| Issue |
A&A
Volume 507, Number 1, November III 2009
|
|
|---|---|---|
| Page(s) | 347 - 354 | |
| Section | Interstellar and circumstellar matter | |
| DOI | https://doi.org/10.1051/0004-6361/200912912 | |
| Published online | 03 September 2009 | |
A&A 507, 347-354 (2009)
Hyperfine structure in the J = 1-0 transitions of DCO+, DNC, and HN13C: astronomical observations and quantum-chemical calculations
F. F. S. van der Tak1,3 - H. S. P. Müller2,3 - M. E. Harding4,5 - J. Gauss4
1 - SRON Netherlands Institute for Space Research, Landleven 12, 9747
AD Groningen, The Netherlands
2 - I. Physikalisches Institut der Universität, Zülpicher Straße 77,
50937 Köln, Germany
3 - Max-Planck-Institut für Radioastronomie, Auf dem Hügel 69, 53121
Bonn, Germany
4 - Institut für Physikalische Chemie, Universität Mainz, 55099 Mainz,
Germany
5 - Department of Chemistry and Biochemistry, University of Texas,
Austin, TX 78712, USA
Received 17 July 2009 / Accepted 27 August 2009
Abstract
Context. Knowledge of the hyperfine structure of
molecular lines is useful for estimating reliable column densities from
observed emission, and essential for the derivation of kinematic
information from line profiles.
Aims. Deuterium bearing molecules are especially
useful in this regard, because they are good probes of the physical and
chemical structure of molecular cloud cores on the verge of star
formation. However, the necessary spectroscopic data are often missing,
especially for molecules which are too unstable for laboratory study.
Methods. We have observed the ground-state (J
= 1-0) rotational transitions of DCO+, HN13C
and DNC with the IRAM 30 m telescope toward the dark cloud LDN
1512 which has exceptionally narrow lines permitting hyperfine
splitting to be resolved in part. The measured splittings of
50-300 kHz are used to derive nuclear quadrupole and
spin-rotation parameters for these species. The measurements are
supplemented by high-level quantum-chemical calculations using
coupled-cluster techniques and large atomic-orbital basis sets.
Results. We find
eQq
= + 151.12 (400) kHz and
CI
= -1.12 (43) kHz for DCO+,
eQq
= 272.5 (51) kHz for HN13C,
and
kHz
and
kHz
for DNC. The numbers for DNC are consistent with previous laboratory
data, while our constants for DCO+ are somewhat
smaller than previous results based on astronomical data. For both DCO+
and DNC, our results are more accurate than previous determinations.
Our results are in good agreement with the corresponding best
theoretical estimates, which amount to
eQq
= 156.0 kHz and CI
= -0.69 kHz for DCO+,
eQq
= 279.5 kHz for HN13C, and
kHz
and
kHz
for DNC. We also derive updated rotational constants for HN13C:
B=43 545.6000 (47) MHz
and D=93.7 (20) kHz.
Conclusions. The hyperfine splittings of the DCO+,
DNC and HN13C J = 1-0 lines
range over 0.47-1.28 km s-1,
which is comparable to typical line widths in pre-stellar cores and to
systematic gas motions on
1000 AU
scales in protostellar cores. We present tabular information to allow
inclusion of the hyperfine splitting in astronomical data
interpretation. The large differences in the 14N
quadrupole parameters of DNC and HN13C have been
traced to differences in the vibrational corrections caused by
significant non-rigidity of these molecules, particularly along the
bending coordinate.
Key words: ISM: clouds - ISM: molecules - molecular data - radio lines: ISM
1 Introduction
Cold interstellar clouds have long been recognized as excellent laboratories for determining basic physical quantities of molecular structure (for a review see Lemaire & Combes 2007). In particular, these clouds provide access to molecular species that are too unstable to permit sufficient terrestrial production for in-depth investigation. Some molecules were even detected in interstellar space before they were found on Earth. A classic example is the X-ogen of the early 1970's, which has gained prime importance for studying the interactions between interstellar gas and magnetic fields since its identification as HCO+(Krämer & Diercksen 1976; Buhl & Snyder 1970).
Astronomical observations of molecules are not only useful to
provide accurate
rest frequencies of spectral lines (Pagani
et al. 2001,2009),
but also to
determine hyperfine parameters. The best-known case of hyperfine
splitting in
molecules with no unpaired electrons is the electric quadrupole
splitting which
occurs for nuclei with spin
such as, for example, D and 14N. A
second type of splitting occurs if the molecule contains nuclei with I
> 0such as H, 13C, and 15N
due to magnetic spin-rotation coupling and/or
nuclear spin-nuclear spin coupling.
Both effects are usually significantly smaller than the splitting due
to
electron spin-nuclear spin coupling in molecules with an unpaired
electron and
an I > 0 nucleus.
A recent example of astronomically determined hyperfine
parameters is the
determination of spectroscopic parameters of H13CO+
based on mm-wave
observations of the dark cloud LDN 1512 (Schmid-Burgk
et al. 2004). The exceptionally narrow
lines in this cloud (
km s-1)
allow a frequency resolution and
accuracy that usually cannot be attained in the laboratory for
short-lived
molecules. This category includes molecular ions, but also radicals and
reactive
species such as DNC, which has a lifetime of <1 s in
the
laboratory. Schmid-Burgk et al. show that even the unresolved hyperfine
splitting of 13CO plays a role in the case of
very narrow lines.
They use their spectra of LDN 1512 not only to determine the
spin-rotation
constant CI
of the 13C nucleus in H13CO+,
but also to show that the magnitude of the splitting and the intensity
ratio of the two resolved features depends on a much smaller effect,
namely CI
of the H nucleus and the nuclear spin-nuclear spin coupling between
these two nuclei (Schmid-Burgk
et al. 2004).
