Free Access
Issue
A&A
Volume 508, Number 2, December III 2009
Page(s) 833 - 839
Section Stellar structure and evolution
DOI https://doi.org/10.1051/0004-6361/200911736
Published online 08 October 2009

A&A 508, 833-839 (2009)

Search for associations containing young stars (SACY)

III. Ages and Li abundances[*],[*]

L. da Silva1 - C. A. O. Torres2 - R. de la Reza1 - G. R. Quast2 - C. H. F. Melo3 - M. F. Sterzik3

1 - Observatório Nacional-MCT, Rio de Janeiro, Brazil
2 - Laboratório Nacional de Astrofísica-MCT, Itajubá, Brazil
3 - European Southern Observatory, Alonso de Cordova 3107, Casilla 19, Santiago, Chile

Received 27 January 2009 / Accepted 28 August 2009

Abstract
Context. Our study is a follow-up of the SACY project, an extended high spectral resolution survey of more than two thousand optical counterparts to X-ray sources in the southern hemisphere targeted to search for young nearby association. Nine associations have either been newly identified, or have had their member list revised. Groups belonging to the Sco-Cen-Oph complex are not considered in the present study.
Aims. These nine associations, with ages of between about 6 Myr and 70 Myr, form an excellent sample to study the Li depletion in the pre-main sequence (PMS) evolution. In the present paper, we investigate the use of Li abundances as an independent clock to constrain the PMS evolution.
Methods. Using our measurements of the equivalent widths of the Li resonance line and assuming fixed metallicities and microturbulence, we calculated the LTE Li abundances for 376 members of various young associations. In addition, we considered the effects of their projected stellar rotation.
Results. We present the Li depletion as a function of age in the first hundred million years for the first time for the most extended sample of Li abundances in young stellar associations.
Conclusions. A clear Li depletion can be measured in the temperature range from 5000 K to 3500 K for the age span covered by the nine associations studied in this paper. The age sequence based on the Li-clock agrees well with the isochronal ages, the $\epsilon $Cha association being the only possible exception. The lithium depletion patterns for the associations presented here resemble those of the young open clusters with similar ages, strengthening the notion that the members proposed for these loose young associations have indeed a common physical origin. The observed scatter in the Li abundances hampers the use of Li in determining reliable ages for individual stars. For velocities above 20 km s-1, rotation seems to play an important role in inhibiting the Li depletion.

Key words: stars: abundances - stars: pre-main sequence - stars: late-type - star: evolution

1 Introduction

In Torres et al. (2006) (hereafter Paper I) we report the results of a high-resolution optical spectroscopic survey to search for associations containing young stars (SACY) among optical counterparts of ROSAT All-Sky X-ray sources in the southern hemisphere. There we present the catalog resulting from the survey. We describe the convergence method developed to search for members of an association and a corresponding membership probability model. A membership to an association is defined in the hexa-dimensional space formed by the (UVW) velocity space and the (XYZ) spatial coordinates distribution. We also take into account the position in the HR diagram, eliminating very discrepant stars. Finally, we check each member proposed by comparing its Li content with the Li distribution of the association. The $\beta $ Pictoris association ($\beta $PA) is presented as an example of the method outlined in Paper I.

In Paper I, we also present the Li abundance analysis of the $\beta $PA to confirm its youth. In contrast to open clusters where Li abundances have been studied over more than one decade (see Pallavicini et al. 2000), the results of Paper I was the first analysis of this kind for a young association.

Using the method described in Paper I, Torres et al. (2008, hereafter TQMS08) defined nine new young associations, namely, $\epsilon $ Chamaleontis ($\epsilon $ChA), TW Hydrae (TWA), $\beta $ Pictoris, Octants (OctA), Tucana-Horologium (THA), Columba (ColA), Carina (CarA), Argus (ArgA), and AB Doradus (ABDA). The present work continues this study and aims to derive the distribution of Li abundances for each of the nine associations resulting from a consolidated list of members. Since these associations are young, covering ages from about 5 Myr up to that of the Pleiades, they form an interesting ``laboratory'' for studying the Li depletion with age, as achieved for some open clusters (Randich et al. 2001; Jeffries 2006).

2 Sample

In Table 1, we present some properties of the young associations studied in this paper derived in TQMS08. The number of members (N), the number of Li eliminated stars (``intruders'', n), the average distance (in parsecs), and the age (in Myr) taken from TQMS08 are given in Table 1. Li abundances were measured for 376 stars. Although the data are mainly from Paper I, a few additional data obtained since then are included and will be published in forthcoming papers.

These new observations allowed us to refine the definitions of some of the associations. For the ColA, we are able to obtain a similar but more consistent solution with a few changes to the member list with respect to those of TQMS08 (three stars now being rejected and six new ones included).

For the ABDA, three new members have been proposed, one of them, HD 82879, previously proposed to be a member of the $\epsilon $ChA. Proposed by Zuckerman & Song (2004) as a member of the THA, HD 53842 was previously rejected in TQMS08 as a member of THA because of a compilation error. Its reintroduction now as a member proposed for the THA has no other consequences for the mean values of this association[*].

As explained in TQMS08, IC 2391 members were incorporated into the ArgA member list. Similarly, members of the open cluster $\eta$ Cha were combined with the $\epsilon $ChA members forming a unique group. The link between young loose associations and some open clusters will be discussed in forthcoming papers.

