| Issue |
A&A
Volume 507, Number 2, November IV 2009
|
|
|---|---|---|
| Page(s) | 599 - 610 | |
| Section | Astrophysical processes | |
| DOI | https://doi.org/10.1051/0004-6361/200912970 | |
| Published online | 17 September 2009 | |
A&A 507, 599-610 (2009)
On the multiwavelength emission from gamma ray burst afterglows
M. Petropoulou - A. Mastichiadis
Department of Physics, University of Athens, Panepistimiopolis, GR 15783 Zografou, Greece
Received 23 July 2009 / Accepted 21 August 2009
Abstract
Aims. Drawing an analogy with active galactic nuclei, we
investigate the one-zone synchrotron self-compton (SSC) model of gamma
ray bursts (GRB) afterglows in the presence of electron injection and
cooling both by synchrotron and SSC losses.
Methods. We solve the spatially averaged kinetic equations which
describe the simultaneous evolution of particles and photons, obtaining
the multi-wavelength spectrum as a function of time. We back up our
numerical calculations with analytical solutions of the equations using
various profiles of the magnetic field evolution under certain
simplifying assumptions.
Results. We apply the model to the afterglow evolution of GRBs
in a uniform density environment and examine the impact various
parameters have on the multiwavelength spectra. We find that in cases
where the electron injection and/or the ambient density is high, the
losses are dominated by SSC and the solutions depart significantly from
the ones derived in the synchrotron standard cases.
Key words: gamma rays: bursts - acceleration of particles - radiation mechanisms: non-thermal
1 Introduction
Gamma ray burst (GRB) afterglows are thought to be produced in the relativistic blast waves (RBW) associated with the initial GRB explosion. According to the standard model - for a review see Piran (2005), the RBW expands in the circumburst material and, after sweeping some critical amount of mass, it starts to decelerate. At the same time electrons are postulated to energize at the shock front and radiate through synchrotron (Dermer & Chiang 1998; Sari et al. 1998) or synchrotron and synchrotron self-compton (SSC) (Chiang & Dermer 1999; Fan et al. 2008; Panaitescu & Kumar 2000; Waxman 1997), thus producing the afterglow emission.
The above picture carries certain analogies to the radiation models put forward during the last decade to explain the multiwavelength (MW) observations of blazar emission, and, especially, to the ``one-zone'' SSC models (for recent reviews see Böttcher 2007; and Mastichiadis 2009). These models are based on solving an equation for the electron distribution function including synchrotron and SSC losses and, at the same time, calculating the radiated photon spectrum. This approach allows for time dependency to be taken explicitly into account (and thus it can address, for example, blazar flaring), it can treat the non-linear cooling associated with SSC and, moreover, it is self-consistent.
Motivated by these developments, we have applied the above technique to GRB afterglows. The aim of the present paper is not to fit spectra or lightcurves, but to focus on the impact the various parameters customarily used by researchers in the GRB field have on the MW spectra. We also present analytical solutions of the electron equation, under certain simplifying assumptions, for a power-law electron injection suffering synchrotron losses. This, allowed us to derive analytical results of the slopes of the flux time profiles and, at the same time, test the numerical code. In the present paper we restrict our analysis to the uniform density case.
The present paper has certain improvements over past efforts in the field
(Chiang & Dermer 1999). First, in the analytical solutions, we consider
both standard and non-standard magnetic field evolution. We also use
the full emissivity for synchrotron radiation instead
of the
-function approximation. As far as the numerical
part is concerned, we show that the inclusion of SSC both as
electron energy loss mechanism and radiation process can bring,
under certain circumstances, significant departures from the
standard solutions which include only synchrotron radiation as an
energy loss mechanism. Finally, we have included for the first time
to the best of our knowledge,
absorption
both as a
-ray attenuation and particle reinjection mechanism.
The paper is structured as follows. In Sect. 2 we review the basic hydrodynamics and radiative concepts of the GRB afterglow adopted in the extensive literature on the subject. We also draw an analogy to the blazar case. In Sect. 3 we present the analytical results for various profiles of the magnetic field. In Sect. 4 we present the numerical code and the tests we have performed to check its validity. In Sect. 5 we show various numerical results and we conclude in Sect. 6 with a summary and a discussion.
2 Physics of the relativistic blast wave
2.1 Hydrodynamics
We assume a shell of material with initial mass M0 moving with initial bulk Lorentz factor
.
