| Issue |
A&A
Volume 507, Number 1, November III 2009
|
|
|---|---|---|
| Page(s) | 195 - 208 | |
| Section | Extragalactic astronomy | |
| DOI | https://doi.org/10.1051/0004-6361/200912626 | |
| Published online | 03 September 2009 | |
A&A 507, 195-208 (2009)
Deep U-B-V
imaging of the Lockman Hole with the LBT![[*]](/icons/foot_motif.png)
Observations and number counts
E. Rovilos1 - V. Burwitz1 - G. Szokoly1,2 - G. Hasinger3 - E. Egami4 - N. Bouché1 - S. Berta1 - M. Salvato3,5 - D. Lutz1 - R. Genzel1
1 - Max Planck Institut für extraterrestrische Physik,
Giessenbachstraße, 85748 Garching, Germany
2 - Institute of Physics, Eötvös University, Pázmány P. s. 1/A, 1117
Budapest, Hungary
3 - Max Planck Institut für Plasmaphysik, Boltzmannstraße 2, 85748,
Garching, Germany
4 - Steward Observatory, University of Arizona, 933 North Cherry
Avenue, Tucson, AZ 85721, USA
5 - California Institute of Technology, MC 205-24, 1200 East California
Boulevard, Pasadena, CA 91125, USA
Received 3 June 2009 / Accepted 25 August 2009
Abstract
We used the large binocular camera (LBC) mounted on the large binocular
telescope (LBT) to observe the Lockman Hole in the U,
B, and V bands. Our observations
cover an area of 925 arcmin2. We
reached depths of 26.7, 26.3, and 26.3 mag(AB) in the three
bands, respectively, in terms of 50% source detection efficiency,
making this survey the deepest U-band survey and
one of the deepest B and V band
surveys with respect to its covered area. We extracted a large number
of sources (
89 000),
detected in all three bands and examined their surface density,
comparing it with models of galaxy evolution. We find good agreement
with previous claims of a steep faint-end slope of the luminosity
functions, caused by late-type and irregular galaxies at z>1.5.
A population of dwarf star-forming galaxies at 1.5<z<2.5
is needed to explain the U-band number counts. We
also find evidence of strong supernova feedback at high redshift. This
survey is complementary to the r, i,
and z Lockman Hole survey conducted with the Subaru
telescope and provides the essential wavelength coverage to derive
photometric redshifts and select different types of sources from the
Lockman Hole for further study.
Key words: surveys - galaxies: photometry
1 Introduction
The formation and evolution of cosmic structures, such as galaxies, clusters, and the large-scale structure, are some of the most important issues in modern astrophysics. According to hierarchical models, initial fluctuations of the dark matter mass density develop to form galaxies, clusters, and the cosmic web. Such processes leave their footprints in different regimes of the electromagnetic spectrum, and assembling statistically significant samples of extragalactic objects at different wavelengths can give valuable information on the various processes involved in the evolution of the universe.
A very valuable tool for constructing such samples is deep ``blind'' surveys, where a region in the sky with no bright sources is observed with a long integration time. Optical surveys are very important in this context, as they are able to provide the densest fields in terms of detected sources and serve as ``anchor points'' for the multi-wavelength coverage. After a multi-wavelength coverage has been achieved, one could apply photometric redshift techniques (e.g. Benítez 2000; Bolzonella et al. 2000; Ilbert et al. 2009) to examine the luminosities of the various sources or select source samples for spectroscopy.
Notable results have been reported in various fields of
extragalactic
astrophysics using blind deep surveys. Combining imaging and
spectroscopic surveys at different regimes of the spectrum, different
groups
have been able to derive the star formation (e.g. Hopkins 2004)
and
accretion histories (e.g. Ueda
et al. 2003) of the universe and examine their
co-evolution (Vollmer
et al. 2008; Somerville
et al. 2008).
From optical imaging and photometry
alone, one can use the information in the number count of the detected
sources
to test the geometry and evolutionary models of the universe. For
example,
Eucledian geometry would result in a constant slope of 0.6 in the
galaxy
number counts with respect to their magnitudes, but this has been ruled
out
from early results in this direction (e.g. Gardner
et al. 1993). Measuring
the number counts in different wavebands, it is evident that simple
geometric
models invoking a ``deceleration parameter'' (q)
could not give good fits and
some kind of evolution has to be taken into account (Metcalfe
et al. 1991).
This effect is more severe in blue colours in the form of excess counts
at
fainter magnitudes and it is widely known as the ``faint blue galaxy
problem''.
With high resolution observations using the HST, Driver
et al. (1995)
demonstrate that the sources responsible for the faint counts have
late-type and
irregular morphologies; adding a population of
dwarf star-forming
galaxies (Metcalfe
et al.
1995) gives a reasonable fit to the blue number counts
data. These galaxies contribute to the star formation at redshifts
and are
merged or simply have evolved to non activity locally.
Support for this scenario comes from the study of the (blue)
luminosity
functions of different kinds of objects at different redshifts.
Ilbert
et al. (2005)
find that bluer luminosity functions show evidence of
more rapid evolution with redshift than redder ones, and later spectral
types
and bluer colours seem to play a more important role in it
(Willmer
et al. 2006; Zucca
et al. 2006).
However, small evolution of the disc
population to
is observed by Ilbert
et al. (2006), but the strong
evolution of bulge-dominated systems could be attributed to a dwarf
galaxy
population (see also Im et al.
2001). The study luminosity function is
limited to relatively bright objects as it is based on redshifts. A
number
count distribution can probe fainter objects and give an approximation
on
the faint-end slope (Barro
et al. 2009) of the LF and help distinguish between
different results (see comparisons in Ilbert
et al. 2005, and
Zucca
et al. 2006).
In this paper we present deep U-B-V
band observations
of the Lockman Hole with the corresponding number counts to
27.5 mag(AB).
2 The Lockman Hole multi-wavelength survey
The Lockman Hole is a region with minimal galactic absorption
(
,
Lockman
et al. 1986)
and the absolute minimum of infrared cirrus emission in the sky.
Its position in the northern sky (
,
)
makes it an ideal location for deep
surveys. Indeed it has a large multi-wavelength coverage spanning from
X-rays to meter-wavelength radio. In X-rays it has been observed with
the
ROSAT satellite (Hasinger
et al. 1998) and more recently with XMM
(Brunner
et al. 2008; Hasinger
et al. 2001),
reaching a depth of
in
the 0.5-2.0 keV
band. In the
ultra-violet it has been observed by GALEX (Martin
et al. 2005) as one of
its deep fields, with the data being publically available. In the near
infrared (J and K bands) it is a
part of the UKIDSS ultra deep survey
(Lawrence
et al. 2007)
reaching
(AB).
In infrared wavelengths it was
observed by ISO using both ISOPHOT and ISOCAM
(Kawara
et al. 2004; Rodighiero
et al. 2004;
Fadda
et al. 2004) and more recently there have been
observations with Spitzer-IRAC (Huang
et al. 2004) and
Spitzer MIPS (Egami et al.
2008). The Lockman Hole is also part of
the SWIRE survey (Lonsdale
et al. 2003), observed with both IRAC and MIPS and
covering a much wider (but shallower) area.
There have been a number of millimeter-sub-mm observations of the
Lockman
Hole, namely with the JCMT-SCUBA (Coppin
et al. 2006), JCMT-AzTEC
(Scott et al.
2006),
IRAM-MAMBO (Greve et al.
2004),
and CSO-Bolocam
(Laurent
et al. 2005).
In the radio regime, the Lockman Hole has been observed
with the VLA, both in 5 and in 1.4 GHz (Ivison
et al. 2002; Ciliegi
et al. 2003; Biggs
& Ivison 2006)
and with MERLIN in 1.4 GHz (Biggs
& Ivison 2008). Finally, in meter-wavelengths
it was targeted by the GMRT (Garn
et al. 2008).
In this work we present the results of an imaging campaign of the Lockman Hole in the optical. We have used the LBT to obtain deep U, B, and V images. The ``red'' part of the optical imaging campaign has been conducted with the Subaru telescope (in the r, i, and z bands) and will be presented by Szokoly et al. (in preparation).