In astrophysics, the prime use of hyperfine splitting is the possibility of measuring the optical depths of molecular lines. This fundamental quantity allows estimation of molecular column densities without assumptions about the beam filling factor. The classic example is the splitting of the NH3 inversion lines (Ho & Townes 1983) which are used widely to measure the kinetic temperatures of dense interstellar clouds (Walmsley & Ungerechts 1983). In addition, knowledge of hyperfine structure is essential for deriving the kinematic structure of clouds from observations of molecular line profiles. In particular, the central regions of pre-stellar cores are currently of great interest, as the places where the transition from spherical infall to disk-like rotation occurs (Bergin & Tafalla 2007). However, in these objects, many 'standard' kinematic probes are unavailable due to freeze-out onto dust grains (Bergin et al. 2002). Deuterium bearing molecules are abundant even under these conditions, but their lines always exhibit hyperfine splitting due to the nonzero spin (I = 1) of the D nucleus. For example, Van der Tak et al. (2005) used observations of H2D+ to study the kinematics at the center of the pre-stellar core LDN 1544, where most other molecules are frozen onto dust grains.
In the laboratory, the Doppler-limited line widths in the 3 mm region are of the order of 200 kHz, making it possible to resolve moderate to large hyperfine splitting. However, very small quadrupole splitting, such as the 14N splitting in HNC or essentially all of the deuterium quadrupole splitting cannot be resolved in this frequency region. Sub-Doppler resolution techniques, such as Lamb-dip spectroscopy or molecular beam millimeter-wave Fourier transform spectroscopy, are sometimes available, but the former is usually not feasible for short-lived species, and the latter type of measurements is available only in very few laboratories.
While the relatively large nitrogen quadrupole splitting of DCN has been resolved in the laboratory (Brünken et al. 2004) and in space (Turner 2001), the hyperfine structure of the astrophysically important DCO+, HN13C and DNC species had not yet been resolved at the time of our observations (2004-2005). High-resolution spectroscopy of these species is not only astronomically useful to determine the optical depths of the lines, but also to verify the results of quantum-chemical calculations of spectroscopic constants. For example, Frerking et al. (1979) measured a nitrogen quadrupole moment of 0.28 (3) MHz for HNC in the dark cloud LDN 134N. Even though this value is not particularly accurate, it is in good agreement with the very recent, more accurate laboratory value of 0.2645 (46) MHz (Bechtel et al. 2006). More recently, Caselli et al. (1995) determined hyperfine parameters for the N2H+ J = 1-0 line from astronomical data, which Gerin et al. (2001) extended to higher-J transitions, and Dore et al. (2004) to the N2D+ isotopologue. This paper describes a new determination of the hyperfine structure of the J = 1-0 lines of DCO+, DNC and HN13C, based on observations of LDN 1512. The measurements are supplemented by high-level quantum-chemical calculations of the corresponding hyperfine parameters using state-of-the-art coupled-cluster techniques together with large atomic-orbital basis sets.
2 Observations
Observations of the J = 1-0 lines of DCO+,
DNC and HN13C near 72039,
76306 and 87091 MHz were performed on 2004 August 5-6, and 2005 March
12 and
July 29. The 30-m telescope of the Institut de Radio Astronomie
Millimétrique
(IRAM)
was used, with the
facility receivers A100 and B100 as
front end. The tuning range of these receivers had just been extended
from
80 GHz down to 70 GHz. The beam size is 33'' in this
frequency range, and
the main beam efficiency is
80%. We used the Versatile
Spectral
Assembly (VESPA) correlator as backend to achieve a spectral resolution
of
3.3 kHz, or 0.013 km s-1.
Sideband gain ratios, measured with the Martin-Puplett
interferometer, were in the range 0.91-1.13, depending on backend
module.
System temperatures were
300 K
at 72 GHz,
200 K
at 76 GHz and
150 K
at 87 GHz. Integration times were 78 min (on+off) at
72 GHz,
215 min at 76 GHz and 197 min at
87 GHz, giving rms noise levels of
= 158 mK at
72 GHz, 47 mK at 76 GHz and 41 mK
at 87 GHz. Pointing was checked
every hour on the nearby planet Venus.
The position observed is
= 05:00:54.40,
= +32:39:37.0
(B1950). The cloud velocity at this position, as determined from
observations of
the HC3N 3-2 line near 27294 MHz with the
Effelsberg 100-m
telescope
, is
=
km s-1.
The beam size of the 100-m telescope at the HC3N
frequency is almost equal to
that of the 30-m telescope at the DCO+, DCN and
DNC frequencies, so the effect
of the known velocity gradients within the LDN 1512 cloud should be
very small.
An upper limit is obtained by convolving the HC3N
data to a 50'' beam,
which gives a velocity of
= 7.063
0.001 km s-1.
Therefore the
effect of the velocity gradient in LDN 1512 is less than
0.006 km s-1. For
further discussion of these velocity gradients and for accurate HC3N
frequencies, see Schmid-Burgk
et al. (2004).
The data reduction was performed using the Continuum and Line
Analysis
Single-dish Software (CLASS) package
and followed standard procedures, except that the combination of data
taken on
different epochs posed unusual challenges. The telescope system
corrects the
frequency scale of the spectra for heliocentric motion of the Earth,
but the
correction is only exact for the center of the receiver bandpass. In
our case,
the HN13C line was observed at an offset of
160 MHz to allow simultaneous
observation of other lines. The telescope system adds this offset as an
absolute
value, but the orbital motion of the Earth actually dilates or shrinks
the
frequency scale by a factor of
10-4, the ratio of the
telluric
orbital velocity and the velocity of light. The HN13C
spectra were taken 121
days apart, and the frequency shift is 16 kHz
cos
,
where
is the
ecliptic latitude of the source (10
). Indeed, the two
HN13C spectra agree very well after a shift of
21 kHz, and similarly, the DNC
spectra are consistent with the expected shift of 4.4 kHz for
an epoch
separation of 340 days. To obtain the correct absolute frequency scale,
the
spectra of all epochs were shifted to a hypothetical observing date of
June 8,
which is the day in the year that the Sun and LDN 1512 have the same
hour angle
and transit at the same time. We assume the frequency accuracy to be
3 kHz. This is about twice the LSR velocity gradient of the
source and leaves
some room for possible errors in the correction of the heliocentric
motion.
