| Issue |
A&A
Volume 508, Number 3, December IV 2009
|
|
|---|---|---|
| Page(s) | 1493 - 1502 | |
| Section | Planets and planetary systems | |
| DOI | https://doi.org/10.1051/0004-6361/200912251 | |
| Published online | 01 October 2009 | |
A&A 508, 1493-1502 (2009)
On the eccentricity of self-gravitating circumstellar disks in eccentric binary systems
F. Marzari1 - H. Scholl2 - P. Thébault3 - C. Baruteau4
1 - Dipartimento di Fisica, University of Padova, Via Marzolo 8,
35131 Padova, Italy
2 -
Laboratoire Cassiopée, Université de Nice Sophia Antipolis, CNRS,
Observatoire de la Côte d'Azur, BP 4229, 06304 Nice Cedex, France
3 -
Observatoire de Paris,
Section de Meudon,
92195 Meudon Principal Cedex, France
4 -
Astronomy and Astrophysics Department, University of California,
Santa Cruz, CA 95064, USA
Received 1 April 2009 / Accepted 3 August 2009
Abstract
Aims. We study the evolution of circumstellar massive disks
around the primary star of a binary system focusing on the computation
of disk eccentricity. In particular, we concentrate on its dependence
on the binary eccentricity. Self-gravitation is included in our
numerical simulations. Our standard model assumes a semimajor axis for
the binary of 30 AU, the most probable value according to the
present binary statistics.
Methods. Two-dimensional hydrodynamical computations are
performed with FARGO. Besides the dynamical standard method to
determine disk eccentricities, we apply a morphological method which
may allow a better comparison with observations.
Results. Self-gravitation leads to disks that, on average, have
low eccentricity. Moreover, the orientation of the disk computed with
the standard dynamical method always librates instead of circulating as
in simulations without self-gravitation. The disk eccentricity
decreases with the binary eccentricity, a result found also in models
without self-gravitation.
Conclusions. Disk self-gravitation appears to be an important
factor in determining the evolution of a massive disk in a binary
system. High eccentricity binaries are not necessarily a hostile
environment for planetary accretion.
Key words: planetary systems: formation - planetary systems: protoplanetary disks - methods: numerical
1 Introduction
All stages of planet formation in binary star systems might be strongly influenced by the characteristic gravitational field. (Thébault et al. 2004,2006; Quintana et al. 2002; Marzari & Scholl 2000; Paardekooper et al. 2008; Thébault et al. 2008). The protoplanetary disk around a primary star, for instance, is perturbed by the companion affecting its morphology and dynamical structure. Spiral waves develop at major resonances in the disk. Its shape is expected to be elliptic with varying eccentricity (Kley et al. 2008; Kley & Nelson 2008; Paardekooper et al. 2008). Both these features may alter the dust sedimentation process on the mid plane of the disk and the grain accumulation into planetesimals which might even be inhibited (Nelson 2000). More eccentric trajectories of the grains, dragged by the gas, increase the impact rate but, on the other hand, might lead to destructive collisions by increasing the relative velocity. A more turbulent disk might, however, favor accumulation of dust in bigger bodies due to gravitational instability on a faster timescale.
Understanding the morphology of circumprimary gas disks is also crucial for the subsequent phase of planetesimal accumulation. Indeed, several recent studies have shown that this stage might be severely hampered, or even stopped by the combination of secular perturbations from the companion star and friction with gas (Xie & Zhou 2008; Thébault et al. 2009,2006,2008). This combined effect forces a differential phasing of planetesimal orbits according to sizes, which leads to high impact velocities for a large fraction of planetesimal-planetesimal collisions, which could in some cases lead to an accretion-hostile dynamical environment. Paardekooper et al. (2008) have shown that these results, obtained assuming static axisymmetric gas disks, could be further amplified when letting the gas disk evolve and ``feel'' the binary perturbations. The most accretion-hostile cases were obtained when the gaseous disk reached high eccentricities, with impact velocities almost twice as high as in the axisymmetric case, while low eccentricity disks gave results similar to that with a static disk There is in principle a possibily for an eccentric gas disc to lead to lower drag effects, that is, if this eccentricity is close to the forced secular eccentricity of the planetesimals (see Eq. (17) of Paardekooper et al. 2008). However, this theoretical behaviour is only possible for a very specific radial profile of the gas disk density and has never been observed in test simulations, indicating that this case is probably only a marginal possibility (see detailed discussion in Sect. 6.1 of Paardekooper et al. 2008).
