| Issue |
A&A
Volume 507, Number 2, November IV 2009
|
|
|---|---|---|
| Page(s) | 769 - 779 | |
| Section | Extragalactic astronomy | |
| DOI | https://doi.org/10.1051/0004-6361/200912953 | |
| Published online | 15 September 2009 | |
A&A 507, 769-779 (2009)
WEBT multiwavelength monitoring and XMM-Newton observations of BL Lacertae in 2007-2008
Unveiling different emission
components
C. M. Raiteri1 - M. Villata1 - A. Capetti1 - M. F. Aller2 - U. Bach3 - P. Calcidese4 - M. A. Gurwell5 - V. M. Larionov6,7 - J. Ohlert8 - K. Nilsson9 - A. Strigachev10 - I. Agudo11 - H. D. Aller2 - R. Bachev10 - E. Benítez12 - A. Berdyugin9 - M. Böttcher13 - C. S. Buemi 14 - S. Buttiglione15 - D. Carosati16 - P. Charlot17,18 - W. P. Chen19 - D. Dultzin12 - E. Forné20 - L. Fuhrmann3 - J. L. Gómez11 - A. C. Gupta21 - J. Heidt22 - D. Hiriart12 - W.-S. Hsiao19 - M. Jelínek23 - S. G. Jorstad24 - G. N. Kimeridze25 - T. S. Konstantinova6 - E. N. Kopatskaya6 - A. Kostov10 - O. M. Kurtanidze25 - A. Lähteenmäki26 - L. Lanteri1 - L. V. Larionova6 - P. Leto27,14 - G. Latev28 - J.-F. Le Campion17,18 - C.-U. Lee29 - R. Ligustri30 - E. Lindfors9 - A. P. Marscher31 - B. Mihov10 - M. G. Nikolashvili25 - Y. Nikolov10,28 - E. Ovcharov28 - D. Principe13 - T. Pursimo32 - B. Ragozzine13 - R. M. Robb33 - J. A. Ros20 - A. C. Sadun34 - R. Sagar21 - E. Semkov10 - L. A. Sigua25 - R. L. Smart1 - M. Sorcia12 - L. O. Takalo9 - M. Tornikoski26 - C. Trigilio14 - K. Uckert13 - G. Umana14 - A. Valcheva10 - A. Volvach35
1 - INAF, Osservatorio Astronomico di Torino, Italy
2 - Department of Astronomy, University of Michigan, MI, USA
3 - Max-Planck-Institut für Radioastronomie, Bonn, Germany
4 - Osservatorio Astronomico della Regione Autonoma Valle d'Aosta,
Italy
5 - Harvard-Smithsonian Center for Astroph., Cambridge, MA, USA
6 - Astron. Inst., St.-Petersburg State Univ., Russia
7 - Pulkovo Observatory, St. Petersburg, Russia
8 - Michael Adrian Observatory, Trebur, Germany
9 - Tuorla Observatory, Dept. of Physics and Astronomy, Univ. of Turku,
Piikkiö, Finland
10 - Inst. of Astronomy, Bulgarian Academy of Sciences, Sofia, Bulgaria
11 - Instituto de Astrofísica de Andalucía (CSIC), Granada, Spain
12 - Instituto de Astronomía, Universidad Nacional Autónoma de México,
Mexico
13 - Department of Physics and Astronomy, Ohio Univ., OH, USA
14 - INAF, Osservatorio Astrofisico di Catania, Italy
15 - SISSA-ISAS, Trieste, Italy
16 - Armenzano Astronomical Observatory, Italy
17 - Université de Bordeaux, Observatoire Aquitain des Sciences de
l'Univers, Floirac, France
18 - CNRS, Laboratoire d'Astrophysique de Bordeaux - UMR 5804, Floirac,
France
19 - Institute of Astronomy, National Central University, Taiwan
20 - Agrupació Astronòmica de Sabadell, Spain
21 - ARIES, Manora Peak, Nainital, India
22 - ZAH, Landessternwarte Heidelberg, Heidelberg, Germany
23 - Inst. de Astrofísica de Andalucía, CSIC, Spain
24 - Inst. for Astrophysical Research, Boston University, MA, USA
25 - Abastumani Astrophysical Observatory, Georgia
26 - Metsähovi Radio Obs., Helsinki Univ. of Technology, Finland
27 - INAF, Istituto di Radioastronomia, Sezione di Noto, Italy
28 - Sofia University, Bulgaria
29 - Korea Astronomy and Space Science Institute, South Korea
30 - Circolo Astrofili Talmassons, Italy
31 - Institute for Astrophysical Research, Boston University, MA, USA
32 - Nordic Optical Telescope, Santa Cruz de La Palma, Spain
33 - Dept. of Physics and Astronomy, Univ. of Victoria, Victoria,
Canada
34 - Dept. of Phys., Univ. of Colorado Denver, Denver, CO USA
35 - Radio Astronomy Lab. of Crimean Astrophysical Observatory, Ukraine
Received 22 July 2009 / Accepted 3 September 2009
Abstract
Context. BL Lacertae is the prototype of the blazar
subclass named after it. Yet, it has occasionally shown a peculiar
behaviour that has questioned a simple interpretation of its broad-band
emission in terms of synchrotron plus synchrotron self-Compton (SSC)
radiation.
Aims. In the 2007-2008 observing season we carried
out a new multiwavelength campaign of the Whole Earth Blazar Telescope
(WEBT) on BL Lacertae, involving three pointings by the XMM-Newton
satellite in July and December 2007, and January 2008, to study its
emission properties, particularly in the optical-X-ray energy range.
Methods. The source was monitored in the
optical-to-radio bands by 37 telescopes. The brightness level was
relatively low. Some episodes of very fast variability were detected in
the optical bands. Flux changes had larger amplitude at the higher
radio frequencies than at longer wavelengths.
Results. The X-ray spectra acquired by the EPIC
instrument onboard XMM-Newton are well fitted by a power law with
photon index
and photoelectric absorption exceeding the Galactic value. However,
when taking into account the presence of a molecular cloud on the line
of sight, the EPIC data are best fitted by a double power law, implying
a concave X-ray spectrum. The spectral energy distributions (SEDs)
built with simultaneous radio-to-X-ray data at the epochs of the
XMM-Newton observations suggest that the peak of the synchrotron
emission lies in the near-IR band, and show a prominent UV excess,
besides a slight soft-X-ray excess. A comparison with the SEDs
corresponding to previous observations with X-ray satellites shows that
the X-ray spectrum is very variable, since it can change from extremely
steep to extremely hard, and can be more or less curved in intermediate
states. We ascribe the UV excess to thermal emission from the accretion
disc, and the other broad-band spectral features to the presence of two
synchrotron components, with their related SSC emission. We fit the
thermal emission with a black body law and the non-thermal components
by means of a helical jet model. The fit indicates a disc temperature
and a luminosity
.
Key words: galaxies: active - galaxies: BL Lacertae objects: general - galaxies: BL Lacertae objects: individual: BL Lacertae - galaxies: jets
1 Introduction
BL Lacertae is the prototype of one of the two blazar subclasses, the
BL Lac objects,
the other subclass being represented by the flat-spectrum radio quasars
(FSRQs).