This will sweep ambient matter and will start decelerating with a
rate determined by energy and momentum conservation. The resulting blast wave
is modeled as having a
cross sectional area, A(r), that depends on the distance (measured
in the framework of the explosion). In our work we consider a spherical blast
wave with
sweeping a constant density ambient matter. We
also assume that the bulk kinetic energy which is converted to
internal energy is not radiated away, contributing to the inertia of
the blast wave (non-radiative limit). In this case the deceleration
of the blast wave is determined by a pair of ordinary differential
equations (Blandford & McKee 1976):
where
is the bulk Lorentz factor of the material,
M=M(r) is the total mass including internal kinetic energy and
is the mass density of the ambient matter.
Note that Eq. (2) implies a non-radiative blastwave evolution. We will
adopt this assumption throughout the paper.
It can be shown (Blandford & McKee 1976) that the above system has an
analytic solution given by:
|
(3) |
where
where
and
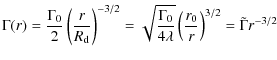
is the deceleration radius of the blast wave (Rees & Mészáros 1992). This power-law r-3/2 dependence of the bulk Lorentz factor is often quoted for a non-radiative blast wave decelerating in a uniform medium. During the third and final regime the blast wave is practically non-relativistic.
Energy conservation gives the rate of accreted kinetic energy in the
lab frame:
This expression follows from the equation of motion (Eq. (1)) and is applied regardless of whether the blast wave is in the radiative or adiabatic regime. As the rate of energy accreted is a Lorentz invariant, expression (7) holds also in the comoving frame of the blast wave.
2.2 Radiation
The RBW not only sweeps matter and decelerates, as was discussed
above, but it is assumed to be able to energize particles as well.
While there are no detailed models as yet to explain the way
particles achieve high energies, it is assumed that an ad-hoc
fraction
of the accreted kinetic energy is injected into
non-thermal electrons with a power-law form. A second assumption
concerns the lower and upper cutoffs of the electron distribution
and
.
Since the normalization
of
the electron injection is set by the relation
where
Since the energetic electrons will emit synchrotron radiation, a
prescription for the magnetic field is also required. This again is
a source of major uncertainty. The usual assumption is that the
magnetic field is in some type of equipartition with the particles;
this implies that the magnetic energy density takes a fraction
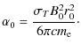
of the mass accumulated in the RBW, so the magnetic field is given
by the relation
However one can consider different types of behavior, like
Depending on the value of the magnetic field, the electrons can cool
(i.e. radiate all their energy) in a dynamical timescale or remain
uncooled, (i.e. keep their energy). These two cases have been called
``fast'' and ``slow'' cooling (Sari et al. 1998). From the standard
solutions of the electron kinetic equations
(Kardashev 1962) it is known that cooled electrons have steeper
distribution functions than uncooled ones, i.e. cooled electrons
have an energy dependance that is proportional to
,
while uncooled ones have a
dependance, i.e. they still
retain the spectrum at injection.
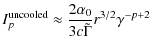
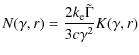
High energy electrons can also lose energy by inverse Compton scattering on ambient photons. These photons can illuminate the source of electrons externally or they can be the synchrotron photons mentioned earlier. In this latter case the process is called synchro-self compton. The inclusion of the inverse Compton process has two important results: (a) It will produce a high energy spectral component in the photon spectrum and; (b) depending on the respective magnetic and photon field energy densities, it can alter the electron distribution function, thus affecting directly the shape of the radiated photon spectrum.
2.3 Comparisons to blazar models
The radiation coming from the GRB shock, as was described above, has the same underlying physical principles as the so-called ``one-zone'' SSC AGN leptonic models set forward to explain the MW spectrum of blazar emission (Mastichiadis & Kirk 1997; Inoue & Takahara 1996). These models, based on earlier ideas set by Maraschi et al. (1992) and Bloom & Marscher (1996), address essentially the same problem of electron injection, cooling and photon radiation. However they do not take a ``ready'' electron distribution but, rather, they obtain it from the solution of a kinetic equation which contains injection, radiative losses, physical escape from the source and possibly reinjection of particles as secondaries from photon-photon absorption. The electron equation is coupled to an equation for photons that has the usual synchrotron and inverse Compton emissivities written in a way as to match the radiative electron losses. It can also have extra terms such as synchrotron self-absorption, photon-photon pair production, etc.
This kinetic equation approach has the advantage that it is self-consistent, i.e. the power lost by the electrons is radiated by the photons. Moreover the photon energy density can be calculated at each instant and this feeds back though the SSC losses on the electron equation, thus this approach can treat the SSC intrinsic non-linearity.
Therefore it would have been instructive for us to construct a similar approach to model the radiation of GRB afterglows. However, in GRBs, despite the physical analogies to AGNs, the situation has some obvious differences which come mainly from the hydrodynamics of the GRB outflows, as was outlined in Sect. 2.1:
- 1.
