| Issue |
A&A
Volume 508, Number 2, December III 2009
|
|
|---|---|---|
| Page(s) | 951 - 962 | |
| Section | The Sun | |
| DOI | https://doi.org/10.1051/0004-6361/200912450 | |
| Published online | 15 September 2009 | |
A&A 508, 951-962 (2009)
Wave propagation and energy transport in the magnetic network of the Sun
G. Vigeesh1,2 - S. S. Hasan1 - O. Steiner2
1 - Indian Institute of Astrophysics, Block II Koramangala,
Bangalore-560034, India
2 - Kiepenheuer-Institut für Sonnenphysik, Schöneckstrasse 6, 79104
Freiburg, Germany
Received 8 May 2009 / Accepted 10 September 2009
Abstract
Aims. We investigate wave propagation and energy
transport in magnetic elements, which are representatives of small
scale magnetic flux concentrations in the magnetic network on the Sun.
This is a continuation of earlier work by Hasan et al. (2005,
ApJ, 631, 1270). The new features in the present investigation include
a quantitative evaluation of the energy transport in the various modes
and for different field strengths, as well as the effect of the
boundary-layer thickness on wave propagation.
Methods. We carry out 2D MHD numerical simulations
of magnetic flux concentrations for strong and moderate magnetic fields
for which
(the ratio of gas to magnetic pressure) on the tube axis at the
photospheric base is 0.4 and 1.7, respectively. Waves
are excited in the tube and ambient medium by a transverse impulsive
motion of the lower boundary.
Results. The nature of the modes excited depends on
the value of
.
Mode conversion occurs in the moderate field case when the fast mode
crosses the
contour. In the strong field case the fast mode undergoes conversion
from predominantly magnetic to predominantly acoustic when waves are
leaking from the interior of the flux concentration to the ambient
medium. We also estimate the energy fluxes in the acoustic and magnetic
modes and find that in the strong field case, the vertically directed
acoustic wave fluxes reach spatially averaged, temporal maximum values
of a few times 106 erg cm-2 s-1
at chromospheric height levels.
Conclusions. The main conclusions of our work are
twofold: firstly, for transverse, impulsive excitation, flux
tubes/sheets with strong fields are more efficient than those with weak
fields in providing acoustic flux to the chromosphere. However, there
is insufficient energy in the acoustic flux to balance the
chromospheric radiative losses in the network, even for the strong
field case. Secondly, the acoustic emission from the interface between
the flux concentration and the ambient medium decreases with the width
of the boundary layer.
Key words: Sun: magnetic fields - Sun: photosphere - Sun: faculae, plages - magnetohydrodynamics (MHD) - waves
1 Introduction
Quantitative studies of wave propagation in magnetically structured and gravitationally stratified atmospheres help to identify various physical mechanisms that contribute to the dynamics of the magnetic network on the Sun, and to develop diagnostic tools for the helioseismic exploration of such atmospheres. Magnetic fields play an important role in the generation and propagation of waves. The aim of this work is to attempt a better understanding of this process in the magnetized solar atmosphere. We have carried out a number of numerical simulations of wave propagation in a two-dimensional gravitationally stratified atmosphere consisting of individual magnetic flux concentrations representative of solar magnetic network elements of different field strengths.
While the magnetic field in the internetwork regions of the quiet Sun is mainly shaped by the convective-granular flow with a predominance of horizontal fields and rare occurrence of flux concentrations surpassing 1 kG, the magnetic network shows plenty of flux concentrations at or surpassing this limit with a typical horizontal size-scale in the low photosphere of 100 km. These ``magnetic elements'' appear as bright points in G-band images near disk center and they can be well modeled as magnetic flux tubes and flux sheets. Their magnetic field is mainly vertically directed and they are in a highly dynamical state (Berger & Title 2001; Muller et al. 1994; Muller 1985; Berger & Title 1996).
Different from the shock induced Ca II H2v and K2v bright points in the cell interior, the network in the chromosphere is seen to be continuously bright (Lites et al. 1993; Sheminova et al. 2005), which asks for a steady heating mechanism. It is also seen that the Ca II H and K line profiles from the network are nearly symmetric (Grossmann-Doerth et al. 1974).
Several numerical investigations have been carried out to explain these observations. Early works modelled the network as thin flux tubes and studied the transverse and longitudinal waves, which can be supported by them, excited by the impact of granules. These works failed to explain the persistent emission that was seen in observations of the Ca II H and K lines. When high frequency waves, generated by turbulence in the medium surrounding flux tubes, were added (Hasan et al. 2000), the observational signature of the modelled process became less intermittent and was in better agreement with the more steady observed intensity from the magnetic network. Later works examined mode coupling between transverse and longitudinal modes in the magnetic network, using the nonlinear equations for a thin flux tube (e.g. Hasan & Ulmschneider 2004). All these studies modelled the network as consisting of thin-flux tubes, an approximation that becomes invalid at about the height of formation of the emission peaks in the cores of the H and K lines. Also, this approximation does not treat the dispersion of magnetic waves caused by the variation of the magnetic field strength across the flux concentration and it does not take into account the emission of acoustic waves into the ambient medium.
Numerical simulations by Rosenthal et al. (2002) and Bogdan et al. (2003), studied wave propagation in two-dimensional stratified atmospheres in the presence of a magnetic field. They recognized and highlighted the role of refraction of fast magnetic waves and the role of the surface of equal Alfvén and sound speed as a wave conversion zone, which they termed the magnetic canopy. While the thick flux sheets of Rosenthal et al. (2002) and Bogdan et al. (2003) were a more realistic model for the network, they also assumed that the magnetic field was potential. Considering that the gas pressure, kinetic energy density, and the energy density of the magnetic field are all of similar magnitude in the photosphere, this assumption is probably not satisfied.
Cranmer & van Ballegooijen (2005) modelled the network as consisting of a collection of smaller flux tubes that are spatially separated from one another in the photosphere. Hasan et al. (2005) performed MHD simulations of wave generation and propagation in an individual magnetic flux sheet of such a collection and confirmed the existence of magneto-acoustic waves in flux sheets as a result of the interaction of these magnetic flux concentrations with the surrounding plasma. They used a non-potential field to model the network. They speculated that a well defined interface between the flux sheet and the ambient medium may act as an efficient source of acoustic waves to the surrounding plasma. In a later paper, Hasan & van Ballegooijen (2008) showed that the short period waves that are produced as a result of turbulent motions can be responsible for the heating of the network elements.
Cally
(2005,2007)
provided magneto-acoustic-gravity dispersion relations for waves in a
stratified atmosphere with a homogeneous, inclined magnetic field and
discussed the process of mode transmission and mode conversion. Khomenko et al. (2008)
presented results of nonlinear, two-dimensional, numerical
simulations of magneto-acoustic wave propagation in the photosphere and
chromosphere in small-scale flux tubes with internal structure. Their
focus was on long period waves with periods of three to five minutes. Steiner et al. (2007)
considered magnetoacoustic wave propagation in a complex, magnetically
structured, non-stationary atmosphere. They
showed that wave travel-times can be used to map the topography of the
surface of thermal and magnetic equipartition (
)
of such an atmosphere. Hansteen
et al. (2006) and De
Pontieu et al. (2007) performed two-dimensional
simulations covering the solar atmosphere from the convection zone to
the
lower corona. They showed how MHD waves generated by convective flows
and oscillations in the photosphere turn into shocks higher up and
produce spicules.