Table 1:   Properties of the associations studied in this paper.

3 Li abundance determinations

The observations were carried out using the FEROS spectrograph (Kaufer et al. 1999) at la Silla, ESO, and the Coudé spectrograph of the 1.62 m telescope of the Observatório do Pico dos Dias, LNA, Brazil (see Paper I for details). The Li abundances ( $A_{\rm Li}$) of the stars, in dex, in the system log A(H) = 12, where A(H) is the H abundance ( $A_{\rm Li}$ = logN(Li)/N(H) + 12), were determined using the programs of M. Spite, of the Paris-Meudon Observatory. Our method is similar to that used for the $\beta $PA in Paper I. The main difference is that we now apply the atmospheric models of Kurucz and Castelli[*] instead of those of Gustafsson et al. (1975) used in Paper I.

The $A_{\rm Li}$ were determined from the resonance line at $\lambda~6708$. The method consists of calculating theoretical equivalent widths of the Li line ( $EW_{\rm Li}$) and comparing them with their corresponding observed values. The $A_{\rm Li}$ is changed until the difference between the calculated and the observed $EW_{\rm Li}$ is smaller than 0.2 mÅ. The line was considered to be formed only by the 7Li isotope. In the computation of the synthetic profile, we take into account the four components of the 7Li resonance line, i.e., the wavelengths and the oscillators strengths given by Andersen et al. (1984), at wavelengths $\lambda~6707.754, \lambda~6707.766,
\lambda~6707.904, \lambda~6707.917$; and for log gf: -0.430, -0.209, -0.733, -0.510, respectively.

Table 2:   Variation in Li abundance as a function of EW and model parameters.

Effective temperatures were obtained from the photometric and spectroscopic data available. The calibrations used were mainly those of Kenyon & Hartmann (1995) and Schmidt-Kaler (1982). Some additional information was included from Bessell (1979) and from Ducati et al. (2001). If a reliable Cousins $(V-I)_{\rm c}$ color index was available, either from our observations, from Hipparcos, or from other sources in the literature, this was used to derive $T_{\rm eff}$. In the absence of $(V-I)_{\rm c}$, we used the Johnson (B-V), mainly derived from TYCHO-2 but also obtained from various sources in the literature. We considered the (B-V) colors from TYCHO-2 reliable only for stars brighter than magnitude 10. Finally, if no reliable photometry was available, we used the spectral type to obtain the effective temperature.

The other model parameters were kept fixed: metallicity at [Fe/H] = 0.1 (see Castilho et al. 2005); and surface gravity $\log g$was fixed at 4.5 for the dwarfs, and at 4.0 for the subgiants, according to the spectral classification of Paper I. The microturbulence velocity was fixed at 1.5 km s-1 for all stars.

3.1 Error analysis

Table 2 summarizes the internal errors expected in the Li abundances as a function of the variations in the model parameters and in the equivalent width. $\Delta A({\rm Li})_1$ and $\Delta A({\rm Li})_2$ are the Li abundances variations for a star with an effective temperature of 4000 K and 6100 K, respectively. Our main error source is the effective temperature. The unknown parameters, i.e., [Fe/H] and the microturbulence velocity, are less important, and the values used are good estimates. The small sensitivity of the Li abundance to the microturbulence velocity may be surprising, but it may be because the fine structure of the Li line is used and each line component is a weak line, thus not making very significant contribution to the microturbulence velocity. An error of 10% in the EW is perhaps optimistic for the weak lines. An increase in the error of the EW to 20% results in a variation of $A_{\rm Li}$ of 0.08 at $T_{\rm eff}$ = 4000 K and of 0.09 at 6100 K. From Table 2, we can say that our internal errors are smaller than 0.2, sufficient to reach our goal. As can be seen from our abundance results in the figures, even a difference as high as 0.2 does not modify any of our conclusions.

How does the choice of different models change our results? In order to address this question, we compare our results using Kurucz models with those using the Uppsala group models, which were used in Paper I. Using atmospheric models calculated with the MARCS code, developed by the Uppsala group[*] (see Gustafsson et al. 1975), we obtain a value of $A_{\rm Li}$ that is 0.09 larger at 4000 K than using Kurucz models. At 6000 K, the difference is 0.07, in the same direction. For homogeneity purposes, we used Kurucz models in our analysis because they begin at 3500 K, whereas MARCS models begin only at 4000 K. Nevertheless, this shows how sensitive the use of different $A_{\rm Li}$ values from different authors can be. In this case, the difference between our  $A_{\rm Li}$ results and those of other authors could even be larger than 0.2, which we adopt as our internal error.

As an additional test, we compared our abundances for IC 2391 (considered to be ArgA members) with those from Randich et al. (2001). Using the EW from these authors, we also computed the Li abundances for the IC 2602 members as described above. The agreement between both Li abundances is very good (Fig. 1) validating our method.

\begin{figure}
\par\includegraphics[width=7.5cm,clip]{11736f1.eps}
\end{figure} Figure 1:

Comparison between our results and those of Randich et al. (2001) for the stars in IC 2391 and IC 2602.

