| Issue |
A&A
Volume 507, Number 2, November IV 2009
|
|
|---|---|---|
| Page(s) | 723 - 746 | |
| Section | Extragalactic astronomy | |
| DOI | https://doi.org/10.1051/0004-6361/200911878 | |
| Published online | 15 September 2009 | |
A&A 507, 723-746 (2009)
Star formation in the intragroup medium and other diagnostics of the evolutionary stages of compact groups of
galaxies![[*]](/icons/foot_motif.png)
S. Torres-Flores1,2 - C. Mendes de Oliveira1 - D. F. de Mello3,4,5 - P. Amram2 - H. Plana2,7 - B. Epinat6 - J. Iglesias-Páramo8
1 - Universidade de São Paulo, Instituto de Astronomia,
Geofísica e Ciências Atmosféricas, Departamento de
Astronomia, São Paulo, Brazil
2
- Laboratoire d'Astrophysique de Marseille, OAMP, Université de
Provence & CNRS, 38 rue F. Joliot-Curie, 13388 Marseille Cedex 13,
France
3 -
Observational Cosmology Laboratory, Code 665, Goddard Space Flight Center, Greenbelt, MD 20771, USA
4 -
Catholic University of America, Washington, DC 20064, USA
5 -
Johns Hopkins University, Baltimore, MD 21218, USA
6 -
Laboratoire d'Astrophysique de Toulouse-Tarbes, Université de Toulouse,
CNRS, 14 avenue Edouard Belin, 31400 Toulouse, France
7 -
Laboratorio de Astrofisica Teorica e Observacional, Universidade Estadual de Santa Cruz, Brazil
8 -
Instituto de Astrofisica de Andalucia (CSIC), Camino Bajo de Huetor 50, 18008 Granada, Spain
Received 19 February 2009 / Accepted 12 August 2009
Abstract
Context. Compact groups of galaxies are entities that have
high densities of galaxies and serve as laboratories to study galaxy
interactions, intergalactic star formation and galaxy evolution.
Aims. The main goal of this study is to search for young objects
in the intragroup medium of seven compact groups of galaxies:
HCG 2, 7, 22, 23, 92, 100 and NGC 92 as well as to evaluate
the stage of interaction of each group.
Methods. We used Fabry-Perot velocity fields and rotation curves together with GALEX NUV and FUV images and optical R-band and HI maps.
Results. (i) HCG 7 and HCG 23 are in early stages of
interaction; (ii) HCG 2 and HCG 22 are mildly
interacting; and (iii) HCG 92, HCG 100 and NGC 92
are in late stages of evolution. We find that all three evolved groups
contain populations of young blue objects in the intragroup medium,
consistent with ages < 100 Myr, of which several are
younger than <10 Myr. We also report the discovery of a
tidal dwarf galaxy candidate in the tail of NGC 92. These three
groups, besides containing galaxies that have peculiar velocity fields,
also show extended HI tails.
Conclusions. Our results indicate that the advanced stage of
evolution of a group, together with the presence of intragroup
HI clouds, may lead to star formation in the intragroup medium.
A table containing all intergalactic HII regions and tidal
dwarf galaxies confirmed to date is appended.
Key words: galaxies: evolution - galaxies: interactions - galaxies: intergalactic medium - galaxies: kinematics and dynamics
1 Introduction
It is well known that tidal interactions can alter galaxies' properties and, in particular, neutral gas can be plucked by tidal forces and develop tidal tails where young stellar clusters, HII regions, and tidal dwarf galaxies (TDGs) may form (e.g. de Mello et al. 2008a,b; Mendes de Oliveira et al. 2004; Ryan-Weber et al. 2004; Mendes de Oliveira et al. 2001; and Duc & Mirabel 1998). However, the fate of these young systems remains unclear (de Mello et al. 2008b) and they can either (1) become independent entities growing by accreting more gas and forming more stars to be transformed in TDGs; (2) make star clusters that survive and migrate in the distant halos of their hosts or even become intergalactic objects; or (3) dissolve and not remain gravitationally bound, yielding only very sparse star streams.
Hunsberger et al. (1996)
suggested that at least one-third and perhaps more than one-half of all
dwarf galaxies in compact groups are formed during galaxy interactions.
Therefore, a considerable number of new stellar systems may have formed
and may be linked to the evolutionary stage of the group. There are
several diagnostics used in the literature to evaluate these stages.
For instance, Coziol et al. (2004)
developed a scheme to classify the evolutionary stage of compact groups
of galaxies based on the morphologies of the members and their level of
activity. Plana et al. (2003) and Amram et al. (2003), using 2D H
velocity
fields, classified several of the Hickson compact groups in three
classes: unevolved group, mildly interacting group, and a system in the
final stage of evolution. Verdes-Montenegro et al. (2001),
on the other hand, used the HI content of compact groups to
propose an evolutionary sequence. In their classification, groups may
show HI still attached to the individual members, in tidal tails or in
a common HI envelope around all galaxies. In this context, HI and
kinematic information from 2D-velocity maps have proved to be the most
useful tools to study the evolutionary stages of groups.
In this paper, we present the results of a multiwavelength campaign we have conducted using several instruments in order to properly evaluate the evolutionary stages of seven compact groups of galaxies. We report the discovery of young objects in the intragroup medium of compact groups and in the tidal tails of strongly interacting galaxies, which may have formed due to galaxy interactions, using GALEX/UV data, optical R-images, new Fabry Perot velocity maps and HI maps from the literature. UV images reveal important information regarding the age of the young objects while the velocity fields and rotation curves of the group members help to constrain the evolutionary stage of each compact group.
This paper is organized as follows: in Sect. 2 we present the data. In Sect. 3 we present the data analysis. In Sect. 4 we present the ultraviolet and Fabry Perot results. In Sect. 5 we discuss our results and in Sect. 6 we present our main conclusions.
2 Data
In the following sections we describe the data we obtained for a sample of seven compact groups of galaxies: HCG 2, HCG 7, HCG 22, HCG 23, HCG 92, HCG 100 and NGC 92. These nearby groups (with velocities lower than 7000 km s-1) span a wide range of properties (density, isolation, spiral fraction and HI content. See Hickson 1982; Verdes Montenegro et al. 2001). In particular, isolated groups may evolve differently from groups which are parts of larger structures (such as HCG 23, Williams & van Gorkom 1995). On the other hand, HCG 92 and HCG 100 are known to have HI emission in the intragroup medium (Verdes-Montenegro et al. 2001; and de Mello et al. 2008a, respectively) while NGC 92 has a common halo of HI around the whole group (Pompei et al. 2007) and the others have HI emission which is more concentrated in the galaxies. Therefore, the groups chosen are representative of the general compact group population. In Table 1, we summarize the main properties of this sample.
2.1 Fabry-Perot data
Observations of HCG 2, HCG 7, HCG 22 and NGC 92 were carried out
with the European Southern Observatory 3.6 m telescope (ESO) in
September 2000. The data were obtained with the Fabry-Perot
instrument CIGALE using an Image Photon Counting System, for a field of
view of 4 arcmin centered on each group. These data are described
in detail in Torres-Flores et al. (2009). The scale of the images was 0.405
/pixel. The data were taken under non-photometric conditions and with a seeing of 1
.
No flux calibration was attempted. Data reduction was performed using software developed by Daigle et al. (2006; see also Epinat et al. 2008a). The data for HCG 100 was taken from Plana et al. (2003).
The output of the reduction package gave us 2D monochromatic, continuum and radial velocity maps, with a signal-to-noise ratio higher than 6. Wavelength calibration was obtained by scanning the narrow Ne 6599 Å line under the same conditions as the observations. The velocity sampling was 12 km s-1. For HCG 2, 7 and 22, the OH subtraction was performed by estimating a sky cube from the sky-dominated regions and subtracting it from the original cube. In the case of NGC 92, the OH was subtracted estimating the sky using the medium spectrum of the data cube. This method resulted in a better velocity field for NGC 92 than when the sky cube method was adopted.
Table 1: Properties of the sample.
2.2 Ultraviolet data
The UV images of the seven compact groups in this sample were obtained using the Galaxy Evolution Explorer (GALEX) satellite in the near ultraviolet (NUV
= 2271 Å) and far ultraviolet (FUV
=
1528 Å) bands (Cycle 1, program number 73 and 31
and public archival data). The images analyzed herein are the intensity
maps with the background removed (given by the GALEX pipeline). FUV and NUV fluxes were calculated using Morrissey et al. (2005)
= -2.5 log[
/
] +
,
where
= 1.4
10-15 erg s-1 cm-2 Å-1,
= 2.06
10-16 erg s-1 cm-2 Å-1,
= 18.82 and
= 20.08 for FUV and NUV, respectively. Fluxes were multiplied by the effective filter bandpass (![]()
= 269 Å and ![]()
= 616 Å) to give units of erg s-1 cm-2. The GALEX fields view are 1
28 and 1
24 in FUV and NUV respectively and the pixel scale is 1.5 arcsec pixel-1.
HCG 100 and HCG 92 were originally analyzed in de Mello et al. (2008a)
and Xu et al. (2005), respectively, and they have been re-analyzed here using the same method applied to the other groups. Tzanavaris et al. (2009)
used SWIFT/UVOT to analyze the UV properties of another sample of
Hickson Compact Groups of galaxies which will be complementary to our GALEX data.
|
Figure 1: HCG 2a,b. North is at the top and East is to the left of all images in Figs. 1 to 6. HCG 2a is located to the East of HCG 2b. Top left: R band image from CTIO. Top right: velocity field. We highlight the HCG 2b scale at the top of the velocity field, in order to show clearly its dynamic range. Bottom left: monochromatic image. Bottom right: velocity dispersion map. Small arrow in the R band image and monochromatic map indicates the position of a new source (probably in the background) detected in the Fabry-Perot analysis. |
| Open with DEXTER | |
|
Figure 2: HCG 2c. Top left: R band image from CTIO. Top right: velocity field. Bottom left: monochromatic image. Bottom right: velocity dispersion map. |
| Open with DEXTER | |
|
Figure 3: HCG 7a,d. HCG 7a is located Southwest of HCG 7d. Top left: r band image from SDSS. Top right: velocity field. We highlight the HCG 7d scale at the top of the velocity field, in order to show clearly its dynamic range. Bottom left: monochromatic image. Bottom right: velocity dispersion map. |
| Open with DEXTER | |
|
Figure 4: HCG 7b,d. HCG 7d is located in the center of the field. HCG 7a and b are partially shown in the South and North of the field respectively. Top left: r band image from SDSS. Top right: velocity field. Bottom left: monochromatic image. Bottom right: velocity dispersion map. |
| Open with DEXTER | |
|
Figure 5: HCG 22b,c. HCG 22b lies South of HCG 22c. Top left: R band image from CTIO. Top right: velocity field. Bottom left: monochromatic image. Bottom right: velocity dispersion map. |
| Open with DEXTER | |
|
Figure 6: NGC 92 and NGC 88. NGC 92 lies East of NGC 88. Top left: R band image from NTT. Top right: velocity field. Bottom left: monochromatic image. Bottom right: velocity dispersion map. |
| Open with DEXTER | |
|
Figure 7:
Rotation curves for individual galaxies in our sample. The parameters
used to derive the rotation curves are given in each plot (PA: position
angle, i: inclination). The adopted galaxy center is the morphological center. The horizontal error bars represent the |
| Open with DEXTER | |
2.3 R-band data
R-band images of HCG 2, 23 and 100 were obtained at the
Cerro Tololo Interamerican Observatory on Aug. 23/2005, using the
4 m Blanco telescope and a mosaic II CCD imager, with a
pixel scale of 0.27 arcsec/pixel, for a field of view of 40
40 arcmin, centered on each group. For each target, three exposures of 300 s were taken in the R band, with a typical seeing of 1.1 arcsec. The data were bias subtracted and flat-fielded using IRAF
,
using standard procedures (package mscred). A flat-field was
constructed from a combination of dark sky frames and twilight flats
which worked well, given that the background, after flat-fielding,
showed an rms variation lower than 1% over the whole field.
