranzani 1, 40127
Bologna, Italy
3 - INAF - IASF Bologna, via Gobetti 101, 40129 Bologna, Italy
4 - Dipartimento di Astronomia, Università degli Studi di Bologna, via
Ranzani 1, 40127 Bologna, Italy
5 - Department of Physics and Astronomy, Johns Hopkins University,
3400, Baltimore, MD 21218, USA
6 - Laboratory for High Energy Astrophysics, NASA/Goddard Space Flight
Center, Greenbelt, MD 20771, USA
7 - APC Université Paris 7 Denis Diderot, 75205 Paris, France
8 - LAEX, Centro de Astrobiologia (CSIC-INTA); LAEFF, PO Box 78, 28691
Villanueva de la Cañada, Madrid, Spain
Received 25 March 2009 / Accepted 2 July 2009
Abstract
Context. The unprecedented sensitivity of current
X-ray
telescopes allows the issue of the Fe K line complex
variability patterns in bright, nearby AGNs to be addressed for the
first time. These kinds of studies have the potential to map the
accretion flow in the strong gravity regime of supermassive black
holes.
Aims. We examine XMM-Newton
observations of the brightest
sources of the FERO sample of radio-quiet type 1 AGNs (for a
total
of 72 observations) with the aim of characterizing the
temporal
behaviour of Fe K complex features.
Methods. A systematic mapping of residual flux above
and below
the continuum in the 4-9 keV range was performed in the time
vs.
energy domain, with the purpose of identifying interesting spectral
features in the three energy bands: 5.4-6.1 keV,
6.1-6.8 keV,
and 6.8-7.2 keV, respectively corresponding to the redshifted,
rest-frame, and either blueshifted or highly ionized Fe K
line
bands. The variability significance of rest frame and energy-shifted
Fe K lines was assessed by extracting light curves
and
comparing them with Monte Carlo simulations.
Results. The time-averaged profile of the
Fe K complex
revealed spectral complexity in several observations. Red- and blue-
shifted components (either in emission or absorption) were observed
in 30 out of 72 observations, with an average
eV
for emission and
eV
for absorption features. We detected significant line variability (with
confidence levels ranging between 90% and 99.7%)
within at
least one of the above energy bands in 26 out of
72 observations on time scales of
-30 ks.
The reliability of these features has been carefully calculated using
this sample and assessed at
3
confidence level.
Conclusions. This work increases the currently
scanty number of
detections of variable, energy-shifted Fe lines and confirms the
reliability of the claimed detections. We found that the distribution
of detected features is peaked at high variability significances in the
red- and blue- shifted energy bands rather than at rest-frame energies,
suggesting an origin in a relativistically modified accretion flow.
Key words: line: profiles - relativity - galaxies: active - X-rays: galaxies
1 Introduction
Reflection features observed in the X-ray spectra of many active
galactic
nuclei (AGNs) represent a powerful tool for studying the properties of
the
matter flow accreting onto supermassive black holes (SMBH). In
particular, the fluorescent Fe K line can be used to
probe the innermost regions of AGNs (e.g. Fabian et al. 1989; Fabian
et al. 2000;
Reynolds & Nowak 2003;
Miniutti & Fabian 2005),
where the effects of
general and special relativity become significant. Indeed, the
relativistically skewed,
redshifted, and broadened profile of the line and its variability
pattern
strongly depend on the physical conditions of the accreting matter and
of the
SMBH (e.g its spin). By now about 25% of all AGNs observed by
XMM-Newton
appear to show a relativistic Fe line in their X-ray spectra (Guainazzi
et al. 2006,
hereafter GBD06). Moreover, from a systematic study of 37 very
high S/N, XMM-Newton observations of nearby (z<0.05)
radio quiet AGN, Nandra et al. (2007,
hereafter NOGR07) demonstrate that Fe K line
relativistic broadening is quite common, because effective in
45% of the
cases.
Table 1: Relevant features detected in the time-averaged spectra of the observations.
In recent years, more diversity has been added to the general picture
by the
discovery of narrow and (apparently) transient features in the
-6 keV
energy range (e.g. Turner et al. 2002;
Longinotti et al. 2007a,
and references therein; Vaughan & Uttley 2008),
characterized by
relatively short-time scale variability, of the order of tens of ks
(e.g. Yaqoob et al. 2003;
Iwasawa et al. 2004,
hereafter IMF04; Tombesi et al. 2007,
Petrucci et al. 2007).
Their nature has not yet been
understood. Vaughan & Uttley (2008) cast
major doubts on the reliability of such shifted features, pointing out
that many of the detections reported in the literature are not
statistically significant and are most probably drawn from random
fluctuations in the bulk of analysed X-ray data. As suggested by these
authors,
the detailed and deep investigation of a well-defined sample of
objects, such as the one presented here,
is necessary in order to come to a firm conclusion on this issue.
The importance of these features relies on their energy being similar to what is typical of relativistic Fe K line components, suggesting that we are observing the peak of a variable relativistic line profile produced in an extended region of the disk (in such a scenario, the red tail would be too faint to be detectable above the continuum). Alternatively, intrinsically narrow emission lines could be produced in discrete regions of inflows or outflows and redshifted as a consequence of relativistic motions. Moreover, recent results point towards an origin in small emitting regions within the inner accretion disk (e.g. IMF04, Tombesi et al. 2007; Petrucci et al. 2007), as predicted by several models, such as the ``hot'' orbiting spot model (Nayakshin & Kazanas 2001; Dovciak et al. 2004) or the lamp-post model (Martocchia & Matt 1996; Dabrowski & Lasenby 2001; Miniutti & Fabian 2004). Unfortunately, despite the unprecedented sensitivity of current X-ray telescopes, attempts to test these models are hampered by the too fine spectral features that are predicted (Goosmann et al. 2007). In this context, however, variability studies could be a key tool in providing insight into their real nature (e.g. Ponti et al. 2004; IMF04, Miller et al. 2006; Tombesi et al. 2007).
In this work we present the results from the time-resolved X-ray
spectral analysis of a well-defined sample (94% complete) of
radio-quiet AGNs from the
XMM-Newton archive. The sample is a subset of the
FERO sample (Finding Extreme Relativistic Objects)
and was originally selected by GBD06 to study the general properties of
relativistically broadened Fe K
lines.
We consider the same dataset with the aim of looking for transient
features in the Fe K band and
analyse their variability patterns by exploiting a uniform analysis of
their highest quality observations. Several time-resolved studies have
so far highlighted the variable
nature of the Fe K line complex (e.g. Ponti
et al. 2004;
IMF04; De Marco et al. 2006;
Miller et al. 2006;
Petrucci et al. 2007;
Tombesi et al. 2007).
Up to now, there has, however, been no statistically solid
characterization of its temporal
behaviour. For the time-resolved analysis, we adopted the method based
on
mapping the
excess residuals above and below the continuum in the time vs energy
plane, a technique that has been already widely used (Ballantyne
et al. 2004,
IMF04; Turner et al. 2006; Miller
et al. 2006;
Porquet et al. 2007;
Tombesi et al. 2007;
Petrucci et al. 2007)
and has proven to be very useful for characterizing such variable X-ray
spectral features.
2 Selection of the sample
The sample analysed in this paper was first presented in GBD06 and
comprises 33 unabsorbed (namely with intrinsic
cm-2),
radio-quiet AGNs selected from the RXTE Slew Survey (XSS, Revnivtsev
et al. 2004) to
have
erg cm-2 s-1.
To carry out a meaningful timing analysis, all the XMM-Newton
observations with EPIC pn exposure
10 ks were
considered.
This selection excluded the following sources: H1846-786
(being
observed two times for a duration of <10 ks) and
UGC 10683
(because no XMM-Newton
observations were available as of 2009 February 1).
Furthermore, the source H0557-385 was discarded because its hard X-ray
emission has been shown to be highly absorbed during the two
10 ks
XMM-Newton
observations. (The spectral curvature below 6 keV implies the
presence of an intervening neutral gas cloud, partially covering the
X-ray source, with a column density
cm-2
Longinotti et al. 2009.)
Four observations (MCG-5-23-16, ID 0112830301; MRK 279,
ID 0083960101; AKN 564, ID 0006810301;
NGC 4593,
ID 0109970101) were neglected after good time interval (GTI)
filtering, as they result badly affected by proton flares, reducing the
EPIC pn effective exposure to <10 ks. Finally a
15 ks
observation of AKN 564 (ID 0006810101) was rejected
as the
effective exposure, although >10 ks is too short for
the time
resolution needed for the timing analysis.
Our final sample consists of 30 sources and
72 observations.
Information about the sample is given in Table 2.
In the following each observation is denoted by the corresponding XMM-Newton revolution number. Whenever more than one observation is carried out during the same revolution, a letter index indicates the chronological order.