Open with DEXTER

4 Results and discussion

\begin{figure}
\par\includegraphics[width=6cm,clip]{11736f2a.eps}\hspace*{2mm}
\...
...*{2mm}
\includegraphics[width=6cm,clip]{11736f2i.eps}
\vspace*{3mm}
\end{figure} Figure 2:

Lithium depletion pattern for all nine associations presented in this paper. Plots are arranged in the age sequence of Table 1. Stars rotating slower (faster) than 20 km s-1 are shown as open squares (filled circles). Stars whose $v\sin i$ could not be determined are plotted as crosses. Filled hexagons are Li intruders. A 4th-degree polynomial fit of the data is shown as a solid line.

Open with DEXTER

Table 1 summarizes some properties given in TQMS08 for the nine young associations. This table contains the proposed ages, the most important parameter for our Li evolution study. Distance is a rather meaningless quantity for these nearby associations (due to their proximity their members have a wide range of distances). The Li abundances determined for all high probability members, in all 376 stars, are given in Tables 4 to 12. The tables contain the identifications of the members of each association, their coordinates, the $EW_{\rm Li}$, the $T_{\rm eff}$, the $A_{\rm Li}$, and the projected stellar rotational velocities ( $v \sin (i)$). More details about the association memberships can be found in TQMS08.

Stars cooler than 3500 K are not covered by the Kurucz models and are given here for reference only. Those values are calculated with extrapolated models, and they have errors potentially larger than those considered above. Those objects have not been considered in our figures and discussion.

4.1 Lithium depletion pattern and open cluster ages

The lithium depletion pattern (LDP) for all nine young associations studied in this paper is shown in Fig. 2. For each association, stars were divided into two groups according to their $v \sin (i)$. Stars rotating slower than 20 km s-1 are shown as open squares, whereas those rotating faster than 20 km s-1 are marked as filled circles. Stars whose $v\sin i$ could not be determined are plotted as crosses. Along with the derived abundances and effective temperatures, a 4th-degree polynomial fit of the data is shown as a solid line. This line defines the LDP of each association.

\begin{figure}
\par\includegraphics[width=7.5cm,clip]{11736f3a.eps}\hspace*{0.7cm}
\includegraphics[width=7.5cm,clip]{11736f3b.eps}
\end{figure} Figure 3:

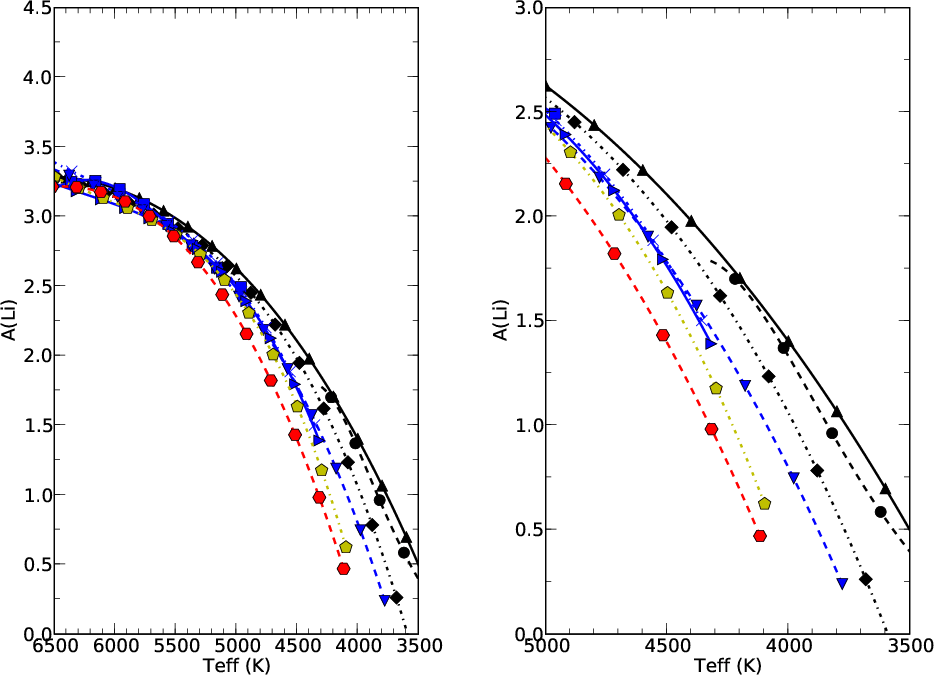
Comparison of the polynomial fit of the observed LDPs. Left. All polynomial fits for the associations shown in Fig. 2. For each association, LDPs are identified by a line type and a symbol as follow: $\epsilon $ChaA (solid line, filled triangles), TWA (dashed line, filled circles), $\beta $PicA (dotted line, diamonds), OctA (solid line, square), THA (dashed line, downwards triangle), ColA (dashed-dotted line, crosses), CarA (solid line, rightwards triangle), ArgA (dashed-dotted, pentagon), and ABDA (dashed line, hexagon). The associations between 20-30 Myr are indistinguishable. Right. Zoom in $T_{\rm eff}$ cooler than 4800 K. At this region, a clear separation between the LDP is seen.

Open with DEXTER

Using the data from Sestito & Randich (2005), we computed the LDPs for the young clusters studied by these authors and compared with those LPDs of the young associations at similar ages.