Also, the alternative formation mechanism for giant planets by rapid disk gravitational instability seems to be affected by the companion perturbations. According to Boss (2006), the presence of the secondary star might induce planet formation, even if his results are questioned in Mayer et al. (2006).
Before performing time consuming simulations of planetesimal accretion in a binary system with a hybrid code like, for instance, in Kley & Nelson (2007), Paardekooper et al. (2008) and Marzari et al. (2008), we first investigate the disk evolution depending on the parameters of the system. This paper is devoted to the influence of the binary eccentricity and self-gravitation on the disk structure.
In addition, the eccentricity of circumstellar disks in binaries may also become an observable feature in the future. The next generation of interferometers (like ALMA, Atacama Large Millimeter/submillimeter Array) aiming to obtain high angular resolution millimeter and sub-millimeter images, might resolve the molecular gas and dust components of disks by deriving values for the disk size and ellipticity. Lim and Takakuwa (2006) have already performed imaging of the dusty disks with VLA (Very Large Array) in the L1551 IRS 5 binary system with a resolution of about 5 AU while with ALMA it might be possible to gain a factor of from 2 to 5. The morphology of protostellar disks might be derived by a comparison with numerical simulations. The matching of observable features will allow us to derive important constraints on physical disk parameters. An important parameter in comparing observations and simulations is the eccentricity of the disk. Classical image treatment methods developed to measure the eccentricity and orientation of elliptical galaxies, once applied to circumstellar disks, may yield different values compared to those usually obtained by numerical simulations. We will discuss this problem in Sect. 2.
Investigating the effect of a stellar companion on the evolution of a disk surrounding the primary necessitates the exploration of a very large parameter space determined in particular by physical parameters for the disk and orbital parameters of the binary system. In a first step, we focus on the influence of the binary eccentricity using for all other parameters mean standard values which are expected from observations. For the simulations, we use the latest release of the hydrodynamical code FARGO (Masset 2000) which now includes disk self-gravitation (Baruteau & Masset 2008). Comparison with former simulations allows the investigation of its influence on the formation of structures in the disk, on its eccentricity and orientation.
The paper is structured in the following way. We first compare in Sect. 2 the standard way to derive the disk eccentricity in a simulation with image treatment methods developed for observed disks. In Sect. 3 we recall the numerical FARGO model and give the parameters of our simulated systems. Section 4 is devoted to the importance of self-gravitation on the evolution of a disk. Section 5 is focused on the dependence of disk evolution on binary eccentricity. In Sect. 6 we summarize and discuss our results.
2 Dynamical and morphological disk eccentricities
Under the perturbations of the binary companion, the disk around the
primary star modifies its shape.
The three major perturbing forces acting on each gas
particle, which are the gravitational attraction exerted by the companion star,
the gas pressure and the gravitational attraction by the disk,
act in synergy and modify the trajectories
of each individual gas particle. In a disk surrounding an isolated single star,
trajectories are in a first approximation nearly circular when the self-gravitation of
the disk is neglected. The
gravitational potential due to the disk and the companion star
modify the trajectories which can be approximated by elliptical trajectories
with varying eccentricities. Hydrodynamical simulations of a disk yield for each cell
of the grid the velocity of the gas that can be used to compute an
individual eccentricity attributed to each cell. The mass-weighted average of
the eccentricities of all cells has been used as an estimator for the
eccentricity of the disk (Kley et al. 2008; Pierens & Nelson 2007; Paardekooper et al. 2008).
We call it in the following the dynamical disk eccentricity
.
It is defined by:
|
(1) |
where ei is the eccentricity of each cell i of the grid, assuming that the local position and velocity vectors uniquely define a 2-body Keplerian orbit, while mi is its mass computed from the local disk density.
