Free Access
Issue
A&A
Volume 507, Number 3, December I 2009
Page(s) L41 - L43
Section Letters
DOI https://doi.org/10.1051/0004-6361/200913136
Published online 04 November 2009

A&A 507, L41-L43 (2009)

LETTER TO THE EDITOR

Interaction of interplanetary dust particles with magnetic clouds

Effects on the orbital evolution

M. Wagner1 - R. F. Wimmer-Schweingruber2

1 - Sternwarte Hamburg, University of Hamburg, Gojenbergsweg 112, 21029 Hamburg, Germany
2 - Institute for Extraterrestrial Physics, University of Kiel, Leibnitzstrasse 11, 24118 Kiel, Germany

Received 18 August 2009 / Accepted 21 October 2009

Abstract
Context. The interaction of the solar wind with interplanetary dust in the inner solar system appears to result in the formation of inner-source pickup ions. The flux of these ions is roughly two orders of magnitude larger than expected based on established dust particle profiles. This discrepancy can be resolved, if a population of very small ($\sim$ $0.02~ \mu\rm m$) dust particles exists in the vicinity of the Sun (within 0.2 AU). The encounter with a magnetic cloud exerts a sudden magnetic perturbation on the orbital parameters of charged interplanetary dust particles (IDPs) of sizes $\rm <1~\mu\rm m$, which may expel them from the solar system.
Aims. The grains gain additional velocity components caused by the Lorentz force. Depending on the orientation of the fluxrope towards the dust grain's undisturbed orbital motion, the deflection can increase the orbital eccentricity or the inclination.
Methods. The degree of orbital disturbance for each encounter is calculated numerically.
Results. The ``blow-out distance'' can be approximated as a function of the grain radius, s, alone: $D\left(s\right)=28.183\cdot s - 0.308$. On the other hand, the change in inclination depends on both the heliocentric distance, r, as well as the size of the grain: $I\left(s,r\right)=0.124\cdot r^{1.814}\cdot s^{-1.949}$. The interaction of magnetic clouds with IDPs can contribute to the dust flux and acts as a sink for small dust grains.

Key words: Sun: coronal mass ejections (CMEs) - solar wind - magnetic fields

1 Introduction

A magnetic field, carried within a magnetic cloud, perturbs the orbital evolution of charged dust grains. interplanetary dust particles (IDP's) can range in size from a few centimeters down to a few molecules and are most commonly charged up to positive surface potentials of a few V (+5V as a typical value for a  $1~\rm {\mu m}$sized dust grain). As a result of this surface charge, dust grain orbits are influenced by the Lorentz-force. While the slowly varying interplanetary magnetic field (IMF) exhibits a near-constant force on the dust grain, a swept-by magnetic cloud acts as a sudden magnetic perturbation. Magnetic clouds can be approximated by a force-free magnetic fluxrope model as introduced by, e.g., Lepping et al. (1990). The different components of the magnetic field deflect the charged grain into different directions. The degree of deflection depends on the grain's charge and the relative direction and velocity with which it is hit by the magnetic cloud. Trajectories of charged dust grains typically smaller than $5~\mu\rm m$ experience this deflection.

The CMEs originate in closed field-line regions under the source surface[*] and travel with average speeds up to 2000 km s-1 through interplanetary space. They are able to compress the frozen-in magnetic field in the IMF up to 4 times its average value.

Dust grain orbits are mainly influenced by gravity, but for grains with radii $\rm < 5~\mu\rm m$, other forces become important, in particular those with decreasing heliocentric distance. Radiation pressure, Poynting-Robertson and plasma-Poynting-Robertson effects, sublimation, and rotational bursting determine the grains' lifetimes. Thus, all forces have to be considered in a timescale comparison to then be certain that it is reasonable to model the effect of a sudden magnetic cloud encounter exclusively. Depending on the orientation and speed of the fluxrope relative to the particle's orbital movement, the interaction of magnetic clouds with charged IDPs can cause major changes in the orbital eccentricity, e, and inclination, i. Both e and i increase with increasing heliocentric distance and decreasing grain size. This first approach to the topic has been processed using highly idealized models. Here results for how magnetic clouds influence the population of very small dust particles close to the Sun are presented. These have consequences for the production of inner-source pickup ions (Wimmer-Schweingruber et al. 2003). We could find a relation between grain size and the heliocentric distance at which small grains can be expelled from their orbit by magnetic clouds we call the ``blow-out distance'', as well as a relation for the gain in orbital inclination with respect to the orientation of the magnetic cloud at encounter, the ``inclination drift''.