Common features of blazars are:
i) extreme flux variability at all wavelengths, from radio to
-ray
frequencies, on a wide variety of time scales, from long-term (months,
years) oscillations to intra-day variability (IDV); ii) high radio and
optical polarization;
iii) brightness temperatures exceeding the Compton limit;
iv) superluminal motion of the radio components.
The commonly accepted paradigm foresees that their non-thermal emission
comes from a plasma jet closely aligned with the line of sight. The jet
is generated by a supermassive black hole fed by infall of matter from
an accretion disc. The broad-band spectral energy
distribution (SED) of a blazar, given in the common
versus
representation, shows two wide bumps. The low-energy bump, which
extends from the radio to the optical-UV (for some BL Lacs up
to X-ray) frequencies, is ascribed to synchrotron radiation by
relativistic electrons in the jet.
The high-energy bump, covering the X-ray to
-ray energies, is likely due
to inverse-Compton scattering of seed photons off the relativistic
electrons. According to the synchrotron self Compton (SSC) model, the
seed photons are the synchrotron photons themselves.
In contrast, the external Compton (EC) scenario foresees that seed
photons may enter the jet either directly from the accretion disc (e.g.
Dermer et al. 1992),
or reprocessed by the broad line region (e.g. Sikora
et al. 1994) or hot corona surrounding the disc
(e.g. Ghisellini & Tavecchio 2009).
SSC models usually fairly explain the SEDs of the low-luminosity
blazars, i.e. the BL Lac objects, while EC models are
needed to fit the SEDs of the FSRQs. However, recent multiwavelength
studies on a number of blazars, which included observations by the
-ray
satellite AGILE, have shown that multiple SSC and/or
EC components are necessary to explain the observed
high-energy fluxes (see e.g. Chen et al. 2008; Donnarumma
et al. 2009a; Vercellone et al. 2009; Pucella
et al. 2008; D'Ammando et al. 2009).
In addition to these two non-thermal jet components, the SEDs of quasar-type blazars sometimes show a ``blue bump'' in between, which is thought to be the signature of the thermal radiation emitted from the accretion disc. Indeed, the spectra of these objects usually display prominent broad emission lines, which are most likely produced by photoionization of the broad line region due to the disc radiation.
On the contrary, BL Lacs are by definition almost featureless
objects (equivalent width less than 5 Å in their rest frame, Stickel et al. 1991).
It was hence a surprise when Vermeulen
et al. (1995), and soon after Corbett
et al. (1996), discovered a broad H
(and H
)
emission line in the spectrum of BL Lacertae, whose luminosity (
)
and
full-width half-maximum (
)
are comparable to those of type I Seyfert galaxies such as
NGC 4151. Subsequent spectroscopic monitoring of this source
by Corbett et al. (2000)
showed that the H
equivalent width is approximately inversely proportional to the optical
continuum flux.
This suggested that the broad line region is photoionized by a
radiation source
that is not the same producing the optical continuum.
The photoionising radiation would most likely come from the accretion
disc.
Another important issue comes from the results obtained by Ravasio et al. (2003). They analyzed the X-ray data acquired by BeppoSAX from October 31 to November 2, 2000, during an extensive multiwavelength campaign. When constructing the source SED with contemporaneous data, it was evident that the steep X-ray spectrum was offset with respect to the extrapolation of the optical one. One possible explanation was the presence of an extra component in addition to the synchrotron and inverse-Compton ones.
Finally, according to Madejski
et al. (1999) and Böttcher
& Bloom (2000), the explanation of the
-ray flux
detected by the EGRET instrument on board the CGRO satellite during
the 1997 optical outburst (see Bloom
et al. 1997) requires an EC emission component in
addition to the SSC one.
Taken together, these results suggest that in BL Lacertae the interpretation of the broad-band emission may require a more complex scenario than that usually envisaged for the BL Lac objects, involving just one synchrotron plus its SSC emission.
In the last decade, BL Lacertae has been extensively studied
by the Whole Earth Blazar Telescope (WEBT) collaboration
,
which has carried out several multiwavelength campaigns on this object (Villata
et al. 2009,2002; Böttcher et al. 2003; Bach et al.
2006; Villata
et al. 2004a; Ravasio et al. 2002; Papadakis
et al. 2007; Villata et al. 2004b),
collecting tens of thousands of optical-to-radio data.
These studies were focused on its multiwavelength flux variability,
colour behaviour, correlations among flux variations in different
bands, possible periodicity of the radio outbursts. The main aim of the
new WEBT campaign organized in the 2007-2008 observing season was
instead to address the problem of disentangling the possible multiple
contributions to the BL Lac flux from the radio band to
-rays. For
this sake, the optical-to-radio monitoring by the WEBT was complemented
by three pointings by the XMM-Newton satellite. Moreover, we also
obtained optical spectra with the 3.6 m Telescopio Nazionale
Galileo (TNG)
to investigate the properties of the H
broad emission line,
and possibly infer information on the accretion disc. The results of
the spectroscopic study will be reported elsewhere.
This paper is organised as follows. In Sect. 2 we present the WEBT optical-to-radio light curves. The analysis of the XMM-Newton data is reported in Sect. 3. In Sect. 4 we show the SEDs corresponding to the XMM-Newton epochs, and compare them with those related to previous observations by X-ray satellites. The interpretation of the XMM-Newton SEDs is discussed in Sect. 5. Finally, Sect. 6 contains a summary and discussion of the main results.
Table 1: List of optical, near-IR, and radio observatories contributing data to this work.
|
Figure 1: Optical UBVRI and near-IR JHK light curves of BL Lacertae in the 2007-2008 observing season. Vertical lines indicate the three XMM-Newton pointings of July 10-11 and December 5, 2007, and January 8, 2008. |
| Open with DEXTER | |
2 Multifrequency observations by the WEBT
The new WEBT campaign on BL Lacertae took place in the 2007-2008
observing season.
The participating observatories are listed in Table 1.
Optical and near-IR data were collected as instrumental magnitudes of
the source and reference stars in the same field to apply the same
calibration (Bertaud
et al. 1969; Fiorucci & Tosti 1996).
The light curves obtained by assembling all datasets were carefully
inspected to correct for systematic offsets and to reduce data scatter
by binning noisy data taken by the same observer within a few minutes.
The results are shown in Fig. 1,
where the vertical lines indicate the epochs of the three XMM-Newton
pointings.
We can see a noticeable flux variability, which progressively increases
its amplitude going from the I to the B band.
By considering only the period of common monitoring (before
), the
maximum variability amplitude (maximum - minimum) is 1.42,
1.46, 1.50, and 1.55 mag in the I, R,
V, and B bands,
respectively.
The near-IR time coverage is inferior to the optical one, but the
near-IR data are important to add information to the SED (see
Sect. 5).
|
Figure 2: R-band light curve of BL Lacertae in 2007-2008 ( top panel) compared to the behaviour of the radio flux densities (Jy) at different frequencies. Vertical lines indicate the three XMM-Newton pointings of July 10-11 and December 5, 2007, and January 8, 2008. |
| Open with DEXTER | |
The majority of the variability episodes have a time scale of a few
days, but we can also recognise a long-term increasing trend starting
from
,
as well as a few very fast events. One of these involved a brightening
of about 0.9 mag in 24 h, from
on
to
the night after, when observations at the Valle d'Aosta Observatory
showed a source brightening of
0.3 mag in less than
3 h. This behaviour was confirmed by observations in
the V and I bands,
ruling out that this rapid flux increase was an artifact.