3 Analysis
To characterize the variability pattern of the Fe K features using the so-called excess map technique (IMF04), it is important to identify a-priori the strongest lines in the spectrum. The first step is thus to define the properties of the average spectrum and then to analyse its temporal behaviour.
3.1 Data reduction and time-averaged spectral analysis
The analysis was carried out using only the EPIC pn camera data because
of its higher sensitivity (about a factor of two, e.g. Watson
et al. 2001) in the
Fe K band, with respect to the EPIC MOS. We used the
XMM-SAS v. 8.0.0 software with CCF release as of October 2006
for data reduction, and the lheasoft v.
6.0.3 package for
data analysis.
Time intervals free of high background events were
selected by calculating the time-series average count rate
and
standard deviation
during strong flare-free periods, in the
keV energy band and
filtering
out all the events with a count rate exceeding the (arbitrarily fixed)
threshold
of
.
This choice allows large data gaps to be avoided in the middle of the
observation, which is a necessary condition for any timing analysis to
be properly carried out.
For each object,
the source photons were extracted from a circular region of 45 arcsec
radius,
while the background ones were collected from adjacent source-free
rectangular
regions. Using the SAS task epatplot, we verified
the presence of significant pile-up; whenever some degree of pile-up
was found, it was minimized adopting an annular region for source
counts extraction
.
Average spectra were produced for each source and analysed using the XSPEC v. 11.2.3 software package. The spectral fitting was performed in the 4-9 keV energy band, where Fe spectral signatures are expected, using simple models (i.e. a power-law for the continuum and Gaussian components for emission and absorption lines). Some residual curvature of the spectrum produced by warm absorber systems can still be detected in this energy band. To correct the shape of the continuum for it, a cold absorption component was added to the model. (Clearly, the derived column densities, listed in Table 2, do not have any physical meaning.) It is worth noticing that the presence of narrow red- and blue- shifted absorption lines (Dadina et al. 2005; Reeves et al. 2004; Risaliti et al. 2005; Cappi 2006, and references therein; Braito et al. 2007; Tombesi et al. 2009; Cappi et al. 2009) in the chosen energy band did not significantly influence the determination of the continuum spectral shape.
We modelled emission and absorption lines in the time-averaged spectra with simple Gaussian templates. A Gaussian was added to the model whenever we found evidence of it from the 99% confidence contours for intensity vs energy. The best-fit models are reported in Table 3.
3.2 Results from time-averaged spectra
The ``core'' of the Fe K
emission line is detected in all the observations (see Table 3). This
line usually is relatively narrow with 1
width of the order of the EPIC pn spectral resolution at these energies
(i.e.
0.13 keV)
or less.
A broader line at
keV
(
-0.4 keV)
is required in the spectral fitting of NGC 3516 (rev. 1251),
MCG
-6-30-15 (rev. 108A, 301, 303), ARK 120
(rev. 679),
MKN 766 (rev. 1000, 1001, 1003, 1004), MCG -2-58-22
(rev. 180), ESO 141-G055 (rev. 1435A, 1435B, 1436),
ESO 198-G024 (rev. 201), and AKN 564
(rev. 930).
The line energies are consistent overall with emission from neutral
iron, although in some cases (NGC 3516 rev. 1251, 1253; MCG
-6-30-15 (rev. 108A); MKN 766 rev. 999,
1003;
ESO 141-G055 rev. 1435B; ESO 198-G024
rev. 207;
AKN 564 rev. 930) the implied energies might be
indicative of
mildly ionized matter (
keV) or more complex
line profiles.
Emission and/or absorption features at red- and blue- shifted energies
were observed in 30 out of 72 observations.
We detected significant redshifted emission in 21 out of
72 observations, with a 1
width in the range <0.7 keV and
eV.
It must be stressed that this is to be considered as a conservative
number of detections because transient redshifted features might be
smoothed out in the time-averaged spectra analysis, and hence not
significantly detectable. Time-resolved surveys are the most suitable
techniques for the study of this kind of feature.
Signatures of significant absorption lines blueward of the
narrow
``core'' were instead detected in 15 out of 72 observations,
at
energies in the range
-8.5 keV,
with
eV.
Finally, lines consistent with emission from highly ionized Fe K
and/or Fe K
were revealed in 28 out of 72 observations.
The 1
width
of these lines were overall of the order of the energy resolution of
the detector except for 12 observations (MRK 509
rev. 250, 1168; IRAS 05078+1626 rev. 1410;
MKN 766
rev. 82, 265, 999, 1001, 1002; NGC 526A
rev. 647;
NGC 4051 rev. 541; ESO 141-G055 rev. 1445,
NGC 7213
rev. 269), where a broader component was detected (
-0.7 keV,
-160 eV),
which might indicate a blending, either between the ionized
Fe K
and neutral Fe K
or with the blue peak of a relativistic component.
The most relevant features detected in the 4-9 keV energy
range of
the time-averaged spectra are listed in Table 1. The revolution numbers
of the corresponding observations are reported in the table. A flag
indicates the significance level obtained from intensity vs energy
contour plots. Multiple flags refer to the corresponding features in
order of increasing energy. The single and double asterisks indicate
detection significance at >
and between ![]()
-4
,
respectively.
3.3 Spectral variability
The spectral variability was investigated by systematically
mapping
residuals to the continuum emission in the time vs energy domain over
the 4-9 keV band. As most of the features observed in the
time-averaged spectra are
unresolved in their fine structure, the chosen energy resolution for
the time-energy ``mapping''
was 0.1 keV for nearly all the sources
(i.e. approximately equal to the detector resolution
in the analysed band). Though not producing a good oversampling for
most of the features, this energy resolution represents the only viable
choice for the available data.
The time resolution of the map has to be chosen in
order to garantee a sufficient number of counts in each energy bin. By
fixing the energy resolution, we thus extracted spectra at different
time resolutions during the period of minimum flux of the source, and
required a minimum of 20 counts per bin (for the
statistics to be applicable) in the Fe K complex energy band (i.e. at
least for E<7.5 keV).
The adopted time resolutions are listed in
Table 2.
It is useful to compare the time resolutions used in the analysis with
a typical time scale of the system.
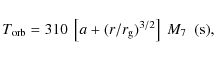
As an indicative time scale we can consider the estimated orbital
period at 10
,
given by (e.g. Bardeen et al. 1972):
![\begin{displaymath}T_{\rm orb}=310\ \left[a+(r/r_{\rm g})^{3/2}\right]\ M_{7}\ \ \rm (s),
\end{displaymath}](/articles/aa/full_html/2009/43/aa12188-09/img28.png)
with
It is thus generally the case here that the estimated orbital
time scale at 10
is oversampled by the chosen time resolution. In only four cases, where
the orbital period is very short (i.e.
2.5 ks)
the time resolution cannot adequately oversample it, so that the
minimum number of counts per energy is preserved. The sources for which
we were forced to undersample the orbital time scale at 10
are MCG-6-30-15, MRK 766, NGC 4051, and
AKN 564.
The method used to produce excess time-energy maps is extensively described in IMF04 and Tombesi et al. (2007) and briefly summarized in the following:
- i)
- each observation was divided into slices according to the chosen time resolution;
- ii)
- for each slice, the continuum was determined by excluding
the Fe K energy band (i.e. typically at
-7 keV)
and by rebinning the spectrum to have at least 50 counts per energy bin
to garantee a reliable continuum determination in the high-energy part
of the spectrum (E>7.5 keV); - iii)
- the baseline spectral model for the continuum is a
power-law plus cold absorption (with the column density
parameter fixed at the value obtained from the average spectrum); - iv)
- data were then rebinned at the energy resolution of the map. Residuals to the best-fit continuum model were computed in the 4-9 keV energy band and visualized on a time vs energy plane;
- v)
- a circular Gaussian low-pass filter with
pixel
is used to smooth the image in the time-energy plane so as to reduce
random noise between adjacent pixels.
The excess map technique is useful for identifying spectrally and temporally transient, narrow features and tracing their energy/intensity temporal evolution. As these features could appear at an energy that is not known a priori, we defined three physically motivated energy bands for the extraction of residuals light curves, which allowed inference of the statistical significance of such structures in a uniform and systematic way:
- A:
- 5.4-6.1 keV, redshifted Fe K
line band; - B:
- 6.1-6.8 keV, neutral and/or mildly ionized Fe K
line band; - C:
- 6.8-7.2 keV, Fe K
and/or highly ionized Fe K
band.
Light curves of the resulting excess flux and relative excess maps are reported for the observations where significant variability has been detected (see Figs. 4-9). The light curves are renormalized for their corresponding average value. In the figures the maps are all shown at a time resolution of 2.5 ks, to display excess residuals better. The procedure used to calculate the light curves errors is outlined in Sect. 3.4.
