| Issue |
A&A
Volume 508, Number 2, December III 2009
|
|
|---|---|---|
| Page(s) | 1045 - 1056 | |
| Section | Planets and planetary systems | |
| DOI | https://doi.org/10.1051/0004-6361/200811462 | |
| Published online | 21 October 2009 | |
A&A 508, 1045-1056 (2009)
Properties of the nuclei and comae of 13 ecliptic comets from Hubble Space Telescope snapshot observations
P. L. Lamy1 - I. Toth1,2 - H. A. Weaver3 - M. F. A'Hearn4 - L. Jorda1
1 - Laboratoire d'Astrophysique de Marseille, UMR6110 CNRS/Université
de Provence,
38 rue Frédéric Joliot-Curie, 13388 Marseille Cedex 13, France
2 - Konkoly Observatory, Budapest 1525, PO Box 67, Hungary
3 - Applied Physics Laboratory, The Johns Hopkins University, Laurel,
MD 20723-6099, USA
4 - Department of Astronomy, University of Maryland, College Park, MD
20742, USA
Received 2 December 2008 / Accepted 13 October 2009
Abstract
Context. Knowledge of the size distribution of
cometary nuclei and, more generally, of their physical properties is
important for constraining models of the formation and evolution of the
Solar System.
Aims. We report on our on-going effort to determine
the ensemble properties of comets based on our success in detecting the
nuclei of active comets with the Hubble Space Telescope (HST).
Methods. During cycle 8 (July 1999 to
June 2000), we observed 13 ecliptic comets with the planetary
camera 2 through at least two filters (V
and R) and up to four (B, V,
R, I) for the brightest ones.
The
30 min
of HST observational time devoted to each comet did not permit a proper
determination of light curves, so our ``snapshot'' observations yield
effective radii, not shapes.
Results. Assuming spherical nuclei with a geometric
albedo of 0.04 for the R band (except
0.024 for 10P/Tempel 2, as independently measured) and a phase
law of 0.04 mag/deg, we obtained the following effective
radii: 4P/Faye: 1.77 km, 10P/Tempel 2: 5.98 km,
17P/Holmes: 1.71 km, 37P/Forbes: 0.81 km 44P/Reinmuth
2: 1.61 km, 50P/Arend: 0.95 km, 59P/Kearns-Kwee:
0.79 km, 63P/Wild 1: 1.46 km, 71P/Clark:
0.68 km, 84P/Giclas: 0.90 km, 106P/Schuster:
0.94 km, 112P/Urata-Niijima: 0.90 km,
114P/Wiseman-Skiff: 0.78 km. In our present sample, eight out
of thirteen nuclei have sub-kilometer radii. The average color of the
observed nuclei is
,
which is significantly redder than the Sun. We determined the dust
activity parameter
of their coma in the R band, and estimated the dust
production rates. The average reflectivity gradient of the dust comae
of six comets is
% per kÅ.
Key words: comets: general - methods: data analysis - techniques: photometric - techniques: image processing - telescopes - solar system: general
1 Introduction
Knowledge of the size distribution of cometary nuclei and, more
generally,
of their physical properties, is important for constraining
models of the formation and evolution of the Solar System.
Based on our initial success in detecting the nuclei of active
comets with the
Hubble space telescope (HST), we started a program to determine their
ensemble properties.
We recall that our basic approach takes advantage of the high
spatial resolution of the planetary camera (WFPC2) mode of the HST,
pixel-1,
to ``photometrically resolve'' the nucleus
in the presence of a surrounding coma.
We refer the reader to our review article (Lamy
et al. 2004), and references
therein, for an overview of our past work and results.
We present below the detailed analysis of the snapshot observations
performed
during cycle 8 of the HST (July 1999 to
June 2000).
We selected 13 short-period comets that
came reasonably close to Earth during cycle 8 to maximize the
spatial
resolution and, thus, the contrast between the nucleus and the coma.
The principal orbital parameters of the observed comets are given in
Table 1.
The nuclei of all 13 comets were detected, and we determined
their radii
(assuming an albedo and a phase function) and their colors.
Their comae were also characterized by their
values, which are
proportional to the dust production
rate and the dust reflectivity.
2 Observations and data analysis
Table 1: Orbital elements of the comets.
The journal of the observations, as well as the geometric
circumstances, are
presented in Table 2.
A single HST orbit, which has
30 min of observing time available
(including
overhead), was devoted to each of the 13 comets.
All the comets were observed with the planetary camera (PC) mode of the
WFPC2 and
with the broadband F675W and F555W filters.
When the exposure times were short, we could add observations with the
F439W and F814W filters.
Table 3
gives the characteristics of these filters
(Biretta et al. 1996).
The pixel scale of 0.045 arcsec translated to a typical
projected distance
at the comets of
50 km
with extreme values of 25.8 km (106P) and 71.8 km
(17P).
All images were processed using the routine science data processing
system at
the Space Telescope Science Institute.
Figure 1
illustrates one of the F675W images for each comet.
For the analysis of the data, we applied our standard method
of fitting a parametric model of the expected surface brightness to the
observed images.
The most general model, represented by a 2-dimensional array of
brightness
values, is simply given by
| (1) |
where PSF denotes the point spread function of the telescope and
| (2) |
where
| (3) |
where
Table 2: Journal of the observations.
The sub-pixel locations of the nuclei (xn,
yn) were
first determined
using the X and Y-profiles
through the pixels displaying the peak
signals, and using initial estimates for the model parameters
,
and p.
Their final determinations, as well as those of the jitter if any,
were performed on azimuthally averaged radial profiles as introduced in
the case of comet 46P/Wirtanen (Lamy
et al. 1998a).
This is implemented straightforwardly by performing a polar
transformation of the images centered on the nucleus (the pixel having
the largest signal) with an angular resolution of 1
and summing the 360 individual profiles.
