| Issue |
A&A
Volume 508, Number 1, December II 2009
|
|
|---|---|---|
| Page(s) | 93 - 106 | |
| Section | Cosmology (including clusters of galaxies) | |
| DOI | https://doi.org/10.1051/0004-6361/200912486 | |
| Published online | 15 October 2009 | |
A&A 508, 93-106 (2009)
Mass functions and bias of dark matter halos
P. Valageas
Institut de Physique Théorique, CEA Saclay, 91191 Gif-sur-Yvette, France
Received 14 May 2009 / Accepted 8 October 2009
Abstract
Aims. We revisit the study of the mass functions and the bias of dark matter halos.
Methods. Focusing on the limit of rare massive halos, we point
out that exact analytical results can be obtained for the large-mass
tail of the halo mass function. This is most easily seen from a
steepest-descent approach, that becomes asymptotically exact for rare
events. We also revisit the traditional derivation of the bias of
massive halos, associated with overdense regions in the primordial
density field.
Results. We check that the theoretical large-mass cutoff agrees
with the mass functions measured in numerical simulations. For halos
defined by a nonlinear threshold
this corresponds to using a linear threshold
instead of the traditional value
1.686.
We also provide a fitting formula that matches simulations over all
mass scales and obeys the exact large-mass tail. Next, paying attention
to the Lagrangian-Eulerian mapping (i.e. corrections associated with
the motions of halos), we improve the standard analytical formula for
the bias of massive halos. We check that our prediction, which contains
no free parameter, agrees reasonably well with numerical simulations.
In particular, it recovers the steepening of the dependence on scale of
the bias that is observed at higher redshifts, which published fitting
formulae did not capture. This behavior mostly arises from nonlinear
biasing.
Key words: large-scale structure of Universe - methods: analytical - gravitation
1 Introduction
The distribution of nonlinear virialized objects, such as galaxies or clusters of galaxies, is a fundamental test of cosmological models. First, this allows us to check the validity of the standard cosmological scenario for the formation of large-scale structures, where nonlinear objects form thanks to the amplification by gravitational instability of small primordial density fluctuations, built for instance by an early inflationary stage (e.g., Peebles 1993; Peacock 1998). For cold dark matter (CDM) scenarios (Peebles 1982), where the amplitude of the initial perturbations grows at smaller scales, this gives rise to a hierarchical process, where increasingly large and massive objects form as time goes on, as increasingly large scales turn nonlinear. This process has been largely confirmed by observations, which find smaller galaxies at very high redshifts (e.g., Trujillo et al. 2007) while massive clusters of galaxies (which are the largest bound objects in the Universe) appear at low redshifts (e.g., Borgani et al. 2001). Second, on a more quantitative level, statistical properties, such as the mass function and the two-point correlation of these objects, provide strong constraints on the cosmological parameters (e.g. through the linear growth factor D+(t) of density perturbations) and on the primordial fluctuations (e.g. through the initial density power spectrum PL(k)). For these purposes, the most reliable constraints come from observations of the most massive objects (rare-event tails) at the largest scales. Indeed, in this regime the formation of large-scale structures is dominated by the gravitational dynamics (baryonic physics, which involves intricate processes associated with pressure effects, cooling and heating, mostly occurs at galactic scales and below), which further simplifies as one probes quasi-linear scales or rare events where effects associated with multiple mergings can be neglected. Moreover, in this regime astrophysical objects, such as galaxies or clusters of galaxies, can be directly related to dark matter halos, and their abundance is highly sensitive to cosmological parameters thanks to the steep decline of the high-mass tail of the mass function (e.g., Evrard 1989).
Thus, the computation of the halo mass function (and especially its large-mass
tail) has been the focus of many works, as it is one of the main properties
measured in galaxy and cluster surveys that can be compared with theoretical
predictions. Most analytical derivations follow the Press-Schechter approach
(Press & Schechter 1974; Blanchard et al. 1992) or its main extension,
the excursion set theory
of Bond et al. (1991). In this framework, one attempts to estimate the
number of virialized objects of mass M from the probability to have a linear
density contrast
at scale M above some given threshold
.
Thus, one identifies current nonlinear halos from positive density fluctuations
in the initial (linear) density field, on a one-to-one basis.
This is rather well justified for rare massive objects, where one can
expect such a link to be valid since such halos should have remained well-defined
objects until now (as they should have suffered only minor mergers).
By contrast, small and typical objects have experienced many mergers and
should be sensitive to highly non-local effects (e.g. tidal forces, mergers),
so that such a direct link should no longer hold, as can be checked in
numerical simulations (Bond et al. 1991).
As noticed by Press & Schechter (1974), the simplest procedure only yields
half the mass of the Universe in such objects (essentially because only half
of the Gaussian initial fluctuations have a positive density contrast, whatever
the smoothing scale), which they corrected by an ad-hoc multiplicative factor 2.
In this respect the main result of the excursion set theory was to
provide an analytical derivation of this missing factor 2, in the simplified
case of a top-hat filter in Fourier space (Bond et al. 1991).
Then, it arises from the fact
that objects of mass larger than M are associated with configurations
such that the linear density contrast goes above the threshold
at some scale
,
which includes cases missed by the Press-Schechter
prescription where the linear density contrast decreases below this
scale M' so that
at scale M (``cloud-in-cloud'' problem).
The characteristic threshold
is usually taken as the linear
density contrast reached when the spherical collapse dynamics predicts collapse
to a zero radius. In an Einstein-de Sitter universe this corresponds to
and to a nonlinear density contrast
(assuming full virialization in half the turn-around radius).
This linear threshold only shows a very weak dependence on cosmological parameters.
Numerical simulations have shown that the Press-Schechter mass function
(PS) is reasonably accurate, especially in view of its simplicity.
Thus, it correctly predicts the typical mass scale of virialized halos
at any redshift, as could be expected since the large-mass behavior is
rather well justified. In addition, it predicts a universal scaling that appears
to be satisfied by the mass functions measured in simulations, that is,
the dependence on halo mass, redshift and cosmology is fully contained
in the ratio
,
where
is the rms linear
density fluctuation at scale M. However, as compared with numerical results
it overestimates the low-mass tail and it underestimates the high-mass tail.
This has led to many numerical studies which have provided various fitting
formulae for the mass function of virialized halos, written in terms of
the scaling variable
(or
)
(Sheth & Tormen 1999; Jenkins et al. 2001; Reed et al. 2003;
Warren et al. 2006; Tinker et al. 2008).
We may note here that a theoretical model that attempts to improve over the PS mass
function is to consider the ellipsoidal collapse dynamics within the excursion-set approach,
to take into account the deviations from spherical symmetry for intermediate mass
halos (Sheth et al. 2001). Note that, as described in the original paper (and emphasized in
Robertson et al. 2009), at large mass this would recover the spherical collapse.
However, the halo mass obtained by such methods is generally underestimated
for non center-of-mass particles (since analytical computations assume that particles
are located at the center of their halo, i.e. they only consider the linear densities within spherical
cells centered on the point of interest). To correct for this effect, in practice one treats
the threshold
as a free parameter, close to 1.6, to
build fitting formulae from numerical simulations. For instance, this correction is contained
in the parameter a in the exponential cutoff of Sheth et al. (2001).
A second property of virialized halos that can be used to constrain
cosmological models, beyond their number density, is their two-point
correlation. Indeed, observations show that galaxies and clusters do not
obey a Poisson distribution but show significant large-scale correlations
(e.g., McCracken et al. 2008; Padilla et al. 2004).
