Free Access
Issue
A&A
Volume 508, Number 2, December III 2009
Page(s) 1031 - 1044
Section Planets and planetary systems
DOI https://doi.org/10.1051/0004-6361/200912611
Published online 04 November 2009

A&A 508, 1031-1044 (2009)

A survey on the distant activity of short period comets[*]

E. Mazzotta Epifani1 - P. Palumbo2 - L. Colangeli1

1 - INAF - Osservatorio Astronomico di Capodimonte, via Moiariello 16, 80131 Napoli, Italy
2 - Universitá Parthenope, Dip. Scienze Applicate, Centro Direzionale Isola C4, 80143 Napoli, Italy

Received 1 June 2009 / Accepted 3 October 2009

Abstract
Aims. The aim of this paper is to build up an inventory of observations of short period comets (SPCs) far from the Sun, and perform an analysis of general properties of the family, investigating the link between distant activity and present and historical orbital parameters.
Methods. We gathered all the data available in the literature (as per June 2009) on SPCs ground-based and space observations at heliocentric distance $r_{\rm h} > 3$ AU. We analyzed the occurrence of distant activity with respect to: position on orbital branch, present orbital parameters (in particular the perihelion distance q), and their recent variations.
Results. There is no sharp cut-off at any heliocentric distance, beyond which the cometary activity fades and only bare nuclei are observed. SPCs are more likely to be active post-perihelion than pre-perihelion: among a dataset of 90 comets (for which a heliocentric distance of analysis has been unequivocally established), 59% of the comets observed post-perihelion were detected as active targets, while only 22% of the comets observed pre-perihelion were active. There is a weak trend of comets with increasing perihelion distance to be more likely active at large heliocentric distance: among comets with q < 1.5 AU, only 5 out of 18 comets (28%) have been reported as active at large heliocentric distance, while among those with q > 3 AU, 14 out of 16 comets (88%) have been classified as active. A much less clear trend has been observed for distant cometary activity with semi-major axis a. No apparent appreciable link of a recent (or secular) increase of the perihelion temperature $\Delta T$ (due to a rapid decrease in the perihelion distance) with the present degree of distant activity has been observed.

Key words: comets: general

1 Introduction

Cometary nuclei, as well as other small bodies in the Solar System like Kuiper Belt objects (KBOs), Centaurs, and low-albedo asteroids, are considered primitive objects remaining from the time of planetary formation. They contain much information on the material condensed and/or accreted in the pre-solar nebula phase, at the time the planets began to form, and also preserve records of early evolutionary processes such as radial mixing in the solar nebula from the hottest internal regions to the colder outer part beyond Neptune (Brownlee et al. 2006). The knowledge of the physical, compositional, and dynamical properties of cometary nuclei is therefore important to understand the primordial processes which led to the Solar System formation and constrain theoretical models of formation and evolution.

Another reason to study cometary nuclei is their strong relation to other families of Minor Bodies, in a framework of a global evolutionary process of the Solar system (see for example Morbidelli 2005, and the detailed list of references therein). In particular, the Jupiter family comets (JFCs) likely originate from the trans-Neptunian reservoir known as the Kuiper Belt (KB) (Fernández 1980; Duncan et al. 1988), and are fragments of larger KBOs (Farinella & Davis 1996; Duncan et al. 2005). Several problems are still present in evolutionary models: the nuclei of comets are colorimetrically distinct from the KBOs. The mean color of the nuclei is bluer than that of the KBOs, indicating a compositional and/or physical difference between these two groups (Jewitt 2002). KBOs, comets and other solar system families (e.g., Centaurs, dead comets) are likely related each other in a dynamical evolutionary sequence, and more observations are needed to constrain removing, destruction and resurfacing processes which drive each object from one family to the other.

A limited number of cometary nuclei can be (and has been) directly studied with in-situ spacecraft: 1P/Halley (VEGA and Giotto missions; Sagdeev et al. 1986; Keller et al. 1986), 19P/Borrelly (Deep Space 1 mission, Soderblom et al. 2002), 81P/Wild 2 (Stardust mission, Brownlee et al. 2004) and 9P/Tempel 1 (Deep Impact mission, A'Hearn et al. 2005). In the future, the Rosetta mission (Schwehm & Schulz 1999; Schulz 2009), launched in 2004, will reach the comet 67P/Churyumov-Gerasimenko and extensively study its nucleus and the onset of its cometary activity. The majority of cometary nuclei studies comes from direct imaging (from ground and/or space telescopes), when the comet is at large heliocentric distance $r_{\rm h}$ and so it is presumably inactive. In the recent past, several programs have observed a large number of short period comets (SPCs), targeting them when at heliocentric distances greater than 3-4 AU (Lowry & Fitzsimmons 2001, 2005; Lowry & Weissman 2003; Lowry et al. 1999, 2003; Licandro et al. 2000; Meech et al. 2004; Snodgrass et al. 2006 2008).

Most of the gathered information has been conveniently summarised by Lamy et al. (2005). All the above surveys had the aim to investigate the properties of bare nuclei, but instead revealed that a high number of SPCs are unexpectedly very active, with coma and even long dust tail, at large $r_{\rm h}$, when volatile sublimation is expected to be low. Recently, an observative program was started to search for distant activity in SPCs and to investigate how frequent this phenomenon is within the family (Mazzotta Epifani et al. 2007, 2008).

The presence of distant activity far from the Sun in SPCs is very important because at $r_{\rm h}$ larger than 3-4 AU different processes, with respect to water sublimation, must be invoked to drive the presence of the coma, for example CO or CO2 ice direct sublimation or gas release. The dust environment driven by one of these phenomena might be different from that due to water, and may give hints on the nature, composition and characteristics of the body (see for example the analysis of the distant dust environment of the active Centaur P/2004 A1 (LONEOS) at $r_{\rm h}$ = 5.5 AU in Mazzotta Epifani et al. 2006).

In the past, a strong correlation has been observed between activity at large $r_{\rm h}$ for a set of 18 SPCs and their dynamical history, in particular the occurence of a recent rapid decrease in perihelion distance (Licandro et al. 2000). The distant activity would be explained with the breaking and/or the blowing off of part of the mantle crust, due to an increase of the perihelion temperature induced by a sudden decrease in its perihelion distance (for example due to a close encounter with a giant planet): fresh ice is exposed to the Sun's heat and so a coma and sometimes a tail is formed at large heliocentric distance. Recently, the analysis of a different set of 17 SPCs, observed at large $r_{\rm h}$ showed that there is no robust correlation between distant activity and a recent (i.e., during the last 150 years) decrease in the perihelion distance (Mazzotta Epifani et al. 2007, 2008). A complete analysis of the distant activity among the SPC family (more than 200 numbered comets and more than 50 unnumbered comets as per June 2009) is presently missing and would be useful to study general family properties and to verify to what extent the evolutionary history of each target can influence its activity.

The aim of this paper is to gather the information available in the literature, both from dedicated surveys like those listed above and from ``sparse'' observations (for example of single cometary nuclei), to build up an inventory of distant observations of SPCs. The data will be used to perform a self-consistent and statistically meaningful analysis of general properties, investigating the link between the degree of distant activity and i) present orbital parameters; ii) cometary dynamical history. In Sect. 2 a summary of the data used to build up the database presented in the paper is given, together with a description of general properties of the sample. In Sect. 3 the analysis of the relation of cometary dynamical properties with the degree of distant activity is described, and the search for any trends is discussed. In Sect. 4 the test case for comet 67P/Churyumov-Gerasimenko is analysed in more detail. A summary and conclusions are given in Sect. 5.

2 Summary of data used for the inventory

2.1 Observational data used to compile the inventory

Several dedicated surveys as well as many papers devoted to the detailed analysis of single cometary targets have been gathered and observations presented therein have been inserted in the inventory presented in this paper. The driving criterion for the selection of each datum is the observation of a distant SPC, where with ``distant'' we intend ``when at $r_{\rm h}$ $\geq$ 3 AU'' (the distance beyond which the majority of observers look for bare cometary nuclei). Table 1 lists all the observations in the inventory and used for the analysis (data as per June 2009).

100 SPCs are listed: 88 numbered (including two fragments and 1 comet oberved before its complete split) and 12 unnumbered comets (including 2 fragments of a single body). The majority of the comets (88%) are from the family of Ecliptic Comets: following the classification scheme proposed by Levison (1996), this means a Tisserand parameter with respect to Jupiter 2 $\leq$ $T_{\rm J}$ $\leq$ 3. This family has a quasi-correspondance with the traditional group of Jupiter family comets. 8 of the listed objects are Encke-Type Comets ($T_{\rm J}$ > 3), 5 are Halley-Type Comets ($T_{\rm J}$ < 2). This latter group is the family of Nearly Isotropic Comets (together with the Long Period Comets). Active Centaurs with cometary designation (such as for example 29P/Schwassmann-Wachmann and P/2004 A1 (LONEOS)) have not been included in the list. Several targets have been observed more than once, at different $r_{\rm h}$s: the observations are arranged in order of increasing $r_{\rm h}$.

\begin{figure}
\par\includegraphics[width=6.5cm,clip]{12611f1a.ps}\hspace*{0.8cm}
\includegraphics[width=7cm,clip]{12611f1b.ps}
\end{figure} Figure 1:

Distribution of appearance for the sample of 215 distinct observations listed in the inventory. (Left) Number of observations binned according to heliocentric distance of observation. A: activity detected; S: comet detected as stellar; N: undetected comet. (Right) Cumulative number of observations vs. heliocentric distance of observations. Asterisks: activity detected; empty circles: comet detected as stellar; filled circles: comet not detected.

Open with DEXTER

For each target, the telescope used for the observation is also listed. This information will be discussed when the use of large telescopes and the importance of images with a good SNR in the cometary coma will be analysed.

To correctly interpret the dynamical evolution of a target in the recent past, the epoch of observation has been listed for each SPCs.

