| Issue |
A&A
Volume 508, Number 1, December II 2009
|
|
|---|---|---|
| Page(s) | 421 - 432 | |
| Section | The Sun | |
| DOI | https://doi.org/10.1051/0004-6361/200912529 | |
| Published online | 08 October 2009 | |
A&A 508, 421-432 (2009)
Nonlinear force-free coronal magnetic field modelling and preprocessing of vector magnetograms in spherical geometry
T. Tadesse1,2 - T. Wiegelmann1 - B. Inhester1
1 - Max-Planck-Institut für Sonnensystemforschung, Max-Planck-Strasse 2, 37191 Katlenburg-Lindau, Germany
2 - Addis Ababa University, College of Education, Department of Physics
education, PO Box 1176, Addis Ababa, Ethiopia
Received 19 May 2009 / Accepted 16 September 2009
Abstract
Context. Knowledge about the coronal magnetic field is
important to the understanding of many phenomena, such as flares and
coronal mass ejections. Routine measurements of the solar magnetic
field vector are traditionally carried out in the photosphere. We
compute the field in the higher layers of the solar atmosphere from the
measured photospheric field under the assumption that the corona is
force-free. However, those measured data are inconsistent with the
above force-free assumption. Therefore, one has to apply some
transformations to these data before nonlinear force-free extrapolation
codes can be applied.
Aims. Extrapolation codes of cartesian geometry for medelling
the magnetic field in the corona do not take the curvature of the Sun's
surface into account. Here we develop a method for nonlinear force-free
coronal magnetic field medelling and preprocessing of photospheric
vector magnetograms in spherical geometry using the optimization
procedure.
Methods. We describe a newly developed code for the
extrapolation of nonlinear force-free coronal magnetic fields in
spherical coordinates over a restricted area of the Sun. The program
uses measured vector magnetograms on the solar photosphere as input and
solves the force-free equations in the solar corona. We develop a
preprocessing procedure in spherical geometry to drive the observed
non-force-free data towards suitable boundary conditions for a
force-free extrapolation.
Results. We test the code with the help of a semi-analytic
solution and assess the quality of our reconstruction qualitatively by
magnetic field line plots and quantitatively with a number of
comparison metrics for different boundary conditions. The reconstructed
fields from the lower boundary data with the weighting function are in
good agreement with the original reference fields. We added artificial
noise to the boundary conditions and tested the code with and without
preprocessing. The preprocessing recovered all main structures of the
magnetogram and removed small-scale noise. The main test was to
extrapolate from the noisy photospheric vector magnetogram with and
without preprocessing. The preprocessing was found to significantly
improve the agreement between the extrapolated and the exact field.
Key words: Sun: corona - Sun: magnetic fields - methods: numerical - Sun: photosphere
1 Introduction
The magnetic field in the solar corona dominates over non-magnetic forces such as plasma pressure and gravity because of low plasma beta (Gary 2001). Knowledge of the coronal magnetic field is therefore important in understanding the structure of the coronal plasma and obtaining insights into dynamical processes such as flares and coronal mass ejections. Routine measurements of the solar magnetic field are still mainly carried out in the photosphere. Therefore, one has to infer the field strength in the higher layers of the solar atmosphere from the measured photospheric field based on the assumption that the corona is force-free. The extrapolation methods involved in this assumption include potential field extrapolation (Semel 1967; Schmidt 1964), linear force-free field extrapolation (Chiu & Hilton 1977; Semel 1988; Clegg et al. 2000; Seehafer 1982,1978), and nonlinear force-free field extrapolation (Mikic & McClymont 1994; Demoulin et al. 1992; Amari et al. 1997; Sakurai 1981; Roumeliotis 1996; Wheatland 2004; Amari et al. 2006,1999; Wu et al. 1990; Cuperman et al. 1991; Valori et al. 2005; Yan & Sakurai 2000; Wiegelmann 2004).
Among these, the nonlinear force-free field has the most realistic description of the coronal magnetic field. The computation of nonlinear force-free fields is however, more challenging for several reasons. Mathematically, problems regarding the existence and uniqueness of various boundary value problems dealing with nonlinear force-free fields remain unsolved (see Amari et al. 2006, for details). Another issue is their numerical analysis of given boundary values. An additional complication is to derive the boundary data from observed photospheric vector magnetic field measurements, which are consistent with the force-free assumption. High noise in the transverse components of the measured field vector, ambiguities regarding the field direction, and non-magnetic forces in the photosphere complicate the task of deriving suitable boundary conditions from measured data. For a more complete review of existing methods for computing nonlinear force-free coronal magnetic fields, we refer to the review papers by Amari et al. (1997), Schrijver et al. (2006), Metcalf et al. (2008), and Wiegelmann (2008).
The magnetic field is not force-free in either the photosphere or the lower chromosphere
(with the possible exception of sunspot areas, where the field is strongest). Furthermore,
measurement errors, in particular for the transverse field components (e.g. perpendicular to the line of sight
of the observer), would destroy the compatibility of a magnetogram with the condition of being force-free.