Similar fast variations are not uncommon in BL Lacertae.
When analysing the 13248 R-band data acquired by
the WEBT (Villata
et al. 2009,2002,2004a,b, and this paper) during
1500 nights over more than 15 years, though with
inhomogeneous sampling, we can distinguish between two kinds of rapid
flux variability:
- fast and noticeable intraday variations: we consider
variations
0.25 mag
with rate
0.1 mag/h.
These were found in 25 nights out of 677 nights where
the observing time coverage is
2.5 h, with the maximum amplitude
episode involving a change
in about 3.9 h;
- large interday variations: we consider variations
0.75 mag
in
36 h.
These were observed 6 times, and the above mentioned episode
(about 0.9 mag in 24 h) is the most extreme one.
3 Observations by XMM-Newton
The X-ray Multi-Mirror Mission (XMM) - Newton satellite observed the source on July 10-11 and December 5, 2007, and then on January 8, 2008 (PI: Raiteri).
3.1 EPIC data
The European Photon Imaging Camera (EPIC) onboard XMM-Newton includes three detectors: MOS1, MOS2 (Turner et al. 2001), and pn (Strüder et al. 2001). Since a bright state of the source could not be excluded, we chose a medium filter to avoid possible contamination by lower-energy photons; moreover, we selected a small-window configuration to minimize possible photon pile-up.
Data were reduced with the Science Analysis System (SAS)
software, version 8.0.1,
following the same standard procedure adopted in Raiteri
et al. (2007b).
A temporal filtering was applied to discard high-background periods.
Source spectra were extracted from circular regions of
40 arcsec
radius.
The MOS background was estimated on external CCDs, while for the pn we
selected the largest source-free circle that could be arranged on the
same CCD.
The source spectra were binned with the grppha task of the FTOOL package, to have a minimum of 25 counts in each bin. The binned spectra were then analysed in the 0.35-12 keV energy range with the Xspec task of the XANADU package. We fitted the MOS1, MOS2, and pn spectra of each epoch together to increase the statistics.
We first considered a single power law model with free
absorption, where the absorption is modelled according to the Wilms et al. (2000)
prescriptions.
The results of this spectral fitting for the three epochs are displayed
in the top panels of Figs. 3-5. The corresponding
model parameters are reported in Table 2, where
Col. 2 gives the hydrogen column density,
Col. 3 the photon spectral index
,
Col. 4 the unabsorbed flux density at 1 keV,
Col. 5 the 2-10 keV observed flux,
and Col. 6 the value of
(being
the number of degrees of freedom ).
The
values in Table 2
indicate that the model is acceptable. This is also confirmed by the
deviations of the observed data from the folded model, which are
plotted in the bottom panels of Figs. 3-5.
The best-fit value of the hydrogen column density varies
between 2.8 and
,
within the range of values found in previous analyses (see
Sect. 5).
|
Figure 3: EPIC spectrum of BL Lacertae on July 10-11, 2007; black squares, red triangles, and green diamonds represent MOS1, MOS2, and pn data, respectively. The bottom panel shows the deviations of the observed data from the folded model (a power law with free absorption) in unit of standard deviations. |
| Open with DEXTER | |
Actually, the Galactic atomic hydrogen column density toward
BL Lacertae is
(from the Leiden/Argentine/Bonn (LAB) Survey, see Kalberla
et al. 2005). However, observations of local
interstellar CO toward BL Lac have revealed a molecular cloud (Liszt & Lucas
1998; Bania
et al. 1991; Lucas & Liszt 1993).
According to Liszt & Lucas (1998),
its
column density is
.
Assuming that the molecular hydrogen column density
is typically 106 times the
one (Lucas & Liszt 1993),
we derive an hydrogen column density of
due to the molecular cloud. This value depends on the uncertain ratio
between CO and ![]()
, but taking it at face
value, the total hydrogen column density toward BL Lac becomes
.
This value is not very far from the
values we found when
fitting the EPIC spectra with a power law model with free absorption,
but as we will see in Sect. 5 this modest difference can make
a difference in the interpretation of the source X-ray spectrum.
We thus fixed
and re-fitted a single power law model to the EPIC spectra. As
expected, the goodness of the new fits is inferior to the previous
case, and a slight excess of counts in the soft X-ray domain appears.
This could be the signature of a curvature in the source spectra.
Indeed, when we adopt a double power law model, the fit improves
significantly, as is shown in Table 3, and this suggests
that the spectrum is concave.
The
values in Table 3
are a bit smaller than those in Table 2.
To better compare the two model fits, we calculated the F-test
probability, which is
for July 10-11,
for December 5, and
for January 8, 2008.
These results suggest that the double power law model with fixed
absorption may be more appropriate to describe the EPIC spectra than
the single power law model with free absorption.
Table 2: Results of fitting the EPIC data with a single power law with free absorption.
Table 3:
Results of fitting the EPIC data with a double power law with fixed
total atomic and molecular column density. The two power laws have
photon indices
and
and unabsorbed flux densities at 1 keV
and
,
respectively.
Table 4: Optical-UV magnitudes of BL Lacertae derived from the data analysis of the OM frames.
|
Figure 4: EPIC spectrum of BL Lacertae on December 5, 2007; black squares, red triangles, and green diamonds represent MOS1, MOS2, and pn data, respectively. The bottom panel shows the deviations of the observed data from the folded model (a power law with free absorption) in unit of standard deviations. |
| Open with DEXTER | |
|
Figure 5: EPIC spectrum of BL Lacertae on January 8, 2008; black squares, red triangles, and green diamonds represent MOS1, MOS2, and pn data, respectively. The bottom panel shows the deviations of the observed data from the folded model (a power law with free absorption) in unit of standard deviations. |
| Open with DEXTER | |
3.2 OM data
XMM-Newton also carries an optical-UV 30 cm telescope, the Optical Monitor (OM, Mason et al. 2001). The BL Lac observations were performed with all its filters: V, B, U, UVW1, UVM2, and UVW2, with long exposures (see Table 4). The OM data were reduced with the SAS software, version 8.0.1. The tasks omsource and omphotom were used to perform aperture photometry on the images produced by omichain. The resulting magnitudes are reported in Table 4. The uncertainties take into account the measure, systematic and calibration errors. In the optical filters, where a comparison with ground-based measurements is possible, the OM magnitudes of the reference stars (B C H K) are within 0.1 mag with respect to the values we adopted for the calibration of the ground data, but they are stable (within 2-3 hundredths of mag) in the three XMM-Newton epochs.
4 Spectral energy distributions
|
Figure 6:
Top panel: broad-band SEDs of BL Lacertae
during the three XMM-Newton observations of July and December 2007, and
January 2008. Both the single power law with free absorption and the
double power law with atomic plus molecular Galactic absorption fits to
the X-ray spectra are shown.
Bottom panel: SEDs corresponding to epochs of previous X-ray satellites
observations: ASCA in November 1995 (blue, Sambruna
et al. 1999); RXTE in July 1997 (grey, Madejski et al. 1999);
ASCA+RXTE in July 1997 (red, Tanihata
et al. 2000); BeppoSAX in November 1997 (light
green, Padovani et al. 2001);
BeppoSAX in June (cyan) and December (pink) 1999 (Ravasio
et al. 2002);
BeppoSAX in July (orange) and November (green) 2000 (Ravasio
et al. 2003).