Since the night was not photometric, no calibration stars were
observed and the zeropoints were obtained from published surface
brightness profiles of group members (Mendes de Oliveira 1992; Rubin et al. 1991).
HCG 22 was observed with the Keck II telescope in the R and B bands. These data are described in da Rocha et al. (2002).
The R-band image of NGC 92 was obtained at La Silla Observatory with the NTT telescope. It was taken on Oct. 27th 1994, within a program to monitor the supernova SN1994Z, which was discovered in October 1994, in the galaxy NGC 87, a close companion to NGC 92. The seeing was 1'' and the pixel scale was 0.27 ''/pixel. The zeropoint was estimated with calibration stars taken on the same night as the targets.
HCG 92 was observed with Gemini in the Sloan filters g, r and i. These data are described in Mendes de Oliveira et al. (2004). For HCG 7, the r-band image of the Sloan Digital Sky Survey (SDSS) was used in our analysis. Transformation between r-band magnitudes and R-band magnitudes was performed using R =
r - 0.1837
(g - r) (Lupton 2005) for the sources in groups HCG 7 and 92.
3 Data analysis
3.1 Rotation curves and kinematic parameters
In order to constrain the evolutionary stage of each compact group, we
inspected the velocity field and rotation curve of each member to
search for interaction indicators
.
Rotation curves were constructed using the morphological center
(defined as the location of the peak intensity in the continuum image)
instead of the kinematic center (defined as the center that produces a
symmetric rotation curve) because in most cases the rotation curves
were asymmetric. Asymmetry made it difficult to match both sides of the
curve, no matter which center was chosen. In most cases there was
clearly a decoupling between the morphological and kinematic centers
(see Amram et al. 2007). Kinematic position angles, inclinations, systemic velocities (see Table 1) and rotation curves were derived from the velocity fields using the procedure developed by Epinat et al. (2008a). The position of the morphological center for each galaxy is marked with a plus sign in the velocity fields of Figs. 1 to 6.
The optical position angles (PAs) were taken from Mendes de Oliveira (1992) and from the Hyperleda
database.
In all cases, the PA is oriented from North to East. For HCG 2c
and HCG 22c, the kinematic inclination resulted in unrealistic
values which resulted in maximum rotation velocities higher than the
expected velocities (Torres-Flores et al. 2009). Therefore, in these cases, we used the morphological inclinations obtained from the relation cos(b/a) = i, where b and a correspond to the length of the minor and major axis of the
B = 25 mag arc-2 isophote given in Hickson (1993).
3.2 Source extraction and photometry
We searched for ultraviolet emitting regions in the vicinity of all
seven targets (see Sect. 4.2 for the corresponding figures). We
also include HCG 92 and HCG 100 which were previously
analyzed in Mendes de Oliveira et al. (2004) and de Mello et al. (2008a), using the following method. We generated catalogs using SExtractor (SE, Bertin & Arnouts 1996) in the FUV, NUV and R-band sky-subtracted images. The threshold for source detection was set to 1.5 sigma (DETECT-THRESH = 1.5) for a minimum area of 5 pixels (DETECT-MINAREA = 5). We recorded,
for each source, the right ascention, declination, MAG-AUTO (AB system) and Petrosian radius. We used SE Kron elliptical apertures to measure total magnitudes (MAG-AUTO) in FUV, NUV and R-bands. Although MAG-AUTO is often used to measure total magnitudes in galaxy surveys (e.g. Bell et al. 2004; de Mello et al. 2006; Zucca et al. 2006),
high uncertainties might be expected at the faint magnitudes due to the
assumption that the sky background has Gaussian random noise without
source confusion (Brown et al. 2007).
However, since we are comparing data taken with different resolutions
and the fact that UV light does not necessarily peak at the same
coordinate as the optical light, MAG-AUTO performs better
than the other SExtractor parameter choices, as long as a careful match
between the different catalogs is performed (see de Mello et al. 2008a).
We first matched the FUV and NUV catalogs using
a 3'' radius and as a result we obtained the FUV and
NUV parameters for each detected source. We then matched the UV
catalog with the R-band catalog. Therefore, only objects with FUV detections were included in our final catalog. Due to the large GALEX field of view (1
28 and 1
24 in FUV
and NUV, respectively), we performed the source detection in four regions for each GALEX image: one field centered on the centroid of the group (on-group) and three other fields (each with
15'
15') distributed over the outskirts of the images (hereafter, control
sample, CS). The on-group field was defined within a region of
radius equal to two times the radius of the minimum circle that passes
through the center of each group member. This area was chosen because
it usually encompasses the group and its HI debris, if there
is any.
Given that we used a different exposure time for each compact
group observation, we had to limit our analysis to the brightest
completeness limit, which was that for the field of HCG 92, at an
NUV magnitude of 22.2. The colors FUV-NUV and FUV-R
were estimated inside a fixed aperture of 4'' radius, centered on
the centroid of the light distribution of each NUV band detection,
using the task PHOT in IRAF. Total magnitudes and fixed aperture
magnitudes were corrected for galactic extinction, using
= E(B-V)
8.29,
= E(B-V)
8.18 (Seibert et al. 2005) and AR = E(B-V)
2.634 (Schlegel et al. 1998), following de Mello et al. (2008a).
4 Results
4.1 Kinematic properties of the main galaxies
In this section, we analyze each individual galaxy based on our optical R-band images, velocity fields, monochromatic images, velocity dispersion maps (Figs. 1 to 6), and rotation curves (Figs. 7 and 8), together with information from the literature. Note that the dispersion velocity maps were corrected for instrumental broadening, measured using the calibration cube. We estimated that the broadening is, on average, 24.8 km s-1 accross the field. In the last columns of Table 1, we list the kinematic parameters obtained from the velocity fields. In Cols. 5 and 6 of Table 1 the systemic velocities taken from the literature and the velocities resulting from our analysis are listed.
4.1.1 HCG 2
This compact group is formed of three galaxies with corresponding redshifts. According to the NED
database and the RC3 catalogue (de Vaucouleurs et al. 1991), the brightest galaxy of the system, HCG 2a, is classified as a
late-type barred SBd galaxy. HCG 2b is classified as a cI (compact Irr) by Hickson (1993) and it is the strongest FIR source in this group (Allam et al. 1996). HCG 2c is an SBc-type galaxy. Figure 1 shows the velocity field, the velocity dispersion, monochromatic and continuum maps for HCG 2a,b.
HCG 2a shows a very disturbed velocity field, as can be seen in Fig. 1.
No symmetry is observed with respect to the major axis and
moreover one cannot see a constant velocity along the minor axis. The
PA of the velocity field changes rapidly, by about 90
from the North to the South of the galaxy. The velocity field shows a
clear signature of a strong bar, almost vertical, which is responsible
for the PA variation and for the misalignment between the
morphological and kinematic orientations. There is a misalignment
of 30
between the bar and the kinematic minor axis. This type of velocity field has been observed in Epinat et al. (2008b)
(e.g. UGC 12754, UGC 11407 and UGC 1256). Given
that the kinematic PA is so perturbed by the bar, it is
better to use the morphological PA to draw the RC (see Epinat
et al. 2008a). The
monochromatic map shows several HII regions. In the southern side,
the regions are aligned along the spiral arm. Intense HII regions
in the center of the object belong to the northern arm or to the bar.
Towards the northern side of the galaxy only one bright region is
visible, although other fainter HII regions are also seen around
the same location. On the south side, we detected an extension of H
emission
towards the West of this object. This signature was not reported in
Vilchez et al. (1998). The dispersion map shows higher velocity
dispersion in areas where HII regions are
present (Fig. 1). The velocity dispersion within HII regions along the bar is 41 km s-1 while outside these regions the dispersion is 25 km s-1. The velocity dispersion increases along the spiral arm, from 26 km s-1 to 40 km s-1.
The rotation curve of HCG 2a shown in Fig. 7a is highly asymmetric, with the receding side reaching 326 km s-1 and the approaching side 270 km s-1, for a systemic velocity of 4347 km s-1.
The approaching side slope of the rotation curve is steeper than the
receding side on the SW side. For the adopted systemic velocity
(4347 km s-1), the rotation curve does not pass
through the center of the diagram. However, both sides of the rotation
curve match in the external region of the galaxy (outside 10
).
The center of the curve is particularly disturbed due to the strong
bar. In this region, the rotation curve is flat with a few oscillations
within 10 arcsec on both sides. The flatness of the curve is due
to the orientation of the bar with respect to the major axis of the
galaxy (Hernandez et al. , in preparation). The center of the
bar coincides with the center of the external ellipses of the continuum
(for radii outside
in the minor axis and
in the major axis).
In the case of HCG 2b, we detected H
emission at its center (within 2.8 kpc, also reported in Vilchez et al. 1998). The velocity field (Fig. 1)
seems to be regular. The kinematic position angle differs from the
morphological one (Mendes de Oliveira et al. 1992) by 20
at 2 h-1 kpc, however, at R25,
the optical position angle is in good agreement with the kinematic one.
We noticed that the continuum and monochromatic images peak at the same
position. The galaxy center displays a velocity dispersion of
47 km s-1 while in the outskirts the value is 34 km s-1.
We can also notice that a high value for the dispersion often
corresponds to strong monochromatic emission. The rotation curve of
HCG 2b (Fig. 7b) shows a disk-like rotator shape. For the adopted systemic velocity, both sides
match at radii larger than 2
,
however, in the inner part of the rotation curve (inside 2
)
the approaching side shows a plateau and the two sides do not match. We
detected two bumps in the approaching side of the rotation curve,
placed between 0
and 4
and 4
and 7
,
respectively.
The velocity field of HCG 2c is regular (see Fig. 2).
A signature of the bar is suspected in the central regions. The PA
is almost constant along the major axis, staying around a value
of 168
.
The monochromatic map shows several bright HII regions in the bar,
in the center of the galaxy and across the northern arm. A tidal
arm is identified in the monochromatic map, in a similar way to
UGC 7861, as was reported by Epinat et al. (2008a).
There are no bright HII regions on the south side of this object.
The velocity dispersion map does not reveal any peculiarities.
HCG 2c displays a more symmetric rotation curve than the other two
members of this group, except in the central regions (
10
). The velocity amplitude is
110 km s-1, across 30
(8 kpc). We also notice that the continuum center is 2
(0.5 kpc) away from the kinematic center, towards the SE of the galaxy.