3.4 Light curve error estimation and variability significance
The excess map technique is useful for revealing narrow
transient
features (IMF04) and is not affected by the presence of broad line
components (as the adopted continuum model would mimic the shape of
these lines). The smoothing process applied
(see previous section) prevents, however, direct determination of the
lines
significance. For instance, the errors on the flux measurements in the
time
series cannot be estimated using a counting statistics because, after
the smoothing,
adjacent pixels in the map are no longer independent, so we followed
the
procedure described in IMF04 to assess the errors
via simulations. We simulated
time-energy
maps, assuming constant spectral components (whose parameters are those
of the average spectrum best-fit model, as reported in Table 3) and a
power-law normalization
varying as the 0.3-10 keV light curve
.
These simulations are carried out using the fakeit
Xspec task, which allows creation of fake source and background spectra
with a Poisson noise distribution, which approaches the normal
distribution whenever the number of counts per bin is >20.
The square root of the simulated light curves mean variance (in the band of interest) is thus taken as the error of the real light curve. This is justified by the Gaussian components flux being assumed constant in the simulations (and consequently equal to zero in case of no line detection), hence a measure of the variance is a good estimate of the real time series errors.
The variability significance was calculated by comparing the real light
curve variance (
)
with the simulated ones (
). If N
is the number of simulated light curves for which
,
the variability significance is given by (
). Table 4 contains
a list of the computed variability significances in the considered
energy bands.
3.5 Robustness against continuum modelling and background filtering
The technique summarized above assumes a simple modelization for the underlying continuum (i.e. a power-law plus cold absorption). As this assumption may affect the flux estimation of the variable features, we tested its robustness by considering a more complex continuum model, comprising an ionized absorber component (absori model in Xspec, Done et al. 1992) rather than the cold absorption one. The test was performed for IC 4329a, the brightest source in the sample, with the highest statistics providing the most accurate estimate of the continuum. For each energy band, we found that the calculated residuals are within the flux errors derived by the simple power-law plus cold absorption continuum fit. On average, the difference between residuals calculated with the two continuum models is around 30% of the light curve error. This comes from several factors: the narrow band considered for the analysis (E=4-9 keV), the high-energy resolution of the maps (suitable for studying narrow spectral features) and the lower variability level of secondary components (i.e. reflection continuum and ionized absorber systems) than the primary power-law. We conclude that the underlying continuum in the chosen bandpass is represented well by a simple power-law, with cold absorption a good enough approximation for modelling the residual curvature.
It is worth noting that the reflection continuum associated to the
narrow and constant Fe K
line
dominates the one associated with any transient feature. This dominant
reflection component will provide a constant contribution in the flux
measurements, so it will not introduce any spurious variability in the
residuals maps.
As a consequence of the adopted technique and high-energy resolution
(i.e.
-0.2 keV),
the maps will only be sensitive to narrow spectral features (i.e. both
spectral lines and narrow structures of the relativistic line profile).
We furthermore checked that the assumption of a fixed value for the
cold absorption
parameter in the continuum subtraction process (see Sect. 3.3)
can produce spurious variable features (most of all in the redshifted
energy band). This might be the case, for instance, in the presence of
any residual curvature induced by variable and/or complex absorbers
(i.e. warm absorber) and/or more complex continuum modelling.
The test is exploited for the long-look (rev. 301, 302,
and 303) of MCG -6-30-15, because this source is characterized
by
a strongly variable X-ray flux and a complex spectrum (including both a
warm absorber and a relativistic Fe line). In Fig. 1
we show a comparison between the residual line flux measurements (as
obtained from the excess map analysis in band A, B, and C) for
the
subtracted continuum model including (1) a variable or (2) a fixed
.
As expected, the line fluxes are well-correlated (the linear Pearson
correlation coefficients are 0.68, 0.85, and 0.91 for
the
three bands), although the scattering from the best-fit linear model
increases for lower energy bands, where the effects of continuum
modelling are stronger; however, the relative error due to the
deviation in the line flux (1)-flux (2) plot from the linear model is
smaller than the statistical error in the line flux measurement as
obtained from simulations (see Sect. 3.4).
It is worth noticing that the scatter also depends on the energy and
time resolutions adopted, decreasing for lower resolutions.
|
Figure 1: Comparison
between
line flux measurements for subtracted continuum model including a
power-law plus either a fixed or variable cold absorption |
| Open with DEXTER | |
We conclude that our assumption of constant
does
not invalidate our results. Since the case of MCG -6-30-15,
one of
those most representative of a strongly variable bright source with
broad relativistic Fe line emission, we infer that this assumption can
be considered valid for all the other sources in the sample.
As some AGNs show a spectral steepening when they get brighter, we also
tested whether significant variations in the power-law
parameter, which might influence the line flux measurements, are
registered during each observation where significant variability in at
least one of the three energy bands has been observed. The fractional
deviation of the power-law index from a constant model is always
20%.
We rule out the possibility that such small deviations can produce
spurious variations in the line fluxes, since the statistical errors on
the fluxes are generally larger. This result again validates our
assumption of a constant
parameter in the simulations (see Sect. 3.4).
Finally we exploited an a-posteriori check on the filtered background
to exclude this can lead to fake results. Indeed, energy-dependence of
soft-p+
flares might in principle produce spurious variable features in the
spectrum of the source. To check this we inspected the background
4-9 keV light curves during observations where significant
variability in the Fe K band was found. After soft-p+
flares removal, the background contributes less than 8% to the
4-9 keV count rate in most observations. Such a low background
fraction is not expected to have any effect on our results;
however, during 7 of these observations, the fraction of
background count rate, even after soft-p+
flares removal, remains high, falling between 11%
and 38% of
the source one. To check that this may induce spurious energy dependent
variability in the source spectrum, we inspected the background spectra
during periods of maximum count rate and compared them to the
time-averaged one. We fitted these spectra using a broken power-law
model, obtaining in all cases a good fit. We found that the background
spectral shape does not change, apart from a significant increase in
normalization. This means that no energy dependence is present in
flares.
4 Results from excess maps
The excess map technique revealed variability at
90% confidence level (against
random noise) within at least one of the three
(red, rest-frame, and blue) energy bands in 26 out of
72 observations (see Table 4),
whereas, the overall number of energy bands showing excess variability
in the sample is 34 with significances in the range of 90-99.7% each.
To assess the statistical significance of this result, we carried out a
binomial test.
As we looked for variability within three distinguished energy bands
(see Sect. 3.3),
the total number of trials that must be taken into account in the
computation is 216 (i.e. number of observations times number
of
analysed energy bands). Furthermore, we made the conservative
assumption that all the observed variable features are detected at the
lower-limit confidence threshold, i.e. 90%. The test yielded
99.5%, i.e. about 3
,
as the probability for rejection of the null hypothesis. In other
words, the number of variable features detections in the sample is
significantly greater than the one expected from a random distribution.
In the former calculation we conservatively assumed that the
three
energy bands are independent. This is justified by the fact that,
during the same observation, significant variability is rarely observed
in more than one band (i.e. only in 7 out of
34 cases).
Although from a physical point of view we would expect the three bands
to be somewhat linked in their variability properties, we must indeed
take several observational effects into account that allow the three
bands to be considered independently. For example, blended constant
components (this effect should be dominant in band B, due to
the
``core'' of the Fe K
line,
which plausibly arises in the outer regions of the disk or even
farther), and the fact that S/N decreases at higher energies may result
in an underestimate of the variability significance in both B
and
C bands.
As next step we tried to estimate and quantify potential observational
biases and/or limits that may hamper the detection of
Fe K variability.
One of the main observational issues in our analysis is the
duration
of the exposure. Physical considerations about the choice of the maps
temporal sampling were done by referring to the orbital time scale at
10
(See Sect. 3.3).
This is an arbitrary choice that does not address the possibility for
variability phenomena to occur on shorter time scales. However, it
represents an observational bias that cannot be removed easily, because
the quality of current data does not allow sampling of shorter orbital
periods.
In fact, in our analysis, sampling time scales must be chosen to
preserve good statistics in each time-resolved spectrum, and should be
able, at the same time, to probe the short-term variability of the
features in the Fe K band, even of relativistic ones.
Because
relativistic effects are expected to still be observable at
,
the choice of considering the estimated orbital time scale at such a
distance as a characteristic time scale of the system is justified.
Unfortunately, for some of the analysed observations the total exposure
is too short compared to the orbital time scale at 10
.
This in principle forbids detection of features varying on time scales
either of this order or longer.
At the same time, the other important issue is the brightness of the source, as the possibility of obtaining significant detections depends on the total number of counts collected during the characteristic time scale of variations.
To account for these two biases, we made a further selection on the
sample. We defined the figure of merit (FOM),

as the total 2-10 keV flux per unit area during the whole observation of duration T, normalized for the estimated orbital time scale
We arbitrarily sampled all the observations having
erg s-1 cm-2,
which corresponds to the inclusion of those with an exposure
10 times longer than the orbital time scale at 10
and with a flux lower limit of
erg s-1 cm-2.