Despite these efforts, the physical processes that contribute
to the enhanced network emission are still not well understood. It is
well known, that small scale magnetic elements have varying field
strengths, ranging from hecto-gauss to kilo-gauss (Solanki 1993;
Berger
et al. 2004). This suggests that the
layer in these elements varies considerably in height, which in turn
should affect the wave propagation in them
(Schaffenberger
et al. 2005). Hasan
et al. (2005) and Hasan
& van Ballegooijen (2008), argue that the network is
heated by the dissipation of magnetoacoustic waves. However, these
works did not provide quantitative estimates of the energy flux carried
by the waves. This is the main focus of the present investigation,
where we examine wave propagation in magnetic elements with different
magnetic field strengths. We also study the effects of varying the
interface thickness between the flux sheet and the ambient medium on
the
acoustic wave emission in the ambient medium.
The outline of the paper is as follows. Section 2, discusses the construction of the initial equilibrium model and Sect. 3 the boundary conditions and method of solution for the simulation. In Sect. 4, the dynamics and in Sect. 5, the energetics is discussed. Section 6, discusses the effects of boundary layer thickness on the acoustic wave emission. Section 7 summarizes the results and Sect. 8 contains the main conclusion and a discussion of the results.
2 Initial equilibrium model
Table 1: Equilibrium model parameters for the moderate and strong flux sheets.
The initial atmosphere containing the flux sheet is computed
in cartesian coordinates using the numerical methods described in Steiner et al. (1986, see also Steiner et al. 2007).
The method consists of initially specifying a magnetic field
configuration
and the pressure distribution in the physical domain. The magnetic
field
can be written in terms of the flux function
as
The gas pressure as a function of height and field line (flux value),
where the constants a, b, c, and d are chosen such that the pressure and its first derivative with respect to
where
which defines us the density distribution and with it the temperature field. From the equation of motion perpendicular to
which after some manipulation reduces to
The new magnetic field configuration can be calculated from the current density using the Grad-Shafranov equation,
The above elliptic partial differential equation can be solved using standard numerical methods with appropriate boundary conditions. In practice we solve Eq. (9) on a computational domain that consists of only half of the flux sheet of horizontal and vertical extensions of 640 km and 1600 km, respectively. This domain is discretized on a equidistant rectangular mesh with a spacing of 5 km. The left side of the domain corresponds to the axis of the flux sheet. The value of
|
Figure 1:
Vertical component of the magnetic field at the base of the flux sheet,
z=0. Solid and dashed curves correspond to
field configurations with a sharp and a wide interface to the
weak-field surroundings, respectively. Each configuration is subdivided
into a case of moderate field-strength with |
| Open with DEXTER | |
The vertical component of the magnetic field at z=0 is shown in Fig. 1 for the strong and moderate field cases. For the sharp interface (solid curves) the vertical component of the magnetic field component drops sharply, whereas in the case of a wide interface (dashed curves) the field decreases smoothly.
The characteristic properties of the two models are summarized
in Table 1.
The numbers in the first row of each quantity corresponds to the top
boundary (z = 1600 km) and the numbers in
the second row corresponds to
the bottom boundary (z = 0 km). The
temperature increases monotonically
from 4758 K in the photosphere to 9142 K in the
chromosphere corresponding
to the sound speed variation from 7.1 km s-1
to 13.5 km s-1. The
density and pressure at the axis of the sheet is the same for both the
cases. We should mention that the ambient magnetic field is weak (of
the order
of few tens of Gauss). As we go higher up in the atmosphere the flux
sheet
expands and becomes uniform near the top with an average field strength
of
118 G and 227 G for the moderate and strong field
cases, respectively. The
plasma-
on the sheet axis is 1.69 and 0.42 at the base for
the moderate
and strong field cases.
3 Method and boundary conditions
Waves are excited in the equilibrium magnetic field configuration
through
a transverse motion of the lower boundary (similar to Hasan
et al. 2005).
The system of MHD equations, given in conservation-law form for an
inviscid adiabatic
fluid, is solved according to the method described in Steiner et al. (1994).
These are the continuity,
momentum, entropy, and the magnetic induction equations. The unknown
variables are the density,
,
the momenta,
and
,
where Vx
and Vz
are the horizontal and vertical components of
the velocity, the entropy per unit mass, s, and the
magnetic
field, Bx
and Bz.
The equation of state is that for the solar mixture with a constant
mean molecular weight of 1.297. For the numerical integration,
the system of MHD equations are transformed into a system of discrete
finite volume equations. The numerical fluxes are computed based on the
flux-corrected transport (FCT) scheme of Oran
& Boris (1987). For the induction equation we use a
constrained transport scheme (Devore
1991), which automatically keeps
.
The time
integration is explicit. The scheme is of second order accuracy.
Transmitting conditions apply to the side boundaries set by
constant extrapolation of the variables from the physical domain to the
boundary cells. Constant extrapolation also applies to the horizontal
component of the momentum at the top and bottom boundary and to the
vertical component at the bottom boundary. The density in the top
boundary cells is determined using linear log extrapolation, while at
the bottom boundary hydrostatic extrapolation applies. For the
temperature constant extrapolation is used. The horizontal component of
the magnetic field at the top and bottom boundaries are set equal to
the corresponding values at the preceding interior point. The vertical
component of the magnetic field is determined by the condition
.
The transverse velocity Vx
at z = 0 is specified as follows:
where V0 denotes the amplitude of the horizontal motion and P is the wave period. This form was chosen to simulate the effect of transverse motion of the flux sheet at the lower boundary. For simplicity we assume that all points of the lower boundary have this motion: this does not generate any waves in the ambient medium, other than at the interface with the flux sheet. As a standard case in our simulation we use V0 = 750 m s-1 and P = 24 s following Hasan et al. (2005). This short period is motivated by the result of (Hasan et al. 2000) that high frequency waves would model the observational signature of wave heating less intermittent and thus in better agreement with the steady observed intensity from the magnetic network. We consider a uniform horizontal displacement of the bottom boundary for half a period after which the motion is stopped (this corresponds to the impulsive case treated by Hasan et al. 2005). Such short duration motions are expected to be generated by the turbulent motion in the convectively unstable subsurface layers where the flux sheet is rooted. In terms of the analysis by Cranmer & van Ballegooijen (2005) of the kinematics of G-band bright points, this motion rather corresponds to a short, single step of their ``random walk phase'', for which these authors use a rms velocity of 0.89 km s-1 with a correlation time of bright-point motions of 60 s in accordance with the measurements of Nisenson et al. (2003). The cases with higher velocities (see Table 2) would rather be representative of the ``jump phase'' for which Cranmer & van Ballegooijen (2005) use a velocity of 5 km s-1 with a duration of 20 s. This motion generates magnetoacoustic waves in the flux sheet. We first examine wave propagation and energy transport in a flux sheet with a sharp interface for the moderate and the strong field cases. In Sect. 6 we analyze the effect of varying the interface thickness.
|
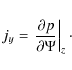
Figure 2:
Temperature perturbations for the case in which the field strength at
the axis at z=0 is 800 G (moderate field).