The emission detected in the upper right corner of Fig. 1 seems to be from a background galaxy, i.e., an emission line falling in the same velocity range as H
for HCG 2. Its morphology, as per inspection of the
CTIO image of the group, seems to be that of a giant galaxy at a
high redshift.
4.1.2 HCG 7
This group is formed by four objects, three late-type galaxies (Sb, SBc and SBc) and one early-type (SB0) galaxy (Hickson 1993). HCG 7a and HCG 7c are strong FIR sources (Allam et al. 1996; Verdes-Montenegro et al. 1998). Shimada et al. (2000) classified the nuclear activity in HCG 7a as an HII type.
HCG 7a shows H
emission in several knots through the arms (see Fig. 3)
as was also noted in Vilchez et al. (1998). The central region
displays a peak in the monochromatic and continuum image. The velocity
field of this galaxy is very peculiar, strong asymmetries around the
major axis are observed on both sides of the galaxy. Moreover, in the
center (inside 3 kpc), strong non-circular motions are observed
with the velocities reaching high values of 290 km s-1 in the rotation curve (see Fig. 7d). The velocity dispersion map for HCG 7a displays a high value of 55 km s-1
in the center of the galaxy, corresponding to the central
HII region visible in the monochromatic map. The other
HII regions of this galaxy do not show high velocity dispersions.
The bump in the central region of the rotation curve has already been
found in other galaxies such as UGC 6118 (Epinat et al. 2008a).
The peak in the inner part corresponds to a region of high
monochromatic emission and might be the result of a small bar,
associated with the HII regions in the central parts. However,
there is no previous mention of a stellar bar present for this galaxy.
Both stellar and gaseous major axes appear to be aligned, probably due
to the high inclination of the galaxy.
The SBc galaxy HCG 7d has been observed twice; the two observations are presented in Figs. 3 and 4. This galaxy shows strong H
emission at the end of its bar, visible in the HST archival image and in several knots in their southwest arm.
On the northeast side of this object, the intensity of H
emission is lower than that on the south-west side. The monochromatic map of HCG 7d shown in Fig. 4 displays emission in the east and west side of the galaxy, which is not detected in the monochromatic image of Fig. 3 or in the r-band
image. We suspect that this signature is noise or residual emission
from the OH subtraction. The velocity field of HCG 7d clearly
shows the presence of the bar (see Fig. 4). The kinematic PA differs by 27
and 50
compared to the optical PA given in Mendes de Oliveira et al.
(2003) and Hyperleda, respectively. The velocity dispersion map does
not show any particular features. The rotation curve is quite regular,
reaching a plateau of 100 km s-1 from 7 (2 kpc) to 30
(8 kpc). We conclude that this galaxy has a regular velocity field and rotation curve.
HCG 7b shows a weak H
emission in its center but the observations are truncated by the edge
of the field of view. No information can be extracted from this
velocity field.
Mendes de Oliveira et al. (2003) analyzed HCG 7c using Fabry-Perot data and did not find peculiarities in its velocity field.
We note that the rotation curves for the galaxies in this group do not reach the optical radius R25, except for HCG 7c. This could be related to the fact that in HCG 7 about 80% of the HI content of the member galaxies is missing (Verdes-Montenegro et al. 2001).
|
Figure 8: Rotation curve for NGC 92. See also caption of Fig. 7. |
| Open with DEXTER | |
4.1.3 HCG 22
This group, composed of a triplet of galaxies with concordant redshifts, contains a bright
elliptical and two spiral galaxies in its core (morphological types E2, Sa and SBcd according to Hickson 1993). Coziol et al. (1998) classified the nuclear region of HCG 22a as a dwarf Seyfert 2 and Gallagher et al. (2008) did not find evidence for any excess mid-infrared emission in this object. Verdes-Montenegro et al. (1998) gave upper limits for the IR luminosities of HCG 22b and HCG 22c (log
< 8.55
and log
= 8.88
respectively).
The monochromatic map of HCG 22c (in Fig. 5) shows several HII regions that belong to the arms of this galaxy, with a patchy appearance. Moreover, there is faint H
emission
in the intra-arm region. The velocity field seems to be regular, with a misalignment of about 30
between the kinematic and optical PA. The velocity dispersion map
does not show any particular features. The rotation curve displayed in
Fig. 7f
shows almost a linear shape, like a solid-body rotator, particularly in
the northwest part of the galaxy, steadily rising from 0 to
125 km s-1 out to 30
(5 kpc). From 30
(5 kpc) to 45
(7 kpc) the velocity rises from 125 km s-1 to 170 km s-1. In the inner part of the rotation curve (inside 15
), the approaching and receding sides do not match; however, from 20 to 45
,
both sides are in agreement.
The early-type spiral HCG 22b only shows weak H
emission
in its central region. Therefore, the velocity field, which appears to
be uniform, is poorly determined and it is not possible to obtain a
rotation curve with the data in hand. HCG22b shows a high velocity
dispersion equal to 48 km s-1 in its center, which corresponds to the bright emission visible in
the monochromatic map. HCG 22b exhibits extended shells clearly seen in the B and R-band images, as shown in Fig. 9.
4.1.4 NGC 92
This galaxy is part of the Phoenix compact group formed by NGC 92, NGC 88 and NGC 89 and NGC 87 (Rose 1979). This group is also known as Rose 34 (Rose 1977) and SCG 0018-4854 (Iovino et al. 2002). NGC 92 and NGC 88 are LINERs (Coziol et al. 2000) while NGC 89 is a Seyfert 2 galaxy (e.g. Pompei et al. 2007).
NGC 92 is classified as an Sa galaxy (Prugniel et al. 1998).
It shows a prominent tidal tail in the south east direction also
clearly visible in the H
image of Temporin et al. (2005). The velocity field presented in Fig. 6 shows a disk-like rotation with a wide radial velocity range (from 3641 km s-1 to 3183 km s-1). The position angle of the
velocity field changes from 8
to 28
over a 40 arcsec radius. Even with this strong change in the
position angle, the velocity field is fairly regular. The center of the
velocity field clearly shows double components. The second component is
better defined in the blue part of the velocity field than in the red
part, where it fades. Along the tail, this second component appears at
the tip of the tail, but it is not possible to follow it all across the
tail. Such double profiles have been observed in other asymmetric
galaxies (e.g. UGC 3334, GHASP sample) and a tidal arm
with an almost constant radial velocity has also been observed
(e.g. UGC 3429, GHASP sample). The monochromatic map
(Fig. 6)
shows a very bright emission in the galaxy center. Much lower intensity
emission regions are located in the northern region and across the
tidal tail. These coincide with blobs also detected in the NUV-band
image from GALEX (see Fig. 16).
The central emission of NGC 92 shows a geometry consistent with
spiral arms. There are a few hot spots along the tail also consistent
with the GALEX image (see Fig. 16). The maximum velocity dispersion shown is
70 km s-1
but looking at the profiles it is obvious that several components are
present. The dispersion map shows a higher velocity dispersion in the
center of the galaxy than in its outskirts and tidal tail. In the
center, the average velocity dispersion is 45 km s-1. Regions 1-3, detected with GALEX, have a lower velocity dispersion, less than 25 km s-1. The receding side reaches a rotational velocity of 243 km s-1 and the approaching side reaches 246 km s-1. The long tidal tail appears as an extension of the approaching side of the rotation curve, with a
constant velocity of 160 km s-1 from 70 to 120
.
As HCG 7a, the rotation curve of NGC 92 presents a bump in velocity within 20
(5 kpc) that could be interpreted as a signature of non circular motion.
|
Figure 9: R-band image of HCG 22b. |
| Open with DEXTER | |
|
Figure 10: NUV band image for HCG 2. The smaller circles show the detected regions. The large circle has a radius of twice the minimum circle that contains the galaxies members of the group, which are named with capital letters. |
| Open with DEXTER | |
|
Figure 11: NUV band image for HCG 7. See caption of Fig. 10. |
| Open with DEXTER | |
We also detected H
emission at the center of NGC 88. However, we did not attempt to
derive any rotation curve because this object is located at the edge of
the image. However, we note that the velocity field appears uniform.
4.2 Field density of UV emitting regions
In Figs. 10 to 16 we show the GALEX NUV images for each compact group where sources are numbered in circles of 4'' radius. We cannot exclude the possibility that these regions are not related to the groups, given that we do not have redshift information for most of them. However, a similar search by de Mello et al. (2008a) using GALEX images of HCG 100 was able to detect two TDGs within the HI tail (which were spectroscopically confirmed by Urrutia-Viscarra et al. 2009). Moreover, de Mello et al. (2008b), using GALEX images, have detected star-forming regions in the vicinity of the HI bridge between M 81 and M 82. Therefore, these two multiwavelength studies show that this approach is successful in identifying at least some star-forming regions in the intragroup medium. Determination of the membership and the true nature of these regions will have to await spectroscopy with large telescopes.
Table 2:
Field density
(#objects arcmin-2)
In order to evaluate whether our targets contain an excess of
ultraviolet emitting regions in their vicinity, we have calculated the
density of objects in the compact group field and in the control
sample (CS). The field density was defined as the number of
regions inside a circle of two group radii (see Sect. 3.2)
divided by the area of that field after exclusion of the areas occupied
by the
galaxies, as described below. Regions detected inside the optical
contours of group members (within R25) were eliminated, since we are searching for star formation outside galaxies.
This was done by discarding all regions inside an ellipse with major and minor axes a and b, which correspond to the length of the major and minor axes of the
B = 25 mag arc-2 isophote given in Hickson (1993). For galaxies HCG 92b and d, we found it necessary to recompute the region within the R25 isophote using the B image presented in Mendes de Oliveira et al. (2001),
given the strong isophote overlap between these two systems. We note
that three star-forming regions located over the tidal tail of
NGC 92 were included in our analysis, given that these objects are
located at projected distances outside the main body of this galaxy. We
did not consider the area of each galaxy when estimating the total area
of the group. No excess of ultraviolet emitting sources is
detected in HCG 2, HCG 7, HCG 23 and NGC 92, when
the groups are compared with the CS fields. Table 2
shows the spatial densities of objects around each compact group and in
three control fields. HCG 92 contains the highest field density
(0.28
0.05 objects arcmin-2)
in our sample. Most of the regions detected in
this group are located in the tidal tails of NGC 7318A,
NGC 7318B and NGC 7319. We detected UV emission in all
intergalactic HII regions found by Mendes de Oliveira et al. (2004), confirming the results by Xu et al. (2005). Besides HCG 92, HCG 22 also has an excess of ultraviolet
sources compared with their control sample. In this group, some of the UV detected regions show 8
m emission (Johnson et al. 2007).