One way to ease these problems is to preprocess the magnetograph data as suggested by Wiegelmann et al. (2006).
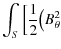
The vector components of the total magnetic force and the total magnetic torque on the volume considered are given by six
boundary integrals that must vanish if the magnetic field is force-free in the full
volume (Low 1985; Molodensky 1969; Aly 1989,1984).
The preprocessing changes the boundary values of
within the error margins of the measurement in such
a way that the moduli of the six boundary integrals are minimized. The resulting boundary values are expected to be more
suitable for an extrapolation into a force-free field than the original values.
In the practical calculations, the convergence properties of the preprocessing iterations, as
well as the calculated fields themselves, are very sensitive to small-scale noise and apparent discontinuities in
the photospheric magnetograph data. This problem should, in principle, disappear if small spatial scales were
sufficiently resolved.
However, the numerical effort for that would be enormous. The small-scale fluctuations in the magnetograms
are also presumed to affect the solutions only in a very thin boundary layer close to the
photosphere (Fuhrmann et al. 2007). Therefore, smoothing of the data is included in the preprocessing.
The good performance of the optimization method, as indicated in Schrijver et al. (2006), encouraged us to develop a spherical version of the optimization code such as in Wiegelmann (2007) for a full sphere. In the first few sections of this paper, we describe a newly developed code that originates from a cartesian force-free optimization method implemented by Wiegelmann (2004). Our new code takes the curvature of the Sun's surface into account when modeling the coronal magnetic field in restricted area of the Sun. The optimization procedure considers six boundary faces, but in practice only the bottom boundary face is measured. On the other five faces, the assumed boundary data may have a strong influence on the solution. For this reason, it is desirable to move these faces as far away as possible from the region of interest. This, however, eventually requires that the surface curvature is taken into account.
DeRosa et al. (2009) compared several nonlinear force-free codes in cartesian geometry with stereoscopic reconstructed loops as produced by Aschwanden et al. (2008). The codes used as input vector magnetograms from the Hinode-SOT-SP, which were unfortunately available for only a very small field of view (about 10 percent of the area spanned by STEREO-loops). Outside the Hinode FOV (field of view) line-of-sight magnetograms from SOHO/MDI were used and in the MDI-area, different assumptions about the transversal magnetic field were made. Unfortunately, the comparison inferred that when different codes were implemented in the region outside the Hinode-FOV in different ways, the resulting coronal magnetic field models produced by the separate codes were not consistent with the STEREO-loops. The recommendations of the authors are that one needs far larger high resolution vector magnetograms, the codes need to account for uncertainties in the magnetograms, and one must have a clearer understanding of the photospheric-to-corona interface. Full disc vector magnetograms will soon become available with SDO/HMI, but for a meaningful application we have to take the curvature of the Sun into account and carry out nonlinear force-free computations in spherical geometry. In this paper, we carry out the appropriate tests. We investigate first ideal model data and later data that contain artificial noise. To deal with noisy data and data with other uncertainties, we developed a preprocessing routine in spherical geometry. While preprocessing does not model the details of the interface between the forced photosphere and the force-free base of the solar corona the procedure helps us to find suitable boundary conditions for a force-free modelling from measurements with inconsistencies.
In this paper, we develop a spherical version of both the preprocessing and the optimization code for restricted part of the Sun. We follow the suggestion of Wiegelmann et al. (2006) to generalize their method of preprocessing photospheric vector magnetograms to spherical geometry just by considering the curvature of the Sun's surface for larger field of views. The paper is organized as follows: in Sect. 2, we describe an optimization procedure in spherical geometry; then, in Sect. 3, we apply it to a known nonlinear force-free test field and calculate some figures of merit for different boundary conditions. We derive force-free consistency criteria and describe the preprocessing procedure in spherical geometry in Sects. 4 and 5, respectively. In Sect. 6, we use a known semi-analytic force-free model to check our method and in Sect. 5, we apply the method to different noise models. Finally, in Sect. 7, we draw conclusions and discuss our results.
2 Optimization procedure
Stationary states of the magnetic field configuration are described by the requirement that the Lorentz force be zero. Optimization procedure is one of several methods that have been developed over the past few decades to compute the most general class of those force-free fields.