In particular, their two-point correlation roughly follows the underlying
matter correlation, up to a multiplicative factor b2, called the bias,
that grows for more massive and extreme objects. Following the spirit of
the Press-Schechter picture, Kaiser (1984) found that this behavior arises
in a natural fashion if halos are associated with large overdensities in the
Gaussian initial (linear) density field, above the threshold
.
This was further expanded by Bardeen et al. (1986) and Bond & Myers (1996),
who considered the clustering of peaks in the Gaussian linear density field.
A simpler derivation, based on a peak-background split argument, and
taking care of the mapping from Lagrangian to Eulerian space, was
presented in Mo & White (1996). It provides a prediction for the
bias b(M) as a function of halo mass, in the limit of large distance,
,
that agrees reasonably well with numerical simulations.
However, as for the PS mass function, in order to improve the agreement
with numerical results various fitting formulae have been proposed
(Sheth & Tormen 1999; Hamana et al. 2001; Pillepich et al. 2009).
Again, since the ellipsoidal collapse model reduces to the spherical dynamics
for rare massive halos, it also requires free parameters to improve its accuracy,
but the latter are consistent with those used for the mass function
(Sheth et al. 2001).
In this article we revisit the derivation of the mass function and the bias
of rare massive halos, following the spirit of the Press & Schechter (1974)
and Kaiser (1984) approaches. That is, we use the fact that large halos
can be identified from overdensities in the Gaussian initial (linear) density
field. First, we briefly review in Sect. 2 some
properties of the growth of linear fluctuations and of the spherical dynamics
in
CDM cosmologies. Next, we recall
in Sect. 3 that in the quasi-linear regime
(i.e. at large scales), the probability distribution
of the nonlinear density contrast
within spherical cells of radius
r can be obtained from spherical saddle-points of a specific action
,
for moderate values of
where shell-crossing does not come into play.
We also discuss the properties of these saddle-points as a function of mass,
scale and redshift. Then, we point out in Sect. 4 that
this provides the exact exponential tail of the halo mass function.
This applies to any nonlinear density contrast threshold
that is used
to define halos, provided it is below the upper bound
where
shell-crossing comes into play. We compare our results with numerical simulations
and we give a fitting formula that applies over all mass scales and satisfies
the exact large-mass cutoff. Next, we recall in Sect. 5
that these results also provide the density profile of dark matter halos
at outer radii (i.e. beyond the virial radius) in the limit of large mass.
Finally, we study the bias of massive halos in Sect. 6,
paying attention to some details such as the Lagrangian-Eulerian mapping, and
we compare our results with numerical simulations. We conclude in
Sect. 7.
2 Linear perturbations and spherical dynamics
We consider in this article a flat CDM cosmology with two components,
(i) a non-relativistic component (dark and baryonic matter, which we
do not distinguish here) that clusters through gravitational instability;
and (ii) an uniform dark energy component that does not cluster at the
scales of interest, with an equation-of-state parameter
.
For the numerical computations we shall focus on a
CDM cosmology, where the dark energy is associated with a cosmological
constant that is exactly uniform with w=-1. However, our results directly
extend to curved universes (i.e.
)
and to
dark energy models with a possibly time-varying w(z), as long as we can
neglect the dark energy fluctuations on the scales of interest, which is valid
for realistic cases.
Focussing on the case of constant w, we first recall in this section the
equations that describe the dynamics of the background and of linear matter
density perturbations, as well as the nonlinear spherical dynamics.
The evolution of the scale factor a(t) is determined
by the Friedmann equation (Wang & Steinhardt 1998),
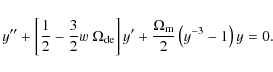
where subscripts 0 denote current values at z=0, when a=1, and a dot denotes the derivative with respect to cosmic time t. On the other hand, the density parameters vary with time as
Next, introducing the matter density contrast,
where the subscript L denotes linear quantities. For numerical purposes it is convenient to use the logarithm of the scale factor as the time variable. Then, using the Friedmann Eq. (1) the linear growth factor D+(t) evolves from Eq. (3) as
where we note with a prime the derivative with respect to
obeys
with the initial conditions
In the following we shall also need the dynamics of spherical density
fluctuations. For such spherically symmetric initial conditions, the physical
radius r(t), that contains the constant mass M until shell-crossing,
evolves as
Note that
As for the linear growth factor D+(t), it is convenient to introduce the normalized radius y(t) defined as
Thus, q(t) is the Lagrangian coordinate of the shell r(t), that is, the physical radius that would enclose the same mass M in a uniform universe with the same cosmology. This also implies that the density
Then, Eq. (8) leads to
Of course, we can check that in the linear regime, where
|
Figure 1:
The function
|
| Open with DEXTER | |
|
Figure 2:
The linear density contrast
|
| Open with DEXTER | |
We compare in Fig. 1 the function
obtained
at z=0 within the
CDM cosmology that we consider in this article (solid
line) with the Einstein-de Sitter case (dashed line), where it has a well-known
parametric form (Peebles 1980). As is well known, we can check that the
dependence on
is very weak until full collapse to a point, which occurs
at slightly lower values of
for low
.
We show in Fig. 2
the linear density contrasts,
,
associated with
three nonlinear density contrasts,
and 300, as a function
of the cosmological parameter
.
In agreement with
Fig. 1, they show a slight decrease for smaller
.
For
a simple fit (dashed line) is provided by
which agrees with the exact curve to better than
In this article we consider Gaussian initial fluctuations, which are fully
defined by the linear density power spectrum
where
where
We also introduce the smoothed density contrast,
with a top-hat window that reads in Fourier space as
Then, in the linear regime, the cross-correlation of the smoothed linear density contrast at scales r1 and r2 and positions
In particular,
3 Distribution of the density contrast
We recall here that in the quasi-linear limit,
,
the distribution
of the nonlinear density contrast
at scale r can be derived from a steepest-descent method (Valageas 2002a).
In agreement with the alternative approach of Bernardeau (1994a),
this shows that rare-event tails are dominated by spherical saddle-points,
which we use in Sects. 4-6 to obtain the
properties of massive halos.
Since the system is statistically homogeneous we can consider the sphere of
radius r centered on the origin
.
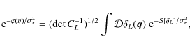
Then, we first introduce the cumulant generating function
,
which determines the distribution
In Eq. (19) we rescaled the cumulant generating function by a factor
Then, the average (19) can be written as the path integral
where CL-1 is the inverse matrix of the two-point correlation (15) and the action
Here
In the quasi-linear limit,
,
as shown in Valageas (2002a)
the path integral (22) is dominated by the minimum
of the action
,
Using the spherical symmetry of the top-hat window W, in agreement with the approach of Bernardeau (1994a), one obtains a spherical saddle-point with the radial profile
where
where the function
We can note that the profile (25) is also the mean conditional
profile of the linear density contast
,
under the constraint
that is it equal to a given value
at a given radius q
(e.g., Bernardeau 1994a). The reason why the nonlinear dynamics gives back
this result is that the nonlinear density contrast
only depends
on the linear density contrast
at the associated Lagrangian
radius q, through the mapping
.
Indeed, as long
as shell-crossing does not modify the mass enclosed within the shell of
Lagrangian coordinate q, its dynamics is independent of the motion of
inner and outer shells (thanks to Gauss theorem). Then, in order to obtain
the minimum of the action
we could proceed in two steps. First,
for arbitrary Lagrangian radius q and linear contrast
,
we minimize
with respect to the profile
over
.
From the previous argument, only the second Gaussian term in (23)
varies so that this partial minimization leads to the profile (25)
(indeed, for Gaussian integrals the saddle-point method is exact).
Second, we minimize over the Lagrangian radius q (or equivalently over
or
), which leads to Eq. (29) below.