- AGN modeling usually involves stationary states. This means that
the the radius of the source
,
the Lorentz factor
and
the magnetic field strength B are all considered constant. This
holds even when short flares are modeled in a time-dependent way
(Mastichiadis & Kirk 1997; Katarzynski et al. 2005; Krawczynski et al. 2002); as
we mentioned earlier, in GRBs all of the above are functions of the
distance r from the origin of the explosion;
- 2.
- in GRBs, once the profile of the external density is set, then
the injection of electrons has at least an upper limit as
cannot exceed unity.
There is no such constraint for AGNs as the injected power is essentially a free
parameter.
3 Analytical solutions
In this section we will first present the kinetic equation for the electron distribution function, then we will show the solutions for different magnetic field configurations assuming that synchrotron losses dominate and we will end by using these solutions to derive the slope of the synchrotron and SSC lightcurves that corresponds to each B-field configuration considered.
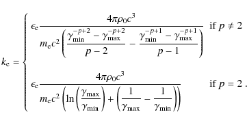
3.1 Kinetic equation of electrons
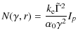
The equation that governs the electron distribution is:where
where
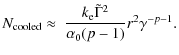
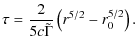
At each radius the normalization of the electron distribution is given by the prescribed fraction of the power available as bulk kinetic energy. Equation (8) leads to
The constant
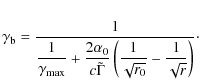
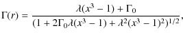
3.1.1 Magnetic field of the form B(r) = B0 r-3/2
As was briefly discussed in Sect. 2, this type of B field is the
one customarily adopted for GRB afterglows. Equation (9)
implies that a fraction
of the accumulated mass on the RBW
goes to amplify the B-field. As
in the
decelerating phase
(cf. Eq. (4))
the above prescription for the B-field is derived at once. Thus
Eq. (9) can be further written
| B=B0r-3/2 | (14) |
with
| (15) |
where the constant
|
(16) |
where
|
(17) |
where
and
|
(18) |
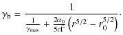
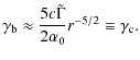
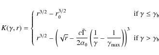
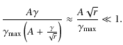
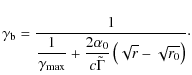
We point out that the second branch of the above solution does not necessarily describe a cooled electron distribution. Only if the relation
holds, then the electron distribution can be considered cooled, i.e.
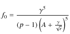
| (20) |
Then, electrons with Lorentz factors greater than
|
Figure 1:
Comparison between analytical (solid line) and numerical (dotted line) solution
in the case of p=2 at radius
|
| Open with DEXTER | |
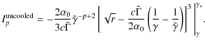
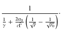
In the uncooled regime the relation
holds and the solution takes the form:
|
(21) |
As we mentioned above, in the cooled regime the condition
|
(22) |
3.1.2 Magnetic field of the form
This type of magnetic field might also be related to GRB outflows
(see e.g. Vlahakis & Königl 2003). Here we present the analytical
solutions of Eq. (11) for this type of magnetic
field, while the complete calculations can be found in the Appendix.
Again, if p=2 the solution has the simple form
|
(23) |
where
and
|
(24) |
The constant
|
(25) |
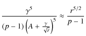
If p>2 then the solution is found in two regimes , as in (3.1.1).
The uncooled part of the electron distribution is given by:
|
(26) |
which is exactly the same as the one calculated for the magnetic field
The situation is different for the part of the distribution where
cooling is dominant:
|
(27) |
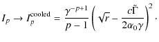
3.1.3 Constant magnetic field B0
In order to check our analytical results we have also solved Eq. (11) for the case of a constant magnetic field. This calculation has already been done by Dermer & Chiang (1998) and thus we can compare our results with theirs. The outline of the comparison can be found in the Appendix (A.3). In the uncooled regime the solution is given by:
|
(28) |
The above expression for the uncooled part of the electron distribution is again the same as for the other types of magnetic field presented in the previous sections. In the cooled regime
|
(29) |
In this case the cooled part of the distribution reduces as the radius of the blast wave increases. This behavior of the cooled part of the distribution differs from the one presented in the previous sections where the total number of electrons within the shell increased with increasing radius.
3.2 Analytic flux time profiles
The kinetic equation of the electron distribution is being solved in the comoving frame, as shown in Sect. (3.1). Synchrotron and SSC spectra are also first calculated in the comoving frame and then transformed into the observer frame. For this we use a relation which connects time in the observer frame and radius r which appears in all our analytical solutions. Thus,
|
(30) |
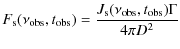
where r is the radius of the blast wave measured in the comoving frame. If the distance of the source from the observer is D then the respective synchrotron and SSC fluxes at the observer frame are given by:
where
Equations (31) and (32) can be reduced to
the simplified form
| (33) |
|
(34) |
where
Table 1: Negative of slopes of time profiles.