2.1 Optimization principle in spherical geometry
Force-free magnetic fields must obey the equations
Equations (1) and (2) can be solved with the help of an optimization principle, as proposed by Wheatland et al. (2000) and generalized by Wiegelmann (2004) for cartesian geometry. The method minimizes a joint measure
where
It is obvious that the force-free Eqs. (1) and (2) are fulfilled when
equals zero. For fixed boundary conditions, the functional
in Eq. (3) can be numerically minimized with the help of the iteration
where
The field on the outer boundaries is always fixed here as Dirichlet boundary conditions. Relaxing these boundaries is possible (Wiegelmann & Neukirch 2003) and leads to additional terms. For
The theoretical deviation of the iterative Eq. (4) as outlined by Wheatland et al. (2000) does not depend on the use of a specific coordinate system. Previous numerical implementations of this method were demonstrated by Wiegelmann (2007) for the full sphere. Within this work, we use a spherical geometry, but for only a limited part of the sphere, e.g., large active regions, several (magnetically connected) active regions and full disc computations. Full disc vector magnetograms should become available soon from SDO/HMI. This kind of computational box will become necessary when the observed photospheric vector magnetogram becomes available for only parts of the photosphere.
We use a spherical grid r,
,
with nr,
,
grid points in the
direction of radius, latitude, and longitude, respectively. We normalize the magnetic field with the average radial magnetic
field on the photosphere and the length scale with a solar radius.
The method works as follows:
- 1.
- we compute an initial source surface potential field in the computational domain from Br in the photosphere at
;
- 2.
- we replace
and
at the bottom photospheric boundary at
with
the measured vector magnetogram. The outer radial and lateral
boundaries are unchanged from the initial potential field model. For
the purpose of code testing, we also tested different boundary
conditions (see next section);
- 3.
- we iterate for a force-free magnetic field in the computational box by minimizing the functional L of Eq. (3) by applying Eq. (4). For each iteration step (k), the vector field
is calculated from the known field
,
and a new field may simply be computed as
for
sufficiently small
;
- 4.
- the continuous form of Eq. (4) ensures a monotonically decreasing functional L. For finite
time steps, this is also ensured if the iteration time step
is sufficiently small. If
,
this step is rejected and we repeat this step with
reduced by a factor of 2;
- 5.
- after each successful iteration step, we increase
by
a factor of 1.01 to ensure a time step as large as possible within
the stability criteria. This ensures an iteration time step close to
its optimum;
- 6.
- the iteration stops if
becomes too small. As a stopping criteria, we use
.
2.2 Figures of merit
To quantify the degree of agreement between vector fields
(for the input
model field) and
(the NLFF model solutions) specified on identical sets
of grid points, we use five metrics that compare either local characteristics (e.g.,
vector magnitudes and directions at each point) or the global energy content in
addition to the force and divergence integrals as defined in Schrijver et al. (2006).
The vector correlation (
)
metric generalizes the standard correlation coefficient for scalar functions given by
where
The second metric,
is based on the Cauchy-Schwarz inequality (
for any vector
and
)
where N is the number of vectors in the field. This metric is mostly a measure of the angular differences between the vector fields:
We next introduce two measures of the vector errors, one normalized to the
average vector norm, one averaging over relative differences. The normalized vector error EN is defined as
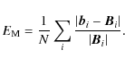
The mean vector error EM is defined as
Unlike the first two metrics, perfect agreement between the two vector fields results in EM = EN = 0.
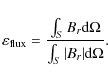
Since we are also interested in determining how well the models
estimate the
energy contained in the field, we use the total magnetic energy in the
model field normalized to the total magnetic energy in the input field
as a global measure of the quality of the fit
where
3 Test case and application to ideal boundary conditions
3.1 Test case
To test the method, a known semi-analytic nonlinear solution
is used. Low & Lou (1990)
presented a class of axisymmetric nonlinear force-free fields with a
multipolar character. The authors solved the Grad-Shafranov equation
for axisymmetric force-free fields in spherical coordinates r,
,
and
.
The magnetic field can be written in the form
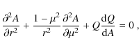
where A is the flux function and Q represents the
where
by looking for separable solutions of the form
Low & Lou (1990) suggested that these field solutions are the ideal solutions for testing methods of reconstructing force-free fields from boundary values. They have become a standard test for nonlinear force-free extrapolation codes in cartesian geometry (Amari et al. 2006; Schrijver et al. 2006; Wheatland et al. 2000; Amari et al. 1999; Wiegelmann & Neukirch 2003; Inhester & Wiegelmann 2006; Yan & Li 2006) because the symmetry in the solution is no longer obvious after a translation that places the point source outside the computational domain and a rotation of the symmetry axis with respect to the domain edges.
|
Figure 1: The figure shows the
original reference field, a potential field, and the results of a
nonlinear force-free reconstruction with different boundary conditions
(case 1-3, see text). The color coding shows Br on the photosphere and the disc centre corresponds to
|
| Open with DEXTER | |
Here we use a Low and Lou solution in spherical coordinates. The solution used is labelled
with
,
in Low & Lou's, notation (Low & Lou 1990). The original equilibrium
is invariant in
,
but we can produce a
-variation in our coordinate system by placing the origin of
the solution at l=0.25 solar radius position from the sun centre. The corresponding configuration
is then no longer symmetric in
with respect to the solar surface, as seen in the magnetic field map
in the top row of Fig. 3, which shows the three components Br,
,
and
on the photosphere,
respectively. We remark that we use the solution only for the purpose
of testing our code and the equilibrium is not assumed to be a
realistic model for the coronal magnetic field. We do the test runs on
spherical grids
of
and
grid points.