In the top panel of Fig. 4, we show the Li abundances for IC 2391 and IC 2602, which both have an age similar to that of THA (30 Myr). The LDP of THA is shown as a thick black line, whereas the LDP obtained for these two young clusters are seen as a thick dashed black line. For comparison, the LPD for $\beta $PA (10 Myr) and ABDA (70 Myr) are shown as light solid and dashed light line, respectively.

In the middle panel of Fig. 4, the Li abundance for $\alpha $ Per and NGC 2451 (50 Myr) are plotted. In this case, the LDP shown as a thick, solid line is that of ArgA. Solid and dashed light lines again represent the LDPs for $\beta $PA and ABDA. Finally, the Li abundances for the Pleiades members are shown in the bottom panel of Fig. 4. The thick black line is the LDP of ABDA. The $\beta $PA LDP is again shown as a solid light, line along with the LDP of THA shown as a light, dashed line.

Despite the dispersion in the observational data, the agreement between the LDPs of the young clusters and those of the young association is reasonably good. An exception are the data for $\alpha $ Per and NGC 2451, which show a level of Li depletion close to that of the Pleiades. According to the LDP of the ArgA, abundances $\sim$0.5 dex higher were expected.

Although the comparison with the young clusters remains marginal (due to the low number of clusters and high dispersion), the good agreement found is already an important result. First, it provides confidence in our derivation of the Li abundances described in Sect. 3. Secondly, that the LDP of the nine associations are similar to the LDP of open clusters of similar ages strengthens the notion that the associations presented in TQMS08 are indeed physical groups of stars sharing a common formation history.

4.2 Lithium depletion pattern and the relative ages

All observational LDPs (i.e., the polynomial fits to the observed Li abundances as a function of $T_{\rm eff}$ shown in Fig. 2) have been plotted together in the left panel of Fig. 3. LDPs for each association are identified by its line style and marker type (see caption of Fig. 3).

\begin{figure}
\par\includegraphics[width=8.5cm,clip]{11736f4a.eps}\vspace*{5mm}...
...5mm}
\includegraphics[width=8.5cm,clip]{11736f4c.eps}
\vspace*{5mm}
\end{figure} Figure 4:

Comparison between the LDPs of the young associations and the Li abundances for the young cluster (<100 Myr) from Sestito & Randich (2005). Top. IC 2602 and IC 2391, Middle. $\alpha $ Per and NGC 2451. Bottom. The Pleiades. For each panel our derived LDP having an age closest to that of the cluster is shown as thick black line (see text). The fitted LDP computed in the same way as for the young associations is shown as thick dashed black line.

Open with DEXTER

As expected, Li abundances for stars with temperatures hotter than about 5000 K are almost constant over the time span (${\sim}65$ Myr) covered by our sample of associations (Randich et al. 2001,1998; Martín 1997; Stauffer et al. 1989; Soderblom et al. 1999; Randich et al. 1997; Balachandran et al. 1996; Martin & Montes 1997; King 1998; Jeffries et al. 2003; Balachandran et al. 1988). On the other hand, for those associations possessing members with effective temperatures as low as to 3600 K, the observed LDPs are clearly distinguishable (right panel of Fig. 3).

A closer look into these different lines in the right panel and into the ages quoted in Table 1 shows that there is indeed a gradual shift in the cool end of the observed LDP as a function of age. The age sequence seen in Fig. 3 matches that proposed in TQMS08 based on an isochronal fit of the color-magnitude diagram restricted to the G- and K-type stars (see TQMS08 for details). The only exception is the $\epsilon $ChA, which seems to be older according to its LDP. Given the isochronal age of 6 Myr derived in Paper II, one would expect a flat LDP around the cosmic Li abundance of $A({\rm Li})= 3.1$, as found in T-Tauri stars (e.g., Martin et al. 1994) and young clusters (e.g., Palla et al. 2005; Zapatero Osorio et al. 2002). That a Li depletion is seen might indicate that $\epsilon $ Cha could be a bit older. This is discussed below in Sect. 4.3.

The three associations with 30 Myr, namely, THA, CarA, and ColA were suggested in TQMS08 to be structures of the Great Austral Young Association (GAYA) complex. From the Li abundance point of view, these three groups are indistinguishable indicating that indeed they have very similar ages in agreement with the suggestion of TQMS08.

From Fig. 2, it is clear that there is an important scatter around the mean LDP for any given associations. This scatter is real and not a consequence of the errors. For example, the stars HD 6569, HIP 26401B, and UY Pic, all members of the ABDA (that is, with the same age and metallicity) have all high quality observations, similar values of both $T_{\rm eff}$ (therefore similar masses) and $v \sin (i)$ (10, 5 and 9 km s-1). However, they have very different $A_{\rm Li}$ values, respectively 2.28, 3.32, and 3.66.

The bottom line is that a distinct Li depletion history causes a significant scatter in the observed LDP preventing the use of Li as a clock for dating individual stars. However, statistically speaking, Li abundances derived in a homogeneous way as done in this paper can be used to determine relative ages of the young associations provided that the associations possess enough members cooler than 5000-4500 K. Our conclusions are similar to those of Mentuch et al. (2008), who also found qualitatively good agreement between the Li abundances and the isochronal ages of a small number of stars belonging to the five associations studied here.