The slopes of the synchrotron flux time profiles in the non-radiative regime (see Table 1) coincide with the respective ones presented by Dermer & Chiang (1998). Table 1 shows that SSC flux time profiles are steeper than the respective synchrotron profiles both in the uncooled and cooled regime, for all the magnetic field configurations discussed in Sect. 3.1.4 Numerical approach
4.1 The code
The equation solved in the previous section forms the basis of the electron kinetic equation; we proceed now to augment this with more processes and to solve it numerically. Since SSC losses depend on the synchrotron photon energy density, we have to write an accompanying equation for photons which is coupled to the electron equation. Similar types of equations have been solved for the blazar (Mastichiadis & Kirk 1997) and prompt/early afterglow GRB cases (Mastichiadis & Kazanas 2009) - note that in this latter case a third equation for protons was added.
Assuming, as before, that the electrons are a function of distance from the center of the explosion and energy, their equation reads
while the corresponding photon equation is
The operators
The numerical code keeps the same philosophy, as far as the physical processes are concerned, as the one described in Mastichiadis & Kirk (1995) (hereafter MK95). However, since various modifications have been introduced, we summarize briefly the expressions used:
- (i)
- Synchrotron radiation: (a) The electron loss term
is given by expression (34) of MK95.
(b) The photon emissivity term
is
given using the full high energy emissivity term (see,
e.g. Blumenthal & Gould 1970) instead of the delta-function approximation used in
MK95;
- (ii)
- Synchrotron-self absorption: (a) The photon absorption
term
is used as in MK95
(Eq. (39)). (b) There is no matching term for electron heating due to
this process. However, as synchrotron self absorption is expected to
be minimal for the parameters which are of interest here, the error
introduced by this omission is expected to be negligible;
- (iii)
- Inverse compton scattering: (a) The electron loss term
is given by solving Eq. (5.7) of
Blumenthal & Gould (1970). (b) The photon emissivity term
uses relation (2.48) of
the same paper;
- (iv)
- Photon-photon pair production: (a) The electron
injection term
is given by
expression (57) of MK95. (b) The photon absorption term
is given by expression (54)
of MK95;
- (v)
- Electron injection: the quantity
is the electron injection rate which can
take any functional form of distance r and energy
.
Following the usually assumed case, we take it to be of a power-law
form as given by Eq. (12). The power-law index, the
normalization and the upper and lower energy cutoffs can be treated
as free parameters;
- (vi)
- Photon escape: this is characterized by the
light crossing time of the source
in the
comoving frame. This is not constant but changes according to the
relation
.
4.2 Tests
There are various tests that we have performed to test the validity of the code. As the various rates of the radiative processes have essentially the same form as the ones used in the past to model AGN MW emission (Konopelko et al. 2003; Mastichiadis & Kirk 1997), they have been checked many times against the results of e.g. Katarzynski et al. (2005); Coppi (1992) and others.
The new aspect introduced in the code is its dynamical behavior and in order to test this we have checked the code extensively against the analytical results (spectral shape and lightcurve slopes) derived in the previous section. As an example we show in Fig. 2 such a comparison of the multiwavelength spectra derived with the analytical method of the previous section with the results of the numerical code.
|
Figure 2:
Synchrotron and SSC spectra for a case with
|
| Open with DEXTER | |
|
Figure 3: Multiwavelength spectra with parameters similar to the ones stated in Fig. 4b of Fan et al. (2008). These should be compared with the two top curves of the aforementioned figure. |
| Open with DEXTER | |
The other major test was to compare our results with results already published in the literature, such as the ones given in (Fan et al. 2008). Figure 3 reproduces two curves of Fig. 4b of the aforementioned paper with very good agreement.
5 Results
In what follows we apply the numerical code to examine the dynamical
evolution of the MW GRB afterglow spectra. For this we use the
standard afterglow adopted parameters, i.e. the magnetic field is
given by rel. (9) with
a free parameter, while the
injected electron luminosity is controlled by
which is also
treated as a free parameter. Furthermore we adopt a value for
that is not constant but is of the form
(Sari et al. 1998)
Our aim is to see whether (i) SSC losses can modify the electron distribution function, and therefore, the photon spectrum and; (ii) photon-photon absorption, a process that has been neglected thus far, can be of some importance, not only taken as a
As a first case we show an example for typical values assumed
usually for GRB afterglows. Figure 4 shows the photon
spectrum obtained at radius
cm for
,
,
,
.
The electrons
were assumed to have a power-law distribution with slope p=2.3while their maximum cutoff was taken to be constant and equal to
.