Here we also use the fact that a spherical saddle-point with respect to
spherical fluctuations is automatically a saddle-point with respect to
arbitrary non-spherical perturbations and it can be seen that for small y one obtains a minimum (then we assume that at finite ystrong deviations from spherical symmetry do not give rise to deeper minima,
which seems natural from physical expectations).
We refer to Valageas (2002a, 2009b) for more detailed derivations.
Note that the shape of the linear
profile (25) depends on the shape of the linear power spectrum,
whence on the mass scale M of the saddle point for a curved CDM
linear power spectrum, but not on redshift.
We show in Fig. 3 the profile (25) obtained for
several masses M. For a power-law linear power spectrum, of slope n,
Eq. (25) leads to
at large
radii,
.
Then, since for a CDM cosmology n increases
at larger scales, the profile shows a steeper falloff at large radii for
larger mass, in agreement with Fig. 3 (in this section we
consider a
CDM cosmology with
).
|
Figure 3:
The radial profile (25) of the linear density contrast
|
| Open with DEXTER | |
|
Figure 4:
The Lagrangian map
|
| Open with DEXTER | |
We show in Fig. 4 the Lagrangian map,
,
given by the spherical dynamics (i.e. the function
where
we neglect shell-crossing) for the saddle-point (25), with
a nonlinear density contrast
at the Eulerian radius r,
at redshift z=0.
Inner shells have already gone once through the center but they have not
reached radius r yet. Even though their dynamics is no longer exactly given
by Eq. (11), an exact computation would give the same property as
the increasing mass seen by these particles, as they pass outer shells, should
slow them down as compared with the constant-mass dynamics.
In agreement with Fig. 3, for larger masses, which have a larger
central linear density contrast, shell-crossing has moved to larger radii
(the local maximum of r'/r, to the left of r'=0, is higher).
|
Figure 5:
The nonlinear density contrast |
| Open with DEXTER | |
From the Lagrangian map,
,
we define the nonlinear density
threshold,
,
as the nonlinear density contrast
reached
within radius r at the time when inner shells first cross this radius r.
Then, up to
,
the mass within the Lagrangian shell q has remained
constant, so that the saddle-point (25)-(26) is exact
(this slightly underestimates
as the expansion of inner shells
should be somewhat slowed down by the mass of the outer shells they have
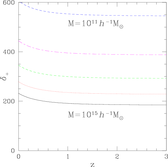
overtaken). We show in Fig. 5 the dependence on redshift
of this threshold
,
for several masses. In agreement with
Figs. 3, 4, this threshold is smaller for larger
masses.
It shows a slight decrease at higher redshift as
grows to unity.
We can see that for massive clusters at z=0, which have a mass of order
,
the density contrast
should
separate outer shells with radial accretion from inner shells with a significant
transverse velocity dispersion, built by the radial-orbit instability that
dominates the dynamics after shell-crossing, see Valageas 2002b (in particular
the Appendix A). This agrees with numerical simulations, see for instance the
lower panel of Fig. 3 in Cuesta et al. (2008), which show that rare massive
clusters exhibit a strong radial infall pattern, with a low velocity dispersion,
beyond the virial radius (where
), while inner radii show
a large velocity dispersion (even though we can distinguish close to the virial
radius the outward velocity associated with the shells that have gone once
through the center).
Small-mass halos do not show such a clear infall pattern and the velocity
dispersion is significant at all radii (e.g., upper panel of Fig. 3 in
Cuesta et al. 2008). This expresses the fact that such halos, associated with
typical events and moderate density fluctuations, are no longer governed
by the spherical saddle-point (25). Indeed, at low mass and small
Lagrangian radius q,
is no longer very small so that the
path integral (22) is no longer dominated by its minimum and one
must integrate over all typical initial conditions, including large deviations
from spherical symmetry.
Next, the amplitude
and the minimum
are given as functions of y by the implicit equations (Legendre transform)
where the function
The system (27) also reads as
Note that the function
Thus, in the quasi-linear limit, the distribution
That is,
The asymptotic (30) holds in the rare-event limit.
This corresponds to both the quasi-linear limit,
at
fixed density contrast
,
and to the low-density limit,
at fixed
,
as long as there is no
shell-crossing. This latter requirement gives a lower boundary
,
for linear power spectra with a slope n>-1, and an upper boundary
,
for any linear spectrum (Valageas 2002b).
This upper boundary was shown in Fig. 5 for a
CDM
cosmology, for several masses.
Indeed, at large positive density contrast, shell-crossing always occurs,
as seen in Figs. 4 and 5.
This invalidates the mapping
obtained
from Eq. (11), as mass is no longer conserved within the Lagrangian
shell q, so that the asymptotic behavior (30) is no longer exact.
In fact, as shown in Valageas (2002b), after shell-crossing it is no longer
sufficient to follow the spherical dynamics, even if we take into account
shell-crossing. Indeed, a strong radial-orbit instability develops so that the
sensitivity to initial perturbations actually diverges when particles cross
the center of the halo. Then, the functional
is
singular at such spherical states (i.e. it is discontinuous as infinitesimal
deviations from spherical symmetry lead to a finite change of
)
and the path integral (22) is no longer governed by spherical states
that have a zero measure. As noticed above, this
also means that, in the limit of rare massive halos, the nonlinear density
threshold
separates outer shells with a smooth radial flow
from inner shells with a significant transverse velocity dispersion.
Thus,
marks the virialization radius where isotropization of the
velocity tensor becomes important, in agreement with numerical simulations
(e.g., Cuesta et al. 2008).
It is interesting to note that a similar approach can be developed for
the ``adhesion model'' (Gurbatov et al. 1989), where particles move according
to the Zeldovich dynamics (Zeldovich 1970) but do not cross because of
an infinitesimal viscosity (i.e. they follow the Burgers dynamics in the
inviscid limit). Moreover, in the one-dimensional case, with a linear
power-spectrum slope n=-2 or n=0 (i.e. the linear velocity is a Brownian
motion or a white noise), it is possible to derive the exact distribution
by other techniques and to check that it agrees with the
asymptotic tail (30), as seen in Valageas (2009a,b).
4 Mass function of collapsed halos
The quasi-linear limit (30) of the distribution
clearly governs the large-mass tail of the mass function
,
where we define halos as spherical objects with a fixed density contrast
.
Indeed, since the Lagrangian radius q is related to the
halo mass by
,
massive halos correspond to large Eulerian
and Lagrangian radii, and the limit
corresponds to the
quasi-linear limit
.
Then, going from the distribution
to the mass function n(M) can introduce geometrical
power-law prefactors since halos are not exactly centered on the cells of a
fixed grid, as discussed in Betancort-Rijo & Montero-Dorta (2006),
but the exponential cutoff remains the same as in Eq. (30), whence
where
with
The mass function (34) includes the usual prefactor 2 that gives the normalization
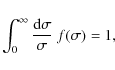
which ensures that all the mass is contained in such halos. However, we must note that the power-law prefactor in (34) has no strong theoretical justification since only the exponential cutoff (32) was exactly derived from (30). In principle, it could be possible to derive subleading terms (whence power-law prefactors) in the quasi-linear limit for
Here we can note that in the Press-Schechter approach (and in most models)
the mass function (34) is obtained from the linear density reached within
the sphere centered on each mass element. That is, a particle is assumed to
be part of a halo of mass larger than M if the sphere of mass M (or a sphere
of mass larger than M in the excursion set approach of Bond et al. 1991),
centered on this particle, has a linear density contrast above a threshold
.