All radio and optical data are from the WEBT archive; the vertical bars
on the red optical points indicate the range of variation of the
optical fluxes during the ASCA+RXTE observations in July 1997.
The range of flux densities detected by EGRET (Hartman
et al. 1999), as well as the TeV spectrum observed
by MAGIC (Albert et al. 2007)
are also reported.
The solid lines represent the sum of different emission contributions:
a low-energy synchrotron+SSC component (dotted lines), a high-energy
synchrotron+SSC component (dashed lines), and a thermal component from
an accretion disc (dotted-dashed line) with a temperature of |
| Open with DEXTER | |
The upper panel of Fig. 6 displays the broad-band SEDs corresponding to the XMM-Newton observations analysed in the previous section. We show both the single power law with free absorption and the double power law with atomic plus molecular Galactic absorption fits to the X-ray spectra. Optical and UV magnitudes were corrected for Galactic extinction by adopting AB=1.42 from Schlegel et al. (1998) and calculating the values at the other wavelengths according to Cardelli et al. (1989). De-reddened ground-based optical magnitudes were then converted into fluxes using the zero-mag fluxes given by Bessell et al. (1998); as for the optical and UV magnitudes from the OM, this conversion was performed using Vega as calibrator.
The optical flux densities were further corrected for the
contribution of the host galaxy.
Assuming an R-band magnitude of 15.55
after Scarpa et al. (2000)
and the average colour indices for elliptical galaxies by Mannucci et al. (2001), the
host galaxy flux densities are: 10.62, 13.97, 11.83, 5.90, 4.23, 2.89,
1.30, and 0.36 mJy in K,
H, J, I, R,
V, B, and U bands,
respectively. Using a De Vaucouleurs' profile, we estimated that the
contribution to the observed fluxes is
60% of the whole galaxy flux
(see also Villata et al. 2002).
In the UV, the results of spectral evolution modelling of
stellar populations by Bruzual &
Charlot (2003) allowed us to estimate that the contribution
from the host galaxy may be neglected. Indeed, if we consider ages
between 4 and 13 Gyr, the galaxy flux density at
2000 Å
is about 50 to 100 times lower than in the R
band, i.e. the contribution of the galaxy would affect the measured
flux in the UVW2 band by
1-2%.
Optical data are strictly simultaneous to the XMM-Newton observations. Most radio data are simultaneous too, but in some cases we considered data taken a few days earlier or later. We note the excellent agreement between the V, B, and U data taken with ground-based telescopes and the corresponding data acquired by the OM. The main features of the SEDs in the figure are:
- the peak of the synchrotron emission lies in the infrared (see below);
- since a higher radio brightness corresponds to a lower optical state and viceversa, the synchrotron peak likely shifts toward higher frequencies as the optical flux increases;
- there is a strong UV excess, since the UV points do not lie on the extrapolation of the optical trend;
- the X-ray spectrum has either a null slope, or, more likely, it is concave, producing a mild soft-X-ray excess, and suggesting that in this energy region two emission components are intersecting each other;
- the optical steepness makes an interpretation of the soft X-ray excess in terms of the tail of the synchrotron component unlikely.
Figure 7 also shows two other SEDs built with simultaneous near-IR and optical data. The near-IR data have been de-reddened and cleaned from the host galaxy contribution similarly to the optical data. In the optical frequency range, these two SEDs confirm the trend shown by the SEDs obtained at the three XMM-Newton epochs, but they add important information in the near-IR. Indeed, they suggest that the peak of the synchrotron component lies in this energy range, or close by.
|
Figure 7: Details of the near-IR-to-UV SED of BL Lacertae. In the three optical-UV SEDs obtained at the epochs of the XMM-Newton observations of July 10-11, 2007, December 5, 2007, and January 8, 2008, empty symbols represent ground-based observations, while filled symbols refer to data taken by the OM. The dotted error bars on the UV points indicate the total uncertainty, resulting from considering both the data error (solid error bars) and the sample variance about the mean extinction curve, according to Fitzpatrick & Massa (2007). To clearly show the uncertainties holding on the UV data, the UV points corresponding to the December 2007 and January 2008 epochs have been slightly shifted in frequency around the effective value. For comparison, we show other two SEDs obtained with data acquired by ground-based telescopes on June 24 and October 29-30, 2007, when near-IR data contemporaneous to the optical data were available. The near-IR portion of the SEDs shows that the peak of the synchrotron emission probably lies in this energy range, or close by. |
| Open with DEXTER | |
4.1 Comparison with previous observations
The bottom panel of Fig. 6 shows SEDs corresponding to epochs when various X-ray satellites observed BL Lacertae. The X-ray spectral fits were taken from the literature, while we searched the massive WEBT archive on this source, containing all radio-to-optical data from the previous WEBT campaigns (Villata et al. 2009,2002,2004a,b) as well as data from the literature, for contemporaneous low-energy data.
When considering the behaviour of the X-ray spectrum, it is
not easy to compare our results to those found by other authors when
analysing different X-ray data. The reason is that the shape of the
X-ray spectrum strongly depends on the choice of the absorption, i.e.
on the
value adopted to perform the spectral fits. Models where the hydrogen
column density is left to vary freely yield a variety of
values
(mostly in the range 1.4-
).
These are usually lower than the estimated Galactic total absorption,
due to both atomic and molecular hydrogen. The point is that the amount
of absorption due to molecular hydrogen is not directly measurable,
which introduces a further uncertainty (see Sect. 4 and discussion in Madejski et al. 1999). In
previous analyses of X-ray data, different authors have followed
different prescriptions.
An
value
close to the one we assumed was also investigated by Sambruna et al. (1999) when
analysing ASCA observations in November 1995, and by Padovani et al. (2001) for
observations performed by BeppoSAX in November 1997 (and by ROSAT
in 1992). In both epochs the X-ray flux was relatively low and
Sambruna et al. (1999)
found that the best fit model was a broken power law, leading to a
concave X-ray spectrum.
Observations by RXTE and ASCA during the big outburst of July
1997 were analysed by Madejski
et al. (1999) and Tanihata
et al. (2000).
The latter authors combined the data of both satellites and
distinguished between a low and a high state.
They used a high
,
and found that the high state was best fitted by a double power law
model with an extremely steep spectral index below
.
In contrast to this high value, Ravasio
et al. (2002) and Ravasio
et al. (2003) preferred an
to analyse BeppoSAX observations in 1999-2000. Nevertheless, the June
1999 data were best fitted by a double power law model, implying a
noticeable upward curvature in the soft X-ray domain. In contrast, in
November 2000 the whole X-ray spectrum was steep, and its
extrapolation to optical frequencies was not intersecting the
simultaneous optical spectrum. This offset was questioned by Böttcher et al. (2003), who
warned about the possibility that it was produced by flux averaging in
a period of noticeable variability, as shown by the intensive
monitoring performed by the WEBT observers during the 2000-2001
observing season (Villata et al.
2002).
However, to remove the offset we should have missed one or more big
flares, such as to increase the mean optical level by more than 1 mag,
which seems unlikely.