Although the field density of HCG 100 is slightly higher than in
the CS fields, the error bars are large. Therefore, we have not
found any significant excess of ultraviolet emitting regions in the
intragroup field of HCG 100, when compared to the field density of
the control sample. We note that the background counts are solely based
on the observed counts in the control fields, not taking into account
existing redshift information for individual regions, given that very
few of them have known redshifts.
|
Figure 12: NUV band image for HCG 22. See caption of Fig. 10. |
| Open with DEXTER | |
|
Figure 13: NUV band image for HCG 23. See caption of Fig. 10. |
| Open with DEXTER | |
|
Figure 14: Zoom of the central region of HCG 92 (NUV band image). See caption of Fig. 10. Galaxy names were taken from Mendes de Oliveira et al. (2004). |
| Open with DEXTER | |
|
Figure 15: NUV band image for HCG 100. See caption of Fig. 10. |
| Open with DEXTER | |
|
Figure 16: NUV band image for NGC 92. See caption of Fig. 10. |
| Open with DEXTER | |
4.3 FUV-NUV color distribution
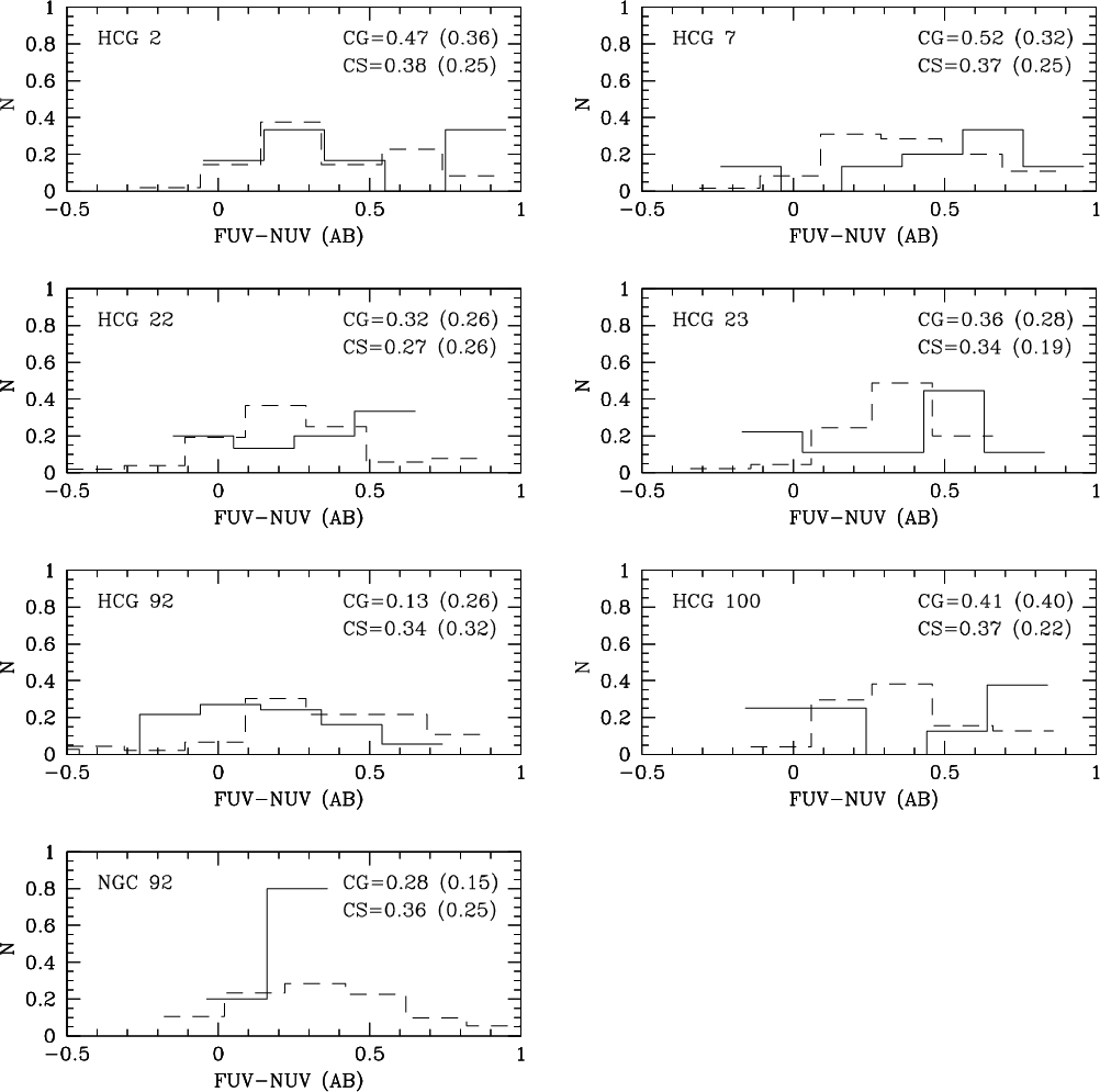
Since we are interested in young regions, we conservatively focused this analysis on objects bluer than FUV-NUV = 1. We chose this limit based on the work of Gil de Paz et al. (2007) where it is reported that colors bluer than FUV-NUV = 0.9 are typical of spiral and late-type galaxies. Objects with colors redder than FUV-NUV = 1 (see Figs. 18 and 19) account only for 6% of the total intragroup regions, 5% being stars (see Sect. 4.4). In the case of the control sample, objects with colors redder than FUV-NUV = 1 correspond to 6% of the total. Tables 3 to 9 show the FUV-NUV colors for all detected regions in the compact group fields.
Table 3: Observed and derived properties for HCG 2 regions.
Table 4: Observed and derived properties for HCG 7 regions.
The FUV-NUV color distributions of the intragroup sources together with their respective CSs
are shown in Fig. 17.
We found that the CS color distributions are similar between
themselves with the exception of that for HCG 23. We also found
that only the intragroup regions of HCG 92 and HCG 100 show a
blue FUV-NUV color distribution, as compared to the CS.
HCG 92 has the bluest FUV-NUV average in this sample,
FUV-NUV = 0.13
0.26. Although the average in FUV-NUV color for HCG 100 is
not among the bluest in this sample, FUV-NUV = 0.41
0.40, the color distribution shows a bimodal appearance, with a blue peak with a mean color of zero.
The intragroup color distribution is similar for HCG 7 and
HCG 22. In both cases the intragroup FUV-NUV average is
redder than their CS, as shown in Fig. 17.
From the same figure, HCG 2 shows a bimodal distribution, with a
peak on the red side of the FUV-NUV color and a distribution
similar to the control sample. In the case of HCG 23, the
intragroup distribution shows no special signature compared to the
control sample distribution. NGC 92 presents a single peak in the
FUV-NUV distribution, with an average color equal to 0.28
0.15. We note that NGC 92 contains only five detected intragroup regions, the lowest number in our sample.
HCG 7 has the reddest FUV-NUV average of all groups, 0.52
0.32. Of a total of 14 regions, 4 regions (29% of the
intragroup sample) present colors bluer than the average
FUV-NUV color for their control sample and 3 of them are located
close to HCG 7c. Region #5 is the bluest object in this
compact group and shows stellar characteristics in the SDSS image.
This object is 57.9 kpc away from HCG 7c.
The distribution of colors of intragroup objects in HCG 2 has an average FUV-NUV color of 0.47
0.38.
We found 3 regions (50% of the intragroup sample) bluer than
the average FUV-NUV of their control sample: region #4, #5
and #6, located of 58.2 kpc, 75.9 kpc and 39.2 kpc away
from the closest galaxy (HCG 2b, HCG 2c and HCG 2c
respectively). These objects show an extended morphology in our R-band
image. Regions #2 and #3 seem to be associated with the
regions identified in the monochromatic map of HCG 2, as we noted
in Sect. 4.1.1.
Table 5: Observed and derived properties for HCG 22 regions
Table 6: Observed and derived properties for HCG 23 regions.
In the case of HCG 22, the objects in the intragroup medium have an average FUV-NUV color of 0.32
0.26
and this group contains 6 regions (46% of the intragroup
sample) bluer than the average color of the control sample
counterparts.
For HCG 23, the FUV-NUV average is 0.36
0.28, with 3 regions (33% of the intragroup sample) being bluer than their control sample.
As we noted before, HCG 92 has the bluest FUV-NUV average and distribution. In this group, 78% of the intragroup candidates (28 regions) are bluer than the value for the FUV-NUV control sample average, mainly placed in the tidal tails, as has been reported in Mendes de Oliveira et al. (2001). The regions in common between that work and ours are indicated in the second column of Table 7.
In HCG 100, we found 4 regions (50% of the intragroup sample) bluer than the average values of the CS FUV-NUV: regions #4 (#4), #6 (#6), #7 (#13) and #8 (#14). Note that our identification in Table 8 is not the same as in de Mello et al. (2008a), the latter are given in parentheses.
In NGC 92, 60% of the regions are bluer than the average color of the regions of the control sample. Interestingly, the bluest regions in this group, #1, #2 and #3, are located in the tidal tail of NGC 92, where it is possible to note a gradient in the FUV-NUV color along the tail, with the bluest region located at the end of the tidal tail. Similar effects were reported by Hibbard et al. (2005) for NGC 4038/39.
Considering the relatively small size of our samples and large dispersions in the averages, we have to be particularly careful in our analysis. Therefore, instead of comparing average numbers, we performed the Kolmogorov-Smirnov (KS) statistical test comparing the color distribution of each group with its corresponding control sample (Table 10). The most significant result is for HCG 92, where the intragroup FUV-NUV color distribution shows only a 0.001% probability of being drawn from the control sample distribution. For the other groups, HCG 2, HCG 22, and NGC 92 have distributions similar to their control samples, at the 67%, 47%, and 96% level, respectively. HCG 7 and HCG 100, on the other hand, are similar only at 6% and 33% levels respectively (note that for HCG 7 regions are on average redder than the CS regions). If we take the intragroup sample of de Mello et al. (2008a) for HCG 100 and its respective control sample, we find only a 6% probability, which confirms that de Mello et al. (2008a) intragroup regions are significantly bluer than regions outside the group.
In order to increase our control sample and improve our statistics, we
generated one total control sample by adding all control samples
(Table 10). The average UV color for the total control sample is FUV-NUV = 0.35
0.25. This value is slightly lower than the
peak in the FUV-NUV color distribution given in Gil de Paz et al. (2007) (FUV-NUV
0.4) but still consistent with it. This small difference is due to
our criterios of colors bluer than FUV-NUV = 1. When we
consider the control sample in the same range of colors as Gil de Paz
et al. (2007) (-0.4
FUV-NUV
3.2), our average is FUV-NUV = 0.4.
Table 7: Observed and derived properties for HCG 92 regions.
HCG 92, HCG 22 and NGC 92 have FUV-NUV averages FUV-NUV = 0.13
0.26, FUV-NUV = 0.32
0.26, FUV-NUV = 0.28
0.15 bluer than the total control sample (FUV-NUV = 0.35
0.25). When we compare each group sample with the total CS, the
KS test gives the lowest probabilities for HCG 92 (
0%), HCG 7 (3%), and HCG 100 (8% or 32%
depending if we use de Mello et al. (2008a) or the HCG 100 generated in this work).
Finally, we added all regions of all groups and compared the FUV-NUV distribution with that of the total control sample. We find a probability of 0.005% that CS and group regions are drawn from the same distribution of colors. However, when we remove from the list all regions belonging to HCG 92 and HCG 100, the probability increases to 48%. Therefore, we conclude that this is clear evidence that these two groups are significantly different from the other five in this respect. Moreover, as shown in Sect. 5.3, these two groups are also unique in their HI properties.