3 Quantum-chemical calculations
High-level quantum-chemical calculations using coupled-cluster (CC) techniques (Bartlett & Musia 2007; Gauss 1998; Cízek 1966a; Crawford & Schaefer 2000; Cízek 1966b) have been performed for the hyperfine parameters of DCO+, HN13C, and DNC. Calculations have been carried out for the most part at the CC singles and doubles (CCSD) level (Purvis & Bartlett 1982) augmented by a perturbative treatment of triple excitations (CCSD(T); Raghavachari et al. 1989) which has proven in many cases to provide a reliable account of electron-correlation effects on energies and properties. The required one-particle basis sets for these calculations have been taken from Dunning's hierarchy of correlation-consistent basis sets with cc-pVXZ denoting the standard valence sets (Dunning 1989), cc-pCVXZ those with additional core-polarizing functions (Woon & Dunning 1995), and aug-cc-p(C)VXZ those with additional diffuse functions (Kendall et al. 1992). Here, X represents the cardinal number of the basis sets and values of 3 (=T), 4 (=Q), and 5 have been chosen in the present work.
The theoretical determination of quadrupole coupling constants is based on the evaluation of the electric-field gradients (efgs) at the corresponding nuclei. The nuclear quadrupole moments required to convert the efgs to the quadrupole couplings are taken from the literature (Pyykkö 2008), and the following values have been here adopted: 2.860 (15) mbarn for D and 20.44 (3) mbarn for 14N. The reported calculations also take into account zero-point vibrational effects on the quadrupole couplings. Those are treated in a perturbative manner as described in Auer et al. (2003) and necessitate the evaluation of quadratic and cubic force fields. The latter are obtained using analytic second-derivative techniques (Gauss & Stanton 1997) as described in Stanton & Gauss (2000). Spahn et al. (2008) provide recent examples of the very good agreement between experiment and calculations for DC3N and HC3N.
The nuclear spin-rotation tensor is a second-order response property and can be computed via the associated second derivative of the energy with respect to nuclear spin and the rotational angular momentum as perturbations. As described in Gauss et al. (1996), we calculate the spin-rotation tensor using perturbation-dependent basis functions (so-called rotational London atomic orbitals) in order to ensure fast basis-set convergence. No vibrational averaging has been performed for the spin-rotation tensors, as the corresponding theoretical expressions exhibit numerical problems in the case of polyatomic linear molecules.
To ensure convergence in the electron-correlation treatment, a few calculations have been performed at levels beyond CCSD(T), i.e. at the CCSDT level (Noga & Bartlett 1987; Scuseria & Schaefer 1988) with a full treatment of triple excitations and at the CCSDTQ level (Kállay et al. 2004; Kállay & Surján 2001) with an additional consideration of quadruple excitations.
All calculations have been carried out using the CF OUR
quantum-chemical
program package
.
Only the CCSDT and CCSDTQ calculations have been carried out with the
MRCC
package
which has been interfaced
to
CF OUR.
Tables 1 and 2 summarize our computational results for the hyperfine parameters of DCO+, HN13C, and DCN and in particular document the convergence of the calculated values with respect to basis set and electron-correlation treatment.
Table 1: Computed quadrupole-coupling constants eQq (kHz) for DCO+, HN13C, and DNCa.
Table 2: Computed nuclear spin-rotation constants CI (kHz) for DCO+, HN13C, and DNCa.
4 Results
4.1 Hyperfine splitting of DCO+
Figure 1
shows the DCO+ spectrum toward LDN 1512. The
spin I=1 of the D nucleus splits the transition
into three components,
labeled by the total angular momentum F = J
+ I.
The three expected hyperfine components are clearly detected and
resolved.
We derive the frequencies of these components by fitting three
independent
Gaussians to the observed spectrum. The fit uses a cloud velocity of
= 7.069 km s-1
(see Sect. 2)
and a line width of 35 kHz which is
the average width of the three components.
The spacings of the components, independent of
,
are -0.198 (6) and
+0.269 (6) km s-1
which is +47.58 (144) and -64.64 (144) kHz
(Table 3).
These splittings are linear combinations of the
quadrupole coupling constant eQq and the
spin-rotation constant CI
of the D
nucleus (e.g., Townes &
Schawlow 1955). Solving the two equations with two
unknowns gives the eQq and CI
values given in Table 4.
|
Figure 1:
Spectrum of the J = 1-0 transition of DCO+
toward the dark cloud LDN 1512, obtained with the IRAM 30 m
telescope. Vertical scale is antenna temperature (
|
| Open with DEXTER | |
Table
3:
Measured hyperfine splitting
(kHz) and residual o-c of DCO+, DNC, and HN13C
relative to a selected hyperfine component.
The present value of CI in Table 4 is smaller in magnitude than that by Caselli & Dore (2005) while eQq is larger. However, agreement exists within the larger uncertainties from Caselli & Dore (2005). These authors also observed the LDN 1512 cloud with the IRAM 30 m telescope, but at a different position, where the lines are weaker. Therefore, the signal-to-noise ratio of their spectra is lower, even though the integration time is longer.
The quantum-chemical calculations for DCO+ (see Table 1) yield as best values for eQq 156.0 kHz (CCSD(T)/cc-pCV5Z calculations plus vibrational corrections); the small changes from the quadruple-zeta (QZ) to the quintuple-zeta (5Z) basis set suggests a minute increase of probably less than 1 kHz upon extrapolation to the basis-set limit. The agreement is good, within twice the experimental uncertainties, for the fit in which CI has been varied. The agreement is slightly worse for the fit in which CI was kept fixed to the quantum-chemically calculated value and slightly worse still in comparison to the previous values from Caselli & Dore (2005); see Table 4.
The best theoretical value for CI is -0.69 kHz. As discussed in Sect. 3, no vibrational corrections could be computed for this value. However, since the vibrational correction to eQq is fairly small, it is likely that the one on CI will be small also, possibly of order of 0.1 kHz. The convergence patterns seen in Table 2 suggest that remaining errors in the calculations can be considered rather small so that we conclude, based on these theoretical estimates as well as the results of our measurements that Caselli & Dore (2005) overestimate CI due to the limited signal-to-noise in their spectrum. Both fitted values agree within the fairly large uncertainties with the theoretical value.