For each target, the appearance at large $r_{\rm h}$is indicated. The degree of activity is reported as mentioned in the respective paper. In the surveys by Lowry and collaborators (Lowry et al. 1999; Lowry & Fitzsimmons 2001, 2005; Lowry et al. 2003; Lowry & Weissman 2003) and by Snodgrass and collaborators (Snodgrass et al. 2006, 2008), the degree of activity of a total of 70 SPCs was determined by comparison of the scaled brightness profile of background stars with those of the comets. Meech et al. (2004) investigated the degree of distant activity of 16 comets by means of the comparison of the comet FWHM with the width of the trailed stellar images in the direction perpendicular to the direction of cometary motion. The same method was applied to an investigation of single cometary nuclei by O'Cellaigh et al. (1995) and Fitzsimmons & Williams (1994), and in the survey of 17 SPCs by Mazzotta Epifani and collaborators (Mazzotta Epifani et al. 2007, 2008). Licandro et al. (2000) surveyed 18 SPCs with different telescopes and investigated their degree of distant activity by two methods: by comparing the cometary image profile with the profile of a reference star, in order to obtain constraints on the light scattered by the coma in the profile wings (as in Luu & Jewitt 1992), and by subtracting the profile of the star from the profile of the comet (after normalisation to a value of 1 in the peak and 0 in the wings). The comparison of these two methods allowed the authors to identify cometary distant activity in at least one target that looked stellar in the CCD images. Detailed analysis of single targets, both by ground and space (HST, SPITZER) telescopes, has been performed on comets when at large heliocentric distances, to be sure to observe the bare nucleus (the apparent lack of activity in obtained CCD images has been often - but not always - proven with the comparison of the surface brightness profile of the comet with the Point Spread Function of background stars). Recent papers and surveys on cometary trails (Ishiguro et al. 2007; Reach et al. 2007) have provided indirect data on distant activity. An analysis of single cometary nuclei has been performed by several authors (see references in Table 1). The recent survey by Snodgrass and coworkers (Snodgrass et al. 2005, 2006) has been taken into account. Data from Weissman et al. (2008) and relevant data listed in the recent series of paper by Ferrin (2005) are also included in the database. In some cases, the absence of activity has been constrained spectroscopically (De Sanctis et al. 2000; Schulz et al. 2004).

2.2 Grouping observations

The whole set of data collected in Table 1 has been analysed to identify some groups of similar observations. The immediate criterion is the distinction between single (``snapshot'') and multiple observations: in the first case, the comet has been observed only once, and its degree of distant activity has not been investigated further. In the second case, the evolution of its distant activity has been monitored at several heliocentric distances (in many cases by different observers), searching for the onset of cometary activity and investigating the physical properties of the bare nucleus.

The first group (``single observations'') comprises objects that have been observed only once, both active (A) and inactive (S, standing for Stellar) at large distance, as well as comets not detected (N) in the frame. 47 comets fall in this category (26 observed pre-perihelion, the remaining 21 observed post-perihelion). In a few cases, a warning was reported in the original paper that the non-detection could be due to ephemerides uncertainty or a crowded field, and therefore the magnitude of the target could be not well constrained.

The second group (``multiple observations'') can be further divided in two subgroups. The first subgroup (``multiple simple'') comprises targets that have been observed many times along their orbit, in most cases both pre- and post-perihelion, and have been always classified with the same appearance. This means that the heliocentric distance for the onset and/or fading of cometary activity has not been unequivocally identified. 17 comets fall in this category. The second subgroup (``multiple complex'') comprises targets that have been observed many times along their orbit, and presented different appearances at different heliocentric distances. The remaining 36 comets fall in this category, and for them a further classification is needed: ``complex standard'' and ``complex chaotic''. The first ones are comets whose degree of distant activity has a standard path, i.e., two or three steps in the sequence: A  $\rightarrow$ S  $\rightarrow$ N, as the comet is observed at increasing heliocentric distance. This sequence has not to be considered along a single orbital evolution for each target, but instead reflects the idea that the farther a comet is from the Sun, the lower its activity is and then the bare nucleus tends to be revealed, which in turns becomes optically fainter and harder to detect as a point source (and therefore the target remains undetected in the field). 22 comets fall in this subclass. Comets in the ``complex chaotic'' class are targets whose distant activity evolution follows an apparent chaotic path in the above sequence: for these cases, a detailed analysis of the epoch and method of observations and analysis technique could be important, first of all the distinction between pre- and post-perihelion observations, to discriminate if they are members of the ``complex standard'', or if there is an anomalous behaviour that deserves further investigation. 14 comets belong to this class.

2.3 Distant activity observed in the inventory

Many references in the literature suggest that periodic (``old'') comets such as the SPCs are intrinsecally less active at large distance from the Sun than the ``new'' comets. Meech (1988) presented an observational program for 28 comets belonging to different dynamical families and discussed the greater activity of dynamically new comets. Also, the chemical and aging effects on cometary nuclei have been studied (Meech 1999), with the investigation of the difference in the amount of outgassing between comets belonging to different families: a typical effect is a more sporadic activity along the orbit for ``old'' comets. An interesting comparison of distant activity for different cometary family is summarised in Fig. 6 of Meech & Svoren (2005).

The database presented in this paper consists of a total of 215 distinct observations in a range of heliocentric distance of $\sim$12 AU (3-14.6 AU). Figure 1 summarises the distribution of the activity level observed in this range. It is interesting to note that there is no sharp cut-off at any heliocentric distance, beyond which the cometary activity fades and only bare nuclei are observed. Instead, as shown by the left panel of Fig. 1, the distribution of activity level shows that beyond 4.5 AU the percentage of activity detection remains constant around 10-20% of the sample. It is also interesting to note that the proportion of non-detection stays roughly constant at all heliocentric distances, within the uncertainties. The right panel of Fig. 1 shows the cumulative number of observations vs. the heliocentric distance of observation. As expected, the number of observations of stellar objects steeply grows with the heliocentric distance, but the curve for active objects has a very similar slope.

2.4 Determination of activity level

The aim of this paper is to investigate the general properties of the distant environment of SPCs. To fulfill this aim, our idea is to ``classify'' each cometary target listed in Table 1 as active or stellar at large heliocentric distance. This is simple when a single observation exists for a given target, but when multiple observations are present for the same comet at $r_{\rm h}$ > 3 AU, a problem arises: which heliocentric distance should be considered to define a comet as ``active'' or ``stellar''? The answer to the above question is given by studying each comet and its behaviour along the orbit, and considering the idea to find the onset of cometary activity, i.e., the heliocentric distance beyond which, in the inward part of the orbit, the comet starts to present some activity (in general, a faint coma), or the heliocentric distance around which, in the outbound orbital branch, the cometary activity fades. This results in adopting, for each comet, the largest heliocentric distance at which the activity has been observed, when applicable, or the heliocentric distance that can be considered the upper limit to the activity, in the other cases.

For each group and subgroup defined above (see Sect. 2.1), we proceed as follows:

1.
Single observations (47 comets). In this case, the heliocentric distance used for the analysis is that observed.

2.
Multiple simple observations. For the possible cases, we have:
Active (3 comets).
When multiple observations are available for a target, and they always show it as active, we decided to simply adopt the largest heliocentric distance (since the activity likely fades at larger $r_{\rm h}$), without taking into account the chronology (and the orbital position) of the observations.

Stellar (14 comets).
When multiple observations are available for a target, and they always show it as stellar, we decided to adopt for the analysis the smallest heliocentric distance of observation (since the activity likely starts at smaller $r_{\rm h}$), without taking into account the chronology (and the orbital position) of the observations.

3.
Multiple complex observations (36 comets). For these cases, the chronology of observations has been taken into account to select the heliocentric distance to be used for the analysis. By distinguishing between the inbound and outbound orbital branches, the behaviour of these comets is shown in Fig. 2. For 26 comets, it was possibile to unequivocally select the heliocentric distance to be used for the analysis: the 22 complex standard targets, plus 4 originally defined as complex chaotic cases. A detailed discussion of each of these targets is given in the following (for observations performed with targets at $r_{\rm h}$ > 3 AU). For the remaining 10 comets, it was not possible to unequivocally identify a specific heliocentric distance to analyse the distant environment. They are discussed in a dedicated session.

6P/d'Arrest:
comet 6P/d'Arrest has been observed twice in the period 1997-1998, always in its outbound orbital branch. The comet had a stellar appearance at $r_{\rm h}$ = 5.4 AU (Meech et al. 2004) and was not detected at the slightly larger heliocentric distance $r_{\rm h}$ = 5.6 AU (Lowry & Fitzsimmons 2001). Its distant behaviour appears to be standard.

9P/Tempel 1:
comet 9P/Tempel 1 has been observed four times during the period 1995-1998. All the observations performed when the comets was pre-perihelion showed a stellar object (Lowry & Fitzsimmons 2001; Lamy et al. 2001; Meech et al. 2004). Only the post-perihelion observation in August 1995 showed an active target (Lowry et al. 1999). This may indicate a greater activity on the outbound orbital branch for this comet, with respect to the inbound one.

22P/Kopff:
comet 22P/Kopff has been observed three times in the period 1997-2001, and in particular has been targeted twice at very similar heliocentric distances, showing as a stellar object in the inbound branch (Lowry & Weissman 2003) and as an active target in the outbound one (Meech et al. 2004). The (still poor) data for this comet led to the indication of a greater activity on the outbound orbital branch with respect to the inbound one.

26P/Grigg-Skjellerup:
comet 26P/Grigg-Skjellerup has been observed three times in the period 1993-2006 (snapshot observations both in the inbound and outbound orbital branches). Its distant behaviour appears to be standard, and consistent with a picture of a quite poorly active comet at large heliocentric distances.

\begin{figure}
\par\includegraphics[width=7cm,clip]{12611f2a.ps}\includegraphics...
...1f2c.ps}\includegraphics[width=7cm,clip]{12611f2d.ps}
\vspace*{2mm}
\end{figure} Figure 2:

Distant observations of comets in the ``multiple complex observations'' class. The degree of activity of comets 6P/d'Arrest, 9P/Tempel 1, 21P/Giacobini-Zinner, 22P/Kopff, 26P/Grigg-Skjellerup, 36P/Whipple, 40P/Vaisala, 43P/Wolf-Harrington, 44P/Reinmuth 2 (top left panel), 46P/Wirtanen, 47P/Ashbrook-Jackson, 48P/Johnson, 53P/Van Biesbroek, 56P/Slaughter-Burnham, 61P/Shajn-Schaldach, 64P/Swift-Gehrels, 67P/Churyumov-Gersaimenko, 69P/Taylor (top right panel), 71P/Clark, 73P/Schwassmann-Wachmann, 75P/Kohoutek, 78P/Gehrels 2, 79P/du Toit-Hartley, 81P/Wild 2, 82P/Gehrels 3, 86P/Wild 3, 87P/Bus (bottom left panel), and 100P/Hartley 1, 103P/Hartley 2, 104P/Kowal 2, 109P/Swift-Tuttle, 111P/Helin-Roman-Crockett, 118P/Shoemaker-Levy 4, 121P/Shoemaker-Holt 2, 128P/Shoemaker-Holt 1-A, 143P/Kowal-Mrkos (bottom right panel) is plotted versus their orbital position with respect to perihelion distance. Asterisks are for activity detected, empty circles are for comets observed as stellar object, filled circles are for no detection. The vertical dashed line distinguishes between pre- and post-perihelion observations. The horizontal long-dashed lines are drawn only to aid the eye for each comet. A small asterisk close to the name of the comet indicates target for which it was not possible to unequivocally identify a specific heliocentric distance to analyse the distant environment.