The colors (gray shades for the print version) show the temperature
perturbations at 40, 60, 80, and 120 s (
from bottom to top) after initiation of an impulsive
horizontal motion at the z=0 boundary of a duration
of 12 s with an amplitude of 750 m s-1
and a period of P=24 s. The thin black
curves are field lines and the white curve represents the contour of |
| Open with DEXTER | |
4 Dynamics
4.1 Moderate field
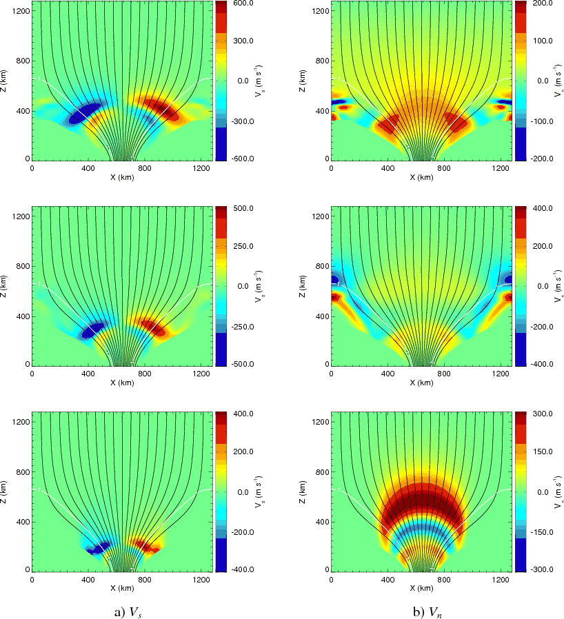
|
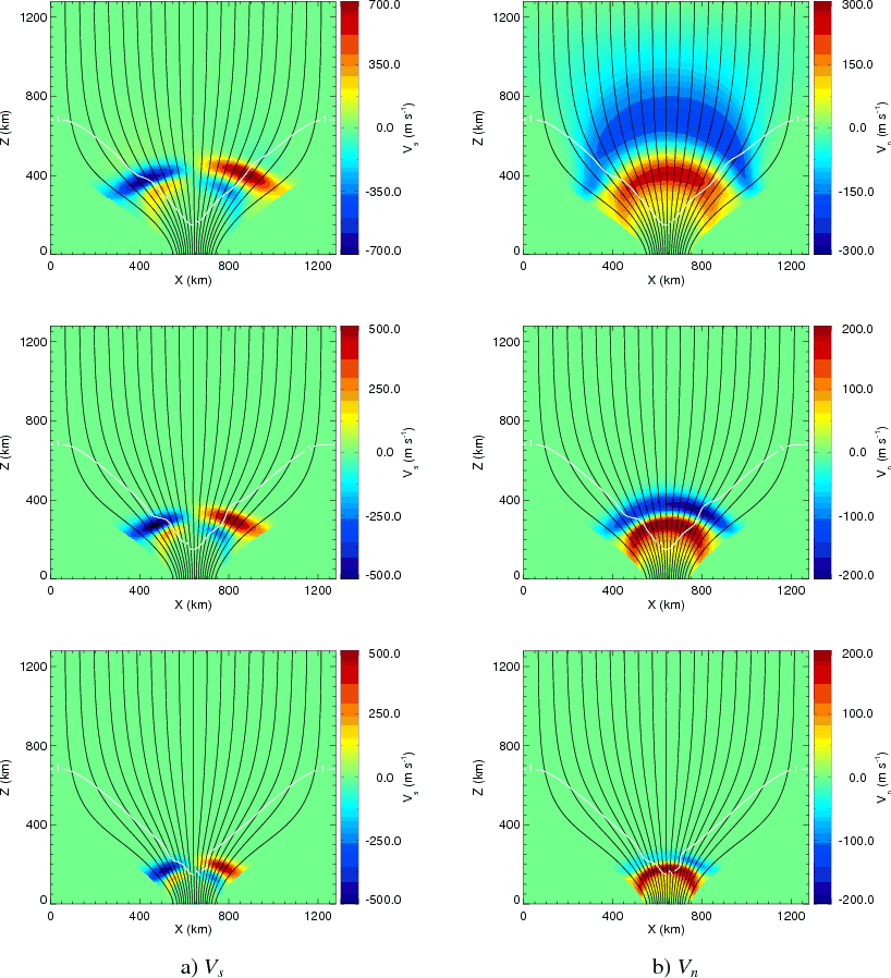
Figure 3:
Velocity components for the case in which the field strength at the
axis at z=0 is 800 G (moderate field). The
colors (gray shades for the print version) show the velocity components
a) Vs,
along the field, and b) Vn,
normal to the field, at 40, 60, and 80 s (
from bottom to top) after initiation of an impulsive
horizontal motion at the z=0 boundary of a duration
of 12 s with an amplitude of 750 m s-1
and a period of P=24 s. The thin black
curves are field lines and the white curve represents the contour of |
| Open with DEXTER | |
Let us consider a magnetic configuration in which the field strength at
the
axis of the flux sheet at z=0 is 800 G. In
this case the
contour
is well above the bottom boundary in the atmosphere and hence all the
magnetic field lines
emerging from the base of the sheet cross this layer at some height.
Waves
are excited at z=0, where
(on the axis
), in the
form of a fast (predominantly acoustic) wave and a slow (predominantly
magnetic)
wave, which propagate respectively at the sound and the Alfvén speeds.
On the sheet axis, the acoustic and Alfvén speeds at z=0
are 7.1 and 6.0 km s-1,
respectively (see Table 1).
The fast wave is created due to compression and rarefaction of the gas
at the leading and
trailing edge of the flux sheet, respectively: this can be clearly
discerned in the snapshots of the temperature perturbation,
(the temperature difference with respect to the initial value), shown
in Fig. 2
at 40, 60, 80 and 120 s after start of the
perturbation. (These panels and panels in the following figures do not
show the full height range of the computational domain but up to
1280 km
only.) The black curves denote the magnetic field lines
and the white curve depicts the
contour. The perturbations are
out of phase on opposite sides of the sheet axis. As these fast
waves travel upwards they eventually cross the layer of
,
where they change their label from ``fast'' to ``slow'', without
changing
their acoustic nature: this corresponds to a ``mode transmission'' in
the sense of Cally (2007).
The transmission coefficient depends (among others) on the ``attack
angle'' i.e.,
the angle between the wave vector and the local direction of the
magnetic
field (Cally 2007). On the
layer, away from the sheet axis,
where the wave vector is not exactly parallel to the magnetic field, we
do
not have complete transmission of the fast wave to a slow wave. Rather,
there is a partial conversion of the mode from fast acoustic to
fast magnetic, so that the energy in the acoustic mode is
reduced correspondingly.
Figures 3a
and 3b
shows the velocity components in the flow parallel
(Vs) and
perpendicular (Vn)
to the field, respectively. The velocity
components are shown only in regions where the field is greater than
50 G
since in the ambient medium with weak field this decomposition is no
longer
meaningful. In general the waves possess both longitudinal and
transverse
velocity components, but in regions where
,
the parallel
component essentially corresponds to the slow (acoustic) wave that is
guided upward along the field. This correspondence can be seen by
comparing the parallel flow pattern (in Fig. 3a) with
the temperature perturbation in Fig. 2.
The excitation at the bottom boundary also generates a slow
(magnetic) wave
with velocity perturbations normal to the magnetic field line. In
order to visualize the slow wave, we show the velocity component normal
to
the magnetic field in Fig. 3b. The
slow wave
also encounters the layer of
and undergoes mode transmission and
conversion. Above the layer of
,
the transmitted wave is a fast mode,
which rapidly accelerates due to the sharp increase in Alfvén speed
with height.
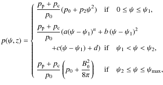
4.2 Strong field
We now consider the case in which the field strength on the sheet axis
is
1600 G (at z=0). Here, the contour of
approximately traces the boundary
of the flux sheet. The transverse motion of
the lower boundary generates slow (essentially acoustic) and fast
(essentially magnetic) waves. Since the contour of
runs along the boundary of the
flux sheet, waves generated in the sheet that travel upwards do not
encounter
this layer and hence do not undergo mode conversion. Figure 4 shows the
temperature perturbation
at 40, 60, 80, and 120 s
.