3.2 Application to ideal boundary conditions
Here we used different boundary conditions extracted from the Low and Lou model magnetic field.
- Case 1: the boundary fields are specified on V'(all the six boundaries
of V').
- Case 2: the boundary fields are only specified on the photosphere (the lower boundary of the physical domain V').
- Case 3: the boundary fields are only specified on the photosphere (the lower boundary of the physical domain V') and with boundary layers (at the buffer zone) of nd=6 grid points toward top and lateral boundaries of the computational box V.
For the boundary conditions in case 2, we used an optimization code without a weighting function (
)
and with a photospheric boundary. Here the boundaries of the physical
domain coincide with the computational boundaries.
The lateral and top boundaries assume the value of the potential field
during the iteration. Some low-lying field lines are represented quite
well (right-hand picture in Fig. 1
second row). The field lines close to the box center are of course
close to the bottom boundary
and far away from the other boundaries. The (observed) bottom boundary
has a
higher influence on the field here than the potential lateral and top
boundary. Other field lines, especially high-reaching field lines,
deviate from the analytic solution.
For the boundary condition in case 3, we implemented an optimization code with a weighting function of
grid points outside the physical domain. This reduces the effect of top and lateral boundaries where
is unknown as
drops from 1 to 0 outward across the boundary layer around the physical domain.
The comparison of the field lines of the Low & Lou model field with the reconstructed field of case 3 (the last picture in Fig. 1) shows that the quality of the reconstruction improves significantly with the use of the weighting function. Additionally, the size and shape of a boundary layer influences the quality of the reconstruction (Wiegelmann 2004) for cartesian geometry. The larger computational box displaces the lateral and top boundary further away from the physical domain and its influence on the solution consequently decreases. As a result, the magnetic field in the physical domain is dominated by the vector magnetogram data, which is exactly what is required for application to measured vector magnetograms. A potential field reconstruction obviously does not agree with the reference field. In particular, we are in able to compute the magnetic energy content of the coronal magnetic field to be approximately correct. The figures of merit show that the potential field is far away from the true solutions and contains only 67.6% of the magnetic energy.
Table 1: Quality of our reconstructions with several figures of merit as explained in Sect. 3.2.
The degree of convergence towards a force-free and divergence-free
model solution can be quantified by the integral measures of the
Lorentz force and divergence terms in the minimization functional in
Eq. (3), computed over the entire model volume V:
where
and Col. 6 lists the
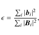
The next five columns of Table 1 contain different measurements comparing our reconstructed field with the semi-analytic reference field. The two vector fields agree perfectly if
A comparison of the original reference field (Fig. 1a) with our nonlinear force-free reconstructions (cases 1-3) shows that the magnetic field line plots agree with the original for case 1 and case 3 within the plotting precision. Case 2 shows some deviations from the original, but the reconstructed field lines are much closer to the reference field than the initial potential field.
|
Figure 2:
Evolution of
|
| Open with DEXTER | |
4 Consistency criteria in spherical geometry
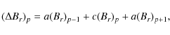
A more fundamental requirement of the boundary data is its consistency with the force-free field approximation. As shown by Molodensky (1969) and Aly (1989), a balance between the total momentum and angular momentum exerted onto the numerical box in cartesian geometry by the magnetic field leads to a set of boundary integral constraints on the magnetic field. These constraints should also be satisfied on the solar surface for the field at the coronal base in the vicinity of a sufficiently isolated magnetic region and in a situation where there is no rapid dynamical development. As explained in detail in Molodensky (1974), the sense of these relations is that on average a force-free field cannot exert a net tangential force on the boundary or shear stresses along axes lying along the boundary. In summary, the boundary data for the force-free extrapolation should fulfill the following conditions:
- 1.
- the boundary data should coincide with the photospheric observations within measurement errors;
- 2.
- the boundary data should be consistent with the assumption of a force-free magnetic field above;
- 3.
- for computational reasons (finite differences), the boundary data should be sufficiently smooth.
where S is the area of a bottom boundary of the physical domain on the photosphere.