2 Simulation

\begin{figure}
\par\includegraphics[width=17cm,clip]{plot1.eps}
\vspace*{3mm}
\end{figure} Figure 1:

Effects of magnetic cloud encounters on the orbital evolution of charged dust grains. a): the basic configuration of the fluxropes orientation towards the particles orbital motion is displayed in Fig. 2 and refers to a fluxrope rotation angle of $0^{\circ }$. For rotation angles of $270^{\circ }$ ( $B_{\mbox{\tiny{ \it z}}}$-component pointing towards the image plane), and  $90^{\circ }$ ( $B_{\mbox{\tiny{ \it z}}}$-component pointing towards the reader) just the eccentricity changes. In all other cases the inclination changes too. b): 70-years enduring flight of a $1~\mu \rm m$-sized IDP. The orbital changes amount to $\Delta e=0.0043$ in eccentricity and $\Delta i=0.734^{\circ }$ in inclination after being hit by 3220 magnetic clouds. c): the inclination drift of charged IDP's as a function of the grain radius. When a dust grain is hit by a fluxrope with its axis of symmetry in the orbital plane, inclination reaches its maximum value. d): the point at which e = 1, is the ``blow-out distance'', $D\left (s\right )$. The gray curve shows the blow-out distance as a function of the grain radius as derived from simulations. The black line is the corresponding linear fit, which follows the law $D\left (s\right )=28.183s-0.308$.

Open with DEXTER

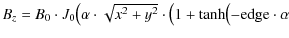
A code was set up to compute the changes in the orbital parameters of a dust grain after encountering magnetic clouds. A magnetic cloud is the only subset of interplanetary coronal mass ejections (ICME's). Richardson & Cane (2003) observe that nearly 100% of the near-Earth ICMEs are magnetic clouds around solar minimum conditions. Around solar maximum, only about 15% of all ejecta appear to be magnetic clouds. The idealized magnetic field structure in a magnetic cloud is force-free $\nabla\times\vec{B}=\pm\vec{B}$. The magnetic field inside the fluxrope can be modeled by the use of zero- and first-order Bessel functions ( $J_{\mbox{\tiny { 0}}}$ and  $J_{\mbox{\tiny { 1}}}$). The axial field of the fluxrope is proportional to the zeroth-order Bessel function, and the tangential field to the first-order Bessel function. A Heaviside step function was used to cut off $J_{\mbox{\tiny { 0}}}$ and $J_{\mbox{\tiny { 1}}}$ at the first root of $J_{\mbox{\tiny { 0}}}$ at $\sim$2.4. The variable edge determines the precision of the cut-off and $\alpha=2.4/{\rm radius}_{\mbox{\tiny { fluxrope}}}$.

  $\textstyle B_z=B_0\cdot J_0 \bigl( \alpha \cdot \sqrt{x^{2}+y^{2}} \cdot \bigl( 1+\tanh \bigl( -{\rm edge} \cdot\alpha$   (1)
  $\textstyle \cdot \sqrt{x^{2}+y^{2}}+{\rm edge} \cdot2.4 \bigr) \bigr)/2 \bigr)$    


  $\textstyle B_\varphi =B_0\cdot J_1 \bigl(\alpha\cdot\sqrt{x^{2}+y^{2}}\cdot \bigl(1+\tanh \bigl(-
{\rm edge}\cdot \alpha$   (2)
  $\textstyle \cdot\sqrt{x^{2}+y^{2}}+{\rm edge}\cdot2.4 \bigr) \bigr) /2 \bigr).$    

The CMEs can be ejected from the Sun in a variety of possible orientations, which we accounted for. At 1 AU and an ICME speed of 1000 km s-1, a particle would spend one day or less than a day inside of the magnetic cloud, depending on the declination of the fluxrope's axis of symmetry towards the particle. This is short compared to other timescales resulting from, e.g., the Poynting-Robertson- and plasma PR-drag, sputtering, sublimation and rotational bursting. As a result, these forces can be neglected for the ``short'' timespan of an ICME encounter.

All simulations were done at heliocentric distances between 0.2 and 1 AU and ICME-speeds of 500-2000 km s-1 for a dust grain population of $0.02~\mu\rm m \leq s \rm\leq1.0~\mu\rm m$, with s = grain radius. A surface potential of $\Phi=+5\rm V$ for all grain sizes was chosen with the surface charge according to $4\pi\epsilon_0 s\Phi$ ( $\epsilon_0$ the permittivity of the vacuum). The magnetic field magnitude $B_{\mbox{\tiny { 0}}}$(see Eqs. (1) and (2)) within the fluxrope was assumed to be 20 nT at all times, which is a very simplified assumption. The average magnetic field magnitude within ICMEs decreases with increasing heliocentric distance (Richardson et al. 2005), so this is just a first approach and the dependence of the fluxropes magnetic field should be taken into account in future calculations. The assumption of a constant B0 of 20 nT limits the use of the code right now, but close to the sun where magnetic field magnitudes are higher than assumed, the results are still reasonable.

\begin{figure}
\par\includegraphics[width=6.8cm]{plot2.eps}
\end{figure} Figure 2:

Basic configuration of particle injection into the fluxrope. The axial-symmetric component $B_\varphi $ causes a charged grain to leave at a different z-position, and the Bz-component adds velocity perpendicular to the z-axis.