If the self-gravitation of the disk is included in the model,
the calculation of ei and
must be improved.
When a two-body Keplerian orbit is derived for each gas cell
it must account for the gravitational attraction of all
the other disk components. An approximate perturbative model
can be used in this case as in
Marzari et al. (2008).
The disk is approximated as
a sequence of uniform density rings starting from the inner radius outwards
until the outer border of the disk is reached.
The density of each ring is calculated by averaging the local disk density
within the ring derived from the numerical simulation.
The gravitational attraction of each ring on each individual
gas cell can be
analytically computed (Krogh et al. 1982) and, being a radial force, it can
be added to the central force of the star. A Keplerian orbit
for each gas cell is computed by adopting a slightly increased
mass for the star which must be updated at each timestep
since the mass distribution within the disk changes
because of spiral waves and disk eccentricity.
By comparing the computation of
the orbital elements of each disk component with and without
the abovementioned algorithm to account for self-gravitation we
find that for eccentricities greater than 0.1 the discrepancy
between a rough 2-body estimate of ei and
derived
with a constant stellar mass and that obtained with a varying
stellar mass because of the disk
self-gravitation are not very different; thus we neglect this effect
in this paper.
We can also safely neglect the effects of pressure forces in a
first approximation since they do not introduce a large error
in the computation of a reliable value of both ei and
.
In conclusion, hereinafter we compute the eccentricity ei of each disk component
by using a 2-body approximation with fixed stellar mass.
An important question is how to relate
to the disk
eccentricity an observer would obtain applying an image treatment method.
Eccentricities of elliptically shaped
objects, in particular of elliptical galaxies,
on a digitized image are obtained basically by two classical methods.
One method uses all pixels
that form an object. Computing first and second order momenta of the object
yields eccentricity,
semimajor axis and orientation of an ellipse approximating the object. The second method
uses contour lines formed by pixels with about the same intensity.
An ellipse is then fitted to the contour line.
We applied the second method, which is implemented in MATLAB, where we
force the focus of the ellipse to lie on the star. This method yields the
parameters
,
and
of a disk. Figure 1
illustrates the morphological method.
Using the gas densities at each cell in a simulation, we produce a synthetic CCD
image. The pixel values correspond to gas densities.
The morphological parameters depend on the choice of the intensity values of
pixels and, hence, of a gas density value
forming the contour line which
corresponds to the border of the disk.
|
Figure 1:
Example of outer disk contour identification
by MATLAB. The value of |
| Open with DEXTER | |
The advantages of using morphological parameters are the following:
- they are independent of the internal structure of the disk;
- they are close to observable quantitiest;
- the morphological semimajor axis
can be
used as a reliable estimate of the disk size.
The morphological method to compute disk eccentricities depends on the choice of
,
which is not an objective selection criterium. This is, however,
a very common problem for observers applying image treatment methods.
In addition, in our simulations
we find that the border of the disk is always well defined and it drops to
small values very quickly due to the tidal perturbations of the
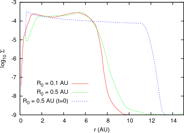
star. This is shown in Fig. 3 where at about 8 AU from the
central star the disk density rapidly drops.
This makes us confident that the method to
compute the
overall disk eccentricity
and its orientation
is not very sensitive to the minimum density value
selected in the computations when this is below 10-6
(obtained after exploring a significant numer of test cases),
which will be the value of
always adopted in
this paper. A test computation of
for different values
of
ranging from 10-5 to 10-7 gave a maximum
variation of less than 7%.
The drastic truncation of the disk (see Fig. 3) makes us also confident that the shape derived from the morphological analysis might be retrieved in the future from observations even if the disk is optically thick. The shape of an optically thin disk can be retrieved by observations in the millimeter range and the column density (our model superficial density) is indeed proportional to the flux. For optically thick disks this is not necessarely true, however the sharp truncation of the disk might be retrieved by inspecting the scattered light from the star.
|
Figure 2:
Distribution of ei ( top plot) and |
| Open with DEXTER | |
3 Numerical set up
3.1 The hydrodynamical model
To model the evolution of the disk we use the hydrodynamical code FARGO (Masset 2000) solving the Navier-Stokes and continuity equations on a 2-dimensional polar grid. The mesh center lies at the primary and the indirect terms are included in the potential calculation. Since we are not interested in the evolution of the binary star system but only in the structure of the disk under the binary perturbation after the tidal truncation of the disk, we fix the orbital parameters of the companion star. In the latest release of FARGO a Poisson equation solver based on the Fourier method has been implemented (Baruteau & Masset 2008) allowing us to properly model the disk self-gravitation (hereinafter SG). The impact of SG on the disk evolution is relevant when modelling highly perturbed massive disks.