The absolute positions of the strongest hyperfine component from the present astronomical observations agree to about 3 kHz with the previous observations (Caselli & Dore 2005).
Table 4: Derived hyperfine parametersa (kHz) of DCO+ in comparison to previous experimental and present quantum-chemically calculated values.
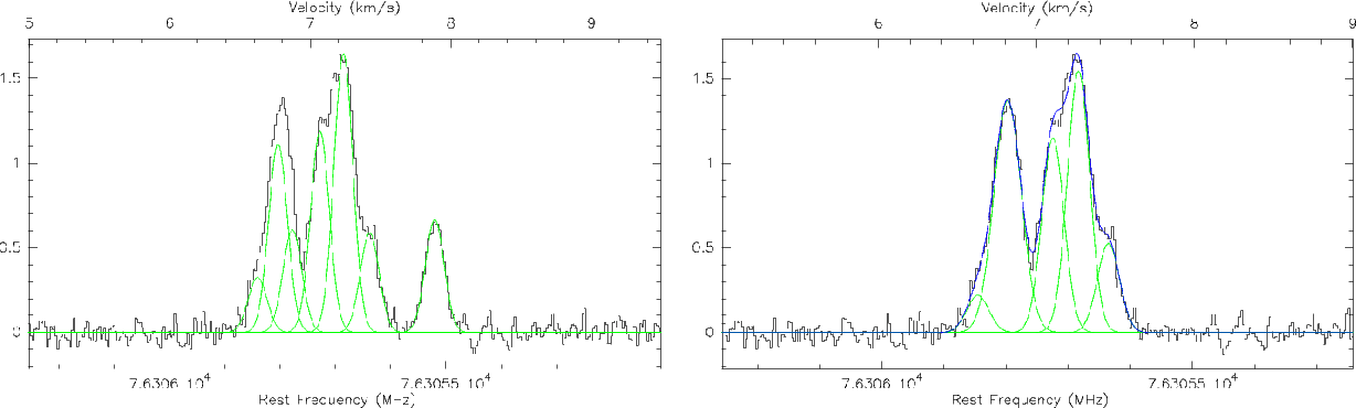
|
Figure 2:
Spectrum of the J = 1-0 transition of DNC toward
the dark cloud LDN 1512, obtained with the IRAM 30 m
telescope. Vertical scale is antenna temperature (
|
| Open with DEXTER | |
4.2 Anomalous excitation of DCO+
The continuous line in Fig. 1 is a model fit to the data that uses the splitting constants that we just derived. The model was computed with the hyperfine structure (HFS) routine within CLASS. This routine assumes that the hyperfine components of the transition have the same width and the same excitation temperature. While the data support the first assumption, the second apparently does not hold. The highest-frequency F = 1-1 component has a higher intensity than the model predicts. Such `hyperfine anomalies' are well-known for the J = 1-0 line of HCN, where the F = 0-1 component is unexpectedly strong toward many dark clouds (e.g., Walmsley et al. 1982). The implied difference in excitation temperatures between the hyperfine components can be understood through detailed calculations of hyperfine selective collisional cross sections (Monteiro & Stutzki 1986). Such calculations do not exist for DCO+ at present, although they have been reported for N2H+ (Daniel et al. 2005), where a similar excitation anomaly has been observed (Caselli et al. 1995). Hyperfine selective collision data for the electron impact excitation of HCN, HNC, DCN and DNC are presented by Faure et al. (2007), but do not apply here, since the electron abundance in dark clouds is low.
4.3 Hyperfine splitting of DNC
Figure 2
shows the spectrum of DNC toward LDN 1512. The profile
consists of one weak, isolated component at low frequency, and two
stronger,
broader peaks which appear to be blends of several components. The
spins I=1of the D and 14N
nuclei lead theoretically to a splitting into nine
components at seven different frequencies, but not all these components
are
resolved in the current data. Since the hyperfine splitting of both
nuclei are
of similar magnitude, we have used the symmetric coupling scheme
and
.
In contrast,
Bechtel
et al. (2006)
use the sequential coupling scheme, which only affects
the labeling of the levels, but not the shape of the hfs pattern. The
isolated
component is well fitted with a Gaussian profile of width
0.150 (1) km s-1. We
have fitted the profile with an ``empirical'' model consisting of
several
Gaussians with independent positions and intensities, but with the
width fixed
to 0.15 km s-1. The fit has
significant residuals if four or five Gaussians are
used, but the sum of six Gaussians (plus one for the isolated feature)
gives a
satisfactory fit to the observed profile (Fig. 2a).
The results of the empirical model are in good agreement with
our quantum-chemical
calculations, which predict seven hyperfine components for this
transition, due to the nuclear spin of both D and N. In the case of
DNC, the quadrupole moments eQq of the D and N
nuclei are similar in magnitude, unlike in DCN where
.
The positions of the components of the empirical model are in
good agreement
with the predictions based on quantum-chemical calculations, except for
the
highest-frequency component. Suspecting that this mismatch is caused by
the
small separation of the
and the (coinciding)
and
components, we have reduced
the empirical model to five Gaussians,
and freed up the width of the fourth Gaussian, which represents these
components. This ``semi-empirical'' model gives an excellent match to
the data,
as shown by the solid line in Fig. 2b. The width
of the
fourth
Gaussian is 0.202 (9) km s-1
implies a separation of the
component
from the
and
components of 0.05 km s-1.
This result is in
good agreement with the theoretical results: the calculated splitting
is
8.7 kHz, but the apparent separation is smaller because of the
small intensity
of the
and
components; see Table 3.
Table 5: Hyperfine parametersa (kHz) of DNC in comparison to previous experimental and present quantum-chemically calculated values.