As for the Li ``intruders'', only two stars (HD 190102 in the $\beta $PA, and CD-41 2076 in the ABDA) out of the nine rejected as members of the associations proposed in TQMS08 based on their low Li abundance, have A(Li) values relatively close to the LDP of their associations. They are shown as filled hexagons in Fig. 2. The other intruders are shown only in Tables 4-12. HD 190102 was rejected because its Li is too low even if the typical scatter in the Li abundance of the $\beta $PA members is considered. CD-41 2076, which has a Li that is still acceptable for the ABDA, lies 1.1 mag above its isochrone. For either of these two objects to be reconciled as a bonafide member, their photometric magnitudes (from TYCHO-2) must have a large error and/or they must be an unresolved binary. In this last case probably the Li abundance could have been underestimated. We found no indication of the presence of a companion around these two objects. In any case, these two examples show that we must act with caution when eliminating stars based only on Li abundances.

4.3 The age of the $\epsilon $Cha association

The age estimated in TQMS08 for the $\epsilon $ChA is 6 Myr, which is within the range of 3-15 Myr found in the literature (Fernández et al. 2008; Jilinski et al. 2005; Terranegra et al. 1999; Feigelson et al. 2003). We should bear in mind that a given association might have a different member list according to the method and criteria used to define it. Therefore, ages determined by different methods are not always trivial to be compared.

The Li abundances for NGC 2264 (5 Myr) show a flat distribution around A(Li) $\sim$ 3.2 for stars with $6500~{\rm K} > T_{\rm eff} > 4000~{\rm K}$, suggesting that no Li depletion has taken place (Sestito & Randich 2005; King 1998). Palla et al. (2005) see no depletion either for the bulk of Orion nebular cluster (ONC) (3 Myr) stars. The mean abundance is again 3.1-3.3. Undepleted lithium abundances were also reported by Zapatero Osorio et al. (2002) for the young $\sigma$ Ori cluster. Based on theoretical predictions for the Li depletion, Zapatero Osorio et al. estimated the age of $\sigma$ Ori to be around 2-4 Myr. It is worth noting that for the ONC and the $\sigma$ Ori cluster, a small group of stars was found to show a considerable Li depletion with respect to the interstellar abundance. The observed depletion in the Li content was explained by Palla et al. (2005) for the ONC and by Sacco et al. (2007) for $\sigma$ Ori as a result of an age spread within those two clusters.

Our Fig. 3 indeed supports the idea that the age of the $\epsilon $ChaA is at least as young as the TWA but older than that of NGC 2264, ONC and, the $\sigma$ Ori cluster and certainly younger than the $\beta $PA.

4.4 Li and rotation

A careful inspection of Fig. 2 shows that stars rotating faster than 20 km s-1 (filled circles) are often above the polynomial fit of the LDP of the associations, suggesting that already at this level, rotation might play a role in the Li depletion.

This is more clearly seen in Fig. 7, where the histograms of the differences between the derived abundances and the polynomial fit of the observed LDP is shown for rotations slower and faster than 20 km s-1.

Addressing the role of rotation using $V\sin i$ might lead to erroneous conclusions since the true rotation of the star is unknown because of the $\sin i$ factor. As an example, we compare in Fig. 6 the spectral region around the Li 6708 line for HD 6569 ($v\sin i$ = 10 km s-1) and HIP 26401B ($v\sin i$ = 5 km s-1). The CaI line at $\lambda~6718$, a good indicator of temperature (see Cutispoto et al. 1999), is also shown in the figure. The similarity of their Ca I lines confirms that both stars have very similar  $T_{\rm eff}$, despite their obviously different Li line intensities.

We used the rotation-chromospheric flux relation derived by Noyes et al. (1984) using the Ca H & K lines ( $R^\prime_{\rm HK}$) to estimate the rotation period for both stars. The $R^\prime_{\rm HK}$ were derived as described in Melo et al. (2006). The spectral region around the Ca H & K lines for both stars is shown in Fig. 5. The calibration of Melo et al. (2006) yields a $R^\prime_{\rm HK}$ of -4.336 and -4.190, which translates into a rotation period of 7.2 days and 2.7 days for HD 6569 and HIP 26401B, respectively. According to the $R^\prime_{\rm HK}$- $P_{\rm rot}$ calibration, HD 6569 rotates almost 3 times more slowly than HIP 26401B. Statistically speaking however, Fig. 7 is worth of mentioning since the true distribution of equatorial velocities computed from a deconvolution process does not differ considerably from the projected one (e.g., Royer et al. 2007).

There is a vast amount of literature showing that Li depletion is driven not only by convection, but that extra-mixing processes capable of inhibiting Li depletion during the PMS are also at work (e.g., Deliyannis et al. 2000; Bouvier 2008). The discussion of this complex issue is beyond the scope of this paper. Nevertheless, we point out that Fig. 7 indicates that a deeper look into the Li-rotation connection in this sample could be worthwhile.

\begin{figure}
\par\includegraphics[angle=-90,width=8.5cm,clip]{11736f5a.eps}\par\includegraphics[angle=-90,width=8.5cm,clip]{11736f5b.eps}
\end{figure} Figure 5:

Regions used to compute the CaII H & K flux. HD 6569 and HIP 26401B are shown in the top and bottom panels, respectively.