4.4 Colors, photometric ages and SFR
In Fig. 18 we plot FUV-NUV and FUV-R colors
of the intragroup candidates (colors estimated inside a fixed aperture
of 4'' radius) and the stellar population synthesis models given
in Thilker et al. (2007). These models are tuned for GALEX
and optical colors, using an instantaneous burst, a solar metallicity
and Chabrier IMF. We plot models assuming intrinsic colors and
reddened colors for
E(B-V)=0.2 and a Milky Way attenuation law (RV = 3.1). We note that bluer objects than FUV-NUV
0.25 are located close to the Milky Way attenuation law. On the
other hand, objects redder than this value are mostly placed between
the models with a Milky Way extinction law and with no extinction.
Gil de Paz et al. (2007),
using more than one thousand galaxies, suggested that the attenuation
law in the UV is different from a pure Galactic extinction law
(Fig. 8b in Gil de Paz et al. 2007). From this fact and from Fig. 18, we conservatively estimated ages of all objects with FUV-NUV < 0.1 using Thilker et al. (2007) with Milky Way extinction corrections. Tables 3 to 9 show the ages for each region. In Fig. 18, we show the intergalactic HII regions (IHII) detected in Mendes de Oliveira et al. (2004) where we can see that two of the four spectroscopically confirmed IHII regions can be adjusted by the Milky Way
extinction law.
Table 8: Observed and derived properties for HCG 100 regions.
Table 9: Observed and derived properties for NGC 92 regions.
For each region with known distance, we estimated the Star Formation
Rate (SFR) using the ultraviolet luminosity of each object. In order to
correct luminosities for the dust effect, we used our
FUV-NUV colors to obtain the total-infrared to FUV ratio
(IR/FUV) for each galaxy using Eq. (11) of Gil de Paz et al. (2007), since we do not have infrared data for our galaxies. The
value
was then obtained inserting the derived value of IR/FUV, estimated
as above, in the Eq. (2) of Buat et al. (2005).
The UV luminosity is a tracer of star formation since most of the
UV photons coming from a galaxy are produced by young stars. In
this case, the SFR is proportional to the UV luminosity emitted by
OB stars, under the assumption that the SFR is approximately
constant over this timescale (Iglesias-Páramo et al. 2006). The SFR was estimated (Table 9) using the equations given by Iglesias-Páramo et al. (2006) and the FUV luminosities for each region. Note that the dispersion found in Eq. (11) of Gil de Paz et al. (2007)
is quite high (0.36 dex), and therefore this introduces large
uncertainties in the derived values of the UV attenuation and
consequently in the determined values of SFRs (listed only for three
regions with known redshifts for group NGC 92, see Table 9).
Figure 19 shows the NUV-R
versus FUV-NUV plot for all regions where we also include objects
with colors redder than FUV-NUV = 1. The reddest object in
HCG 2 is outside the region populated by early-type objects
(defined by Gil de Paz et al. 2007) and shows a stellar morphology in our R-band image. Two of the HCG 7 sources also show a stellar profile in the r-band image, therefore, only one object with color FUV-NUV
1
shows an extended morphology. In the case of HCG 92, two objects
with colors redder than FUV-NUV = 1 resemble stars (these are
objects without R-band information). Another
4 objects in the plot show colors slightly redder than
FUV-NUV = 0.9, which is the limit defined by Gil de Paz
et al. (2007) as typical of early-type galaxies. However, considering the relatively large error bars they could
also be classified as spiral galaxies. All other intragroup candidates have colors typical of late-type galaxies.
Table 10: Statistical values.
|
Figure 17: Normalized histograms showing FUV-NUV distributions. Solid line: intragroup regions. Dashed line: control sample. Averages for each FUV-NUV color distribution are shown as CG, for compact group and CS, for control sample. Values for the standard deviation are indicated in parentheses. The error bar in the x-axis is estimated to be 0.2 mag. |
| Open with DEXTER | |
5 Discussion
5.1 Kinematics and the evolutionary stage of each group
We used the scheme devised by Amram et al. (2003) and Plana et al. (2003) to classify galaxies for which we have Fabry-Perot velocity maps as interacting or not, based on the analysis of their 2D velocity fields and the determination of seven interaction indicators. The first indicator of interactions is the presence of strong peculiarities in the velocity field, which may display non-circular motion. A highly peculiar velocity field, not common for normal galaxies (see e.g. Epinat et al. 2008a,b), is a strong sign of interaction. A perturbed velocity field leads, by consequence, to a peculiar rotation curve, except if the asymmetries seen in the velocity field are smoothed by azimuthal averaging. This is the case, for example, for HCG 7a which shows an asymmetric velocity field with respect to the major axis (Fig. 3), completely smoothed on the rotation curve after the azimuthal averaging (Fig. 7d). On the other hand, asymmetries with respect to the minor axis of the velocity field are easier to notice by comparing both sides of the rotation curve than by inspecting the velocity field. Therefore, we introduce this specific interaction indicator which refers to asymmetries in the shapes of the rotation curves. A rotation curve is considered peculiar when it is not possible to match the shape of the receding with that of the approaching side, no matter how one chooses the galaxy kinematic center and systemic velocity.
The third and fourth indicators refer to the orientation of the PA of the galaxy. Epinat et al. (2008b)
showed that 21% (33 objects) of field late-type galaxies from the
GHASP survey have a misalignment between kinematic and
morphological axes greater than 20
.
From these 33, if we remove galaxies with low inclinations and
with poor morphological PA determinations, almost all remaining ones
have bars. This means that for field galaxies (as represented by the
GHASP sample), the misalignment between stellar and kinematic axes
happens quite rarely, except for barred galaxies. The presence of a bar
has not been proven observationally to be directly associated with
interactions, although several N-body
simulation studies of bar formation have suggested that a connection
between galaxy-galaxy interaction and bar formation exists and depends
on the orbital parameters of the encounter (e.g. Debattista et al.
2006; Gerin et al. 1990a).
On the other hand, it has been observed that in several non-barred
interacting galaxies, there is a clear misalignment between the gas and
stellar PA or a change of PA along the major axes, given that accreted
gas can settle in a different disk (e.g. galaxies in HCG 16,
Mendes de Oliveira et al. 1998; and in HCG 100, Plana et al. 2003).
For this reason we include ``gaseous versus stellar major-axis
misalignment'' and ``changing position angle along major axis'' as
interaction indicators in Table 11,
although we have to keep in mind that these indicators may also be
related to the existence of a bar (such cases are flagged in Table 11 with footnote b).
Another indicator is the presence of multiple components in the H
profiles.
It is used to show evidence for strong interactions or mergers
although such profiles could, in general, also be associated with the
presence of an AGN. Finally, the last indicators are related to
the existence of tidal tails, if the galaxy has high IR emission
or not and the presence of central activity for each galaxy.
A list with these parameters for all galaxies studied here is
given in Table 11. The first
four indicators for members of HCG 23 and the galaxies
HCG 22a, NGC 88 and NGC 89 are not included in the table
because no Fabry-Perot data are available for these objects. The first
four indicators for HCG 92 are also not included because no Fabry
Perot velocity maps could be built given that for this group the
ionized gas is outside the galaxies (Mendes de Oliveira et al. 2001; Plana et al. 1999).
By inspecting Table 11
one can see that three galaxies present disagreement between both sides
of the rotation curves, HCG 2a, HCG 2b and NGC 92. These
galaxies have close companions and they may have suffered a recent
encounter. This has been modelled by Pedrosa et al. (2008) for major mergers and by Kronberger et al. (2006)
for fly-bys and minor mergers. In the case of a major merger, Pedrosa
et al. find that the significantly disturbed rotation curve occurs
in a small time interval within 0.5 Gyr of the occurrence of the
pericenter. In the case of NGC 92, this time is consistent with
the dynamical time of the tidal tail,
0.2 Gyr, as we derived from the maximum tidal extent divided by the maximum expected tidal velocity (Hibbard et al. 2005).
At the tip of this tail, we detected a tidal dwarf galaxy
candidate. Although the presence of double profiles in the central
region of this galaxy could be associated with its LINER nucleus,
double components are also observed along the tidal tail and these are
not correlated to the H
intensity.
For these reasons we claim that the double components are most likely
related to strong interactions.
NGC 92, therefore, may have had a very recent interaction with one
of its close neighbours. It is possible that HCG 2a and
HCG 2b also had a close encounter.
|
Figure 18: GALEX FUV-NUV versus FUV-R of the intragroup objects. Models from Thilker et al. (2007) are shown as a solid line (no extinction correction) and dotted line (internal extinction of the Milky Way E(B-V)=0.2). Crosses mark ages 10, 50, 100, 200, and 500 Myr, from the bottom right to the top left. We show only a few objects for HCG 92 due to the small field of view of the optical image compared with the GALEX image. Colors bluer than FUV-NUV = 0.9 (dashed line) are typical of spiral and late-type galaxies (Gil de Paz et al. 2007). Objects bluer than FUV-NUV = 1 (continuous line) were taken into account in our analysis. |
| Open with DEXTER | |
The kinematics of HCG 7a as a whole does not show signatures of strong interaction with other members of this group (although its velocity field is peculiar, as described in Sect. 4.1.2). No peculiarities were found in Mendes de Oliveira et al. (2003) for HCG 7c. Taking into account these kinematic results, members of HCG 7 have not had recent interactions with each other.
In the case of the triplet HCG 22, only one member, HCG 22c, has ionized gas and a symmetric rotation curve was determined. As we note in Sect. 4.1, HCG 22b has shells, which indicates a possible merger between an elliptical and a small disk galaxy (Combes & Charmandaris 1998). The timescale for shell formation is 1-10 Gyr.
Plana et al. (2003) showed that the members of group HCG 100 are in an advanced stage of interaction.
Table 11: Interaction indicators.
|
Figure 19: FUV-NUV vs. NUV-R plot. See caption of Figs. 18. |
| Open with DEXTER | |
5.2 Ultraviolet light as an evolutionary diagnostic
Despite the fact that tidal dwarf galaxies have been found in a few interacting systems (e.g. Mendes Oliveira et al. 2001; Duc & Mirabel 1998), other strongly interacting systems present no significant excess of dwarfs (Delgado-Donate et al. 2003). In Table 12, we present the confirmed intergalactic HII regions and TDGs taken from the literature. In our study, we found an excess of UV emitting regions in the field of HCG 92 and HCG 22. HCG 92 shows a bluer FUV-NUV color distribution compared with the control sample, which is in agreement with the previous studies for this group (Mendes de Oliveira et al. 2001, 2004). HCG 22, however, shows an intragroup color distribution similar to the control sample distribution, i.e. HCG 22 contains an older population of intragroup regions than HCG 92. It is possible that these regions are long-lived TDGs formed in an earlier interaction and they were able to survive. Similar results have been reported by Duc et al. (2007) for the Virgo cluster. This scenario is compatible with the studies developed by Bournaud & Duc 2006. They found that at least 25% of the substructures located in tidal tails become long-lived bound objects that typically survive more than 2 Gyr. In the same way, Hunsberger et al. (1996) found that at least one-third of the dwarf galaxy population in compact groups is formed by galaxy interactions.
Table 12: Other intergalactic HII regions and TDGs listed in the literature.
Although only HCG 92 and HCG 22 show higher field densities compared with their control samples, HCG 100 shows a blue peak in the FUV-NUV color distribution. This group contains TDGs (de Mello et al. 2008a; Urrutia-Viscarra et al. 2009) and has been suggested to be in an advanced evolutionary stage by Plana et al. (2003).
