| Issue |
A&A
Volume 508, Number 1, December II 2009
|
|
|---|---|---|
| Page(s) | 467 - 478 | |
| Section | Planets and planetary systems | |
| DOI | https://doi.org/10.1051/0004-6361/200912923 | |
| Published online | 08 October 2009 | |
A&A 508, 467-478 (2009)
Mass measurement of a single unseen star and planetary detection efficiency for OGLE 2007-BLG-050
V. Batista1,
- S. Dong2,
- A. Gould2,
- J. P. Beaulieu1,
- A. Cassan3,
- G. W. Christie25,
-
C. Han30,
- A. Udalski24,
and
W. Allen28 - D. L. DePoy2 - A. Gal-Yam29 - B. S. Gaudi2 -
B. Johnson32 - S. Kaspi43 - C. U. Lee35 - D. Maoz43 -
J. McCormick33 - I. McGreer31 - B. Monard28 - T. Natusch50 - E. Ofek34 - B.-G. Park35 - R. W. Pogge2 - D. Polishook43 -
A. Shporer43
(The
FUN Collaboration)
M. D. Albrow5 - D. P. Bennett4,
- S. Brillant6 - M. Bode7 - D. M. Bramich8 -
M. Burgdorf49,50 - J. A. R. Caldwell9 -
H. Calitz10 - A. Cole13 - K. H. Cook11 -
Ch. Coutures12 - S. Dieters1,13 -
M. Dominik14,
-
D. D. Prester15 - J. Donatowicz16 -
P. Fouqué17 - J. Greenhill13 -
M. Hoffman10 - K. Horne14 -
U. G. Jørgensen18 -
N. Kains14 -
S. Kane19 - D. Kubas1,6 -
J. B. Marquette1 -
R. Martin20 -
P. Meintjes10 -
J. Menzies21 - K. R. Pollard5 -
K. C. Sahu22 -
C. Snodgrass6 -
I. Steele7 -
Y. Tsapras23 - J. Wambsganss3 -
A. Williams20 - M. Zub3
(The PLANET/RoboNet Collaboration)
.
Wyrzykowski24,27 - M. Kubiak24 -
M. K. Szymanski24 - G. Pietrzynski24,26 -
I. Soszynski24 - O. Szewczyk26,24 -
K. Ulaczyk24
(The OGLE Collaboration)
F. Abe36 - I. A. Bond37 - A. Fukui36 -
K. Furusawa36 -
J. B. Hearnshaw5 -
S. Holderness38 - Y. Itow36 - K. Kamiya36 -
P. M. Kilmartin40 - A. Korpela40 -
W. Lin37 - C. H. Ling37 - K. Masuda36 -
Y. Matsubara36 - N. Miyake36 -
Y. Muraki41 - M. Nagaya36 - K. Ohnishi42 -
T. Okumura36 - Y. C. Perrott46 - N. Rattenbury46 -
T. Saito44 - T. Sako36 -
L. Skuljan37 - D. Sullivan39 -
T. Sumi36 - W. L. Sweatman37 -
P. J. Tristram40 - P. C. M. Yock46
(The MOA Collaboration)
1 - Institut d'Astrophysique de Paris, INSU-CNRS,
98 bis Boulevard Arago, 75014 Paris, France
2 - Department of Astronomy, Ohio State University,
140 W. 18th Ave., Columbus, OH 43210, USA
3 - Astronomisches Rechen-Institut, Zentrum für Astronomie,
Heidelberg University, Mönchhofstr. 12-14, 69120 Heidelberg,
Germany
4 - University of Notre Dame, Department of Physics, 225 Nieuwland Science Hall, Notre Dame, IN 46556, USA
5 - University of Canterbury, Department of Physics & Astronomy, Private Bag 4800, Christchurch, New Zealand
6 - European Southern Observatory, Casilla 19001, Vitacura 19, Santiago, Chile
7 - Astrophysics Research Institute, Liverpool John Moores
University, Twelve Quays House, Egerton Wharf, Birkenhead CH41 1LD, UK
8 - Isaac Newton Group, Apartado de Correos 321, 38700 Santa Cruz de La Palma, Spain
9 - McDonald Observatory, 16120 St Hwy Spur 78, Fort Davis, TX 79734, USA
10 - Dept. of Physics/Boyden Observatory, University of the Free State, Bloemfontein 9300, South Africa
11 - Lawrence Livermore National Laboratory, IGPP, PO Box 808, Livermore, CA 94551, USA
12 - DSM/DAPNIA, CEA Saclay, 91191 Gif-sur-Yvette cedex, France
13 - University of Tasmania, School of Maths and Physics, Private bag 37, GPO Hobart, Tasmania 7001, Australia
14 - SUPA, University of St Andrews, School of Physics & Astronomy, North Haugh, St Andrews, KY16 9SS, UK
15 - Physics department, Faculty of Arts and Sciences, University of Rijeka, 51000 Rijeka, Croatia
16 - Technical University of Vienna, Dept. of Computing, Wiedner Hauptstrasse 10, Vienna, Austria
17 - Observatoire Midi-Pyrénées, UMR 5572, 14 avenue Edouard Belin, 31400 Toulouse, France
18 - Niels Bohr Institute, Astronomical Observatory, Juliane Maries Vej 30, 2100 Copenhagen, Denmark
19 - NASA Exoplanet Science Institute, Caltech, MS 100-22, 770 South Wilson Avenue Pasadena, CA 91125, USA
20 - Perth Observatory, Walnut Road, Bickley, Perth 6076, Australia
21 - South African Astronomical Observatory, PO Box 9 Observatory 7935, South Africa
22 - Space Telescope Science Institute, 3700 San Martin Drive, Baltimore, MD 21218, USA
23 - Astronomy Unit, School of Mathematical Sciences, Queen Mary, University of London, Mile End Road, London E1 4NS, UK
24 - Warsaw University Observatory, Al. Ujazdowskie 4, 00-478 Warszawa,
Poland
25 - Auckland Observatory, Auckland, New Zealand
26 - Universidad de Concepción, Departamento de Fisica,
Casilla 160-C, Concepción, Chile
27 - Institute of Astronomy, University of Cambridge, Madingley Road,
Cambridge CB3 0HA, UK
28 - Bronberg Observatory, Centre for Backyard Astrophysics Pretoria, South Africa
29 - Benoziyo Center for Astrophysics, Weizmann Institute of Science,
76100 Rehovot, Israel
30 - Program of Brain Korea, Department of Physics,
Chungbuk National University, 410 Seongbong-Rho, Hungduk-Gu,
Chongju 371-763, Korea
31 - Department of Astronomy, Columbia University, Pupin Physics Laboratories, New York, NY 10027, USA
32 - Institute of Astronomy, Cambridge University, Madingley Rd., Cambridge, CB 0HA, UK
33 - Farm Cove Observatory, Centre for Backyard Astrophysics,
Pakuranga, Auckland New Zealand
34 - Division of Physics, Mathematics and Astronomy, California
Institute of Technology, Pasadena, CA 91125, USA
35 - Korea Astronomy and Space Science Institute, 61-1
Hwaam-Dong, Yuseong-Gu, Daejeon 305-348, Korea
36 - Solar-Terrestrial Environment Laboratory, Nagoya University,
Nagoya, 464-8601, Japan
37 - Institute for Information and Mathematical Sciences, Massey University,
Private Bag 102-904, Auckland 1330, New Zealand
38 - Computer Science Department, University of Auckland, Auckland, New Zealand
39 - School of Chemical and Physical Sciences, Victoria University,
Wellington, New Zealand