Hence, if in previous works a soft spectral component at low X-ray
energies had always been interpreted as the tail of the synchrotron
emission, this was no longer a plausible explanation for the November
2000 SED, as it is not a plausible explanation for the
XMM-Newton SEDs presented above.
A number of hypotheses were suggested by Ravasio
et al. (2003) to justify the optical-X-ray offset: a
sudden increase of the dust-to-gas ratio toward BL Lacertae; the
detection of a bulk Compton emission; the interplay of two different
synchrotron components; Klein-Nishina effect on the synchrotron
spectrum.
5 The helical jet model
The availability of broad-band SEDs built with simultaneous data, including UV information, at the epochs of the XMM-Newton observations of 2007-2008 is a formidable tool to investigate the nature of BL Lac multiwavelength emission. The picture that we described in the previous section suggests that the SED behaviour cannot be explained in terms of one synchrotron plus its SSC emission components.
Thermal emission from an accretion disc could account for the UV excess. Indeed, the optical spectrum of this source occasionally shows broad emission lines that are produced in the broad line region, which is most likely photoionised by the radiation coming from the accretion disc (Corbett et al. 1996; Vermeulen et al. 1995; Corbett et al. 2000). Moreover, a big blue bump produced in the SED by thermal emission from an accretion disc has already been found for other quasar-type blazars, like 3C 273 (Türler et al. 2006; von Montigny et al. 1997; Grandi & Palumbo 2004; Smith et al. 1993), 3C 279 (Pian et al. 1999), 3C 345 (Bregman et al. 1986), and 3C 454.3 (Raiteri et al. 2007b,2008).
However, a thermal emission component would hardly be able to
explain the extremely variable X-ray spectrum shown in the bottom panel
of Fig. 6.
Indeed, at 0.3 keV BeppoSAX observed a flux variation of a
factor
50
in about 1 year.
We notice that the behaviour of BL Lacertae in the UV-X-ray energy
range is similar to that found by Raiteri et al. (2006b,2005,2006a)
when analysing the SEDs of another BL Lac object, AO 0235+164,
which also occasionally shows broad emission lines (see e.g. Raiteri et al. 2007a, and
references therein). In that case, the alternative hypothesis of a
second, higher-frequency synchrotron component, likely coming from an
inner region of the jet, was left open.
We investigated this problem by means of the helical jet model
by Villata & Raiteri (1999, see
also Raiteri
et al. 1999; Raiteri
& Villata 2003; and Ostorero
et al. 2004).
We tried to reproduce the ``XMM-Newton'' broad-band SEDs of
December 2007 and January 2008, which are very similar. To
better trace the SED shape, we also added synthetic near-IR data,
derived by shifting the October 2007 SED of Fig. 7 to match the above
``XMM-Newton'' SEDs. This implied a shift of
.
The helical jet model presented in Villata
& Raiteri (1999) foresees that orbital motion in a
binary black hole system, coupled with the interaction of the plasma
jet with the surrounding medium, twists the emitting jet in a rotating
helical structure. We here recall the main features of the model.
The axis of the helical-shaped jet is assumed to lie
along the z-axis of a 3-D reference frame.
The pitch angle is
and
is the angle defined by the helix axis with the
line of sight. The non-dimensional length of the helical path can be
expressed in terms
of the z coordinate along the helix axis:
|
(1) |
which corresponds to an azimuthal angle
where
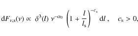
The jet is inhomogeneous: it emits radiation at progressively
increasing wavelengths by proceeding from its apex outwards.
Each slice of the jet can radiate, in the plasma rest
reference frame, synchrotron photons from a minimum
frequency
to a maximum one
.
Both these frequency limits decrease for increasing distance from the
jet apex
following a power law:
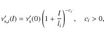
where li are length scales, and
We assume a power law dependence of the observed flux density on the
frequency and
a cubic dependence on the Doppler beaming factor
:
,
where
is the power law index of the local synchrotron spectrum,
,
is the bulk
velocity of the emitting plasma
in units of the speed of light,
the corresponding
bulk Lorentz factor, and
is the viewing angle of Eq. (2).
Since the viewing angle varies along the helical path, also the beaming
factor does.
Hence, the flux at
peaks when the part of the jet mostly
contributing to it has minimum
.
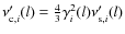
The emissivity decreases along the jet: both the synchrotron
and inverse
Compton flux densities are allowed to drop when moving from the jet
apex
outwards. For a jet slice of thickness dl:
|
(4) |
|
(5) |
For both the synchrotron and inverse Compton components, the observed flux densities at frequency
The fit to the ``XMM-Newton'' broad-band SED of December 2007 - January 2008 in Fig. 6 (solid line) is obtained by considering two synchrotron emission components from different regions of a helical jet, with their corresponding SSC, plus a thermal component, modelled as a black body. The main parameters of the model are reported in Table 5.
Table 5: Main parameters of the helical model for the fit to the ``XMM-Newton'' broad-band SED of December 2007 - January 2008.
The lower-energy synchrotron+SSC emission (dotted line) comes
from a helical portion that is initially fairly aligned with the line
of sight (
,
), while the
higher-energy synchrotron+SSC emission (dashed line) is produced by
another helical region that is initially less aligned with the line of
sight (
,
).
A thermal component that fits the UV excess must have a black
body temperature
and a luminosity
.
This lower limit to the temperature (and consequently to the
luminosity) is constrained by the break of the SED in the optical-UV
transition, but much hotter and hence more luminous discs are possible.
For comparison, the thermal disc fitted by Pian
et al. (1999) to the UV data of 3C 279
has a temperature of 20 000 K and a luminosity of
.
The two synchrotron+SSC components can change a lot for
variations e.g. of the angle
,
which happens if the helix rotates, allowing us to explain the
noticeable spectral variability of the source also in the absence of
intrinsic, energetic processes.
With reference to the SEDs shown in the bottom panel of Fig. 6, the high-energy
synchrotron+SSC emission was giving an exceptional contribution in
November 2000, while it was very faint in December 1999.
A detailed investigation of the model parameter space to fit the SED
shape of BL Lacertae at different epochs goes beyond the scope
of this paper. We notice however that our model fit produces a GeV
spectrum with photon index
and can fairly reproduce the TeV spectrum observed by the MAGIC
telescope in 2005 (Albert et al.
2007).
6 Discussion and conclusions
The WEBT campaign on BL Lacertae in the 2007-2008 observing season involved 37 optical-to-radio telescopes. They observed the source in a relatively faint state. Nevertheless, some fast variability episodes were detected in the optical bands, superposed to a long-term flux increasing trend. During the campaign, three observations by the XMM-Newton satellite added information on the UV and X-ray states of the source.
The broad-band SEDs built with simultaneous data taken at the epochs of the XMM-Newton observations show a clear UV excess. The high UV fluxes are explained if we assume a contribution by thermal radiation from the accretion disc.
On the other side, the corresponding X-ray spectra indicate a possible soft excess. When comparing our X-ray data with previous data from other satellites, the X-ray spectrum appears to vary dramatically, so the soft excess cannot be ascribed to the accretion disc and/or hot corona surrounding it. A much more variable emission contribution is required.