Generally, the flux balance criterion must be applied to the entire, closed surface of the numerical box. However, we can only measure the magnetic field vector on the bottom photospheric boundary and the contributions of the lateral and top boundary remain unspecified. However, if a major part of the known flux from the bottom boundary is uncompensated, the final force-free magnetic field solution will depend markedly on how the uncompensated flux is distributed over the other five boundaries. This would result in a major uncertainty on the final force free magnetic field configuration. We therefore demand that the flux balance is satisfied with the bottom data alone (Wiegelmann & Inhester 2006). If this is not the case, we classify the reconstruction problem as not being uniquely solvable within the given box. Aly (1989) used the virial theorem to define the conditions that a vector magnetogram must fulfill to be consistent with the assumption of a force-free field above in cartesian geometry. Here in this paper, we assume the force-free and torque-free conditions for spherical geometry as formulated in Sakurai (1994), i.e.,
As with the flux balance, these criteria must in general, be applied to the entire surface of the numerical box. Since we assumed that the photospheric flux is sufficiently concentrated in the center and the net flux is in balance, we can expect the magnetic field on the lateral and top boundaries to remain weak and hence these surfaces do not represent a significant contribution to the integrals of the constraints above. We therefore impose the criteria on the bottom boundary alone. From this beginning, we use the following notation for simplicity:
To quantify the quality of the vector magnetograms with respect to the above criteria, we introduce three dimensionless parameters similar to those in Wiegelmann et al. (2006), but now for spherical geometry:
- 1.
- The flux balance parameter
- 2.
- The force balance parameter
=
- 3.
- The torque balance parameter
5 Preprocessing method
The strategy of preprocessing is to define a functional L of the boundary values of
The preprocessing scheme of Wiegelmann et al. (2006) involves
minimizing a two-dimensional functional of quadratic form similar to the following:
Here we write the individual terms in spherical co-ordinates as:
The surface integrals are replaced by a summation
The aim of our preprocessing procedure is to minimize L so that all terms Ln, if possible, become small simultaneously. This will yield a surface magnetic field:
Besides a dependence on the observed magnetogram, the solution in Eq. (25) now also depends on the coefficients
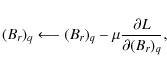
To obtain Eq. (30) by iteration, we need the derivative of L with respect to each of the three field components at
every node (q) of the bottom boundary grid. We have, however, taken into account that Br is measured with much higher accuracy than
and
.
This is achieved by assuming that the vertical component is invariable
compared to horizontal components in all terms where mixed products of
the vertical and horizontal field components occur, e.g., within the
constraints (Wiegelmann et al. 2006). The relevant functional derivatives of L are therefore
The optimization is performed iteratively by a simple Newton or Landweber iteration, which replaces
at every step. The convergence of this scheme towards a solution of Eq. (25) is obvious: L has to decrease monotonically at every step as long as Eqs. (26)-(28) have a nonzero component. These terms, however, vanish only if an extremum of L is reached. Since L is fourth order in B, this may not necessarily be a global minimum; in rare cases, if the step size is handled carelessly, it may even be a local maximum. In practical calculation, this should not, however, be a problem and from our experience we rapidly obtain a minimum
|
Figure 3:
Top row: vector magnetogram derive from the Low and Lou solution. From left to right the three components Br,
|
| Open with DEXTER | |
|
Figure 4: a) Some field lines for the original Low and Lou solution. b) Potential field reconstruction. c) Nonlinear force-free reconstruction from noisy data (noise model I) without preprocessing. d) Nonlinear force-free reconstruction from noisy data (noise model I) after preprocessing the vector magnetogram with our newly developed spherical code. |
| Open with DEXTER | |
6 Application to different noise-models
We extract the bottom boundary of the Low and Lou equilibrium and use it as input for our extrapolation code
(see Wiegelmann 2004). This artificial vector magnetogram (see first row of Fig. 3) extrapolated
from a semi-analytical solution is of course in perfect agreement with the assumption of a force-free field
above (Aly-criteria) and the result of our extrapolation code was in reasonable agreement with the original.
True measured vector magnetograms are not ideal (and smooth) of course, and we simulate this effect by adding noise
to the Low and Lou magnetogram (Wiegelmann et al. 2006). We add noise to this ideal solution in the
form:
Noise model I:
where nl is the noise level and rn a random number
in the range -1...1. The noise level was chosen to be
nl=10.0 for the transverse magnetic field
and nl=0.5 for Br. This mimics a real magnetogram (see the middle row of Fig. 3) with Gaussian noise and significantly higher noise in the transverse components of the magnetic field.
Noise model II:
where nl is the noise level and rn a random number in the range -1...1.
The noise level was chosen to be
nl=20.0 for the transverse magnetic field
and nl=1.0 for
Br). This noise model adds noise, independent of the local magnetic field strength.
Noise model III:
,
,
where we choose a constant noise level
of 1 and a minimum
detection level
.
This noise model mimics the effect in which the transverse noise level is higher in regions of low magnetic field strength (Wiegelmann et al. 2006).
Table 2: Figures of merit for the three different noise models with and without preprocessing along with model reference field and potential field.
The bottom row of Fig. 3 shows the preprocessed vector magnetogram (for noise model I) after applying our procedure. The aim of the preprocessing is to use the resulting magnetogram as input for a nonlinear force-free magnetic field extrapolation.