In all the simulations we use a grid extending from 0.5 to
15 AU from the primary star: the number of rings is 256 while
that of the sectors is 512. The aspect ratio h = H/r is constant all over
the disk and set to 0.05. The initial density profile
declines as
and is smoothly Gaussian truncated at the inner
and outer borders. At the inner border
is reduced by
a factor of 10 betwen 0.55 and 0.5 AU, while at the outer border of the disk,
starting from 11 AU, the density is decreased to
within 2 AU.
Following Kley et al. (2008), to prevent
numerical instabilities at the outer border of the disk caused
by very low density values, we introduce a density
floor equal to
.
Whenever the evolution
leads to a density value lower than
,
is reset to
.
In a series of tests this
has proven to be a good value preventing instabilities and
not leading to an artificial mass growth of the disk.
We adopt a density
at 1 AU equal to 2.5e-4 in normalized units, giving an initial mass
of the disk equal to
.
Our disk is more massive than
that studied in Kley & Nelson (2008) whose total mass was about
.
Since the results do not scale only with the size
of the system but also with the mass of the disk, we expect that the
results can be different.
We used a non-reflecting boundary condition in all our
calculations. It is aimed at removing as many reflections as possible off the grid boundaries,
while allowing mass to flow through the inner and outer edges.
Kley & Nelson (2008) used a different kind of boundary condition to model the
disk in
Cephei forcing a viscous inwards flow of a disk at
equilibrium at the inner border. With the non-reflecting boundary
condition we have a mass inwards-flow which is comparable to that
computed by Kley & Nelson (2008) in terms of the mass fraction of the disk
and we do not observe any strong outflow
of disk material during the periastron phase through the inner border.
A small elliptic central hole in the disk develops with time (see
Fig. 1), a
consequence of the eccentric orbits
of the gas in the proximity of the star.
Since our grid extends down to 0.5 AU, all
gas particles with pericenter q lower than 0.5 AU are expected
to exit the inner border of the disk. Due to the collimated values
of the perihelia
the outflow of the particles with
q < 0.5 AU creates a region of low density with an elliptical shape
centered on the star (see Appendix A).
If the
s were random, then the inner hole would have been
circular with a radius greater than 0.5. In support of this interpretation,
we find that the size of the elliptic hole in the simulations is well
reproduced by modelling its outer shape with
a Keplerian orbit with the pericenter at 0.5 AU and
with an eccentricity equal to the average eccentricity ei of the local gas
cells.
In conclusion, with our
boundary condition, the code produces
reasonable
results taking into account the truncation of the disk at the
inner edge.
Of course, setting the inner rim
of the disk to 0.5 AU is an overestimate since most observational models
assume that disk truncation occurs near corotation with the inner
region cleared by the magnetosphere (Shu et al. 1994). In this context,
the inner elliptic hole in our simulations can be considered a numerical artifact
since fluid elements having their pericenter at
the inner edge, which is larger than the physical one,
are not allowed to return into the grid.
To test the influence of this issue on the disk eccentricity, we
performed a test simulation of our standard case with the
inner border at 0.1 AU. This should be a
realistic simulation even if it appears impossible to continue it
far in time due to the short timestep imposed by the CFL condition.