The hyperfine parameters determined for DNC are compared in
Table 5
with those previously determined in the laboratory by Bechtel
et al. (2006)
and with the best ab initio values. We note a good agreement between
the two
experimental sets of data, but emphasize that our values have reduced
error
bars. The comparison with the theoretical best estimates is also
favorable and
lends support to the reliability of the experimentally determined
hyperfine
parameters. The theoretical quadrupole coupling terms determined with
the
largest basis set and incorporating vibrational corrections are 257.6
and
309.6 kHz for the D and 14N nucleus,
respectively, while the calculated
nitrogen spin-rotation constant amounts to 5.54 kHz. The
theoretical values are
apparently slightly closer to the previous values (Bechtel
et al. 2006).
While a smooth and fast convergence is observed in the calculation of
the
spin-rotation and deuterium quadrupole coupling constants, the
determination of
the nitrogen quadrupole coupling constant turned out to be challenging.
Going
from the quadruple-zeta to the quintuple-zeta set causes a change of
16 kHz and
vibrational corrections amount to more than 40 kHz, while
electron-correlation
effects beyond CCSD(T) are found to be less important. However, the
noted
problems in the accurate determination of the nitrogen quadrupole
coupling
constant can be traced back to the smallness of the actual value which
is
roughly one order of magnitude smaller than the corresponding
quadrupole
coupling in DCN (Brünken
et al. 2004). Moreover, the changes in the
calculated
eQq values decrease fairly rapidly by a factor of
about 6 with increasing size
of the basis set. Taking into account the decrease in the magnitude of
the
vibrational corrections one can estimate a value of about
kHz
as
the CCSD(T) value at the inifinitely large basis set, in agreement
within the
uncertainty of the laboratory value and within 2.5 times the
uncertainties of
the present astronomical observations.
The absolute positions of the isolated hyperfine components from the present astronomical observations agree to 1 kHz with the previous laboratory frequencies (Bechtel et al. 2006). The laboratory frequency was deemed to be uncertain to 5 kHz while our astronomical frequency is uncertain to probably no more than 3 kHz.
|
Figure 3:
Spectrum of the J = 1-0 transition of HN13C
toward the dark cloud LDN 1512, obtained with the IRAM 30 m
telescope. Vertical scale is antenna temperature (
|
| Open with DEXTER | |
4.4 Hyperfine splitting of HN13C
Figure 3 shows the spectrum of HN13C J = 1-0 toward LDN 1512. One weak, isolated hyperfine feature at low frequency (LF for short) as well as two somewhat resolved ones can be recognized easily as would be expected for a molecule with a 14N nucleus. Analyses of the astronomical spectrum as well as simulations of the spectrum based on the experimental quadrupole moment (eQq) for HNC (Bechtel et al. 2006), the quantum-chemically calculated nuclear spin-rotation parameters (CI) and the spin-spin coupling terms (SXY) derived from the interatomic distances and the nuclear magnetic moments reveal that the situation is more complicated. First, contributions from the 13C nucleus considerably broaden the central hyperfine feature (CF for short) such that a shoulder to the lower frequency side should be discernable. Second, the hyperfine pattern should get wider, and the relative intensity of the highest frequency feature (HF for short) should increase somewhat with respect to the central one. Splitting caused by the H nucleus increases the total number of hyperfine components further, but the total number of observable features does not increase. However, it is noteworthy that the H hyperfine parameters counteract somewhat the effects caused by the 13C nucleus mentioned under ``second''. The net effect is one isolated, weak hyperfine feature at low frequencies, one strong and very broad CF with a low-frequency shoulder, and a HF that should be stronger than the isolated component, but weaker than the central one.
Analyses were started assuming three different hyperfine
features with three
different widths. The LF-HF splitting seemed reasonable, but the HF was
too
strong compared with the CF, and the position of the CF was too low in
frequency. Fitting two features for the CF required their width to be
equal to
that of the LF which was determined to be 43 kHz as expected
from the
simulations. A fit of four components with widths of 43 kHz
was still fairly
poor. Simulations suggested the width of the HF to be about 15% larger
than
that of the remaining components. The analysis of the astronomical
spectrum
improved somewhat, but was still not satisfactory. Moreover, a fit of eQq
to
the splittings with all other hyperfine parameters kept fixed yielded a
value of
kHz, which is larger
than the one determined for HNC,
kHz,
in the laboratory (Bechtel
et al. 2006), but in agreement within the
quoted uncertainties. The rms of the fit is 5.1 kHz. Releasing
the width of
the HF gave the best analysis of the astronomical spectrum, but yielded
a width
of
kHz, much bigger
than expected from the simulations. The
spectroscopic fit yields
kHz,
which is now smaller than
the HNC value, but again in agreement within uncertainties. The rms of
the fit
is, with 4.0 kHz, slightly better than the fit mentioned
before (Table 3).
The contributions to the hyperfine splittings decrease from 14N over 13C to H. Therefore, we apply a sequential coupling scheme: F1 = J + I(14N); F2 = J + I(13C); F = J + I(H). Only eQq could be determined for the 14N nucleus. Trial fits with C(14N) or C(13C) or both released yielded values for these parameters that were deemed to be unreliable as they could differ by as much as about 5 kHz from the predicted values.
Table 6: Hyperfine parametersa (kHz) of HN13C in comparison to ab initio values.
Table 7: Velocity offsets and intrinsic strengths of hyperfine components of the DCO+, DNC, and HN13C J=1-0 lines.
The final values for the hyperfine parameters for HN13C are given in Table 6. The resulting nitrogen quadrupole coupling of 272.5 (51) kHz is in good agreement with the best theoretical value of 279.5 kHz, in particular when noting the slow basis-set convergence in the corresponding calculations. The vibrational contributions are much larger still than the already large contributions for DNC; they amount to about 46 kHz for HN13C. These contributions decrease again slightly in magnitude going from the quadruple-zeta to the quintuple-zeta basis set. Thus, the CCSD(T) eQq(14N) value at the basis-set limit is probably around 3 kHz smaller than the one calculated at the cc-pCV5Z basis set with vibrational corrections and now agreeing within the uncertainty with the value from astronomical observations.