This selection yields a total number of 33 ``good''
observations
out of 72. By carrying out a binomial test on this subsample (which
includes a total of 19 energy bands showing excess variability), we
obtain a slightly higher probability, i.e. P=99.6%,
that the recorded significant detections are not random.
In the computation of FOM the main source of
uncertainty is the BH mass, which affects the orbital time-scale
estimate. However, in most cases we used masses derived from optical/UV
reverberation mapping measurements (see Ferrarese & Ford 2005, for
a discussion on the reliability of reverberation mapping technique and
a comparison with other methods).
We collected different mass estimates (see references in Table 3),
obtained either via direct reverberation measurements or through
secondary mass estimators based on reverberation mapping, from the
recent literature (Wang & Zhang 2007; Peterson
et al. 2004; Bian
& Zhao 2003; Kaspi
et al. 2000; and Ho 1998). For each
source, we used the average mass value in the calculation of
(see Table 3).
In four cases (MCG -5-23-16, NGC 7314,
MR 2251-178, and
ESO 511-G030), reverberation mapping measurements were not
available, so mass estimates from other methods were adopted (e.g. the
photoionization method, Wandel & Mushotsky 1986;
Padovani & Rafanelli 1988,
or accretion disk-model spectral fitting, Brunner et al.
2007). In
those sources (MCG -6-30-15, NGC 526A,
ESO 198-G024,
AKN 564, and NGC 7213) where only one reverberation
mass
value was found in literature, available estimates from different
methods were added in the computation of the average mass.
Figure 2
shows the distribution of variability significances in the three bands
from this subsample.
Assuming that statistical fluctuations dominate the observed
variability in the data, we would expect the distribution of
significances to be flat. Indeed, in this case, variances in the real
data greater than those observed in the simulated light curves would be
recorded 10% of the time with significances
below 10%, 10% of
the time with significances between 10%-20%, and so on, leading to a
flat probability density distribution. The dashed histogram in
Fig. 2
illustrates the distribution of significances derived from simulated
data whose variability stems from random fluctuations (assuming the
same total number of observations as the real ones).
We observe that the var-sig distribution is significantly
peaked at high values, with a deficit at low significances,
thus indicating the effective presence of the
features we are finding. In particular, a K-S test strongly contradicts
the observed distribution as consistent with the random one (
%).
Moreover, if we only focus on band A and C where relativistic, energy
shifted (either redwards or bluewards) features are expected to be
detectable (Fig. 3),
the clustering towards high significance results even more prominent (
%).
Conversely, the distribution is smoother and similar to the random one
(Fig. 3)
when the energy band containing the narrow ``core'' of the E=6.4 keV
Fe K
component is isolated (
%).
This effect is indeed expected, since the narrow component contributes
with an almost steady flux to the total band counts being most
plausibly produced in regions far from the nucleus.
|
Figure 2:
Distribution of variability significances in the three analysed energy
bands of the |
| Open with DEXTER | |
|
Figure 3: Distribution of variability significances of the FOM-selected subsample: comparison between the ``core'' (B band, dashed line) and the ``red+blue'' (bands A and C, continuous line) distributions. |
| Open with DEXTER | |
5 Summary and discussion
The main goal of this paper is to find and monitor transient emission and absorption features in the Fe K line energy band of radio-quiet and bright AGNs. Because the detection of transient features is seriously biased by the lack of good statistics (time-resolved spectra are usually characterized by low S/N, which in most cases prevents obtaining high significance detections), the best method to derive strong conclusions on their reliability is by analysing a statistically complete sample. This issue is addressed in the present work for the first time, where we present both null and positive results from the uniform analysis of an almost (94%) complete sample of sources, allowing statistically meaningful conclusions to be drawn.
In this respect we studied a flux-selected subsample of the
FERO
sample, defined by GBD06. The sample includes the 30 brightest
(in
the RXTE Slew Survey, XSS, with a flux lower limit of
erg cm-2 s-1)
radio-quiet AGNs observed by XMM-Newton as of
1 February 2009. The observations we analysed (for a total
of 72) were chosen to have a duration
10 ks, in order to
carry out a meaningful temporal analysis.
Adopting the method of searching for excess variability
(IMF04) in
the energy bands of the redshifted (band A), neutral-mildly
ionized (band B), and highly ionized Fe K
and/or neutral Fe K
(band C) lines, we revealed significant (with a confidence
level
90%)
signatures of variable features in 26 out of
72 observations,
with probabilities in the 90%-99.7% range. Considering the total number
of energy bands showing excess variability, this translates into
34 detections out 216 monitored energy bands. A
binomial test
for the significance of this result yielded a probability
of 99.5%
(i.e.
3
)
that the overall detections are not by chance.
We then tested the detection frequency of variable features,
after
taking several observational biases into account (i.e. short duration
of the exposure as compared with a typical dynamical time scale of the
system, as well as low flux observations) which might seriously prevent
positive detections. We tried to remove these biases by defining an FOM
ratio (see Sect. 4).
As these observational limits forbid us drawing conclusions about Fe K
variability properties in the faintest sources of the sample, we focus
the following discussion on the FOM-selected
dataset. Once the selection is accomplished, the distribution of
variability significances in the three energy bands (with significant
detections ranging from 91.7% to 99%), results peaked towards high
values (i.e.
90%).
Moreover, subtracting the contribution of the ``core'' energy band
(band B), which is not expected to show signatures of strong
variability due to the dominance of the constant Fe K
emission, the skewness of the distribution towards high significance
increases. All these results were statistically checked through a
K-S test, using a uniform distribution as the reference one.
From the significances distribution analysis, it is reliable
to
assert that variability is commonly observed in the Fe K complex energy
band of bright sources (see Fig. 2),
provided the typical variability time scale is sampled well by the
duration of the observation and the source is sufficiently bright. In
fact, our estimated detection frequency is of 13 observations
out
of 33, showing variability in at least one of the three
sampled
energy bands, i.e.
39%.
Moreover, from Fig. 3
it is clear that the bulk of variability comes from the red- and
blue-shifted (with respect to the neutral ``core'') energy bands. This
is most probably because, if variability phenomena are still taking
place in the neutral Fe K
band, they end up being overwhelmed by the constancy (on short time
scales) of the Fe line ``core''.
Indeed, the detection frequency of variable features in the red- plus
blue-shifted energy bands is 12 out of
33 observations, i.e.
36%. It is worth noting that this is very similar
to the fraction of observations (i.e. 12/37
32%)
for which the characteristic emission radius of the relativistic
component is constrained to be <50
in the NOGR07 sample.
|
Figure 4: Left panels: data-to-model (power-law plus cold absorption) ratios of the 4-9 keV time-averaged spectra; middle panels: S/N map of excess residuals in the time-energy plane (at a time resolution of 2500 s); right panels: 0.3-10 keV background subtracted continuum and residuals light curves (in bands A, B, and C). The light curves are renormalized for the corresponding average flux. |
| Open with DEXTER | |
Table
4: Variability
significances obtained from excess map analysis in the three energy
bands: 5.4-6.1 keV (band A), 6.1-6.8 keV
(band B),
and 6.8-7.2 keV (band C). Confidence levels
90% are
marked in boldface.
Understanding the origin of the variable features in our
sample from
current data is not easy.
Any excess of variability recorded in band A most probably stems from
redshifted Fe K emission. Indeed this energy band,
apart from
the relativistic Fe K line components, is expected to
include
only the Fe K
high-order Compton shoulders, which, however, are predicted to be very
faint (e.g. George & Fabian 1991; Matt 2002).
It has been claimed that partial covering can induce spectral curvature
in this band (e.g. Miller et al. 2008).
Indeed, an ionized complex absorbing system might introduce further
complexity and be responsible for variability as a consequence of
variations in its properties (e.g. ionization state, covering factor,
etc.). Although hard to predict, we expect that, in general, the
partial covering gas would imprint its signature in the B band,
as well as in the A and C bands. The plot of Fig. 3
conversely, clearly shows a lack of correlated variations between the
``core'' and the ``red+blue'' energy bands, disproving the partial
covering interpretation.
On the other hand, the other two bands, in addition to the constant (on
short time scales) Fe K
and Fe K
emission
components, can also include both the blue peak of a relativistic
Fe line and ionized Fe K absorption features, which
may also
be responsible for the detected variability. Differentiating the two
cases would require deeper analysis of any single case. However,
residuals observed in band B are always positive, which is
correct
for the variable features in emission. In contrast, there are three
cases (NGC 3516 rev. 1250, 1251, and 1252)
where
variable residuals in band C are negative, hence most probably
due
to variable absorption features. This view is confirmed by the
detection of two absorption lines in the time-averaged spectra of the
three observations at these energies. In all the other cases, the
average residuals flux in band C is positive, pointing to an origin in
emitting material, most probably the peak of a relativistic Fe line.