Open with DEXTER

\begin{figure}
\includegraphics[width=8.5cm,clip]{11736f6.eps}
\end{figure} Figure 6:

Superposition of the spectra of the stars HD 6569 and HIP 26401B in the Li region. Both stars belong to the AB Doradus association and have the same $T_{\rm eff}$ - note the similarity between the CaI lines, a good temperature indicator - but have distinct Li line intensities.

Open with DEXTER

\begin{figure}
\par\includegraphics[width=8cm,clip]{11736f7.eps}
\end{figure} Figure 7:

Histogram of the differences between the derived abundances and the polynomial fit to the observed LDP. Dark gray and hatched light gray bins represent stars rotating slower and faster than 20 km s-1, respectively.

Open with DEXTER

5 Conclusions

We have completed a systematic study of the evolution of the Li abundances for the most extended sample of pre-main sequence stars belonging to young, loose, nearby associations. Nine associations with a total of 376 stars have been considered covering ages from $\sim$5 Myr to almost that of the age of the Pleiades. Our results were compared to Li studies in young open clusters.

Our main conclusions are the following:

  • A clear Li depletion, considered as a measure of a systematic decrease in the Li abundance with age, can be measured in the temperature range from 5000 K to 3500 K for the age span covered by the nine associations studied in this paper.

  • The age sequence based on the Li-clock agrees well with the isochronal ages of TQMS08.

  • The $\epsilon $ChA is the only possible exception with a LDP exhibiting a considerable Li depletion for late-type stars in comparison to young cluster of similar age.

  • A true scatter in the Li abundance values, with variations larger than those originating in internal or systematic errors, is present. This scatter hampers the use of Li to determine reliable ages for individual stars.

  • The Li depletion patterns for the associations presented here resemble those of young open clusters with similar ages, strengthening the notion that the stars of these loose associations have indeed a common physical origin.

  • For velocities above 20 km s-1, rotation seems to play an important role in inhibiting the Li depletion.

Acknowledgements
The authors wish to thank the staff of the Observatório do Pico dos Dias, LNA/MCT, Brazil and of the European Southern Observatory, La Silla, Chile. L.S. thanks the CNPq, Brazilian Agency, for the grant 301376/86-7. Sofia Randich is warmly thanked for sharing her Li data with us. We are grateful to the anonymous referee whose comments helped to improve the quality of the paper.