After 4 binary orbits, the disk eccentricities in the two simulations
differ by less than 5% and the two density distributions,
shown in Fig. 3, appear similar. This makes us confident
that, in spite of the larger inner hole produced in the simulations
with the inner border at 0.5 AU, the models are still reliable
in terms of the disk eccentricity computation.
|
Figure 3: Density distribution for the simulation with the inner radius R0 = 0.1 AU after 4 binary orbits compared to that with R0 = 0.5 AU at the same time. The distributions are similar. We also include the initial density distribution for R0 = 0.5 AU. |
| Open with DEXTER | |
3.2 Our standard binary system
We select our representative binary system by inspecting the orbital
element distributions of binary systems given in Duquennoy & Mayor (1991). From their
histograms we derive the most probable orbital elements and mass ratio
for most wide binaries in our neighborhood. The semimajor axis is chosen to be
AU and the eccentricity
.
The mass of the primary
star is set to
while that of the secondary is
.
The orbital period of the companion star is
about 134 yr. This should represent the most frequent configuration
where planet formation may occur in binary systems. At the same time it is
a very good example of a highly perturbing configuration due to the
high eccentricity and mass of the binary. We adopt in most of
our simulations a value of kinematic
viscosity of 10-5 (normalized units)
which corresponds, at about 5 AU within the disk,
to an
value of about
(Shakura & Sunyaev 1973).
To study the dependence of the disk eccentricity on
we have varied
this parameter from 0.0 to 0.6 at a constant step of 0.1. We have also
run a case without viscosity (inviscid case) to compare with the
viscous case.
4 Effect of self-gravitation
In our simulations we include the effect of self-gravitation. The typical
parameter adopted to measure the relevance of self-gravitation is
the Toomre parameter Q:
|
(2) |
where r is the radial distance from the primary star, whose mass is
|
Figure 4:
Average value of the Toomre parameter Q computed at r = 4 AU from
the primary star for different models
with
|
| Open with DEXTER | |
Figure 6 illustrates the effect of SG on the
evolution of the eccentricity, orientation, size and
mass loss of the disk over about 90 binary revolutions.
Both the dynamical and morphological
eccentricities
and
are significantly smaller
in the case with SG and almost constant in the considered
time interval, with
being systematically larger than
.
The case without SG shows large oscillations in
that are qualitatively
similar to the behaviour described in Paardekooper et al. (2008) (excited case)
even if the disk mass and the binary parameters
of our standard case are different from those adopted
by Paardekooper et al. (2008).
is lower but still has a wide
wavy pattern. Spikes in the disk eccentricity appear whenever
the companion star approaches the periastron and the
disk is more excited.
A tentative explanation of why the dynamical and morphological eccentricities of
a disk are lower with self-gravitation is possibly due to the tidal
interactions between the inner and outer portions of the disk.
The inner disk acts like a tidal bulge on the outer part
tending to circularize the orbits of the outer fluid elements
(Murray & Dermott 2000). This triggers a chain effect by which each inner
ring forces a lower eccentricity on the outer one until a
steady eccentricity distribution is reached. This stationary distribution
has a lower eccentricity also in the inner regions, as can be seen
from Fig. 2 (upper panel).
There is also a delay between the inner bulge and the
outer one, as can be seen in Fig. 2 (middle panel). The perihelia
of the inner gas cells are different from those of the outer ones
and the transition is at around 3 AU. The inner and outer parts
of the disk exchange angular momentum and energy and, as a
consequence, there is a tendency towards circularization of
the orbits. This may lead to an overall lower eccentricity of a
self-gravitating disk under the perturbation of an outer
star. This explanation related to the tidal bulge appears more
reasonable by inspecting Fig. 5, where the
evolution of a lower mass disk is illustrated. In this case,
the initial mass of the disk is 1/10 of our standard case
(
in the central disk at t=104 yr).
The disk eccentricity still approaches a low value of dynamical
eccentricity very close to that of the standard case also shown in the
figure as a reference case
but on a longer timescale with large oscillations. Self-gravitation acts
on a longer timescale and the damping is slow, possibly because of
the lower mass in the tidal bulge, but it is still effective. We also performed
three simulations with progressively decreasing intial mass and we find that self-gravitation
is still important when the mass of the disk is 20 times smaller than the
standard case (
)
but it does not affect the disk evolution when the
initial mass drops below 50 times that of the standard case
(
). In
this last case the behaviour of the disk eccentricity is close to
that of the standard case without self-gravitation in terms of
disk eccentricity
.