As pointed out
in Sheth et al. (2001), and discussed in their Sect. 3, since all particles
are not located at the center of their parent halo, the correct criteria should rather
be that the particle belongs to a sphere, not necessarily centered on this point, of
mass greater than M, that has collapsed by the redshift of interest. Within the
excursion set approach of Bond et al. (1991), this means that one should consider
the first-crossing distributions associated with center-of-mass particles, rather
than with randomly chosen particles, as argued in Sheth et al. (2001).
Then, the latter suggest that this could modify the numerical factor in the exponential
tail of the mass function, that is, lead to a smaller factor
in Eq. (32)
than the one associated with spherical (or ellipsoidal) collapse dynamics.
We point out here that this effect should only give subleading corrections to the
tail (32), so that the factor
in Eq. (32) remains exactly given
by the spherical collapse dynamics.
This can be seen from the fact that the same effect would apply to the density
probability distribution
,
as randomly placed cells of radius r are
typically not centered on halo profiles. Nevertheless, the results
(27)-(31) are exact in the quasi-linear limit (as can also be checked
by the comparison with standard perturbation theory for the cumulant generating
function
), and off-center effects would be included in the subleading
terms, computed as usual by expanding the path integral (22) around its
saddle-point, which would typically give the power-law prefactor to the tail (30). In terms of the halo mass function itself, this point was also studied
in
Betancort-Rijo & Montero-Dorta (2006), who found as expected that at large mass
such a geometrical factor only modifies that power-law prefactor.
As for the probability distribution
,
it is interesting to
note that a similar high-mass tail can be derived for the ``adhesion model'',
where halos are defined as zero-size objects (shocks). Again, in the
one-dimensional case, for both n=-2 and n=0, where the exact mass function
can be obtained by other means, one can check that it agrees with the
analog of the asymptotic tail (32) (Valageas 2009a,b,c).
Thus, we can check that in these two non-trivial examples the leading-order terms
for the large-mass decays of
and n(m) are exactly set by
saddle-point properties and are not modified by the off-center effects discussed
above.
We can note that the explanation of the large-mass tail (32)
by the exact asymptotic result of the steepest-descent method described in
Sect. 3 agrees nicely with numerical simulations.
This is most clearly seen in Figs. 3 and 6 of Robertson et al. (2009),
who trace back the linear density contrast
of the Lagrangian
regions that form halos at z=0. Their results show that the distribution
of linear contrasts
,
measured as a function of mass
(or of
), has a roughly constant lower bound
,
with
,
and an upper bound
that grows with
.
We must note however that the difference between 1.59 and 1.6754(which would be the standard threshold in their
CDM cosmology
with
)
is too small to discriminate both values from the results
shown in their figures, so that these numerical simulations alone do not
give the asymptotic value
to better than about 0.2.
They obtain the same results when they define halos
by nonlinear density contrasts
or
,
with a lower
bound
that grows somewhat with
.
In terms of the approach
described above, this behavior expresses the fact that the most probable
way to build a massive halo of nonlinear density contrast
is
to start from a Lagrangian region of linear density contrast
,
which obeys the spherical profile (25)
and corresponds to the saddle-point of the action (23). As recalled
in Sect. 3, the path integral (22) is
increasingly sharply peaked around this initial state at large mass scales,
which explains why the dispersion of linear density contrasts
measured in the simulations decreases with
.
At smaller mass,
one is sensitive to an increasingly broad region around the saddle-point,
which mostly includes non-spherical initial fluctuations. Since these initial
conditions are less efficient to concentrate matter in a small region
one needs a larger linear density contrast
to reach the same
nonlinear threshold
within the Eulerian radius r, which is why
the distribution is not symmetric and mostly broadens by increasing its
typical upper bound
.
In principles, it may be possible to estimate
the width of this distribution, at large masses, by expanding the action
around its saddle-point.
|
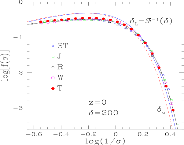
Figure 6:
The mass function at redshift z=0 of halos defined by the nonlinear
density contrast
|
| Open with DEXTER | |
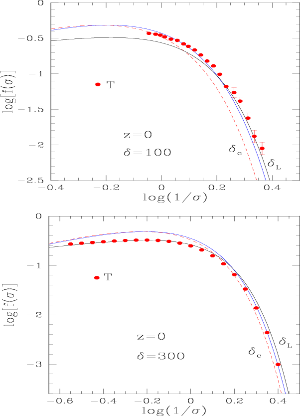
We compare in Fig. 6 the prediction (34) (solid
line labeled as
)
with results from numerical
simulations, for the nonlinear threshold
at redshift z=0.
In our case, this corresponds to a linear density contrast
,
that is obtained from Fig. 2
or the fit (12).
As in Sect. 3, we consider a
CDM cosmology
with
.
This corresponds to the cosmological parameters of the largest-box numerical
simulations of Tinker et al. (2008), which allow the best comparison with the
theoretical predictions, as they also define halos by the density
threshold
with a spherical-overdensity algorithm.
The numerical results are the fits to the mass function given in
Sheth & Tormen (1999) (``ST''), Jenkins et al. (2001) (``J''),
Reed et al. (2003) (``R''), Warren et al. (2006) (``W'') and
Tinker et al. (2008) (``T''). Note that these mass functions are defined in
slightly different fashions, using either a spherical-overdensity or
friends-of-friends algorithm, and density contrast thresholds that vary
somewhat about
.
However, they agree rather well, as the dependence
on
is rather weak. This can be understood from
Fig. 1, which shows that around
the linear
density contrast
has a very weak dependence
on
.
We also plot the usual Press-Schechter prediction (dashed line labeled
), that amounts to replace
by
in
Eq. (34) (since
at z=0). We can see that using the exact value
significantly improves the agreement with numerical
simulations at large masses. Note that there are no free parameters in
Eq. (34). Of course, at small masses the mass function (34)
closely follows the usual Press-Schechter prediction and shows the same level
of disagreement with numerical simulations. This is expected since only the
exponential cutoff (32) has been exactly derived from
Sect. 3. Since at large masses the power-law
prefactor
in Eq. (34) is also unlikely to be correct,
as discussed above, we give a simple fit that matches the numerical simulations
from small to large masses (solid line that runs through the simulation points)
while keeping the exact exponential cutoff:
with
At higher redshift or for other
Thus, we suggest that mass functions of virialized halos should be
defined with a fixed nonlinear density threshold, such as
,
and fits to numerical simulations should use the exact exponential cutoff
of Eq. (32), with the appropriate linear density contrast
,
rather than treating this as a free parameter.
This would automatically ensure that the large mass tail has the right form
(up to subleading terms such as power-law prefactors), as emphasized by the
reasonable agreement with simulations of Eq. (34) at large masses.
Moreover, it is best no to introduce unnecessary free parameters that
become partly degenerate. Here we must note that Barkana (2004) had already
noticed that, taking the spherical collapse at face value and defining halos
by a nonlinear threshold
(he chose
), one should
use the linear threshold
for the Press-Schechter
mass function. Unfortunately, noticing that the value of
given
by fits to numerical simulations was even lower, he concluded that this was
not sufficient to reconcile theoretical predictions with numerical results.
As shown by Fig. 6, this is not the case, as the
parameter
used in fitting formulae is partly degenerate with
the exponents of the power-law prefactors, so that it is possible to match
numerical simulations while satisfying the large-mass tail (32).
Of course, the actual justification of the asymptote (32) is
provided by the analysis of Sect. 3, which
shows that below the upper bound
the spherical collapse is indeed
relevant and asymptotically correct at large masses, as it corresponds to
the saddle-point of the action (23).
Note that the result (32) also implies that the mass function
is not exactly universal, since the mapping
shows a (very) weak dependence on
cosmological parameters, see Fig. 2.