40 - Mt. John Observatory, PO Box 56, Lake Tekapo 8770, New Zealand
41 - Department of Physics, Konan University, Nishiokamoto 8-9-1,
Kobe 658-8501, Japan
42 - Nagano National College of Technology, Nagano 381-8550, Japan
43 - Wise Observatory, Tel Aviv University, 69978 Tel Aviv, Israel
44 - Tokyo Metropolitan College of Industrial Technology, Tokyo 116-8523, Japan
45 - Department of Physics and Astrophysics, Faculty of Science, Nagoya University, Nagoya 464-8602, Japan
46 - Department of Physics, University of Auckland, Private Bag 92-019,
Auckland 1001, New Zealand
47 - Alvine Estate, 456D Vintage Lane, RD3, NZ Blenheim 7321
48 - Deutsches SOFIA Institut, Universitat Stuttgart, Pkaffenwaldring 31, 70569 Stuttgart
49 - SOFIA Science Center, Mail stop N211-3, Moffett Field CA 94035, USA
50 - AUT University, Auckland, New Zealand
Received 17 July 2009 / Accepted 17 September 2009
Abstract
Aims. We analyze OGLE-2007-BLG-050, a high magnification microlensing event (
)
whose peak occurred on 2 May, 2007, with pronounced finite-source
and parallax effects. We compute planet detection efficiencies for this
event in order to determine its sensitivity to the presence of planets
around the lens star.
Methods. Both finite-source and parallax effects permit a measurement of the angular Einstein radius
mas and the parallax
,
leading to an estimate of the lens mass
and its distance to the observer
kpc.
This is only the second determination of a reasonably precise (<30%)
mass estimate for an isolated unseen object, using any method. This
allows us to calculate the planetary detection efficiency in physical
units
,
where
is the projected planet-star separation and
is the planet mass.
Results. When computing planet detection efficiency, we did not
find any planetary signature, i.e. none of the planetary configurations
provides a
improvement higher than 60, and our detection efficiency results
reveal significant sensitivity to Neptune-mass planets, and to a lesser
extent Earth-mass planets in some configurations. Indeed, Jupiter and
Neptune-mass planets are excluded with a high confidence for a large
projected separation range between the planet and the lens star,
respectively [0.6-10] and [1.4-4] AU, and Earth-mass planets are
excluded with a 10% confidence in the lensing zone, i.e.
[1.8-3.1] AU.
Key words: gravitational lensing - techniques: photometric - stars: individual: OGLE 2007-BLG-050 - planetary systems
1 Introduction
Over the last decade, microlensing events have been intensively followed in order to detect extrasolar planets around lens stars and to measure their abundance in our Galaxy. This is one of the few planet-detection techniques that is sensitive to very low mass planets, and microlensing discoveries comprise two of the lowest mass planets ever discovered to orbit a star other than a stellar remnant (Bennett et al. 2008; Beaulieu et al. 2006). During a microlensing event, i.e. when a background source passes close to the line of sight to a foreground lens star, the observed source flux is magnified by the gravitational field of the lens. The presence of a companion around the lens star introduces two kinds of caustics into the magnification pattern: one or two ``planetary caustics'' associated with the planet and a ``central caustic'' close to the primary lens projected on the source plane. When the source crosses or approaches one of these features, deviations appear from a single point-lens light curve (Gould & Loeb 1992; Mao & Paczynski 1991).1.1 Central caustic and detection efficiency
Significant effort has been expended on the observation and modeling of high magnification events because they probe the central caustic (Griest & Safizadeh 1998; Rhie et al. 2000; Rattenbury et al. 2002). Any planets in the system are highly likely to affect the central caustic, resulting in potentially high sensitivity to the presence of even low-mass planets.Indeed, a major advantage of the central caustic is that it is possible to predict in advance when the source passes close to the line of sight of the lens and so when there is the greatest chance of detecting planets. Thus observations can be intensified, further improving the sensitivity to planetary-induced anomalies in the lightcurve.
In these specific cases, for which the impact parameter can be very small, finite-source effects might strongly affect and diminish a possible planetary signal (e.g., Dong et al. 2009b; Bennett et Rhie 1996). In the absence of any deviation from a finite-source single point-lens model, one can still compute the planet detection efficiency in order to derive upper limits on the probability that the lens harbors a planet (Gaudi & Sackett 2000). It also allows to combine statistically the detection efficiencies computed from observed events to estimate the frequency of planetary companions to the lens (Gaudi et al. 2002).
The extremely high magnification microlensing event OGLE-2007-BLG-050 was well followed and is a good candidate for analyzing the sensitivity of such an event with pronounced finite-source effects to the presence of a planetary companion. In this study, we compute the planetary detection efficiency for this event, following the Gaudi & Sackett (2000) method. To perform the calculations of binary light curves, we use the binary-lens finite-source algorithm developed by Dong et al. (2006) and the formalism of Yoo et al. (2004a) for the single-lens finite-source effects.
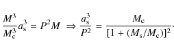
1.2 Mass and distance estimates of the lens star
OGLE-2007-BLE-050 is also one of the rare events that can potentially
be completely solved by measuring both the microlens Einstein angular
radius
and the microlens parallax
.