Figure 5
shows the parallel and perpendicular components (with respect to the
magnetic field) of the velocity.
The slow (acoustic) wave is guided upwards along the field
without
changing character. On the other hand, the fast wave, which can travel
across the field encounters the
contour at the boundary of the flux
sheet. As the fast wave crosses this layer, it enters a region of
negligible field and hence gets converted into a fast (acoustic) wave.
This can be easily seen in
the snapshot of temperature perturbations at an elapsed time of
40 s. The
fast wave in the low-
region, which is essentially a magnetic wave,
undergoes mode conversion and becomes an acoustic wave, which creates
fluctuations in temperature visible as wing like features in the
periphery of
the flux sheet between approximately z=200 to
500 km. The fast wave gets refracted due to the gradients in
Alfvén speed higher up in the atmosphere. Furthermore, similar to Hasan et al. (2005), we
find that the interface between the magnetic flux sheet and the ambient
medium is a remarkable source of acoustic emission. It is visible in
Fig. 4
as a wave of
shell-like shape in the ambient medium that emanates from the base of
the flux sheet and subsequently propagates, as a fast acoustic wave,
laterally away from it.
Incidentally, the phase of transverse movement changes by
between
the moderate and strong field case as can be seen comparing
Fig. 3b
with
Fig. 5b.
This is due to the development of
a vortical flow from the high pressure leading edge of the flux sheet
to
the low pressure trailing edge that develops in the high-
photospheric
layers of the moderately strong flux sheet but is largely suppressed in
the
strong field case, where it is from the beginning preceded by the fast
(magnetic) wave that emerges right from the initial pulse. The
development of
a vortical flow in the moderate field case was also noticed in Hasan et al. (2005).
|
Figure 4: Temperature perturbations for the case in which the field strength at the axis at z=0 is 1600 G (strong field) for times t= 40, 60, 80, and 120 s. The coding corresponds to that of Fig. 2. |
| Open with DEXTER | |
|
Figure 5: Velocity components for the case in which the field strength at the axis at z=0 is 1600 G (strong field) for times t= 40, 60, and 80 s. The coding corresponds to that of Fig. 3. |
| Open with DEXTER | |
Besides the fast and slow acoustic and the fast magnetic wave that
emanate directly
from the initial perturbation there is also a slow magnetic mode from
this
source, which propagates in the high-
surface layer of the flux sheet.
It is visible in Fig. 5b as the
yellow/red crescent-shaped
perturbation (bright shades for the print version), which trails the
big red and blue crescents (white and black for the print version)
pertaining to the fast
magnetic mode. Different from the latter, which is maximal at the
flux-sheet axis, the slow mode has maximal amplitude in the weak-field
boundary-layer of
the flux concentration. A similar but acoustic slow surface mode was
found
by Khomenko et al. (2008)
when the driver was located in the high-
layers
of the flux concentration. Here, this mode generates a remarkable
amount of acoustic
emission to the ambient medium as will be seen in Sect. 6.
In a three-dimensional environment there would in general
appear a third,
intermediate wave type, additional to the slow and fast mode, depending
on the
geometry of the magnetic field and the initial perturbation.
Correspondingly,
we may expect mode coupling between all three wave types. In the
presence of gravitational stratification, the
surface (more precisely the surface of equal Alfvén and sound speed)
would still constitute the
critical layer for mode coupling so that we could expect scenarios not
radically
different from but more complex than those of Sects. 4.1
and 4.2.
|
Figure 6:
Wave-energy fluxes (absolute values) for the case in which the field
strength at the axis at z=0 is 800 G
(moderate field). The colors (gray shades for the print version) show
a) the acoustic flux, and b) the
Poynting flux, at 40, 60, and 80 s ( from
bottom to top) after initiation of an impulsive horizontal
motion at the z=0 boundary of a duration of
12 s with an amplitude of 750 m s-1
and a period of P=24 s. The thin black
curves are field lines and the thick black curve represents the contour
of |
| Open with DEXTER | |
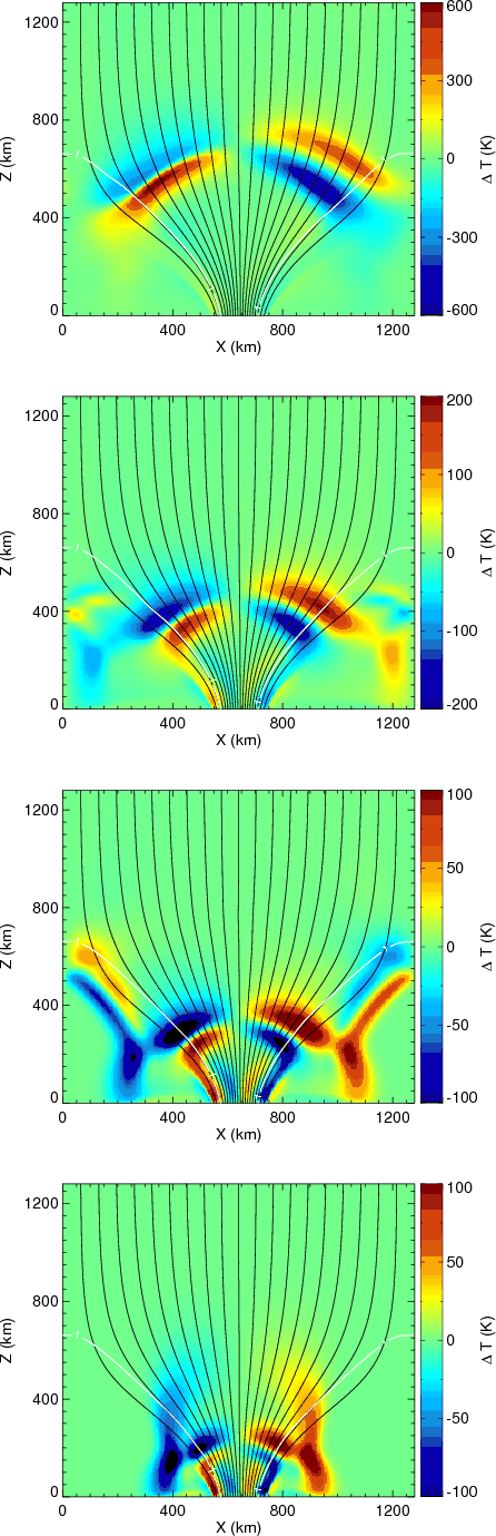
5 Energy transport
We now consider the transport of energy in the various wave modes.
Using
the full nonlinear expression for the energy flux, it is not easily
possible to identify the amount of energy carried by the magnetic and
acoustic waves. Following Bogdan
et al. (2003), we instead consider the wave flux
using the expression given by Bray
& Loughhead (1974) that represents the net transport
of
energy into the atmosphere:
The first term on the right hand side of the equality sign is the net acoustic flux, and the last two terms are the net Poynting flux. The operator
Figures 6a
and 6b
show the magnitude of the acoustic (left panels) and the
Poynting flux (right panels) at 40, 60, and 80 s
(from bottom to top) for the moderate
field case. Since in the ambient medium the field strength is weak, the
Poynting fluxes are not shown in this region. The Poynting flux is
essentially the wave energy that is carried by the magnetic mode, which
as expected, is localized to the flux sheet. On the other hand, the
energy transport in the acoustic-like component is more
isotropic. At t=40 s, we find from
Fig. 6a
that the wave has just crossed the
contour. Thereafter, it propagates as a slow wave
guided along the field at the acoustic speed within the flux sheet and
as a fast
spherical-like wave in the surrounding quasi field-free medium. Inside
the flux sheet, the energy in the magnetic component (Poynting flux)
and the acoustic component is of the same order of magnitude.