Open with DEXTER

36P/Whipple:
comet 36P/Whipple has been observed several times in the period 2001-2007, but only once in the inbound branch (Lowry & Weissman 2003). The outbound branch has been quite well characterised, showing activity (altough weak) up to $r_{\rm h}$ = 4.1 AU (Snodgrass et al. 2008). This behaviour is consistent with a picture of a greater activity on the outbound orbital branch with respect to the inbound one.

40P/Vaisala 1:
comet 40P/Vaisala has been observed twice in the period 1992-2005, always in the outbound orbital branch, and it has been observed to be active at $r_{\rm h}$ = 4.6 AU (Snodgrass et al. 2008) and not detected at $r_{\rm h}$ = 6 AU (Lowry et al. 1999). Its distant behaviour appears to be standard.

43P/Wolf-Harrington:
comet 43P/Wolf-Harrington has been observed several times in the period 1995-2005. Its distant behaviour has been quite well characterised: the activity detected at $r_{\rm h}$ = 4.4 AU pre-perihelion depicts a scenario of a comet more active in the inbound orbital branch than in the outbound one.

46P/Wirtanen:
comet 46P/Wirtanen has been observed only twice in the period 1997-1999: it was active at 3.1 AU (Meech et al. 2004) and then it was not detected at 5.0 AU (Lowry et al. 2003). Its distant behaviour appears to be standard.

53P/Van Biesbroek:
comet 53P/Van Biesbroek has been observed three times in the period 1990-2004. A very distant preperihelion observation ($r_{\rm h}$ = 8.3 AU) revealed a stellar object (Meech et al. 2004). In the outbound orbital branch, the comet showed activity up to $r_{\rm h}$ = 4.5 AU (Licandro et al. 2000). The data are consistent with a scenario of a greater activity on the outbound orbital branch for this comet, with respect to the inbound one.

56P/Slaughter-Burnham:
comet 56P/Slaughter-Burnham has been observed only twice in the period 1997-2006, always in the outbound orbital branch, with an activity detected only at $r_{\rm h}$ = 3.8 AU (Snodgrass et al. 2008). Its distant behaviour appears to be standard.

61P/Shajn-Schaldach:
comet 61P/Shajn-Schaldach has been observed only twice in the period 1999-2005, always in the inbound orbital branch. It has been detected only at $r_{\rm h}$ = 4.4 AU (Lowry et al. 2003), as a stellar object. Its distant behaviour appears to be standard.

64P/Swift-Gehrels:
comet 64P/Swift-Gehrels has been observed twice in the period 1992-1999, in two subsequent passages: at $r_{\rm h}$ = 3.6 AU post-perihelion it presented as a stellar object (Licandro et al. 2000) and then at almost the same heliocentric distance ($r_{\rm h}$ = 3.4 AU) pre-perihelion it was not detected (Lowry et al. 2003). The data lead to the indication of a larger activity on the outbound orbital branch for this comet, with respect to the inbound one.

67P/Churyumov-Gerasimenko:
as target for the current ESA Rosetta mission (Schwehm & Schulz 1999), comet 67P/Churyumov-Gerasimenko has been extensively observed also at large heliocentric distance (the mission will start its operation when the comet will be at $r_{\rm h}$ > 3 AU). Its case is extensively described in Sect. 4.

69P/Taylor:
comet 69P/Taylor has been observed only twice in the period 1995-1999. It has been observed stellar at $r_{\rm h}$ = 4.9 AU pre-perihelion (Lowry et al. 1999) and active at $r_{\rm h}$ = 4 AU post-perihelion (Lowry et al. 2003). These data lead to the indication of a greater activity on the outbound orbital branch for this comet, with respect to the inbound one.

73P/Schwassmann-Wachmann 3:
comet 73P/Schwassmann-Wachmann 3 has been observed twice in the period 1994-1998, once prior to and the other after the splitting event of 1995-96. The detection of activity at $r_{\rm h}$ = 3 AU prior the splitting (Boehnhardt et al. 1999) was followed by a non-detection at $r_{\rm h}$ = 5 AU of the main fragment (Lowry & Fitzsimmons 2001). The distant behaviour of this comet appears to be standard.

75P/Kohoutek:
comet 75P/Kohoutek has been observed three times in the period 1999-2006, always in the inbound orbital branch. It has been detected only at $r_{\rm h}$ = 3.5 AU (Weissman et al. 2008), as a stellar object, while at larger heliocentric distances it remained undetected. Although its distant activity is probably faint, the distant behaviour of this comet appears to be standard.

78P/Gehrels 2:
comet 78P/Gehrels 2 has been observed twice in the period 2001-2006, and detected as a stellar object at $r_{\rm h}$ = 5.5 AU pre-perihelion (Lowry & Weissman 2003) and active at $r_{\rm h}$ = 3.8 post-perihelion (Snodgrass et al. 2008). The few data for this comet led to the indication of a greater activity on the outbound orbital branch with respect to the inbound one.

82P/Gehrels 3:
comet 82P/Gehrels 3 has been observed only twice in the period 1995-1996, always in the post-perihelion branch, and detected as active at $r_{\rm h}$ = 4 AU (Licandro et al. 2000) and constrained as a stellar object at the slightly larger heliocentric distance $r_{\rm h}$ = 4.5 AU (De Sanctis et al. 2000). The distant behavoiur of this comet appears to be standard.

86P/Wild 3:
comet 86P/Wild 3 has been observed three times at large heliocentric distances in the 1995-1998 period, in two subsequent passages: at $r_{\rm h}$ = 3.4 AU (Lowry & Fitzsimmons 2001) and 5 AU (Meech et al. 2004) postperihelion, presenting as a stellar object, and then at $r_{\rm h}$ = 4.7 AU preperihelion (Lowry & Fitzsimmons 2001), when it was not detected. We can conclude that the distant activity of this comet (if any) is quite faint, and that its distant behaviour appears to be standard.

103P/Hartley 2:
comet 103P/Hartley 2 has been extensively observed in the period 1993-2005, but always on its outbound orbital branch, and always detected with significant activity, up to $r_{\rm h}$ = 5 AU (Snodgrass et al. 2008). Only recently, Lisse et al. (2009) observed the bare nucleus at $r_{\rm h}$ = 5.5 AU, just after its aphelion passage. The cometary distant behaviour appears to be standard.

109P/Swift-Tuttle:
comet 109P/Swift-Tuttle has been observed only twice in the period 1994-1997, always in the oubound orbital branch. It was detected as a weakly active object at the large heliocentric distance $r_{\rm h}$ = 5.3 AU (O'Cellaigh et al. 1995), and then as a bare nucleus at the even larger $r_{\rm h}$ = 14.6 AU (the largest heliocentric distance for the comets analysed in this paper) (Meech et al. 2004). The distant behaviour of the comet appears to be standard.

111P/Helin-Roman-Crockett:
comet 111P/Helin-Roman-Crockett has been observed three times in the period 1999-2004. Two quasi-contemporary and independent observations in the period November-December 2004, when the comet was before its perihelion (Mazzotta Epifani et al. 2007; Reach et al. 2007), showed a stellar object, confirming its nature as a poorly active comet.

118P/Shoemaker-Levy 4:
comet 118P/Shoemaker-Levy 4 has been observed only twice in the period 1999-2005, always in its outbound orbital branch. It has been observed to be active at $r_{\rm h}$ = 4.1 AU (Mazzotta Epifani et al. 2008) and stellar at $r_{\rm h}$ = 4.7 AU (Lowry et al. 2003). Its distant behaviour appears to be standard.

121P/Shoemaker-Holt 2:
comet 121P/Shoemaker-Holt 2 has been observed several times in the period 1999-2006, always in its outbound orbital branch, showing as an active object only at $r_{\rm h}$ = 3.1 AU (Mazzotta Epifani et al. 2008). The distant behaviour of this comet appears to be standard.

128P/Shoemaker-Holt 1-A:
comet 128P/Shoemaker-Holt 1-A has been observed only twice in the period 1998-2000, showing activity only at $r_{\rm h}$ = 3.7 AU (Lowry & Fitzsimmons 2001), and being stellar at $r_{\rm h}$ = 5 AU (Lowry & Weissman 2003). The distant behaviour of this comet appears to be standard.

143P/Kowal-Mrkos:
comet 143P/Kowal-Mrkos has been observed three times in the period 1992-2006. It has not been detected in the pre-perihelion observation at $r_{\rm h}$ = 5.4 AU (Weissman et al. 2008), and presented stellar appearance at $r_{\rm h}$ = 3.9 (Jewitt et al. 2003) and 4.7 AU (Lowry & Fitzsimmons 2005). Although probably poorly active at large heliocentric distances, the distant behaviour of this comet appears to be standard.

Table 2 summarises the 90 comets (hereinafter called ``clear cases'') and the respective distant heliocentric distance adopted for the following analysis. Figure 3 shows the distribution of activity level for these clear cases. As Fig. 3 shows, the main result is that many more SPCs than one could expect show activity also at large $r_{\rm h}$: active comets are always comparable or even greater in number than inactive comets.

\begin{figure}
\par\includegraphics[width=7cm,clip]{12611f3.ps}
\vspace*{-3mm}
\end{figure} Figure 3:

Distribution of appearance for the sample of 90 comets (``clear cases''). The number of comets has been binned according to the adopted heliocentric distance of observation.

Open with DEXTER

2.5 Special cases and discussion on detection biases

In this section we will discuss the 10 cases for which it was not possible to unequivocally identify a specific heliocentric distance to analyse the distant environment. These cases are also applicable to a discussion about the possible sources of bias (and/or error) in the activity detection: we are dealing with a collection of observations from several sources, and the distant appearance of the comets has been assumed in the present discussion as presented in the original paper, without any attempt to re-analyse the data with an independent method, uniform for all targets.