Indeed, after the first microlenses were detected (Udalski et al. 1993; Alcock et al. 1993), several authors showed that the microlens Einstein angular
radius
,
could be measured from deviations relative to the standard point-lens (Paczynski 1986) lightcurve, due to finite-source effects (Nemiroff & Wickramasinghe 1994; Witt & Mao 1994; Gould et al. 1994). The measured parameter associated with these effects is
where M is the lens mass and
Gould (1992) showed that if one measures both
and so determine the lens mass and lens-source relative parallax as well,
After thousands of single-lens microlensing events discovered to date, measurements of both
However, reliable mass estimates for isolated stars have been determined with microlensing only twice.
Alcock et al. (2001) and Gould et al. (2009) each measured both
and
respectively for MACHO LMC-5 and OGLE 2007-BLG-224. For MACHO LMC-5, good measurements of
and
were
obtained with the original photometric data and additional high
resolution photometry of the lens (HST observations). Only for OGLE
2007-BLG-224 has there been a reliable mass estimate derived using only
ground-based photometric data.
All other good microlens stellar mass measurements to date have been obtained for binary (or planetary) lens events: EROS BLG-2000-5 (An et al. 2002), OGLE 2006-BLG-109 (Gaudi et al. 2008), OGLE 2007-BLG-071 (Dong et al. 2009a), OGLE 2003-BLG-267 (Jaroszynski et al. 2005), OGLE 2002-BLG-069 (Kubas et al. 2005) and OGLE 2003-BLG-235 (Bond et al. 2004).
1.3 Detection efficiency in physical units
Here, we present ground based photometric data of the event OGLE 2007-BLG-050 which we use, for the first time, to constrain both the presence of planets and the mass of the lens.
This is also the first event for which parallax and xallarap (source orbital motion) are analyzed simultaneously. However, we find that the apparent xallarap signal is probably due to minor remaining systematic effects in the photometry.
Access to the physical properties of the lens allows us to compute the planetary detection efficiency in physical units
,
where
is the projected separation in AU between the planet and the lens and
is the planet mass in Earth mass units.
OGLE-2007-BLG-050 had a high sensitivity to planetary companions of the lens, with a substantial efficiency to Neptune-mass planets and even Earth-mass planets.
2 Observational data
The microlensing event OGLE-2007-BLG-050 was identified by the OGLE III early warning system (EWS; Udalski 2003) (The event was monitored over the peak by the Microlensing FollowUp Network (
FUN, Yoo et al. 2004a)
from Chile (1.3 m SMARTS telescope at the Cerro Tololo
InterAmerican Observatory), South Africa (0.35 m telescope at
Bronberg observatory), Arizona (2.4 m telescope at MDM
observatory, 1.0 m telescope at the Mt Lemmon Observatory), New Zealand
(0.40 m and 0.35 m telescopes at Auckland observatory and
Farm Cove observatory respectively) and on the wings from the Vintage
Lane (Marlborough, New Zealand), Wise (Mitzpe Ramon, Israel) and
Palomar 60-in (Mt Palomar California, USA) observatories. However, the
last three were not included in the final analysis because they do not
significantly improve the constraints on planetary companions. Data
from all the three sites are consistent with single-lens model.
It was also monitored by Microlensing Observations in Astrophysics (MOA) with the 1.8 MOA-II telescope at Mt John University Observatory (New Zealand), and Probing Lensing Anomalies Network (PLANET, Albrow et al. 1998) from 5 different telescopes: the Danish 1.54 m at ESO La Silla (Chile), the Canopus 1 m at Hobart (Tasmania), the Elizabeth 1 m at the South African Astronomical Observatory (SAAO) at Sutherland, the Rockefeller 1.5 m of the Boyden Observatory at Bloemfontein (South Africa) and the 60 cm of Perth Observatory (Australia). The RoboNet collaboration also followed the event with their three 2 m robotic telescopes: the Faulkes Telescopes North (FTN) and South (FTS) in Hawaii and Australia (Siding Springs Observatory) respectively, and the Liverpool Telescope (LT) on La Palma (Canary Islands).
In this analysis, we use 601 OGLE data points in I band, 104
FUN data points in I band, 77
FUN data points close to R band, 121 PLANET data points in I band, 55 RoboNet data points in R band and 239 MOA-Red data points (wide band covering R and I bands).
3 Event modelling
OGLE-2007-BLG-050 is a very high magnification event (
)
due to its small impact parameter u0.
Because they are quite obvious on the observed light curve,
finite-source effects must be incorporated in the modeling. Moreover,
the long timescale of the event implies that parallax effects are
likely to be detectable.
3.1 Finite-source effects
When observing a microlensing event, the resulting flux for each observatory-filter i can be expressed as,
where Fs,i is the flux of the unmagnified source,
When the source can be approximated as a point, the magnification of a single-lens event is given by (Paczynski 1986; Einstein 1936)
However, in our case the source cannot be considered as a point (
where E is the elliptic integral of the second kind and
To include the limb-darkening, we parameterize the source brightness S by,
where
The limb-darkening coefficients
In Fig. 1, we present the OGLE-2007-BLG-050 light curve modeled with extended-source effects (black curve) and without these effects (red curve). Finite-source effects are clearly noticeable by a characteristic flattening and broadening of the light curve at the peak.
For each data set, the errors were rescaled to make
per degree of freedom for the best-fit extended-source point-lens
(ESPL) model close to unity. We then eliminated the largest outlier and
repeated the process until there were no 3
outliers. None of the outliers constitute systematic deviations that could be potentially due to planets.
|
Figure 1: Top: light curve of OGLE-2007-BLG-050 near its peak on 2007 May 1. Middle: zoom onto the peak showing the finite-source effects. Bottom: magnitude residuals. They correspond to the real residuals and are not exactly equal to the difference between data and model of the light curve shown above, because the model is given in I band and the R band data points have been linearly converted into the I OGLE system. We show the model with finite source and parallax effects. As a comparison, a model without finite source effects is shown in red. |
| Open with DEXTER | |
3.2 Source properties from color-magnitude diagram and measurement of

To determine the dereddened color and magnitude of the microlensed
source, we put the best fit color and magnitude of the source on an (I,V-I) calibrated color magnitude diagram (CMD) (cf. Fig. 2). We use calibrated OGLE-III data.
The magnitude and color of the target are
and
.
The mean position of the red clump is represented by an open circle at
,
with an error of 0.05 for both quantities. The shift in position of our target relative to the red clump is then
and
.
For the absolute clump magnitude, we adopt the Hipparcos clump magnitude
(Stanek & Garvanich (1998)). The mean Hipparcos clump color of
is adopted (Jennifer Johnson, 2008, private communication).
Assuming that the source is situated in the bulge and a Galactic center distance of
,
(Einsenhauer et al. 2005).
The magnitude of the clump is given by
.