This means that
indeed the parameter measuring the relevance of self-gravitation might be
h Q as suggested in Paardekooper et al. (2008).
|
Figure 5:
Variation of the disk eccentricity |
| Open with DEXTER | |
|
Figure 6:
Comparison between the evolution of a disk in a binary
(
|
| Open with DEXTER | |
An additional effect that might explain why self-gravitation keeps the disk eccentricity at a lower value is related to the pericenter passage of the star. As discussed in Sect. 5 and shown in Fig. 7, during the close approach of the star to the disk at the pericenter, strong waves are excited and the overall shape of the disk becomes highly ellipsoidal. This phenomenon was already observed in Kley et al. (2008). Self-gravitation might damp perturbations on the disk as it appears in a different physical scenario concerning the effects of moonlets on Saturn rings (Lewis & Stewart 2009). A faster damping of the pericenter perturbations of the companion star possibly leads to a less excited disk.
Also, the evolution of the disk orientation is significantly different
when self-gravitation (SG)
is turned on. As illustrated in Fig. 6 top right panel,
librates around
instead of circulating with a period of
about 5000 yr as in the
case without SG. A similar situation is observed for the morphological
elements except that
,
in the case with SG, librates around
.
We will see in a subsequent section that the center of
libration for
depends on the binary eccentricity.
The total mass of the disk has a significantly different evolution in the case with SG as compared to the case without SG (Fig. 6, bottom left panel). The mass loss in the case with SG is significantly reduced and it is almost linear compared to that without SG. This confirms that with SG the disk relaxes into an almost steady state where its overall dynamical properties are almost constant in time or adiabatically changing on a long timescale. On the other hand, without SG the disk appears to be more excited, with its mass and eccentricity distributions still evolving after 12 000 yr.
The semimajor axis
describing the disk shape is
about 7.8 AU, which is larger than the critical semimajor axis of 6.5 AU
for dynamical
stability computed by Holman & Wiegert (1999).
However, this is the critical semimajor axis for long term
stability (1 Myr) of massless particles under the action of
gravity alone. It is reasonable that a disk, which is also
affected by pressure forces and viscosity, may behave
slightly differently.
In addition, our simulations last only
yr
while the stability limit of Holman & Wiegert (1999) is defined over a
timescale of 1 Myr.
In conclusion, SG leads to an almost stationary disk on a short timescale and its internal structure appears to be more compact and less eccentric than in the non-SG case. The orientation of the disk librates around a fixed value, a behaviour similar to the evolution of massive bodies under a perturbative frictional force (Marzari & Scholl 2000).
5 Dependence of disk eccentricity on e

Possible sources of disk eccentricity in our configuration are the forced component of eccentricity excited by the companion star, mean motion resonances between the companion star and disk gas particles (which include Lindblad and corotation resonances) and viscous overstability (Latter & Ogilvie 2006; Kato 1978).
We cannot
attribute the disk eccentricity to the 3:1 mean motion resonance
(inner eccentric Lindblad resonance with m=2),
as described in Lubow (1991),
in all our cases. Our scenario includes a massive
(
)
and eccentric
companion star which truncates the disk inside
the 3:1 mean motion resonance.
As described in Artymowicz and Lubow (1994), the disk truncation moves closer
to the star for larger values of
.
A good measure
of the expected truncation limit is given by the already quoted
2-body stable zone
derived by Holman & Wiegert (1999). According to their numerical simulations,
the limiting semimajor axis for massless bodies orbiting the primary star
ranges from about 10.5 AU when
to 5.7 AU when
and to 3 AU when
.
These values reasonably reproduce the size of our truncated
disks.
In the case with
only the outer
edge of the disk may be marginally involved with this resonance.
However,
other resonances
are within the disk and they are given in Table 1 with the
values of the semimajor axes where they are located.
These values are computed within the 3-body model
without accounting for pressure forces that, however, do
not dramatically change the location of the resonances, at least
for what concerns our hypothesis.
Table 1: Location of the mean motion resonances within the circumprimary disk up to order 10.