NGC 92 has only five intragroup regions, three of them (#1, #2 and
#3) are located in the extended tidal tail of NGC 92 and are
clearly seen in the NUV, FUV and R-band
images. We note the presence of a strong UV emission close to the
end of the tidal tail of NGC 92, similar to the UV emission
from the Antennae TDG candidate (Hibbard et al. 2005). Our detected region at the end of the tidal tail is only 45 Myr old. Bournaud & Duc (2006)
performed simulations in order to relate TDGs and satellite galaxies.
They found that the most massive objects located at the end of tidal
tails are likely to be the TDG progenitors. Therefore, considering
its location and age, we classify the object in the tidal tail of
NGC 92 as a TDG candidate. We also note that this object is
detected in H
(Fabry-Perot image), confirming its group membership. As has been noted for the Antennae (Hibbard et al. 2005),
we detect a gradient in the colors of the regions detected along the
tail. The bluest region is the TDG candidate, at the tip of the
tail of NGC 92.
HCG 2 and HCG 23 have no excess of UV regions in their field and have color distributions similar to their control sample. Although the intragroup regions in HCG 7 and in the CS have different color distribution (KS test, Table 10), it does not present an excess of intragroup regions in the field and moreover the regions in HCG 7 are generally redder than the colours of the CS regions. We conclude that these groups have not actively formed new regions in the intragroup medium, which might be an indication that they are in an early stage of evolution, i.e. that HCG 2, HCG 7 and 23 are non-evolved groups with respect to the UV properties.
We have also found that HCG 92 and HCG 100 intragroup regions
have color distributions significantly different from those for other
groups. We used the Gil de Paz et al. (2007)
relation between the FUV-NUV color of a galaxy and its
morphological type to evaluate the properties of their intragroup
regions. Using Eq. (5) of Gil de Paz et al. (2007), objects bluer than FUV-NUV = 0.23 are typically found to be irregular/compact galaxies (morphological type T
9.5). Following this criterios, most of the objects in HCG 92 and
in the blue peak of HCG 100 would have this morphological type,
which is expected if some of them are TDG candidates.
What are the effects of dust and the typical ages of these UV-selected intragroup regions?
The relation between UV and FIR emission can be used to obtain an estimate of the dust attenuation (Buat et al. 2005,
and references therein). In our sample, we found that several star
forming regions show blue FUV-NUV colors, such as those for the
IHII regions in HCG 92 (Mendes de Oliveira et al. 2004).
If the color of IHII is typical of star-forming regions, the
attenuation in those objects is modest, with values lower than
(see e.g. the extinction laws in Fig. 8b of Gil de Paz et al. 2007).
Even though the FUV attenuation is low for this type of object,
they must be corrected for this effect. The SFR that we calculated (see
Table 9) using UV colors corrected for dust attenuation are modest but similar to the values found by Duc & Mirabel (1998) for some TDG candidates (see Table 12).
We estimated ages using UV colors and the Milky Way extinction law (Thilker et al. 2007) only for the bluest objects (FUV-NUV < 0.1) in our sample (Tables 3-9).
We compared the age values we estimated with the ones independently
estimated from spectroscopy by Mendes de Oliveira et al. (2004, regions #4, #6 and #8 in our Table 7)
and found an excellent agreement in three of the four regions, showing
ages < 10 Myr. The other IHII region (#11 in
Table 7) has FUV-NUV
0.3 which is redder than FUV-NUV < 0.1, the limit used to
estimate ages using a Milky Way extinction law.
5.3 The H I gas
It is well known that interactions can cause severe disruption in the
HI distribution and produce HI tidal tails which might host
TDGs (Neff et al. 2005).
Moreover, there are cases where HI is also found within clouds in the
intergalactic medium (e.g. Williams et al. 2001) which were
removed from galaxies' disks by tidal forces. Therefore,
HI morphology and content may be a trace of the evolutionary stage
of interacting systems. In order to quantify this effect,
Verdes-Montenegro et al. (2001) analyzed the HI content of 72 compact groups of galaxies. They defined the HI deficiency in a group as
,
where the predicted mass for the group is the sum of the expected mass
for each galaxy member. They proposed the following evolutionary
sequence. ``Phase 1'', when the HI distribution in groups is
relatively not perturbed, and almost all the HI gas is located in
the disk of the galaxies with the remaining gas found in incipient
tidal tails; ``Phase 2'', when 30 to 60% of the total
HI mass forms tidal features; ``Phase 3a'', when the HI is
located in tidal tails or when there is no HI; and ``Phase 3b'',
when the HI gas is located in a large cloud encompassing all
galaxies.
We obtained HI information for each group in our sample from the literature and evaluated their properties taking into account the Verdes-Montenegro et al. (2001) scenario as described below.
HCG 2 shows no HI deficiency,
,
and the only interaction signature is the incipient HI tails
arising from two of its members. For HCG 7, on the other hand,
80% of the expected HI is missing (Verdes-Montenegro et al. 2001).
For HCG 22, 72% of the expected HI is missing (Verdes-Montenegro et al. 2001) and only HCG 22c shows HI emission. Price et al. (2000) noted that the strongest concentration of HI in the distribution is on the side towards the elliptical galaxy, although there are no obvious tidal tail features.
HCG 23 is classified as a group in ``Phase 1'' by Verdes-Montenegro et al. (2001). The observed and expected HI content is the same. Most of the HI in this group is associated with individual galaxies, as noted by Williams & van Gorkom (1995). In the same study, they noted five additional members that lie outside the compact group. Velocity maps for galaxies a, b and d show an asymmetry in the motion of the gas with respect to the optical center. They suggest that this group is part of a much larger system.
The well studied HCG 92 shows two galaxies with the highest
HI deficiency in the Verdes-Montenegro's sample: HCG 92b and
HCG 92c. This group is classified as being in ``Phase 3a''
and shows most of the HI (
33% of the expected HI) in intergalactic clouds and tidal tails.
de Mello et al. (2008a) and Urrutia-Viscarra et al. (2009) studied HCG 100 and detected TDG candidates in the extended tidal tail visible only in HI and not in the optical. In this group only 32% of the expected HI is detected (Verdes-Montenegro et al. 2001).
Pompei et al. (2007) classified NGC 92 as a group in ``Phase 3b''. Only 32% of the expected HI was observed in this group (
). An extended HI tail follows the optical/UV tail.
From the HI properties for each group, we conclude that galaxies in HCG 2 and HCG 23 do not show clear signatures of interaction. On the other hand, HCG 92 and HCG 100 show large tidal tails of neutral gas, far away from the main body of the galaxies.
5.4 Evolutionary stage of each group
In Table 11 we list some of the main interaction indicators for each galaxy and in Table 13 we summarize the signatures of evolution for each group using UV, HI and kinematic information. For instance, groups with an excess of UV regions, disturbed velocity fields and HI outside galaxies were considered as highly evolved.
Table 13: Evolutionary stages for the compact groups.
Although HCG 2 does not show an excess of intragroup regions nor a deficiency in the HI content, the velocity field of HCG 2a shows several signatures of interactions, which may be produced by an interaction with its companion HCG 2b.
HCG 23 shows no UV excess and no HI gas in the intragroup medium, suggesting that this group is in an early-stage of evolution.
On the other hand, HCG 92 presents an evolved evolutionary stage in the UV analysis, with several star-forming regions in the intragroup medium confirmed spectroscopically (Mendes de Oliveira et al. 2004). It also contains HI in the intragroup medium.
HCG 100 also shows an advanced evolutionary stage. Plana et al. (2003) found strong signatures of interaction in their galaxy members, de Mello et al. (2008a) found some TDG candidates in the HI tail of HCG 100.
Although only
20%
of the expected HI is observed in HCG 7, there is no excess in the
field density of this group nor is there a significantly blue
distribution in its color FUV-NUV distribution or disturbed kinematics
of their galaxy members. This result suggests that the missing HI has
not been used to form stars in the intragroup medium. On the other
hand, Verdes-Montenegro et al. (2001)
noted that it is possible to explain the HI deficiency in compact
groups by tidal removal of the outer HI disk in the galaxies,
which can explain the deficiency of HI in HCG 7 without subsequent
star formation.
The evolutionary stage of HCG 22 is not as clear as for the other targets. If the excess of regions in HCG 22 is the result of previous galaxy interactions or merger events, a fraction of the HI gas might have been converted into stars. This scenario is supported by the HI observations, since only 28% of the expected gas is observed in this group. However, this group contains an elliptical galaxy, HCG 22a, which contains no signatures of mergers (da Rocha et al. 2002; de Souza et al. 2004). Moreover, HCG 22b shows shell structures, associated with mergers events. Therefore, if the intragroup regions belong to HCG 22, we suggest that they are formed from galaxy interaction and/or a merger event.
In NGC 92 we did not find any excess of UV regions in their field. However, galaxy NGC 92 shows an extended tidal tail and both sides of the rotation curve do not match. A TDG candidate is clearly detected in our multiwavelength study, although no rotation has been measured from our Fabry Perot data. HI gas has been used up in the process of forming stars, which might be one of the reasons why 69% of the HI is missing in this group.
Finally, we compare our results with another tracer of evolution in groups: X-ray observations. In the X-ray Atlas of Groups of Galaxies, Mulchaey et al. (2003) showed that HCG 92 shows a clear diffuse emision (i.e. hot intragroup medium). On the other hand, HCG 2, HCG 22 and HCG 23 did not present hot intragroup medium (Mulchaey et al. 2003). Interestigly, the spiral rich group NGC 92 has a hot intragroup medium, as was reported by Trinchieri et al. (2008). These results of X-ray emission are in agreement with our clasification for the evolutionary stage of compact groups.
6 Conclusions
We present new ultraviolet and new Fabry-Perot data for a sample of 5 compact groups of galaxies.
For each galaxy, we present UV images, H
velocity field, H
monochromatic images, velocity dispersion maps and rotation curves.
We classified the groups according to their evolutionary stages and in addition we searched for young star-forming region candidates in galaxies with tidal tails and in the intragroup medium of the compact groups. Dozens of regions with ages < few Myr were found. We concluded that HCG 7 and HCG 23 are non-evolved groups. HCG 2 and HCG 22 show limited signatures of interaction. For instance, HCG 2a has a non-symmetric rotation curve and HCG 22 has an excess in the field density of star-forming regions and shell structures. We therefore classified both groups as being in a mildly interacting stage of evolution. We conclude that three groups, HCG 92, HCG 100 and NGC 92, are in advanced stages of interaction, contain extended HI tails and harbor young star-forming regions and TDGs. We are in the process of obtaining spectroscopy of a sub-sample of the intragroup objects in order to confirm their group membership. Preliminary results confirm that at least two of the UV-bright sources of HCG 100 (as listed in Table 8) are in the same redshift as the group members (Urrutia-Viscarra et al. 2009).