Assuming this is the viable interpretation, we can give 10/33,
i.e.
30%,
as an estimate for the detection frequency of relativistic variable
features in bright and radio-quiet type 1 AGN, again close to
the
fraction deduced by NOGR07.
Inspection of residual light curves of the entire sample
allows us
to roughly compute the time scale on which the observed variations take
place. In almost all the cases, these variations do not have a regular
shape. Only in three cases (IC 4329a rev. 670,
NGC 3783
rev. 372, and MRK 509 rev. 1073) are they
characterized
by a repeated, flare-like pattern.
For these and other observations, a deeper study can be undertaken
(i.e. NGC 3516, IMF04; MKN 766, Turner
et al. 2006;
NGC 3783, Tombesi et al. 2007;
IC 4329a, De Marco et al. 2009), and we
refer to the
related papers for an exhaustive discussion.
In general, we decided to assume the time interval between the maximum
peak in the light curve along with either the following or the
preceding flux minimum as the temporal time scale of the variations.
The range of estimated time scales is
-30 ks.
This allows computation of an upper limit to the extension of the
region responsible for the observed variations. As variability from a
source cannot be observed on time scales shorter than the light
crossing time of the source itself, the upper limit on the size of the
region is given by
(e.g. Mushotzky et al. 1993). If
we consider the average
ks
(also the average value of the FOM-selected
subsample) as the reference, the derived upper limit on the region
extension is
cm
140
for a black hole mass equal to the average value of the masses in the
entire sample, i.e.
.
These calculations point to an origin in relatively small regions.
Whether these regions are flare-illuminated zones of the
accretion
disk or blobs of outflowing gas is not clear from our data, as the
sensitivity of the observations overall does not allow tracing a clear
pattern of variability. If associated to orbital motions, the observed
variability would imply an average emitting radius of
(assuming the average values of
15.5 ks
and
for the time scale and the black hole mass, respectively).
However, in most of the cases detection of significant variability does
not come with clear intensity modulations in the observed light curves,
disfavouring the ``hot spot'' interpretation (e.g. Nayakshin &
Kazanas 2001;
Dovciak et al. 2004; Goosmann et al. 2007).
Nevertheless, this does not completely rule the model out, because the
estimate of spot-induced modulations significance strongly depends on
the possibility of observing the spot emission for long enough (e.g.
Vaughan 2005). This
ultimately
relies on the length of the observation and the permanence of the
primary source flare. Moreover, several flare events illuminating the
disk are expected to generate more complex line patterns.
While a discrete spot-like region of the disk would produce a smooth intensity/energy modulation pattern as a consequence of its orbital motion, this would not be the case if the emitting region has a ring-like geometry. In that instance, the energy modulations are expected to be weak, in agreement with results from extensive analysis of the variability patterns in some observations of our sample (NGC 3783, Tombesi et al. 2007; IC 4329a, De Marco et al. 2009). Many authors point out the possibility of producing spiral density waves in non-self-gravitating models of accretion disks (e.g. Caunt & Tagger 2001; Hawley 2001). The effects of such structures on the Fe emission line would essentially be the production of several smaller peaks into the line profile, characterized by quasi-periodic variability as a consequence of the motion, and independent of continuum variations (e.g. Karas et al. 2001; Hartnoll & Blackman 2002).
Another suggested scenario is the production of line emission (via recombination of highly ionized Fe), during the ejection phase of blobs of gas originating from disk instabilities (Wang et al. 2000). In this case, detection of both red- and blue-shifted lines from both sides of the jet are expected. Some of the observed variable features in our sample are consistent with this picture, which is not able, however, to explain the modulations registered in some sources (e.g. NGC 3516, IMF04; MKN 766, Turner et al. 2006; NGC 3783, Tombesi et al. 2007; IC 4329a, De Marco et al. 2009).
The present work is the first attempt to search for such patterns of variability. It makes use of the best quality data available up to now for this kind of study. However, distinguishing among possible interpretations is still quite difficult. A qualitative step forward in the understanding of these issues will be provided by forthcoming missions, such as the International X-ray Observatory (IXO).
AcknowledgementsThis paper is based on observations obtained with the XMM-Newtonsatellite, an ESA funded mission with contributions by ESA Member States and the USA. B.D.M., M.C., M.D., G.P., and F.T. acknowledge financial support from ASI under contracts ASI/INAF I/023/05/0 and I/088/06/0. B.D.M. and A.C. acknowledge MIUR for financial support. G.P. aknowledges ANR for support under grant number ANR-06-JCJC-0047. G.M. acknowledges the Ministerio de Ciencia e Innovación and CSIC for support through a Ramón y Cajal contract. BDM aknowledges C. Evoli for helpful discussions. The authors thank the anonymous referee for suggestions that led to significant improvements in the paper.
References
- Ballantyne, D. R., Fabian, A. C., & Iwasawa, K. 2004, MNRAS, 354, 839 [CrossRef] [NASA ADS]
- Bardeen, J. M., Press, & W. H., Teukolsky, S. A. 1972, ApJ, 178, 347 [CrossRef] [NASA ADS]
- Bian, W., & Zhao, Y. 2003, MNRAS, 343, 164 [CrossRef] [NASA ADS]
- Bianchi, S., Matt, G., Balestra, I., Guainazzi, M., & Perola, G. C. 2004, A&A, 422, 65 [EDP Sciences] [CrossRef] [NASA ADS]
- Blustin, A. J., Branduardi-Raymont, G., Behar, E., et al. 2002, A&A, 392, 453 [EDP Sciences] [CrossRef] [NASA ADS]
- Botte, V., Ciroi, S., Rafanelli, P., & Di Mille, F. 2004, AJ, 127, 3168 [CrossRef] [NASA ADS]
- Braito, V., Reeves, J. N., Dewangan, G. C., et al. 2007, ApJ, 670, 978 [CrossRef] [NASA ADS]
- Brunner, H., Mueller, C., Friedrich, P., et al. 1997, A&A, 326, 885 [NASA ADS]
- Cappi, M. 2006, AN, 327, 1012 [NASA ADS]
- Cappi, M., Tombesi, F., Bianchi, S., et al. 2009 [arXiv:0906.2438]
- Caunt, S. E., & Tagger, M. 2001, A&A, 367, 1095 [EDP Sciences] [CrossRef] [NASA ADS]
- Dabrowski, Y., & Lasenby, A. N. 2001, MNRAS, 321, 605 [CrossRef] [NASA ADS]
- Dadina, M., Cappi, M., Malaguti, G., Ponti, G., & de Rosa, A. 2005, A&A, 442, 461 [EDP Sciences] [CrossRef] [NASA ADS]
- De Marco, B., Cappi, M., Dadina, M., & Palumbo, G. G. C. 2006, AN, 327, 1028 [NASA ADS]
- De Marco, B., et al. 2009, in preparation
- Dewangan, G. C., Griffiths, R. E., & Schurch, N. J. 2003, ApJ, 592, 52 [CrossRef] [NASA ADS]
- Done, C., Mulchaey, J. S., Mushotzky, R. F., & Arnaud, K. A. 1992, ApJ, 395, 275 [CrossRef] [NASA ADS]
- Dovc04iak, M., Bianchi, S., Guainazzi, M., Karas, V., & Matt G. 2004, MNRAS, 350, 745 [CrossRef] [NASA ADS]
- Fabian, A. C., Rees, M. J., Stella, L., & White, N. E. 1989, MNRAS, 238, 729 [NASA ADS]
- Fabian, A. C., Iwasawa, K., Reynolds, C. S., & Young, A. J. 2000, PASP, 112, 1145 [CrossRef] [NASA ADS]
- Ferrarese, L., & Ford, H. 2005, SSRv, 116, 523 [NASA ADS]