All coma profiles were fitted using the canonical value p=-1
except
for those of 50P/Arend and 71P/Clark, as will be discussed
later.
The 1
error affecting the data can be expressed as
|
(4) |
where B is the observed signal in DN, g=7 electrons DN-1 is the gain,
| (5) |
where
|
(6) |
and is always dominated by the second term, i.e., the error from the fitting procedure.
The determination of the absolute magnitudes was performed on
the
images, which measure the
brightness of the nucleus as it would be observed
by the HST in the absence of coma.
The procedure followed the recommendations of
Holtzman et al.
(1995).
The so-called instrumental magnitudes were calculated by integrating
the
scaled PSFs in an aperture of 0.5'' radius, so that no
aperture
correction is required.
The formulae converting the instrumental WFPC2 magnitudes to the
standard
Johnson-Kron-Cousins R magnitudes require a color
correction in first and second orders, of the (V-R)
color index.
Since we always have observations in at least two filters, we could
combine the formulae and solved for all magnitudes without any
assumption
for the color of the nucleus.
The errors
affecting
the signal of the nucleus (Eq. (6)) were
propagated through the transformation formulae and the final
uncertainties
on the R magnitudes listed in Table 4 include the
systematic errors in the
zero-points of the calibration.
3 The properties of the nuclei
The apparent R magnitude of a body is related to
its physical properties by (Russell 1916; Keller 1990;
Jewitt 1991):
|
(7) |
pR is the geometric albedo in the R band,
We now present our results for the 13 nuclei detected with the
HST from July 1999 to June 2000. The
30 min
of HST observing time devoted to each comet did not
permit the determination of secure light curves, so our ``snapshot''
observations yield
effective radii, not shapes.
An effective radius
is defined as that of a disk having the same
instantaneous projected area as the observed nucleus and will range
between
and b for a spheroid of semiaxes a
and b=c with its
spin axis along one of its short axes perpendicular to the direction to
the
Earth.
As discussed by
Lowry & Weissman
(2003) and
Lamy et al. (2004), a snapshot
observation leads, on average, to an instantaneous projected area close
to
the maximum cross-section
,
and the effective radius
gives, on average, an excellent estimate of the effective radius of
the equivalent sphere
defined by
.
For each nucleus, we briefly summarize other determinations of its size
based on
the more extensive discussion provided in our review article (Lamy et al. 2004).
Color indices are reported, but their interpretation in the general
context of
the primitive bodies in the solar system is presented elsewhere
(Lamy & Toth 2009).
Table 3: Characteristics of the filters.
Table 4: Properties of the nuclei of the comets.
|
Figure 1:
Examples of the HST PC2 images of 13 comets taken with the
F675W filter.
Each square image is |
| Open with DEXTER | |
3.1 4P/Faye
This comet was observed with the HST on
7 February 2000
at
AU outbound,
AU,
and at a
solar phase angle of 5
6.
The previous perihelion passage took place on
6 May 1999 at
AU.
The coma was in steady state with p=-1.
Its nucleus was easily detected with a good contrast in all images (see
Fig. 2
for an example).
The two F675W images yielded an average value of the nucleus
radius of
km.
We obtained a color index
.
|
Figure 2: Azimuthally averaged radial surface brightness profile of a F675W image of 4P/Faye in log-log representation ( top). The thick solid line represents the observation, the dashed line is the estimated signal from the nucleus, the thin solid line is the estimated coma, and the dash-dot line is the fitted model. The graph ( bottom) displays the residuals in percents. |
| Open with DEXTER | |
|
Figure 3: Same as Fig. 2 but for a F702W image of 4P/Faye taken on 5.54 November 1991 with the aberrated HST and the first planetary camera (WFPC1). |
| Open with DEXTER | |
4P/Faye is the first nucleus detected with the HST (WFPC1), in
October-November 1991 (Lamy et al. 1996; Lamy &
Toth 1995) during its first year of
operation, when the comet was at
AU
and
AU.
We then determined a larger size ranging from 2.34 to 2.9 km.
Re-examination of the 1991 observations, obtained with the aberrated
HST, indicated that the signal from the nucleus was overestimated.
We decided to re-analyze these images owing to several major
improvements
that have been made possible during the past decade:
- i)
- all images were re-processed at the Space Telescope Science Institute taking advantage of the experience accumulated on the instrument and of better calibrations;
- ii)
- the model of the aberrated PSFs has significantly been refined in the subsequent releases of the TinyTIM program (Krist 1995);
- iii)
- better understanding and procedures of images fitting were developed during our on-going analysis of HST cometary images.
|
Figure 4: Same as Fig. 2 for 10P/Tempel 2. |
| Open with DEXTER | |
3.2 10P/Tempel 2
10P was observed with the HST on 23 June 1999
when the comet was at
AU
inbound,
AU and at a solar
phase angle of 12
8.
The comet later reached perihelion on
8 September 1999 at
AU.
The coma was in steady state with p=-1.
The signal is dominated by the nucleus with a negligible contribution
from the
coma in the central pixels (
)
as illustrated
in Fig. 4.
The four F675W images yielded an average value of the nucleus
of
km.
We obtained color indices
,
and
.
Thanks to its faint coma, the nucleus of 10P was extensively
observed from
the ground namely by A'Hearn
et al. (1989),
who combined optical and infrared photometry, and by
Jewitt & Luu (1989),
who performed CCD photometry from aphelion (thus, convincingly
detecting a
bare nucleus) to perihelion.
Their interpretations converge to a spheroidal nucleus with
a =
8-8.15 km and b
= c = 4-4.3 km with an albedo
and
a rotational period of
9 h.
The effective radius from the equivalent cross-section is
km,
while that from the equivalent volume is
km.
