| Issue |
A&A
Volume 507, Number 1, November III 2009
|
|
|---|---|---|
| Page(s) | 47 - 52 | |
| Section | Cosmology (including clusters of galaxies) | |
| DOI | https://doi.org/10.1051/0004-6361/200912661 | |
| Published online | 03 September 2009 | |
A&A 507, 47-52 (2009)
Could dark matter interactions be an alternative to dark energy?
S. Basilakos1 - M. Plionis2
1 - Research Center for Astronomy, Academy of Athens, 11527 Athens,
Greece
2 - Institute of Astronomy & Astrophysics, National Observatory
of Athens, Thessio 11810, Athens, Greece &
Instituto Nacional de Astrofísica, Óptica y Electrónica, 72000 Puebla,
Mexico
Received 6 June 2009 / Accepted 3 August 2009
Abstract
We study the global dynamics of the universe within the framework of
the interacting dark matter (IDM) scenario.
Assuming that the dark matter obeys the collisional Boltzmann
equation, we can derive analytical solutions of the global density
evolution, that can accommodate an accelerated
expansion, equivalent to either the quintessence
or the standard
models, with the present time located after the inflection point.
This is possible if there is a
disequilibrium between the DM particle creation and
annihilation processes
with the former process dominating, which creates an effective source
term with negative pressure. Comparing the predicted Hubble expansion
of one of the IDM models (the simplest) with observational
data, we find that the effective
annihilation term is quite small, as suggested by various experiments.
Key words: cosmology: theory - methods: analytical
1 Introduction
The analysis of high quality cosmological data (e.g. supernovae type Ia, CMB, galaxy clustering) have suggested that we live in a flat, accelerating universe, that contains cold dark matter to explain clustering and an extra component with negative pressure, the vacuum energy (or more generally the dark energy), to explain the observed accelerated cosmic expansion (Spergel et al. 2007; Davis et al. 2007; Kowalski et al. 2008; Komatsu et al. 2009, and references therein). Because of the absence of a physically well-motivated fundamental theory, there have been many theoretical speculations about the nature of the exotic dark energy (DE) including a cosmological constant, or either scalar or vector fields (see Weinberg 1989; Wetterich 1995; Caldwell et al. 1998; Brax & Martin 1999; Peebles & Ratra 2003; Perivolaropoulos 2003; Brookfield et al. 2006; Boehmer & Harko 2007, and references therein).Most papers in this type of study are based on the assumption that DE evolves independently of the dark matter (DM). The unknown nature of both DM and DE implies that we cannot preclude the possibility to find interactions in the dark sector. This is very important because interactions between the DM and quintessence could provide possible solutions to the cosmological coincidence problem (Grande et al. 2009). Several papers have been published in this area (e.g., Amendola et al. 2003; Cai & Wang 2005; Binder & Kremer 2006; Campo et al. 2006; Wang et al. 2006; Das et al. 2006; Olivares et al. 2008; He & Wang 2008, and references therein) proposing that the DE and DM could be coupled, assuming also that there is only one type of non-interacting DM.
However, there are other possibilities. It is plausible, for example,
that the dark
matter is self-interacting (IDM) (Spergel & Steinhardt 2000).
This
possibility was proposed in order to solve discrepancies between
theoretical predictions and astrophysical observations, including less
cuspy halo profiles, predicted by the IDM model,
allowing for the observed gamma-ray and microwave emission from the
center of our galaxy (Flores & Primack 1994;
Moore et al. 1999;
Hooper et al. 2007;
Regis & Ullio 2008, and
references therein) and the discrepancy between the predicted optical
depth,
,
inferred from the Gunn-Peterson test in the spectra of high-z
QSOs and the WMAP-based value (e.g., Mapelli et al. 2006;
Belikov & Hooper 2009;
Cirelli et al. 2009, and
references therein). It has also been shown that some dark matter
interactions could provide an accelerated expansion phase of the
universe (Zimdahl et al. 2001;
Balakin et al. 2003;
Lima et al. 2008).
In addition, DM could potentially contain more than one
particle species,
for example a mixture of cold, warm, or hot dark matter
(Farrar & Peebles 2004;
Gubser & Peebles 2004),
with or without inter-component
interactions.