Here and in the next Figures the GRB was
set at z=1. Note also that we assume that the evolution
of the Lorentz factor
follows the adiabatic prescription implied by
Eq. (2) and that
we have not taken into account any attenuation for
TeV
-rays due to absorption on the IR background. The full
line curve depicts the photon spectrum when all processes are
included, the dashed line one when photon-photon absorption is left
out and the dotted line one when inverse Compton scattering is also
omitted both as emission in the photon equation and as a loss
mechanism in the electron equation, i.e. this case can be considered
as pure synchrotron. Although this latter case is clearly an
oversimplification, we have included it for comparison. One can see
that
absorption influences only the highest part of the
spectrum by making it steeper. Pair reinjection does not significantly alter
the lower spectral parts because only a very small
fraction of the energy has been absorbed and is thus available for
redistribution. On the other hand, SSC losses have an impact on the
spectrum. This effect can be seen better in Fig. 5 which
shows the electron distribution function with (full lines) and
without (dashed lines) SSC losses at the aforementioned radius.
As in standard theory, the braking
energy
divides the cooled (
)
from the uncooled (
)
part of the
electrons. A first comment one could make is that the synchrotron
break does not appear as a sharp turnover but as a gradual one which
affects the power law index of electrons by at least one order of
magnitude around
.
A second comment is that
inclusion of SSC losses changes the ``pure'' synchrotron picture. The
electron distribution function becomes flatter and this is a result
of the SSC losses. The specific shape can be explained because the
SSC losses at each electron energy consist of both losses in the
Thomson and the Klein Nishina regime. As the electron energy
increases, the fraction of Klein Nishina to Thomson losses also
increases, with the result that the total SSC losses are reduced.
|
Figure 4:
Photon spectrum obtained at radius
|
| Open with DEXTER | |
|
Figure 5:
Electron distribution function for p=2.3, normalized by
the factor
|
| Open with DEXTER | |
5.1 Dynamical evolution
Figure 6 shows snapshots of photon spectra obtained for the
same parameters as above at three different radii:
,
and
.
As before, full line curves depict the
spectrum when all processes are included, dashed line ones when
photon-photon absorption is left out and dotted line ones when
inverse Compton scattering is also omitted. Obviously
absorption affects only the highest energies and does not play any
significant role throughout the evolution.
|
Figure 6:
Multiwavelength GRB afterglow spectra for
|
| Open with DEXTER | |
On the other hand, SSC losses seem to play a role that becomes
slightly more important as the radius increases. This can be
understood from the fact that as the magnetic field drops, two
contradicting results occur: one is that synchrotron cooling becomes
less efficient (it moves from ``fast'' to ``slow'') and the number of
available soft photons for upscattering is reduced. However, these
same photons become softer with radius (since both B and
are reduced outwards) and therefore one expects more
collisions in the Thomson regime where electron losses become more
efficient. This effect can be seen by comparing the shapes of the
MW spectra at the three radii: the shape of the SSC component starts
resembling the synchrotron one as the distance increases and the SSC
losses are dominated by collisions in the Thomson regime.
5.2 Role of

The effect that
has on the spectrum is more straightforward.
As
decreases (for fixed
)
the electron spectra are
increasingly dominated by synchrotron losses and the effect of SSC
losses becomes marginal. This is shown in Fig. 7 which
depicts the radiated photon spectra for three values of
and 0.001 (top to bottom). Here
,
while
the rest of the parameters are as in the previous case. In order to
avoid confusion we have calculated all spectra at radius
.
Note that, as
decreases, the SSC component drops
as the quadratic of the synchrotron component, a fact that is well
known in the SSC AGN models.
|
Figure 7:
Multiwavelength GRB afterglow spectra for
|
| Open with DEXTER | |
5.3 Role of

Figure 8 shows the effects that
has on the MW
spectra. Here the run has the same parameters as before, however the
spectra are calculated at the same radius
with
and 10-5. SSC losses change the spectra only
for intermediate values of
.
High values of
lead to fast
cooling and a predominance of synchrotron radiation. On the other
hand, low values of
lead to inefficient cooling and only the
high synchrotron frequencies are affected by the SSC cooling which
occurs in the deep KN regime.
|
Figure 8:
Multiwavelength GRB afterglow spectra for
|
| Open with DEXTER | |
5.4 Role of external density n
Figure 9 shows the way the MW spectra change in the case
when the density is increased to 1000 part/cm3. This figure has
to be directly compared to Fig. 4. Inclusion of the SSC
losses makes the spectrum depart significantly from the pure
synchrotron case. Therefore this is a clear Compton dominated case
with the SSC component exceeding the synchrotron one by an order of
magnitude. Furthermore
absorption produces a
contribution that affects the entire spectrum as substantial
pair injection
redistributes the luminosity from the high energy
end to the lower.
|
Figure 9:
Multiwavelength GRB afterglow spectra for
|
| Open with DEXTER | |
6 Summary/discussion
In the present paper we have applied the ``one-zone'' SSC model which is customarily applied to the multiwavelength blazar emission of GRB afterglows. For this, we have used a numerical code that treats electron injection and cooling and we have calculated self-consistently the electron distribution and radiated photon spectrum at each radius of the relativistic blast wave. In this sense the present work should be considered as complimentary to Chiang & Dermer (1999) and Fan et al. (2008).