Figure 4 shows in panel a) the original Low and Lou solution and in panel b) a corresponding
potential field reconstruction. In Fig. 4 we present only the
inner region of the whole magnetogram (marked with black rectangular box in Fig. 3a) because the surrounding magnetogram
is used as a boundary layer (6 grid points) for our nonlinear force-free code. The computation was done on a
grid including a 6 pixel boundary layer towards the lateral and top boundary of the computational box V. In the remaining panels of Fig. 4,
we demonstrate the effect of the noise model (I) on the
reconstruction. The noise levels were chosen so that the mean noise was
similar for all three noise models. Figure 4c
shows a nonlinear force-free reconstruction with noisy data (noise
model I, magnetogram shown in the central panel of Fig. 3), and Fig. 4d presents a nonlinear force-free reconstruction after preprocessing (magnetogram shown
in the bottom panel of Fig. 3). After preprocessing (see Fig. 4d), we achieve far closer agreement with
the original solution (Fig. 4a). Field lines are plotted from the same photospheric footpoints in the positive polarity.
For the other noise models II and III, we find that the preprocessed data agree more closely with the original Fig. 4a. We check the correlation of the original solution with our reconstruction with help of the vector correlation function as defined in (9).
Table 2 confirms the visual inspection of Fig. 4. The correlation of the reconstructed magnetic field with the original improves significantly after preprocessing of the data for all noise models. We knew already from previous studies (Wiegelmann & Neukirch 2003; Wiegelmann 2004) that noise and inconsistencies in vector magnetograms have a negative influence on the nonlinear force-free reconstruction, and the preprocessing routine described in this paper shows us how to overcome these difficulties in the case of spherical geometry. As indicated by Fig. 5, the higher the noise level we have added to the original magnetogram, the smaller the vector correlation will be for the field reconstructed from the magnetogram with noise, compared with the reference field. However, the corresponding vector correlations for the field reconstructed from the preprocessed magnetogram has no significant change as the code largely removes the noise we have added to the original magnetogram with different noise levels.
|
Figure 5: Vector correlation plotted against noise level for noise model I. |
| Open with DEXTER | |
7 Conclusion and outlook
In this paper, we have developed and tested the optimization method for the reconstruction of nonlinear
force-free coronal magnetic fields in spherical geometry by restricting the code to limited parts of the Sun, as
suggested by Wiegelmann (2007).
The optimization method minimizes a functional consisting of a quadratic form of the force
balance and the solenoidal condition. Without a weighting function, all the six boundaries are equal
likely to influence the solution. The effect of top and lateral boundaries can be reduced by introducing a boundary layer
around the physical domain (Wiegelmann 2004).
The physical domain is a wedge-shaped area within which we reconstruct
the coronal magnetic field that is consistent with the photospheric
vector magnetogram data. The boundary layer replaces the hard lateral
and top boundary used previously. In the physical domain, the weighting
function
is unity. It drops monotonically in the boundary layer and reaches zero
at the boundary of the computational box. At the boundary of the
computational box, we set the field to have the value of the potential
field computed from Br
at the bottom boundary. Our test calculations show that a finite-sized
weighted boundary yields far more reliable results. The depth
of this buffer boundary influences the quality of reconstruction, since
the magnetic flux in these test cases is not concentrated well inside
the interior of the box.
In this work, we have presented a method for preprocessing vector magnetogram data to be able to use the preprocessing result as input for a nonlinear force-free magnetic field extrapolation with help of an optimization code in spherical geometry. We extended the preprocessing routine developed by Wiegelmann et al. (2006) to spherical geometry. As a first test of the method, we use the Low and Lou solution with added noise from different noise models. A direct use of the noisy photospheric data for a nonlinear force-free extrapolation showed no good agreement with the original Low and Lou solution, but after applying our newly developed preprocessing method we obtained a reasonable agreement with the original. The preprocessing method changes the boundary data within their noise limits to drive the magnetogram towards boundary conditions that are consistent with the assumption of a force-free field above. The transverse field components with higher noise level are modified more than the radial components.
To carry out the preprocessing, we use a minimization principle. On the one hand, we control the final boundary data to be as close as possible (within the noise level) to the original measured data, and the data are forced to fulfill the consistency criteria and be sufficiently smooth. Smoothness of the boundary data is required by the nonlinear force-free extrapolation code, but also necessary physically because the magnetic field at the basis of the corona should be smoother than in the photosphere, where it is measured. In addition to these, we found that adding a larger amount of noise to the magnetogram decreases its vector correlation with the model reference field whenever we reconstruct it without preprocessing.
We plan to use this newly developed code for future missions such as SDO (Solar Dynamic Observatory) when full disc magnetogram data become available.
AcknowledgementsTilaye Tadesse acknowledges a fellowship of the International Max-Planck Research School at the Max-Planck Institute for Solar System Research and the work of T. Wiegelmann was supported by DLR-grant 50 OC 453 0501. The authors would like to thank referee for his/her constructive and helpful comments.