Using the exact tail (32) should also improve the robustness of
the mass function with respect to changes of cosmological parameters and
redshifts.
|
Figure 7:
The mass functions at z=0 of halos defined by the nonlinear density
contrasts
|
| Open with DEXTER | |
Next, we compare in Fig. 7 the mass functions obtained
at z=0 for the density thresholds
and
with the
numerical simulations from Tinker et al. (2008), who also considered these
density thresholds. We show the usual Press-Schechter mass function (dashed line)
and the results obtained from Eqs. (34) and (36)
(solid lines), with now
and
.
We can see that the large mass tail remains
consistent with the simulations, but for the case
it seems that the
shape of the mass function at low and intermediate masses is modified and
cannot be absorbed through the rescaling of
.
It appears to follow
Eq. (34) rather than the fit (36), but this is likely to
be a mere coincidence. We should note that Fig. 5 shows
that
for massive halos, so that shell-crossing should be
taken into account and the tail (32) is no longer exact for
,
although it should still provide a reasonable approximation,
as checked in Fig. 7. Thus, even though
Tinker et al. (2008) also studied higher density thresholds, we do not consider
such cases here as the tail (32) no longer applies.
5 Halo density profile
|
Figure 8:
The density profile of rare massive halos, for several masses M.
For each mass the redshift is such that
|
| Open with DEXTER | |
As for the mass function n(M), the analysis of
Sect. 3 shows that the density profile of rare
massive halos is given by the spherical saddle-point (25),
see also Barkana (2004) and Prada et al. (2006).
This holds for halos selected by some nonlinear density threshold
in the limit of rare events, provided shell-crossing has not occurred beyond
the associated radius r. In particular, this only applies to the outer part
of the halo since in the inner part, at
,
shell-crossing must be
taken into account. Then, as discussed in Sect. 3,
a strong radial-orbit instability comes into play and modifies the profile
in this inner region, as deviations from spherical symmetry govern the dynamics
and the virialization process (Valageas 2002b).
We compare in Fig. 8 the nonlinear density profile obtained
from Eq. (25) with fits to numerical simulations. We plot the
overdensity within radius r',
,
as a function
of radius r. This is again obtained from Eq. (25) with the mapping
and
.
Since this only applies to the limit of rare events, we choose for each mass M a redshift z such that
.
Thus, smaller masses are
associated with higher redshifts. The results do not significantly
depend on the precise value of the criterium used to define rare events,
here
.
The points in Fig. 8 are the results
obtained from a Navarro et al. profile (Navarro et al. 1997, NFW),
or an Einasto profile (Einasto 1965),
For the NFW profile, the characteristic radius rs is obtained from the concentration parameter, c(M,z)=r/rs, where as in the previous sections r is the Eulerian radius where
We can check in Fig. 8 that our results agree reasonably well
with these fits to numerical simulations over the range where both predictions
are valid. Note that our prediction has no free parameter, since it is given
by the saddle-point profile (25).
At large radii we recover the mean
density of the Universe, while the numerical profiles
(38)-(39) go to zero, but this is an artefact of the
forms (38)-(39), that were designed to give a sharp boundary
for the halos and are mostly used for the high-density regions.
For a study of numerical simulations at outer radii, see Figs. 8 and 10 of
Prada et al. (2006) which recover the mean density of the Universe at large
scales.
At small radii, the second branch that makes a turn somewhat below r is
due to shell-crossing that makes the function
bivaluate. Below
the maximum shell-crossing radius, for each Eulerian radius r' there are
two Lagrangian radii q', a large one that corresponds to shells that are
still falling in, and a smaller one that corresponds to shells that have
already gone once through the center (note that in agreement with
Fig. 4, shell-crossing appears at slightly smaller relative radii
for smaller mass).
Then, the theoretical prediction only holds to the right of this second branch,
where there is only one branch and no shell-crossing.
Note that the theoretical prediction (25) explicitly shows that the
halo density profiles are not universal. Within the phenomenological fits
(38)-(39) this is parameterized through the dependence
on mass and redshift of the concentration parameter and of the exponent
.
However, we can see that over the regime where Eq. (25)
applies the local slope of the halo density is
,
which
explains the validity of the fits (38)-(39) in this domain.
Unfortunately, our approach cannot shed light on the inner density profile,
where
,
which is the region of interest for most
practical applications of the fits (38)-(39).
The same approach, based on the spherical collapse, was studied in greater details in Betancort-Rijo et al. (2006) and Prada et al. (2006). They consider the ``typical'' profile (25) that we study here, as well as ``mean'' and ``most probable'' profiles. In agreement with the steepest-descent approach of Sect. 3, they find that the most probable profile closely follows the typical profile (25) and they obtain a good match with numerical simulations for massive halos, paying particular attention to outer radii. Therefore, we do not further discuss halo profiles here.
6 Halo bias
In addition to their multiplicity and their density profile, a key property of virialized halos is their two-point correlation function. At large scales it is usually proportional to the matter density correlation, up to a multiplicative factor b2, called the bias of the specific halo population. We revisit in this section the derivation of the bias of massive halos, following Kaiser (1984), and we point out that paying attention to some details it is possible to reconcile the theoretical predictions with numerical simulations, without introducing any free parameter.
As seen in the previous sections, rare massive halos can be identified with
rare spherical fluctuations in the initial (linear) density field.
More precisely, as in Sect. 3 we may consider
the bivariate density distribution,
,
of the
density contrasts
,
in the spheres of radii r1,r2,
centered at points
.
Thus, we introduce as in Eq. (19)
the double Laplace transform
,
where
Then, for rare events the tail of the distribution
where
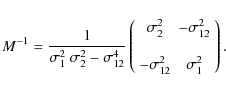
where M is the linear covariance matrix,
Here we defined from Eq. (18),
This yields
Next, defining the real-space halo correlation
| (47) |
which also gives the conditional probability,
|
(48) |
we write
where the mass of each halo is given by
where r=x12 and
At large separation,
,
we are in the linear regime, so that the matter correlation reads as
,
and the local density contrast
is small and close to the linear density contrast
.
Note that this is the density contrast at Lagrangian radius s, and not the mean density contrast within radius s. Therefore,
it is related to Eq. (25) by
|
(51) |
whence
with
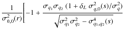
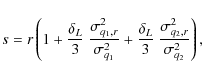
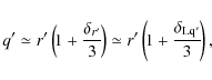
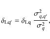
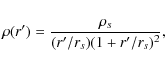
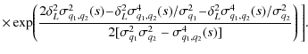
Then, from Eq. (50), the bias of halos defined by the same linear threshold,
For equal-mass halos this simplifies as
Note that the argument of the exponential is not necessarily small, as stressed in Politzer & Wise (1984). Indeed, we only assumed a large separation limit, i.e.
Finally, we must express the
Lagrangian separation s in terms of the Eulerian distance r.
At lowest order we again consider each halo as a test particle that falls into
the potential well built by the other halo (i.e. we neglect backreaction
effects). Then, from the analysis of Sect. 3 and the
linear profile (25), we know that a test particle at Lagrangian
distance q' from one halo has moved to position r', according to the
mapping (26). Using Eq. (25) this gives at first order
|
(56) |
since at large distance we have
where again we only kept the first-order term and we took into account the displacements of both halos. Together with Eq. (54), or Eq. (55), this defines our prediction for the bias of massive collapsed halos. Note that this approach also applies to the cross-correlation between different redshifts.