References

  • Andersen, J., Gustafsson, B., & Lambert, D. L. 1984, A&A, 136, 65 [NASA ADS]
  • Balachandran, S., Lambert, D. L., & Stauffer, J. R. 1988, ApJ, 333, 267 [NASA ADS] [CrossRef]
  • Balachandran, S., Lambert, D. L., & Stauffer, J. R. 1996, ApJ, 470, 1243 [NASA ADS] [CrossRef]
  • Bessell, M. S. 1979, PASP, 91, 589 [NASA ADS] [CrossRef]
  • Bouvier, J. 2008, A&A, 489, L53 [NASA ADS] [EDP Sciences] [CrossRef]
  • Castilho, B. V., Torres, C. A. O., Quast, G., et al. 2005, From Lithium to Uranium: Elemental Tracers of Early Cosmic Evolution, 228, 83 [NASA ADS]
  • Cutispoto, G., Pastori, L., Tagliaferri, G., Messina, S., & Pallavicini, R. 1999, A&AS, 138, 87 [NASA ADS] [EDP Sciences] [CrossRef]
  • Deliyannis, C. P., Pinsonneault, M. H., & Charbonnel, C. 2000, The Light Elements and their Evolution, Proc. IAU Symp., 198, 61
  • Ducati, J. R., Bevilacqua, C. M., Rembold, S. B., & Ribeiro, D. 2001, ApJ, 558, 309 [NASA ADS] [CrossRef]
  • Feigelson, E. D., Lawson, W. A., & Garmire, G. P. 2003, ApJ, 599, 1207 [NASA ADS] [CrossRef]
  • Fernández, D., Figueras, F., & Torra, J. 2008, A&A, 480, 735 [NASA ADS] [EDP Sciences] [CrossRef]
  • González Hernández, J. I., Caballero, J. A., Rebolo, R., et al. 2008, A&A, 490, 1135 [NASA ADS] [EDP Sciences] [CrossRef]
  • Gustafsson, B., Bell, R. A., Eriksson, K., & Nordlund, A. 1975, A&A, 42, 407 [NASA ADS]
  • Hünsch, M., Randich, S., Hempel, M., Weidner, C., & Schmitt, J. H. M. M. 2004, A&A, 418, 539 [NASA ADS] [EDP Sciences] [CrossRef]
  • Jeffries, R. D. 2006, Chemical Abundances and Mixing in Stars in the Milky Way and its Satellites, ESO Astrophys. Symp. (Springer-Verlag), 163, 163
  • Jeffries, R. D., Oliveira, J. M., Barrado y Navascués, D., & Stauffer, J. R. 2003, MNRAS, 343, 1271 [NASA ADS] [CrossRef]
  • Jilinski, E., Ortega, V. G., & de la Reza, R. 2005, ApJ, 619, 945 [NASA ADS] [CrossRef]
  • Kaufer, A., Stahl, O., Tubbesing, S., et al. 1999, The Messenger, 95, 8 [NASA ADS]
  • Kenyon, S. J., & Hartmann, L. 1995, ApJS, 101, 117 [NASA ADS] [CrossRef]
  • King, J. R. 1998, AJ, 116, 254 [NASA ADS] [CrossRef]
  • Martín, E. L. 1997, Mem. Soc. Astron. It., 68, 905 [NASA ADS]
  • Martin, E. L., & Montes, D. 1997, A&A, 318, 805 [NASA ADS]
  • Martin, E. L., Rebolo, R., Magazzu, A., & Pavlenko, Y. V. 1994, A&A, 282, 503 [NASA ADS]
  • Melo, C., Santos, N. C., Pont, F., et al. 2006, A&A, 460, 251 [NASA ADS] [EDP Sciences] [CrossRef]
  • Mentuch, E., Brandeker, A., van Kerkwijk, M. H., Jayawardhana, R., & Hauschildt, P. H. 2008, ApJ, 689, 1127 [NASA ADS] [CrossRef]
  • Neuhäuser, R. 1997, Science, 276, 1363 [NASA ADS] [CrossRef]
  • Noyes, R. W., Hartmann, L. W., Baliunas, S. L., Duncan, D. K., & Vaughan, A. H. 1984, ApJ, 279, 763 [NASA ADS] [CrossRef]
  • Palla, F., Randich, S., Flaccomio, E., & Pallavicini, R. 2005, ApJ, 626, L49 [NASA ADS] [CrossRef]
  • Pallavicini, R., Randich, S., Stauffer, J. R., & Balachandran, S. C. 2000, The Light Elements and their Evolution, Proc. IAU Symp., 198, 350
  • Platais, I., Melo, C., Mermilliod, J.-C., et al. 2007, A&A, 461, 509 [NASA ADS] [EDP Sciences] [CrossRef]
  • Randich, S., Aharpour, N., Pallavicini, R., Prosser, C. F., & Stauffer, J. R. 1997, A&A, 323, 86 [NASA ADS]
  • Randich, S., Martin, E. L., Lopez, R. J. G., & Pallavicini, R. 1998, A&A, 333, 591 [NASA ADS]
  • Randich, S., Pallavicini, R., Meola, G., Stauffer, J. R., & Balachandran, S. C. 2001, A&A, 372, 862 [NASA ADS] [EDP Sciences] [CrossRef]
  • Royer, F., Zorec, J., & Gómez, A. E. 2007, A&A, 463, 671 [NASA ADS] [EDP Sciences] [CrossRef]
  • Sacco, G. G., Randich, S., Franciosini, E., Pallavicini, R., & Palla, F. 2007, A&A, 462, L23 [NASA ADS] [EDP Sciences] [CrossRef]
  • Sestito, P., & Randich, S. 2005, A&A, 442, 615 [NASA ADS] [EDP Sciences] [CrossRef]
  • Schmidt-Kaler, T. 1982, in Landolt-Börnstein: Numerical Data and Functional Relationships in Science and Technology - New Series, VI/2b, ed. K. Schaifers, & H. H. Voigt (Springer-Verlag), 1
  • Siess, L., Dufour, E., & Forestini, M. 2000, A&A, 358, 593 [NASA ADS]
  • Silva, W. P., & Silva, C. M. D. P. S. 2004, LAB Fit Ajuste de Curvas V.7.2.14e, online http://www.angelfire.com/rnb/labfit/index_p.htm
  • Soderblom, D. R., Jones, B. F., Balachandran, S., et al. 1993, AJ, 106, 1059 [NASA ADS] [CrossRef]
  • Soderblom, D. R., King, J. R., Siess, L., Jones, B. F., & Fischer, D. 1999, AJ, 118, 1301 [NASA ADS] [CrossRef]
  • Stauffer, J., Hartmann, L. W., Jones, B. F., & McNamara, B. R. 1989, ApJ, 342, 285 [NASA ADS] [CrossRef]
  • Terranegra, L., Morale, F., Spagna, A., Massone, G., & Lattanzi, M. G. 1999, A&A, 341, L79 [NASA ADS]
  • Torres, C. A. O., Quast, G. R., da Silva, L., et al. 2006, A&A, 460, 695 [NASA ADS] [EDP Sciences] [CrossRef] (Paper I)
  • Torres, C. A. O., Quast, G. R., Melo, C. H. F., & Sterzik, M. F. 2008, Handbook of Star Forming Regions, Volume II, The Southern Sky ASP Monograph Publications, Vol. 5, ed. Bo Reipurth, 757 (TQMS08)
  • Zapatero Osorio, M. R., Béjar, V. J. S., Pavlenko, Y., et al. 2002, A&A, 384, 937 [NASA ADS] [EDP Sciences] [CrossRef]
  • Zuckerman, B., & Song, I. 2004, ARA&A, 42, 685 [NASA ADS] [CrossRef]

Online Material

Table 3:   The $\beta $ Pictoris association.

Table 4:   The Tucana-Horologium association.

Table 5:   The Columba association.

Table 6:   The Carina association.

Table 7:   The TW Hydrae association.

Table 8:   The $\epsilon $ Chamaleontis association.

Table 9:   The Octans association.

Table 10:   The Argus association.