We derive
.
Hence, the dereddened source color and magnitude are given by:
.
From (V-I)0, we derive (V-K)0 using the Bessel & Brett (1988) diagram for giants, supergiants and dwarfs:
.
The measured values of I0 and (V-I)0 then lead to
.
For completeness, we also derive an extinction estimate [AI,E(V-I)] =(1.66,1.32), which leads to an estimate RVI=AV/E(V-I)=2.02.
The color determines the relation between dereddened source flux and
angular source radius. We use the following expression given by Kervella et al. (2004) for giants between A0 and K0:
giving
With the angular size of the source given by the extended source point lens (ESPL) fit,
,
we derive the angular Einstein radius
:
,
where the error is determined by:
.
This first fit takes into account finite source effects only. The values of
and
will not change significantly when adding new effects (see parallax
effects later) but the induced modifications will be included in the
final results.
Then, combined with the fitted timescale of the event
days, gives the geocentric relative lens-source proper motion:
mas/yr, with the same method for calculating the error.
|
Figure 2: Calibrated
color-magnitude diagram of the field around OGLE-2007-BLG-050. The
clump centroid is shown by an empty open circle, while the OGLE-III I and V-I measurements of the source are shown by an open circle surrounding |
| Open with DEXTER | |
3.3 Parallax effects
3.3.1 Orbital parallax effects
The source-lens projected separation in the lens plane, u(t) of Eq. (6), can be expressed as a combination of two components,
and
,
its projections along the direction of lens-source motion and perpendicular to it, respectively:
If the motion of the source, lens and observer can all considered rectilinear, the two components of u(t) are given by,
In the case of a simple point-source point-lens model, only five parameters are fitted: the source flux
|
Figure 3:
Likelihood contours as a function of the parallax vector
|
| Open with DEXTER | |
However, for long events, like OGLE-2007-BLG-050 (where
),
the motion of the Earth cannot be approximated as rectilinear and
generates asymmetries in the light curve. Parallax effects then have to
be taken into account. To introduce these effects, we use the
geocentric formalism (An et al. 2002 and Gould 2004) which ensures that the three standard microlensing parameters (t0,
,
u0) are nearly the same as for the no-parallax fit.
Now two more parameters are fitted. These are the two components of the
parallax vector,
,
whose magnitude gives the projected Einstein radius,
and whose direction is that of lens-source relative motion.
The parallax effects imply additional terms in the Eq. (13)
where
and
The Extended-Source Point-Lens (ESPL) fit yields a determination of the components
of the parallax vector
projected on the sky in North and East celestial coordinates. This is done by mapping a grid over the
plane and searching for the minimum of
(cf. Fig. 3). In addition to the best ESPL fit presented in Sect. 3.4, this grid search was done to probe the likelihood contours as a function of
,
holding each trial parameter pair
fixed while allowing all remaining parameters to vary. The best fit is
.
There is a hard
lower limit
and a
upper limit
.
The error of
is calculated from the
contour:
.
The likelihood contours in the
plane
are slightly elongated along the North-South axis. This tendency, which
is weak here due to the long timescale, is explained in Gould et al. (1994) by the fact that for short events the Earth's acceleration vector is nearly constant during the event.
|
Figure 4: OGLE (stars) and MOA (hexagons) residuals (magnitude) for models with ( upper panel) and without ( lower panel) parallax effects. The residuals have been binned for clarity. |
| Open with DEXTER | |
The Fig. 4 shows the modeling improvement when we include the orbital parallax effects in the fit. These plots only show the OGLE and MOA residuals because these data mostly constrain the parallax since they cover a long time range.
As discussed by Smith et al. (2003a), there is a
degeneracy. For a low magnification event with
,
the u0 > 0 and u0 < 0 solutions will behave differently, but for a high magnification event with
like OGLE-2007-BLG-050, the
transformation
can be considered as a symmetry and there is no possibility to
distinguish one solution from orbital motion alone. In principle, these
can be distinguished from so-called ``terrestrial parallax'' effects
caused by the different positions of the telescopes on the surface of
the Earth.
3.3.2 Terrestrial parallax effects
We investigate terrestrial parallax in order to check if it is consistent with the vector parallax determined from orbital parallax effects and to distinguish the u0>0 and u0<0 solutions. The resulting3.3.3 Xallarap effects
We also consider the possibility that the orbital parallax signal is actually due to xallarap (orbital motion of the source) rather than to real parallax. Of course an orbital motion of the source, in case of a binary orbit that fortuitously mimics that of the Earth, can reproduce the same light curve as the orbital parallax effects but here we are looking for orbital motion that is inconsistent with the Earth-motion explanation.We therefore search for xallarap solutions (orbital motion of the
source) by introducing 5 new parameters in the model related to
the orbital motion of the source: P the period of the source's orbit,
and
the xallarap vector which is analogous to the
vector, and
and
,
the phase and inclination of the binary orbit which function as analogs
of the celestial coordinates of the source in case of parallax. The
rather long timescale does not justify removing parallax effects to
search for xallarap only and moreover, searching for a model including
only xallarap effects does not provide significant improvements. For
these reasons, we search for a solution that takes into account both
orbital + terrestrial parallax and xallarap effects with a
Markov Chain Monte Carlo algorithm (MCMC). We explore a large range of
periods, from 0 to 700 days, and find a
improvement (
,
)
for periods above 250 days in comparison with the orbital parallax effects only. The
is essentially flat in the period range [250-500] days with a very shallow minimum around P = 290 days.
The P = 290 days solution gives:
,
and thus a source orbital radius:
.
Kepler's third law (expressed in solar-system units),
and Newton's third law,
imply
From the position of the source relative to the red clump on the CMD diagram (Fig. 2), we conclude that the source is a sub-giant situated in the bulge and, because the bulge is an old population, we infer that the source mass
The minimum of
The xallarap vector of this solution (
,
) = (-0.0142, 0.0940) implies a source orbital radius
and a companion mass close to
.
The MCMC algorithm permits us to explore an 11-dimensional space (t0,
,
u0,
,
,
,
,
,
P,
,
). We plot the
and
limits of the
as given in the Fig. 6.
The resulting parallax is then
.
|
Figure 5:
|
| Open with DEXTER | |
|
Figure 6:
|
| Open with DEXTER | |
3.4 Characteristics of the extended-source models with parallax and xallarap effects
Considering the finite-source effects and parallax + xallarap
effects, and the 16 observatories involved in the event
monitoring, we have to fit 43 parameters (the 3 standard
parameters, 1 for the angular size of the source, 2 for parallax, 5 for
xallarap and
for the fluxes
and
of the different telescopes). The best ESPL fit model including parallax and xallarap effects (
)
corresponds to a binary system in which the source companion is a black hole (see Sect. 3.3.3).