A comparison of these results with those for the strong field case (Fig. 7) shows that in the latter case energy is transported by the fast wave much more rapidly, especially in the central regions of the flux sheet. This is due to the sharp increase of the Alfvén speed with height above z > 200 km. At t=40 s we find that the wave front associated with the magnetic component has already reached a height of about 500 km (close to the sheet axis), while the acoustic wave reaches this level only at about t=80 s.
From the contour plots of Figs. 6 and 7, we see
that the fluxes in the ambient medium for the strong field case is
still close to 108 erg cm-2 s-1,
while for the moderate field, it is almost an order of magnitude less,
suggesting that the flux sheets with strong fields are a more efficient
source of acoustic fluxes into the ambient medium. The ``mode
transmission'' from fast (acoustic) to slow (acoustic) that takes place
in the case of a moderate field, as explained in Sect. 4, can be seen in
Fig. 6a.
Since the ``attack angle'' in this case is close to zero, a significant
amount of acoustic transmission takes place across the layer of
.
Another feature that we see in the plots of wave-energy fluxes is the
``mode conversion'' that takes place in the strong field case. The fast
magnetic wave, which is generated inside the flux sheet can travel
across the magnetic field. This mushroom like shape, which is
expanding, can be easily discerned in the 40 s snapshot of the
Poynting flux shown in Fig. 7b. As this
wave crosses the
contour, it is converted into a fast (acoustic) wave. The wing like
feature that can be seen in the 60 s snapshot of the acoustic
fluxes (Fig. 7a)
are due to
the fast waves that have a moment ago undergone a ``mode conversion''
from magnetic to acoustic.
Next we consider a field line to the left of the flux sheet
axis, which encloses a
fractional flux of 50%. The field aligned and the normal
component
of the wave-energy fluxes are calculated along this particular field
line.
Figure 8
shows the positive, field aligned component of acoustic flux for the
moderate and strong field case as a function of time and spatial
coordinate z along the field line. The
dotted curves in the figure show the space time position of a
hypothetical wavefront that travels with Alfvén speed (steeper slope)
and sound speed along this magnetic field line. With the help of this
plots it is easy to separate the energy fluxes that is carried by the
slow and the fast wave modes. The evolution of the
layer is shown for the moderate field case. The perturbation of this
layer as the wave crosses it can be seen clearly around 40 s.
It moves down due to the decrease in pressure caused by the rarefaction
front and then moves up when the compression front passes it. Most
fraction of the flux lies parallel to the line that corresponds to the
hypothetical acoustic wave, which is a slow mode in the region where
.
In the strong field case, above approximately z=800 km
and for times
s,
the acoustic flux carried in the compressive (trailing) phase starts to
catch up the slightly slower moving expansive phase and the flux gets
confined into a narrow shock forming region. This is
also visible in the case of the moderately strong field. This behavior
is not
present along the corresponding field line to the right of the sheet
axis (not shown
here), where the compressive phase is leading so that the compressive
and expansive phase of the perturbation slightly diverge with time.
|
Figure 7: Wave-energy fluxes for the case in which the field strength at the axis at z=0 is 1600 G (strong field) for times t= 40, 60, and 80 s. The coding corresponds to that of Fig. 6. The Poynting fluxes are not shown in the ambient medium where B < 200 G. |
| Open with DEXTER | |
|
Figure 8: The field aligned positive (upwardly directed) component of acoustic wave-energy flux as a function of time on a field line on the left side of the axis that encloses a fractional flux of 50%. The left panel represents the case in which the field strength at the axis at z=0 is 800 G (moderate field) and the right panel represents the strong field case (1600 G). |
| Open with DEXTER | |
|
Figure 9: The field aligned positive (upwardly directed) component of the Poynting flux as a function of time on a field line on the left side of the axis that encloses a fractional flux of 50%. The left panel represents the case in which the field strength at the axis at z=0 is 800 G (moderate field) and the right panel represents the strong field case (1600 G). |
| Open with DEXTER | |
Table 2: Temporal maximum of the horizontally averaged, vertical component of the wave-energy fluxes for the strong field case.
The acoustic fluxes are of the order 107 erg cm-2 s-1.
The Poynting fluxes carried by the fast mode in this region can be
identified by the coloured contours (grays shades for the print
version) that gather along the dotted curves corresponding to the
hypothetical Alfvén wave (Fig. 9). Comparing the
two fluxes (Fig. 9
with Fig. 8),
it is clear that the acoustic flux carried by the slow mode is
larger than the Poynting flux, especially in the moderate field case.
The Poynting flux rapidly weakens with time and height because it is
not guided along the field lines like the slow mode but rapidly
diverges across
the field and part of the Poynting flux converts to acoustic again as
explained
in Sect. 4.
Also from Fig. 9
it can be seen that
while the magnetically dominated fast mode starts right from the
excitation level at z=0 in the strong field case,
it starts in the weak field case only after about 40 s when
the fast acoustic wave reaches the conversion
layer where
and partially undergoes mode conversion. Therefore,
the fast (magnetic) mode is from the beginning weaker in the moderate
as compared
to the strong field case.
Table 2 shows the temporal maximum of the horizontally averaged vertical components of acoustic and Poynting fluxes at three different heights for the strong field case. We have considered three different amplitudes and periods for the initial excitations. Although the field aligned acoustic fluxes on the specific field line considered in Fig. 8 reach values of the order of 107 erg cm-2 s-1 at a height of z=1000 km, the horizontally averaged fluxes are typically an order of magnitude less, depending upon the amplitude of the initial excitation. The Poynting fluxes shown in the table are the maximum value that the fluxes reach in the interval between the start of the simulation until the time when the fast wave reaches the top boundary (around 60 s). Hence these fluxes are due to the fast mode for z=500 km and z=1000 km, since within this time limit the slow mode has not yet reached these heights. The Poynting fluxes associated with the fast mode are relatively lower in magnitude compared to the acoustic fluxes. It should be noted that there is also considerable Poynting flux associated with the slow mode, since these waves also perturb the magnetic field. The acoustic fluxes of the moderate field case reach only less than 70% of that of the strong field configuration and the Poynting fluxes are negligible in this case.
6 Effects of the boundary-layer width
We now study the acoustic emission of the magnetic flux concentrations
into the ambient medium by varying the width of the boundary layer
between the flux sheet and
ambient medium. This is carried out by comparing the result of
simulations with a sharp interface of width 20 km to that with
a
width of 80 km (see Fig. 1),
where the
width can be varied by choosing appropriate values of
and
in
Eq. (2).
We examine the acoustic emission from the two peripheral
(control) field lines to the left and to the right of the flux-sheet
axis that encompass 90% of the magnetic flux. These correspond
to the outermost field lines that are plotted in Figs. 2
to 7.
These field lines are located in the high-
region with
,
all the way from the base to the merging height,
where the flux sheet starts to fill the entire width of the
computational
domain. The acoustic emission from the peripheral field
line to the right and to the left of the flux-sheet axis is practically
identical.
Figure 10
shows the acoustic emission from the
flux sheet into the ambient medium for the peripheral field line to
the left of the
flux sheet with the strong field (B0=1600 G)
and the cases of the sharp interface (left panel) and the wide
interface (right panel).