We found that the broad-band SEDs of BL Lacertae can be
explained in terms of two synchrotron emission components with their
corresponding SSC radiation, plus a thermal component representing the
contribution of the accretion disc. When fitting these two non-thermal
components by means of the helical jet model of Villata
& Raiteri (1999), and the thermal one with a black
body law, we find that the accretion disc has a temperature
and a luminosity
.
Taking into account that
,
with
in the case of Schwarzschild's metric (Shakura
& Sunyaev 1973), we can derive a lower limit to the
accretion rate:
.
And if we assume that the luminosity equals the Eddington's critical
luminosity, we can also infer a lower limit to the black hole mass:
.
This value scales as
.
A further emission component coming from inverse-Compton scattering on external photons from the disc and/or the broad line region might be present, but it is not needed to fit the observations, so we think that its possible contribution would be a minor one. Its modelling would introduce additional parameters that we could not reliably constrain.
Being aware that also other interpretations might be able to account for the observations reported in this paper, we notice that a helical jet model is motivated by some observing evidence. Indeed, VLBA/VLBI studies of the jet structure in AGNs have revealed bent jet morphologies that are suggestive of streaming motions along a helical path (see e.g. Lister 2001) or that the magnetic field may present a helical geometry (Gabuzda et al. 2004); this is also true for BL Lacertae (Denn et al. 2000; Marscher et al. 2008; Tateyama et al. 1998; O'Sullivan & Gabuzda 2009, see also Stirling et al. 2003). Moreover, a rotating helical path in a curved jet was invoked by Villata et al. (2009) to explain the optical and radio behaviour of BL Lacertae in the last forty years, in particular the alternation of enhanced and suppressed optical activity, accompanied by hard and soft radio events, respectively. If the jet has a helical structure, different portions of the jet may be well aligned with the line of sight, with consequent Doppler beaming of the emitted radiation. The two emission components proposed in our modelling could correspond to two of these regions, the higher-energy one being located closer to the jet apex. An analogous picture was suggested by Villata & Raiteri (1999) for Mkn 501, whose radio-to-X-ray multiepoch SED was explained in terms of two jet regions with different curvature. Alternatively, we can imagine that the two contributions come from two interweaved helical filaments, but we regard this hypothesis as less likely.
Finally, we mention that also in the case of Mkn 421, a possible explanation for its X-ray and optical flux behaviour during the June 2008 flare implies the existence of two different synchrotron emitting regions in the jet (Donnarumma et al. 2009b).
Further multiwavelength observations, including GeV data from the Fermi satellite, and TeV data from ground-based Cherenkov telescopes, will help verify our interpretation.
AcknowledgementsThis work is partly based on observations made with the Nordic Optical Telescope, operated on the island of La Palma jointly by Denmark, Finland, Iceland, Norway, and Sweden, in the Spanish Observatorio del Roque de los Muchachos of the Instituto de Astrofisica de Canarias, and on observations collected at the German-Spanish Calar Alto Observatory, jointly operated by the MPIA and the IAA-CSIC. AZT-24 observations are made within an agreement between Pulkovo, Rome and Teramo observatories. The Submillimeter Array is a joint project between the Smithsonian Astrophysical Observatory and the Academia Sinica Institute of Astronomy and Astrophysics and is funded by the Smithsonian Institution and the Academia Sinica. This research has made use of data from the University of Michigan Radio Astronomy Observatory, which is supported by the National Science Foundation and by funds from the University of Michigan. This work is partly based on observation from Medicina and Noto telescopes operated by INAF - Istituto di Radioastronomia. The Torino team acknowledges financial support by the Italian Space Agency through contract ASI-INAF I/088/06/0 for the Study of High-Energy Astrophysics. Acquisition of the MAPCAT data at the Calar Alto Observatory is supported in part by the Spanish ``Ministerio de Ciencia e Innovación'' through grant AYA2007-67626-C03-03. The Metsähovi team acknowledges the support from the Academy of Finland. This research was partially supported by Scientific Research Fund of the Bulgarian Ministry of Education and Sciences (BIn - 13/09). St.Petersburg University team acknowledges support from RFBR grant 09-02-00092. Observations at the Abastumani 70-cm meniscus were partially supported by the Georgian National Science Foundation grant GNSF/ST-08/4-404. This research has made use of NASA's Astrophysics Data System.
References
- Albert, J., Aliu, E., Anderhub, H., et al. 2007, ApJ, 666, L17 [CrossRef] [NASA ADS]
- Bach, U., Villata, M., Raiteri, C. M., et al. 2006, A&A, 456, 105 [EDP Sciences] [CrossRef] [NASA ADS]
- Bania, T. M., Marscher, A. P., & Barvainis, R. 1991, AJ, 101, 2147 [CrossRef] [NASA ADS]
- Bertaud, C., Dumortier, B., Veron, P., et al. 1969, A&A, 3, 436 [NASA ADS]
- Bessell, M. S., Castelli, F., & Plez, B. 1998, A&A, 333, 231 [NASA ADS]
- Bloom, S. D., Bertsch, D. L., Hartman, R. C., et al. 1997, ApJ, 490, L145 [CrossRef] [NASA ADS]
- Böttcher, M., & Bloom, S. D. 2000, AJ, 119, 469 [CrossRef] [NASA ADS]
- Böttcher, M., Marscher, A. P., Ravasio, M., et al. 2003, ApJ, 596, 847 [CrossRef] [NASA ADS]
- Bregman, J. N., Glassgold, A. E., Huggins, P. J., et al. 1986, ApJ, 301, 708 [CrossRef] [NASA ADS]
- Bruzual, G., & Charlot, S. 2003, MNRAS, 344, 1000 [CrossRef]
- Cardelli, J. A., Clayton, G. C., & Mathis, J. S. 1989, ApJ, 345, 245 [CrossRef] [NASA ADS]
- Chen, A. W., D'Ammando, F., Villata, M., et al. 2008, A&A, 489, L37 [EDP Sciences] [CrossRef] [NASA ADS]