To better investigate their distant environment, and in particular to study their degree of distant activity (if any), comets presented in this section deserve future investigations along both their orbital branches. We decided to not include them in the general analysis of the dynamical properties of the whole SPCs sample (see following section).

21P/Giacobini-Zinner:
comet 21P/Giacobini-Zinner has been observed three times in April-May 1991, always in its inbound orbital branch. Two contradictory observations have been published: 21P has been claimed both as a stellar (Luu 1993) and an active (Mueller 1992) object at the same heliocentric distance of $r_{\rm h}$ = 3.5 AU within few days. In this case, the difference clearly arises from the different observation technique: Luu (1993) observed the coma with a spectrograph to derive information on the spectral properties of bare cometary nuclei, and only imaged the comet in the telescope finder as a very faint target, with no visible coma. Conversely, Mueller (1992) targeted 21P with the Kitt Peak 2.3 m telescope only 1 week before, and observed the comet as clearly active. The case of 21P is typical for activity detected only with dedicated CCD photometry.

44P/Reinmuth 2:
comet 44P/Reinmuth 2 has been observed four times during the period 1998-2006, in two subsequent passages but always on its inbound orbital branch. During the first passage, the comet was not detected (Lowry et al. 2003; Lowry & Fitzsimmons 2001), while, although at comparable heliocentric distances, during the following run the comet always appeared as a stellar object (Snodgrass et al. 2006; 2008). The telescope aperture used to target this comet varies from 1 to 4.2 mt (see Table 1), therefore we can conclude that, the distant activity of this comet (if any) being quite faint, the case of 44P is typical for the dependence of cometary detection on telescope aperture and on the SNR achievable during observations.

47P/Ashbrook-Jackson:
comet 47P/Ashbrook-Jackson has been observed four times during the period 1991-2006, in three subsequent passages but always on its inbound orbital branch. Its degree of distant activity seems quite chaotic: it has been detected as a stellar object at $r_{\rm h}$ = 4.7 AU (Licandro et al. 2000), then in the following passage active at the closer distance $r_{\rm h}$ = 4.0 AU (Lowry et al. 2003), but then in the further following passage active already at $r_{\rm h}$ = 5.1 AU (Snodgrass et al. 2008). It could be that the distant activity of this comet undergoes significant changes in subsequent passages, but from the above data we are led to conclude that the detection of its activity, that could be in principle steady along the orbit, is highly dependent on telescope aperture and observing conditions.

48P/Johnson:
Comet 48P/Johnson was observed three times in the period 1991-2003, once in the inbound and twice in the outbound branch, in two subsequent passages. The post-perihelion observations, performed at similar heliocentric distances, are contradictory: the comet was assumed to be stellar in 1991 at $r_{\rm h}$ = 3.2 AU (Licandro et al. 2000) and then active in 1998 at $r_{\rm h}$ = 3.4 AU (Lowry & Fitzsimmons 2001). Assuming that the distant activity of 48P was stable in the two following passages and that no sudden event (e.g., collision, break-up) occurred that caused an increase of the distant activity, the data for this comet seem to suggest that the activity detection is dependant on observing conditions: during the 1998 run the comet was clearly active against the background, with a coma and an incipient tail, while during the 1991 run (performed with a telescope of smaller aperture) the comet presented a star-like appearance; no sign of activity was detected using a profile analysis but, according to the authors, the image flatness does not allow them to exclude a faint coma.

71P/Clark:
comet 71P/Clark has been targeted four times in the period 1997-2005 (once post-perihelion and three times preperihelion, in two subsequent passages). The comet showed as a stellar object at 4.7 AU postperihelion (Meech et al. 2004), but presents contradictory observations in the pre-perihelion branch: in particular, during quasi-contemporary (1 week of difference) observations in April 2005 at $r_{\rm h}$ = 3.5 AU, the comet was not detected with the TNG telescope (Mazzotta Epifani et al. 2008), while only a compact (star-like?) source at the nucleus' position in a long debris trail was observed in the IR by the space telescope SPITZER (Reach et al. 2007). This comet is a typical example of the dependance of the comet distant appearance on the telescope characteristics (a ground-based medium-class visible telescope and an IR space telescope were used, respectively) and capabilities.

79P/du Toit-Hartley:
comet 79P/du Toit-Hartley has been targeted three times in the period 1995-2006, both on the inbound and outbound orbital branch. At $r_{\rm h}$ = 3.5 post perihelion (Lowry & Fitzsimmons 2001) and at $r_{\rm h}$ = 4.4 pre-perihelion (Weissman et al. 2008), notwidthstanding the use of large telescopes (WHT 4.2 m and Palomar 5 m, respectively), the comet was not detected in the field. There is a contradictory observation at $r_{\rm h}$ = 4.7 AU pre-perihelion (Lowry et al. 1999), where the comet was observed as a stellar object with a much smaller telescope (JKT 1 m). The latter observation was declared to have some problems due to pointing errors of the telescope, nevertheless the authors were able to identify the comet by its known rate of motion. One possibility to explain the fact that 79P escaped detection after the 1995 stellar observation could be that the 1995 detection was actually due to a weak circumnuclear coma contamination, and then the activity of this comet (and more in particular its distant one) underwent a severe decrease such that even large telescopes such as WHT and Palomar were not able to detect its bare nucleus. This comet deserves further observations at heliocentric distances in the range 3.5-5 AU to clarify its strange behaviour.

81P/Wild 2:
comet 81P/Wild 2 has been repeatedly targeted in the period 1992-2006. Its distant behaviour has been oberved both in the inbound and in the outbound orbital branch, up to 5.3 AU post-perihelion (Weissman et al. 2008). It showed a standard behaviour with cometary activity clearly visible from 4.3 AU inbound (Licandro et al. 2000) to 5 AU outbound (Pittichová & Meech 2001), with the only exception of a contradictory stellar observation at $r_{\rm h}$ = 4.2 AU obtained with the JKT 1 m (Lowry et al. 1999). This is an example of how the use of a small telescope to perform snapshot observations (Lowry et al. 1999) could be a bias for the non-detection of a normal-to-weak activity, clearly detected few months before (and at $r_{\rm h}$ slighly larger) with a medium-sized telescope used for long sequences imaging aimed at searching for a possible rotation period.

87P/Bus:
comet 87P/Bus has been observed three times at large heliocentric distances in the 1995-1998 period, in two subsequent passages: at $r_{\rm h}$ = 3.4 AU postperihelion (Lowry et al. 1999), presenting as a stellar target, and then at $r_{\rm h}$ = 4.8 (Meech et al. 2004) and 4.3 (Lowry & Fitzsimmons 2001) AU preperihelion, when it was detected as an active target and not detected, respectively. The preperihelion observations are quite contradictory: they were both performed with large telescopes, although not of the same class (Keck 10 m and WHT 4.2 m, respectively), moreover the total exposure time is different in the two runs (1400 and 600 s, respectively). In case of comet 87P, only deep imaging with the largest telescope was sensitive to a (probably quite faint) distant cometary activity.

100P/Hartley 1:
comet 100P/Hartley 1 has been targeted only twice in the period 1998-2006, and has been detected only once, after the most recent perihelion passage, as a stellar object at $r_{\rm h}$ = 4.8 AU (Weissman et al. 2008). In the previous orbital passage, the comet remained undetected at $r_{\rm h}$ = 3.9 AU (Lowry & Fitzsimmons 2001). The two telescopes used in the runs are similar in aperture (5 m Palomar and 4.2 WHT, respectively): the contradiction could be explained by the fact that the non-detection in 1998 has been declared as less reliable since it could not be confirmed that the comet fell within the search area. The case of 100P/Hartley 1 is typical for the need for recent and precise astrometric data to search for distant bare nuclei and any residual coma contamination around them.

104P/Kowal 2:
comet 104P/Kowal 2 has been targeted three times in the 1999-2005 period, always postperihelion in two subsequent passages: at $r_{\rm h}$ = 3.9 AU (Lowry et al. 2003), when it was detected as a stellar object, and then at $r_{\rm h}$ = 3.1 AU, in two quasi-contemporary independent observing runs, with the NTT (Snodgrass et al. 2006) and with the SPITZER space telescope (Reach et al. 2007). It remained undetected and was observed as an active target, respectively. The visible ground non-detection (Snodgrass et al. 2006) of a coma (and tail) clearly visible in IR space images (Reach et al. 2007) is likely due to the adopted ground observing mode (short exposure snapshot observation), which, although for other comets in the same observing run was enough to detect activity (see e.g. the observation of comet 103P/Hartley 2 also reported in Table 1), for comet 104P was clearly unsufficient.

3 Analysis of general dynamical properties

3.1 Activity along the orbit

The first analysis we performed on the inventory of observations for SPCs is to investigate if there is any difference in the cometary activity along the comet's orbit. Data for the sample of 90 comets listed in Table 2 are shown in Fig. 4. It is immediately clear that SPCs, from a statistically point of view, are more likely to be active post-perihelion than pre-perihelion: more than 76% of the active comets (29 out of 38, median $r_{\rm h}$ = 4 AU) have been observed when post-perihelion. This result can be seen also in another way: 59% of the comets observed post-perihelion have been detected as active targets (they are therefore the majority with respect to the stellar and undetected comets), while only 22% of comets observed preperihelion are classified as active objects. A similar analysis has been performed for a large sample of comets observed with SPITZER (Kelley et al. 2008a). Compatible results have been presented.

\begin{figure}
\par\includegraphics[width=7cm,clip]{12611f4.ps}
\vspace*{2mm}
\end{figure} Figure 4:

Distribution of activity level with respect to the orbital position (pre and post perihelion) for the sample of 90 comets listed in Table 2 (``clear cases'').

Open with DEXTER

This trend has to be considered in the framework of the thermal evolution of a comet along its orbit. The primary driver for cometary activity close to the Sun is the sublimation of water ices on the surfaces and emanation of other volatiles from the interior at larger heliocentric distances: the latent heat of sublimation of different volatile species, as well as the nucleus temperature, determine the presence of a gas flux capable to sustain a dust flux to form the coma. Therefore, factors such as the cometary heliocentric distance and physical properties of nucleus (albedo, surface emissivity, rotation rate, pole direction, thermal diffusivity, density, porosity, and composition) are crucial for the ``turn on'' of the comet activity.

\begin{figure}
\par\includegraphics[width=6cm,clip]{12611f5a.ps}\includegraphics...
...11f5b.ps}\includegraphics[width=6cm,clip]{12611f5c.ps}\vspace{-3mm}
\end{figure} Figure 5:

Distant comet activity binned according to the present comet's perihelion distance, for detected comets (with active and stellar appearance) in the ``clear cases'' database. (Left): all data. (Middle): only the comets in the inbound orbital branch. (Right): only the comets in the outbound orbital branch.