At large separation,
,
and fixed mass
(i.e. fixed
), we may linearize the bias
(55) over
as
For large masses, where
Thus we recover the result of Kaiser (1984) and Mo & White (1996), except for the multiplicative factor
which provides a simple explicit expression for s.
|
Figure 9:
The halo bias |
| Open with DEXTER | |
We compare in Figs. 9-11 the bias obtained from Eqs. (55), (57), with fits to numerical simulations. We first show in Fig. 9 our prediction as a function of halo mass, at redshift z=0 and distance r=50 h-1 Mpc. This is typically the scale that is considered in numerical simulations to compute the large-scale bias, as b(r) is expected to be almost constant at large scales (Kaiser 1984; Mo & White 1996), see also Eq. (59). We also plot the standard theoretical prediction from Mo & White (1996) (dashed line). We can see that our result (55)-(57) agrees rather well with numerical simulations and the popular fit from Sheth et al. (2001). As expected, it follows the trend of the prediction from Mo & White (1996), since both derivations follow the spirit of Kaiser (1984) (i.e. one identifies halos from overdensities in the linear density field) and they agree at large scale for rare massive halos, up to a factor of order unity, as seen in Eq. (59). Note that Eqs. (55)-(57) only apply to the rare-event limit, as for small objects the approximations used in the derivation no longer apply. In particular, halos can no longer be considered as spherical isolated objects, and one should take into account merging effects. Note that this caveat also applies to other analytical approaches, such as Kaiser (1984) and Mo & White (1996). Then, our prediction should only be used for large masses, for instance such that b>1.
|
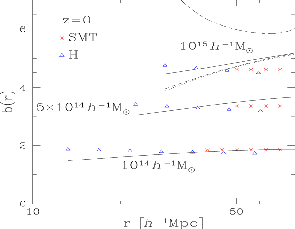
Figure 10:
The halo bias b(r), as a function of scale r, at redshift z=0 and
for several masses. The solid line is the theoretical prediction
(55)-(57). The crosses show the large-scale fit to numerical
simulations from Sheth et al. (2001), while the triangles show the fit
from Hamana et al. (2001). The dashed line is the linearized bias (58),
the dot-dashed line is the nonlinear bias (55) where we set
s=r while the dotted line uses Eq. (60)
(for
|
| Open with DEXTER | |
|
Figure 11:
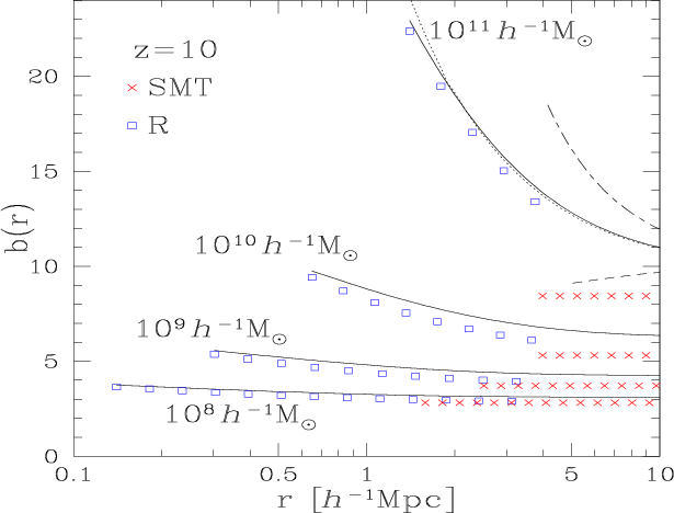
The halo bias b(r), as a function of scale r, at redshift z=10and for several masses. As in Fig. 10, the solid line is the
prediction (55)-(57), while the crosses show the large-scale fit
from Sheth et al. (2001), but the squares now show the fit to numerical
simulations from Reed et al. (2009). The dashed line is the linearized
bias (58), the dot-dashed line is the nonlinear bias (55)
where we set s=r while the dotted line uses Eq. (60)
(for
|
| Open with DEXTER | |
Next, we compare in Fig. 10 the dependence on r of the
bias (55)-(57) with the fit to numerical simulations from
Hamana et al. (2001) (using their cosmological parameters).
The crosses are the large-scale limit given by Sheth et al. (2001)
and we only plot our prediction (solid lines) down to scale r=2q,
since it should only apply to large halo separations.
We can see that the scale-dependence that we obtain is opposite to the one
observed in the simulations. However, both are very weak and the prediction
(55)-(57) may still lie within error bars of numerical results.
For the largest mass,
,
we also plot for illustration
the linearized bias (58) (lower dashed line), and the nonlinear bias (55) where we set s=r (upper dot-dashed line) or we use
Eq. (60) (lower dotted line).
As expected, at very large scales the linearized bias (58) agrees with
the nonlinear expression (55). Using the simpler Eq. (60)
also gives the same results at large scales, but the Lagrangian to Eulerian
mapping still gives a non-negligible correction as shown by the upper
dot-dashed line where we set s=r. In any case, it is always best
to use the full expression (55)-(57).
We compare in Fig. 11 our results at high redshift,
z=10, with the fit to numerical simulations from Reed et al. (2009)
(using their cosmological parameters). Again, the crosses are the large-scale
limit of Sheth et al. (2001) and we only plot our prediction
(solid lines) down to scale r=2q. For
we also
plot the linearized bias (58) (lower dashed line), and the nonlinear bias (55) where we set s=r (upper dot-dashed line) or we use
Eq. (60) (dotted line).
As noticed in Reed et al. (2009), the scale-dependence is much steeper than the
one found at small redshifts and it is not consistent with the fits obtained at
low z in Hamana et al. (2001) or Diaferio et al. (2003).
This was interpreted as a breakdown of universality for massive halos at high
redshift by Reed et al. (2009).
However, we can see that our prediction (55)-(57)
agrees reasonably well with their numerical results.
Therefore, the change of behavior of the bias b(r) between the two regimes
studied in Figs. 10 and 11 can be understood
from the standard picture of massive halos arising from rare overdensities
in the initial (linear) Gaussian density field, by using the same
theoretical prediction (55)-(57) that applies to any z.
We can note that the linearized bias (58),
or the approximation s=r, show strong deviations in this regime and
disagree with the simulations. Therefore, one should use the nonlinear bias
(55)-(57) (but using Eq. (60) gives similar results)
and one cannot neglect the correction due to the Lagrangian to Eulerian
mapping that is associated with
.
On the other hand, the comparison
with the result from (58) shows that the steep dependence
on scale is due to the nonlinear term in (55), i.e. keeping the
exponential factor. Indeed, as noticed below Eq. (55), and in
Politzer & Wise (1984), the derivation of the bias presented above only
assumes a large separation between very massive (rare) halos, that is,
and
.
Therefore, for sufficiently massive objects (that correspond to a large bias),
the variance
can be small enough to make the exponent in
Eq. (55) of order unity or larger. Then, one needs to keep the nonlinear
expression (55) rather than expanding the exponential as in
Eq. (58). As noticed below Eq. (55), this implies a nonlinear
biasing scheme as the halo correlation is not proportional to the matter
correlation but shows a steeper scale dependence. Within the local bias
framework (Fry & Gaztanaga 1993; Mo et al. 1997), this could be interpreted
as non-zero higher order bias parameters bi in the expansion
.
However, the bias (55) cannot be exactly reduced to such a model (but one could certainly
derive within such a framework a good approximation to Eq. (55),
restricted to some larger scale R, by using Eq. (60), writing the
correlations
and
in terms of
,
expanding over
and finally smoothing
over the external scale R of interest).
We should stress here that our prediction (55)-(57) has no free parameter. This can lead to a slightly larger inaccuracy as compared with fits to simulations in the regime where the latter have been tested, as in Fig. 10, but this improves the robustness of the predictions as one consider other regimes (e.g. other cosmological parameters or other redshifts as in Fig. 11). Therefore, we think that Eqs. (55)-(57) could provide a useful alternative to current fitting formulae, as they can be readily applied to any set of cosmological parameters or redshifts.