In this work, we are not concerned with the viability of the different possibilities, nor with the properties of interacting DM models. The single aim of this work is to investigate whether there are repercussions of DM self-interactions on the global dynamics of the universe and specifically whether these models can yield an accelerated phase of the cosmic expansion, without the need for dark energy. We note that we do not ``design'' the fluid interactions to produce the desired accelerated cosmic evolution, as in some previous works (e.g., Balakin et al. 2003), but investigate the circumstances under which the analytical solution space of the collisional Boltzmann equation, in the expanding universe, allows for a late accelerated phase of the universe.
2 Collisional Boltzmann equation in an expanding universe
It is well established that the global dynamics of a homogeneous,
isotropic, and flat universe is given by the Friedmann
equation
|
(1) |
where
As we mentioned in the introduction, the dark matter is usually considered to contain only one type of particle that is stable and neutral. In this work, we investigate, using the Boltzmann formulation, the cosmological potential of a scenario in which the dominant ``cosmic'' fluid does not contain dark energy, is not perfect, and at the same time is not in equilibrium
The time evolution of the total density of the cosmic fluid is
described by the collisional Boltzmann equation
where
|
(4) |
where
We note that, in the context of a spatially flat FLRW
cosmology, for an effective pressure term of:
the collisional Boltzmann equation reduces to the usual fluid equation:
Obviously, a negative pressure (whatever its cause) can effectively act as a repulsive force possibly providing a cosmic acceleration.
We investigate the effects of DM self-interactions on the global dynamics of the universe and under which circumstances they can produce a negative pressure and thus provide an alternative to conventional dark energy. It is well known that negative pressure implies tension rather than compression, which is an impossibility for ideal gases but not for some physical systems that depart from thermodynamic equilibrium (Landau & Lifshitz 1985).
The particle annihilation regime was described by Weinberg (2008), using the collisional Boltzmann formulation, in which the physical properties of the DM interactions are related to massive particles (which are still present) that, if they carry a conserved additive or multiplicative quantum number, would imply that some particles must remain after all the antiparticles have been annihilated (Weinberg calls them L-particles). The L-particles may annihilate to form other particles, which during the period of annihilation they can be assumed to be in thermal and chemical equilibrium (see Weinberg 2008). This DM self-interacting model can affect the global dynamics of the universe (see our Case 2 below).
The corresponding effects on the global dynamics of the particle creation regime, which provides an effective negative pressure, has also been investigated by a number of authors (e.g., Prigogine et al. 1989; Lima et al. 2008, and references therein).
In the framework of a Boltzmann formalism, a negative pressure could in general be the outcome of dark matter self-interactions, as suggested in Zimdahl et al. (2001) and Balakin et al. (2003), if an ``anti-frictional'' force is self-consistently exerted on the particles of the cosmic fluid. This possible alternative to dark energy has the caveat of its unknown exact nature, which is also however the case for all dark energy models. Other sources of negative pressure have been proposed, including gravitational matter ``creation'' processes (Zeldovich 1970), modeled by non-equilibrium thermodynamics (Prigogine et al. 1989) or even the C-field of Hoyle & Narlikar (1966). The effects of the former proposal (gravitational matter creation) on the global dynamics of the universe have been investigated, based on the assumption that the particles created are non-interacting (Lima et al. 2008). The merit of all these alternative models is that they unify the dark sector (dark energy and dark matter), since a single dark component (the dark matter) needs to be introduced into the cosmic fluid.
In a unified manner we present, the outcome for the global dynamics of the universe of different type of dark matter self-interactions, using the Boltzmann formulation in the matter-dominated era.
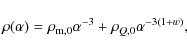
3 The Cosmic density evolution for different DM interactions
We proceed to analytically solve Eq. (3). We change variables from t towhere
Within this framework, based on Eqs. (5), (7) and (8), we can distinguish four possible DM self-interacting cases:
Case 1: P=0:
If the DM is collisionless or the collisional annihilation and
pair creation
processes are in equilibrium (i.e.,
),
the corresponding solution of the above differential equation is
(where
is the scale
factor of the universe), and thus we
obtain, as we should, the dynamics of the Einstein de-Sitter model,
with H(t)=2/3t.