One more reasonable solution could be a solar mass companion obtained
when using a constraint on the xallarap (see Sect. 3.3.3). This solution has
for 1745 data points and 43 fit parameters, to give
,
while the best ESPL fit with parallax effects only has
and the one without any parallax nor xallarap effects gives
,
a difference of
.
The corresponding best-fit parameters and their errors as determined
from the light curve of three different models are shown in
Tables 1 and 2 (see also Fig. 1).
Table 1: Fit parameters for extended-source point-lens models with Parallax and Xallarap.
3.5 Lens mass and distance estimates
Gould (1992) showed that if both
and
could be measured, then the mass M and the lens-source relative parallax
could be determined as given in Eq. (5) and then the lens distance could be deduced from:
The resulting characteristics of the lens are given in Table 2 for each model that we have presented: parallax only, parallax + xallarap (black-hole companion) and parallax + xallarap (solar-mass companion). Due to the high parallax magnitude obtained with the ``black hole'' model (see Table 1), the lens mass is a brown dwarf (
The model with a solar-mass companion is suspect as well, still with a
brown-dwarf lens in the foreground, meaning that it results from the
same systematics.
We therefore conclude that the xallarap ``signal'' is probably spurious
and we present these two models only for completeness. We expect that
the presence of these systematics will corrupt the parallax
measurements by of order
,
which will impact the lens mass and relative parallax estimates.
However, this systematic error is too small to qualitatively impact the
conclusions of this paper.
For the model with parallax effects only, the lens star is a M-dwarf (Table 2)
and situated in the disk, lying 5.5 kpc from the observer. With
the added uncertainties due to systematics, the parallax becomes
,
the lens mass estimates
(
28%) and the relative parallax
.
For the rest of the analysis, we will only consider this model when the physical parameters of the lens are needed.
Table 2: Lens mass and distance for extended-source point-lens models with Parallax.
Table 3: Flux parameters for extended-source point-lens model with Parallax and Xallarap (solar mass companion).
As discussed by Ghosh et al. (2004),
future high-resolution astrometry could allow the direct measurement of
the magnitude and direction of the lens-source relative proper motion
and substantially reduce the parallax uncertainty and thus the stellar
mass uncertainty. But according to our initial estimate of the relative
proper motion (
mas/yr),
it would take at least a 20 years to clearly detect the lens
(especially since the source is very bright), but hopefully, within a
decade, either ELT, GMT or TMT (giant telescopes) will be built, in
which case the lens could be observed thereafter.
4 Planet detection efficiency
4.1 Introduction and previous analyses
To provide reliable abundance limits of Jupiter- to Earth-mass planets in our Galaxy, it is essential to evaluate the apparent non-planetary events, especially the well-covered high magnification events. A necessary step is to evaluate the confidence with which one can exclude potential planetary companions for each event.
Since OGLE-2007-BLG-050 presents strong finite-source effects, one may wonder whether a given planetary perturbation would have been so washed out by these effects as to become undetectable. Using many such efficiency calculations the aim is to determine the selection function to the underlying population of planets.
Gaudi & Sackett (2000) developed the
first method to calculate detection efficiency for a single planet,
which was extended to multiple planets detection efficiency by Gaudi et al. (2002),
who analyzed 43 microlensing events from the 1995-1999 observational
seasons. Three of them were high magnification events [OGLE-1998-BLG-15
(
), MACHO-1998-BLG-35 (
)
and OGLE-1999-BLG-35 (
)].
This 5-year analysis provided the first significant upper abundance
limit of Jupiter- and Saturn-mass planets around M-dwarfs. Tsapras et al. (2003) and Snodgrass et al. (2004) derived constraints on Jovian planet abundance based on OGLE survey data of 1998-2000 and 2002 seasons respectively.
Computing detection efficiency for individual events is thus required
to estimate the frequency of planetary signatures in microlensing light
curves, and a couple of complex events have indeed been analyzed
separately. For example the high magnification event OGLE-2003-BLG-423
(
)
by Yoo et al. (2004b)
who found that the event was not as sensitive as it should have been if
better monitored over the peak. Another high magnification (
)
example is MOA-2003-BLG-32 / OGLE-2003-BLG-219 was analyzed by Abe et al. (2004) and Dong et al. (2006)
(Appendix B). This well-covered event showed the best sensitivity
to low-mass planets to date. Finally, the highest magnification event
ever analyzed, OGLE-2004-BLG-343, was unfortunately poorly monitored
over its peak, and Dong et al. (2006) showed that it otherwise would have been extremely sensitive to low-mass planets.
|
Figure 7:
Binary-lens finite-source grids of |
| Open with DEXTER | |
4.2 Planet detection efficiency in Einstein units
To characterize the planetary detection efficiency of OGLE-2007-BLG-050, we follow the Gaudi & Sackett (2000) method which consists of fitting binary models with the 3 binary parameters
held fixed and the single lens parameters allowed to vary. Here d is the planet-star separation in units of
,
q the planet-lens mass ratio,
and
the angle of the source trajectory relative to the binary axis. In Gaudi & Sackett (2000), the single lens parameters, u0, t0 and
,
are related to a PSPL fit. In this analysis, we also fit the radius of the source
(scaled to the Einstein radius) and compare the binary lens fits to the best ESPL fit for this event.
From the resulting fitted binary lens
,
we calculate the
improvement:
,
and
is compared with a threshold value
.
If
,
the
planetary (or binary) system is detected, while if
,
it is excluded. Gaudi et al. (2002) argued that a threshold of 60 is high enough to be confident in excluding binary lens systems.
For each (d,q), the fraction of angles
that was excluded is called the ``sensitivity'' for that system. Indeed, the detection efficiency
can be expressed as:
where
- q: 19 values with a constant logarithmic step over the range [10-6, 10-2].
- d: 40 values with a constant logarithmic step over the range [0.1, 10].
:
121 values linearly spaced from 0 to
.
In future statistical analyses of microlensing planetary detection
efficiency, one will likely be forced to use a higher exclusion
threshold than 60 because, while planets can sometimes be reliably
excluded at this threshold (as in the present case), it is unlikely
that they can be reliably detected at this level, particularly in
high-magnification events. Because we cannot predict the exact
threshold that will be adopted by future studies, we show both our
exclusion level (
)
and a somewhat arbitrarily chosen value,
.