One difference between the modeling of blazar emission (even in
flaring conditions) and GRB afterglows is that in the latter case
there is continuous evolution of the bulk relativistic Lorentz
factor
,
the magnetic field strength B and the radius of
the emitting source
.
In order to test the numerical
code in this new setting, we have solved analytically the kinetic
equation of the evolving electrons for the uniform density case
under certain simplifying assumptions and compared the resulting
electron distribution function and radiated spectra to the ones
given from the code for similar parameters. The analytical
solutions, details of which can be found in the Appendix, have their
own interest despite the introduced simplifications as they can give
simple expressions for the dependence of the lightcurve on the
spectral index in the case where the losses come solely from the
synchrotron mechanism. We find, for example, that the magnetic field
prescription plays a significant role in determining the slopes of
the flux time profiles (see Table 1). Moreover they correctly treat the
synchrotron cooling break which should not be taken as an abrupt
change of slope but as a very gradual one.
Restricting ourselves to the uniform density case in the adiabatic
approximation, we have also
performed numerical runs of the standard GRB afterglow
approach as this can be summarized by the introduction of the usual
parameters
and
.
Our aim was two-fold: (i) To see whether
GRB afterglows can become Compton dominant, similar to the
cases found in modeling AGNs and; (ii) to investigate the effect
absorption and subsequent pair reinjection might have on
the afterglow multiwavelength spectra. Starting from the latter case
first we found that, at least for the set of parameters used,
absorption has an effect, as a photon attenuation
mechanism, only at the very high energy
part of the spectrum.
Therefore it could affect only the potential TeV
GRB observations - we point out also that TeV emission from GRBs at
high z will be subject not only to internal
attenuation,
but also to extra absorption by photons of the IR background, an
effect that already has important consequences even for low z TeV
blazars (see, e.g. Konopelko et al. 2003)
However, as a pair injection mechanism,
absorption has an effect
over the whole spectrum
that becomes increasingly important with increasing values
of the external density (compare Fig. 4 with Fig. 9).
At the same time, we found that SSC has an
impact on the MW spectra as it introduces an extra source of cooling
in the electron distribution.
As one would expect, it depends
also on the parameters
,
and, more critically, on
the value of the ambient density n. For low values of
it
does not practically play any role and the cooling comes solely from
synchrotron radiation (see Fig. 7).
Thus the GRB afterglow is in the
``synchrotron dominated'' regime.
However, for high values
of
it becomes important and this can be seen from the fact
that in the
spectra the SSC component carries about the
same luminosity as the synchrotron component even in the
case.
The effect becomes quite severe for higher values
of n where the SSC component carries an increasingly great
er part
of the luminosity (see Fig. 9). These afterglows are
clearly Compton dominated.
The fact that we have limited our analysis to the adiabatic case
restricts the allowed values of
.
As a limiting case
we have adopted the value
which introduces a maximum
(corresponding to the fast cooling case)
error of a few percent in the Lorentz factor
as this has to be
corrected for radiative losses (Chiang & Dermer 1999).
In any case, these corrections are small, they do not affect
the spectral shapes and, therefore, they cannot alter the basic
results of the present paper.
Concluding we can say that the inclusion of the effects of SSC (not
only as an emission, but as a loss process as well) and, to a
lesser degree, of
absorption can have a significant impact
on the GRB afterglow multiwavelength spectra. As expected, the
overall picture that emanates from these processes is rather
complicated. However, as a rule of thumb, we can say that the
aforementioned processes become increasingly important for high
external densities and high
cases. Their inclusion has some
non-trivial consequences on the lightcurves as both the photon
spectra slope and the energy break are modified. On the other hand,
they can be rather safely neglected for high
and low
or
n cases.
Based on the above results, we expect that SSC losses will play an important role in a wind-type density profile, especially at early times when densities are high. This will be the subject of another paper.
AcknowledgementsWe would like to thank Prof. T. Piran and Dr. D. Giannios for many interesting discussions and comments on the manuscript. We also thank the referee, Dr. M. Böttcher, for his swift reply and for making points that helped improve the manuscript. This research was funded in part by a Grant from the special Funds for Research (ELKE) of the University of Athens.