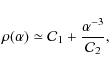
Case 2:
:
If we assume that in the matter-dominated era the particle creation
term is negligible,
[
], (the case discussed in
Weinberg 2008),
then the corresponding pressure becomes positive. It is clear that
Eq. (7)
becomes a Bernoulli equation, the general solution of which provides
the evolution of the
global energy-density, which is that corresponding to the
IDM ansanz:
Prior to the present epoch (
|
(10) |
where t0 is the present age of the universe. The latter analysis, relevant to the usual weakly interacting massive particle case - Weinberg (2008), leads to the conclusion that the annihilation term has no effect resembling that of dark energy, but does affect the evolution of the self-interacting DM component, with the integral in the denominator rapidly converging to a constant (which depends on the annihilation cross-section).
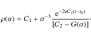
Case 3:
:
For the case of a non-perfect DM fluid (i.e., having up to the
present time, a disequilibrium
between the annihilation and particle pair creation processes), we can
have either a positive or a negative effective
pressure term. Although the latter situation may or may not appear
plausible, even the remote such possibility, i.e., the case in which
the DM particle creation term is larger than the annihilation
term (
),
is of
particular interest because of its effect on the global dynamics of
the universe (see for example Zimdahl et al. 2001;
Balakin et al. 2003).
It is interesting to note that this case can be viewed as a generalization of the gravitational matter creation model of Prigogine et al. (1989) (see also Lima et al. 2008, and references therein) in which annihilation processes are also included, although the matter-creation component dominates over annihilations. In this scenario, as in any interacting dark-matter model with a left-over residual radiation, a possible contribution from the radiation products to the global dynamics is negligible, as we show in Appendix A.
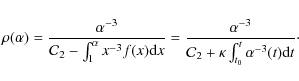
For
and
,
it is not an easy task
in general to solve analytically Eq. (7), because it
is a non-linear differential equation (Riccati type).
However, Eq. (7)
could be fully solvable if (and only if) a particular solution is
known. We indeed
find that for some special functional forms of the
interactive term, such as
,
we can derive analytical solutions.
We identified two functional forms for which
we can solve the previous differential equation analytically, only one
of these two is of interest because it provides a
a-3
dependence of the scale factor (see Appendix B), which is:
Although, the above functional form was not motivated by physical theory, but rather phenomenologically because it provides analytical solutions to the Boltzmann equation, its exact form can be justified a posteriori within the framework of IDM (see Appendix C).
The general solution of Eq. (7) for the total
energy density, using Eq. (11), is:
where the kernel function
We note that
where
We note that, since
,
the constant
obeys the restriction
Evaluating now Eq. (12) at the present time (
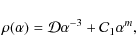
Case 4:
:
In this scenario, we assume that the annihilation term is negligible [
and
=0]
and the particle creation
term dominates. This situation is mathematically equivalent to the
gravitational DM particle creation process within the context
of non-equilibrium thermodynamics Prigogine et al. (1989),
the important cosmological consequence of which were studied by Lima
et al. (2008,
and references therein).
Using our nomenclature and
,
Eq. (7)
becomes a first order linear differential equation, a general solution
of which is:
The negative pressure can yield a late accelerated phase of the cosmic expansion (as in Lima et al. 2008), without the need for the required (in ``classical'' cosmological models) dark energy.
4 Case 3: P =
/3H
In this section, we investigate the conditions under which
Eqs. (12)
and (16)
could provide accelerating solutions, similar to the usual dark energy
case.
4.1 Conditions to have an inflection point and galaxy formation
To have an inflection point atfrom which we obtain that m>-2 (where
Furthermore, to ensure the growth of spatial density
fluctuations, the effective DM should be capable of clustering
and providing the formation of galaxies, while
the effective dark energy term should be close to being homogeneous.
In our case, the effective term that emulates dark energy is
homogeneous in the
same sense as in the classical quintessence, while the
term
slightly modifies the pure DM evolution.