While we may be confident that for low orders i the location is close to the
effective one, when the value of k = i-j becomes large, the pericenter frequency
may play an active role in moving the location of the
resonance from the value we estimated.
Concerning the resonance effect, one would expect a reduction of the
disk eccentricity for increasing
since the number of resonances
inside the disk is smaller. On the other hand, for larger values of
,
resonances are stronger and, in spite of their large values,
they might still cause some instability in the disk.
We do not expect a signficant contribution from viscous overstability in exciting disturbances in the disk since in the standard case we observe a similar behaviour for different values of viscosity.
An additional effect particularly relevant when the binary
eccentricity
is larger is the strong gravitational
perturbations excited by the companion star during the
pericenter passage. In Fig. 7 we show the
strongly altered shape of the disk when the companion star
is passing the pericenter of the binary orbit. This strong
disturbance is slowly damped when the star departs from the
pericenter. This effects seems to suggest that
a higher value of
favors larger values for both
and
.
|
Figure 7: Snapshot of the disk surface density for our standard case after 15 000 yr of evolution. The companion star is at the close approach and it excites strong spiral waves in the disk and it significantly alters its shape. |
| Open with DEXTER | |
On the other hand, a companion star in a very eccentric orbit
spends significantly more time far away from the disk's
vicinity compared to the case when
the companion moves on a circular orbit. The effects of
the strong perturbations during the periastron passage
are damped on a longer timescale.
As a consequence, it is not obvious
to predict ``a priori'' the effects of the pericenter
passage of the compan ion star on the disk eccentricity
for different values of
.
|
Figure 8: Dynamical and morphological elements for different binary eccentricities. |
| Open with DEXTER | |
In order to test the dependence of both
and
on
,
we
performed 7 long term simulations with values of
ranging
from 0.0 to 0.6 with fixed values for
,
viscosity and
initial disk mass. We included SG in all the models.
In Fig. 8 we show 3 selected cases
with
,
(our standard case) and
.
Both the dynamical
and morphological eccentricities
and
indicate that
larger values of
lead, on average, to lower disk eccentricities.
This implies that the stronger disturbances induced by a more
eccentric companion star
during the fast perihelion passage are not sufficient on average to stir up
the
eccentricity of the disk. Eccentric binaries are less effective in
exciting the disk eccentricity.
The effect of
on
is not significant and
librates around
for any value of
.
Analyzing
the evolution of
,
however, we notice that its behaviour
strongly depends on
.
For
and
the orientation of the disk
described by
circulates with a period of some hundred
years, while for larger binary eccentricities it librates around a
decreasing value. For
it librates around
while for
it librates approximately around
.
Self-gravitation forces the disk to appear to behave similarly to a small body
under the action of a dissipative force. As shown in Marzari & Scholl (2000),
an increasing eccentricity of the perturber causes the periastron
of a small planetesimal orbit, which is perturbed by gas drag, to be aligned
with increasingly smaller values of
.
The disk eccentricity measured by the morphological
shows a
behaviour similar to
for different values of
.
However,
is always lower on average than
.
The case with
shows large oscillations around 0.1 with the same
period of circulation of
.
For the case with
,
points well above the
average are observed. They are computed by the algorithm estimating
when the disk is strongly perturbed corresponding to the periastron
passage of the companion star and they are not significant.
The semimajor axis of the disk estimated by
is decreasing as
a function of
,
as expected.
We recall here that the limiting semimajor axis for stability
derived by Holman & Wiegert (1999) is smaller when compared to
(see Fig. 8 bottom left panel)
for any value of
.
The timescale
we are considering here (
yr, i.e. 130 binary
revolutions) is possibly not long enough to fully destabilize the
outer border of the disk. This is confirmed also by the time
evolution of the disk mass. We are not expecting that
the disk border relaxes exactly at the limiting semimajor axis
given by Holman & Wiegert (1999) because of the presence of pressure forces
and viscosity which alter the dynamics of individual gas molecules
from a pure 3-body problem. However, it is a good reference value
for the size of the disk.
In Fig. 8 bottom right panel, we illustrate the progressive mass loss of the
disk. After the initial large shrinking of the disk because of
the tidal truncation, the mass loss continues at different rates
depending on
.