Table 11:   The AB Doradus association.

Footnotes

... abundances[*]
Based on observations collected at the ESO - La Silla and at the LNA-OPD.
...[*]
Tables 3-11 are only available in electronic form at http://www.aanda.org
... association[*]
With these updates of the THA and the ColA, only 11 of the 50 stars listed by Zuckerman & Song (2004) are not found by us as high probability members of one of the GAYA associations (see Sect. 3 of Torres et al. 2008).
... Castelli[*]
http://www.user.oat.ts.astro.it/castelli
... group[*]
http://marcs.astro.uu.se/
Copyright ESO 2009

All Tables

Table 1:   Properties of the associations studied in this paper.

Table 2:   Variation in Li abundance as a function of EW and model parameters.

Table 3:   The $\beta $ Pictoris association.

Table 4:   The Tucana-Horologium association.

Table 5:   The Columba association.

Table 6:   The Carina association.

Table 7:   The TW Hydrae association.

Table 8:   The $\epsilon $ Chamaleontis association.

Table 9:   The Octans association.

Table 10:   The Argus association.

Table 11:   The AB Doradus association.

All Figures

  \begin{figure}
\par\includegraphics[width=7.5cm,clip]{11736f1.eps}
\end{figure} Figure 1:

Comparison between our results and those of Randich et al. (2001) for the stars in IC 2391 and IC 2602.

Open with DEXTER
In the text

  \begin{figure}
\par\includegraphics[width=6cm,clip]{11736f2a.eps}\hspace*{2mm}
\...
...*{2mm}
\includegraphics[width=6cm,clip]{11736f2i.eps}
\vspace*{3mm}
\end{figure} Figure 2:

Lithium depletion pattern for all nine associations presented in this paper. Plots are arranged in the age sequence of Table 1. Stars rotating slower (faster) than 20 km s-1 are shown as open squares (filled circles). Stars whose $v\sin i$ could not be determined are plotted as crosses. Filled hexagons are Li intruders. A 4th-degree polynomial fit of the data is shown as a solid line.

Open with DEXTER
In the text

  \begin{figure}
\par\includegraphics[width=7.5cm,clip]{11736f3a.eps}\hspace*{0.7cm}
\includegraphics[width=7.5cm,clip]{11736f3b.eps}
\end{figure} Figure 3:

Comparison of the polynomial fit of the observed LDPs. Left. All polynomial fits for the associations shown in Fig. 2. For each association, LDPs are identified by a line type and a symbol as follow: $\epsilon $ChaA (solid line, filled triangles), TWA (dashed line, filled circles), $\beta $PicA (dotted line, diamonds), OctA (solid line, square), THA (dashed line, downwards triangle), ColA (dashed-dotted line, crosses), CarA (solid line, rightwards triangle), ArgA (dashed-dotted, pentagon), and ABDA (dashed line, hexagon). The associations between 20-30 Myr are indistinguishable. Right. Zoom in $T_{\rm eff}$ cooler than 4800 K. At this region, a clear separation between the LDP is seen.

Open with DEXTER
In the text

  \begin{figure}
\par\includegraphics[width=8.5cm,clip]{11736f4a.eps}\vspace*{5mm}...
...5mm}
\includegraphics[width=8.5cm,clip]{11736f4c.eps}
\vspace*{5mm}
\end{figure} Figure 4:

Comparison between the LDPs of the young associations and the Li abundances for the young cluster (<100 Myr) from Sestito & Randich (2005). Top. IC 2602 and IC 2391, Middle. $\alpha $ Per and NGC 2451. Bottom. The Pleiades. For each panel our derived LDP having an age closest to that of the cluster is shown as thick black line (see text). The fitted LDP computed in the same way as for the young associations is shown as thick dashed black line.

Open with DEXTER
In the text

  \begin{figure}
\par\includegraphics[angle=-90,width=8.5cm,clip]{11736f5a.eps}\par\includegraphics[angle=-90,width=8.5cm,clip]{11736f5b.eps}
\end{figure} Figure 5:

Regions used to compute the CaII H & K flux. HD 6569 and HIP 26401B are shown in the top and bottom panels, respectively.

Open with DEXTER
In the text

  \begin{figure}
\includegraphics[width=8.5cm,clip]{11736f6.eps}
\end{figure} Figure 6:

Superposition of the spectra of the stars HD 6569 and HIP 26401B in the Li region. Both stars belong to the AB Doradus association and have the same $T_{\rm eff}$ - note the similarity between the CaI lines, a good temperature indicator - but have distinct Li line intensities.

Open with DEXTER
In the text

  \begin{figure}
\par\includegraphics[width=8cm,clip]{11736f7.eps}
\end{figure} Figure 7:

Histogram of the differences between the derived abundances and the polynomial fit to the observed LDP. Dark gray and hatched light gray bins represent stars rotating slower and faster than 20 km s-1, respectively.

Open with DEXTER
In the text


Copyright ESO 2009

Current usage metrics show cumulative count of Article Views (full-text article views including HTML views, PDF and ePub downloads, according to the available data) and Abstracts Views on Vision4Press platform.

Data correspond to usage on the plateform after 2015. The current usage metrics is available 48-96 hours after online publication and is updated daily on week days.

Initial download of the metrics may take a while.