AcknowledgementsWe would like to thank the referee, Dr. Sonia Temporin, for very useful comments and suggestions which were very important in improving this paper. S.T.-F. acknowledges the financial support of FAPESP through the Doctoral position, under contract 2007/07973-3. C.M.d.O. acknowledges support from the Brazilian agencies FAPESP (projeto temático 2006/56213-9), CNPq and CAPES. D.F.d.M. acknowledges support from GALEX grant NNG06GG45G. H.P. acknowledges the financial support of CAPES through the Pos-Doctoral position, under contract 3656/08-0. GALEX is a NASA Small Explorer, launched in 2003 April. We gratefully acknowledge NASA's support for construction, operation, and science analysis for the GALEX mission, developed in cooperation with the Centre National d'Etudes Spatiales of France and the Korean Ministry of Science and Technology. This research has made use of the NASA/IPAC Extragalactic Database (NED) which is operated by the Jet Propulsion Laboratory, California Institute of Technology, under contract with the National Aeronautics and Space Administration. We also acknowledge the usage of the HyperLeda database (http://leda.univ-lyon1.fr).
References
- Allam, S., Assendorp, R., Longo, G., Braun, M., & Richter, G. 1996, A&AS, 117, 39 [EDP Sciences] [CrossRef] [NASA ADS]
- Amram, P., Plana, H., Mendes de Oliveira, C., Balkowski, C., & Boulesteix, J. 2003, A&A, 402, 865 [EDP Sciences] [CrossRef] [NASA ADS]
- Amram, P., Mendes de Oliveira, C., Plana, H., Balkowski, C., & Hernandez, O. 2007, A&A, 471, 753 [EDP Sciences] [CrossRef] [NASA ADS]
- Bell, E. F., Wolf, C., Meisenheimer, K., et al. 2004, ApJ, 608, 752 [CrossRef] [NASA ADS]
- Bertin, E., & Arnouts, S. 1996, A&AS, 117, 393 [EDP Sciences] [CrossRef] [NASA ADS]
- Boulesteix, J. 2002, ADHOCw reduction Package, Publication of Observatoire de Marseille, http://www.oamp.fr/adhoc/
- Bournaud, F., & Duc, P. A. 2006, A&A, 456, 481 [EDP Sciences] [CrossRef] [NASA ADS]
- Brown, M. J. I., Dey, A., Jannuzi, B. T., et al. 2007, ApJ, 654, 858 [CrossRef] [NASA ADS]
- Buat, V., Iglesias-Páramo, J., Seibert, M., et al. 2005, ApJ, 619, L51 [CrossRef] [NASA ADS]
- Coziol, R., Ribeiro, A. L. B., de Carvalho, R. R., & Capelato, H. V. 1998, ApJ, 493, 563 [CrossRef] [NASA ADS]
- Coziol, R., Iovino, A., & de Carvalho, R. R. 2000, AJ, 120, 47 [CrossRef] [NASA ADS]
- Coziol, R., Brinks, E., & Bravo-Alfaro, H. 2004, AJ, 128, 68 [CrossRef] [NASA ADS]
- Daigle, O., Carignan, C., Hernandez, O., Chemin, L., & Amram, P. 2006, MNRAS, 368, 1016 [CrossRef] [NASA ADS]
- da Rocha, C., Mendes de Oliveira, C., Bolte, M., Ziegler, B. L., & Puzia, T. H. 2002, AJ, 123, 690 [CrossRef] [NASA ADS]
- de Carvalho, R. R., Ribeiro, A. L. B., Capelato, H. V., & Zepf, S. E. 1997, ApJS, 110, 1 [CrossRef] [NASA ADS]
- Debattista, V. P., Mayer, L., Carollo, C. M., et al. 2006, ApJ, 645, 209 [CrossRef] [NASA ADS]
- Delgado-Donate, E. J., Muñoz-Tuñón, C., Deeg, H. J., & Iglesias-Páramo, J. 2003, A&A, 402, 921 [EDP Sciences] [CrossRef] [NASA ADS]
- de Mello, D. F., Dahlen, T., Gardner, J. P., & Grogin, N. A. 2006, AJ, 132, 2014 [CrossRef] [NASA ADS]
- de Mello, D. F., Torres-Flores, S., & Mendes de Oliveira, C. 2008a, AJ, 135, 319 [CrossRef] [NASA ADS]
- de Mello, D. F., Smith, L. J., Sabbi, E., et al. 2008b, AJ, 135, 548 [CrossRef] [NASA ADS]
- de Souza, R. E., Gadotti, D. A., dos Anjos, S. 2004, ApJS, 153, 411 [CrossRef] [NASA ADS]
- de Vaucouleurs, G., de Vaucouleurs, A., Corwin, H. G., Jr., et al. 1991, Third Reference Catalogue of Bright Galaxies (New York: Springer)
- Duc, P.-A., & Mirabel, I. F. 1998, A&A, 333, 813 [NASA ADS]
- Duc, P.-A., Braine, J., Lisenfeld, U., Brinks, E., & Boquien, M. 2007, A&A, 475, 187 [EDP Sciences] [CrossRef] [NASA ADS]
- Epinat, B., Amram, P., Marcelin, M., et al. 2008a, MNRAS, 388, 500 [CrossRef] [NASA ADS]
- Epinat, B., Amram, P., & Marcelin, M. 2008b, MNRAS, 390, 466 [NASA ADS]
- Gallagher, S. C., Johnson, K. E., Hornschemeier, A. E., Charlton, J. C., & Hibbard J. E. 2008, ApJ, 673, 730 [CrossRef] [NASA ADS]
- Gerin, M., Combes, F., & Athanassoula, E. 1990, A&A, 230, 37 [NASA ADS]
- Gil de Paz, A., Boissier, S., Madore, B. F., et al. 2007, ApJS, 173, 185 [CrossRef] [NASA ADS]
- Hibbard, J. E., Bianchi, L., Thilker, D. A., et al. 2005, ApJ, 619, L87 [CrossRef] [NASA ADS]
- Hickson, P. 1982, ApJ, 255, 382 [CrossRef] [NASA ADS]
- Hickson, P. 1993, ApL&C, 29, 1 [NASA ADS]
- Hickson, P., Mendes de Oliveira, C., Huchra, J. P., & Palumbo, G. G. 1992, ApJ, 399, 353 [CrossRef] [NASA ADS]
- Hunsberger, S. D., Charlton, J. C., & Zaritsky, D. 1996, ApJ, 462, 50 [CrossRef] [NASA ADS]
- Iglesias-Páramo, J., Buat, V., Takeuchi, T. T., et al. 2006, ApJ, 164, 38 [CrossRef] [NASA ADS]
- Iovino, A. 2002, AJ, 124, 2471 [CrossRef] [NASA ADS]
- Johnson, K., Hibbard, J., Gallagher, C., et al. 2007, AJ, 134, 1522 [CrossRef] [NASA ADS]
- Kronberger, T., Kapferer, W., Schindler, S., et al. 2006, A&A, 458, 69 [EDP Sciences] [CrossRef] [NASA ADS]
- Lupton 2005, SDSS website
- Mendes de Oliveira, C. 1992, Ph.D. Thesis, British Columbia Univ.
- Mendes de Oliveira, C., & Hickson, P. 1994, ApJ, 427, 684 [CrossRef] [NASA ADS]
- Mendes de Oliveira, C., Plana, H., Amram, P., Balkowski, C., & Boulesteix, J. 1998, ApJ, 507, 691 [CrossRef] [NASA ADS]
- Mendes de Oliveira, C., Plana, H., Amram, P., Balkowski, C., & Bolte, M. 2001, AJ, 121, 2524 [CrossRef] [NASA ADS]
- Mendes de Oliveira, C., Cypriano, E. S., Sodré, L., Jr., & Balkowski, C. 2004, ApJ, L17
- Mendes de Oliveira, C., Temporin, S., Cypriano, E. S., et al. 2006, AJ, 132, 570 [CrossRef] [NASA ADS]
- Mulchaey, J. S., Davis, D. S., Mushotzky, R. F., & Burstein, D. 2003, ApJS, 145, 39 [CrossRef] [NASA ADS]
- Neff, S. G., Thilker, D. A., Seibert, M., et al. 2005, ApJ, 619, L91 [CrossRef] [NASA ADS]
- Paturel, G., Petit, C., Prugniel, P., et al. 2003, A&A, 412, 45 [EDP Sciences] [CrossRef] [NASA ADS]
- Pedrosa, S., Tissera, P. B., Fuentes-Carrera, I., & Mendes de Oliveira, C. 2008, A&A, 484, 299 [EDP Sciences] [CrossRef] [NASA ADS]
- Plana, H., Mendes de Oliveira, C., Amram, P., et al. 1999, ApJ, 516, L69 [CrossRef] [NASA ADS]
- Plana, H., Amram, P., Mendes de Oliveira, C., Balkowski, C., & Boulesteix, J. 2003, AJ, 125, 1736 [CrossRef] [NASA ADS]
- Pompei, E., Dahlem, M., & Iovino, A. 2007, A&A, 473, 399 [EDP Sciences] [CrossRef] [NASA ADS]
- Price, R. M., Babic, B., & Jones, K. 2000, ASPC, 209, 163 [NASA ADS]
- Prugniel, P., & Heraudeau, P. 1998, A&AS, 128, 299 [EDP Sciences] [CrossRef] [NASA ADS]
- Rose, J. A. 1977, ApJ, 211, 311 [CrossRef] [NASA ADS]
- Rose, J. A. 1979, ApJ, 231, 10 [CrossRef] [NASA ADS]
- Ryan-Weber, E. V., Meuerer, G. R., Freeman, K. C., Putman, M. E., & Webster, R. L. 2004, AJ, 127, 1431 [CrossRef] [NASA ADS]
- Rubin, V. C., Hunter, D. A., & Ford, W. K., Jr. 1991, ApJS, 76, 153 [CrossRef] [NASA ADS]
- Salim, S., Rich, R. M., Charlot, S., et al. 2007, ApJS, 173, 267 [CrossRef] [NASA ADS]
- Schelegel, D. J., Finkbeiner, D. P., & Davis, M. 1998, ApJ, 500, 525 [CrossRef] [NASA ADS]
- Seibert, M., Martin, D. C., Heckman, T. M., et al. 2005, ApJ, 619, L55 [CrossRef] [NASA ADS]
- Shimada, M., Ohyama, Y., Nishiura, S., Murayama, T., & Taniguchi, Y. 2000, AJ, 119, 2664 [CrossRef] [NASA ADS]
- Temporin, S., Ciroi, S., Iovino, A., et al. 2005, ASSL, 329, 78 [NASA ADS]
- Torres-Flores, et al. 2009, in preparation
- Thilker, D. A., Bianchi, L., Meurer, G., et al. 2007, ApJS, 173, 538 [CrossRef] [NASA ADS]
- Treyer, M., Schiminovich, D., Johnson, B., et al. 2007, ApJS, 173, 256 [CrossRef] [NASA ADS]
- Trinchieri, G., Iovino, A., Pompei, E., et al. 2008, A&A, 484, 195 [EDP Sciences] [CrossRef] [NASA ADS]
- Tzanavaris, P., et al. 2009, in preparation
- Urrutia-Viscarra, et al. 2009, in preparation
- Verdes-Montenegro, L., Yun, M. S., Perea, J., del Olmo, A., & Ho, P. T. P. 1998, ApJ, 497, 89 [CrossRef] [NASA ADS]
- Verdes-Montenegro, L., Yun, M. S., Williams, B. A., et al. 2001, A&A, 377, 812 [EDP Sciences] [CrossRef] [NASA ADS]
- Verdes-Montenegro, L., Del Olmo, A., Yun, M. S., & Perea, J. 2005, A&A, 430, 443 [EDP Sciences] [CrossRef] [NASA ADS]
- Williams, B. A., & van Gorkom, J. H. 1995, ASPC, 70, 77 [NASA ADS]
- Williams, B. A., McMahon, P. M., & van Gorkom, J. H. 1991, AJ, 101, 1957 [CrossRef] [NASA ADS]
- Xu, C. K., Lu, N. Y., Condon, J. J., Dopita, M., & Tuffs, R. J. 2003, ApJ, 595, 665 [CrossRef] [NASA ADS]
- Xu, C. K., Iglesias-Páramo, J., Burgarella, D., et al. 2005, ApJ, 619L, 95 [CrossRef] [NASA ADS]
- Zucca, E., Ilbert, O., Bardelli, S., et al. 2006, A&A, 455, 879 [EDP Sciences] [CrossRef] [NASA ADS]
Footnotes
- ... galaxies
- Based on observations collected at the European Southern Observatory, La Silla, Chile.
