| Issue |
A&A
Volume 507, Number 1, November III 2009
|
|
|---|---|---|
| Page(s) | 29 - 33 | |
| Section | Astrophysical processes | |
| DOI | https://doi.org/10.1051/0004-6361/200912942 | |
| Published online | 15 September 2009 | |
A&A 507, 29-33 (2009)
Simple analytical examples of boundary driven evolution of a two-dimensional magnetohydrostatic equilibrium
J. J. Aly
AIM - Unité Mixte de Recherche CEA - CNRS
- Université Paris VII - UMR n
7158, Centre d'Études de Saclay, 91191 Gif-sur-Yvette Cedex, France
Received 20 July 2009 / Accepted 1 September 2009
Abstract
Aims. We construct families of time-sequences of x-invariant
magnetostatic equilibria which describe ideal quasi-static evolutions
driven by stationary shearing motions imposed on a boundary. The change
in the thermal pressure of the plasma is determined by imposing either
an adiabatic, or an isothermal, or an isobaric, prescription.
Methods. We start from a well known family of linear
force-free fields, on which we effect simple transforms.
Results. In either case, the magnetic field and the
pressure are
expressed analytically as functions of space and time. The field is
found to suffer an indefinite expansion, with a decrease to zero of the
pressure in the adiabatic and isothermal cases, and to eventually open.
Moreover, the configurations forming any sequence are shown to be
linearly stable with respect to x-invariant
perturbations.
Key words: magnetohydrodynamics (MHD) - Sun: magnetic fields - Sun: corona - Sun: coronal mass ejections (CMEs)
1 Introduction
Solar eruptive phenomena occurring in very elongated
structures
present in active regions have often been studied by using a simplified
2
D model. In the
latter, the corona is represented by a half-space
containing a magnetized low beta highly conducting plasma with
properties independent of the x-coordinate.
The magnetic field has an arcade topology, and it is imposed to evolve
quasi-statically through a sequence of force-free configurations as a
result of slow shearing motions imposed to its footpoints on the
``photospheric'' boundary
.
Energy thus gets stored in the field, and one looks for the possibility
of reaching some critical state beyond which a catastrophic release of
a part of that energy becomes unavoidable. Analytical studies (Aly 1994,1990,1985)
have shown that one of the most significant feature of such an
evolution in the ideal MHD case is an indefinite expansion of
the
field leading asymptotically (for
)
to its partial or full opening, with the formation of an infinitely
thin current-sheet, a transition by reconnection to a lower energy
state becoming however energetically favorable at some stage if
resistivity is introduced in the model. Numerical simulations based on
both dynamical and static schemes (Choe
& Lee 1996; Amari
et al. 1996) have lead to similar conclusions, and
have also provided valuable descriptions of the nonideal reconnection
phase.
Although the force-free assumption appears to be relevant for
representing slowly evolving structures lying in the mid-corona, where
the plasma beta has effectively a low value, it may be much less
justified to use it for studying structures extending up to the upper
corona. In the latter region, pressure and gravity forces are no longer
fully negligible, and it has even been suggested by several authors
that they may play a crucial role in the triggering of eruptive events
(e.g., Shibasaki 2001;
Low & Smith 1993).
As yet these forces have been taken into account in some 2
D numerical
simulations (Finn
& Chen 1990; Choe & Lee 1996;
Zwingmann 1987),
but not much seems to have been done from an analytical point of view
(see, however, Aly
1994,
in which a particular example is discussed). This has lead us to
undertake a general study of the evolution of a non force-free 2
D equilibrium.
As a first step, we have looked for exact solutions of the quasi-static
evolution problem including the effects of the thermal pressure
(gravity is still neglected). The aim of this paper is to present
families of such solutions which seem to have not been noticed before,
in spite of the fact that they can be obtained by effecting some simple
transforms on a well known sequence of linear force-free solutions
(described, e.g., in Priest &
Forbes 1990).
The paper is organized as follows. We first state precisely (Sect. 2) the general evolutionary problem in which we are interested. Thus we explain (Sect. 3) our method for transforming a sequence of force-free fields describing an evolution driven by a stationary shearing velocity field into a non-force-free sequence having the same property, with the pressure of the plasma evolving according to either an adiabatic prescription, or an isothermal one, or an isobaric one. This method works if the original sequence satisfies a peculiar condition, which is shown in Sect. 4 to be fulfilled by the sequence of linear force-free fields alluded to above. We can thus obtain new sequences of equilibria, whose properties are studied in Sect. 5. Our results are summarized and discussed in Sect. 6.
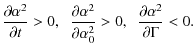
2 Statement of the general problem
2.1 Assumptions
We use hereafter Cartesian coordinates (x,y,z).