Open with DEXTER

Figure 2 shows the wound-up fieldlines within the fluxrope. The $B_\varphi $-component is rotational-symmetric. The deflection reaches its maximum in the middle of the fluxrope and decreases towards the border. The result is an offset when the particle leaves the fluxrope. The Bz-component causes an acceleration perpendicular to the direction of particle injection and the magnetic-field direction (right hand rule). The grain will, thus, leave the fluxrope with an offset in its position and an additional velocity component.

Basically, all perturbations increase with increasing heliocentric distance and decreasing grain size. Again, it has to be mentioned that the decrease in the magnetic field within the fluxrope is not yet included. Assuming they are perfect spheres with a surface charge derived from a potential of +5V, small grains suffer more from magnetic perturbation due to their lower masses. An enhanced flight time induces a larger interval of exposure by the grain to the fluxrope's magnetic field, which contributes to an increase in magnetic perturbation at greater heliocentric distances.

The perturbation of dust grain orbits can take on two extreme cases, depending on the rotation angle of the fluxrope towards the particle. To describe the simplest scenario, inclination reaches its maximum with the fluxropes $B_{\mbox{\tiny{ \it z}}}$-component pointing in the direction of the grains orbital motion, as displayed in Fig. 2. Rotating the fluxrope in this plane, a power law for the change in orbital inclination emerged, this ``inclination drift'', $I\left(s,r\right)$, is a function of the heliocentric distance, r, and the grain radius, s:

$\displaystyle I\left(s,r\right)=0.124\cdot r^{1.814}\cdot s^{-1.949}.$     (3)

Equation (3) is derived from numerical simulation and therefore just valid for simulated grain sizes of $0.02\leq s\leq 1~\mu$m and heliocentric distances of $0.2\leq r \leq 1.0$ AU. This maximum value also increases with increasing heliocentric distance and decreasing grain size. At 1 AU, a small IDP ( $0.05~\mu\rm m$ in radius) experiences a gain in inclination of $\Delta i \sim 33^{\circ}$, still $\Delta i \sim 0.03^{\circ}$ at 0.2 AU.

The maximal change in orbital eccentricity occurs, when the fluxropes z-axis as displayed in Fig. 2 is pointing towards or away from us. The relation between grain size and the heliocentric distance, at which e becomes unity for $\beta=90^{\circ}$ (the particle is expelled from the solar system) will further be denoted as the ``blow-out distance'', $D\left (s\right )$:

$\displaystyle D\left(s\right)=28.183\cdot s - 0.308.$   (4)

From 0.2 AU up to 0.55 AU, the blow-out distance behaves linearly.

To assume those extreme fluxrope rotation angles is highly theoretical, since the average orientation of CME ejection relative to the ecliptic plane is $\pm $ $20^{\circ}$, due to the geometry of sunspot occurrence (Wimmer-Schweingruber, private communication).

Some possible IDP-orbits are displayed in Fig. 1a. Depending on the orientation of the fluxrope at the encounter with the grain, mixtures of inclination and eccentricity changes occur. Figure 1b shows such a deflected orbit, after a flight of 70 years duration. The Poynting-Robertson lifetime at 0.2 AU amounts to 70 years. This indicates a number of 6440 ICME encounters, estimating two contacts per week. Consider that about 100% of the ICMEs (at 1AU) are magnetic clouds during solar minimum and about 15% during solar maximum conditions (Richardson et al. 2003), this results in an average value of 57.5% magnetic clouds, hence the contact with 3220 magnetic clouds. The fluxrope encounter angles were generated randomly, so that the deflections partly canceled each other out. The orbital eccentricity changed from a circular orbit to an elliptical one with e=0.0043 and gained  $0.734^{\circ}$ in inclination.

3 Conclusions

Charged interplanetary dust grains of sizes $\rm < 5~\mu\rm m$ are deflected by magnetic clouds. Even if the effect of magnetic perturbation is simulated separately and gravity, the Poynting-Robertson- and plasma Poynting-Robertson effect, radiation, solar wind pressure, and other minor effects are neglected, the change in the orbital parameters can be drastic.