- Corbett, E. A., Robinson, A., Axon, D. J., et al. 1996, MNRAS, 281, 737 [NASA ADS]
- Corbett, E. A., Robinson, A., Axon, D. J., & Hough, J. H. 2000, MNRAS, 311, 485 [CrossRef] [NASA ADS]
- D'Ammando, F., Pucella, G., Raiteri, C. M., et al. 2009, A&A, in press [arXiv:0909.3484]
- Denn, G. R., Mutel, R. L., & Marscher, A. P. 2000, ApJS, 129, 61 [CrossRef] [NASA ADS]
- Dermer, C. D., Schlickeiser, R., & Mastichiadis, A. 1992, A&A, 256, L27 [NASA ADS]
- Donnarumma, I., Pucella, G., Vittorini, V., et al. 2009a, ApJ, in press [arXiv:0910.4883]
- Donnarumma, I., Vittorini, V., Vercellone, S., et al. 2009b, ApJ, 691, L13 [CrossRef] [NASA ADS]
- Fiorucci, M., & Tosti, G. 1996, A&AS, 116, 403 [EDP Sciences] [CrossRef] [NASA ADS]
- Fitzpatrick, E. L., & Massa, D. 2007, ApJ, 663, 320 [CrossRef] [NASA ADS]
- Gabuzda, D. C., Murray, É., & Cronin, P. 2004, MNRAS, 351, L89 [CrossRef] [NASA ADS]
- Ghisellini, G., & Tavecchio, F. 2009, MNRAS, 397, 985 [CrossRef] [NASA ADS]
- Grandi, P., & Palumbo, G. G. C. 2004, Science, 306, 998 [CrossRef] [NASA ADS]
- Hartman, R. C., Bertsch, D. L., Bloom, S. D., et al. 1999, ApJS, 123, 79 [CrossRef] [NASA ADS]
- Kalberla, P. M. W., Burton, W. B., Hartmann, D., et al. 2005, A&A, 440, 775 [EDP Sciences] [CrossRef] [NASA ADS]
- Lister, M. L. 2001, ApJ, 562, 208 [CrossRef] [NASA ADS]
- Liszt, H. S. 2007, A&A, 476, 291 [EDP Sciences] [CrossRef] [NASA ADS]
- Liszt, H. S., & Lucas, R. 1998, A&A, 339, 561 [NASA ADS]
- Lucas, R., & Liszt, H. S. 1993, A&A, 276, L33 [NASA ADS]
- Madejski, G. M., Sikora, M., Jaffe, T., et al. 1999, ApJ, 521, 145 [CrossRef] [NASA ADS]
- Mannucci, F., Basile, F., Poggianti, B. M., et al. 2001, MNRAS, 326, 745 [CrossRef] [NASA ADS]
- Marscher, A. P., Jorstad, S. G., D'Arcangelo, F. D., et al. 2008, Nature, 452, 966 [CrossRef] [NASA ADS]
- Mason, K. O., Breeveld, A., Much, R., et al. 2001, A&A, 365, L36 [EDP Sciences] [CrossRef] [NASA ADS]
- Ostorero, L., Villata, M., & Raiteri, C. M. 2004, A&A, 419, 913 [EDP Sciences] [CrossRef] [NASA ADS]
- O'Sullivan, S. P., & Gabuzda, D. C. 2009, MNRAS, 393, 429 [CrossRef] [NASA ADS]
- Padovani, P., Costamante, L., Giommi, P., et al. 2001, MNRAS, 328, 931 [CrossRef] [NASA ADS]
- Papadakis, I. E., Villata, M., & Raiteri, C. M. 2007, A&A, 470, 857 [EDP Sciences] [CrossRef] [NASA ADS]
- Pian, E., Urry, C. M., Maraschi, L., et al. 1999, ApJ, 521, 112 [CrossRef] [NASA ADS]
- Pucella, G., Vittorini, V., D'Ammando, F., et al. 2008, A&A, 491, L21 [EDP Sciences] [CrossRef] [NASA ADS]
- Raiteri, C. M., & Villata, M. 2003, in Proc. of the First ENIGMA Meeting, held at Mayschoss, Germany, May 11-14, ed. M. Hauser, U. Bach, & S. Britzen, 326
- Raiteri, C. M., Villata, M., Tosti, G., et al. 1999, A&A, 352, 19 [NASA ADS]
- Raiteri, C. M., Villata, M., Ibrahimov, M. A., et al. 2005, A&A, 438, 39 [EDP Sciences] [CrossRef] [NASA ADS]
- Raiteri, C. M., Villata, M., Kadler, M., et al. 2006a, A&A, 459, 731 [EDP Sciences] [CrossRef] [NASA ADS]
- Raiteri, C. M., Villata, M., Kadler, M., et al. 2006b, A&A, 452, 845 [EDP Sciences] [CrossRef] [NASA ADS]
- Raiteri, C. M., Villata, M., Capetti, A., et al. 2007a, A&A, 464, 871 [EDP Sciences] [CrossRef] [NASA ADS]
- Raiteri, C. M., Villata, M., Larionov, V. M., et al. 2007b, A&A, 473, 819 [EDP Sciences] [CrossRef] [NASA ADS]
- Raiteri, C. M., Villata, M., Larionov, V. M., et al. 2008, A&A, 491, 755 [EDP Sciences] [CrossRef] [NASA ADS]
- Ravasio, M., Tagliaferri, G., Ghisellini, G., et al. 2002, A&A, 383, 763 [EDP Sciences] [CrossRef] [NASA ADS]
- Ravasio, M., Tagliaferri, G., Ghisellini, G., et al. 2003, A&A, 408, 479 [EDP Sciences] [CrossRef] [NASA ADS]
- Sambruna, R. M., Ghisellini, G., Hooper, E., et al. 1999, ApJ, 515, 140 [CrossRef] [NASA ADS]
- Scarpa, R., Urry, C. M., Falomo, R., Pesce, J. E., & Treves, A. 2000, ApJ, 532, 740 [CrossRef] [NASA ADS]
- Schlegel, D. J., Finkbeiner, D. P., & Davis, M. 1998, ApJ, 500, 525 [CrossRef] [NASA ADS]
- Shakura, N. I., & Sunyaev, R. A. 1973, A&A, 24, 337 [NASA ADS]
- Sikora, M., Begelman, M. C., & Rees, M. J. 1994, ApJ, 421, 153 [CrossRef] [NASA ADS]
- Smith, P. S., Schmidt, G. D., & Allen, R. G. 1993, ApJ, 409, 604 [CrossRef] [NASA ADS]
- Stickel, M., Fried, J. W., Kuehr, H., Padovani, P., & Urry, C. M. 1991, ApJ, 374, 431 [CrossRef] [NASA ADS]
- Stirling, A. M., Cawthorne, T. V., Stevens, J. A., et al. 2003, MNRAS, 341, 405 [CrossRef] [NASA ADS]
- Strüder, L., Briel, U., Dennerl, K., et al. 2001, A&A, 365, L18 [EDP Sciences] [CrossRef] [NASA ADS]
- Tanihata, C., Takahashi, T., Kataoka, J., et al. 2000, ApJ, 543, 124 [CrossRef] [NASA ADS]
- Tateyama, C. E., Kingham, K. A., Kaufmann, P., et al. 1998, ApJ, 500, 810 [CrossRef] [NASA ADS]
- Türler, M., Chernyakova, M., Courvoisier, T. J.-L., et al. 2006, A&A, 451, L1 [EDP Sciences] [CrossRef] [NASA ADS]
- Turner, M. J. L., Abbey, A., Arnaud, M., et al. 2001, A&A, 365, L27 [EDP Sciences] [CrossRef] [NASA ADS]
- Vercellone, S., Chen, A. W., Vittorini, V., et al. 2009, ApJ, 690, 1018 [CrossRef] [NASA ADS]
- Vermeulen, R. C., Ogle, P. M., Tran, H. D., et al. 1995, ApJ, 452, L5 [CrossRef] [NASA ADS]
- Villata, M., & Raiteri, C. M. 1999, A&A, 347, 30 [NASA ADS]
- Villata, M., Raiteri, C. M., Kurtanidze, O. M., et al. 2002, A&A, 390, 407 [EDP Sciences] [CrossRef] [NASA ADS]
- Villata, M., Raiteri, C. M., Aller, H. D., et al. 2004a, A&A, 424, 497 [EDP Sciences] [CrossRef] [NASA ADS]
- Villata, M., Raiteri, C. M., Kurtanidze, O. M., et al. 2004b, A&A, 421, 103 [EDP Sciences] [CrossRef] [NASA ADS]
- Villata, M., Raiteri, C. M., Larionov, V. M., et al. 2009, A&A, 501, 455 [EDP Sciences] [CrossRef] [NASA ADS]
- von Montigny, C., Aller, H., Aller, M., et al. 1997, ApJ, 483, 161 [CrossRef] [NASA ADS]
- Wilms, J., Allen, A., & McCray, R. 2000, ApJ, 542, 914 [CrossRef] [NASA ADS]
Footnotes
- ... components
- The radio-to-optical data presented in this paper are stored in the WEBT archive (http://www.oato.inaf.it/blazars/webt/); for questions regarding their availability, please contact the WEBT President Massimo Villata.