If we scale our result to the above albedo
pR
= 0.024, we obtain
km
in agreement with the ground-based
determination.
This incidentally confirms the point emphasized by
Lowry & Weissman
(2003)
and Lamy et al.
(2004)
that a snapshot observation usually provides a good estimate of the
effective
radius.
Other ground-based results are discussed in Lamy
et al.
(2004) and are generally
in good agreement with the above
conclusion.
3.3 17P/Holmes
17P was observed with the HST on 15 June 1999 at
AU
inbound,
AU
and at a solar phase angle of 8
5.
The comet later reached perihelion on 11 May 2000 at
AU.
The coma was canonical with p=-1.
The nucleus was easily detected with excellent contrast thanks to a
very
faint coma (Fig. 5),
and analysis of the two F675W images
yields a nucleus radius of
km.
We also obtained a color index
.
|
Figure 5: Same as Fig. 2 for 17P/Holmes. |
| Open with DEXTER | |
|
Figure 6: Same as Fig. 2 for 37P/Forbes. |
| Open with DEXTER | |
|
Figure 7: Same as Fig. 2 for 44P/Reinmuth 2. |
| Open with DEXTER | |
|
Figure 8: Same as Fig. 2 for 50P/Arend. |
| Open with DEXTER | |
|
Figure 9: Same as Fig. 2 for 59P/Kearns-Kwee. |
| Open with DEXTER | |
3.4 37P/Forbes
37P was observed with the HST on 29 October 1999 when the comet was
at
AU outbound,
AU
and at a solar phase angle of
14
8.
The comet had passed its perihelion on 4 May 1999 at
AU.
The coma was canonical with p=-1.
The nucleus was detected with good contrast, and the fits are
excellent (Fig. 6).
Analysis of the two F675W images yield an average value of the
nucleus radius of
km.
We also obtained color indices
and
.
37P was observed from the ground at
AU
by
Licandro et al.
(2000).
The stellar-like appearance of the image led them to conclude that they
were
seeing a bare nucleus, and they derived
km.
Either a faint coma was still present in their images or we observed
different cross-sections.
Assuming that their and our circumstances correspond to the two extreme
cross-sections, the spheroidal solution leads to a
= 1.38 km, b = 0.8 km and
a/b
= 1.73.
3.5 44P/Reinmuth 2
44P was observed with the HST on 12 June 2000 when the comet was
at
AU inbound,
AU
and at a
solar phase angle of 5
3.
The comet was later at perihelion on 19 February 2001
at
AU.
The coma was canonical with p=-1.
The nucleus was detected with good contrast (Fig. 7).
Analysis of the two F675W images yields an average value of
the nucleus radius of
km. The upper limit
of 3.1 km reported by Lowry
et al. (2003)
is consistent with our
result.
We also obtained a color index
.
3.6 50P/Arend
50P was observed with the HST on 11 January 2000 when
the comet was
at
AU outbound,
AU
and at a
solar phase angle of 11
8.
The comet had passed its perihelion on 3 August 1999
at
AU.
The nucleus was detected with moderate contrast, but the fits are
excellent (Fig. 8)
requiring, however, that different values of
the power exponent p of the coma model be
introduced for the different
filters: p=-1 for F675W, p=-1.15
for F555W, and p=-1.10 for F814W.
Analysis of the two F675W images yield an average value of the
nucleus radius of
km.
Lowry & Weissman
(2003) reported an
upper
limit of 5.16 km, consistent with our result.
We also obtained color indices
and
.
3.7 59P/Kearns-Kwee
59P was observed with the HST on 15 January 2000 when the comet was
at
AU outbound,
AU
and at a solar phase angle of 3
3.
The comet had passed perihelion on 16 September 1999
at
AU.
The coma was canonical with p=-1 and very bright.
The contrast of the nucleus over the coma is only 60% in the peak
pixel,
but the fits are nevertheless quite good (Fig. 9).
Analysis of the two F675W images yielded an average value of
the nucleus radius of
km.
At a phase angle of 3
3, the apparent magnitude of
the nucleus could be
affected by an opposition effect.
Assuming a phase function similar to that of 19P/Borrelly (Li et al. 2007), the
correction for this effect would amount to
0.04 mag (Lamy
et al. 2007), and the radius of the nucleus would be
reduced to
0.76 km.
We point out that it would be very difficult to detect such a small,
very active nucleus from the ground.
We obtained color indices
and
.
|
Figure 10: Same as Fig. 2 for 63P/Wild 1. |
| Open with DEXTER | |
|
Figure 11: Same as Fig. 2 for 71P/Clark. |
| Open with DEXTER | |
|
Figure 12: Same as Fig. 2 for 84P/Giclas. |
| Open with DEXTER | |
3.8 63P/Wild 1
63P was observed with the HST on 22 April 2000 when the comet was
at
AU outbound,
AU
and at a
solar phase angle of 9
2.
The comet had passed perihelion on 27 December 1999
at
AU.
The coma was canonical with p=-1 and quite faint.
The nucleus was detected with excellent contrast, and the fits are
almost perfect (Fig. 10).
Analysis of the three F675W images yields an average value of
the nucleus radius of
km.
The non-detection by Lowry
& Fitzsimmons
(2001), which
results in an upper limit
km, is therefore
quite puzzling, unless we speculate that they
observed the small cross-section of a highly-elongated spheroid with
,
an incredibly large value.
We obtained color indices
and
.
3.9 71P/Clark
71P was observed with the HST on 12 March 2000
at
AU inbound,
AU
and at a solar phase angle of 7
5.
The comet later passed perihelion on 2 December 2000
at
AU.
The coma was quite bright and characterized by p=-1.17,
thus deviating from
steady state.
The contrast of the nucleus is rather low (
25% in the peak pixel),
by far the lowest of the present set of nuclei (Fig. 11).