3 Observations
The observations were made with the large binocular camera
(LBC, Giallongo
et al.
2008) of the large binocular telescope (LBT) on Mount
Graham, Arizona.
The LBT has two 8.4 m mirrors on a common mount and both of
them are
equipped with a prime focus camera. Both LBCs contain four CCD chips
with
pixels each. Three
chips are aligned parallel to each other
while the fourth is tilted by 90 degrees and located above them.
This provides a
arcmin
field of view with a sampling of
0.23 arcsec/pixel.
The gaps between the CCDs are 945 nm wide, which corresponds
to 18 arcsec,
thus a 5-point circular dither pattern with a diameter of
30 arcsec was
chosen to provide good coverage over the whole area.
Both cameras have an 8 position filter wheel each, and together a total of 13 filters are available, covering a range from the ultraviolet to the near-infrared. For the U-band Lockman Hole imaging we used the special LBT U-band filter (see Fig. 1) which has a more uniform coverage and better efficiency than the standard U-Bessel. For the other images we used the standard B-Bessel and V-Bessel filters.
|
Figure 1: Transmission curves of the filters used (U-spec - B-Bessel - V-Bessel) are shown by continuous lines. The dotted line represents the U-Bessel filter available on the LBC. We have chosen the U-spec filter for the U-band on grounds of its better efficiency and more uniform spectral coverage. These curves represent the filters' responses without accounting for the detectors' responses or the atmosphere. The detectors' responses are slightly different for the two arms of the telescope which might have an effect in the V-band. |
| Open with DEXTER | |
The Lockman Hole was observed in March, April and May 2007 during
science demonstration time (SDT; PI: E. Egami), when only the camera on
the
``blue'' channel of the telescope was available, and in 2008 and 2009
during
LBTB (German institutes') time (PI: G. Hasinger) with both cameras
available in ``binocular'' mode.
We have chosen 2 different pointings as centres of the image,
corresponding
to the VLA (
,
,
Ivison
et al. 2002)
and the XMM
(
,
,
Hasinger
et al. 2001)
pointings. These are separated by 8.6 arcmin, so there is a
large area of
overlap, where our images have
the highest sensitivity. During the science demonstration time the
observing
time was split in half between XMM and VLA exposures and during the
LBTB
time we concentrated on the XMM area.
The total time spent on the Lockman Hole was 36.8 h which are distributed among the various filters using both channels (when available) as described in Table 1. The exposure time for each observation was 360 s initially, but it was reduced to 180 s for later observing runs (May 2008 onwards), after discovering a large number of saturated sources and limited source tracking efficiency of the telescope for long exposures. The effective exposure time however is less, as observational problems such as high altitude cirrus clouds or bad seeing diminish the quality of certain images which were not used for creating the final stacks. As seen from Table 1 the time efficiency of the three bands is in the order of 65%.
We should note here that the V-band observations were taken using both the blue and the red arms of the telescope. The blue arm was used during SDT, and the red during LBTB time. Although the response curves of the two V-band filters are identical, the quantum efficiencies of the detectors are slightly different. For the analysis presented in this paper this effect is not significant and we merge the two (Vb and Vr) images to achieve greater depth. However in more detailed studies, one should treat the Vb and Vrimages separately.
Table 1: Details of the observing runs (time is in minutes).
4 Data reduction
For the reduction of the data we have primarily used IRAF routines included in the mscred package, which is designed to reduce mosaic data.
4.1 Initial calibration
Initial corrections to remove the ``pedestal'' level of each chip have been carried out using the overscan regions. We have found that the level of the corrections varies significantly (up to 5%) with the column of the chip and therefore we fitted an 8-order Legendre polynomial to it. Residual errors (possibly row-dependent) have been corrected using bias frames taken at the beginning and end of each night with zero integration time.
Flat corrections have been made using sky flat frames taken at either dusk or dawn (or both) for each filter at each arm of the telescope separately. A master flat has been created for each night, filter, and arm. We divided the bias-corrected images with their respective flat fields and noticed that the outer edges of the fourth chip, corresponding to the outer edges of the field of view were extremely noisy, possibly due to poor illumination. We flagged them as bad regions.
After flat-fielding, we corrected the images for bad pixels. These include columns of the CCD with non linear response or dust on the CCD surface. Bad pixel masks are created and the correction has been made by interpolating the values of neighboring pixels. Note that because of the absence of neighboring pixels on the edges of the field of view, these areas are not corrected and are simply not taken into account for the final stages when the images are stacked.
Finally, there are some bright sources in the field which saturate the response of the CCD. In the most severe cases the flux is so high that the current affects the neighboring pixels, leaving ``bleeding trails''. This has a significant effect to the B and V images and therefore these regions have been identified and masked out.
4.2 Astrometry
Before dealing with the (arcsecond-scale) astrometric errors, we correct each image for an initial offset, in the order of several arseconds, caused by the telescope's pointing inaccuracy. We use the brightest (r<19) sources from the USNO-A2 (Monet 1998) catalogue to correct for this offset. This is done by simply updating the wcs header of each file to match the coordinates of the catalogue stars.
After having done that, we need to correct for the true astrometric errors caused by the camera distortion. For this purpose we do not use the USNO catalogue of the brightest stars, as proper motions could have an effect in the solutions we derive. We use an astrometry corrected catalogue of the Lockman Hole, which includes sources brighter than V=19. This is based on observations made with the Canada-France-Hawaii Telescope (CFHT, e.g. Wilson et al. 2001) and the data reduction details are in Kaiser et al. (1999). The absolute astrometry of this catalogue is based on USNO-A2 which claimed accuracy is 0.25 arcsec (Monet 1998).
To apply detailed astrometrical solutions we deal with each
chip separately in order to avoid fitting for jumps between the chips.
We first
apply a distortion pattern which we empirically derived by correcting a
random
image and then fit a 4-order polynomial to each direction of each chip.
The
final rms scatter we get is in the order of 0.2 arcsec. An
example of the
astrometrical solutions applied (after correcting for the overall
pointing
offset) is given in Fig. 2. To
measure
the final astrometrical accuracy,
we compare our LBT images with the USNO-A2 catalogue (see
Fig. 3)
and with others, such as USNO-B1, APM (Irwin
et al. 1994),
SWIRE-IRAC(3.2
m)
(Lonsdale
et al. 2003)
and L-band VLA (Biggs
&
Ivison 2006).
Their positions typically agree within 0.4 arcsec and the
typical standard
deviation is 0.45 arcsec, which is the value we assume to be
our final
astrometric accuracy. The relative astrometry of the U-B-V
images based on the
positions of bright (<24 mag) and realtively compact (FWHM<1.5 arcsec)
sources has a standard deviation of 0.066
.
|
Figure 2:
Astrometrical solutions applied to an exposure image of 11 June 2007 (U-band).
The image has been bias and flat calibrated but no astrometrical
solution has been applied. The arrows represent the shifts to the
calibration sources exaggerated 8 times. To compensate for the
distortion we dealt with each chip separately and after applying an
initial shift we fitted a 4th order polynomial to the corrections. The
corrected images have an rms scatter of |
| Open with DEXTER | |
4.3 Background subtraction
The final step is to subtract the sky background. After having
flattened the
images and having corrected for field distortions (without preserving
the
flux of each pixel) the sky background is uniform within a good
approximation.
To subtract it we fragment the image to a grid constructed of
pixel
wide meshes and smooth each mesh by a median filter with a
pixel
kernel
using sextractor (Bertin &
Arnouts 1996).
We chose this method over fitting a function to the
background because it gives better results in the vicinity of bright
stars in
the sense that it does not over-correct the background.
|
Figure 3:
Final astrometry check using the USNO-A2 catalogue. The left
panel shows the RA and Dec differences
between the LBT and USNO counterparts. The (Gaussian) fits to the
respective histograms have |
| Open with DEXTER | |
|
Figure 4:
Final U-band image and corresponding exposure map.
The image covers both the XMM and the VLA fields, which are marked with
10 |
| Open with DEXTER | |
After having subtracted the background, we re-project the four chips of
each
image to a common frame, applying the complex astrometrical solutions.