The perturbing force that magnetic clouds exert on charged IDPs increases with heliocentric distance and decreasing grain size, when assuming a constant non-decreasing B0. The dependence of the fluxropes magnetic field strength on heliocentric distance should be taken into account, especially at greater heliocentric distances. Still, the simulations confirm the existence of a sink for small IDPs in a region $\sim$0.2 AU.

The heliocentric distance at which an IDP is blown out on a hyperbolic orbit is almost exclusively a function of the grain radius. IDPs of sizes $\rm > 0.05~\mu\rm m$ cannot be blown out by magnetic clouds below 1 AU.

For a high number of randomly oriented magnetic clouds, the resulting perturbations tend to smooth each other out. For a $1~\mu \rm m$ grain, the effect of magnetic cloud interaction may be weak, but as the grain is carried towards the Sun via PR-drag, continuous size-reducing effects such as rotational bursting, sputtering, and sublimation start to decrease the grain radius, and the perturbations by magnetic clouds regain importance. A grain of $1~\mu \rm m$ in radius is slightly deflected by magnetic could interaction, and a small grain of $0.02~ \mu\rm m$ is meanwhile expelled at a high degree of probability.

The grain radius is reduced by sputtering, rotational bursting, and sublimation close to the Sun. To find an expression for the dust flux that is caused by sudden magnetic perturbation only, the reduction of the grain radius should be taken into account in terms of a correction factor in future works.

References

  • Lepping, R. P., Jones, J. A., & Burlaga, L. F. 1990, J. Geophys. Res., 95, 957 [CrossRef]
  • Richardson, I. G., & Cane, H. V. 2003, J. Geophys. Res. 109, A09104, Academic Press 107, Icarus 134, 311 (1998)
  • Richardson, I. G., Liu, Y., & Belcher, J. W. 2005, NATO Science Series II: Mathematics, Physics and Chemistry, 178
  • Wimmer-Schweingruber, R. F., & Bochsler, P. 2003, Geophys. Res. Lett., 30, 1077 [NASA ADS] [CrossRef]
  • Wimmer-Schweingruber, R. F., Crooker, N. U., Balogh, A., et al. 2006, Space Sci. Rev., 123, 177 [NASA ADS] [CrossRef]

Footnotes

... surface[*]
Source surface: this imaginary surface separates the region of complex magnetic field structure close to the Sun, where both open and closed lines are present from the outer region with solely open field lines that point radially outwards.

All Figures

  \begin{figure}
\par\includegraphics[width=17cm,clip]{plot1.eps}
\vspace*{3mm}
\end{figure} Figure 1:

Effects of magnetic cloud encounters on the orbital evolution of charged dust grains. a): the basic configuration of the fluxropes orientation towards the particles orbital motion is displayed in Fig. 2 and refers to a fluxrope rotation angle of $0^{\circ }$. For rotation angles of $270^{\circ }$ ( $B_{\mbox{\tiny{ \it z}}}$-component pointing towards the image plane), and  $90^{\circ }$ ( $B_{\mbox{\tiny{ \it z}}}$-component pointing towards the reader) just the eccentricity changes. In all other cases the inclination changes too. b): 70-years enduring flight of a $1~\mu \rm m$-sized IDP. The orbital changes amount to $\Delta e=0.0043$ in eccentricity and $\Delta i=0.734^{\circ }$ in inclination after being hit by 3220 magnetic clouds. c): the inclination drift of charged IDP's as a function of the grain radius. When a dust grain is hit by a fluxrope with its axis of symmetry in the orbital plane, inclination reaches its maximum value. d): the point at which e = 1, is the ``blow-out distance'', $D\left (s\right )$. The gray curve shows the blow-out distance as a function of the grain radius as derived from simulations. The black line is the corresponding linear fit, which follows the law $D\left (s\right )=28.183s-0.308$.

Open with DEXTER
In the text

  \begin{figure}
\par\includegraphics[width=6.8cm]{plot2.eps}
\end{figure} Figure 2:

Basic configuration of particle injection into the fluxrope. The axial-symmetric component $B_\varphi $ causes a charged grain to leave at a different z-position, and the Bz-component adds velocity perpendicular to the z-axis.

Open with DEXTER
In the text


Copyright ESO 2009

Current usage metrics show cumulative count of Article Views (full-text article views including HTML views, PDF and ePub downloads, according to the available data) and Abstracts Views on Vision4Press platform.

Data correspond to usage on the plateform after 2015. The current usage metrics is available 48-96 hours after online publication and is updated daily on week days.

Initial download of the metrics may take a while.