The important point is that the detection efficiency diagrams in the two cases (Fig. 8 and with a threshold equal to 250 in Fig. 9) are very similar.
4.3 Planet detection efficiency in physical units
Having an estimate of the angular Einstein radius
,
the distance DLof the lens from the observer and the lens mass M, we derive estimates of the
physical parameters
for the tested planetary models, where
is the projected separation between the planet and its host star and
the planet
mass, and calculate the associated detection efficiency.
To simplify the translation between efficiency diagrams in Einstein units and physical units, we have considered the values of M, DL and
We take the parameters related to the fit with extended source and parallax effects, where
,
and
.
The resulting detection efficiency diagram in physical units is shown in Fig. 8
as well, but the corresponding axes are those on the top and the right
of the graphic. This demonstrates that OGLE-2007-BLG-050 is sensitive
to Neptune-mass planets as well as some Earth-mass configurations.
Indeed, for a [1.8-3.1] AU projected separation range between the
planet and the lens star, Jupiter, Neptune and Earth-like planets are
excluded with a 100%, 95% and 10% confidence respectively.
For a range of [1.4-4] AU, the detection efficiency reaches 100%
for Jupiter mass planets and 75% for Neptune mass planets, and for
a much bigger range of [0.6-10] AU, Jupiter-like planets are
excluded with a 75% confidence.
|
Figure 8:
Resulting detection efficiency diagram for d and q ranges of
|
| Open with DEXTER | |
|
Figure 9:
Same as Fig. 8, except with a hypothetical threshold of
|
| Open with DEXTER | |
|
Figure 10:
Resulting detection efficiency diagram in (d, |
| Open with DEXTER | |
4.4 Planet detection efficiency as a function of central caustic size
Chung et al. (2005) analyzed the properties
of central caustics in planetary microlensing events in order to
estimate the perturbation that they induce. They gave an expression for
the central-caustic size as a function of the planet-star separation
and the planet/star mass ratio. Several authors have considered the
size and shape of the central caustic as a function of the parameters
of the planet for high-magnification events (Dong et al. 2009b; Griest & Safizadeh 1998; Dominik 1999).
In the analysis of the cool Jovian-mass planet MOA-2007-BLG-400Lb, Dong et al. (2009b) conducted the initial parameter space search over a grid of (w, q) rather than (d, q) where w
is the ``width'' of the central caustic. For MOA-2007-BLG-400, the
angular size of the central caustic is smaller than that of the source
(
), and w can be directly estimated by inspecting the light curve features. Dong et al. (2009b) find the (w, q) parametrization is more regularly defined and more efficient in searching parameter space than (d, q).
The source size of OGLE-2007-BLG-050 is
which
is relatively big, and since finite-source effects smear out the sharp
magnification pattern produced by the central caustics, one way to
present the planetary detection efficiency results is to estimate the
ratio
that is reached at the detection/exclusion limits.
Assuming that detectable planets should produce signals ![]()
,
Han & Kim (2009) estimated the ratio
must be at least equal to 0.25.
Here we present the detection efficiency diagram in (d,
)
space in Fig. 10, still considering
as the criterion of exclusion. This diagram shows a clear frontier in red at
values between 0.1 and 0.3 above which the detection efficiency is greater than
,
which also corresponds to the 50% detection's contours in Fig. 8. On this frontier, the value of
goes down to 0.1 for
and increases to 0.3 for
or
.
Our realistic estimate of detection efficiency is in general agreement with the simple criterion in Han & Kim (2009). Given the high photometric precision and dense sampling, our data allow detections below the 5% threshold adopted by Han & Kim (2009). We also note that the
threshold is weakly dependant on d, which is a result of the enhancement in detection efficiency of the resonant caustics at small mass ratios.
We have presented a new way of visualizing the detection efficiency in (d,
)
space. It offers a physically straightforward way to understand the
planetary sensitivity in events with pronounced finite-source effects.
We find that the data obtained by current observation campaigns can
probe planetary central caustics as small as ![]()
of the source size for high-magnification events.
5 Conclusion
OGLE-2007-BLG-050 is a rare case of a high magnification event with
well measured finite source effects and detectable parallax effects.
This leads to an estimate of the angular Einstein radius
mas, the parallax
,
the mass
and distance
kpc
of the lens star. This is only the second reasonably precise mass
estimate (to within 28%) for an unseen single object using any
method.
When computing planet detection efficiency, we did not find any planetary signature and the resulting maps in
,
where d is the planet-star separation in Einstein units, q the planet-lens mass ratio, and
the angle of the source trajectory relative to the binary axis, reveal a good sensitivity to low mass ratios q, with a 75% and 10% efficiencies for Neptune- and Earth-mass ratios respectively in the range [0.8-1.2]
,
and a 100% detection efficiency for Jupiter-mass ratio in [0.4-2.7]
.
It also permits the calculation of efficiency maps in physical space
,
where
is the projected planet/star separation and
is the planet mass. Here we show that this microlensing event is very sensitive to Neptune-mass planets and
has (10%) sensitivity to Earth-mass planets within a [1.8-3.1] AU projected separation range.
We thank Thomas Prado and Arnaud Tribolet for their careful reading of the manuscript. VB thanks Ohio State University for its hospitality during a six week visit, during which this study was initiated. We acknowledge the following support: Grants HOLMES ANR-06-BLAN-0416 Dave Warren for the Mt Canopus Observatory; NSF AST-0757888 (AG, SD); NASA NNG04GL51G (DD, AG, RP); Polish MNiSW N20303032/4275 (AU); HST-GO-11311 (KS); NSF AST-0206189 and AST-0708890, NASA NAF5-13042 and NNX07AL71G (DPB); Korea Science and Engineering Foundation grant 2009-008561 (CH); Korea Research Foundation grant 2006-311-C00072 (B-GP); Korea Astronomy and Space Science Institute (KASI); Deutsche Forschungsgemeinschaft (CSB); PPARC/STFC, EU FP6 programme ``ANGLES'' (W,NJR); PPARC/STFC (RoboNet); Dill Faulkes Educational Trust (Faulkes Telescope North); Grants JSPS18253002, JSPS20340052 and JSPS19340058 (MOA); Marsden Fund of NZ(IAB, PCMY); Foundation for Research Science and Technology of NZ; Creative Research Initiative program (2009-008561) (CH); Grants MEXT19015005 and JSPS18749004 (TS). This work was supported in part by an allocation of computing time from the Ohio Supercomputer Center.