Open with DEXTER

As the comet approaches its minimum heliocentric distance, passes its perihelion and then moves along its outward orbital branch, the heat wave coming from solar flux penetrates its interior and then, at large heliocentric distances after the perihelion passage, determines the internal water ice transition from amorphous to crystalline state (for a more detailed description of the process, see several theoretical models of thermal evolution and internal differentiation: Tancredi et al. 1994; Coradini et al. 1997; Julian et al. 2000; Gutiérrez et al. 2001; Capria 2002; Cohen et al. 2003; Prialnik et al. 2005). This determines the release of volatiles trapped in the reticule, which flow through the porosity of the nucleus and then can, in principle, lift off enough dust grains from the surface to sustain the presence of a coma even at large heliocentric distance. This process is therefore more likely to happen after the perihelion passage, at different levels from comet to comet, depending on nucleus physical properties.

3.2 Distant activity with respect to the present main orbital parameters

The link between distant activity and orbital parameters should be regarded in the framework of the thermal evolution of the SPC nucleus during its lifetime inside the Solar System. The water ice phase transition from amorphous to crystalline state (for a more detailed description of the process, see Meech & Svoren 2005) and subsequent gas release (able to sustain a coma even at large heliocentric distances) depend on the physical properties of the nucleus, its composition and properties such as the mass fraction of volatiles and dust-to-gas ratio. Also their variation during the many passages in the Solar System is crucial, since according to nucleus models the gas release changes the nucleus porosity and redistributes volatiles in the interior (see e.g. Tancredi et al. 1994). Repeated passages at the perihelion could determine the formation of a dust mantle on the surface, which can inhibit sublimation and therefore progressively reduce the fractional active area. The process of dust mantle formation in SPCs has been effectively modeled by Rickman et al. (1990, 1991), Coradini et al. (1997), Seiferlin et al. (1995), Podolak & Prialnik (1996).

The consequence is that the ``oldest'' and ``most processed'' SPCs tend to exhibit less activity along the whole orbit and in particular at large heliocentric distances. This fact is indirectly confirmed by observational evidence that ``new'' comets (such as Dynamically New Comets, passing for the first time inside the Solar System, or Long Period Comets, rarely passing at close heliocentric distances) exhibit a more uniform activity along the orbit (with a larger surface area being available for sublimation due to the lack of mantling), with a lack of jets and outbursts (due to occasional and sudden cracks of the dust mantle eroding at the perihelion passage) (Meech 2000; Meech et al. 2009; Mazzotta Epifani et al. 2009).

The data set of 90 comets listed in Table 2 (``clear cases'') has been studied to search for correlation of distant appearance with the present main orbital parameters, e.g. perihelion distance and semi-major axis. These parameters have been chosen as representative of the orbital evolution of the comet, in the framework of the thermal environment that a comet has to experience: i.e., what peak of solar flux the comet experiences (perihelion distance) and for how many times during its lifetime in the inner Solar System (semi-major axis).

Figure 5 summarises the degree of cometary activity binned according to the present comet's perihelion distance q for the detected targets (with active and stellar appearance) in the ``clear cases'' database (left panel), together with the same analysis split for comets observed in the inbound (middle panel) and outbound (right panel) orbital branch, respectively. There is a weak trend of comets with increasing perihelion distance to be more likely active at large heliocentric distance: among comets with q < 1.5 AU, only 5 out of 18 comets (28%) have been reported as active at large heliocentric distance, while among those with q > 3 AU, 14 out of 16 comets (88%) have been classified as active[*]. The same trend is more clearly visible if the analysis is split for the two subsets of comets observed in the inbound and outbound orbital branches (middle and right panels of Fig. 5, respectively).

Figure 6 summarises the degree of cometary activity binned according to the present comet's semi-major axis a for the detected targets (with active and stellar appearance) in the ``clear cases'' database (left panel), together with the same analysis split for comets observed in the inbound (middle panel) and outbound (right panel) orbital branch, respectively. Data show a much less evident trend (if any) for distant cometary activity with a: for a < 3.5 AU, 9 out of 17 comets (53%) are active at large heliocentric distance, and a similar percentage is observed for a > 5.5 AU (7 out of 12 targeted comets, 58%). The split analysis of the subsets of comets observed in the inbound and outbound orbital branches (middle and right panels of Fig. 6, respectively) gives very similar results, apart from the already discussed greater incidence of stellar comets in the inbound branch.

\begin{figure}
\par\includegraphics[width=6cm,clip]{12611f6a.ps}\includegraphics...
...1f6b.ps}\includegraphics[width=6cm,clip]{12611f6c.ps}
\vspace*{2mm}
\end{figure} Figure 6:

Distant comet activity binned according to the present comet's semi-major axis, for detected comets (with active and stellar appearance) in the ``clear cases'' database. (Left): all data. (Middle): only the comets in the inbound orbital branch. (Right): only the comets in the outbound orbital branch.

Open with DEXTER

The observed trend of comets with large perihelion distance q being more likely active at large heliocentric distances is explained in the scenario of mantle formation in subsequent orbits: a detailed model of the cometary nucleus (Rickman et al. 1990) shows that for large perihelion distance the rate of accumulation of dust grains in forming mantles is so slow that many revolutions (more than $\sim$100 years of orbital evolution) may be required to form a coherent mantle that could turn off the activity. However, to realistically model the SPC behaviour over long time scale, one must also take into account the variation of orbital parameters. This will be done in the next subsection.

\begin{figure}
\par\includegraphics[width=8cm,clip]{12611f7.ps}
\end{figure} Figure 7:

Maximum changes in the perihelion distance $\Delta $q during the last 150 years versus the heliocentric distances at the observation dates for two samples of independently chosen SPCs. Large black symbols are from Mazzotta Epifani et al. (2008; code EME08): asterisks stand for active comets, empty circles for stellar comets, filled circles for undetected comets. The $\Delta $q has been obtained from the JPL Horizon Data Base, as the difference between the perihelion distance just before the observation date and the distance of the last perihelion 150 years before observation. Small red symbols are from Licandro et al. (2000; code Li00): asterisks stand for active comets, empty circles for stellar comets. The $\Delta $q has been obtained from Tancredi & Rickman (1992). The 2 comets present in both the datasets are marked: 98P/Takamizawa and 103P/Hartley 2.

Open with DEXTER

3.3 Distant activity with respect to secular variations of the perihelion distance q

In the past, a correlation has been observed between activity at large heliocentric distance of SPCs and the object dynamical history on a secular time-scale, in particular the occurence of a recent (in the past 150 years) rapid decrease in the perihelion distance (Licandro et al. 2000) in a sample of 18 SPCs. In contrast, another survey of a similar number of targets (17 independently chosen SPCs) did not show any correlation between distant activity and the recent rapid decrease in the perihelion distance (Mazzotta Epifani et al. 2008). Figure 7 shows the comparison of the results obtained for the two (relatively) small samples of SPCs. The two studies slightly overlap, since twocomets (98P/Takamizawa, hereafter 98P, and 103P/Hartley 2, hereafter 103P) have been observed in both the datasets, although during different orbital passages and at different heliocentric distances. The comparison of data from these latter comets shows that this study is highly dependant on the method used to compute the secular variation of the perihelion distance $\Delta $q. The two comets showed the same appearance in the two observations (98P as a stellar object, 103P as an active one), and they have been assigned different values of $\Delta $q in almost the same time span: for 98P, $\Delta $q can be 0 (following Licandro et al. 2000) or 0.71 AU (Mazzotta Epifani et al. 2008); for 103P, $\Delta $q can be -0.7 or -0.31 AU, respectively (the time spans differ slightly since the observations have a 10 year gap: Licandro et al. 2000, observed in the period 1990-1995; Mazzotta Epifani et al. 2008, in 2005).

The possible relation between the observed distant activity of SPCs and the secular orbital evolution may be understood under the hypothesis (described in the previous subsection) of mantle formation. When the comet experiences a sudden decrease in the perihelion distance (e.g., caused by a close encounter with a giant planet), the maximum temperature rises, the vapour pressure below the crust increases, and the marginally stable crust may be broken, exposing fresh underlying surface or be completely blown off. This would explain a more intense activity during the whole orbit and in particular at large heliocentric distance.

To perform a more statistically meaningful analysis we decided to analyse the whole dataset of 90 comets listed in Table 2 (i.e., the ``clear cases'') to search for any correlation of the degree of distant activity with the secular variation of the perihelion distance. To investigate the possible effect of an increase of the temperature experienced by the nucleus, it is important to take into account not only ``how much'' the comet's perihelion came closer to the Sun, but also ``from where'' the decrease started. The balance between Sun irradiance on a cometary body of albedo A at the heliocentric distance $r_{\rm h}$ and emitted black-body radiation results in the equilibrium temperature (in $^{\circ}$K):

\begin{displaymath}%
T_{\rm e} = (1-A)^{1/4} \cdot {273\over \sqrt{r_{\rm h}}}.
\end{displaymath} (1)

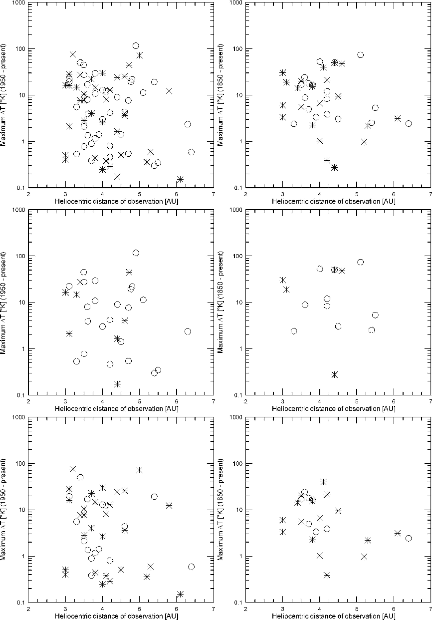
As shown in Fig. 19 of Mazzotta Epifani et al. (2008), under the hypothesis of a ``classical'' albedo A = 0.04, a decrease in the perihelion distance of $\Delta q$ = 1.5 AU determines an increase of the maximum temperature experienced by the nucleus of $\Delta T$ = 18 K and 66 K, if the starting perihelion distance  $q_{\rm start}$ is 6 or 3 AU, respectively. To investigate the possible relation of the distant cometary appearance with a recent variation of the perihelion distance, we determined for each comet the maximum $\Delta T$ experienced due to a rapid decrease in the perihelion distance occurred in the past 50 years (i.e., from 1950 to present). Moreover, after the analysis of the dynamical history of all the comets backward to 1850, we searched for any larger decrease eventually occurred in the period 1850-1950. Figure 8 (top panels) shows the plot of the maximum change $\Delta T$ in the past 50 years versus the heliocentric distance of observation for all the comets of Table 2 (left panel) and, only for comets that experienced a larger decrease during previous years, the plot of the maximum change $\Delta T$ in the period 1850-present.