4.5 Rotational and distortion parameters for HN13C
Accurate rotational as well as distortion parameters are available for
DNC
(Bechtel
et al. 2006; Brünken
et al. 2006) and
DCO+(Lattanzi
et al. 2007;
Caselli
& Dore 2005) and the present measurements will only
modify these parameters slightly. In contrast, only sparse data are
available
for HN13C. Pearson
et al. (1976) measured the
and
rotational
transitions of several HNC isotopologs. More recently,
Maki &
Mellau (2001)
obtained rovibrational transitions of the
bending
mode of HN13C together with extensive data for
HNC. Replacing the
laboratory rest frequency with
our astronomical rest frequency
(Table 3)
reduces the uncertainties of B and D
by
factors of 5 and 1.7, respectively. Fixing H to a
value of 157 mHz taken from
HNC (Bechtel
et al. 2006; Thorwirth
et al. 2000),
we obtain B
= 43 545.6000 (47) MHz and D
= 93.7 (20) kHz; the numbers in parentheses are one
standard deviation in units
of the least significant figures.
The present values of B and D
agree with the previous ones within their
larger uncertainties (Pearson
et al. 1976). The resulting predictions are
accurate up to
500 GHz
but should be viewed with some caution at
higher frequencies.
5 Discussion and conclusions
5.1 Astronomical implications
At spectral resolutions of
0.1 km s-1,
as commonly achieved by astronomical
instrumentation in the 3 mm wavelength range, the J=1-0
line of DCO+ splits into three hyperfine
components, the HN13C J=1-0
line into four, and
the DNC J=1-0 line into six. Table 7 gives the
velocity offsets and
the relative strengths of these components. The strengths are
theoretical values
which only apply if the lines are optically thin and the excitation is
thermalized; as Sect. 4.2
discusses, these conditions are often not
fulfilled, so that detailed radiative transfer modeling is needed to
extract
physical information from observed hyperfine intensities.
The hyperfine splitting extends over 0.47 km s-1 for DCO+, over 1.28 km s-1 for DNC, and over 0.73 km s-1 for HN13C. These intervals are comparable to or larger than the total (thermal + turbulent) line widths in many astrophysical objects, in particular pre- and protostellar cores in star-forming regions (Bergin & Tafalla 2007). Taking these splittings into account is therefore crucial to derive accurate column densities of DCO+, DNC and HN13C from their ground-state rotational lines.
The magnitude of the hyperfine splittings is also comparable
to the velocities
of infalling, outflowing and rotational motions around protostars on
1000 AU
scales (e.g., Hogerheijde 2001).
Taking the splitting into
account is therefore essential for a correct determination of the
velocity field
of the gas from these lines. The quadrupole splittings of linear
molecules decrease rapidly with increasing J, at
least for the strong transitions, so that going to higher-J
lines would seem a way to avoid this complication.
However, at the typical (low)
temperatures and densities of pre- and protostellar cores, the higher-J
lines
of DCO+, DNC and HN13C
are usually less excited and thus weaker than the
ground-state lines.
5.2 Molecular physics implications
The most remarkable aspect of the present results from the molecular physics point of view are the large vibrational corrections to the 14N eQq values of HN13C and DNC and the corresponding large differences in the ground state eQq values. Isotopic differences in experimentally determined quadrupole coupling constants are usually not or barely significant. Significant effects have been observed e.g. by Gatehouse et al. (1998) where 10B/11B isotopic shifts of around 15 kHz were determined for quadrupole coupling constants of both 35Cl and 37Cl of ClBO, though these shifts were only very small fractions (<10-3) of the constants themselves. The authors attributed these effects to the non-rigidity of the molecule in particular along the bending coordinate. Experimental work (Bechtel et al. 2008) and calculations (Wong 2008) lend support to this view and suggest that low-order vibrational corrections to the eQq values are probably not sufficient for very accurate predictions of quadrupole coupling constants for specific vibrational states.
While the bending mode of HNC is known to be fairly non-rigid,
those of the isoelectronic HCN, HCO+, and N2H+
molecules are much more rigid. However, the bending mode of the HOC+
molecule is even less rigid than that of HNC. Therefore, it would be
interesting to investigate the 17O quadrupole
coupling constants of H17OC+
and D17OC+. The HOC+
molecule is less abundant than its isomer HCO+
by factors of
100
in diffuse clouds and
1000
in dense clouds (Liszt et al.
2004), but HOC+ is
strongly enhanced in regions with strong radiation fields and/or shocks
(Fuente
et al. 2008,2005;
Rizzo et al.
2003), so
these may be good places to search for its
rare isotopologues.
In addition, this molecule is not so easy to produce in the laboratory.
Thus, the easiest way to obtain information on the hyperfine structure
of this ion are detailed quantum-chemical calculations.
New or updated predictions of the rotational spectra for DCO+,
DNC, and
HN13C will be available in the catalog section
of the Cologne Database for
Molecular spectroscopy
(Müller
et al. 2005,2001).
The authors thank Michael Grewing (IRAM) for awarding Director's Time to our observing project, Johannes Schmid-Burgk (MPIfR) for discussions about the LDN 1512 cloud, Gabriel Paubert (IRAM) for discussions on heliocentric corrections, and Arnaud Belloche and Dirk Muders (MPIfR) for assistance with the observations. H.S.P.M. thanks the Deutsche Forschungsgemeinschaft (DFG) for initial support through the collaborative research grant SFB 494. He is grateful to the Bundesministerium für Bildung und Forschung (BMBF) for recent support which was administered by the Deutsches Zentrum für Luft- und Raumfahrt (DLR). M.E.H. and J.G. acknowledge support from the Deutsche Forschungsgemeinschaft (DFG) and the Fonds der Chemischen Industrie.