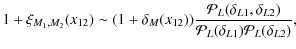
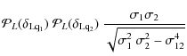
Finally, we show in Fig. 12 the bias ratio
b2(M1,M2)/[b(M1)b(M2)], as a function of the mass ratio M2/M1,
at fixed geometrical mean
.
We consider several mass scales M, at distance and redshift
(solid lines)
and
(dashed lines). This shows that making
the factorized approximation,
,
can lead to an error of up to
for a mass ratio
.
Therefore, it is best to use the full Eq. (54).
|
Figure 12:
The ratio
b2(M1,M2)/[b(M1)b(M2)], from Eqs. (54)
and (55), at fixed geometrical mean
|
| Open with DEXTER | |
7 Conclusion
We have pointed out in this article that the large-mass exponential tail
of the mass function of collapsed halos is exactly known, provided halos
are defined as spherical overdensities above a nonlinear density contrast
threshold
(i.e. using a spherical overdensity algorithm in terms of
numerical simulations). This arises from the fact that massive rare
events are governed by (almost) spherical fluctuations in the initial (linear)
Gaussian density field (if one does not explicitly breaks statistical isotropy
by looking for non-spherical quantities).
This is most easily seen from a steepest-descent
approach, which becomes asymptotically exact in the large-scale limit,
applied to the action
associated with the probability distribution
of the nonlinear density contrast within spherical cells.
This result holds for any nonlinear threshold
used to define halos,
provided it is below an upper bound
that marks the point where
shell-crossing comes into play. For a standard
CDM cosmology,
typically grows from 200 to 600 as one goes from
to
(which also corresponds
to increasing redshift). This dependence on mass is due to the change of
slope of the linear power spectrum with scale.
We have also noted that in two similar systems, the one-dimensional adhesion
models with Brownian or white-noise initial (linear) velocity,
the same method can be used for both the density distribution
and the mass function n(M), and one can check that this yields rare-event
tails that agree with the exact distributions, which can be derived
by other techniques (Valageas 2009a,b).
Therefore, defining collapsed halos by a threshold
to follow
the common practice, the large-mass tail of the halo mass function
is of the form e
,
up to subleading prefactors
such as power laws, where
is the linear density
contrast associated to
through the spherical collapse dynamics.
In particular, we obtain
for
.
We checked that this value, which is slightly lower than the
commonly used value of
associated with complete collapse,
gives a good match with numerical simulations (at large masses) when we simply
use the Press-Schechter functional form. We also give a fitting formula,
which obeys this exact exponential cutoff, that agrees with simulations over
all mass scales.
We suggest that halos should be defined by such a nonlinear density threshold
(i.e. friends-of-friends algorithms are not so clearly related to theoretical
computations) and fits to numerical simulations should use this exact
exponential tail, rather than treating
as a free parameter.
This would avoid introducing unnecessary degeneracies between fitting parameters
and it would make the fits more robust.
Next, we have briefly recalled that in the large-mass limit the outer density
profile of collapsed halos is given by the radial profile of the relevant
spherical saddle-point. This applies to radii beyond the density
threshold
,
where shell-crossing comes into play. In agreement with numerical
simulations, for rare massive halos this separates an outer region dominated
by a radial flow from an inner region where virialization takes place
and a strong transverse velocity dispersion quickly builds up. We have recalled
that this can be explained from a strong radial-orbit instability, which implies
that infinitesimal deviations from spherical symmetry are sufficient to
govern the dynamics.
Finally, following the approach of Kaiser (1984), we have obtained an analytical
formula for the bias of massive halos that improves the match with numerical
simulations. In particular, it captures the steepening of the scale dependence
that is observed for large-mass halos at higher redshifts. This requires
keeping the bias in its nonlinear form and taking care of the
Lagrangian-Eulerian mapping. We also note that using a factorization
approximation,
,
may lead to non-negligible
inaccuracies. We stress that this analytical estimate of the bias contains
no free parameter. Although this can yield a match to numerical simulations
that is not as good as fitting formulae derived from the same set of simulations,
it provides a more robust prediction for general cases, as shown by the
good agreement obtained at both low and high redshifts (z=0 and z=10),
whereas published fitting formulae cannot reproduce both cases.
We think this makes such a model useful for cosmological purposes, where it is
desirable to have versatile analytical estimates that follow the correct trends
as one varies cosmological parameters or redshifts.
In particular, the scale-dependence of the bias of massive halos has recently
been proposed as a test of primordial non-Gaussianity (e.g., Dalal et al. 2008),
which requires robust theoretical models.
Our results are exact (for the mass function) or are expected to provide a good approximation (for the bias) in the limit of rare massive halos. However, this remains of interest as large-mass tails are also the most sensitive to cosmological parameters (e.g., through the linear growth factor and the primordial powerspectrum), thanks to their steep dependence on mass or scale. Moreover, we think that more general fitting formulae (such as the one we provide for the mass function) should follow such theoretical predictions in their relevant limits, so as to reduce the number of free parameters and improve their robustness.
References
- Bardeen, J., Bond, J. R., Kaiser, N., & Szalay, A. S. 1986, ApJ, 304, 15 [NASA ADS] [CrossRef]
- Barkana, R. 2004, MNRAS, 347, 59 [NASA ADS] [CrossRef]
- Bernardeau, F. 1994a, ApJ, 427, 51 [NASA ADS] [CrossRef]
- Bernardeau, F. 1994b, A&A, 291, 697 [NASA ADS]
- Bernardeau, F., Colombi, S., Gaztanaga, E., & Scoccimarro, R. 2002, Phys. Rep., 367, 1 [NASA ADS] [CrossRef]
- Betancort-Rijo, J. E., & Montero-Dorta, A. D. 2006, ApJ, 650, L95 [NASA ADS] [CrossRef]
- Betancort-Rijo, J. E., Sanchez-Conde, M. A., Prada, F., & Patiri, S. G. 2006, ApJ, 649, 579 [NASA ADS] [CrossRef]
- Blanchard, A., Valls-Gabaud, D., & Mamon, G. A. 1992, A&A, 264, 365 [NASA ADS]
- Bond, J. R., & Myers, S. T. 1996, ApJS, 103, 1 [NASA ADS] [CrossRef]
- Bond, J. R., Cole, S., Efstathiou, G., & Kaiser, N. 1991, ApJ, 379, 440 [NASA ADS] [CrossRef]