- George, I. M., & Fabian, A. C. 1991, MNRAS, 249, 352 [NASA ADS]
- Goosmann, R. W., Mouchet, M., Czerny, B., et al. 2007, A&A, 475, 155 [EDP Sciences] [CrossRef] [NASA ADS]
- Guainazzi, M., Bianchi, S., & Dovciak, M. 2006, AN, 327, 1032 [NASA ADS] (GBD06)
- Hartnoll, S. A., & Blackman, E. G. 2002, MNRAS, 332, 1 [CrossRef] [NASA ADS]
- Hawley, J. F. 2001, ApJ, 554, 534 [CrossRef] [NASA ADS]
- Ho, L. C. 1998, in Observational Evidence for Black Holes in the Universe, ed. S. K. Chakrabarti (Dordrecht: Kluwer), 157
- Iwasawa, K., & Miniutti, G. 2004, PThPS, 155, 247 [NASA ADS]
- Iwasawa, K., Miniutti, G., & Fabian, A. C. 2004, MNRAS, 355, 1073 [CrossRef] [NASA ADS] (IMF04)
- Karas, V., Martocchia, A., & Subr, L. 2001, PASJ, 53, 189 [NASA ADS]
- Kaspi, S., Smith, P. S., Netzer, H., et al. 2000, ApJ, 533, 631 [CrossRef] [NASA ADS]
- Longinotti, A. L., Bianchi, S., Guainazzi, M., Roa-Llamazares, J., & Santos-Lleo, M. 2007, The Multicolored landscape of compact objects and their explosive origins, AIP Conf. Proc., 924, 795
- Longinotti, A. L., Bianchi, S., Ballo, L., de La Calle, I., & Guainazzi, M., 2009, MNRAS, 394, 1 [CrossRef] [NASA ADS]
- Markowitz A., Reeves, J. N., & Braito, V. 2006, 646, 783
- Markowitz, A., Reeves, J. N., George, I. M., Braito, V., et al. 2009, ApJ, 691, 922 [CrossRef] [NASA ADS]
- Martocchia, A., & Matt, G. 1996, MNRAS, 282, L53 [NASA ADS]
- Matt, G. 2002, MNRAS, 337, 147 [CrossRef] [NASA ADS]
- Miller, L., Turner, T. J., Reeves, J. N., et al. 2006, A&A, 453, 13 [CrossRef] [NASA ADS]
- Miller, L., Turner, T. J., & Reeves, J. N. 2008, A&A, 483, 437 [EDP Sciences] [CrossRef] [NASA ADS]
- Miniutti, G., & Fabian, A. C. 2004, MNRAS, 349, 1435 [CrossRef] [NASA ADS]
- Miniutti, G., & Fabian, A. C. 2005, to appear in Kerr Spacetime: Rotating Black Holes in General Relativity, ed. D. L. Wiltshire, M. Visser, & S. M. Scott (Cambridge Univ. Press) [arXiv:astro-ph/0507409]
- Mushotzky, R. F., Done, C., & Pounds, K. A. 1993, ARA&A, 31, 717 [CrossRef] [NASA ADS]
- Nandra, K., O'Neill, P. M., George, I. M., & Reeves, J. N. 2007, MNRAS, 382, 194 [CrossRef] [NASA ADS] (NOGR07)
- Nayakshin, S., & Kazanas, D. 2001, ApJ, 553, 141 [CrossRef] [NASA ADS]
- Nelson, C. H., & Whittle, M. 1995, ApJS, 99, 67 [CrossRef] [NASA ADS]
- Padovani, P., & Rafanelli, P. 1988, A&A, 205, 53 [NASA ADS]
- Papadakis, I. E., Kazanas, D., & Akylas, A. 2005, ApJ, 631, 727 [CrossRef] [NASA ADS]
- Papadakis, I. E., Brinkmann, W., Page, M. J., McHardy, I., & Uttley, P. 2007, A&A, 461, 931 [EDP Sciences] [CrossRef] [NASA ADS]
- Peterson, B. M., Ferrarese, L., Gilbert, K. M., et al. 2004, ApJ, 613, 682 [CrossRef] [NASA ADS]
- Petrucci, P. O., Ponti, G., Matt, G., et al. 2007, A&A, 470, 889 [EDP Sciences] [CrossRef] [NASA ADS]
- Ponti, G., Cappi, M., Dadina, M., & Malaguti, G. 2004, A&A, 417, 451 [EDP Sciences] [CrossRef] [NASA ADS]
- Ponti, G., Miniutti, G., Cappi, M., et al. 2006, MNRAS, 368, 903 [CrossRef] [NASA ADS]
- Ponti, G., Cappi, M., Vignali, C., et al. 2009, MNRAS, 236
- Porquet, D., Uttley, P., Reeves, J. N., et al. 2007, A&A, 473, 67 [EDP Sciences] [CrossRef] [NASA ADS]
- Reeves, J. N., Nandra, K., George, I. M., et al. 2004, ApJ, 602, 648 [CrossRef] [NASA ADS]
- Revnivtsev, M., Gilfanov, M., & Churazov, E. 1999, A&A, 347, 23 [NASA ADS]
- Revnivtsev, M., Sazonov, S., Jahoda, K., & Gilfanov, M. 2004, A&A, 418, 927 [EDP Sciences] [CrossRef] [NASA ADS]
- Reynolds, C. S., & Nowak, M. A. 2003, Phys. Rep., 377, 389 [CrossRef] [NASA ADS]
- Risaliti, G., Bianchi, S., & Matt, G., et al. 2005, ApJ, 630, 129 [CrossRef] [NASA ADS]
- Rokaki, E., & Boisson, C. 1999, MNRAS, 307, 41 [CrossRef] [NASA ADS]
- Tombesi, F., De Marco, B., Iwasawa, K., et al. 2007, A&A, 467, 1057 [EDP Sciences] [CrossRef] [NASA ADS]
- Tombesi, F., et al. 2009, in preparation
- Turner, T. J., Romano, P., & George, I. M. 2001, ApJ, 561, 131 [CrossRef] [NASA ADS]
- Turner, T. J., Mushotzky, R. F., Yaqoob, T., et al. 2002, ApJ, 574, 123 [CrossRef] [NASA ADS]
- Turner, T. J., Kraemer, S. B., George, I. M., Reeves, J. N., & Bottorff, M. C. 2005, ApJ, 618, 155 [CrossRef] [NASA ADS]
- Turner, T. J., Miller, L., George, I. M., & Reeves, J. N. 2006, A&A, 445, 59 [EDP Sciences] [CrossRef] [NASA ADS]
- Turner, T. J., Reeves, J. N., Kraemer, S. B., & Miller, L. 2008, A&A, 483, 161 [EDP Sciences] [CrossRef] [NASA ADS]
- Vaughan, S. 2005, A&A, 431, 391 [EDP Sciences] [CrossRef] [NASA ADS]
- Vaughan, S., & Fabian, A. C. 2004, MNRAS, 348, 1415 [CrossRef] [NASA ADS]
- Vaughan, S., & Uttley, P. 2008, MNRAS, 390, 421 [CrossRef] [NASA ADS]
- Vaughan, S., Fabian, A. C., & Nandra, K. 2003, MNRAS, 339, 1237 [CrossRef] [NASA ADS]
- Wandel, A., & Mushotzky, R. F. 1986, ApJ, 306, 61 [CrossRef] [NASA ADS]
- Wang, J.-M., & Zhang, E.-P. 2007, ApJ, 660, 1072 [CrossRef] [NASA ADS]
- Wang, J.-M., Yuan, Y.-F., Wu, M., & Kusunose, M. 2000, ApJ, 541, 41 [CrossRef] [NASA ADS]
- Watson, M. G., Auguères, J.-L., Ballet, J., et al. 2001, A&A, 365, 51 [CrossRef] [NASA ADS]
- Wilms, J., Reynolds, C. S., Begelman, M. C., et al. 2001, MNRAS, 328, 27 [CrossRef] [NASA ADS]
- Yaqoob, T., George, I. M., Kallman, T. R., et al. 2003, ApJ, 596, 85 [CrossRef] [NASA ADS]
Online Material
|
Figure 5: Left panels: data-to-model (power-law plus cold absorption) ratios of the 4-9 keV time-averaged spectra; middle panels: S/N map of excess residuals in the time-energy plane (at a time resolution of 2500 s); right panels: 0.3-10 keV background subtracted continuum and residuals light curves (in bands A, B, and C). The light curves are renormalized for the corresponding average flux. |
| Open with DEXTER | |
|
Figure 6: Left panels: data-to-model (power-law plus cold absorption) ratios of the 4-9 keV time-averaged spectra; middle panels: S/N map of excess residuals in the time-energy plane (at a time resolution of 2500 s); right panels: 0.3-10 keV background subtracted continuum and residuals light curves (in bands A, B, and C). The light curves are renormalized for the corresponding average flux. |
| Open with DEXTER | |
|
Figure 7: Left panels: data-to-model (power-law plus cold absorption) ratios of the 4-9 keV time-averaged spectra; middle panels: S/N map of excess residuals in the time-energy plane (at a time resolution of 2500 s); right panels: 0.3-10 keV background subtracted continuum and residuals light curves (in bands A, B, and C). The light curves are renormalized for the corresponding average flux. |
| Open with DEXTER | |
|
Figure 8: Left panels: data-to-model (power-law plus cold absorption) ratios of the 4-9 keV time-averaged spectra; middle panels: S/N map of excess residuals in the time-energy plane (at a time resolution of 2500 s); right panels: 0.3-10 keV background subtracted continuum and residuals light curves (in bands A, B, and C). The light curves are renormalized for the corresponding average flux. |
| Open with DEXTER | |
| Figure 9: Left panels: data-to-model (power-law plus cold absorption) ratios of the 4-9 keV time-averaged spectra; middle panels: S/N map of excess residuals in the time-energy plane (at a time resolution of 2500 s); right panels: 0.3-10 keV background subtracted continuum and residuals light curves (in bands A, B, and C). The light curves are renormalized for the corresponding average flux. |
|
| Open with DEXTER | |
Table 2: Properties of the sources in the sample. The analysed XMM- Newton observations are indicated by the revolution number.