Analysis of the two F675W images yields an average value of
the nucleus radius of
km.
This is consistent with the non-detection at
AU
by
Lowry & Fitzsimmons
(2001), implying
km.
The observations by Meech
et al. (2004)
at
aphelion (
AU) yielded
km.
A spheroid with a = 2.13 km and b
= 0.75 km could reconcile the two extreme
determinations within the error bars, but has a very large axis ratio,
,
and further requires that we observed nearly the smallest
cross-section while Meech
et al. (2004),
the
largest one.
This nucleus certainly deserves further observations.
We obtained a color index
.
3.10 84P/Giclas
84P was observed with the HST on 13 January 2000 when the comet was
at
AU outbound,
AU
and at a
solar phase angle of 16
9.
The comet had passed perihelion on 25 August 1999 at
AU.
The coma was canonical with p=-1.
The nucleus was detected with good contrast (a factor of
3 in the
peak
pixel) and the fits are highly satisfactory (Fig. 12).
Analysis of the two F675W images yields an average value of
the nucleus radius of
km.
We obtained a color index
.
3.11 106P/Schuster
106P was observed with the HST on 18 October 1999 when the comet was
at
AU inbound,
AU
and at a
solar phase angle of 23
00.
The comet had passed perihelion on 16 December 1999
at
AU.
The coma was canonical (p=-1) and very bright, but
still the nucleus
reaches a contrast factor of
2.5
in the peak pixel
(Fig. 13).
Analysis of the two F675W images yields an average value of
the nucleus radius of
km. We obtained
color indices
,
,
.
3.12 112P/Urata-Niijima
112P was recovered and observed with the HST on 8 September 1999
at
AU inbound,
AU
and at a
solar phase angle of 19
2.
The comet later passed perihelion on 4 March 2000 at
AU.
The comet appeared very faint with a weak canonical coma (p=-1).
In spite of its low signal, the nucleus was easily detected with a huge
contrast of a factor
27
in the peak pixel, and the fits are excellent
(Fig. 14).
Analysis of the two F675W images yields an average value of
the nucleus radius of
km.
We obtained a color index
.
3.13 114P/Wiseman-Skiff
|
Figure 13: Same as Fig. 2 for 106P/Schuster. |
| Open with DEXTER | |
|
Figure 14: Same as Fig. 2 for 112P/Urata-Niijima. |
| Open with DEXTER | |
|
Figure 15: Same as Fig. 2 for 114P/Wiseman-Skiff. |
| Open with DEXTER | |
114P was observed with the HST on 14 January 2000 when the comet was at
AU outbound,
AU
and at solar phase angle of 33
2.
The comet had passed perihelion on 11 January 2000,
just a few days prior to
our HST observations.
The comet was consequently very bright and active, but its coma was
canonical
with p=-1.
The nucleus was detected with good contrast (a factor
2.6), and
the fits
are excellent (Fig. 15).
Analysis of the two F675W images yields an average value of
the nucleus radius of
km.
We obtained color indices
,
and
.
3.14 Colors of the nuclei
The various color indices derived from our measurements are reported in
Table 4.
The (V-R) indices, to be compared
with that of the Sun
,
range from slightly blue (37P) to ultrared (50P) and average to 0.52.
Note that the nucleus of the recently captured comet 59P/Kearns-Kwee is
quite
red, but not the reddest. The reader is directed to the article by
Lamy & Toth (2009) for an extended
discussion of the colors of cometary nuclei in comparison with other
primitive bodies of the solar system.
Table 5:
Properties of the comae of the comets:
.
Table 6: Properties of the comae of the comets: dust production rate and spectral reflectivity gradient.
4 The properties of the comae
We now turn our attention to the comae of the 13 comets and present
below
results on the standard quantity
,
which is proportional to the dust production rate and the
dust reflectivity.
These three quantities all involve the ratio
,
where
and
are respectively the radiance of the coma
and that of the Sun (expressed for instance in
erg s-1 cm-2 Å-1)
and averaged over a given
spectral band.
A convenient way to calculate
is to express it in terms of the
signals measured on the images and expressed in DN/s:
| (8) |
where
4.1 Af
In order to quantify the activity of the observed cometary nuclei,
we calculated the quantity
(A'Hearn et al. 1984)
by integrating the
coma signal in a circular aperture with a diameter equivalent to
400 km at
the distance of each comet using their fitted coma models.
When the coma is in steady state (p=-1), the
integrated coma signal
is a constant which can be
directly expressed in terms of
,
the scaling factor of the coma model.
When the coma is not in steady state, the integration is performed on
the
images of the coma model, and
obviously depends upon the
aperture size.
Uncertainties on the
values
were calculated similarly to the errors calculated for
the previously discussed nucleus fluxes.
We display in Table 5
our results obtained with the F675W filter
together with those already published in the literature.
We selected this filter because it is very close to the R
band often used by
ground-based observers and because it is generally free of any major
gas
emission, and therefore relevant to the dust continuum.
One should keep in mind that
,
while being a proxy for the dust activity,
does not directly provide the dust production rate
.
involves
observational parameters, so that comparisons between
various observations are generally not straightforward (even if the
coma is in steady state, insuring that
is independent of aperture size), a fact often overlooked by many
cometary observers.
This comes from the term A, the geometric albedo of
the dust grains averaged
over their size distribution, which is therefore a function of
scattering
angle (i.e., phase angle) and of wavelength via their optical
properties
(i.e., composition).
Both parameters are therefore specified in Table 5.
Finally, the various measurements were generally obtained at different
apparitions and may reflect a variation in the intrinsic activity of a
given
comet.
In spite of all these limitations, Table 5 indicates that
the
measurements are consistent with the expected behavior of
with
.
4P/Faye appears as the strongest dust emitter in our data set.