Appendix A: Analytical solutions of the electron kinetic equation
A.1 Magnetic field of the form B = B0r-3/2
The solution of Eq. (11) isor changing the integration variable
|
(A.2) |
The electron distribution is in general given by:
|
(A.3) |
where constant
We define
Uncooled
In this regime
|
(A.6) |
or
Cooled
This is the regime where the bulk of the electron population has already cooled and corresponds to the conditions
where
|
(A.10) |
|
(A.11) |
| f2 | = | ||
|
(A.12) |
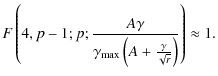
where F(a,b;c;z) is the Gaussian hypergeometric function. The hypergeometric function has a power series representation. The three first terms of the series are:
| (A.14) |
The condition
The term of equation (A.17) will not be taken into account later on. The argument of the hypergeometric function in Eq. (A.13) becomes
|
(A.18) |
Thus, we can approximate
|
(A.19) |
The hypergeometric function with argument
| (A.20) |
Thus, the electron distribution in the cooled regime is given by the simple expression:
|
(A.21) |
A.2 Magnetic field of the form

The general solution of Eq. (11) is
or changing the integration variable
|
(A.23) |
where constant
|
(A.24) |
where
If
- Uncooled
Taking into account that
- Cooled
|
(A.30) |
Moreover the condition
|
(A.31) | |
|
(A.32) |
A.3 Constant magnetic field
The solution of Eq. (11) is:or changing the integration variable
|
(A.34) |
where constant
where in this case
We outline next the points needed that will faciliate a comparison of our analytical results and those presented in (Dermer & Chiang 1998, hereafter DC98). The expressions given by Eqs. (A.35), (A.36) coincide with these of Eqs. (33), (34) of DC98. This can be seen after taking into account the corresponding symbolism of our present work with the one used in DC98. The spatial coordinates x,x0, used in DC98, and r,r0, used in our work, are identical. In the case of a spherical blast wave
| (A.38) |
When the bulk of the electron distribution is considered to be relativistic then
| (A.39) |
The constant
| (A.40) |
Our constant
| (A.41) |
where
| (A.42) |
Moreover, the constants
| (A.43) | ||
|
(A.44) |
Also the variable
| (A.45) |
Finally the exponent u which appears in the integral
Taking into account
|
(A.47) |
Therefore, in this case the two characteristic Lorentz factors of the distribution
References
- Blandford, R. D., & McKee, C. F. 1976, Phys. Fluids, 19, 1130 [CrossRef] [NASA ADS]
- Bloom, S. D., & Marscher, A. P. 1996, ApJ, 461, 657 [CrossRef] [NASA ADS]
- Blumenthal, G. R., & Gould, R. J. 1970, Rev. Mod. Phys., 42, 237 [CrossRef] [NASA ADS]
- Böttcher, M. 2007, Ap&SS, 309, 95 [CrossRef] [NASA ADS]
- Chiang, J., & Dermer, C. D. 1999, ApJ, 512, 699 [CrossRef] [NASA ADS]
- Coppi, P. S. 1992, MNRAS, 258, 657 [NASA ADS]
- Dermer, C. D., & Chiang, J. 1998, New Astron., 3, 157 [CrossRef] [NASA ADS]
- Fan, Y.-Z., Piran, T., Narayan, R., & Wei, D.-M. 2008, MNRAS, 384, 1483 [CrossRef] [NASA ADS]
- Inoue, S., & Takahara, F. 1996, ApJ, 463, 555 [CrossRef] [NASA ADS]
- Kardashev, N. S. 1962, Sov. Astron., 6, 317 [NASA ADS]
- Katarzynski, K., Ghisellini, G., Tavecchio, F., Maraschi, L., Fossati, G., & Mastichiadis, A. 2005, A&A, 433, 479 [EDP Sciences] [CrossRef] [NASA ADS]
- Katz, J. I., & Piran, T. 1997, ApJ, 490, 772 [CrossRef] [NASA ADS]
- Konopelko, A., Mastichiadis, A., Kirk, J., de Jager, O. C., & Stecker, F. W. 2003, ApJ, 597, 851 [CrossRef] [NASA ADS]
- Krawczynski, H., Coppi, P. S., & Aharonian, F. 2002, MNRAS, 336, 721 [CrossRef] [NASA ADS]
- Maraschi, L., Ghisellini, G., & Celotti, A. 1992, ApJ, 397, L5 [CrossRef] [NASA ADS]
- Mastichiadis, A. 2009, International Journal of Modern Physics D, in press
- Mastichiadis, A., & Kazanas, D. 2009, ApJ, 694, L54 [CrossRef] [NASA ADS]
- Mastichiadis, A., & Kirk, J. G. 1995, A&A, 295, 613 [NASA ADS]
- Mastichiadis, A., & Kirk, J. G. 1997, A&A, 320, 19 [NASA ADS]
- Panaitescu, A., & Kumar, P. 2000, ApJ, 543, 66 [CrossRef] [NASA ADS]
- Panaitescu, A., & Mészáros, P. 1998, ApJ, 492, 683 [CrossRef] [NASA ADS]
- Piran, T. 2005, Rev. Mod. Phys., 76, 1143 [CrossRef] [NASA ADS]
- Rees, M. J., & Mészáros, P. 1992, MNRAS, 258, 41P [NASA ADS]
- Sari, R., Piran, T., & Narayan, R. 1998, ApJ, 497, L17 [CrossRef] [NASA ADS]
- Vlahakis, N., & Königl, A. 2003, Ap&SS, 287, 249 [CrossRef] [NASA ADS]
- Waxman, E. 1997, ApJ, 485, L5 [CrossRef] [NASA ADS]
All Tables
Table 1: Negative of slopes of time profiles.