Table 3: Gaussian components included in the best-fit models to the 4-9 keV time-averaged spectra, obtained assuming a ``power-law + cold absorption'' as the continuum model. The errors are computed at 90% confidence level.
Appendix A: Notes on single sources
The aim of this section is to discuss and compare our results with previous studies, as many of the sources of our sample have been extensively investigated in literature. In general, the best fit models we used as templates for the simulations (see Table 3) are in good agreement with the ones derived by other authors from deeper broad X-ray band analysis. We mostly refer to the NOGR07 survey for broad Fe lines, as they analysed many of the observations treated in this paper. In the following we will focus on the most relevant sources.IC 4329a: the addition of a broad and
redshifted emission
component to the best fit model is required at 99% confidence
level (from intensity vs energy contour plots) during
rev. 670.
The detection of this line is confirmed by previous studies (Markowitz
et al. 2006,
NOGR07) on the same data set. However, its origin is controversial,
being, most probably produced at r>50
,
where relativistic effects cannot be robustly measured (see NOGR07). We
registered significant flux variations within the energy band
comprising this component, on time scales of
32 ks. We refer to De Marco
et al. (2009) for a more comprehensive study of such emission
feature.
On the contrary the redshifted component appears to be absent
(in
agreement with NOGR07 results) during the preceding observation
(rev. 210). In this case, the non-detection of the line may be
a
consequence of the short exposure (
10 ks).
However, significant variability is detected in band B,
pointing
to the plausible presence of some kind of persisting, short-time scale
variability phenomenon taking place in this source.
Detection of a blueshifted (
0.1c)
and constant flux absorption line is registered during
rev. 670, in agreement with Markowitz et al. (2006) and
NOGR07, possibly ascribable to FeXXVI.
MCG -5-23-16: this source has been deeply monitored
via simultaneous observations with XMM-Newton, Chandra
and Suzaku. This allowed accurate determination of the underlying
continuum and detection of a relativistic Fe K
line
during rev. 1099. We confirm detection of a broad component
during
both rev. 363 and 1099, after restricting the
analysis energy
band to E=4-9 keV. This line does not show
significant variability, in good agreement with previous studies
(Dewangan et al. 2003;
Braito et al. 2007,
NOGR07).
NGC 3783: we revealed a redshifted emission
line in all the
three observations (rev. 193, 371, 372), in agreement with
published results (Blustin et al. 2002;
Reeves et al. 2004;
NOGR07). However, NOGR07 associate the broad component observed during
rev. 193 to emission originated at
.
We also found signatures of a narrow absorption line at
keV
during rev. 103 and 372, ascribed by Reeves
et al. (2004)
to a blend of FeXXIII, FeXXIV and FeXXV lines at the
systemic
velocity of the source. Reeves et al. observed that the line
decreased its intensity between rev. 371 and
rev. 372,
indicating a variability time scale of
105
s for the highly ionized absorber. Although our technique does not test
variability between different revolutions, we can nonetheless confirm
these findings, as we do not have strong evidence for an absorption
line detected during rev. 371. However, it is worth noting
that
the line is present during rev. 193, in good agreement with
results of NOGR07.
An exhaustive temporal study of the spectral features in the 3 XMM-Newton observations of NGC 3783 has been published by Tombesi et al. (2007). Our analysis resambled the overall results of this paper.
NGC 3516: narrow, energy shifted emission
components in the Fe K line profile were for the first time detected
during a simultaneous Chandra and XMM-Newton
(rev. 352) observation of NGC 3516 (Turner
et al. 2002).
Variability of the narrow redshifted emission feature at
keV
(Bianchi et al. 2004)
has been widely investigated by IMF04 for rev. 245 using the
excess map technique, finding a variability confidence level
of 97%. The pre-defined redshifted energy band we used for our
analysis (band A, see Sect. 3.3) is
broader
than the energy band monitored by IMF04 (i.e. 5.8-6.2 keV),
hence
the light curve variations are smoothed out. However, restricting the
energy band to the one considered in IMF04 we achieve the same
variability confidence level (i.e. 97.1%).
In addition, different layers of absorbing gas were revealed during rev. 245 and 352 (Turner et al. 2005, NOGR07). Here we did not not account for these components as the narrow energy band in which we focus our analysis is not strongly affected by them. However, the technique we used to trace variability is nonetheless able to reveal high energy transient components of the absorbing gas. On the contrary, we observed two deep absorption lines in the average spectra of NGC 3516 during four consecutive revolutions (i.e. rev. 1250, 1251, 1252, 1253, covering the period 2006 Oct. 6-13), in the 6.7-7.1 keV regime (coincident with the C band), which can be associated to H-like and He-like species of Fe. These lines were ascribed by Turner et al. (2008) to a disk wind with outflowing velocities in the range 1000-2000 km s-1. All these absorbing structures seem responsible for the significant variability revealed in band C during rev. 245, 1250, 1251 and 1252. We point out that the lack of variability during rev. 1253 is not due to statistical problems as the observation has approximately the same duration and flux as the previous three.
MRK 509: as pointed out by NOGR07, the statistical
significance of the relativistic Fe K
line
during rev. 161 is comparable to the one obtained using a distant
reflector model. Hence we adopted a simple, relatively narrow Gaussian
template to fit the line.
We further observed two absorption features during rev. 1073
and 1168. One of these (
keV) is also
revealed in the synthesis spectrum (averaged out over all the five
exposures) of Ponti et al. (2009), and
its origin is ascribed to highly ionized outflowing (
km s-1)
gas. On the contrary the high energy one (
keV) is also
detected by Cappi et al. (2009) and
Tombesi et al. (2009).
We observed significant variability in band B during
rev. 161
and 1168, in agreement with results obtained from the total rms
spectrum analysis (Ponti et al. 2009).
Moreover we found signatures of significant variability in
Band A during rev. 161 and 1073.
MCG -6-30-15: in this particular case the
relativistic Fe K
line
(e.g. Wilms et al. 2001)
extends over the entire energy band where we focused our analysis. As
the band is too narrow to obtain a good fit of the broad Fe line, the
induced residual spectral bending can be modelled as due to continuum
emission. Hence, as a consequence of the adopted technique and energy
resolution (i.e.
keV),
the mapping procedure is sensitive only to narrow spectral features
above the broad line, and the corresponding flux measurements are
robust against continuum modelling. The rms spectrum (with a time
resolution of 6 ks) of the two observations carried out during
rev. 108 shows a steep rise of variability at
keV
with a peak at
keV
(Ponti et al. 2004).
We analysed the 2 observations with a finest time resolution
(i.e.
2.5 ks) and found excess variability in all the three bands (
-7.2 keV)
during rev. 108B. The energy bands we analysed exclude the
strong
variability event observed in the rms spectrum.
The variations registered in the entire
Fe K band during
rev. 108B are most probably driven by the strong flare
observed in
the continuum light curve (Ponti et al. 2004; Iwasawa
& Miniutti 2004).
Papadakis et al. (2005)
studied the frequency-resolved spectra (Revnivtsev et al. 1999) of
MCG -6-30-15 during rev. 108-303 and found that,
although the broad Fe K
line shows no
significant variations on time scales less than
1-2 days,
some residuals between 5-7 keV are suggestive of small
amplitude
variations in a line-like feature. Moreover the drop observed in the
spectra in the Fe K
regime is less than the one expected from a constant line.
Vaughan & Fabian (2004),
using the flux-flux linear correlation (between soft band,
1-2 keV, and hard band, 3-10 keV) technique, deduced
that
flux variations are dominated by changes in the normalization of the
power-law component. This is in agreement with our assumption in the
Monte Carlo simulations, where we assume that only the power-law
normalization varies, while the other components are constant. In
addition there must be an additional component that varies little, and
contributes more in the 3-10 keV band than in the
1-2 keV.
The largest fractional contribution from this component occurs in the
Fe K band, where it accounts for
40% of the total flux.
Once the variable continuum is subtracted from the total spectrum (see
Sect. 3.3),
the residuals should include only the nearly constant reflection
component. Hence, the significant variations we observed in these
residuals (during rev. 108B, 301 and 302) must be due to
additional line-like features overlapping the broad Fe line profile, in
agreement with deductions of Papadakis et al. (2005).