\begin{figure}
\par\includegraphics[width=7cm,clip]{12611f8a.ps}\includegraphics...
...7cm,clip]{12611f8e.ps}\includegraphics[width=7cm,clip]{12611f8f.ps}
\end{figure} Figure 8:

Plot of the maximum $\Delta T$ versus the heliocentric distance of observation for comets of Table 2. Asterisks represents active comets; empty circles represents stellar comets (for clarity, undetected comets were not plotted). (Left panels) Maximum $\Delta T$ computed in the past 50 years (period 1950-present). (Right panels) Only for comets for which the maximum inward decrease in the perihelion distance occurred before 1950, maximum $\Delta T$ computed in the period 1850-present. From top to bottom: whole dataset, only comets in the inbound subset, only comets in the outbound subset (see Table 2).

Open with DEXTER

The two periods (1850-present and 1950-present) have been chosen to study the effect of the secular behaviour (150 years correspond to $\sim$15 orbital evolution for a mean SPC orbital period, and, following Tancredi et al. (1994), represent an appreciable fraction of the mean lifetime of a body in the Jupiter family of 1.3 $\times$ 104 years) and very recent variations of the perihelion distance, respectively. Modelling (e.g., Tancredi et al. 1994) shows that the increase of perihelion temperature has an immediate effect on the gas and dust production rate for few orbits after the perihelion decrease in the new orbit, and then the comet behaves in a standard manner, with evolutionary patterns very similar to a standard, ``not-captured'' comet.

Figure 8 (top panels) shows that there is no appreciable correlation of a historical or recent decrease of the perihelion distance with the present degree of distant activity for the sample of 90 SPCs in Table 2: both small and high $\Delta T$ occurred in the recent past, and active and stellar comets are both uniformly present in the plots. Significatively, the comet that experienced the smallest increase in temperature is active at large heliocentric distance (P/2004 V5-A (LINEAR-Hill)), and the comet that suffered the highest increase is stellar (96P/Machholz 1).

As in Sect. 3.2, the analysis was repeated after splitting the whole dataset in the two subsets of ``inbound comets'' and ``outbound comets'' (middle and bottom panels of Fig. 8, respectively). There are no significant differences between the two subsets, apart from the already discussed greater incidence of stellar comets observed in the inbound branch.

On a statistical basis, we find that a sudden decrease of the perihelion distance in the recent dynamical history cannot be assumed as a factor to predict a possible distant activity for a member of the SPC family. We can conclude that, even if there is some theoretical indication that this could occur, the hypothesis of distant activity triggered by a rise in the perihelion temperature cannot be unequivocally invoked for SPCs.

4 A test case: the comet 67P/Churyumov-Gerasimenko

An analysis of the orbital evolution of each comet in the database, to analyse dynamical events that could affect its activity along the orbit and more in particular at large heliocentric distance, is beyond the scope of this paper. In this section we will present one example of the study of SPC dynamical evolution: the comet 67P/Churyumov-Gerasimenko, particularly interesting for its role as a target for the ongoing Rosetta ESA space mission (Schwehm & Schulz 1999; Schulz 2009), launched on March 2004 and presently on its way to the target, to be reached in 2014.

Comet 67P/Churyumov-Gerasimenko (hereafter 67P) was discovered by K. I. Churyumov and S. I. Gerasimenko in mid-1969, on photographic plates taken at the Alma-Ata Astrophysical Institute (see Churyumov 2004). Its orbital history has been reconstructed thanks to data from JPL Horizon in the time range 1850-present, and studied also thanks to data from the Atlas of Dynamical Evolution of Short-Period Comets by Carusi et al. (1996). The secular behaviour of its perihelion distance q is shown in Fig. 9. 67P's orbit is rather chaotic, due to repeated encounters with Jupiter. In particular, a close encounter in the past century significantly decreased its perihelion distance to the present value of 1.25 AU.

The comet has been quite extensively observed in past years to characterise its dust and gas environment in view of the Rosetta mission rendez-vous. It has been observed for 14 times at $r_{\rm h}$ > 3 AU (3.2-5.7 AU) in the period 1999-2007: the comet characterisation at large heliocentric distance is important in view of the mission escort phase, which will probably start around 3-4 AU pre-perihelion. These observations are summarised in Fig. 10.

\begin{figure}
\par\includegraphics[width=8cm,clip]{12611f9.ps}
\end{figure} Figure 9:

Secular evolution of the perihelion distance q for comet 67P/ Churyumov-Gerasimenko in the period 1850-present, computed with data from JPL Horizon Data Base. The dashed vertical line indicates the close encounter occurred with Jupiter, which significatively affected the orbital evolution of the comet (Close Approach Distance = 0.05 AU, 4 Feb. 1959).

Open with DEXTER

\begin{figure}
\par\includegraphics[width=8cm,clip]{12611f10.ps}
\end{figure} Figure 10:

Observations of comet 67P/Churyumov-Gerasimenko (at heliocentric distance $r_{\rm h}$ > 3 AU) in the period 1991-2007. The continuous line is the cometary heliocentric distance in the period. The points indicate the observation: asterisks are for activity detection, empty circles are for comet detected as stellar object, filled circles are for no detection. The telescope used for each observation is also indicated (see reference in Table 1).

Open with DEXTER

The general trend for 67P seems to be compatible with the scenario of comets more active at large heliocentric distances in the outbound orbital branch than in the inbound one. There are some considerations to be made:

1.
The case of 67P is an example of how a difference in the telescope aperture can cause observative bias and therefore a difference in the distant appearance of a target at comparable heliocentric distance. Along two subsequent orbital branches, the comet was not detected at 5.7 AU inbound with the NOT 1 mt telescope (Lowry et al. 2003), and was detected (without activity) at 5.6 AU inbound with the VLT (Tubiana et al. 2008).

2.
The comet has been extensively observed, after its selection as the new target of the Rosetta mission, from 3.2 AU post-perihelion (June 2003) to 4.4 AU pre-perihelion (September 2007). The comet follows a standard path along its orbit, as shown also by Fig. 10. There is only a contradictory indication of distant activity in June-July 2004, when 67P was detected as a stellar object by ground-based observations (with VLT) (Tubiana et al. 2008) and only a month after as an active object by the SPITZER space telescope (Kelley et al. 2006). It is possible that the comet underwent a sudden increase of its distant activity (e.g., a rotational jet, or a collision event), but following observations with the largest ground telescopes did not reveal any residual activity: the dust event (if present) should have been of very short duration and should be considered occasional. More probably, the identification of 67P as an active object in July 2004 (based on a spectroscopic measurement of coma emission in excess of a model nucleus) by Kelley et al. (2006) should be confirmed by further investigations.
Its distant activity likely will be more investigated in the near future, as the comet just passed its last perihelion passage (February 2009) before the in-situ investigation of the activity that Rosetta will perform starting in 2014.

5 Summary and conclusions

We have gathered all the data available to the best of our knowledge in the literature (as per June 2009) to build up an inventory of distant observation of Short Period Comets. The database consists of 215 distinct observations of 100 SPCs in a range of heliocentric distances of $\sim$12 AU (from 3 to 14.6 AU). For 90 SPCs it has been possible to unequivocally identify a heliocentric distance to study its distant appearance and level of activity. The distant behaviour of the remaining 10 SPCs has been analysed in detail. The data have been used to perform a self-consistent and statistically meaningful analysis of general properties, investigating the link between the degree of distant activity and the present cometary orbital parameters, and the cometary dynamical history.

Our main results can be summarized as follows:

1.
There is no sharp cut-off at any heliocentric distance, beyond which the cometary activity fades and only bare nuclei are observed. Instead, the distribution of activity level shows that beyond 4.5 AU the number of comets observed with several degrees of activity always remains around 10-20% of the targeted comets.

2.
Short Period Comets are more likely to be active post-perihelion than pre-perihelion. Among the 90 comets classified as ``clear cases'', 59% of the comets observed post-perihelion have been detected as active targets, while only 22% of the comets observed pre-perihelion were active. This trend is likely attributed to the cometary evolution along its orbit, since the process of release of volatiles trapped in the reticule and the lift of enough dust grains to sustain the presence of a coma even at large heliocentric distance is more likely to happen after the perihelion passage, when the heat wave coming from solar flux penetrates more and more into the nucleus interior.

3.
There is a weak trend of comets with increasing perihelion distance to be more likely active at large heliocentric distance: among comets with q < 1.5 AU, only 5 out of 18 comets (28%) have been reported as active at large heliocentric distance, while among those with q > 3 AU, 14 out of 16 comets (88%) have been classified as active. More observations are needed to further constrain this trend: it could be theoretically explained in the scenario of mantle formation in subsequent orbits: a detailed model of the cometary nucleus (Rickman et al. 1990) shows that for large perihelion distance the rate of accumulation of dust grains in forming mantles is so slow that many more revolutions (more than $\sim$100 years of orbital evolution) may be required to form a coherent mantle that could blow off the activity. A much less significant trend (if any) is present for distant cometary activity with semi-major axis a.