- Borgani, S., Rosati, P., Tozzi, P., et al. 2001, ApJ, 561, 13 [NASA ADS] [CrossRef]
- Cuesta, A. J., Prada, F., Klypin, A., & Moles, M. 2008, MNRAS, 389, 385 [NASA ADS] [CrossRef]
- Dalal, N., Dore, O., Huterer, D., & Shirokov, A. 2008, Phys. Rev. D, 77, 123514 [NASA ADS] [CrossRef]
- Diaferio, A., Nusser, A., Yoshida, N., & Sunyaev, R. 2003, MNRAS, 338, 433 [NASA ADS] [CrossRef]
- Dolag, K., Bartelmann, M., Perrotta, F., et al. 2004, A&A, 416, 853 [NASA ADS] [CrossRef] [EDP Sciences]
- Duffy, A. R., Schaye, J., Kay, S. T., & Dalla Vecchia, C. 2008, MNRAS, 390, L64 [NASA ADS]
- Efstathiou, G., Frenk, C. S., White, S. D. M., & Davis, M. 1988, MNRAS, 235, 715 [NASA ADS]
- Einasto, J. 1965, Alma-Ata, 51, 87
- Evrard, A. E. 1989, ApJ, 341, L71 [NASA ADS] [CrossRef]
- Fry, J. N., & Gaztanaga, E. 1993, ApJ, 413, 447 [NASA ADS] [CrossRef]
- Gao, L., Navarro, J., Cole, S., et al. 2008, MNRAS, 387, 536 [NASA ADS] [CrossRef]
- Gurbatov, S. N., Saichev, A. I., & Shandarin, S. F. 1989, MNRAS, 236, 385 [NASA ADS]
- Hamana, T., Yoshida, N., Suto, Y., & Evrard, A. E. 2001, ApJ, 561, L143 [NASA ADS] [CrossRef]
- Jenkins, A., Frenk, C. S., White, S. D. M., et al. 2001, MNRAS, 321, 372 [NASA ADS] [CrossRef]
- Kaiser, N. 1984, ApJ, 284, L9 [NASA ADS] [CrossRef]
- McCracken, H. J., Ilbert, O., Mellier, Y., et al. 2008, A&A, 479, 321 [NASA ADS] [CrossRef] [EDP Sciences]
- Mo, H. J., & White, S. D. M. 1996, MNRAS, 282, 347 [NASA ADS]
- Mo, H. J., Jing, Y. P., & White, S. D. M. 1997, MNRAS, 284, 189 [NASA ADS]
- Navarro, J., Frenk, C., & White, S. 1997, ApJ, 490, 493 [NASA ADS] [CrossRef]
- Padilla, N. D., Baugh, C. M., Eke, V. R., et al. 2004, MNRAS, 352, 211 [NASA ADS] [CrossRef]
- Peacock, J. A. 1998, Cosmological Physics (Cambridge University Press)
- Peebles, P. J. E. 1980, The large-scale structure of the universe (Princeton University Press)
- Peebles, P. J. E. 1982, ApJ, 263, L1 [NASA ADS] [CrossRef]
- Peebles, P. J. E. 1993, Principles of Physical Cosmology (Princeton University Press)
- Pillepich, A., Porciani, C., & Hahn, O. 2009 [arXiv:0811.4176]
- Politzer, H. D., & Wise, M. B. 1984, ApJ, 285, L1 [NASA ADS] [CrossRef]
- Prada, F., Klypin, A. A., Simonneau, E., et al. 2006, ApJ, 645, 1001 [NASA ADS] [CrossRef]
- Press, W. H., & Schechter, P. 1974, ApJ, 187, 425 [NASA ADS] [CrossRef]
- Reed, D., Gardner, J., Quinn, T., et al. 2003, MNRAS, 346, 565 [NASA ADS] [CrossRef]
- Reed, D. S., Bower, R., Frenk, C. S., Jenkins, A., & Theuns, T. 2009, MNRAS, 394, 624 [NASA ADS] [CrossRef]
- Robertson, B. E., Kravtsov, A. V., Tinker, J., & Zentner, A. R. 2009 [arXiv:0812.3148]
- Sheth, R. K., & Tormen, G. 1999, MNRAS, 308, 119 [NASA ADS] [CrossRef]
- Sheth, R. K., Mo, H. J., & Tormen, G. 2001, MNRAS, 323, 1 [NASA ADS] [CrossRef]
- Tinker, J., Kravtsov, A. V., Klypin, A., et al. 2008, ApJ, 688, 709 [NASA ADS] [CrossRef]
- Trujillo, I., Conselice, C. J., Bundy, K., et al. 2007, MNRAS, 382, 109 [NASA ADS] [CrossRef]
- Valageas, P. 2002a, A&A, 382, 412 [NASA ADS] [CrossRef] [EDP Sciences]
- Valageas, P. 2002b, A&A, 382, 450 [NASA ADS] [CrossRef] [EDP Sciences]
- Valageas, P. 2009a, J. Stat. Phys., 134, 589 [NASA ADS] [CrossRef]
- Valageas, P. 2009b, Phys. Rev. E, 80, 016305 [NASA ADS] [CrossRef]
- Valageas, P. 2009c [arXiv:0903.0956]
- Wang, L., & Steinhardt, P. J. 1998, ApJ, 508, 483 [NASA ADS] [CrossRef]
- Warren, M. S., Abazajian, K., Holz, D. E., & Teodoro, L. 2006, ApJ, 646, 881 [NASA ADS] [CrossRef]
- Zeldovich, Y. B. 1970, A&A, 5, 84 [NASA ADS]
Footnotes
- ... minimum
- As described in details in Valageas (2002a), depending on the slope of the linear power spectrum the saddle-point (25) may only be a local minimum or maximum, but it still governs the rare-event limit, in agreement with physical expectations.
- ...
displacements
- For instance, let us consider a large system which can
be subdivided into cells of two classes,
,
with matter
densities
and volume fractions
,
and
,
.
Then, from the conservation of
volume (
)
and mass (
),
we obtain in the limits
and
,
.
All Figures
|
Figure 1:
The function
|
| Open with DEXTER | |
| In the text | |
|
Figure 2:
The linear density contrast
|
| Open with DEXTER | |
| In the text | |
|
Figure 3:
The radial profile (25) of the linear density contrast
|
| Open with DEXTER | |
| In the text | |
|
Figure 4:
The Lagrangian map
|
| Open with DEXTER | |
| In the text | |
|
Figure 5:
The nonlinear density contrast |
| Open with DEXTER | |
| In the text | |
|
Figure 6:
The mass function at redshift z=0 of halos defined by the nonlinear
density contrast
|
| Open with DEXTER | |
| In the text | |
|
Figure 7:
The mass functions at z=0 of halos defined by the nonlinear density
contrasts
|
| Open with DEXTER | |
| In the text | |
|
Figure 8:
The density profile of rare massive halos, for several masses M.
For each mass the redshift is such that
|
| Open with DEXTER | |
| In the text | |
|
Figure 9:
The halo bias |
| Open with DEXTER | |
| In the text | |
|
Figure 10:
The halo bias b(r), as a function of scale r, at redshift z=0 and
for several masses. The solid line is the theoretical prediction
(55)-(57). The crosses show the large-scale fit to numerical
simulations from Sheth et al. (2001), while the triangles show the fit
from Hamana et al. (2001). The dashed line is the linearized bias (58),
the dot-dashed line is the nonlinear bias (55) where we set
s=r while the dotted line uses Eq. (60)
(for
|
| Open with DEXTER | |
| In the text | |
|
Figure 11:
The halo bias b(r), as a function of scale r, at redshift z=10and for several masses. As in Fig. 10, the solid line is the
prediction (55)-(57), while the crosses show the large-scale fit
from Sheth et al. (2001), but the squares now show the fit to numerical
simulations from Reed et al. (2009). The dashed line is the linearized
bias (58), the dot-dashed line is the nonlinear bias (55)
where we set s=r while the dotted line uses Eq. (60)
(for
|
| Open with DEXTER | |
| In the text | |
|
Figure 12:
The ratio
b2(M1,M2)/[b(M1)b(M2)], from Eqs. (54)
and (55), at fixed geometrical mean
|
| Open with DEXTER | |
| In the text | |
Copyright ESO 2009
Current usage metrics show cumulative count of Article Views (full-text article views including HTML views, PDF and ePub downloads, according to the available data) and Abstracts Views on Vision4Press platform.
Data correspond to usage on the plateform after 2015. The current usage metrics is available 48-96 hours after online publication and is updated daily on week days.
Initial download of the metrics may take a while.




![\begin{figure}
\par\includegraphics[width=8.5cm,clip]{12486f5.ps}
\end{figure}](/articles/aa/full_html/2009/46/aa12486-09/Timg129.png)