References
- Abe, F., Bennett, D. P., Bond, I. A., et al. 2004, Science, 305, 1264 [NASA ADS] [CrossRef]
- Afonso, C., Alard, C., Albert, J. N., et al. 2000, ApJ, 532, 340 [NASA ADS] [CrossRef]
- Albrow, M., Beaulieu, J.-P., Birch, P., et al. 1998, ApJ, 509, 687 [NASA ADS] [CrossRef]
- Albrow, M., An, J., Beaulieu, J.-P., et al. 2001, ApJ, 549, 759 [NASA ADS] [CrossRef]
- Alcock, M. D., Akerlof, C. W., Allsman, R. A., et al. 1993, Nature, 365, 621 [NASA ADS] [CrossRef]
- Alcock, C., Akerlof, C. W., Allsman, R. A., et al. 1995, ApJ, 454, L125 [NASA ADS] [CrossRef]
- Alcock, C., Allsman, R. A., Alves, D., et al. 1997, ApJ, 486, 697 [NASA ADS] [CrossRef]
- Alcock, C., Allsman, R. A., Alves, D. R., et al. 2001, Nature, 414, 617 [NASA ADS] [CrossRef]
- An, J. H., Albrow, M. D., Beaulieu, J.-P., et al. 2002, ApJ, 572, 521 [NASA ADS] [CrossRef]
- Beaulieu, J. P., Bennett, D. P., Fouqué, P., et al. 2006, Nature, 439, 437 [NASA ADS] [CrossRef]
- Bennett, D. P., & Rhie, S. H. 1996, ApJ, 472, 660 [NASA ADS] [CrossRef]
- Bennett, D. P., Becker, A. C., Quinn, J. L., et al. 2002, ApJ, 579, 639 [NASA ADS] [CrossRef]
- Bennett, D. P., Becker, A. C., Quinn, J. L., et al. 2008, ApJ, 684, 663 [NASA ADS] [CrossRef]
- Bessel, M. S., & Brett, J. M. 1988, Astron. Pac. Soc., 100, 1134 [NASA ADS] [CrossRef]
- Bond, I. A. 2001, MNRAS, 327, 868 [NASA ADS] [CrossRef]
- Bond, I. A., Udalski, A., Jaroszynski, M., et al. 2004, ApJ, 606, 155 [NASA ADS] [CrossRef]
- Cassan, A., Beaulieu, J.-P., Fouqué, P., et al. 2006, A&A, 460, 277 [NASA ADS] [CrossRef] [EDP Sciences]
- Chung, S. J., Han, C., Park, B.-G., et al. 2005, ApJ, 630, 535 [NASA ADS] [CrossRef]
- Claret, A. 2000, A&A, 363, 1081 [NASA ADS]
- Dominik, M. 1999, A&A, 349, 108 [NASA ADS]
- Dong, S., DePoy, D. L., Gaudi, B. S., et al. 2006, ApJ, 642, 842 [NASA ADS] [CrossRef]
- Dong, S., Gould, A., Udalski, A., et al. 2009a, ApJ, 695, 970 [NASA ADS] [CrossRef]
- Dong, S., Bond, I. A., Gould, A., et al. 2009b, ApJ, 698, 1826 [NASA ADS] [CrossRef]
- Drake, A. J., Cook, K. H., & Keller, S. C. 2004, ApJ, 607, 29 [NASA ADS] [CrossRef]
- Einsenhauer, F., Genzel, R., Alexander, T., et al. 2005, ApJ, 628, 246 [NASA ADS] [CrossRef]
- Einstein, A. 1936, Science, 84, 506 [NASA ADS] [CrossRef]
- Gaudi, B. S., & Sackett, P. D. 2000, ApJ, 566, 463 [NASA ADS] [CrossRef]
- Gaudi, B. S., Albrow, M. D., An, J., et al. 2002, ApJ, 566, 463 [NASA ADS] [CrossRef]
- Gaudi, B. S., Bennett, D. P., Udalski, A., et al. 2008, Science, 319, 927 [NASA ADS] [CrossRef]
- Ghosh, H., DePoy, D. L., Gal-Yam, A., et al. 2004, ApJ, 615, 450 [NASA ADS] [CrossRef]
- Gould, A. 1992, ApJ, 392, 442 [NASA ADS] [CrossRef]
- Gould, A. 1994a, ApJ, 421, 71 [NASA ADS] [CrossRef]
- Gould, A. 2000, ApJ, 542, 785 [NASA ADS] [CrossRef]
- Gould, A. 2004, ApJ, 606, 319 [NASA ADS] [CrossRef]
- Gould, A., & Loeb, A. 1992, ApJ, 396, 104 [NASA ADS] [CrossRef]
- Gould, A., Miralda-Escudé, J., & Bahcall, J. N. 1994, ApJ, 423, L105 [NASA ADS] [CrossRef]
- Gould, A., Bennett, D. P., & Alves, D. R. 2004, ApJ, 614, 404 [NASA ADS] [CrossRef]
- Gould, A., Udalski, A., Monard, B., et al. 2009, ApJ, 698, L147 [NASA ADS] [CrossRef]
- Griest, K., & Safizadeh, N. 1998, ApJ, 500, 37 [NASA ADS] [CrossRef]
- Han, C., & Kim, D. 2009, ApJ, 693, 1835 [NASA ADS] [CrossRef]
- Jiang, G., DePoy, D. L., Gal-Yam, A., et al. 2004, ApJ, 617, 1307 [NASA ADS] [CrossRef]
- Jaroszynski, M., Udalski, A., Kubiak, M., et al. 2005, Acta Astron., 55, 159 [NASA ADS]
- Kervella, P., Thévenin, F., Di Folco, E., & Ségransan, D. 2004, A&A, 426, 297 [NASA ADS] [CrossRef] [EDP Sciences]
- Kubas, D., Cassan, A., Beaulieu, J. P., et al. 2005, A&A, 435, 941 [NASA ADS] [CrossRef] [EDP Sciences]
- Mao, S. 1999, A&A, 350, L19 [NASA ADS]
- Mao, S., & Paczynski, B. 1991, ApJ, 374, 37 [NASA ADS] [CrossRef]
- Mao, S., Smith, M. C., Wozniak, P., et al. 2002, MNRAS, 329, 349 [NASA ADS] [CrossRef]
- Nemiroff, R. J., & Wickramasinghe, W. A. D. T. 1994, ApJ, 424, L21 [NASA ADS] [CrossRef]
- Paczynski, B. 1986, ApJ, 304, 1 [NASA ADS] [CrossRef]
- Poindexter, S., Afonso, C., Bennett, D. P., et al. 2005, ApJ, 633, 914 [NASA ADS] [CrossRef]
- Rattenbury, N., Bond, I. A., Skuljan, J., & Yock, P. C. M. 2002, MNRAS, 335, 159 [NASA ADS] [CrossRef]
- Rhie, S. H., Bennett, D. P., Becker, A. C., et al. 2000, ApJ, 533, 378 [NASA ADS] [CrossRef]
- Soszynski, I., Zebrun, K., Wozniak, P. R., et al. 2001, ApJ, 552, 731 [NASA ADS] [CrossRef]
- Smith, M., Mao, S., & Wozniak, P. 2002, MNRAS, 332, 962 [NASA ADS] [CrossRef]
- Smith, M., Mao, S., & Paczynski, B. 2003a, MNRAS, 339, 925 [NASA ADS] [CrossRef]
- Smith, M., Mao, S., & Wozniak, P. 2003b, ApJ, 585, L65 [NASA ADS] [CrossRef]