NGC 7314: a relativistic line or a distant
reflector model
can fit equally well the spectrum of this source during
rev. 256
(NOGR07). For our analysis we assumed a simple model which accounts for
the neutral and highly ionized Fe K
emission
lines. We found significant variations redward the neutral component
during rev. 256. The detection of a narrow emission feature at
keV
was also claimed by Yaqoob et al. (2003), in a Chandra
observation taken 19-20 July 2002, and interpreted as
redshifted Fe K
emission. A hot spot origin of the line was ruled out by the authors
because the estimated spot location resulted too large (i.e. r>132
)
to cause sufficient gravitational and Doppler redshift. In our
spectrum, however, the feature is observed for about 20 ks
(i.e.
about half the duration of the observation). If produced in a spot -
assuming a SMBH mass of
(Padovani & Rafanelli 1988) -
the emitting radius should be r>26
in order for the emission to correspond to less than one orbit (i.e. a
spot and not an annulus). This estimated lower limit on the radius is
still within the upper limit of 132
.
It is worth noting that the target of the second XMM-Newton observation analysed in this paper (rev. 1172) is the cluster XMMUJ2235.3-2557, while NGC 7314 is observed off-axis, reducing the X-ray telescope's effective area.
NGC 3227: we detected a redshifted narrow emission feature during the longest observation (rev. 1279). Estimated parameters of this feature are in agreement with those derived inMarkowitz et al. (2009) and double checked with MOS data. The energy of the feature results inconsistent with a Compton shoulder minimum energy (i.e. E>6.24 keV). We did not find any significant evidence for variability in the Fe K band, in agreement with results of time resolved analysis in Markowitz et al. (2009).
MKN 766: a relativistic Fe K line was detected by
NGO07 during
rev. 82 and 265. To fit the curvature induced by this line we
adopted a broad Gaussian component whose centroid energy falls in the
energy range typical of a highly ionized Fe K
and/or Fe K
line.
Turner et al. (2006)
reported on significant energy modulation (detected via excess map
technique) during rev. 265, within
-6.8 keV
(band B), tracing a sinusoid of period
150 ks. They associated this emission to
orbiting material at an estimated distance of r=115
from the central BH. At such distance the increase in flux
during
the approaching phase of the orbital motion is not expected to be
strong (e.g. Dovciak et al. 2004), in agreement with the
results
of our temporal analysis, which rules out the presence of any
significant intensity modulation in the data.
An extensive analysis of the entire set of observations
(rev. 82,
265, 999-1004) available for this source, was carried out by Miller
et al. (2006).
They found variability in the low-ionization band (E=6.08-6.48 keV),
significant at 95%. This value is in agreement with the
variability significance we estimated in Band B (which
includes
the low-ionization band of Miller et al.) during
rev. 1004.
NGC 4051: we found evidence for broad emission at Fe K redshifted energies in both the observations (rev. 263 and 541). For what concerns rev. 263, our result is consistent with NOGR07. We did not detect significant variability in this source, in agreement with the rms spectrum (time resolution 2 ks) analysis carried out by Ponti et al. (2006).
AKN 564: ASCA observations of
AKN 564 revealed an Fe K
line
origin in highly ionized material (dominated by H-like ions). The line
results significantly broad (Turner et al. 2001).
Variability measurements down to time scales of approximately a week
constrained the bulk of the line to originate at small distances from
the nucleus.
Previous studies (Papadakis et al. 2007) on
the
100 ks
XMM-Newton observation (rev. 930) revealed
a Fe K
line
component slightly broader than the energy resolution of the EPIC-pn
detector and rather weak (i.e.
eV),
in agreement with our best fit model (Table 3).
However the line cannot be unambiguously ascribed to relativistic
emission (see Papadakis et al. 2007;
NOGR07). We detected significant variability in both band B
and C where the only residuals visible in the map coincide
with
the Fe line. They seem to be absent at the very beginning of the
observation; we rule out this to be a background subtraction effect,
because the source signal results very high with respect to the
background level (during the first 10 ks the background count
rate
in the 4-9 keV energy band is just 5% the source
one).
Footnotes
- ... AGNs
- Figures 5-9, Tables 2, 3 and Appendix A are only available in electronic form at http://www.aanda.org
- ... extraction
- Pile-up was revealed in the following observations: IC 4329a rev. 210 (carried out in ``FullWindow'' mode), MCG-5-23-16 rev. 363 (carried out in ``FullWindow'' mode) and 1099 (carried out in ``LargeWindow'' mode), NGC 3227 rev. 1279 (carried out in ``LargeWindow'' mode), and ESO 141-G055 rev. 1435, 1436, and 1445 (carried out in ``FullWindow'' mode).
- ... sources
- In the case of NGC 4051 (rev. 541), AKN 564 (rev. 930), and MRK 704 (rev. 1074), we opted for a lower energy resolution (i.e. 0.2 keV, see Table 2) to keep a high enough time resolution.
- ... curve
- In the case of MCG-6-30-15, the curvature induced by the
broad Fe
line is treated as the result of continuum emission (see Appendix).
Since the broad line (
-7 keV)
is less variable than the broad band 0.3-10 keV continuum
(e.g. Vaughan & Fabian 2004), the
power-law normalization is assumed to follow the 4-9 keV light
curve in the simulated maps.
- ... observations
- IC 4329a (rev. 670), MCG -5-23-16 (rev. 1099), NGC 3783 (rev. 193, 371, 372), NGC 3516 (rev. 245, 1250, 1251, 1252, 1253), MCG-6-30-15 (rev. 108A, 108B, 301, 302, 303), NGC 7314 (rev. 256, 1172), NGC 3227 (rev. 1279), MRK 766 (rev. 82, 265, 999, 1000, 1001, 1002, 1003, 1004), NGC 7469 (rev. 912, 913), NGC 4051 (rev. 263, 541), MRK 110 (rev. 904), AKN 564 (rev. 930), NGC 4593 (rev. 465).
All Tables
Table 1: Relevant features detected in the time-averaged spectra of the observations.
Table
4: Variability
significances obtained from excess map analysis in the three energy
bands: 5.4-6.1 keV (band A), 6.1-6.8 keV
(band B),
and 6.8-7.2 keV (band C). Confidence levels
90% are
marked in boldface.
Table 2: Properties of the sources in the sample. The analysed XMM- Newton observations are indicated by the revolution number.
Table 3: Gaussian components included in the best-fit models to the 4-9 keV time-averaged spectra, obtained assuming a ``power-law + cold absorption'' as the continuum model. The errors are computed at 90% confidence level.
Current usage metrics show cumulative count of Article Views (full-text article views including HTML views, PDF and ePub downloads, according to the available data) and Abstracts Views on Vision4Press platform.
Data correspond to usage on the plateform after 2015. The current usage metrics is available 48-96 hours after online publication and is updated daily on week days.
Initial download of the metrics may take a while.
![\begin{figure}
\par\includegraphics[scale=0.35,angle=0]{12188fg1.ps}\hspace{0.5c...
...s}\hspace{0.5cm}
\includegraphics[scale=0.35,angle=0]{12188fg3.ps}
\end{figure}](/articles/aa/full_html/2009/43/aa12188-09/Timg43.png)
![\begin{figure}
\par\hspace*{5mm}\includegraphics[scale=0.35,angle=270]{12188fg4.ps}\hspace{0.5cm}
\end{figure}](/articles/aa/full_html/2009/43/aa12188-09/Timg53.png)
![\begin{figure}
\par\includegraphics[scale=0.35,angle=270]{12188fg5.ps}
\end{figure}](/articles/aa/full_html/2009/43/aa12188-09/Timg54.png)
![\begin{figure}
\par\begin{tabular}{p{5cm}p{5cm}p{5cm}}
\includegraphics[height=4...
...s[width=4.5cm,height=4.0cm]{12188fg20.ps}\\ %
& & \\
\end{tabular}
\end{figure}](/articles/aa/full_html/2009/43/aa12188-09/Timg55.png)
![\begin{figure}
\par\begin{tabular}{p{5cm}p{5cm}p{5cm}}
\includegraphics[height=4...
...cs[width=4.8cm,height=4.0cm]{12188fg35.ps}\\
& & \\
\end{tabular}\end{figure}](/articles/aa/full_html/2009/43/aa12188-09/Timg64.png)
![\begin{figure}
\par\begin{tabular}{p{5cm}p{5cm}p{5cm}}
\includegraphics[height=4...
...idth=4.8cm,height=4.0cm]{12188fg50.ps}\\
& & \\
\par\end{tabular}\end{figure}](/articles/aa/full_html/2009/43/aa12188-09/Timg65.png)
![\begin{figure}
\par\begin{tabular}{p{5cm}p{5cm}p{5cm}}
\includegraphics[height=4...
...s[width=4.8cm,height=4.0cm]{12188fg65.ps}\\
& & \\
\end{tabular}
\end{figure}](/articles/aa/full_html/2009/43/aa12188-09/Timg66.png)
![\begin{figure}
\par\begin{tabular}{p{5cm}p{5cm}p{5cm}}
\includegraphics[height=4...
...udegraphics[width=4.8cm,height=4.0cm]{12188fg80.ps}\\
\end{tabular}\end{figure}](/articles/aa/full_html/2009/43/aa12188-09/Timg67.png)