By
doing that we get rid of complex headers and multiple frame images. We
use
the same reference image to re-project all images in all filters.
Finally,
after removing any bad images due to poor observing conditions or other
problems, we stack all the images (weighted according to their exposure
times) to produce the U, B, and
V maps of the Lockman Hole. An example image
(in the U band) and its corresponding exposure map
is shown in Fig. 4.
The regions mark the deep VLA and XMM surveys with 10
radii, which are their typical widths.
4.4 Flux calibration
For the B and V filters we rely on flux-calibrated images of the Lockman Hole taken with the Calar Alto Telescope (see Wilson et al. 2001; Kaiser et al. 1999). We select point-like sources which are not saturated in any of the images and conduct aperture photometry. We compare the results and derive zero-point magnitudes for our final images. We do not find evidence for a gradient across the image.
As there are no sources with known magnitudes in the U-spec
band, we had to
rely on U-Bessel standards to derive the zero-point
offsets. We used the
observations of June 11, 2007 when standard stars are observed with
both
the U-Bessel and the U-spec
filters. We have applied the same calibration
(bias subtraction and flat fielding) using the same bias and flat-field
images
to all the target
and standard star frames and did not perform any astrometric
corrections nor
we combined the calibrated files. We measured the observed magnitudes
of four
standard stars without applying any zero-point offsets and found a
difference
of
0.67 mag.
We attribute this difference to the higher
efficiency of the U-spec filter, as the spectral
profiles are similar.
We then calculate the zero-point offset for the U-Bessel
filter using the
equation:
where
To calculate the U-spec zero-point offset we shift
the value of the U-Bessel
offset by the mean measured magnitude difference of the standard stars.
This
is the equivalent of assuming that the standard stars have the same
magnitudes
in the U-spec and U-Bessel
filters. The central wavelengths and widths of
the two filters are very similar, so such an assumption does not affect
the
result in great extent. We find:
.
To calculate the zero-point offset of the final image, where
as a result of
rescaling of the individual images and combining them the connection to
the
original gains has been lost, we use the number mentioned in the
previous
paragraph to derive the magnitudes of Lockman Hole sources using the
raw
images. For this purpose we selected 43 non
saturated sources with almost Gaussian profiles which are observed with
the
second chip of the mosaic, as the standard stars. We use these 43
sources to
measure the zero-point magnitude of the final combined image. We derive
and
do not find any evidence for a gradient in any
direction of the image. The magnitudes of the standard stars are given
in the
Landolt photometric system (Landolt
1992) which is based on Vega
magnitudes. We use U-Bessel AB correction
calculated during the commissioning
time (0.87), so our final zero-point offset for the U
band is:
.
Detailed information on the three (U-B-V) final images can be found in Table 2.
Table
2:
Flux calibration, quality and source extraction information
of the images.
5 Results
5.1 Source catalogues
The source detection has been done independently in each of the U-B-V
images
using sextractor. Sources are identified as regions where 12 or more
adjacent
pixels have values above 1.2 times the local background rms.
The algorithm
first subtracts the background which is fitted by segmenting the image
with a
grid. If the grid is too fine, a fraction of the flux of the sources
will be
subtracted as background and this will be more severe for extended
sources.
On the other hand, a very large mesh will fail to subtract the
background
near very bright objects, where stray light contaminates the image, so
the
source extraction will fail in these areas. To overcome these issues we
ran
sextractor in two steps: first we used a very fine grid (with a
pixel
mesh) to subtract the background and created a ``source detection''
image. We then re-run sextractor in dual mode using this image to
detect
the sources but measure their fluxes from the original image, where the
background is subtracted using a
pixel
mesh.
|
Figure 5: Apertures of extracted sources in the U image. The upper panel shows the ``dual mode'' results and the lower the ``single mode'' (see text). Note that the detection efficiency near the bright object as, the deblending efficiency and the apertures of faint sources are much better in ``dual mode'', but the apertures of bright objects are more reasonable in ``single mode''. |
| Open with DEXTER | |
Finally, in order to avoid spurious detections, we remove from our catalogues sources whose isophotal flux errors are larger than the fluxes and therefore do not have reliable photometry and sources whose FWHM is less than 90% of the seeing of each image (1.06, 0.94, and 1.03 arcsec for the U, B, and Vimages respectively) and are related with imaging artifacts. We also optically inspect the remaining sources and remove obvious false detections related with bad pixels, dust on the CCDs, bleeding trails etc as well as saturated sources. The final U, B, and V catalogues contain 51 500, 76 071, and 68 278 sources respectively.
In order to estimate the detection limits of our catalogues we plot the flux error against the flux of each detected source (see Fig. 6). We do this because we used a more complex selection algorithm to extract sources than a simple signal-to-noise cut. The dashed lines in Fig. 6 represent signal-to-noise ratios of 1, 2, and 3 from left to right and the red line the (empirical) ``detection limit''. We notice that the faintest sources tend to be closer to this limit and this is a result of them being point-like. The resulting detection threshold magnitudes and signal-to-noise ratios (see Table 2) are not detection limits in the sense that sources with fluxes (or SNRs) above these limits are detected, they are indicative of the sensitivity of the survey representing the lowest flux (and respective SNR) of securely detected sources. They also provide no information on the completeness of the survey at a given flux (or SNR), nor an estimation of the chance of a spurious detection. Such an analysis is described in Sect. 5.3.
| Figure 6:
Flux error versus flux diagrams for source detections in the U,
B, and V filters. The
zero-point magnitudes for the three filters are
|
|
| Open with DEXTER | |
5.2 Colours
To create colour catalogues of the various sources detected in the U, B, and V images, one could simply cross-correlate the three source catalogues described in the previous paragraphs and compare the fluxes in the different bands. This however would introduce an uncertainty on the choice of the best counterpart and moreover the deblending efficiency of sextractor varies between the different images, so a source in one catalogue might be blended with a close pair in another or vice-versa. Therefore we chose to select one image to extract the sources and then measure their fluxes using the other images in dual mode.
|
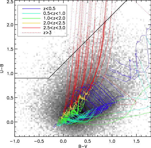
Figure 7:
Optical colours of the Lockman hole sources in the AB system. The
greyscale represents the density of sources detected in all three bands
are plotted. The black line marks the selection area of U-dropout
sources with redshift |
| Open with DEXTER | |
We make the source detection on a combined image of the three bands,
the
-image. The
PSFs of the three images we combine do not have significant
differences; the worse PSF (U-band) is only 6%
larger than the best (B-band),
therefore we do not lose in quality when combining the images as
compared to
using the best PSF image and we gain in S/N. We follow the recipe of
Szalay
et al. (1999)
to create the
-image:
after carefully removing any
residual background of each image (using the ``-BACKGROUND'' checkimage
option
of sextractor) we fit the off-source pixel histogram with a Gaussian,
checking
that the noise profile is indeed Gaussian. We then scale the three
images
according to their noise amplitudes and we create the
-image,
which is
the square root of the sum of the squares of the individual pixel
values.
We then extract the sources from the combined image using the method
described
in the previous paragraph and measure the fluxes in the individual U-B-Vimages.
Again, we consider a detection real if its FWHM is >
of the
PSF FWHM of the best individual image (0.85 arcsec). The final
colour
catalogue contains 88429 with detections in all three bands.
A colour-colour (U-B vs. B-V)
diagram of the Lockman Hole sources is
shown in Fig. 7.
The greyscale represents the density of sources
detected in all three bands and the black lines mark the selection area
of
objects. We
also calculate the colours of different
galaxy SED templates from Coleman
et al. (1980) and a QSO template from
Cristiani
& Vio (1990).
The galaxy templates are extrapolated to the Lyman
break (911.25 Å) and are zeroed thereafter. The Lyman break
meets the blue
end of the U filter at z=2.5 and this is the
highest redshift where the
colour tracks are reliable (solid lines). The dotted lines (z>2.5)
are
shown as an approximation of the colours of high redshift galaxies.
|
Figure 8: Detection efficiency histograms of the source detection algorithm used, derived from simulations. The blue lines represent the smoothed efficiencies used to correct the surface density distributions. The red histograms are the estimates of the fraction of detections which are spurious, using the artificial noise images. |
| Open with DEXTER | |
5.3 Number counts
In order to derive the differential number counts of extragalactic
sources in the U, B, and V
bands, we select a region in the centre of
the field with uniform exposure within a good approximation. This
region
has a size of
arcmin
and is located in the area where the
XMM and VLA observations overlap.