All Figures
|
Figure 1:
Comparison between analytical (solid line) and numerical (dotted line) solution
in the case of p=2 at radius
|
| Open with DEXTER | |
| In the text | |
|
Figure 2:
Synchrotron and SSC spectra for a case with
|
| Open with DEXTER | |
| In the text | |
|
Figure 3: Multiwavelength spectra with parameters similar to the ones stated in Fig. 4b of Fan et al. (2008). These should be compared with the two top curves of the aforementioned figure. |
| Open with DEXTER | |
| In the text | |
|
Figure 4:
Photon spectrum obtained at radius
|
| Open with DEXTER | |
| In the text | |
|
Figure 5:
Electron distribution function for p=2.3, normalized by
the factor
|
| Open with DEXTER | |
| In the text | |
|
Figure 6:
Multiwavelength GRB afterglow spectra for
|
| Open with DEXTER | |
| In the text | |
|
Figure 7:
Multiwavelength GRB afterglow spectra for
|
| Open with DEXTER | |
| In the text | |
|
Figure 8:
Multiwavelength GRB afterglow spectra for
|
| Open with DEXTER | |
| In the text | |
|
Figure 9:
Multiwavelength GRB afterglow spectra for
|
| Open with DEXTER | |
| In the text | |
Copyright ESO 2009
Current usage metrics show cumulative count of Article Views (full-text article views including HTML views, PDF and ePub downloads, according to the available data) and Abstracts Views on Vision4Press platform.
Data correspond to usage on the plateform after 2015. The current usage metrics is available 48-96 hours after online publication and is updated daily on week days.
Initial download of the metrics may take a while.
![\begin{figure}
\par\resizebox{9cm}{!}{\includegraphics[angle=270]{12970fg1.eps}}
\end{figure}](/articles/aa/full_html/2009/44/aa12970-09/Timg97.png)
![\begin{figure}
\par\resizebox{9cm}{!}{\includegraphics[angle=270]{12970fg2.eps}}
\end{figure}](/articles/aa/full_html/2009/44/aa12970-09/Timg154.png)
![\begin{figure}
\par\resizebox{9cm}{!}{\includegraphics[angle=270]{12970fg3.eps}}
\end{figure}](/articles/aa/full_html/2009/44/aa12970-09/Timg155.png)
![\begin{figure}
\par\resizebox{9cm}{!}{\includegraphics[angle=270]{12970fg4.eps}}
\end{figure}](/articles/aa/full_html/2009/44/aa12970-09/Timg162.png)
![\begin{figure}
\par\resizebox{9cm}{!}{\includegraphics[angle=270]{12970fg5.eps}}
\end{figure}](/articles/aa/full_html/2009/44/aa12970-09/Timg163.png)
![\begin{figure}
\par\resizebox{9cm}{!}{\includegraphics[angle=270]{12970fg6.eps}}
\end{figure}](/articles/aa/full_html/2009/44/aa12970-09/Timg166.png)
![\begin{figure}
\par\resizebox{9cm}{!}{\includegraphics[angle=270]{12970fg7.eps}}
\end{figure}](/articles/aa/full_html/2009/44/aa12970-09/Timg169.png)
![\begin{figure}
\par\resizebox{9cm}{!}{\includegraphics[angle=270]{12970fg8.eps}}
\end{figure}](/articles/aa/full_html/2009/44/aa12970-09/Timg171.png)
![\begin{figure}
\par\resizebox{9cm}{!}{\includegraphics[angle=270]{12970fg9.eps}}
\end{figure}](/articles/aa/full_html/2009/44/aa12970-09/Timg175.png)