The variation of its
with
is very coherent and part of the
difference between our value of 129 cm at 2.96 AU
outbound and that of
Lowry & Weissman
(2003) of
43.7 cm at
3.34 AU outbound may be ascribed to the different phase
angles:
at
(our observations), an opposition effect can artificially
increase the albedo A.
For 10P/Tempel 2, our value is about a factor 4 larger than
those obtained by
A'Hearn et al. (1989
and
1995) and Feldman & Festou
(1992)
at comparable heliocentric distances (1.7-1.8 AU) on the
inbound leg,
at rather similar phase angles, but at different apparitions.
This possibly suggests a recent increase in the activity of this comet.
Note the large value of 140 cm measured by
Feldman & Festou
(1992)
at
AU
outbound while it was <40 cm at
AU
inbound.
For 44P/Reinmuth 2, our value of 86 cm at
AU
is consistent
with the upper limits given by
Lowry et al. (2003)
and
Lowry & Fitzsimmons
(2001) much
further away.
Note here again that our small phase angle
likely
tends
to increase the
value.
For 50P/Arend, our value and that of
Lowry & Weissman
(2003) indicate that
in
the range 2.4-3 AU outbound.
Such a large power exponent is not uncommon and we note that a value of
-8.89 was determined by A'Hearn
et al. (1995)
for 49P/Arend-Rigaux from their post-perihelion measurements.
For 59P/Kearns-Kwee, our outbound value is certainly affected by a
strong
backscattering enhancement since
.
Correcting by a factor
2
brings it more in line with the inbound
measurement of A'Hearn
et al. (1995).
For 71P/Clark, our value of 68 cm at
AU
and the upper limit
of 2.2 cm at
AU
(Lowry et al. 1999)
both inbound are consistent.
4.2 Dust production rate
The determination of the dust production rate of the comet was
performed
using the method developed by
Newburn & Spinrad
(1985) and later
re-formulated by Singh
et al. (1992).
The procedure is strictly identical to the one we applied to comet
4P/Faye
(Lamy et al. 1996),
19P/Borrelly (Lamy et al.
1998b),
22P/Kopff (Lamy et al. 2002),
46P/Wirtanen (Lamy et al.
1998a).
Assuming that the dust grains are roughly spherical, the mass release
rate of
dust expressed in g s-1 is given by
|
(9) |
where
| (10) |
In the above expression, N = 4.2 and M is given by
| (11) |
where
|
(12) |
where
We can assume that the activity is mostly driven by the sublimation of
water
ice for these ecliptic comets observed at heliocentric distances
AU.
We must therefore estimate the water production rate of each comet at
the
heliocentric distance of the observations to calculate
.
We checked several large data sets, namely
Festou (1990),
A'Hearn et al.
(1995),
Fink & Hicks (1996), Crovisier
et al. (2002),
and only found data for three of our comets in the second article,
namely 4P/Faye, 10P/Tempel 2 and 59P/Kearns-Kwee.
This article tabulates the OH production rates at specified
heliocentric
distances (Table III of A'Hearn
et al. 1995).
The variation of
with
can be obtained from their Table VII
where they introduced two classes, ``typical'' or ``depleted'' comets,
based on
their abundance in carbon-chain species.
4P is classified as ``depleted'' while both 10P and 59P are
``typical''.
The nature of the other 10 comets is unknown; therefore we
calculated two
values of
making use of two distinct empirical laws which relate
to
(their Table VI) according to the above two classes
``typical'' and ``depleted''.
is derived from
using
(Budzien et al. 1994).
Our results are presented in Table 6.
For the comets for which we used the empirical relationships between
and
,
there is typically a factor
3 between the
two values of
coming from the two classes ``typical'' and ``depleted''
and up to a factor 4 for the three comets 17P, 63P
and 112P, which have very
low dust production rates.
We feel that those factors give fair estimates of the uncertainties
affecting
.
Table 6
includes the very scarce published determinations.
For 4P/Faye, our past (Lamy
et al. 1996) and present results lead to
,
similar to what we found for the
of 50P/Arend.
For 37P/Forbes, applying the above power law to the value determined by
Newburn & Spinrad
(1985) leads to
kg s-1
at
AU inbound, similar
to the
value we obtained on the outbound leg in the ``depleted'' case.
Applying the same scaling to the value determined by
Newburn & Spinrad
(1985) for
59P/Kearns-Kwee leads to
kg s-1
at
AU inbound while we
found
kg s-1
at the same
heliocentric distance but outbound and at a different apparition.
Given that the accuracy of the dust production rates is
no better than a factor 2 to 3, the above consistency between the past
determinations and our
recent results is a pleasant surprise.
|
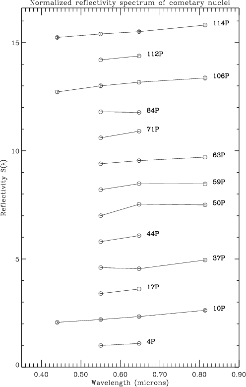
Figure 16: Normalized reflectivity spectrum of the 13 cometary nuclei. When not shown, the error bars are much smaller than the size of the symbol. The spectra, normalized at 550 nm, are shifted for clarity. |
| Open with DEXTER | |
|
Figure 17: Normalized reflectivity spectrum of the coma of 7 comets. When not shown, the error bars are much smaller than the size of the symbol. The spectra, normalized at 670 nm, are shifted for clarity. |
| Open with DEXTER | |
4.3 Coma reflectivity
Figure 17
displays the normalized reflectivities of the
comae calculated from the ratios
,
further normalized
at 670 nm, the effective wavelength of the
F675W filter.
The F439W filter may contain CN bands and the F555W filter may contain
several
C2 bands while the other two filters, F675W and
F814W, are probably free
of any major gas emission and therefore provide reflectivity data that
are
representative of the dust continuum.