4.
There is no apparent appreciable correlation of a secular and/or recent increase of the perihelion temperature (due to a rapid decrease in the perihelion distance) with the present distant appearance for the sample of 90 comets classified as ``clear cases''.
The importance of the unambiguous determination of the activity level for a distant cometary nucleus is evident: if the presence of a weak coma is not revealed and a comet is defined as inactive only on the basis of its point-like appearence, the inferred size of the nucleus is clearly overestimated (for this discussion, we are concentrating only on the effects of the dust activity and we do not consider the error introduced by the unknown nucleus albedo and real shape). Distant activity of SPCs, at heliocentric distance close even to their aphelion position, is a very common phenomenon among this family of comets. Some indications for future studies dealing with cometary nuclei can be derived:
a)
Sometimes the occurrence of distant activity for SPCs can be detected from the ground only with deep visible imaging. Large telescopes (4 mt class and larger) would help to reduce the amount of observing time needed to discriminate between active and inactive targets at large heliocentric distance.

b)
A complete characterization of the SPC's activity along the whole orbit is crucial to give correct estimates of the nucleus size and to obtain more reliable nucleus size-distribution curves for the family of objects. Careful long-term monitoring, especially at very large heliocentric distances and both in the inbound and outbound orbital branch, is needed to investigate the physical properties of cometary nuclei and their surface and sub-surface evolution on small and medium time-scales.

Acknowledgements
We gratefully aknowledge funding from Italian Space Agency (ASI) under contract I/015/07/0.

References

  • A'Hearn, M. F., Belton, M. J. S., Delamere, W. A., et al. 2005, Science, 310, 258 [NASA ADS] [CrossRef]
  • Boehnhardt, H., Rainer, N., Birkle, K., & Schwehm, G. 1999, A&A, 341, 912 [NASA ADS]
  • Brownlee, D. E., Horz, F., Newburn, R. L., et al. 2004, Science, 304, 1764 [NASA ADS] [CrossRef]
  • Brownlee, D. E., Tsou, P., Aléon, J., et al. 2006, Science, 314, 1711 [NASA ADS] [CrossRef]
  • Capria, M. T. 2002, Earth Moon & Planets, 89, 161 [NASA ADS] [CrossRef]
  • Carusi, A., Kresák, L., & Valsecchi, G. B. 1996, Electronic Atlas of Dynamical Evolution of Short-Period Comets, http://www.rm.iasf.cnr.it/ias-home/comet/catalog.html
  • Churyumov, K. 2004, in The New Rosetta Targets. Observation, Simulations and Instrument Performances, ed. L. Colangeli, E. Mazzotta Epifani, & P. Palumbo, ASS Library, 311 (Kluwer Acad. Pub.)
  • Cohen, M., Prialnik, D., & Podolak, M. 2003, New Astron., 8, 179 [NASA ADS] [CrossRef]
  • Coradini, A., Capaccioni, F., Capria, M. T., et al. 1997, Icarus, 129, 337 [NASA ADS] [CrossRef]
  • De Sanctis, M. C., Lazzarin, M., Barucci, M. A., Capria, M. T., & Coradini, A. 2000, A&A, 354, 1086 [NASA ADS]
  • Duncan, M., Quinn, T., & Tremaine, S. 1988, ApJ, 328, L69 [NASA ADS] [CrossRef]
  • Duncan, M., Levison, H., & Dones, L. 2005, in Comets II, ed. M. Festou, H. U. Keller, & H. A. Weaver (Tucson: Univ. Arizona Press)
  • Farinella, P., & Davis, D. 1996, Science, 273, 938 [NASA ADS] [CrossRef]
  • Fernández, J. A. 1980, MNRAS, 192, 481 [NASA ADS]
  • Ferrin, I. 2005, Icarus, 178, 493 [NASA ADS] [CrossRef]
  • Fitzsimmons, A., & Williams, I. P. 1994, A&A, 289, 304 [NASA ADS]
  • Gutiérrez, P. J., Ortiz, J. L., Rodrigo, R., & López-Moreno, J. J. 2001, A&A, 374, 326 [NASA ADS] [EDP Sciences] [CrossRef]
  • Hainaut, O. R., Meech, K. J., Boehnhardt, H., & West, R. M. 1998, A&A, 333, 746 [NASA ADS]
  • Ishiguro, M., Sarugaku, Y., Ueno, M., et al. 2007, Icarus, 189, 169 [NASA ADS] [CrossRef]
  • Jewitt, D. 2002, AJ, 123, 1039 [NASA ADS] [CrossRef]
  • Jewitt, D., & Sheppard, S. 2004, AJ, 127, 1784 [NASA ADS] [CrossRef]
  • Jewitt, D., Sheppard, S., & Fernández, Y. 2003, AJ, 125, 3366 [NASA ADS] [CrossRef]
  • Julian, W. H., Samarasinha, N. H., & Belton, M. J. S. 2000, Icarus, 144, 160 [NASA ADS] [CrossRef]
  • Keller, H. U., Arpigny, A., Barbieri, C., et al. 1986, Nature, 321, 320 [NASA ADS] [CrossRef]
  • Kelley, M. S., Woodward, C. E., Harker, D. E., et al. 2006, ApJ, 651, 1256 [NASA ADS] [CrossRef]
  • Kelley, M. S., Fernandez, Y. R., A'Hearn, M. F., et al. 2008a, ACM July 14-18, Baltimore, Maryland, LPI Contrib. No. 1405, paper id. 8272
  • Kelley, M. S., Reach, W. T., & Lieu, D. J. 2008b, Icarus, 193, 572 [NASA ADS] [CrossRef]
  • Kelley, M. S., Wooden, D. H., Tubiana, C., et al. 2009, AJ, 137, 4633 [NASA ADS] [CrossRef]
  • Lamy, P., Toth, I., A'Hearn, M. F., Weaver, H. A., & Weissman, P. R. 2001, Icarus, 154, 337 [NASA ADS] [CrossRef]
  • Lamy, P., Toth, I., Fernández, Y. R., & Weaver, H. A. 2005, in Comets II, ed. M. Festou, H. U. Keller, & H. A. Weaver (Tucson: Univ. Arizona Press)
  • Levison, H. F. 1996, in Completing the Inventory of the Solar System, ed. T. W. Retting, & J. M. Hahn (San Francisco: ASP), ASP Conf. Ser., 107
  • Licandro, J., Tancredi, G., Lindgren, M., Rickman, H., & Gil Hutton, R. 2000, Icarus, 147, 161 [NASA ADS] [CrossRef]
  • Licandro, J., Guerra, J. C., Campins, H., et al. 2002, EM&P, 90, 495 [NASA ADS]
  • Licandro, J., Campins, H., Hergenrother, C., & Lara, L. M. 2003, A&A, 398, L45 [NASA ADS] [EDP Sciences] [CrossRef]
  • Lisse, C. M., Fernandez, Y. R., Reach, T. W., et al. 2009, PASP, 121, 968 [NASA ADS] [CrossRef]
  • Lowry, S. C., & Fitzsimmons, A. 2001, A&A, 365, 204 [NASA ADS] [EDP Sciences] [CrossRef]
  • Lowry, S. C., & Fitzsimmons, A. 2005, MNRAS, 358, 641 [NASA ADS] [CrossRef]
  • Lowry, S. C., & Weissman, P. R. 2003, Icarus, 164, 492 [NASA ADS] [CrossRef]
  • Lowry, S. C., Fitzsimmons, A., Cartwright, I. M., & Williams, I. P. 1999, A&A, 349, 649 [NASA ADS]
  • Lowry, S. C., Fitzsimmons, A., & Collander-Brown, S. 2003, A&A, 397, 329 [NASA ADS] [EDP Sciences] [CrossRef]
  • Lowry, S. C., Fitzsimmons, A., Jorda, L., et al. 2006, AAS DPS meeting #38, #08.01
  • Luu, J. 1993, Icarus, 104, 138 [NASA ADS] [CrossRef]
  • Luu, J., & Jewitt, D. 1992, Icarus, 97, 276 [NASA ADS] [CrossRef]
  • Mazzotta Epifani, E., Palumbo, P., Capria, M. T., et al. 2006, A&A, 460, 935 [NASA ADS] [EDP Sciences] [CrossRef]
  • Mazzotta Epifani, E., Palumbo, P., Capria, M. T., et al. 2007, MNRAS, 381, 713 [NASA ADS] [CrossRef]
  • Mazzotta Epifani, E., Palumbo, P., Capria, M. T., et al. 2008, MNRAS, 390, 1 [CrossRef], 265
  • Mazzotta Epifani, E., Palumbo, P., Capria, M. T., et al. 2009, A&A, 502, 355 [NASA ADS] [EDP Sciences] [CrossRef]
  • Meech, K. J. 1988, BAAS, 20, 835 [NASA ADS]
  • Meech, K. J. 1999, in Evolution and Source Regions of Asteroids and Comets, ed. J. Svoren, E. M. Pittich, & H. Rickman, Astron. Inst. Slovak Acad. Sci., Tatranská Lomnica, Proc. IAU Coll., 173
  • Meech, K. J. 2000, in A New Era in Bioastronomy, ed. G. Lemarchand, & K. J. Meech, ASP Conf. Ser., 213
  • Meech, K. J., & Svoren, J. 2005, in Comets II, ed. M. Festou, H. U. Keller, & H. A. Weaver (Tucson: Univ. Arizona Press)
  • Meech, K. J., Hanaut, O. R., & Marsden, B. G. 2004, Icarus, 170, 463 [NASA ADS] [CrossRef]
  • Meech, K. J., Pittichová, J., Bar-Nun, A., et al. 2009, Icarus, 201, 719 [NASA ADS] [CrossRef]
  • Morbidelli, A. 2005, Origin and dynamical evolution of comets and their reservoirs, Lectures on comet dynamics and outer solar system formation at the 35th Saas-Fee advanced course
  • Mueller, B. E. A. 1992, Asteroids Comets Meteors 1991, 425
  • Mueller, B. E. A., & Samarasinha, N. H. 2002, Earth Moon & Planets, 90, 463 [NASA ADS] [CrossRef]
  • O'Cellaigh, D. P., Fitzsimmons, A., & Williams, I. P. 1995, A&A, 297, L17 [NASA ADS]
  • Pittichová, J., & Meech, K. J. 2001, AAS, DPS Meeting #33, #20.05, BAAS, 33, 1075
  • Podolak, M., & Prialnik, D. 1996, Planet. Space Sci., 44, 655 [NASA ADS] [CrossRef]
  • Prialnik, D., Benkhoff, J., & Podolak, M. 2005, in Comets II, ed. M. Festou, H. U. Keller, & H. A. Weaver (Tucson: Univ. Arizona Press)
  • Reach, W. T., Kelley, M. S., & Sykes, M. V. 2007, Icarus, 191, 298 [NASA ADS] [CrossRef]
  • Rickman, H., Fernandez, J. A., & Gustafson, B. A. S. 1990, A&A, 237, 524 [NASA ADS]
  • Rickman, H., Kamél, L., Froeschlé, C., & Festou, M. C. 1991, AJ, 102, 1446 [NASA ADS] [CrossRef]
  • Sagdeev, R. Z., Saabo, F., Avanesov, G. A., et al. 1986, Nature, 321, 262 [NASA ADS] [CrossRef]
  • Schulz, R. 2009, SoSyR, 43, 343 [NASA ADS]
  • Schulz, R., Stuewe, J. A., & Boehnhardt, H. 2004, A&A, 422, L19 [NASA ADS] [EDP Sciences] [CrossRef]
  • Schwehm, G., & Schulz, R. 1999, Space Sci. Rev., 90, 313 [NASA ADS] [CrossRef]
  • Seiferlin, K., Spohn, T., & Benkhoff, J. 1995, Adv. Space Res., 15, 35 [NASA ADS] [CrossRef]
  • Snodgrass, C., Fitzsimmons, A., & Lowry, S. C. 2005, A&A, 444, 287 [NASA ADS] [EDP Sciences] [CrossRef]
  • Snodgrass, C., Lowry, S. C., & Fitzsimmons, A. 2006, MNRAS, 385, 737 [NASA ADS] [CrossRef]
  • Snodgrass, C., Fitzsimmons, A., & Lowry, S. C. 2008, MNRAS, 373, 1590 [NASA ADS] [CrossRef]
  • Soderblom, L. A., Becker, T. L., Bennett, G., et al. 2002, Science, 296, 1087 [NASA ADS] [CrossRef]
  • Tancredi, G., & Rickman, H. 1992, In Chaos, Resonance and Collective Dynamical Phenomena in the Solar System, ed. S. Ferraz-Mello (Dordrecht/Norwell, MA: Kluwer Acad.)
  • Tancredi, G., Rickman, H., & Greemberg, J. M. 1994, A&A, 286, 659 [NASA ADS]
  • Tubiana, C., Barrera, L., Drahus, M., & Boehnhardt, H. 2008, A&A, 490, 377 [NASA ADS] [EDP Sciences] [CrossRef]
  • Weissman, P. R., Choi, Y. J., & Lowry, S. C. 2008, AAS, DPS meeting #40, #2.03, BAAS, 40, 387