References
- Auer, A. A., Gauss, J., & Stanton, J. F. 2003, J. Chem. Phys., 118, 10407 [CrossRef] [NASA ADS]
- Bartlett, R. J., & Musia, M. 2007, Rev. Mod. Phys., 79, 291 [CrossRef] [NASA ADS]
- Bechtel, H. A., Steeves, A. H., & Field, R. W. 2006, ApJ, 649, L53 [CrossRef] [NASA ADS]
- Bechtel, H. A., Steeves, A. H., Wong, B. M., & Field, R. W. 2008, Angew. Chem., 120, 3011 [CrossRef]
- Bergin, E. A., & Tafalla, M. 2007, ARA&A, 45, 339 [CrossRef] [NASA ADS]
- Bergin, E. A., Alves, J., Huard, T., & Lada, C. J. 2002, ApJ, 570, L101 [CrossRef] [NASA ADS]
- Brünken, S., Fuchs, U., Lewen, F., et al. 2004, J. Mol. Spectrosc., 225, 152 [CrossRef] [NASA ADS]
- Brünken, S., Müller, H. S. P., Thorwirth, S., Lewen, F., & Winnewisser, G. 2006, J. Mol. Struct., 780, 3 [CrossRef] [NASA ADS]
- Buhl, D., & Snyder, L. E. 1970, Nature, 228, 267 [CrossRef] [NASA ADS]
- Caselli, P., & Dore, L. 2005, A&A, 433, 1145 [EDP Sciences] [CrossRef] [NASA ADS]
- Caselli, P., Myers, P. C., & Thaddeus, P. 1995, ApJ, 455, L77 [CrossRef] [NASA ADS]
- Crawford, T. D., & Schaefer, H. F. 2000, Rev. Comp. Chem., 14, 33
- Daniel, F., Dubernet, M.-L., Meuwly, M., Cernicharo, J., & Pagani, L. 2005, MNRAS, 363, 1083 [CrossRef] [NASA ADS]
- Dore, L., Caselli, P., Beninati, S., et al. 2004, A&A, 413, 1177 [EDP Sciences] [CrossRef] [NASA ADS]
- Dunning Jr., T. H. 1989, J. Chem. Phys., 90, 1007 [CrossRef] [NASA ADS]
- Faure, A., Varambhia, H. N., Stoecklin, T., & Tennyson, J. 2007, MNRAS, 382, 840 [CrossRef] [NASA ADS]
- Frerking, M. A., Wilson, R. W., & Langer, W. D. 1979, ApJ, 232, L65 [CrossRef] [NASA ADS]
- Fuente, A., García-Burillo, S., Gerin, M., et al. 2005, ApJ, 619, L155 [CrossRef] [NASA ADS]
- Fuente, A., García-Burillo, S., Usero, A., et al. 2008, A&A, 492, 675 [EDP Sciences] [CrossRef] [NASA ADS]
- Gatehouse, B., Müller, H. S. P., & Gerry, M. C. L. 1998, J. Mol. Spectrosc., 190, 157 [CrossRef] [NASA ADS]
- Gauss, J. 1998, in Encyclopedia of Computational Chemistry, ed. P.v.R. Schleyer et al. (Wiley, New York), 615
- Gauss, J., & Stanton, J. F. 1997, Chem. Phys. Lett., 276, 70 [CrossRef] [NASA ADS]
- Gauss, J., Ruud, K., & Helgaker, T. 1996, J. Chem. Phys., 105, 2804 [CrossRef] [NASA ADS]
- Gerin, M., Pearson, J. C., Roueff, E., Falgarone, E., & Phillips, T. G. 2001, ApJ, 551, L193 [CrossRef] [NASA ADS]
- Ho, P. T. P., & Townes, C. H. 1983, ARA&A, 21, 239 [CrossRef] [NASA ADS]
- Hogerheijde, M. R. 2001, ApJ, 553, 618 [CrossRef] [NASA ADS]
- Kállay, M., Gauss, J., & Szalay, P. G. 2004, J. Chem. Phys., 119, 2991 [CrossRef] [NASA ADS]
- Kállay, M., & Surján, P. R. 2001, J. Chem. Phys., 115, 2945 [CrossRef] [NASA ADS]
- Kendall, R. A., Dunning, Jr., T. H., & Harrison, R. J. 1992, J. Chem. Phys., 96, 6796 [CrossRef] [NASA ADS]
- Krämer, W. P., & Diercksen, G. H. F. 1976, ApJ, 205, L97 [CrossRef] [NASA ADS]
- Lattanzi, V., Walters, A., Drouin, B. J., & Pearson, J. C. 2007, ApJ, 662, 771 [CrossRef] [NASA ADS]
- Lemaire, J. L., & Combes, F. 2007, Molecules in Space and Laboratory, proceedings of the meeting held in Paris, May 14-18, Astrophysique Moleculaire Publications, S. Diana
- Liszt, H., Lucas, R., & Black, J. H. 2004, A&A, 428, 117 [EDP Sciences] [CrossRef] [NASA ADS]
- Maki, A. G., & Mellau, G. C. 2001, J. Mol. Spectrosc., 206, 47 [CrossRef] [NASA ADS]
- Monteiro, T. S., & Stutzki, J. 1986, MNRAS, 221, 33P [NASA ADS]
- Müller, H. S. P., Thorwirth, S., Roth, D. A., & Winnewisser, G. 2001, A&A, 370, L49 [EDP Sciences] [CrossRef] [NASA ADS]
- Müller, H. S. P., Schlöder, F., Stutzki, J., & Winnewisser, G. 2005, J. Mol. Struct., 742, 215 [CrossRef] [NASA ADS]
- Noga, J., & Bartlett, R. J. 1987, J. Chem. Phys., 86, 7041 [CrossRef] [NASA ADS]
- Pagani, L., Gallego, A. T., & Apponi, A. J. 2001, A&A, 380, 384 [EDP Sciences] [CrossRef] [NASA ADS]
- Pagani, L., Daniel, F., & Dubernet, M.-L. 2009, A&A, 494, 719 [EDP Sciences] [CrossRef] [NASA ADS]
- Pearson, E. F., Creswell, R. A., Winnewisser, M., & Winnewisser, G. 1976, Z. Naturforsch. A, 31, 221 [NASA ADS]
- Purvis, III, G. D., & Bartlett, R. J. 1982, J. Chem. Phys., 76, 1910 [CrossRef] [NASA ADS]
- Pyykkö, P. 2008, Mol. Phys., 106, 1965 [CrossRef] [NASA ADS]
- Raghavachari, K., Trucks, G. W., Pople, J. A., & Head-Gordon, M. 1989, Chem. Phys. Lett., 157, 479 [CrossRef] [NASA ADS]