Therefore, we only present the reflectivity of the seven comae for
which we
have data with these last two filters.
In this spectral domain, all seven comae appear to reflect the
properties of
the dust and to be systematically redder than the Sun, a general
rule for cometary dust (Jewitt
& Meech 1986) with the exception of 59P/Kearns-Kwee.
The normalized spectral reflectivity gradients
are
listed in Table:
they range from
(50P/Arend) to
%
per kÅ (63P/Wild 3) and average to
% per kÅ ,
excluding 59P/Kearns-Kwee.
This latter comet is somewhat of a puzzle unless either the spectrum
reflects
the genuine, albeit unusual, properties of the dust or the
F675W band is contaminated by an unusually bright gas emission
(a possible candidate is NH2).
If we exclude the F675W data, the F555W and
F814W measurements
yield
% per kÅ,
well within the range obtained
from the other six comets.
Our present results can be put in perspective with our past
measurements
obtained with the same instrumental configuration:
% per kÅ
for the coma of comet
45/Honda-Mrkos-Pajdusakova (Lamy
et al. 1999) and
% per kÅ
for that of 22P/Kopff
(Lamy et al. 2002).
In a different spectral domain, the coma of 46P/Wirtanen had
% per kÅ,
but probably a lower limit
since the F555W band may have been contaminated by C
emissions
(Lamy et al. 1998a).
5 Conclusions
|
Figure 18: A synthetic view of the 13 cometary nuclei detected with the HST during cycle 8 and idealized as spherical bodies. |
| Open with DEXTER | |
Our main conclusions can be summarized as follows.
- 1.
- We successfully detected the nuclei of 13 ecliptic comets
with the
planetary camera 2 of the Hubble space telescope and with at least two
filters
(V and R), and up to four (B,
V, R, I)
for the brightest ones
during cycle 8 (1999/2000).
One HST orbit (
30 min
of observational time) devoted to each comet did not permit measurement
of secure light curves, and our ``snapshot'' observations yield
effective radii which, on average, give excellent estimates of the
effective
radius of the equivalent spheres.
- 2.
- Assuming spherical nuclei with a geometric albedo
of 0.04 for the R band
(except 0.024 for 10P/Tempel 2 as measured independently), and a phase
law of 0.04 mag/deg, we determined effective radii from the
measured magnitudes.
A synthetic view of our results is presented in Fig. 18, where we display
their cross-sections assuming spherical nuclei.
Eight of the thirteen nuclei (62%) have sub-kilometer radii:
37P/Forbes (0.81 km),
50P/Arend (0.95 km),
59P/Kearns-Kwee (0.79 km),
71P/Clark (0.68 km),
84P/Giclas (0.90 km),
106P/Schuster (0.94 km),
112P/Urata-Niijima (0.90 km), and
114P/Wiseman-Skiff (0.78 km). The average color of the nucleus
of the observed 13 comets is
,
which is significantly redder than the Sun
[
].
- 3.
- We determined the
values for the comae of the 13 comets and found that they are
generally consistent with past, ground-based measurements, keeping in
mind
that
depends on several observational parameters:
wavelength, phase angle, aperture size (if the coma is not in
steady-state),
and apparition.
The dust production rates could be securely determined for three comets
(4P/Faye, 10P/Tempel 2 and 59P/Kearns-Kwee) for which the OH production
rates were independently measured.
For the other ten comets, we used two different empirical relationships
relating
and
appropriate to the two classes ``typical''
and ``depleted'' introduced by
A'Hearn et al.
(1995).
The resulting dust production rates differ by a factor 3 to 4, probably
a
fair estimate of the uncertainties.
With the possible exception of 59P/Kearns-Kwee, the dust comae are
redder than the Sun, and we determined an average value
% per kÅ
for 6 comets.
I. Toth acknowledges supports from the bilateral French-Hungarian cooperation program, from the Université de Provence, from the Hungarian Academy of Sciences through grant No. 9871, and from the Hungarian State Research Foundation for Sciences (OTKA) through grant No. T025049. H. Weaver acknowledges financial support by NASA through grant HST-GO-8699.01-A from the Space Telescope Science Institute (STScI), which is operated by the Association of Universities for Research in Astronomy, Inc., under NASA contract NAS5-26555.