Online Material

Table 1:   Observations of distant SPCs1.

Table 2:   Dataset for the ``clear cases'', i.e., the sample used for the analysis of the family's general properties1.

Footnotes

... comets[*]
Tables 12 are only available in electronic form at http://www.aanda.org
... active[*]
There are only 2 comets having perihelion distance q > 3 AU and reported in the paper with stellar appearance beyond 3 AU: 111P/Helin-Roman-Crockett and P/1996 A1 (Jedicke). The reason for this apparent contradiction is that in this paper only observations listed in refereed papers are reported. Therefore, objects that have been classified as comets with q > 3 AU by observations reported e.g. in IAUC or MPEC may have a stellar appearance at $r_{\rm h}$ > 3 AU in our database.

All Tables

Table 1:   Observations of distant SPCs1.

Table 2:   Dataset for the ``clear cases'', i.e., the sample used for the analysis of the family's general properties1.

All Figures

  \begin{figure}
\par\includegraphics[width=6.5cm,clip]{12611f1a.ps}\hspace*{0.8cm}
\includegraphics[width=7cm,clip]{12611f1b.ps}
\end{figure} Figure 1:

Distribution of appearance for the sample of 215 distinct observations listed in the inventory. (Left) Number of observations binned according to heliocentric distance of observation. A: activity detected; S: comet detected as stellar; N: undetected comet. (Right) Cumulative number of observations vs. heliocentric distance of observations. Asterisks: activity detected; empty circles: comet detected as stellar; filled circles: comet not detected.

Open with DEXTER
In the text

  \begin{figure}
\par\includegraphics[width=7cm,clip]{12611f2a.ps}\includegraphics...
...1f2c.ps}\includegraphics[width=7cm,clip]{12611f2d.ps}
\vspace*{2mm}
\end{figure} Figure 2:

Distant observations of comets in the ``multiple complex observations'' class. The degree of activity of comets 6P/d'Arrest, 9P/Tempel 1, 21P/Giacobini-Zinner, 22P/Kopff, 26P/Grigg-Skjellerup, 36P/Whipple, 40P/Vaisala, 43P/Wolf-Harrington, 44P/Reinmuth 2 (top left panel), 46P/Wirtanen, 47P/Ashbrook-Jackson, 48P/Johnson, 53P/Van Biesbroek, 56P/Slaughter-Burnham, 61P/Shajn-Schaldach, 64P/Swift-Gehrels, 67P/Churyumov-Gersaimenko, 69P/Taylor (top right panel), 71P/Clark, 73P/Schwassmann-Wachmann, 75P/Kohoutek, 78P/Gehrels 2, 79P/du Toit-Hartley, 81P/Wild 2, 82P/Gehrels 3, 86P/Wild 3, 87P/Bus (bottom left panel), and 100P/Hartley 1, 103P/Hartley 2, 104P/Kowal 2, 109P/Swift-Tuttle, 111P/Helin-Roman-Crockett, 118P/Shoemaker-Levy 4, 121P/Shoemaker-Holt 2, 128P/Shoemaker-Holt 1-A, 143P/Kowal-Mrkos (bottom right panel) is plotted versus their orbital position with respect to perihelion distance. Asterisks are for activity detected, empty circles are for comets observed as stellar object, filled circles are for no detection. The vertical dashed line distinguishes between pre- and post-perihelion observations. The horizontal long-dashed lines are drawn only to aid the eye for each comet. A small asterisk close to the name of the comet indicates target for which it was not possible to unequivocally identify a specific heliocentric distance to analyse the distant environment.

Open with DEXTER
In the text

  \begin{figure}
\par\includegraphics[width=7cm,clip]{12611f3.ps}
\vspace*{-3mm}
\end{figure} Figure 3:

Distribution of appearance for the sample of 90 comets (``clear cases''). The number of comets has been binned according to the adopted heliocentric distance of observation.

Open with DEXTER
In the text

  \begin{figure}
\par\includegraphics[width=7cm,clip]{12611f4.ps}
\vspace*{2mm}
\end{figure} Figure 4:

Distribution of activity level with respect to the orbital position (pre and post perihelion) for the sample of 90 comets listed in Table 2 (``clear cases'').

Open with DEXTER
In the text

  \begin{figure}
\par\includegraphics[width=6cm,clip]{12611f5a.ps}\includegraphics...
...11f5b.ps}\includegraphics[width=6cm,clip]{12611f5c.ps}\vspace{-3mm}
\end{figure} Figure 5:

Distant comet activity binned according to the present comet's perihelion distance, for detected comets (with active and stellar appearance) in the ``clear cases'' database. (Left): all data. (Middle): only the comets in the inbound orbital branch. (Right): only the comets in the outbound orbital branch.

Open with DEXTER
In the text

  \begin{figure}
\par\includegraphics[width=6cm,clip]{12611f6a.ps}\includegraphics...
...1f6b.ps}\includegraphics[width=6cm,clip]{12611f6c.ps}
\vspace*{2mm}
\end{figure} Figure 6:

Distant comet activity binned according to the present comet's semi-major axis, for detected comets (with active and stellar appearance) in the ``clear cases'' database. (Left): all data. (Middle): only the comets in the inbound orbital branch. (Right): only the comets in the outbound orbital branch.

Open with DEXTER
In the text

  \begin{figure}
\par\includegraphics[width=8cm,clip]{12611f7.ps}
\end{figure} Figure 7:

Maximum changes in the perihelion distance $\Delta $q during the last 150 years versus the heliocentric distances at the observation dates for two samples of independently chosen SPCs. Large black symbols are from Mazzotta Epifani et al. (2008; code EME08): asterisks stand for active comets, empty circles for stellar comets, filled circles for undetected comets. The $\Delta $q has been obtained from the JPL Horizon Data Base, as the difference between the perihelion distance just before the observation date and the distance of the last perihelion 150 years before observation. Small red symbols are from Licandro et al. (2000; code Li00): asterisks stand for active comets, empty circles for stellar comets. The $\Delta $q has been obtained from Tancredi & Rickman (1992). The 2 comets present in both the datasets are marked: 98P/Takamizawa and 103P/Hartley 2.

Open with DEXTER
In the text

  \begin{figure}
\par\includegraphics[width=7cm,clip]{12611f8a.ps}\includegraphics...
...7cm,clip]{12611f8e.ps}\includegraphics[width=7cm,clip]{12611f8f.ps}
\end{figure} Figure 8:

Plot of the maximum $\Delta T$ versus the heliocentric distance of observation for comets of Table 2. Asterisks represents active comets; empty circles represents stellar comets (for clarity, undetected comets were not plotted). (Left panels) Maximum $\Delta T$ computed in the past 50 years (period 1950-present). (Right panels) Only for comets for which the maximum inward decrease in the perihelion distance occurred before 1950, maximum $\Delta T$ computed in the period 1850-present. From top to bottom: whole dataset, only comets in the inbound subset, only comets in the outbound subset (see Table 2).

Open with DEXTER
In the text

  \begin{figure}
\par\includegraphics[width=8cm,clip]{12611f9.ps}
\end{figure} Figure 9:

Secular evolution of the perihelion distance q for comet 67P/ Churyumov-Gerasimenko in the period 1850-present, computed with data from JPL Horizon Data Base. The dashed vertical line indicates the close encounter occurred with Jupiter, which significatively affected the orbital evolution of the comet (Close Approach Distance = 0.05 AU, 4 Feb. 1959).

Open with DEXTER
In the text

  \begin{figure}
\par\includegraphics[width=8cm,clip]{12611f10.ps}
\end{figure} Figure 10:

Observations of comet 67P/Churyumov-Gerasimenko (at heliocentric distance $r_{\rm h}$ > 3 AU) in the period 1991-2007. The continuous line is the cometary heliocentric distance in the period. The points indicate the observation: asterisks are for activity detection, empty circles are for comet detected as stellar object, filled circles are for no detection. The telescope used for each observation is also indicated (see reference in Table 1).

Open with DEXTER
In the text


Copyright ESO 2009

Current usage metrics show cumulative count of Article Views (full-text article views including HTML views, PDF and ePub downloads, according to the available data) and Abstracts Views on Vision4Press platform.

Data correspond to usage on the plateform after 2015. The current usage metrics is available 48-96 hours after online publication and is updated daily on week days.

Initial download of the metrics may take a while.