Appendix A: Torque-balance equations
To solve the torque-balance equations in Eqs.(22)-(24), we
assume that the volume integral of torque in the computational box vanishes to fulfill the force-free criteria.
where the force
Substituting Eq. (A.2) into Eq. (A.1) and using vector identity
along with the Gauss divergence theorem we can find the following expression
The vector
since
Hence the torque balance along the x-component will be
where
Similarly one can obtain Eqs. (23) and (24).
Appendix B: Partial derivative of L
We derive the partial derivative of L4 with respect to each of the three magnetic field components in its discretized form as indicated in Eqs. (32)-(33).
We used a five-point stencil on the photospheric boundary for Laplace in L4. Those derivatives are carried out at
every node (q) of the bottom boundary grid. The partial derivative of Eq. (29) with respect to Br, for instance can be written as
We demonstrated the effect of the derivative by using the conventional Laplacian
and after substituting Eq. (B.2) into the derivative term in Eq. (B.1), we find
Therefore, using Eq. (B.3), we can reduce Eq. (B.1) to
One can similarly derive the partial derivative of L4 with respect to the other two field components.
References
- Aly, J. J. 1984, ApJ, 283, 349 [NASA ADS] [CrossRef]
- Aly, J. J. 1989, Sol. Phys., 120, 19 [NASA ADS] [CrossRef]
- Amari, T., Aly, J. J., Luciani, J. F., Boulmezaoud, T. Z., & Mikic, Z. 1997, Sol. Phys., 174, 129 [NASA ADS] [CrossRef]
- Amari, T., Boulmezaoud, T. Z., & Mikic, Z. 1999, A&A, 350, 1051 [NASA ADS]
- Amari, T., Boulmezaoud, T. Z., & Aly, J. J. 2006, A&A, 446, 691 [NASA ADS] [CrossRef] [EDP Sciences]
- Aschwanden, M. J., Wülser, J.-P., Nitta, N. V., et al. 2008, ApJ, 679, 827 [NASA ADS] [CrossRef]
- Chiu, Y. T., & Hilton, H. H. 1977, ApJ, 212, 873 [NASA ADS] [CrossRef]
- Clegg, J. R., Browning, P. K., Laurence, P., Bromage, B. J. I., & Stredulinsky, E. 2000, A&A, 361, 743 [NASA ADS]
- Cuperman, S., Demoulin, P., & Semel, M. 1991, A&A, 245, 285 [NASA ADS]
- Demoulin, P., Cuperman, S., & Semel, M. 1992, A&A, 263, 351 [NASA ADS]
- DeRosa, M. L., Schrijver, C. J., Barnes, G., et al. 2009, ApJ, 696, 1780 [NASA ADS] [CrossRef]
- Fuhrmann, M., Seehafer, N., & Valori, G. 2007, A&A, 476, 349 [NASA ADS] [CrossRef] [EDP Sciences]
- Gary, G. A. 2001, Sol. Phys., 203, 71 [NASA ADS] [CrossRef]
- Inhester, B., & Wiegelmann, T. 2006, Sol. Phys., 235, 201 [NASA ADS] [CrossRef]
- Low, B. C. 1985, NASA Conf. Publ., 2374, 49 [NASA ADS]
- Low, B. C., & Lou, Y. Q. 1990, ApJ, 352, 343 [NASA ADS] [CrossRef]
- Metcalf, T. R., Derosa, M. L., Schrijver, C. J., et al. 2008, Sol. Phys., 247, 269 [NASA ADS] [CrossRef]
- Mikic, Z., & McClymont, A. N. 1994, in Solar Active Region Evolution: Comparing Models with Observations, ed. K. S. Balasubramaniam, & G. W. Simon, ASP Conf. Ser., 68, 225
- Molodensky, M. M. 1969, Soviet Astron.-AJ, 12, 585 [NASA ADS]
- Molodensky, M. M. 1974, Sol. Phys., 39, 393 [NASA ADS] [CrossRef]
- Roumeliotis, G. 1996, ApJ, 473, 1095 [NASA ADS] [CrossRef]
- Sakurai, T. 1981, Sol. Phys., 69, 343 [NASA ADS] [CrossRef]
- Sakurai, T. 1994, in Solar Active Region Evolution: Comparing Models with Observations, ed. K. S. Balasubramaniam, & G. W. Simon, ASP Conf. Ser., 68, 307
- Schmidt, H. U. 1964, in The Physics of Solar Flares, 107
- Schrijver, C. J., Derosa, M. L., Metcalf, T. R., et al. 2006, Sol. Phys., 235, 161 [NASA ADS] [CrossRef]
- Seehafer, N. 1978, Sol. Phys., 58, 215 [NASA ADS] [CrossRef]
- Seehafer, N. 1982, Sol. Phys., 81, 69 [NASA ADS] [CrossRef]
- Semel, M. 1967, Ann. Astrophys., 30, 513 [NASA ADS]
- Semel, M. 1988, A&A, 198, 293 [NASA ADS]
- Valori, G., Kliem, B., & Keppens, R. 2005, A&A, 433, 335 [NASA ADS] [CrossRef] [EDP Sciences]
- Wheatland, M. S. 2004, Sol. Phys., 222, 247 [NASA ADS] [CrossRef]