References
- A'Hearn, M. F., Schleicher, D. G., Feldman, P. D., Millis, R. L., & Thompson, D. T. 1984, AJ, 89, 579 [NASA ADS] [CrossRef]
- A'Hearn, M. F., Campins, H., Schleicher, D. G., & Millis, R. L. 1989, ApJ, 347, 1155 [NASA ADS] [CrossRef]
- A'Hearn, M. F., Millis, R. L., Schleicher, D. G., Osip, D. J., & Birch, P. V. 1995, Icarus, 118, 223 [NASA ADS] [CrossRef]
- Biretta, J. A., & 18 colleagues 1996, Wide Field and planetary camera 2 Instrument Handbook. Version 4.0, Space Telescope Science Institute, Baltimore
- Budzien, S. A., Festou, M. C., & Feldman, P. D. 1994, Icarus, 107, 164 [NASA ADS] [CrossRef]
- Crovisier, J., Colom, P., Gérard, E., Bockelée-Morvan, D., & Bourgois, G. 2002, A&A, 393, 1053 [NASA ADS] [EDP Sciences] [CrossRef]
- Festou, M. C. 1990, Comparative study of cometology from IUE observations (ESA, Evolution in Astrophysics: IUE Astronomy in the Era of New Space Missions, IUE Report), 3
- Feldman, P. D., & Festou, M. C. 1992, IUE observations of periodic comets Tempel-2, Kopff and Tempel-1, in Proc. of Asteroids, Comets, Meteors III, 1991, ed. A. W. Harris, & E. L. G. Bowell, LPI, Houston, TX, 171
- Fink, U., & Hicks, M. D. 1996, ApJ, 459, 729 [NASA ADS] [CrossRef]
- Holtzman, J. A., Burrows, Ch. J., Casertano, S., et al. 1995, PASP, 107, 1065 [NASA ADS] [CrossRef]
- Jewitt, D., & Meech, K. J. 1986, ApJ, 310, 937 [NASA ADS] [CrossRef]
- Jewitt, D. C. 1991, Ap&SS, 167, 19
- Jewitt, D. C., & Luu, J. 1989, AJ, 97, 1766 [NASA ADS] [CrossRef]
- Keller, H. U. 1990, The nucleus, in Physics and Chemistry of Comets, ed. W. F. Huebner (Berlin: Springer-Verlag), 13
- Krist, J. 1995, Simulation of HST PSF using Tiny TIM, in Astronomical Data Analysis Software and System IV, ed. R. A. Shaw, H. E. Payne, & J. J. E. Hayes (San Francisco: Astron. Soc. of the Pacific), ASP Conf. Ser., 77, 349
- Lamy, P. L., & Toth, I. 1995, A&A, 293, L43 [NASA ADS]
- Lamy, P. L., & Toth, I. 2009, Icarus, 201, 674 [NASA ADS] [CrossRef]
- Lamy, P. L., Toth, I., Grün, E., et al. 1996, Icarus, 119, 370 [NASA ADS] [CrossRef]
- Lamy, P. L., Toth, I., Jorda, L., & Weaver, H. A. 1998a, A&A, 335, L25 [NASA ADS]
- Lamy, P. L., Toth, I., & Weaver, H. A. 1998b, A&A, 337, 945 [NASA ADS]
- Lamy, P. L., Toth, I., A'Hearn, M. F., & Weaver, H. A. 1999, Icarus, 140, 424 [NASA ADS] [CrossRef]
- Lamy, P. L., Toth, I., Jorda, L., et al. 2002, Icarus, 156, 442 [NASA ADS] [CrossRef]
- Lamy, P. L., Toth, I., Fernández, Y. R., & Weaver, H. A. 2004, The sizes, shapes, albedos, and colors of cometary nuclei, in Comets II, ed. M. Festou, H. U. Keller, & H. A. Weaver (Tucson, AZ: University of Arizona Press), 223
- Lamy, P. L., Toth, I., Davidsson, B. J. R., et al. 2007, SSRv, 128, 23 [NASA ADS]
- Li, J.-Y., A'Hearn, M. F., McFadden, L. A., & Belton, M. J. S. 2007, Icarus, 188, 195 [NASA ADS] [CrossRef]
- Licandro, J., Tancredi, G., Lindgren, M., Rickman, H., & Gil Hutton, R. 2000, Icarus, 147, 161 [NASA ADS] [CrossRef]
- Lowry, S. C., & Fitzsimmons, A. 2001, A&A, 365, 204 [NASA ADS] [EDP Sciences] [CrossRef]
- Lowry, S. C., & Weissman, P. R. 2003, Icarus, 164, 492 [NASA ADS] [CrossRef]
- Lowry, S. C., Fitzsimmons, A., Cartwright, I. M., & Williams, I. P. 1999, A&A, 349, 649 [NASA ADS]
- Lowry, S. C., Fitzsimmons, A., & Collander-Brown, S. 2003, A&A, 397, 329 [NASA ADS] [EDP Sciences] [CrossRef]
- Meech, K. J., Hainaut, O., & Marsden, B. G. 2004, Icarus, 170, 463 [NASA ADS] [CrossRef]
- Newburn, R. L., Jr., & Spinrad, H. 1985, AJ, 90, 2591 [NASA ADS] [CrossRef]
- Russell, H. N. 1916, ApJ, 43, 173 [NASA ADS] [CrossRef]
- Singh, P. D., de Almeida, A. A., & Huebner, W. F. 1992, AJ, 104, 848 [NASA ADS] [CrossRef]
- Weaver, H. A., & Lamy, P. L. 1999, Earth, Moon, & Planets, 79, 17
Footnotes
- ... USA
- Based on observations made with the NASA/ESA Hubble space telescope, obtained at Space Telescope Science Institute, which is operated by the Association of Universities for Research in Astronomy under NASA contract NAS 5-26555.
All Tables
Table 1: Orbital elements of the comets.
Table 2: Journal of the observations.
Table 3: Characteristics of the filters.
Table 4: Properties of the nuclei of the comets.
Table 5:
Properties of the comae of the comets:
.
Table 6: Properties of the comae of the comets: dust production rate and spectral reflectivity gradient.
All Figures
|
Figure 1:
Examples of the HST PC2 images of 13 comets taken with the
F675W filter.