- ...2008a)
- de Mello et al. (2008a) selected the UV sources based on proximity to the HI tail while in this work, sources were selected within a region of radius equal to two times the radius of the minimum circle, as defined in Sect. 3.2.
- ... IRAF
- IRAF is distributed by the National Optical Astronomy Observatories, which are operated by the Association of Universities for Research in Astronomy, Inc., under cooperative agreement with the National Science Foundation.
- ... indicators
- Early-type galaxies HCG 7b and HCG 22b (Table 1) had very weak H
emission and, therefore, no rotation curves were derived for these objects.
- ... Hyperleda
- http://leda.univ-lyon1.fr
- ... NED
- http://nedwww.ipac.caltech.edu/
All Tables
Table 1: Properties of the sample.
Table 2:
Field density
(#objects arcmin-2)
Table 3: Observed and derived properties for HCG 2 regions.
Table 4: Observed and derived properties for HCG 7 regions.
Table 5: Observed and derived properties for HCG 22 regions
Table 6: Observed and derived properties for HCG 23 regions.
Table 7: Observed and derived properties for HCG 92 regions.
Table 8: Observed and derived properties for HCG 100 regions.
Table 9: Observed and derived properties for NGC 92 regions.
Table 10: Statistical values.
Table 11: Interaction indicators.
Table 12: Other intergalactic HII regions and TDGs listed in the literature.
Table 13: Evolutionary stages for the compact groups.
All Figures
|
Figure 1: HCG 2a,b. North is at the top and East is to the left of all images in Figs. 1 to 6. HCG 2a is located to the East of HCG 2b. Top left: R band image from CTIO. Top right: velocity field. We highlight the HCG 2b scale at the top of the velocity field, in order to show clearly its dynamic range. Bottom left: monochromatic image. Bottom right: velocity dispersion map. Small arrow in the R band image and monochromatic map indicates the position of a new source (probably in the background) detected in the Fabry-Perot analysis. |
| Open with DEXTER | |
| In the text | |
|
Figure 2: HCG 2c. Top left: R band image from CTIO. Top right: velocity field. Bottom left: monochromatic image. Bottom right: velocity dispersion map. |
| Open with DEXTER | |
| In the text | |
|
Figure 3: HCG 7a,d. HCG 7a is located Southwest of HCG 7d. Top left: r band image from SDSS. Top right: velocity field. We highlight the HCG 7d scale at the top of the velocity field, in order to show clearly its dynamic range. Bottom left: monochromatic image. Bottom right: velocity dispersion map. |
| Open with DEXTER | |
| In the text | |
|
Figure 4: HCG 7b,d. HCG 7d is located in the center of the field. HCG 7a and b are partially shown in the South and North of the field respectively. Top left: r band image from SDSS. Top right: velocity field. Bottom left: monochromatic image. Bottom right: velocity dispersion map. |
| Open with DEXTER | |
| In the text | |
|
Figure 5: HCG 22b,c. HCG 22b lies South of HCG 22c. Top left: R band image from CTIO. Top right: velocity field. Bottom left: monochromatic image. Bottom right: velocity dispersion map. |
| Open with DEXTER | |
| In the text | |
|
Figure 6: NGC 92 and NGC 88. NGC 92 lies East of NGC 88. Top left: R band image from NTT. Top right: velocity field. Bottom left: monochromatic image. Bottom right: velocity dispersion map. |
| Open with DEXTER | |
| In the text | |
|
Figure 7:
Rotation curves for individual galaxies in our sample. The parameters
used to derive the rotation curves are given in each plot (PA: position
angle, i: inclination). The adopted galaxy center is the morphological center. The horizontal error bars represent the |
| Open with DEXTER | |
| In the text | |
|
Figure 8: Rotation curve for NGC 92. See also caption of Fig. 7. |
| Open with DEXTER | |
| In the text | |
|
Figure 9: R-band image of HCG 22b. |
| Open with DEXTER | |
| In the text | |
|
Figure 10: NUV band image for HCG 2. The smaller circles show the detected regions. The large circle has a radius of twice the minimum circle that contains the galaxies members of the group, which are named with capital letters. |
| Open with DEXTER | |
| In the text | |
|
Figure 11: NUV band image for HCG 7. See caption of Fig. 10. |
| Open with DEXTER | |
| In the text | |
|
Figure 12: NUV band image for HCG 22. See caption of Fig. 10. |
| Open with DEXTER | |
| In the text | |
|
Figure 13: NUV band image for HCG 23. See caption of Fig. 10. |
| Open with DEXTER | |
| In the text | |
|
Figure 14: Zoom of the central region of HCG 92 (NUV band image). See caption of Fig. 10. Galaxy names were taken from Mendes de Oliveira et al. (2004). |
| Open with DEXTER | |
| In the text | |
|
Figure 15: NUV band image for HCG 100. See caption of Fig. 10. |
| Open with DEXTER | |
| In the text | |
|
Figure 16: NUV band image for NGC 92. See caption of Fig. 10. |
| Open with DEXTER | |
| In the text | |
|
Figure 17: Normalized histograms showing FUV-NUV distributions. Solid line: intragroup regions. Dashed line: control sample. Averages for each FUV-NUV color distribution are shown as CG, for compact group and CS, for control sample. Values for the standard deviation are indicated in parentheses. The error bar in the x-axis is estimated to be 0.2 mag. |
| Open with DEXTER | |
| In the text | |
|
Figure 18: GALEX FUV-NUV versus FUV-R of the intragroup objects. Models from Thilker et al. (2007) are shown as a solid line (no extinction correction) and dotted line (internal extinction of the Milky Way E(B-V)=0.2). Crosses mark ages 10, 50, 100, 200, and 500 Myr, from the bottom right to the top left. We show only a few objects for HCG 92 due to the small field of view of the optical image compared with the GALEX image. Colors bluer than FUV-NUV = 0.9 (dashed line) are typical of spiral and late-type galaxies (Gil de Paz et al. 2007). Objects bluer than FUV-NUV = 1 (continuous line) were taken into account in our analysis. |
| Open with DEXTER | |
| In the text | |
|
Figure 19: FUV-NUV vs. NUV-R plot. See caption of Figs. 18. |
| Open with DEXTER | |
| In the text | |
Copyright ESO 2009
Current usage metrics show cumulative count of Article Views (full-text article views including HTML views, PDF and ePub downloads, according to the available data) and Abstracts Views on Vision4Press platform.
Data correspond to usage on the plateform after 2015. The current usage metrics is available 48-96 hours after online publication and is updated daily on week days.
Initial download of the metrics may take a while.
![\begin{figure}
\par\includegraphics[width=18cm,clip]{11878fg1.eps}
\end{figure}](/articles/aa/full_html/2009/44/aa11878-09/Timg27.png)
![\begin{figure}
\par\includegraphics[width=18cm,clip]{11878fg2.eps}
\vspace*{3.7mm}
\end{figure}](/articles/aa/full_html/2009/44/aa11878-09/Timg28.png)
![\begin{figure}
\par\includegraphics[width=18cm,clip]{11878fg3.eps}
\end{figure}](/articles/aa/full_html/2009/44/aa11878-09/Timg29.png)
![\begin{figure}
\par\includegraphics[width=18cm,clip]{11878fg4.eps}
\vspace*{3.5mm}
\end{figure}](/articles/aa/full_html/2009/44/aa11878-09/Timg30.png)
![\begin{figure}
\par\includegraphics[width=18cm,clip]{11878fg5.eps}
\vspace*{3.5mm}
\end{figure}](/articles/aa/full_html/2009/44/aa11878-09/Timg31.png)
![\begin{figure}
\par\includegraphics[width=18cm,clip]{11878fg6.eps}
\vspace*{6mm}
\end{figure}](/articles/aa/full_html/2009/44/aa11878-09/Timg32.png)
![\begin{figure}
\par\includegraphics[width=8.5cm,clip]{11878fg7.eps}\includegraph...
...p]{11878fg11.eps}\includegraphics[width=8.55cm,clip]{11878fg12.eps}
\end{figure}](/articles/aa/full_html/2009/44/aa11878-09/Timg33.png)
![\begin{figure}
\par\includegraphics[width=8.5cm,clip]{11878fg13.eps}
\end{figure}](/articles/aa/full_html/2009/44/aa11878-09/Timg43.png)
![\begin{figure}
\par\includegraphics[width=8.8cm,clip]{11878fg14.eps}
\end{figure}](/articles/aa/full_html/2009/44/aa11878-09/Timg46.png)
![\begin{figure}
\par\includegraphics[width=8.8cm,clip]{11878fg15.eps}
\end{figure}](/articles/aa/full_html/2009/44/aa11878-09/Timg47.png)
![\begin{figure}
\par\includegraphics[width=8.8cm,clip]{11878fg16.eps}
\end{figure}](/articles/aa/full_html/2009/44/aa11878-09/Timg48.png)
![\begin{figure}
\par\includegraphics[width=8.6cm,clip]{11878fg17.eps}
\end{figure}](/articles/aa/full_html/2009/44/aa11878-09/Timg49.png)
![\begin{figure}
\par\includegraphics[width=8.6cm,clip]{11878fg18.eps}
\end{figure}](/articles/aa/full_html/2009/44/aa11878-09/Timg50.png)
![\begin{figure}
\par\includegraphics[width=8.6cm,clip]{11878fg19.eps}
\end{figure}](/articles/aa/full_html/2009/44/aa11878-09/Timg51.png)
![\begin{figure}
\par\includegraphics[width=8.6cm,clip]{11878fg20.eps}
\end{figure}](/articles/aa/full_html/2009/44/aa11878-09/Timg52.png)
![\begin{figure}
\par\includegraphics[width=8.6cm,clip]{11878fg21.eps}
\end{figure}](/articles/aa/full_html/2009/44/aa11878-09/Timg53.png)
![\begin{figure}
\par\includegraphics[width=17cm,clip]{11878fg22.eps}
\vspace*{2mm}
\end{figure}](/articles/aa/full_html/2009/44/aa11878-09/Timg57.png)
![\begin{figure}
\par\includegraphics[width=8.8cm,clip]{11878fg23.eps}
\end{figure}](/articles/aa/full_html/2009/44/aa11878-09/Timg58.png)
![\begin{figure}
\par\includegraphics[width=8.8cm,clip]{11878fg24.eps}
\end{figure}](/articles/aa/full_html/2009/44/aa11878-09/Timg59.png)