The first step in calculating number counts is to estimate the source extracting efficiency at a given magnitude. The way to do it is to create an image with artificial sources of known magnitudes and to apply the same source extracting procedure as applied to the image, and measure the fraction of the sources recovered. We use the artdata package in IRAF to create lists of artificial sources. They contain sources with a uniform spatial distribution and magnitudes ranging from 16 to 29 following a power-law distribution with a power of 0.5. The surface brightness profiles are exponential discs (resembling spirals) and r-1/4 discs, resembling ellipticals. The fraction of elliptical galaxies in the random catalogues is 20% (see van den Bergh 2001). Here, we caution that adding a large number of artificial sources in the image might change its crowding properties, however we need a large sample of sources for reliable statistics. To avoid confusion, we create a list of 100 000 sources and split it to 100 1000-source samples.
We plant these sources into the cutouts of the final images
and apply the
same source extracting algorithm we used to create the source
catalogues.
We then measure the fraction of the artificial catalogue we retrieve,
hence the efficiency of the source detecting method at any given
magnitude
and average the results of the 100 subsamples. Increasing the number of
sources of each subsample we get similar results up to the point where
the
number of sources is comparable to the number of ``real'' sources in
the
region (
10 000).
The results for all three bands are shown in Fig. 8.
This method has the drawback that the artificial sources are mixed with
real
sources, and so there is no way of knowing whether a detected source is
real
or an artifact. The surface density of sources with magnitude (at any
band)
<27 is close to
,
which means that there is a
10%
probability that a real source is within 1.5 arcsec of a
random
position.
To measure the spurious source detection rate we measure the off-source noise of the science images and check that the noise profile is Gaussian. We then create Gaussian noise maps of the same amplitude and insert the artificial sources there. In this case it is desirable to reproduce the crowding of the original field, so we include a large number of artificial sources (30 000), which is the number of sources with magnitude <29 we expect in this field. The source extraction output to these composite images provides the information of the spurious detection rate, plotted with the red lines in Fig. 8. We can see that the number of spurious sources is negligible below 26.5 mag and starts becoming important above 28.0 mag, where the efficiency drops to practically unusable values. From these diagrams we can also derive the magnitude where the detecting efficiency drops below 0.5, which is a meaningful measure of the detection threshold of the image. This threshold is 26.7 mag(AB), 26.3 mag(AB), and 26.3 mag(AB) for the U, B, and V bands respectively.
|
Figure 9: U-band surface density distribution corrected for efficiency and spurious detections. The data points of this study (seen in Table 4) are plotted in red dots, while various symbols represent the results of other surveys found in the literature (see Table 3), corrected to AB magnitudes. The inner plot shows the depth of each survey (in terms of secure number count measurements) with respect to its width. |
| Open with DEXTER | |
|
Figure 10: Same as Fig. 9 but for the B-band. |
| Open with DEXTER | |
|
Figure 11: Same as Fig. 9 but for the V-band. |
| Open with DEXTER | |
Table 3: Number counts data found in the literature. The symbols noted are used in Figs. 9-11. A ``d-'' prefix before the instrument symbolizes digitization of photographic plates.
Table 4: Differential number counts (in 0.5 mag bins), uncertainties and source detections efficiencies for each magnitude bin of galaxies in the U, B, and V bands.
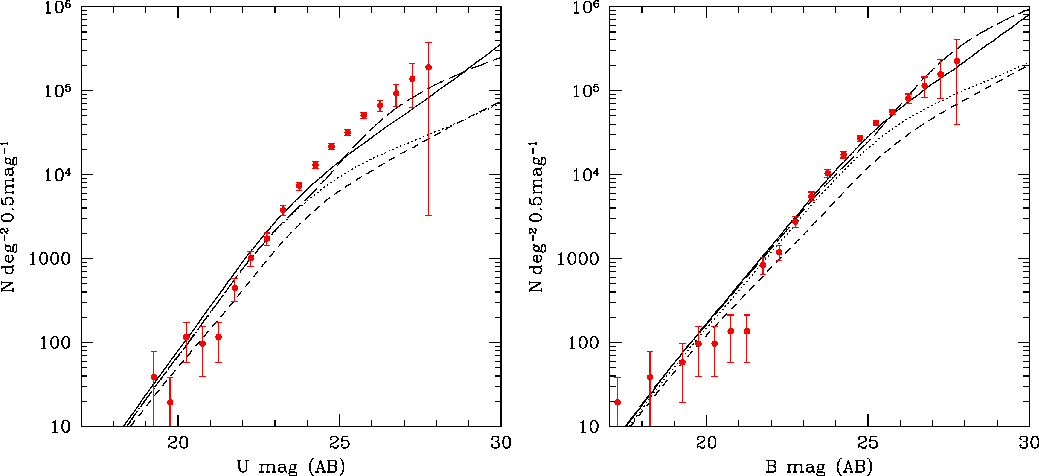
Figures 9-11 show the surface density distributions for the three bands observed. Data points of other studies found in the literature (see Table 3) are also plotted. We have binned the magnitudes of the observed sources in bins of 0.5 mag. For each bin we corrected the source counts using the efficiency and spurious detection information. As we are interested in galaxy counts, we need a selection mechanism for stellar sources, and as such we use the ``stellarity index'' of sextractor. This estimate works well for bright sources, but because fainter galaxies can appear point-like it fails for larger magnitudes. As a limiting magnitude we choose 21.5(AB). Below this limit the stellar counts are anyway negligible with respect to the number of galaxies (see e.g. Jarrett et al. 1994). The error bars take into account Poisson uncertainties of the uncorrected counts, efficiency uncertainties and cosmic variance. For the latter we use the computational tool of Trenti & Stiavelli (2008), which compares the two-point correlation function of dark matter with the volume of the survey. As a typical redshift for our survey we use z=1 (see also Sect. 6.1), though using a different value in the range 0.5-2.5 does not change the result in great extent. We find that the cosmic variance uncertainty is important for bright magnitudes (typically <25.5) where the number of intrinsic objects is relatively small. For fainter magnitudes the efficiency uncertainties dominate. As an estimation of those we choose the mean efficiency difference between the bin in question and its neighboring bins. This way we account for the effects of binning, in other words the different efficiencies the magnitudes within each bin have.
The surface density data can be seen in Table 4. We compare them with the results of various other studies (Figs. 9-11, Table 3) and we are in good agreement. The small diagrams of Figs. 9-11 plot the depth reached by each survey presented with respect to its covered area (the various surveys used to create these figures are presented in Table 3). The LBT survey presented here is the deepest one in the Uband ever conducted in such a large area and among the deepest in the B and V bands. Significantly lower limits have been achieved only with the Hubble Space Telescope in pencil-beam surveys (HDF-N and HDF-S), and these are highly sensitive to cosmic variance (see Somerville et al. 2004). Comparing or results with those from surveys of similar widths (made with the LBT and the Subaru telescope) we find very good agreement.
6 Discussion
6.1 Number counts
The models compiled by Metcalfe
et al. (1996) and Metcalfe
et al. (2001)
(normalized to 18 mag using all data available in the
bibliography) are
plotted against our measurements for the U and B
bands in Fig. 13.
We plot here three of the models presented in
Metcalfe
et al. (1996)
and Metcalfe
et al.
(2001).
The short-dashed lines represent the pure luminosity evolution model,
the
long-dashed line the same model with the inclusion of a population of
star-forming dwarf galaxies, which is the best-fit model in
Metcalfe
et al. (1996)
and the solid line is the same pure luminosity evolution
model with a modification of the faint-end slope of the luminosity
functions
of late-type spirals (
instead of
), used to
fit
the multi-colour data of Metcalfe
et al. (2001). We find very good agreement
with the
model in the B-band, although the U-band
counts are
under-predicted by all models. However, the faint-end slope of the U-band
counts does seem to support a steepening of the faint-end slope of the
LF.