For
,
we define D, S, and
to be, respectively, the domain
,
its lower plane boundary
,
and its cross-section
.
We assume that D contains a magnetized
perfectly conducting plasma whose properties are left invariant by the
translations parallel to the x-axis. We denote as
and p(y,z,t),
respectively, the magnetic field and the plasma thermal pressure at
time t. Initially (at t=0)
the system is in a given state of equilibrium, with the pressure force
being balanced by the Lorentz force (the gravitational force is
neglected here). The total energy (magnetic+thermal) per unit of x-length
is finite, and
is
taken to have an arcade topology and no shear (
). In the case
,
we also require that
,
i.e., the field does not thread the lateral boundaries, taken otherwise
to be perfectly conducting.
For
,
a velocity field
is applied to the magnetic footpoints on S
(also taken to be perfectly conducting), with v(y)
decreasing fast enough at infinity in the case
for
the energy input rate to keep a finite value. Consequently the system
is driven into an evolution which is assumed to be quasi-static. Of
course, we also need to fix a rule determining the behavior of the
pressure. Hereafter, we shall use in turn the following prescriptions:
(i) adiabatic prescription (Finn & Chen
1990; Choe & Lee 1996):
the mass and the entropy contents in any flux tube are conserved, which
amounts to consider the ``photosphere'' S
as a wall impeding any exchange of matter and heat between the
``corona'' D and the subphotospheric
region, while assuming that there are no heat sources or sinks
in D. (ii) Isothermal
prescription: the mass in any flux tube is conserved, while the
temperature T keeps a constant externally fixed
value. Then mass transfer through S is
forbidden, while energy may be exchanged with a heat reservoir
(thermostat). (iii) Isobaric prescription (Zwingmann 1987):
the pressure keeps its initial value on each magnetic line. In that
case, the photosphere is considered as a reservoir regulating p
by allowing plasma to flow into or out the corona. There does not seem
to be yet an agreement on which one of these assumptions may be the
most realistic for describing the corona (see the discussion in Schindler 2006).
Actually, it seems likely that to obtain a definitive answer to that
question it will be necessary to introduce a more global model in which
both the corona and the subphotospheric layers (and then the exchange
between them) are taken into account. Meanwhile, studying the
consequences of our three different assumptions and comparing them is
certainly a profitable exercice.
2.2 Equations
We use the standard representation
in which the field is expressed in terms of a ``toroidal'' function Bx(y,z,t) and a ``poloidal'' flux function A(y,z,t). For A to be uniquely defined, we require
(we can impose Eq. (2) because
Equilibrium at each time t requires Bx and p to be of the form
and A to satisfy the Grad-Shafranov equation
where a dot denotes a derivative with respect to A at constant time (see, e.g., Schindler 2006, p. 78). Moreover, we need to have at each time t (finite energy condition)
The initial equilibrium is given, and it satisfies
and the lines
It may be worth recalling that this means that
Finally, we have to write equations prescribing how Bx(a,t)
and p(a,t)
change with time. For that we introduce the function
where
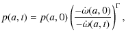
The pressure function p(a,t) is obviously given by
where p(a,0) is its given initial value, and we select
To summarize, our problem - referred to as EvPb
hereafter - consists to determine a sequence
satisfying Eqs. (2)/(3)-(9)
and (12), (13), when we are
given an initial unsheared configuration (A,Bx=0,p)(y,z,0),
a velocity profile v(y)
(and then a shear function
), and a value of
.
In the case where
,
EvPb reduces to the force-free evolutionary problem studied in the
papers quoted in the introduction.
3 A tentative method to get solutions to EvPb having p
0
from a force-free solution
We assume that we know a force-free solution
of EvPb - i.e., a solution for which the pressure
vanishes -, and we choose a time t0>0.
Then we set for
|
(14) | |
| (15) | ||
| (16) |
where an overline indicates that a quantity is associated to
|
(17) |
and the thermal pressure evolves according to Eq. (13).
The shear X(a,t)
of the new field satisfies the first equality in Eq. (12) and then
where we have used the relation
holds true for some
Our ``method'' for constructing a solution to EvPb having
should now appear clearly. It just consists to look for force-free
solutions whose function X2
defined by Eq. (18)
possesses the factorization property (19) for
some value of
,
and to apply to it the transform explained above. Obviously the method
works for any
if we take
(in that case the pressure p just evolves
as did the magnetic pressure
,
and we can take
and
).
That it works for other values of
may appear a priori dubious. However, it turns out to be the case, as
shown in the next section.
4 An example of application of the method
4.1 A force-free solution to EvPb
We start with a well known construction which may be found, e.g., in Priest &
Forbes (1990).