- Snodgrass, C., Horne, K., & Tsapras, Y. 2004, MNRAS, 351, 967 [NASA ADS] [CrossRef]
- Staneck, K. Z., & Garvanich, P. M. 1998, A&AS, 30, 1409
- Tsapras, Y., Horne, K., Kane, S., & Carson, R. 2003, MNRAS, 343, 1131 [NASA ADS] [CrossRef]
- Udalski, A. 2003, Acta Astron., 53, 291 [NASA ADS]
- Udalski, A., Szymanski, M., Kaluzny, J., et al. 1993, Acta Astron., 43, 289 [NASA ADS]
- Witt, H., & Mao, S. 1994, ApJ, 430, 505 [NASA ADS] [CrossRef]
- Yoo, J., DePoy, D. L., Gal-Yam, A., et al. 2004a, ApJ, 603, 139 [NASA ADS] [CrossRef]
- Yoo, J., DePoy, D. L., Gal-Yam, A., et al. 2004b, ApJ, 616, 1204 [NASA ADS] [CrossRef]
Footnotes
- ...
- Probing Lensing Anomalies NETwork (PLANET).
- ...
- Microlensing Follow Up Network (
FUN).
- ...
- Optical Gravitational Lens Experiment (OGLE).
- ...
- Microlensing Observations in Astrophysics (MOA).
- ...
- Royal Society University research fellow.
All Tables
Table 1: Fit parameters for extended-source point-lens models with Parallax and Xallarap.
Table 2: Lens mass and distance for extended-source point-lens models with Parallax.
Table 3: Flux parameters for extended-source point-lens model with Parallax and Xallarap (solar mass companion).
All Figures
|
Figure 1: Top: light curve of OGLE-2007-BLG-050 near its peak on 2007 May 1. Middle: zoom onto the peak showing the finite-source effects. Bottom: magnitude residuals. They correspond to the real residuals and are not exactly equal to the difference between data and model of the light curve shown above, because the model is given in I band and the R band data points have been linearly converted into the I OGLE system. We show the model with finite source and parallax effects. As a comparison, a model without finite source effects is shown in red. |
| Open with DEXTER | |
| In the text | |
|
Figure 2: Calibrated
color-magnitude diagram of the field around OGLE-2007-BLG-050. The
clump centroid is shown by an empty open circle, while the OGLE-III I and V-I measurements of the source are shown by an open circle surrounding |
| Open with DEXTER | |
| In the text | |
|
Figure 3:
Likelihood contours as a function of the parallax vector
|
| Open with DEXTER | |
| In the text | |
|
Figure 4: OGLE (stars) and MOA (hexagons) residuals (magnitude) for models with ( upper panel) and without ( lower panel) parallax effects. The residuals have been binned for clarity. |
| Open with DEXTER | |
| In the text | |
|
Figure 5:
|
| Open with DEXTER | |
| In the text | |
|
Figure 6:
|
| Open with DEXTER | |
| In the text | |
|
Figure 7:
Binary-lens finite-source grids of |
| Open with DEXTER | |
| In the text | |
|
Figure 8:
Resulting detection efficiency diagram for d and q ranges of
|
| Open with DEXTER | |
| In the text | |
|
Figure 9:
Same as Fig. 8, except with a hypothetical threshold of
|
| Open with DEXTER | |
| In the text | |
|
Figure 10:
Resulting detection efficiency diagram in (d, |
| Open with DEXTER | |
| In the text | |
Copyright ESO 2009
Current usage metrics show cumulative count of Article Views (full-text article views including HTML views, PDF and ePub downloads, according to the available data) and Abstracts Views on Vision4Press platform.
Data correspond to usage on the plateform after 2015. The current usage metrics is available 48-96 hours after online publication and is updated daily on week days.
Initial download of the metrics may take a while.
![\begin{figure}
\par\vspace*{-1mm}
\includegraphics[width=8.5cm,clip]{12923lc.ps}\vspace*{-1mm}
\end{figure}](/articles/aa/full_html/2009/46/aa12923-09/Timg70.png)
![\begin{figure}
\par\includegraphics[width=8.3cm,clip]{12923cmd.ps}
\end{figure}](/articles/aa/full_html/2009/46/aa12923-09/Timg92.png)


![\begin{figure}
\par\resizebox{8.8cm}{!}{\includegraphics[angle=0]{12923pss.ps}}
\end{figure}](/articles/aa/full_html/2009/46/aa12923-09/Timg145.png)
![\begin{figure}
\par\resizebox{8.8cm}{!}{\includegraphics[angle=0]{12923pav.ps}}
\end{figure}](/articles/aa/full_html/2009/46/aa12923-09/Timg146.png)
![\begin{figure}
\par\mbox{\includegraphics[width=2.1in]{12923_2.2.ps}\includegrap...
...5.1.ps}\hspace{0.1cm}
\includegraphics[width=2.1in]{12923_5.4.ps} }
\end{figure}](/articles/aa/full_html/2009/46/aa12923-09/Timg198.png)
![\begin{figure}
\par\includegraphics[width=3.5in]{1292360.ps}
\end{figure}](/articles/aa/full_html/2009/46/aa12923-09/Timg222.png)
![\begin{figure}
\par\includegraphics[width=3.5in]{12923250.ps}
\end{figure}](/articles/aa/full_html/2009/46/aa12923-09/Timg223.png)
![\begin{figure}
\par\includegraphics[width=3in]{12923cs.ps}
\end{figure}](/articles/aa/full_html/2009/46/aa12923-09/Timg224.png)