Barro
et al. (2009)
have shown that the slope of the number count distribution
assymptotically reaches
,
where
is the faint-end
slope of the luminosty function if parametrized by a Schechter
function.
Measuring the slopes of the number counts using the five faintest
points
of each distribution, we calculate the faint-end slopes of the
respective
luminosity functions:
,
,
.
We note that the assumed steep LF faint end slope
is in good agreement with the number count distributions of the U
and B bands,
whereas the V band points to a LF with
(see Metcalfe
et al. 2001).
At this point it is useful to have a notion about the type of
galaxies that
are best represented in our sample and their redshifts. A valuable tool
in
this direction is the colour distribution; Fig. 7 shows the
colour plot of the Lockman Hole sources with tracks of templates of
different
types of galaxies. We note that the spiral (Sbc-Scd) and irregular
tracks lie
closer to the bulk of observed colours. The metallicity and extinction
properties of
a galaxy can have a severe effect in its optical colours. For that
reason we
reproduce Fig. 7
with a set of SED templates which have varying
stellar ages, metallicities and extinctions, calculated with the
GISSEL98
code (Bruzual &
Charlot 1993).
The results are presented in Fig. 12,
where the colour tracks are colour-coded with respect to the redshift.
The
distribution of sources is well reproduced and we can see that the
redshift
range most represented is
.
Moreover, the bulk of the colour
distribution is represented by spiral and irregular tracks, while the
ellipticals account for colours redder than B-V=1.
|
Figure 12:
The same plot as Fig. 7,
but with with SEDs created with the GISSEL98 code (Bruzual &
Charlot 1993)
with different metallicity and extinction properties (see Bolzonella
et al. 2000).
We use elliptical, irregular and spiral tracks, colour-coded with
redshift ranges. The bulk of the distribution is reproduced with spiral
and irregular tracks at redshift 0.5<z<2.5.
The |
| Open with DEXTER | |
The galaxy types and redshift probed by our survey are compatible with
the
``steep faint end slope'' model of Metcalfe
et al. (2001) and the slopes are
also in good agreement. Therefore, there is no need to invoke a dwarf
galaxy
population to assist the sources which cause the steepening of the
faint end
slope, in order to reproduce the B-band data. The U-band
counts on the other
hand are underestimated by the ``steep faint end slope'' model,
although
the slope itself agrees. In this case a dwarf galaxy population would
assist
in incrasing the U-band number counts. It would be
however challenging, as
such a population is required to affect the U-band
leaving the B-band unchanged.
The Ly-
line falls into the U wavelength range at a
redshift of
z=2, so a population if highly ionized Ly-
emitters is a good
candidate. However, at z=2.5 the blue filter would
also be affected, which
leaves a narrow redshift window for this hypothetical population. An
implication of this scenario is a sizeable decrease in the star
formation rate
between z=2 and z=2.5. Reddy et al.
(2008)
find an increase in the star
formation rate density between
and
,
which is reflected in
the UV luminosity density, and more specifically in the number density
of
faint (
)
UV-emitting galaxies.
A steepening of the faint end slope of the (B-band)
luminosity function is
already evident since the first computation of its values at redshifts z>0(Lilly et al.
1995).
These authors find that the slope increases with redshift
(out to z=1.3) and that this is an effect caused by
galaxies with blue
optical colours, while the LF of red galaxies shows minimal change in
its
fitted parameters. This result is backed up by more recent studies
(Willmer
et al. 2006; Arnouts
et al. 2005; Prescott
et al. 2009; Gabasch
et al. 2004; Ilbert
et al. 2005) and the general trend
is that the not only blue galaxies' LFs evolve more with redshift than
those
of redder colours, their faint end slopes are steeper as well. In cases
where
the LFs are computed with respect to the galaxy type
(Zucca
et al. 2006; Ilbert
et al. 2006),
little (if any) evolution of the faint end slope
is found for each galaxy type, while the slope is different for each
type,
the sttepest beeing in irregulars (Zucca
et al. 2006) or blue-bulge galaxies
(Ilbert
et al. 2006).
There is however significant change in the normalization
and the value of
(the characteristic Schechter luminosity), which
is interpreted as an increase in the fraction of irregular and
late-type
galaxies with redshift. The steep faint-end slope we find in the U
and B bands
(
)
agrees with the values fitted for irregular galaxies
by Zucca
et al. (2006)
and is even a bit too flat compared to the value assumed
by Ilbert
et al. (2005)
for the blue-bulge population (their
).
Given that in this survey the dominant population, especially at faint
magnitudes, is spirals and irregulars at non-local redshifts, we
support these
steep faint-end slopes. The sources responsible for the steep slopes
are
activly star forming and are good candidates for the ``blue dwarf''
population. Driver
et al.
(1995) assume that this population consists of
sources with late-type and irregular morphologies; Ilbert
et al. (2006)
state
that the ``blue bulge'' population could be a population of actively
star-forming galaxies, where the starburst region has bulge-like
morphological
characteristics, like the ``blue spheroid'' galaxy sample of Im et al. (2001).
|
Figure 13: Measured surface densities in the U and B band (red points), plotted with evolution models from Metcalfe et al. (1996) and Metcalfe et al. (2001). The short-dashed lines represent the pure luminosity evolution model, the long-dashed lines the same model with the inclusion of a population of star-forming dwarf galaxies, and the solid lines the same pure luminosity evolution model with a steep faint-end slope of the luminosity function. The latter is in very good agreement with the B-band counts, while the U-band counts are under-predicted by all models. |
| Open with DEXTER | |
An issue that still needs to be addressed is the flattening of the
number
counts slope in the V-band. A mechanism that
affects the faint-end slope
is supernova feedback, which is caused by the heating of the
interstellar
medium through supernova exposions. Nagashima
et al. (2005) have modelled
galaxy formation taking this effect into account. Their predictions for
the
number counts using strong or weak feedback (parametrized by the
time-scale
in which supernova explosions reheat the cold interstellar gas) differ
in the
faint slope with minimal impact on the normalization
(see Fig. 18 in Nagashima
et al. 2005). Figure 14
plots
the B and V-band number counts
predictions of Nagashima
et al. (2005) with
our data-points; the solid and dashed lines refer to strong and weak
feedback respectively. While both predictions seem to overestimate the
observed number counts at faint fluxes, the faint end slope of the weak
feedback prediction is in good agreement with the data for the B-band,
while
the V-band slope is better interpreted with the
strong feedback model. A
possible explanation is that the V-band probes the
same rest frame wavelength
at higher redshift. If we assume that star formation is the dominant
mechanism
producing near-UV light (where the rest-frame B and
V bands are at
redshift z>1.5) the V-band
probes higher redshifts than the B-band. There
is evidence that the UV luminosity function has a steeper faint end
slope
at
(
,
Reddy
et al. 2008)
than at
(
,
Steidel
et al. 1999).
In this case,
starburst feedback would be stronger at higher redshift, in line with
our data.
So, enhanced SFR at z>1.5 could cause the
flattening of the V-band faint slope.
|
Figure 14: Measured surface densities in the B and V band (red points), plotted with number counts from the simulations of Nagashima et al. (2005). The solid and dashed lines represent the strong and weak supernova feedback cases respectively. The faint end slope of the weak feedback model is in better agreement with the B-band data, while the the strong feedback model is in better agreement with the V-band data. |
| Open with DEXTER | |
6.2 Colour selection
To be able to test evolutionary models of galaxies in a greater extent
one
needs to have information of the redshifts of the various objects found
in
a ``blind'' survey. However, even with the largest telescopes available
it is
practically impossible to have complete samples beyond
and use the
full capacity of photometric surveys.