Concentrating on the case with the sharp interface first, we see that
acoustic flux is initially generated by the fast mode that stems from
the transversal motion of the flux sheet to the right hand side, which
causes a compression and expansion to the right and left side of the
flux-sheet edge, respectively. This movement generates a net acoustic
flux away from the flux sheet on both sides. It is visible in
Figs. 4
and 7
as the shell-like antisymmetric wave that emanates from the base of the
flux sheet propagating into the ambient medium. At a height of z=100 km
the peak value of this flux
is
erg cm-2 s-1
for the sharp interface but only
erg cm-2 s-1
for the wide interface. This
is because the sharp interface acts like a hard wall that pushes
against
the ambient medium, while the wide interface is more compressible and
acts more softly.
|
Figure 10: Acoustic flux perpendicular to the peripheral field lines that encompass 90% of the magnetic flux as a function of time and height along the field line. Only the outwardly directed flux is shown. Left: strong field case with a sharp interface between flux-sheet interior and ambient medium. Right: strong field case with a wide interface. |
| Open with DEXTER | |
Near the flux-sheet boundary this wave seamlessly connects to the tips of the crescent-like fast (magnetic) mode of the flux-sheet interior as can be best seen when comparing the first two snapshots of Figs. 4 and 5b. There, acoustic flux is generated by continuous leakage and conversion from the magnetic mode, giving rise to the steeper of the two horizontally running, inclined ridges of acoustic flux, visible in the lower part of both panels of Fig. 10. This leakage is more efficient in the case of the wide interface than in the case to the sharp interface so that the corresponding ridge extends over a longer period of time in the former compared to the latter case. However, it cannot compensate for the larger initial flux that emanates from the more confined (sharp) boundary.
Starting at about t=25 s in case
of the sharp interface, one can see a less steep and weaker branch of
acoustic flux that is connected to the slow (magnetic) mode that
propagates in the high-
boundary-layer of the flux sheet. Obviously
it creates a non-negligible source of acoustic flux to the ambient
medium.
It is also present in case of the wide interface.
The two horizontally running ridges of acoustic flux in the case of the sharp interface (Fig. 10, left) is slightly more inclined compared to the case with the wide interface (Fig. 10, left), where the peripheral (control) field line expands more in the horizontal direction so that the wave travels a longer distance to reach it.
At approximately t=45 s we start
to see acoustic flux appearing at a height of about z=1000 km.
This flux originates from the refracted fast (magnetic) wave within the
flux sheet. Since this wave quickly accelerates and refracts with
height, it reaches the flux-sheet boundary sooner at z=1000 km
than in the height range 500 km < z
< 800 km. This wave undergoes conversion from fast,
predominantly magnetic to fast, predominantly acoustic as it crosses
the region where
.
Because it travels essentially perpendicular
to the field near the flux-sheet boundary, the conversion is
particularly efficient. While this
ridge of acoustic flux originates from the leading phase of the fast
(magnetic) wave that corresponds to a movement to the right (red
[white] big crescent in the 40 s snapshot of Fig. 5b),
a second, parallel running negative ridge, stems from the
following phase, corresponding to a movement to the left
(blue [black] crescent in the 40 s snapshot of Fig. 5b).
Table 3 shows the total acoustic emission to the ambient medium, still from and perpendicularly across the field lines that encompasses 90% of the total magnetic flux for cases with 3 different boundary layer widths. The energy is computed by integration of the perpendicular flux along the peripheral control field lines to the left and to the right over the full height range of the computational domain and from t=0 s to t=64 s for unit width. The total acoustic energy leaving the flux sheet with the wide interface is only 35% of that with the sharp interface. In this sense, a flux sheet with a sharp interface is more efficient in providing acoustic flux to the ambient medium than a flux sheet with a wide interface as conjectured by Hasan et al. (2005).
Table 3: Total acoustic emission from the flux sheet into the ambient medium for different boundary layer widths.
7 Summary
This work is an extension of the previous work done by Hasan et al. (2005). Wave excitation occurs in a magnetic flux concentration by a transverse motion of the base. The present work extends the previous calculations to the case of a flux sheet with moderate field strength. In addition, a new feature of the present work is that we estimate the energy carried by the waves and we examine the effect of varying the thickness of the tube-ambient medium interface on the acoustic emission.
We have found that the nature of the modes
excited depends upon the value of
in the region where the driving
motion occurs. When
is large, the slow wave is a transverse magnetic
mode that propagates along the field lines and undergoes mode
transmission as
it crosses the
layer. In this case, the wave only changes label from
slow to fast, but remains magnetic in character throughout the flux
sheet. The fast mode, which propagates almost isotropically, undergoes
both
mode conversion and transmission at the
surface depending on the
``attack angle'', the angle between the wave vector and the magnetic
field. On the other hand, in the case of a strong magnetic field (low-
case), where the level of
is below the driving region, the
fast (magnetic) and slow (acoustic) modes propagate through the flux
sheet
atmosphere without changing character.
We find that the magnetically dominated fast wave within the
low-
region
of the flux sheet undergoes strong refraction so that it finally leaves
the flux sheet
in the lateral direction, where it gets partially and mainly converted
to a fast, acoustically dominated wave. This effect is particularly
visible in the case of a flux sheet with strong magnetic field.
We also see an asymmetry in the wave structure on both sides of the flux sheet axis. This comes because the leading front of the predominantly acoustic mode is compressional on the one hand side and expansive on the other side and vice versa for the following phase. Since the compressive phase travels faster as the sound speed is larger, the two phases move either apart from each other or converge. In principle, this asymmetry should give rise to observable signatures.
Recent observations of the chromospheric network are
suggestive of Ca II
network grains associated with plasma with quasi-steady heating at
heights
between 0.5 and 1 Mm inside magnetic flux
concentrations
(Hasan & van Ballegooijen 2008).
Let us now estimate the acoustic energy flux transported into the
chromosphere through a single short duration pulse as has been treated
in
the present paper (the magnetic modes are almost incompressible and not
efficient
for heating the atmosphere). We consider the energy flux at a height of
1000 km. For the strong and moderate field cases, the maximum
values of the acoustic fluxes at z=1000 km
are
erg cm-2 s-1
and
erg cm-2 s-1,
respectively. However, it should be noted that although the fluxes can
reach values up to 107 erg cm-2 s-1,
the spatially averaged values are much less. From Table 2 we obtain for
the strong field case a temporal maximum of the horizontally averaged
acoustic flux at z=1000 km of a few times
106 erg cm-2 s-1,
depending on the excitation amplitude and period.
We see that the strong field configuration is a more efficient source of acoustic waves in the ambient medium compared to the weak to moderate field configurations. For the cases considered here, they differ by almost a factor of two. The width of the transition layer between the flux sheet and the ambient medium has significant effect on the acoustic wave emission as was initially conjectured by Hasan et al. (2005). Our quantitative calculations substantiate this hypothesis: a flux sheet with a sharp interface emits almost four times the energy emitted by a flux sheet with a wide interface.
8 Discussion and conclusion
The energy losses in the magnetic network at chromospheric heights are of the order of 107 erg cm-2 s-1. Even though the acoustic energy flux produced by the transverse excitation movement can temporarily reach this value at certain locations, the values of Table 2 tell us that in the spatial average these energy losses cannot be balanced by the acoustic energy flux generated in our model. This conclusion is emphasized by the fact that the values of Table 2 are temporal maxima: the temporal mean would be lower. In order to be compatible with the observed quasi-steady Ca emission the injection of energy needs to be in the form of sustained short duration pulses as argued by (Hasan & van Ballegooijen 2008) but these pulses could probably not maintain the maximum values of acoustic flux as quoted in Table 2.