We first introduce the sequence
of linear arcade force-free fields defined in
(with
) by
where B0>0 is a constant,
where
| (23) |
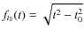
Next we set for
where T is some fixed number, and we define a time-sequence of arcade force-free fields by
| (25) |
For
and the shear function writes
which is easily checked to produce the shear profile
4.2 The new solutions
A simple look at Eq. (26)
shows that the ratio
(with t and t0
being arbitrary positive numbers) is independent of a,
and that the term inside the bracket in the right-hand side of
Eq. (18)
is always positive. Then the field
has the factorization property (19) for
all the values of
,
and we can apply the method of the previous section to produce
solutions to EvPb with
.
Actually, it will prove more convenient here to start directly from the
sequence
.
We thus fix a number
,
and introduce the new time sequence of equilibria,
,
,
by setting
where
|
(32) |
with the latter having a beta at the origin given by
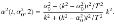
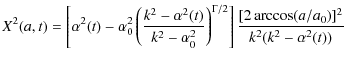
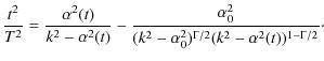
Using Eqs. (12), (22), and (30) we get the relation
|
(34) |
for the shear X(a,t). The latter can be put into the form
Simple considerations show that Eq. (35) has a unique solution
Then
In many cases, it is possible to give
in closed form:
- For the isobaric law,
,
we have
- For the isothermal law,
,
we can write
- For the adiabatic law,
,
a closed form solution is possible for the particular values
of
for which Eq. (35)
reduces to an algebraic equation of degree no larger than 5 (
).
For instance, we obtain in the simplest case where 
We shall refrain here from writing the quite heavy formulas for the other values of
as they are not very illuminating.
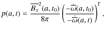
5 Some properties of the new solutions
5.1 Expansion of the poloidal structure
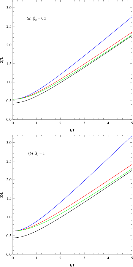
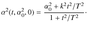
It results immediately from Eq. (21) that the
maximum height, Z(a,t),
reached at time t by the line
is given by
| (40) |
When t increases from 0 to infinity,
|
Figure 1:
Evolution of Z(a0/2,t)/L
as a function of t/T for
|
| Open with DEXTER | |
The open equilibrium which is asymptotically approached when
is 1D for
,
being given by
| (41) | ||
| (42) |
and 1
| (43) | ||
|
(44) |
In these final states, the total pressure P (magnetic+thermal) is uniform (
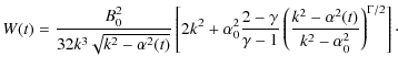
5.2 Energy
Let us denote by Wp,
Wx, and Wi,
respectively, the poloidal magnetic energy (energy of
), the toroidal magnetic
energy (energy of Bx),
and the plasma internal energy (of course ``energy'' means
here ``energy per unit of x-length''). Then we get
after a short calculation
|
(45) | |
|
(46) | |
|
(47) |
and the total energy W=Wp+Wx+Wi is given by
|
(48) |
As it is easily checked, Wp, Wx, and W, increase monotonically with time in any case, and they all tend to infinity when
5.3 Linear stability
Consider any one of the configurations forming a solution to
EvPb,
and submit it - the driving boundary motions being
frozen - to an arbitrary small 2
D displacement field
.
We require
to satisfy the conditions
| (49) |
which express the fact that the boundary of D is rigid and perfectly conducting. Then we claim that the configuration is ideally linearly stable with respect to this perturbation. This statement is an immediate consequence of a general result reported in Schindler (2006, p. 216). According to the latter, a 2
6 Conclusion
Up to now the analytical problem of the boundary driven quasi-static evolution of an x-invariant magnetostatic equilibrium occupying either a half-space or a vertical slice of it has been essentially considered in the case where the magnetic field is force-free. In this paper, we have proposed a method which allows to construct examples in which the thermal pressure of the plasma is taken into account. The method amounts to transform a solution of a force-free EvPb into a solution of a non-force-free EvPb, with p evolving according to some prescribed law, either adiabatic, or isothermal, or isobaric. For the method to apply, the initial force-free solution has however to obey a strong peculiar constraint. The latter has been checked to be satisfied by a well known linear force-free solution which has been already used by many authors, and we have explicitly constructed from it solutions to EvPb driven by the same boundary velocity field, under each one of the three prescriptions for p(t) recalled above. In the case where the constraint is not satisfied, the transform may be still effected, but it leads to evolutionary sequences which are driven by boundary motions whose velocity profile evolves in time and becomes in any case dependent of the imposed pressureprescription. Unfortunately, the transform from a force-free state to a non-force-free one which is at the base of the method is specific to the class of translation-invariant equilibria, for which the thermal pressure and the magnetic pressure associated to the component of the field along the direction of invariance intervene on the same footing in the Grad-Shafranov equation. This property is no longer true for either the axisymmetric or the helical equilibria, and a fortiori for the 3D ones.