Moreover, the selection of targets for spectroscopy at such faint
limits is
hard because their redshift range is so large that it makes it
impossible to
get meaningful spectra without pre-selecting the targets according to
their
redshift range. A way to overcome this barrier is to use
the photometric redshift
technique, where the SED of each source is compared with known SED
templates
to derive an estimate of the redshift. Although the accuracy of this
method
is limited so it cannot be used for e.g. spatial clustering studies it
can
be very useful in deriving luminosities or selecting objects in
different
redshift ranges. Given the extensive spectral coverage of the Lockman
Hole
it is possible to calculate photometric redshifts for a large number of
galaxies. Details about the Lockman Hole photo-z survey will be given
in a
subsequent paper.
The drawback of the photometric redshift technique is that it
requires the
detection of the source in a large number of bands spanning from the
near
ultraviolet to the infrared. It is however possible to select sources
within
a redshift range using the ``dropout'' technique (e.g. Steidel
et al. 2003).
This technique is used to detect the Lyman break in the spectra of
galaxies
when it is redshifted between two of the observed bands. In practice
the
colour-colour diagram is used to select the sources. Based on the
colour
tracks of Fig. 12,
we set the selection limits of sources with
to:
Using these limits, we find 2152 sources with redshift
Selecting sources by their colours can also provide samples of
different kinds
of objects. Compton thick AGN are active galaxies with dense
environments
(
)
so that they block even hard X-ray
radiation and are not detected even in the deepest X-ray surveys. They
would
provide valuable information in evolution studies, as they represent a
distinctive phase of a galaxies lifetime and they are the ``missing
link''
in population synthesis models of the X-ray background (Gilli et al.
2007).
The most promising methods of detecting Compton thick AGN involves
comparing
the optical and infrared fluxes of sources
(Fiore
et al. 2008; Georgantopoulos
et al.
2008; Daddi
et al. 2007; Donley
et al. 2007).
The multi
wavelength coverage of the Lockman Hole in combination with the deep
X-ray
observations are ideal for this kind of study.
6.3 Follow-up
One important contribution of this study is that it provides a large number of newly detected extragalactic objects to be further observed in follow-up campaigns. A number of sources has already been spectroscopically identified, and they have been selected from the X-ray campaigns with ROSAT (Lehmann et al. 2001; Schmidt et al. 1998; Lehmann et al. 2000) and XMM-Newton (Mateos et al. 2005). With multi-object spectrographs we are now able to conduct spectroscopy to a large number of optical sources. The LBT is already equipped with a near-infrared multi-slit spectrograph (LUCIFER; Mandel et al. 2007) which will start operation within 2009 and the optical multi-slit spectrograph (MODS; Pogge et al. 2006) is expected to be operational in 2010. The key scientific goals of these instruments is to conduct spectroscopy at cosmologically interesting redshifts. To be able to select targets for these instruments we need a deep optical survey and a colour selection scheme similar to what described in the previous section.
7 Summary and conclusions
In this paper we present the deep imaging campaign of the Lockman Hole
using
the LBT. The Lockman Hole is an excellent region for deep
multi-wavelength
observations given the minimal galactic absorption. Here we report
details
of the U, B, and V-band
observation and the data reduction strategy.
Our imaging area covers 925 arcmin2 in
a very well sampled region of
the Lockman Hole, with deep X-ray, infrared, and radio coverage.
We have reached depths of 26.7, 26.3, and 26.3 mag(AB) in the U,
B, and Vband respectively, in
terms of 50% source detection efficiency, and have
extracted a large number of sources (
89 000) an all three
bands.
The number counts distributions are used to test galaxy evolution models and and simulations. We find evidence of steepening of the faint-end slope of the luminosity function in the U and B bands, which can explain the B number count without the need of a dwarf galaxy population. However the U counts are under-predicted with this model and an enhancement of the star formation rate at z=1.5-2.5 is needed to explain them. A flatter faint end slope observed in the V-band case could be the result of supernova feedback.
This survey is part of an effort to conduct deep observations of the Lockman Hole in different bands ranging from the infrared to the X-rays. This will help us select different source classes for further study and in addition to planned spectroscopic observations create a large database for extragalactic studies.
AcknowledgementsThe authors thank the LBT Science Demonstration Time (SDT) team for assembling and executing the SDT program. We also thank the LBC team and the LBTO staff for their kind assistance.
References
- Alcalá, J. M., Pannella, M., Puddu, E., et al. 2004, A&A, 428, 339 [EDP Sciences] [CrossRef] [NASA ADS]
- Arnouts, S., de Lapparent, V., Mathez, G., et al. 1997, A&AS, 124, 163 [EDP Sciences] [CrossRef] [NASA ADS]
- Arnouts, S., D'Odorico, S., Cristiani, S., et al. 1999, A&A, 341, 641 [NASA ADS]
- Arnouts, S., Vandame, B., Benoist, C., et al. 2001, A&A, 379, 740 [EDP Sciences] [CrossRef] [NASA ADS]
- Arnouts, S., Schiminovich, D., Ilbert, O., et al. 2005, ApJ, 619L, 43 [CrossRef] [NASA ADS]
- Barro, G., Gallego, J., Pérez-González, P. G., et al. 2009, A&A, 494, 63 [EDP Sciences] [CrossRef] [NASA ADS]
- Benítez, N. 2000, ApJ, 536, 571B [CrossRef] [NASA ADS]
- Berta, S., Rubele, S., Franceschini, A., et al. 2006, A&A, 451, 881 [EDP Sciences] [CrossRef] [NASA ADS]
- Bertin, E., & Arnouts, S. 1996, A&AS, 117, 393 [EDP Sciences] [CrossRef] [NASA ADS]
- Bertin, E., & Dennefeld, M. 1997, A&A, 317, 43 [NASA ADS]
- Biggs, A. D., & Ivison, R. J. 2006, MNRAS, 371, 963 [CrossRef] [NASA ADS]
- Biggs, A. D., & Ivison, R. J. 2008, MNRAS, 385, 893 [CrossRef] [NASA ADS]
- Bolzonella, M., Miralles, J.-M., & Pelló, R. 2000, A&A, 363, 476 [NASA ADS]
- Brunner, H., Cappelluti, N., Hasinger, G., et al. 2008, A&A, 479, 283 [EDP Sciences] [CrossRef] [NASA ADS]