Possibly with the exception of the case corresponding to the last row in Table 2, the transverse excitation considered here rather correspond to the ``random walk phase'' of the model by Cranmer & van Ballegooijen (2005). Excitations corresponding to the ``jump phase'' with even higher velocity amplitudes than considered in the present paper might temporarily be capable of providing the required energy flux. However, with a mean interval time of 360 s these jump events are probably not responsible for the heating observed in Ca II network grains, which requires a more steady or high frequency source.
We have not considered photospheric radiative losses, which would considerably damp the waves before they reach chromospheric heights (Carlsson & Stein 2002). If these radiative losses are taken into account, the fluxes would further be lowered. Also not all of the acoustic energy flux would be available for radiative energy loss in the chromosphere depending on the details of this NLTE process. All this implies that acoustic waves generated by transverse motions of the footpoints of magnetic network elements cannot balance the chromospheric energy requirements of network regions.
This conclusion cannot be expected to drastically change when turning to three spatial dimensions. The details of the mode coupling and the partition of energy fluxes to the various modes would become more complex but the share of energy that resides in the acoustic mode cannot be much larger than in the two-dimensional case. On the contrary, the energy flux generated at the footpoint of the magnetic element would have to be distributed to a larger area in three spatial dimension so that the spatial mean at z=1000 km would be lower.
We have only considered single, short duration, transverse pulses for the wave excitation. A more realistic driver with sustained pulses of varying lengths, velocities, and time intervals would give rise to highly non-linear dynamics, which might yield increased acoustic fluxes. Also we have not considered longitudinal wave excitation, which would be available primarily from global p-mode oscillations. The latter are expected to provide low frequency slow mode waves to the outer atmosphere via magnetic portals in the presence of inclined strong magnetic fields, where they would be available for dissipation through shock formation (Jefferies et al. 2006; Suematsu 1990; Michalitsanos 1973; Hansteen et al. 2006). In fact, thismechanism would also work in the periphery of a vertically oriented flux tube, where the field is strongly inclined with respect to the vertical direction. Another source of energy that was not considered here may come from direct dissipation of magnetic fields through Ohmic dissipation.
AcknowledgementsWe thank R. Schlichenmaier for valuable comments on the manuscript. The report by the anonymous referee, which helped greatly improve the presentation, are gratefully acknowledged. This work was supported by the German Academic Exchange Service (DAAD), grant D/05/57687, and the Indian Department of Science & Technology (DST), grant DST/INT/DAAD/P146/2006.
References
- Berger, T. E., & Title, A. M. 1996, ApJ, 463, 365 [NASA ADS] [CrossRef]
- Berger, T. E., & Title, A. M. 2001, ApJ, 553, 449 [NASA ADS] [CrossRef]
- Berger, T. E., Rouppe van der Voort, L. H. M., Löfdahl, M. G., et al. 2004, A&A, 428, 613 [NASA ADS] [EDP Sciences] [CrossRef]
- Bogdan, T. J., Carlsson, M., Hansteen, V. H., et al. 2003, ApJ, 599, 626 [NASA ADS] [CrossRef]
- Bray, R. J., & Loughhead, R. E. 1974, The solar chromosphere, The International Astrophysics Series (London: Chapman and Hall)
- Cally, P. S. 2005, MNRAS, 358, 353 [NASA ADS] [CrossRef]
- Cally, P. S. 2007, Astron. Nachr., 328, 286 [NASA ADS] [CrossRef]
- Carlsson, M., & Stein, R. F. 2002, in SOLMAG Proceedings of the Magnetic Coupling of the Solar Atmosphere Euroconference, ed. H. Sawaya-Lacoste, ESA SP-505, 293
- Cranmer, S. R., & van Ballegooijen, A. A. 2005, ApJS, 156, 265 [NASA ADS] [CrossRef]
- De Pontieu, B., Hansteen, V. H., Rouppe van der Voort, L., van Noort, M., & Carlsson, M. 2007, ApJ, 655, 624 [NASA ADS] [CrossRef]
- Devore, C. R. 1991, J. Comp. Phys., 92, 142 [NASA ADS] [CrossRef]
- Grossmann-Doerth, U., Kneer, F., & Uexküll, M. V. 1974, Sol. Phys., 37, 85 [NASA ADS] [CrossRef]
- Hansteen, V. H., De Pontieu, B., Rouppe van der Voort, L., van Noort, M., & Carlsson, M. 2006, ApJ, 647, L73 [NASA ADS] [CrossRef]
- Hasan, S. S., & Ulmschneider, P. 2004, A&A, 422, 1085 [NASA ADS] [EDP Sciences] [CrossRef]
- Hasan, S. S., & van Ballegooijen, A. A. 2008, ApJ, 680, 1542 [NASA ADS] [CrossRef]
- Hasan, S. S., Kalkofen, W., & van Ballegooijen, A. A. 2000, ApJ, 535, L67 [NASA ADS] [CrossRef]
- Hasan, S. S., van Ballegooijen, A. A., Kalkofen, W., & Steiner, O. 2005, ApJ, 631, 1270 [NASA ADS] [CrossRef]
- Jefferies, S. M., McIntosh, S. W., Armstrong, J. D., et al. 2006, ApJ, 648, L151 [NASA ADS] [CrossRef]
- Khomenko, E., Collados, M., & Felipe, T. 2008, Sol. Phys., 251, 589 [NASA ADS] [CrossRef]
- Lites, B. W., Rutten, R. J., & Kalkofen, W. 1993, ApJ, 414, 345 [NASA ADS] [CrossRef]
- Michalitsanos, A. G. 1973, Sol. Phys., 30, 47 [NASA ADS] [CrossRef]
- Muller, R. 1985, Sol. Phys., 100, 237 [NASA ADS] [CrossRef]
- Muller, R., Roudier, T., Vigneau, J., & Auffret, H. 1994, A&A, 283, 232 [NASA ADS]
- Nisenson, P., van Ballegooijen, A. A., de Wijn, A. G., & Sütterlin, P. 2003, ApJ, 587, 458 [NASA ADS] [CrossRef]
- Oran, E. S., & Boris, J. P. 1987, Numerical Simulation of Reactive Flow (Elsevier)
- Rosenthal, C. S., Bogdan, T. J., Carlsson, M., et al. 2002, ApJ, 564, 508 [NASA ADS] [CrossRef]
- Schaffenberger, W., Wedemeyer-Böhm, S., Steiner, O., & Freytag, B. 2005, in Chromospheric and Coronal Magnetic Fields, ed. D. E. Innes, A. Lagg, & S. A. Solanki, ESA SP-596, 65
- Sheminova, V. A., Rutten, R. J., & Rouppe van der Voort, L. H. M. 2005, A&A, 437, 1069 [NASA ADS] [EDP Sciences] [CrossRef]
- Solanki, S. K. 1993, Space Sci. Rev., 63, 1 [NASA ADS] [CrossRef]
- Steiner, O., Pneuman, G. W., & Stenflo, J. O. 1986, A&A, 170, 126 [NASA ADS]
- Steiner, O., Knölker, M., & Schüssler, M. 1994, in Solar Surface Magnetism, ed. R. J. Rutten, & C. J. Schrijver, 441
- Steiner, O., Vigeesh, G., Krieger, L., et al. 2007, Astron. Nachr., 328, 323 [NASA ADS] [CrossRef]
- Suematsu, Y. 1990, in Progress of Seismology of the Sun and Stars, ed. Y. Osaki, & H. Shibahashi (Berlin: Springer Verlag), Lect. Notes Phys., 367, 211
Footnotes
- ... magnetic)
- For brevity we call modes in the following simply acoustic and magnetic depending on the predominance of the thermal and magnetic nature of their restoring forces.