- Wheatland, M. S., Sturrock, P. A., & Roumeliotis, G. 2000, ApJ, 540, 1150 [NASA ADS] [CrossRef]
- Wiegelmann, T. 2004, Sol. Phys., 219, 87 [NASA ADS] [CrossRef]
- Wiegelmann, T. 2007, Sol. Phys., 240, 227 [NASA ADS] [CrossRef]
- Wiegelmann, T. 2008, J. Geophys. Res. (Space Phys.), 113, 3
- Wiegelmann, T., & Inhester, B. 2006a, Sol. Phys., 236, 25 [NASA ADS] [CrossRef]
- Wiegelmann, T., & Neukirch, T. 2003, Nonlinear Processes in Geophysics, 10, 313 [NASA ADS]
- Wiegelmann, T., Inhester, B., & Sakurai, T. 2006b, Sol. Phys., 233, 215 [NASA ADS] [CrossRef]
- Wu, S. T., Sun, M. T., Chang, H. M., Hagyard, M. J., & Gary, G. A. 1990, ApJ, 362, 698 [NASA ADS] [CrossRef]
- Yan, Y., & Li, Z. 2006, ApJ, 638, 1162 [NASA ADS] [CrossRef]
- Yan, Y., & Sakurai, T. 2000, Sol. Phys., 195, 89 [NASA ADS] [CrossRef]
Footnotes
- ... vanishes
- See Appendix A for derivation of those torque-balance equations.
- ... therefore
- See Appendix B for partial derivative of L4 with respect to each of the three field components.
All Tables
Table 1: Quality of our reconstructions with several figures of merit as explained in Sect. 3.2.
Table 2: Figures of merit for the three different noise models with and without preprocessing along with model reference field and potential field.
All Figures
|
Figure 1: The figure shows the
original reference field, a potential field, and the results of a
nonlinear force-free reconstruction with different boundary conditions
(case 1-3, see text). The color coding shows Br on the photosphere and the disc centre corresponds to
|
| Open with DEXTER | |
| In the text | |
|
Figure 2:
Evolution of
|
| Open with DEXTER | |
| In the text | |
|
Figure 3:
Top row: vector magnetogram derive from the Low and Lou solution. From left to right the three components Br,
|
| Open with DEXTER | |
| In the text | |
|
Figure 4: a) Some field lines for the original Low and Lou solution. b) Potential field reconstruction. c) Nonlinear force-free reconstruction from noisy data (noise model I) without preprocessing. d) Nonlinear force-free reconstruction from noisy data (noise model I) after preprocessing the vector magnetogram with our newly developed spherical code. |
| Open with DEXTER | |
| In the text | |
|
Figure 5: Vector correlation plotted against noise level for noise model I. |
| Open with DEXTER | |
| In the text | |
Copyright ESO 2009
Current usage metrics show cumulative count of Article Views (full-text article views including HTML views, PDF and ePub downloads, according to the available data) and Abstracts Views on Vision4Press platform.
Data correspond to usage on the plateform after 2015. The current usage metrics is available 48-96 hours after online publication and is updated daily on week days.
Initial download of the metrics may take a while.
![\begin{figure}
\par\mbox{\subfigure[Original ]
{\includegraphics[bb=120 60 445 3...
...[bb=120 60 445 350,clip,height=5.0cm,width=6.5cm]{12529f1e.eps} }}\end{figure}](/articles/aa/full_html/2009/46/aa12529-09/Timg71.png)
![\begin{figure}
\par\includegraphics[height=5.5cm,width=6.7cm,clip]{12529f2a.eps}...
...eps} \includegraphics[height=5.5cm,width=6.7cm,clip]{12529f2c.eps}
\end{figure}](/articles/aa/full_html/2009/46/aa12529-09/Timg94.png)
![\begin{figure}
\par\mbox{\includegraphics[bb=91 105 470 355,clip,height=4.5cm,wi...
...phics[bb=91 45 470 74,clip,height=0.8cm,width=14.0cm]{12529f3g.eps}
\end{figure}](/articles/aa/full_html/2009/46/aa12529-09/Timg157.png)
![\begin{figure}
\par\mbox{\subfigure[Original reference field]
{\includegraphics[...
...a]
{\includegraphics[height=6.0cm,width=6cm,clip]{12529f4d.eps} }}\end{figure}](/articles/aa/full_html/2009/46/aa12529-09/Timg158.png)
![\begin{figure}
\par\includegraphics[height=6.5cm,width=8.5cm,clip]{12529fg5.eps}
\end{figure}](/articles/aa/full_html/2009/46/aa12529-09/Timg169.png)