- Rizzo, J. R., Fuente, A., Rodríguez-Franco, A., & García-Burillo, S. 2003, ApJ, 597, L153 [CrossRef] [NASA ADS]
- Schmid-Burgk, J., Muders, D., Müller, H. S. P., & Brupbacher-Gatehouse, B. 2004, A&A, 419, 949 [EDP Sciences] [CrossRef] [NASA ADS]
- Scuseria, G. E., & Schaefer, H. F. 1988, Chem. Phys. Lett., 152, 382 [CrossRef] [NASA ADS]
- Spahn, H., Müller, H. S. P., Giesen, T. F., et al. 2008, Chem. Phys., 346, 132 [CrossRef] [NASA ADS]
- Stanton, J. F., & Gauss, J. 2000, Int. Rev. Phys. Chem., 19, 61 [CrossRef]
- Thorwirth, S., Müller, H. S. P., Lewen, F., Gendriesch, R., & Winnewisser, G. 2000, A&A, 363, L37 [NASA ADS]
- Townes, C. H., & Schawlow, A. L. 1955, Microwave Spectroscopy (New York: McGraw-Hill)
- Turner, B. E. 2001, ApJS, 136, 579 [CrossRef] [NASA ADS]
- Cízek, J. 1966a, Adv. Chem. Phys., 14, 35
- Cízek, J. 1966b, J. Chem. Phys., 45, 4256 [CrossRef] [NASA ADS]
- Van der Tak, F. F. S., Caselli, P., & Ceccarelli, C. 2005, A&A, 439, 195 [EDP Sciences] [CrossRef] [NASA ADS]
- Walmsley, C. M., & Ungerechts, H. 1983, A&A, 122, 164 [NASA ADS]
- Walmsley, C. M., Churchwell, E., Nash, A., & Fitzpatrick, E. 1982, ApJ, 258, L75 [CrossRef] [NASA ADS]
- Wong, B. M. 2008, Phys. Chem. Chem. Phys., 10, 5599 [CrossRef]
- Woon, D. E., & Dunning, Jr., T. H. 1995, J. Chem. Phys., 103, 4572 [CrossRef] [NASA ADS]
Footnotes
- ...
(IRAM)
- IRAM is an international institute for research in millimeter astronomy, co-funded by the Centre National de la Recherche Scientifique (France), the Max Planck Gesellschaft (Germany) and the Instituto Geografico Nacional (Spain).
- ...
telescope
- The Effelsberg telescope is operated by the Max-Planck-Institut für Radioastronomie.
- ... package
- http://www.iram.fr/IRAMFR/GILDAS
- ... package
- Coupled Cluster techniques for Computational Chemistry, a quantum-chemical program package by J. F. Stanton, J. Gauss, M. E. Harding, and P. G. Szalay with contributions from A. A. Auer, R. J. Bartlett, U. Benedikt, D. E. Bernholdt, C. Berger, Y. J. Bomble, O. Christiansen, M. Heckert, O. Heun, C. Huber, D. Jonsson, J. Jusélius, K. Klein, W. J. Lauderdale, D. Matthews, T. Metzroth, D. P. O'Neill, D. R. Price, E. Prochnow, K. Ruud, F. Schiffmann, S. Stopkowicz, M. E. Varner, J. Vázquez, J. D. Watts, F. Wang and the integral packages MOLECULE (J. Almlöf and P. R. Taylor), PROPS (P. R. Taylor), ABACUS (T. Helgaker, H. J. Aa. Jensen, P. Jørgensen, and J. Olsen), and ECP routines by A. V. Mitin and C. van Wüllen. For the current version, see http://www.cfour.de.
- ...
package
- MRCC, a string-based quantum chemical program suite written by M. Kállay. See http://www.mrcc.hu.
- ... spectroscopy
- Website: http://www.astro.uni-koeln.de/cdms/
All Tables
Table 1: Computed quadrupole-coupling constants eQq (kHz) for DCO+, HN13C, and DNCa.
Table 2: Computed nuclear spin-rotation constants CI (kHz) for DCO+, HN13C, and DNCa.
Table
3: Measured hyperfine splitting
(kHz) and residual o-c of DCO+, DNC, and HN13C
relative to a selected hyperfine component.
Table 4: Derived hyperfine parametersa (kHz) of DCO+ in comparison to previous experimental and present quantum-chemically calculated values.
Table 5: Hyperfine parametersa (kHz) of DNC in comparison to previous experimental and present quantum-chemically calculated values.
Table 6: Hyperfine parametersa (kHz) of HN13C in comparison to ab initio values.
Table 7: Velocity offsets and intrinsic strengths of hyperfine components of the DCO+, DNC, and HN13C J=1-0 lines.
Current usage metrics show cumulative count of Article Views (full-text article views including HTML views, PDF and ePub downloads, according to the available data) and Abstracts Views on Vision4Press platform.
Data correspond to usage on the plateform after 2015. The current usage metrics is available 48-96 hours after online publication and is updated daily on week days.
Initial download of the metrics may take a while.
![\begin{figure}
\includegraphics[width=9cm,clip]{aa12912f1.eps}
\end{figure}](/articles/aa/full_html/2009/43/aa12912-09/Timg23.png)
![\begin{figure}
\par\includegraphics[width=8.5cm,clip]{aa12912f2a.eps}\hspace*{3mm}
\includegraphics[width=8.5cm,clip]{aa12912f2b.eps}
\end{figure}](/articles/aa/full_html/2009/43/aa12912-09/Timg24.png)
![\begin{figure}
\includegraphics[width=9cm,clip]{aa12912f3.eps}
\end{figure}](/articles/aa/full_html/2009/43/aa12912-09/Timg32.png)