- ... 120 s
- The temperature perturbations along the flux-sheet edges in the wake of the slow acoustic wave (red and blue ridges [black and white for the print version] along the left and right boundary in the lower part of the flux sheet, respectively) do not pertain to a traveling wave. They are due to the finite shift of the flux sheet with respect to the initial, static configuration. This shift is compensated for by a corresponding shift of the unperturbed solution for the computation of energy fluxes in Sects. 5 and 6.
All Tables
Table 1: Equilibrium model parameters for the moderate and strong flux sheets.
Table 2: Temporal maximum of the horizontally averaged, vertical component of the wave-energy fluxes for the strong field case.
Table 3: Total acoustic emission from the flux sheet into the ambient medium for different boundary layer widths.
All Figures
|
Figure 1:
Vertical component of the magnetic field at the base of the flux sheet,
z=0. Solid and dashed curves correspond to
field configurations with a sharp and a wide interface to the
weak-field surroundings, respectively. Each configuration is subdivided
into a case of moderate field-strength with |
| Open with DEXTER | |
| In the text | |
|
Figure 2:
Temperature perturbations for the case in which the field strength at
the axis at z=0 is 800 G (moderate field).
The colors (gray shades for the print version) show the temperature
perturbations at 40, 60, 80, and 120 s (
from bottom to top) after initiation of an impulsive
horizontal motion at the z=0 boundary of a duration
of 12 s with an amplitude of 750 m s-1
and a period of P=24 s. The thin black
curves are field lines and the white curve represents the contour of |
| Open with DEXTER | |
| In the text | |
|
Figure 3:
Velocity components for the case in which the field strength at the
axis at z=0 is 800 G (moderate field). The
colors (gray shades for the print version) show the velocity components
a) Vs,
along the field, and b) Vn,
normal to the field, at 40, 60, and 80 s (
from bottom to top) after initiation of an impulsive
horizontal motion at the z=0 boundary of a duration
of 12 s with an amplitude of 750 m s-1
and a period of P=24 s. The thin black
curves are field lines and the white curve represents the contour of |
| Open with DEXTER | |
| In the text | |
|
Figure 4: Temperature perturbations for the case in which the field strength at the axis at z=0 is 1600 G (strong field) for times t= 40, 60, 80, and 120 s. The coding corresponds to that of Fig. 2. |
| Open with DEXTER | |
| In the text | |
|
Figure 5: Velocity components for the case in which the field strength at the axis at z=0 is 1600 G (strong field) for times t= 40, 60, and 80 s. The coding corresponds to that of Fig. 3. |
| Open with DEXTER | |
| In the text | |
|
Figure 6:
Wave-energy fluxes (absolute values) for the case in which the field
strength at the axis at z=0 is 800 G
(moderate field). The colors (gray shades for the print version) show
a) the acoustic flux, and b) the
Poynting flux, at 40, 60, and 80 s ( from
bottom to top) after initiation of an impulsive horizontal
motion at the z=0 boundary of a duration of
12 s with an amplitude of 750 m s-1
and a period of P=24 s. The thin black
curves are field lines and the thick black curve represents the contour
of |
| Open with DEXTER | |
| In the text | |
|
Figure 7: Wave-energy fluxes for the case in which the field strength at the axis at z=0 is 1600 G (strong field) for times t= 40, 60, and 80 s. The coding corresponds to that of Fig. 6. The Poynting fluxes are not shown in the ambient medium where B < 200 G. |
| Open with DEXTER | |
| In the text | |
|
Figure 8: The field aligned positive (upwardly directed) component of acoustic wave-energy flux as a function of time on a field line on the left side of the axis that encloses a fractional flux of 50%. The left panel represents the case in which the field strength at the axis at z=0 is 800 G (moderate field) and the right panel represents the strong field case (1600 G). |
| Open with DEXTER | |
| In the text | |
|
Figure 9: The field aligned positive (upwardly directed) component of the Poynting flux as a function of time on a field line on the left side of the axis that encloses a fractional flux of 50%. The left panel represents the case in which the field strength at the axis at z=0 is 800 G (moderate field) and the right panel represents the strong field case (1600 G). |
| Open with DEXTER | |
| In the text | |
|
Figure 10: Acoustic flux perpendicular to the peripheral field lines that encompass 90% of the magnetic flux as a function of time and height along the field line. Only the outwardly directed flux is shown. Left: strong field case with a sharp interface between flux-sheet interior and ambient medium. Right: strong field case with a wide interface. |
| Open with DEXTER | |
| In the text | |
Copyright ESO 2009
Current usage metrics show cumulative count of Article Views (full-text article views including HTML views, PDF and ePub downloads, according to the available data) and Abstracts Views on Vision4Press platform.
Data correspond to usage on the plateform after 2015. The current usage metrics is available 48-96 hours after online publication and is updated daily on week days.
Initial download of the metrics may take a while.

![\begin{figure}
\par\includegraphics[scale=.43,clip]{Version-Online/1245002d.eps}...
... \includegraphics[scale=.43,clip]{Version-Online/1245002a.eps}\\
\end{figure}](/articles/aa/full_html/2009/47/aa12450-09/Timg50.png)
![\begin{figure}
{
\begin{tabular}{cc}
\includegraphics[scale=.35,clip]{Version-...
...ps}\\
\mbox{a) $V_{s}$ } & \mbox{b) $V_{n}$ }
\end{tabular}}
\end{figure}](/articles/aa/full_html/2009/47/aa12450-09/Timg51.png)
![\begin{figure}
\par\includegraphics[scale=.39,clip]{Version-Online/1245004d.eps}...
... \includegraphics[scale=.39,clip]{Version-Online/1245004a.eps}\\
\end{figure}](/articles/aa/full_html/2009/47/aa12450-09/Timg57.png)
![\begin{figure}
\par {
\begin{tabular}{cc}
\includegraphics[scale=.35,clip]{Vers...
....eps}\\
\mbox{a) $V_{s}$ } & \mbox{b) $V_{n}$ }
\end{tabular}}
\end{figure}](/articles/aa/full_html/2009/47/aa12450-09/Timg58.png)
![\begin{figure}
\begin{tabular}{cc}
\includegraphics[scale=.35,clip]{Version-Onl...
...1.eps} \\
\mbox{a) Acoustic} & \mbox{b) Poynting}
\end{tabular}
\end{figure}](/articles/aa/full_html/2009/47/aa12450-09/Timg59.png)
![\begin{figure}
\begin{tabular}{cc}
\includegraphics[scale=.35,clip]{Version-Onl...
...1.eps}\\
\mbox{a) Acoustic} & \mbox{b) Poynting}
\end{tabular}
\end{figure}](/articles/aa/full_html/2009/47/aa12450-09/Timg63.png)
![\begin{figure}
\par\mbox{\includegraphics[scale=.4,clip]{Version-Online/1245008a.eps} \includegraphics[scale=.4,clip]{Version-Online/1245008b.eps} }
\end{figure}](/articles/aa/full_html/2009/47/aa12450-09/Timg64.png)
![\begin{figure}
\par\mbox{\includegraphics[scale=.4,clip]{Version-Online/1245009a.eps} \includegraphics[scale=.4,clip]{Version-Online/1245009b.eps} }
\end{figure}](/articles/aa/full_html/2009/47/aa12450-09/Timg65.png)
![\begin{figure}
\par\mbox{\subfigure{\includegraphics[scale=0.4,clip]{1245010a.eps} }
\subfigure{\includegraphics[scale=0.4,clip]{1245010b.eps} }}
\end{figure}](/articles/aa/full_html/2009/47/aa12450-09/Timg70.png)