In any case, the interacting DM term after the inflection
point tends
to an evolution
a-3.
During the galaxy formation epoch at high-z's, we
expect (due to the functional form of the DM term) that the
slope of
the interacting DM term is not far from that of the classical
DM evolution (we will explore
these issues further in a forthcoming paper).
4.2
Relation to the Standard
Cosmology
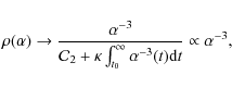
As an example, we show that for m=0 (or where t0 is the present age of the universe. In addition, the integral in Eq. (12) (see also Eq. (15)) now takes the form
As expected, at early enough times (
which is approximately equivalent to the corresponding evolution in the
| Figure 1:
Left panel: the |
|
| Open with DEXTER | |
From Eq. (19),
using the usual unit-less
-like
parametrization, we derive after some algebra that
where
We can now attempt to compare
the Hubble function of Eq. (21) to that
corresponding to the usual
model.
To this end, we use a
minimization between the different
models (our IDM Eq. (21) or the
traditional
CDM model)
and the Hubble relation derived directly from early-type galaxies at
high redshifts (Simon et al. 2005). For
the case of our IDM model, we
simultaneously fit the two free
parameters of the model, i.e.,
and
for a flat
background (
)
with
H0=72 km s-1 Mpc-1
and
Gyr
which is roughly the age of the universe of
the corresponding
cosmology.
This procedure yields the best-fit model parameters
and
(with
a stringent upper limit
-3,
but unconstrained towards lower values)
where
(see left panel of Fig. 1).
Using Eq. (4) we can now relate the range of values of
to the mass
of the DM particle, from which we obtain that
|
(22) |
(see also right panel of Fig. 1) and since
|
Figure 2:
Comparison of the Hubble function provided by the traditional |
| Open with DEXTER | |
Although the present analysis does not provide any important constraints on Mx(within our model), we plan on the future to use a large amount of cosmologically relevant data to attempt to place stronger Mx constraints, also in the general case (see Eq. (12)).
5 Case 4: P =
/3H
We now prove that for
(negligible annihilation),
the global dynamics resembles that of the traditional quintessence
cosmology (
). Using again the
phenomenologically selected form of
,
provided by Eq. (11),
we obtain
.
It is then straightforward
to obtain the density evolution from Eq. (16), as:
where
|
(24) |
where
6 Conclusions
We have investigated the evolution of the global density of the universe in the framework of an interacting DM scenario by solving analytically the collisional Boltzmann equation in an expanding universe. A disequilibrium between the DM particle creation and annihilation processes, regardless of its cause and in which the particle creation term dominates, can create an effective source term with negative pressure, which acting like dark energy, provides an accelerated expansion phase of the universe. There are also solutions for which the present time is located after the inflection point. Finally, comparing the observed Hubble function of a few high-redshift elliptical galaxies with that predicted by our simplest IDM model (m=0), we find that the effective annihilation term is quite small. In a forthcoming paper, we propose to use a multitude of cosmologically relevant observations to jointly fit the predicted, by our generic IDM model, Hubble relation and thus possibly provide more stringent constraints on the free parameters of the models. We also plan to derive the perturbation growth factor to study structure formation within the IDM model. AcknowledgementsWe thank P.J.E. Peebles for critically reading our paper and for useful comments. Also, we would like to thank the anonymous referee for his/her useful comments and suggestions.
Appendix A: The effect of the decay products
Here we attempt to investigate in the matter-dominated era, whether the possible radiation products related to dark matter interactions can affect the global dynamics. A general coupling can be viewed by the continuity equations of interacting dark matterwhere Q is the rate of energy density transfer. If Q<0, then the IDM fluid transfers to residual radiation. As an example, we can use a generic model with
|
(27) |
where t0 is the present age of the universe. This shows that the contribution of the residual radiation to the global dynamics was negligible in the past, since there is not only the usual
Appendix B: Solutions of the Riccati equation
With the aid of differential equation theory we present solutions that are relevant to our Eq. (7). In general, a Riccati differential equation is given by| y'=f(x)y2+g(x)y+R(x) | (28) |
and it is fully solvable only when a particular solution is known. Below, we present two cases in which analytical solutions are possible:
- Case 1: for the case where
(29)
the particular solution is xm and thus the corresponding general solution can be written as
(30)
where
(31)
and
are the integration constants.