- ... collaboration
- http://www.oato.inaf.it/blazars/webt/
- ... (PCD)
- http://www.vla.nrao.edu/astro/calib/polar/
- ... variations
- This is even more evident when comparing radio flux densities to optical flux densities instead of magnitudes.
- ...
JD = 2 454 400
- Indeed, the PCD shows no further radio event until May 2009, the 43 GHz flux density remaining below 3 Jy.
- ...

- From the recent paper by Liszt
(2007) we can infer that
is most likely in the range
1-
.
All Tables
Table 1: List of optical, near-IR, and radio observatories contributing data to this work.
Table 2: Results of fitting the EPIC data with a single power law with free absorption.
Table 3:
Results of fitting the EPIC data with a double power law with fixed
total atomic and molecular column density. The two power laws have
photon indices
and
and unabsorbed flux densities at 1 keV
and
,
respectively.
Table 4: Optical-UV magnitudes of BL Lacertae derived from the data analysis of the OM frames.
Table 5: Main parameters of the helical model for the fit to the ``XMM-Newton'' broad-band SED of December 2007 - January 2008.
All Figures
|
Figure 1: Optical UBVRI and near-IR JHK light curves of BL Lacertae in the 2007-2008 observing season. Vertical lines indicate the three XMM-Newton pointings of July 10-11 and December 5, 2007, and January 8, 2008. |
| Open with DEXTER | |
| In the text | |
|
Figure 2: R-band light curve of BL Lacertae in 2007-2008 ( top panel) compared to the behaviour of the radio flux densities (Jy) at different frequencies. Vertical lines indicate the three XMM-Newton pointings of July 10-11 and December 5, 2007, and January 8, 2008. |
| Open with DEXTER | |
| In the text | |
|
Figure 3: EPIC spectrum of BL Lacertae on July 10-11, 2007; black squares, red triangles, and green diamonds represent MOS1, MOS2, and pn data, respectively. The bottom panel shows the deviations of the observed data from the folded model (a power law with free absorption) in unit of standard deviations. |
| Open with DEXTER | |
| In the text | |
|
Figure 4: EPIC spectrum of BL Lacertae on December 5, 2007; black squares, red triangles, and green diamonds represent MOS1, MOS2, and pn data, respectively. The bottom panel shows the deviations of the observed data from the folded model (a power law with free absorption) in unit of standard deviations. |
| Open with DEXTER | |
| In the text | |
|
Figure 5: EPIC spectrum of BL Lacertae on January 8, 2008; black squares, red triangles, and green diamonds represent MOS1, MOS2, and pn data, respectively. The bottom panel shows the deviations of the observed data from the folded model (a power law with free absorption) in unit of standard deviations. |
| Open with DEXTER | |
| In the text | |
|
Figure 6:
Top panel: broad-band SEDs of BL Lacertae
during the three XMM-Newton observations of July and December 2007, and
January 2008. Both the single power law with free absorption and the
double power law with atomic plus molecular Galactic absorption fits to
the X-ray spectra are shown.
Bottom panel: SEDs corresponding to epochs of previous X-ray satellites
observations: ASCA in November 1995 (blue, Sambruna
et al. 1999); RXTE in July 1997 (grey, Madejski et al. 1999);
ASCA+RXTE in July 1997 (red, Tanihata
et al. 2000); BeppoSAX in November 1997 (light
green, Padovani et al. 2001);
BeppoSAX in June (cyan) and December (pink) 1999 (Ravasio
et al. 2002);
BeppoSAX in July (orange) and November (green) 2000 (Ravasio
et al. 2003).
All radio and optical data are from the WEBT archive; the vertical bars
on the red optical points indicate the range of variation of the
optical fluxes during the ASCA+RXTE observations in July 1997.
The range of flux densities detected by EGRET (Hartman
et al. 1999), as well as the TeV spectrum observed
by MAGIC (Albert et al. 2007)
are also reported.
The solid lines represent the sum of different emission contributions:
a low-energy synchrotron+SSC component (dotted lines), a high-energy
synchrotron+SSC component (dashed lines), and a thermal component from
an accretion disc (dotted-dashed line) with a temperature of |
| Open with DEXTER | |
| In the text | |
|
Figure 7: Details of the near-IR-to-UV SED of BL Lacertae. In the three optical-UV SEDs obtained at the epochs of the XMM-Newton observations of July 10-11, 2007, December 5, 2007, and January 8, 2008, empty symbols represent ground-based observations, while filled symbols refer to data taken by the OM. The dotted error bars on the UV points indicate the total uncertainty, resulting from considering both the data error (solid error bars) and the sample variance about the mean extinction curve, according to Fitzpatrick & Massa (2007). To clearly show the uncertainties holding on the UV data, the UV points corresponding to the December 2007 and January 2008 epochs have been slightly shifted in frequency around the effective value. For comparison, we show other two SEDs obtained with data acquired by ground-based telescopes on June 24 and October 29-30, 2007, when near-IR data contemporaneous to the optical data were available. The near-IR portion of the SEDs shows that the peak of the synchrotron emission probably lies in this energy range, or close by. |
| Open with DEXTER | |
| In the text | |
Copyright ESO 2009
Current usage metrics show cumulative count of Article Views (full-text article views including HTML views, PDF and ePub downloads, according to the available data) and Abstracts Views on Vision4Press platform.
Data correspond to usage on the plateform after 2015. The current usage metrics is available 48-96 hours after online publication and is updated daily on week days.
Initial download of the metrics may take a while.
![\begin{figure}
\par\includegraphics[width=12cm]{12953fg1.eps}
\end{figure}](/articles/aa/full_html/2009/44/aa12953-09/Timg20.png)
![\begin{figure}
\par\includegraphics[width=12cm]{12953fg2.eps}
\end{figure}](/articles/aa/full_html/2009/44/aa12953-09/Timg22.png)
![\begin{figure}
\par\resizebox{9cm}{!}{\includegraphics[angle=-90]{12953fg3.eps}}
\end{figure}](/articles/aa/full_html/2009/44/aa12953-09/Timg35.png)
![\begin{figure}
\par\resizebox{9cm}{!}{\includegraphics[angle=-90]{12953fg4.eps}}
\end{figure}](/articles/aa/full_html/2009/44/aa12953-09/Timg81.png)
![\begin{figure}
\par\resizebox{9cm}{!}{\includegraphics[angle=-90]{12953fg5.eps}}
\end{figure}](/articles/aa/full_html/2009/44/aa12953-09/Timg82.png)
![\begin{figure}
\par\includegraphics[width=12cm]{12953fg6.eps}
\end{figure}](/articles/aa/full_html/2009/44/aa12953-09/Timg84.png)