It should be noted that many authors have already provided examples of conversion of some particular magnetostatic equilibrium into a new one as a result of the application of an adequate mathematical transform (e.g., Lites et al. 1995; Low 1982; Aly 2009). For instance, Low 1982 has shown that any one of the specific unsheared 2D equilibria we have used in Sect. 4.2 as possible initial states of a quasi-static evolution, can be transformed into a 3D laminar equilibrium submitted to a uniform gravitational field. The new configuration consists of discrete, finite-thickness flux tubes embedded in an isothermal field-free atmosphere, and it turns out to be linearly stable with respect to 3D perturbations. There is however something new in the present paper: the transform method has been applied not to a single equilibrium at a time, but to a whole evolutionnary sequence driven by stationary boundary motions, with another sequence of the same type being eventually obtained.
One of the weakness of the solutions we have presented is of
course
the presence of the lateral walls which impose to the field an
artificial confinement, and it is necessary to study in details the
more interesting case where the evolution takes place in the whole
half-space (
).
Preliminary results on that problem show that - as it can be a
priori expected - the pressure does not change qualitatively
the
evolution when either the adiabatic or the isothermal prescription is
adopted. In the isobaric case, however, the evolution cannot go on for
ever. There is a critical time at which a global nonequilibrium
phenomenon (Aly 1993)
develops: there is no
longer an equilibrium compatible with the constraints imposed to the
system, and a dynamical evolution has to start in, which may be guessed
to lead to an opening of the field. In spite of that, we feel
that
the new solutions are quite useful. They give explicit examples in
which it is possible to evaluate quantitatively how a force-free
solution is changed when the effects of the thermal pressure of the
plasma are introduced, they give an interesting test for checking the
accurateness of the various exact estimates (generally in the form of
upper and lower bounds on some physical quantities) that we shall
present in our forthcoming paper on the general problem, and finally
they may be used as test cases for numerical MHD codes of
evolution.
References
- Aly, J.-J. 1985, A&A, 143, 19 [NASA ADS]
- Aly, J.-J. 1990, Comp. Phys. Comm., 59, 13 [CrossRef] [NASA ADS]
- Aly, J. J. 1993, in Cosmical Magnetism, ed. D. Lynden-Bell (Cambridge: Institute of Astronomy) , 7
- Aly, J. J. 1994, A&A, 288, 1012 [NASA ADS]
- Aly, J.-J. 2009, preprint
- Amari, T., Luciani, J.-F., Aly, J.-J., & Tagger, M. 1996, A&A, 306, 913 [NASA ADS]
- Choe, G. S., & Lee, L. C. 1996, ApJ, 472, 360 [CrossRef] [NASA ADS]
- Finn, J. M., & Chen, J. 1990, ApJ, 349, 345 [CrossRef] [NASA ADS]
- Lites, B. W., Low, B. C., Martinez Pillet, V., et al. 1995, ApJ, 446, 877 [CrossRef] [NASA ADS]
- Low, B. C. 1982, ApJ, 263, 952 [CrossRef] [NASA ADS]
- Low, B. C., & Smith, D. F. 1993, ApJ, 410, 412 [CrossRef] [NASA ADS]
- Priest, E. R., & Forbes, T. G. 1990, Sol. Phys., 130, 399 [CrossRef] [NASA ADS]
- Schindler, K. 2006, Physics of Space Plasma Activity (Cambridge: Cambridge University Press)
- Shibasaki, K. 2001, ApJ, 557, 326 [CrossRef] [NASA ADS]
- Zwingmann, W. 1987, Sol. Phys., 111, 309 [CrossRef] [NASA ADS]
All Figures
|
Figure 1:
Evolution of Z(a0/2,t)/L
as a function of t/T for
|
| Open with DEXTER | |
| In the text | |
Current usage metrics show cumulative count of Article Views (full-text article views including HTML views, PDF and ePub downloads, according to the available data) and Abstracts Views on Vision4Press platform.
Data correspond to usage on the plateform after 2015. The current usage metrics is available 48-96 hours after online publication and is updated daily on week days.
Initial download of the metrics may take a while.
![\begin{figure}
\par\includegraphics[width=6.4cm,clip]{12942fg1.eps}\par\includegraphics[width=6.4cm,clip]{12942fg2.eps}
\end{figure}](/articles/aa/full_html/2009/43/aa12942-09/Timg122.png)