Using now Eq. (8),
we obtain
.
- Case 2: for the case where
(32)
the particular solution is h(x) (in our case we have
).
The general solution now becomes
(33)
where
(34)
In this framework, using Eq. (8) we finally obtain
.
Appendix C: Justification of the functional form of 
We assume that we have a non-perfect cosmic fluid in a disequilibrium
phase with energy density
|
(35) |
Furthermore, we assume that for a convenient period of time, the cosmic fluid, in an expanding Universe, is slowly diluted according to
Appendix D: Correspondence between our model and conventional dark energy models
We remind the reader that for homogeneous and isotropic flat cosmologies (where
The necessary criteria for cosmic acceleration and an
inflection point in our past (
ti<t0),
are (a) P<0 and (b)
,
which leads to the conditions
- Dark Energy models:
,
Pm=0
with w<-1/3. - IDM models:
and m>-2 (or
).
References
- Amendola, L., Quercellini, C., Tocchini-Valentini, D., & Pasqui, A. 2003, ApJ, 583, L53 [CrossRef] [NASA ADS]
- Balakin, A. B., Pavon, D., Schwarz, D. J., & Zimdahl, W. 2003, N. J. Phys., 5, 85 [CrossRef]
- Belikov, A. V., & Hooper, D. 2009, Phys. Rev. D, 80, 5007 [CrossRef] [NASA ADS]
- Binder, J. B., & Kremer, G. M. 2006, Gen. Rel. Grav., 38, 857 [CrossRef] [NASA ADS]
- Boehmer, C. G., &, Harko, T. 2007, Eur. Phys. J. C, 50, 423 [EDP Sciences] [CrossRef] [NASA ADS]
- Brax, P., &, Martin, J. 1999, Phys. Lett., 468, 40
- Brookfield, A. W., van de Bruck, C., Mota, D. F., & Tocchini-Valentini, D. 2006, Phys. Rev. Lett., 96, 061301 [CrossRef] [NASA ADS]
- Caldwell, R. R., Dave, R., & Steinhardt, P. J. 1998, Phys. Rev. Lett., 80, 1582 [CrossRef] [NASA ADS]
- Cai, R. G., & Wang, A. 2005, JCAP, 0503, 002 [NASA ADS]
- Campo, R., Herrera, R., Olivares, G., & Pavon, D. 2006, Phys. Rev. D, 74, 023501 [CrossRef] [NASA ADS]
- Cirelli, M., Iocco, F., & Panci, P. 2009, J. Cosmol. Astropart. Phys., 10, 009 [CrossRef]
- Das, S., Corasaniti, P. S., & Khoury, J. 2006, Phys. Rev. D, 73, 083509 [CrossRef] [NASA ADS]
- Davis, T. M., Mörtsell, E., Sollerman, J., et al. 2007, ApJ, 666, 716 [CrossRef] [NASA ADS]
- Farrar, G. R., & Peebles, P. J. E. 2004, ApJ, 604 1
- Flores, R. A., & Primack, J. R. 1994, ApJ, 427, L1 [CrossRef] [NASA ADS]
- Grande, J., Pelinson, A., &, Solá, J. 2009, Phys. Rev. D, 79, 3006 [CrossRef] [NASA ADS]
- Gubser, S. S., & Peebles, P. J. E. 2004, Phys. Rev. D, 70, 123510 [CrossRef] [NASA ADS]
- He, J.-H., & Wang, B. 2008, JCAP, 06, 010 [NASA ADS]
- Hooper, D., Finkbeiner, D. P., & Dobler, G. 2007, Phys. Rev. D, 76, 3012
- Hoyle, F., & Narlikar, J. V. 1966, Proc. Roy. Soc. A, 290, 143 [CrossRef] [NASA ADS]
- Komatsu, E., Dunkley, J., Nolta, M. R., et al. 2009, ApJS, 180, 330 [CrossRef] [NASA ADS]
- Kowalski, M., Rubin, D., Aldering, G., et al. 2008, ApJ, 686, 749 [CrossRef] [NASA ADS]
- Landau, L. D., & Lifshitz, E. M. 1985, Statistical Physics (Oxford: Pergamon)