- Bruzual A. G., & Charlot, S. 1993, ApJ, 405, 538 [CrossRef] [NASA ADS]
- Cabanac, R. A., de Lapparent, V., & Hickson, P. 2000, A&A, 364, 349 [NASA ADS]
- Capak, P., Cowie, L. L., Hu, E. M., et al. 2004, AJ, 127, 180 [CrossRef] [NASA ADS]
- Ciliegi, P., Zamorani, G., Hasinger, G., et al. 2003, A&A, 398, 901 [EDP Sciences] [CrossRef] [NASA ADS]
- Coleman, G. D., Wu, C.-C., & Weedman, D. W. 1980, ApJS, 43, 393 [CrossRef] [NASA ADS]
- Coppin, K., Chapin, E. L., Mortier, A. M. J., et al. 2006, MNRAS, 372, 1621 [CrossRef] [NASA ADS]
- Cristiani, S., & Vio, R. 1990, A&A, 227, 385 [NASA ADS]
- Daddi, E., Cimatti, A., Renzini, A., et al. 2004, ApJ, 617, 746 [CrossRef] [NASA ADS]
- Daddi, E., Alexander, D. M., Dickinson, M., et al. 2007, ApJ, 670, 173 [CrossRef] [NASA ADS]
- Donley, J. L., Rieke, G. H., Pérez-González, P. G., Rigby, J. R., & Alonso-Herrero, A. 2007, ApJ, 660, 167 [CrossRef] [NASA ADS]
- Driver, S. P., Phillipps, S., Davies, J. I., Morgan, I., & Disney, M. J. 1994, MNRAS, 266, 155 [NASA ADS]
- Driver, S. P., Windhorst, R. A., Ostrander, E. J., et al. 1995, ApJ, 449, L23 [CrossRef] [NASA ADS]
- Drory, N., Bender, R., Snigula, J., et al. 2001, ApJ, 562, L111 [CrossRef] [NASA ADS]
- Egami, E., Bock, J., Dole, H., et al. 2008, sptz.prop, 50249
- Eliche-Moral, M. C., Balcells, M., Aguerri, J. A. L., & González-García, A. C. 2006, ApJ, 639, 644 [CrossRef] [NASA ADS]
- Fadda, D., Lari, C., Rodighiero, G., et al. 2004, A&A, 427, 23 [EDP Sciences] [CrossRef] [NASA ADS]
- Fiore, F., Grazian, A., & Santini, P. 2008, ApJ, 672, 94 [CrossRef] [NASA ADS]
- Furusawa, H., Kosugi, G., Akiyama, M., et al. 2008, ApJS, 176, 1 [CrossRef] [NASA ADS]
- Gabasch, A., Bender, R., Seitz, S., et al. 2004, A&A, 421, 41 [EDP Sciences] [CrossRef] [NASA ADS]
- Gardner, J. P., Cowie, L. L., & Wainscoat, R. J. 1993, ApJ, 415, L9 [CrossRef] [NASA ADS]
- Gardner, J. P., Sharples, R. M., Carrasco, B. E., & Frenk, C. S. 1996, MNRAS, 282L, 1 [NASA ADS]
- Garn, T., Green, D. A., Riley, J. M., & Alexander, P. 2008, MNRAS, 387, 1037 [CrossRef] [NASA ADS]
- Georgantopoulos, I., Georgakakis, A., Rowan-Robinson, M., & Rovilos, E. 2008, A&A, 484, 671 [EDP Sciences] [CrossRef] [NASA ADS]
- Giallongo, E., Ragazzoni, R., Grazian, A., et al. 2008, A&A, 482, 349 [EDP Sciences] [CrossRef] [NASA ADS]
- Gilli, R., Comastri, A., & Hasinger, G. 2007, A&A, 463, 79 [EDP Sciences] [CrossRef] [NASA ADS]
- Grazian, A., Menci, N., Giallongo, E., et al. 2009, A&A, 505, 1041 [EDP Sciences] [CrossRef]
- Greve, T. R., Ivison, R. J., Bertoldi, F., et al. 2004, MNRAS, 354, 779 [CrossRef] [NASA ADS]
- Guhathakurta, P., Tyson, J. A., & Majewski, S. R. 1990, in Evolution of the universe of galaxies (ASP), 304
- Hasinger, G., Burg, R., Giacconi, R., et al. 1998, A&A, 329, 482 [NASA ADS]
- Hasinger, G., Altieri, B., Arnaud, M., et al. 2001, A&A, 365, L45 [EDP Sciences] [CrossRef] [NASA ADS]
- Heydon-Dumbleton, N. H., Collins, C. A., & MacGillivray, H. T. 1989, MNRAS, 238, 379 [NASA ADS]
- Hogg, D. W., Pahre, M. A., McCarthy, J. K., et al. 1997, MNRAS, 288, 404 [NASA ADS]
- Hopkins, A. M. 2004, ApJ, 615, 209 [CrossRef] [NASA ADS]
- Huang, J.-S., Thompson, D., Kümmel, M. W., et al. 2001, A&A, 368, 787 [EDP Sciences] [CrossRef] [NASA ADS]
- Huang, J.-S., Barmby, P., Fazio, G. G., et al. 2004, ApJS, 154, 44 [CrossRef] [NASA ADS]
- Ilbert, O., Tresse, L., Zucca, E., et al. 2005, A&A, 439, 863 [EDP Sciences] [CrossRef] [NASA ADS]
- Ilbert, O., Lauger, S., Tresse, L., et al. 2006, A&A, 453, 809 [EDP Sciences] [CrossRef] [NASA ADS]
- Ilbert, O., Capak, P., & Salvato, M. 2009, ApJ, 690, 1236 [CrossRef] [NASA ADS]
- Irwin, M., Maddox, S., & McMahon, R. G. 1994, Spectrum, 2, 14 [NASA ADS]
- Im, M., Faber, S. M., Gebhardt, K., et al. 2001, AJ, 122, 750 [CrossRef] [NASA ADS]
- Ivison, R. J., Greve, T. R., Smail, I., et al. 2002, MNRAS, 337, 1 [CrossRef] [NASA ADS]
- Jarrett, T. H., Dickman, R. L., & Herbst, W. 1994, ApJ, 424, 852 [CrossRef] [NASA ADS]
- Jones, L. R., Fong, R., Shanks, T., Ellis, R. S., & Peterson, B. A. 1991, MNRAS, 249, 481 [NASA ADS]
- Kaiser, N., Wilson, G., Luppino, G., & Dahle, H. 1999, PASP, submitted [arXiv:9907.229]
- Kashikawa, N., Shimasaku, K., Yasuda, N., et al. 2004, PASJ, 56, 1011 [NASA ADS]
- Kawara, K., Matsuhara, H., Okuda, H., et al. 2004, A&A, 413, 843 [EDP Sciences] [CrossRef] [NASA ADS]
- Koo, D. 1986, ApJ, 311, 651 [CrossRef] [NASA ADS]
- Kümmel, M. W., & Wagner, S. J. 2001, A&A, 370, 384 [EDP Sciences] [CrossRef] [NASA ADS]
- Landolt, A. U. 1992, AJ, 104, 372 [CrossRef] [NASA ADS]
- Lawrence, A., Warren, S. J., Almaini, O., et al. 2007, MNRAS, 379, 1599 [CrossRef] [NASA ADS]
- Laurent, G. T., Aguirre, J. E., Glenn, J., et al. 2005, ApJ, 623, 742 [CrossRef] [NASA ADS]
- Lehmann, I., Hasinger, G., Schmidt, M., et al. 2000, A&A, 354, 35 [NASA ADS]
- Lehmann, I., Hasinger, G., Schmidt, M., et al. 2001, A&A, 371, 833 [EDP Sciences] [CrossRef] [NASA ADS]
- Lilly, S. J., Cowie, L. L., & Gardner, J. P. 1991, ApJ, 369, 79 [CrossRef] [NASA ADS]
- Lilly, S. J., Tresse, L., Hammer, F., Crampton, D., & Le Fèvre, O. 1995, ApJ, 155, 108 [CrossRef] [NASA ADS]
- Liske, J., Lemon, D. J., Driver, S. P., Cross, N. J. G., & Couch, W. J. 2003, MNRAS, 344, 307 [CrossRef] [NASA ADS]
- Lockman, F. J., Jahoda, K., & McCammon, D. 1986, ApJ, 302, 432 [CrossRef] [NASA ADS]
- Lonsdale, C. J., Smith, H. E., Rowan-Robinson, M., et al. 2003, PASP, 115, 897 [CrossRef] [NASA ADS]
- Maddox, S. J., Sutherland, W. J., Efstathiou, G., Loveday, J., & Peterson, B. A. 1990, MNRAS, 247, 1 [NASA ADS]
- Mandel, H., Seifert, W., Lenzen, R., et al. 2007, AN, 328, 626 [NASA ADS]
- Martin, D. C., Fanson, J., Schiminovich, D., et al. 2005, ApJ, 619, L1 [CrossRef] [NASA ADS]
- Mateos, S., Barcons, X., Carrera, F. J., et al. 2005, A&A, 444, 79 [EDP Sciences] [CrossRef] [NASA ADS]
- McCracken, H. J., Le Fèvre, O., Brodwin, M., et al. 2001, A&A, 376, 756 [EDP Sciences] [CrossRef] [NASA ADS]
- McCracken, H. J., Radovich, M., & Bertin, E. 2003, A&A, 410, 17 [EDP Sciences] [CrossRef] [NASA ADS]
- Metcalfe, N., Shanks, T., Fong, R., & Jones, L. R. 1991, MNRAS, 249, 498 [NASA ADS]
- Metcalfe, N., Shanks, T., Fong, R., & Roche, N. 1995, MNRAS, 273, 257 [NASA ADS]
- Metcalfe, N., Shanks, T., Campos, A., Fong, R., & Gardner, J. P. 1996, Nature, 383, 236 [CrossRef] [NASA ADS]