Each square image is |
| Open with DEXTER | |
| In the text | |
|
Figure 2: Azimuthally averaged radial surface brightness profile of a F675W image of 4P/Faye in log-log representation ( top). The thick solid line represents the observation, the dashed line is the estimated signal from the nucleus, the thin solid line is the estimated coma, and the dash-dot line is the fitted model. The graph ( bottom) displays the residuals in percents. |
| Open with DEXTER | |
| In the text | |
|
Figure 3: Same as Fig. 2 but for a F702W image of 4P/Faye taken on 5.54 November 1991 with the aberrated HST and the first planetary camera (WFPC1). |
| Open with DEXTER | |
| In the text | |
|
Figure 4: Same as Fig. 2 for 10P/Tempel 2. |
| Open with DEXTER | |
| In the text | |
|
Figure 5: Same as Fig. 2 for 17P/Holmes. |
| Open with DEXTER | |
| In the text | |
|
Figure 6: Same as Fig. 2 for 37P/Forbes. |
| Open with DEXTER | |
| In the text | |
|
Figure 7: Same as Fig. 2 for 44P/Reinmuth 2. |
| Open with DEXTER | |
| In the text | |
|
Figure 8: Same as Fig. 2 for 50P/Arend. |
| Open with DEXTER | |
| In the text | |
|
Figure 9: Same as Fig. 2 for 59P/Kearns-Kwee. |
| Open with DEXTER | |
| In the text | |
|
Figure 10: Same as Fig. 2 for 63P/Wild 1. |
| Open with DEXTER | |
| In the text | |
|
Figure 11: Same as Fig. 2 for 71P/Clark. |
| Open with DEXTER | |
| In the text | |
|
Figure 12: Same as Fig. 2 for 84P/Giclas. |
| Open with DEXTER | |
| In the text | |
|
Figure 13: Same as Fig. 2 for 106P/Schuster. |
| Open with DEXTER | |
| In the text | |
|
Figure 14: Same as Fig. 2 for 112P/Urata-Niijima. |
| Open with DEXTER | |
| In the text | |
|
Figure 15: Same as Fig. 2 for 114P/Wiseman-Skiff. |
| Open with DEXTER | |
| In the text | |
|
Figure 16: Normalized reflectivity spectrum of the 13 cometary nuclei. When not shown, the error bars are much smaller than the size of the symbol. The spectra, normalized at 550 nm, are shifted for clarity. |
| Open with DEXTER | |
| In the text | |
|
Figure 17: Normalized reflectivity spectrum of the coma of 7 comets. When not shown, the error bars are much smaller than the size of the symbol. The spectra, normalized at 670 nm, are shifted for clarity. |
| Open with DEXTER | |
| In the text | |
|
Figure 18: A synthetic view of the 13 cometary nuclei detected with the HST during cycle 8 and idealized as spherical bodies. |
| Open with DEXTER | |
| In the text | |
Copyright ESO 2009
Current usage metrics show cumulative count of Article Views (full-text article views including HTML views, PDF and ePub downloads, according to the available data) and Abstracts Views on Vision4Press platform.
Data correspond to usage on the plateform after 2015. The current usage metrics is available 48-96 hours after online publication and is updated daily on week days.
Initial download of the metrics may take a while.
![\begin{figure}
\par\includegraphics[width=6.3cm,clip]{11462fg1.ps}\vspace{-0.5mm}
\vspace{-1mm}
\end{figure}](/articles/aa/full_html/2009/47/aa11462-08/Timg56.png)
![\begin{figure}
\par\includegraphics[width=7cm,clip]{11462fg2.ps}
\end{figure}](/articles/aa/full_html/2009/47/aa11462-08/Timg63.png)
![\begin{figure}
\par\includegraphics[width=7cm,clip]{11462fg3.ps}
\end{figure}](/articles/aa/full_html/2009/47/aa11462-08/Timg64.png)
![\begin{figure}
\par\includegraphics[width=7.5cm,clip]{11462fg4.ps}
\end{figure}](/articles/aa/full_html/2009/47/aa11462-08/Timg69.png)
![\begin{figure}
\par\includegraphics[width=7.5cm,clip]{11462fg5.ps}
\end{figure}](/articles/aa/full_html/2009/47/aa11462-08/Timg87.png)
![\begin{figure}
\par\includegraphics[width=7.5cm,clip]{11462fg6.ps}
\end{figure}](/articles/aa/full_html/2009/47/aa11462-08/Timg88.png)
![\begin{figure}
\par\includegraphics[width=7.5cm,clip]{11462fg7.ps}
\end{figure}](/articles/aa/full_html/2009/47/aa11462-08/Timg89.png)
![\begin{figure}
\par\includegraphics[width=7.5cm,clip]{11462fg8.ps}
\end{figure}](/articles/aa/full_html/2009/47/aa11462-08/Timg90.png)
![\begin{figure}
\par\includegraphics[width=7.5cm,clip]{11462fg9.ps}
\end{figure}](/articles/aa/full_html/2009/47/aa11462-08/Timg91.png)
![\begin{figure}
\par\includegraphics[width=7.5cm,clip]{11462f10.ps}
\end{figure}](/articles/aa/full_html/2009/47/aa11462-08/Timg117.png)
![\begin{figure}
\par\includegraphics[width=7.5cm,clip]{11462f11.ps}
\end{figure}](/articles/aa/full_html/2009/47/aa11462-08/Timg118.png)
![\begin{figure}
\par\includegraphics[width=7.5cm,clip]{11462f12.ps}
\end{figure}](/articles/aa/full_html/2009/47/aa11462-08/Timg119.png)
![\begin{figure}
\par\includegraphics[width=7.3cm,clip]{11462f13.ps}
\end{figure}](/articles/aa/full_html/2009/47/aa11462-08/Timg151.png)
![\begin{figure}
\par\includegraphics[width=7.3cm,clip]{11462f14.ps}
\end{figure}](/articles/aa/full_html/2009/47/aa11462-08/Timg152.png)
![\begin{figure}
\par\includegraphics[width=7.3cm,clip]{11462f15.ps}
\end{figure}](/articles/aa/full_html/2009/47/aa11462-08/Timg153.png)
![\begin{figure}
\par\includegraphics[width=7cm,clip]{11462f16.ps}
\end{figure}](/articles/aa/full_html/2009/47/aa11462-08/Timg224.png)
![\begin{figure}
\par\includegraphics[width=7cm,clip]{11462f17.ps}
\end{figure}](/articles/aa/full_html/2009/47/aa11462-08/Timg225.png)
![\begin{figure}
\par\includegraphics[width=6.5cm,clip]{11462f18.ps}
\end{figure}](/articles/aa/full_html/2009/47/aa11462-08/Timg236.png)