- Lima, J. A. S., Silva, F. E., & Santos, R. C. 2008, Class. & Quantum Gravity, 25, 205006 [CrossRef] [NASA ADS]
- Iocco, F., Mangano, G., Miele, G., Pisanti, O., & Serpico, P. D. 2009, Phys. Rep., 472, 1 [CrossRef] [NASA ADS]
- Mapelli, M., Ferrara, A., & Pierpaoli, E. 2006, MNRAS, 369, 1719 [CrossRef] [NASA ADS]
- Moore, B., Ghigna, S., Governato, F., et al. 1999, ApJ, 524, L19 [CrossRef] [NASA ADS]
- Olivares, G., Atrio-Barandela, F., & Pavon, D. 2008, Phys. Rev. D, 77, 063513 [CrossRef] [NASA ADS]
- Peebles, P. J. E., & Ratra, B. 2003, Rev. Mod. Phys., 75, 559 [CrossRef] [NASA ADS]
- Perivolaropoulos, L. 2003, Phys. Rev. D, 67, 1351 [CrossRef]
- Prigogine, I., Geheniau, J., Gunzig, E., & Nardone, P. 1989, Gen. Rel. Grav., 21, 767 [CrossRef] [NASA ADS]
- Regis, M., & Ullio, P. 2008, Phys. Rev. D, 78, 3505 [CrossRef] [NASA ADS]
- Simon, J., Verde, L., & Jimenez, R. 2005, Phys. Rev. D, 71, 123001 [CrossRef] [NASA ADS]
- Spergel, D. N., & Steinhardt, P. J. 2000, Phys. Rev. Lett., 84, 3760 [CrossRef] [NASA ADS]
- Spergel, D. N., Bean, R., Doré, O., et al. 2007, ApJS, 170, 377 [CrossRef] [NASA ADS]
- Wang, B., Lin, C.-Y., & Abdalla, E. 2006, Phys. Lett. B, 637, 357 [CrossRef] [NASA ADS]
- Weinberg, S. 1989, Rev. Mod. Phys., 61, 1 [CrossRef] [NASA ADS]
- Weinberg, S. 2008, Cosmology (Oxford University Press)
- Wetterich, C. 1995, A&A, 301, 321 [NASA ADS]
- Zimdahl, W., Schwarz, D. J., Balakin, A. B., & Pavon, D. 2001, Phys. Rev. D, 64, 3501 [CrossRef]
- Zeldovich, Ya. B. 1970, JETP Lett., 12, 3007
Footnotes
- ... equilibrium
- Initially, the total energy density is
. We consider that the self-interacting dark matter does not interact
significantly with the background radiation, and thus in the
matter-dominated epoch, radiation
is irrelevant to the global dynamics (because of the well-known
dependence:
).
Therefore, taking the above considerations into account and assuming
that there are no residual radiation products of the
DM interactions (otherwise see Appendix A), we
conclude that in the matter-dominated era the total cosmic dark-matter
density reduces to that of the IDM density (
),
which obeys the collisional Boltzmann
equation (see Eq. (3)).
All Figures
| |
Figure 1:
Left panel: the |
| Open with DEXTER | |
| In the text | |
|
Figure 2:
Comparison of the Hubble function provided by the traditional |
| Open with DEXTER | |
| In the text | |
Current usage metrics show cumulative count of Article Views (full-text article views including HTML views, PDF and ePub downloads, according to the available data) and Abstracts Views on Vision4Press platform.
Data correspond to usage on the plateform after 2015. The current usage metrics is available 48-96 hours after online publication and is updated daily on week days.
Initial download of the metrics may take a while.
![\begin{figure}
\par\includegraphics[width=7.5cm,clip]{12661fg2.eps}
\end{figure}](/articles/aa/full_html/2009/43/aa12661-09/Timg116.png)