- Metcalfe, N., Shanks, T., Campos, A., McCracken, H. J., & Fong, R. 2001, MNRAS, 323, 795 [CrossRef] [NASA ADS]
- Monet, D. G. 1998, A&AS, 19312003
- Nagashima, M., Yahagi, H., Enoki, M., Yoshii, Y., & Gouda, N. 2005, ApJ, 634, 26 [CrossRef] [NASA ADS]
- Pogge, R. W., Atwood, B., Belville, S. R, et al. 2006, SPIE, 6269, 16 [NASA ADS]
- Prandoni, I., Wichmann, R., da Costa, L., et al. 1999, A&A, 345, 448 [NASA ADS]
- Prescott, M., Baldry, I. K., & James, P. A. 2009, MNRAS, 397, 90 [CrossRef] [NASA ADS]
- Radovich, M., Arnaboldi, M., Ripepi, V., et al. 2004, A&A, 417, 51 [EDP Sciences] [CrossRef] [NASA ADS]
- Reddy, N. A., Steidel, C. C., Pettini, M., et al. 2008, ApJS, 175, 48 [CrossRef] [NASA ADS]
- Rodighiero, G., Lari, C., Fadda, D., et al. 2004, A&A, 427, 773 [EDP Sciences] [CrossRef] [NASA ADS]
- Schmidt, M., Hasinger, G., Gunn, J., et al. 1998, A&A, 329, 495 [NASA ADS]
- Scott, K., et al. 2006, A&AS, 209, 8303
- Smail, I., Hogg, D. W., Yan, L., & Cohen, J. G. 1995, ApJ, 449, L105 [CrossRef] [NASA ADS]
- Somerville, R. S., Lee, K., Ferguson H. C., et al. 2004, ApJ, 600, L171 [CrossRef] [NASA ADS]
- Somerville, R. S., Hopkins, P. F., Cox, T. J., Robertson, B. E., & Hernquist, L. 2008, MNRAS, 391, 481 [CrossRef] [NASA ADS]
- Songaila, A., Cowie, L. L., & Lilly, S. J. 1990, ApJ, 348, 371 [CrossRef] [NASA ADS]
- Steidel, C. C., Adelberger, K. L., Giavalisco, M., Dickinson, M., & Pettini, M. 1999, ApJ, 519, 1 [CrossRef] [NASA ADS]
- Steidel, C. C., Adelberger, K. L., Shapley, A. E., et al. 2003, ApJ, 592, 728 [CrossRef] [NASA ADS]
- Szalay, A. S., Connolly, A. J., & Szokoly, G. P. 1999, AJ, 117, 68 [CrossRef] [NASA ADS]
- Trenti, M., & Stiavelli, M. 2008, ApJ, 676, 767 [CrossRef] [NASA ADS]
- Tyson, J. A. 1988, AJ, 96, 1 [CrossRef] [NASA ADS]
- Ueda, Y., Akiyama, M., Ohta, K., & Miyaji, T. 2003, ApJ, 598, 886 [CrossRef] [NASA ADS]
- van den Bergh, S. 2001, AJ, 122, 621 [CrossRef] [NASA ADS]
- Vanzella, E., Cristiani, S., Dickinson, M., et al. 2005, A&A, 434, 53 [EDP Sciences] [CrossRef] [NASA ADS]
- Vollmer, B., Beckert, T., & Davies, R. I. 2008, A&A, 491, 441 [EDP Sciences] [CrossRef] [NASA ADS]
- Volonteri, M., Saracco, P., Chincarini, G., & Bolzonella, M. 2000, A&A, 362, 487 [NASA ADS]
- Wadadekar, Y., Casertano, S., & de Mello, D. 2006, ApJ, 123, 1023
- Williams, R. E., Blacker, B., Dickinson, M., et al. 1996, AJ, 112, 1335 [CrossRef] [NASA ADS]
- Willmer, C. N. A., Faber, S. M., Koo, D. C., et al. 2006, ApJ, 647, 583 [CrossRef] [NASA ADS]
- Wilson, G. 2003, ApJ, 585, 191 [CrossRef] [NASA ADS]
- Wilson, G., Kaiser, N., Luppino, G. A., & Cowie, L. L. 2001, ApJ, 555, 572 [CrossRef] [NASA ADS]
- Yasuda, N., Fukugita, M., Narayanan, V. K., et al. 2001, AJ, 122, 1104 [CrossRef] [NASA ADS]
- Zucca, E., Ilbert, O., Bardelli, S., et al. 2006, A&A, 455, 87 [CrossRef]
Footnotes
- ... LBT
- Based on data acquired using the large binocular telescope (LBT). The LBT is an international collaboration among institutions in the United States, Italy, and Germany. LBT Corporation partners are the University of Arizona on behalf of the Arizona university system; Istituto Nazionale di Astrofisica, Italy; LBT Beteiligungsgesellschaft, Germany, representing the Max-Planck Society, the Astrophysical Institute Potsdam, and Heidelberg University; Ohio State University, and the Research Corporation, on behalf of the University of Notre Dame, the University of Minnesota, and the University of Virginia.
- ....=0.036
- The LBC commissioning report can be found at http://lbc.oa-roma.inaf.it/commissioning/
All Tables
Table 1: Details of the observing runs (time is in minutes).
Table
2: Flux calibration, quality and source extraction information
of the images.
Table 3: Number counts data found in the literature. The symbols noted are used in Figs. 9-11. A ``d-'' prefix before the instrument symbolizes digitization of photographic plates.
Table 4: Differential number counts (in 0.5 mag bins), uncertainties and source detections efficiencies for each magnitude bin of galaxies in the U, B, and V bands.
Current usage metrics show cumulative count of Article Views (full-text article views including HTML views, PDF and ePub downloads, according to the available data) and Abstracts Views on Vision4Press platform.
Data correspond to usage on the plateform after 2015. The current usage metrics is available 48-96 hours after online publication and is updated daily on week days.
Initial download of the metrics may take a while.
![\begin{figure}
\par\includegraphics[width=8.5cm,clip]{12626f01.ps} \end{figure}](/articles/aa/full_html/2009/43/aa12626-09/Timg20.png)
![\begin{figure}
\par\includegraphics[width=8cm,clip]{12626f02.ps} %
\end{figure}](/articles/aa/full_html/2009/43/aa12626-09/Timg25.png)
![\begin{figure}
\par\includegraphics[width=17.5cm,clip]{12626f03.eps} %
\end{figure}](/articles/aa/full_html/2009/43/aa12626-09/Timg28.png)
![\begin{figure}
\par\includegraphics[width=17.5cm,clip]{12626f04.eps} %
\end{figure}](/articles/aa/full_html/2009/43/aa12626-09/Timg29.png)
![\begin{figure}
\par\includegraphics[width=8.5cm,clip]{12626f05.eps} \end{figure}](/articles/aa/full_html/2009/43/aa12626-09/Timg41.png)
![\begin{figure}
\par\includegraphics[width=8.5cm,clip]{12626f07.ps} \end{figure}](/articles/aa/full_html/2009/43/aa12626-09/Timg44.png)
![\begin{figure}
\par\includegraphics[width=17.5cm,clip]{12626f08.eps} %
\end{figure}](/articles/aa/full_html/2009/43/aa12626-09/Timg47.png)
![\begin{figure}
\par\includegraphics[width=8.5cm,clip]{12626f09.ps} \end{figure}](/articles/aa/full_html/2009/43/aa12626-09/Timg51.png)
![\begin{figure}
\par\includegraphics[width=8.65cm,clip]{12626f10.ps} \end{figure}](/articles/aa/full_html/2009/43/aa12626-09/Timg52.png)
![\begin{figure}
\par\includegraphics[width=8.5cm,clip]{12626f11.ps} \end{figure}](/articles/aa/full_html/2009/43/aa12626-09/Timg53.png)
![\begin{figure}
\par\includegraphics[width=8.5cm,clip]{12626f12.ps} \end{figure}](/articles/aa/full_html/2009/43/aa12626-09/Timg88.png)
![\begin{figure}
\par\includegraphics[width=17.5cm,clip]{12626f13.eps} %
\end{figure}](/articles/aa/full_html/2009/43/aa12626-09/Timg95.png)
![\begin{figure}
\par\includegraphics[width=17.5cm,clip]{12626f14.eps} %
\end{figure}](/articles/aa/full_html/2009/43/aa12626-09/Timg98.png)