The mechanisms responsible are:
- mass in-fall of disk material on the star caused by the viscous evolution;
- mass stripping during the perihelion passage of the companion star;
- progressive dynamical destabilization of the outer parts of the disk.
The dependence of the disk eccentricity and size on the binary
eccentricity is summarized
in Fig. 10 for all our simulations. Both
and
show a
decreasing trend for increasing
,
confirming that the perturbations
are stronger in the circular case where a tidal response is constantly
forced.
It is noteworthy that this behaviour is
not typical of self-graviting disks only.
We performed 3 simulations with
and 0.6, respectively, excluding self-gravitation
from the model.
The dynamical eccentricity
decreases from an average value of 0.42 for
to
0.25 for
and 0.2 for
.
The size of the disk measured
by
shows an almost linear reduction for larger values
of
.
This is due to the increasing strength of higher order
mean motion resonances of disk particles and the companion star.
In Fig. 10 bottom panel, together with
,
the location of
all resonances up to order 10 are illustrated
by dashed lines. The different truncation
radius related to
also changes the response of the disk to eccentricity
forcing of the companion. Although a larger
leads to stronger forcing, this may be more than compensated for by
the disk truncation radius being closer to the primary.
|
Figure 9:
Evolution of the disk mass and eccentricity
( |
| Open with DEXTER | |
|
Figure 10:
Variation of the disk eccentricity ( upper plot), measured by |
| Open with DEXTER | |
6 Discussion and conclusions
We have analysed the evolution of disks in binary star systems including self-gravitation. We study their properties by using two different set of parameters. The first set has been widely used and computes the eccentricity and orientation of the disk as a mass weighted average over the disk of the individual cell orbital parameters. This method outlines the dynamical properties of the disk and is denoted by subscript d. The second set is more oriented to the observer and it measures the morphological ellipticity and orientation of the disk. It is denoted with subscript m and it is computed by numerically fitting the outer edge of the disk.
An important ingredient in modelling the disk evolution is self-gravitation.
We show that it forces the disk to behave more like a solid body in terms
of orientation of the disk. Instead of circulating, the disk's apsidal line
librates around a fixed value in eccentric binary systems like a
body moving under the gravitational pull of the two stars and a dissipative
force. In addition, self-gravitation does not allow the disk to become
very eccentric.
For a binary eccentricity of
,
both the dynamical
and morphological eccentricity
and
of the disk are lower than 0.1.
This is an important result in terms of planetesimal accretion since, as
shown by Paardekooper et al. (2008), lower values
of the disk eccentricity give lower impact velocities
than with an eccentric disk. This might lead to
an environment which is less hostile to accretion,
although, even in low
cases, the relative impact velocity might be
too high to allow protoplanet formation.
A somewhat unexpected result is the increase of disk eccentricity
with decreasing binary eccentricity, when keeping the same semimajor
axis.
The case in which the binaries are on circular orbits appears
to be the most perturbing configuration in terms of disk eccentricity
and this outcome is typical also of non-self-gravitating disks.
It is significantly larger than for
and
.
This is an indication that the strong perturbations
during the short timespan in which
the companion star is at the pericenter are damped down when
the companion is far away. The circular case is more effective
in exciting a tidal response from the disk.
This does not necessarily mean that highly eccentric binaries have
a higher probability of forming planets. In fact, the direct gravitational
perturbations of an eccentric companion on the planetesimals lead
to larger relative velocities that may not necessarily be damped
by a low eccentric disk. The outcome in this case strongly depends
on the interplay between the drag force due to the disk and the
forced component of the orbital eccentricity of planetesimals
due to the secondary star (Thébault et al. 2006). These results are a first step
towards a more comprehensive study made with a hybrid code where the
evolution of the gaseous component of the disk is computed with a hydrodynamical
scheme including self-gravitation
while the planetesimal trajectories are computed with an N-body
integrator.
The evolution of a circumstellar disk in eccentric binaries must be further explored by changing additional parameters like the mass and semimajor axis of the companion star. Also, numerical issues should be investigated, like the dependence of the results on the boundary conditions, even if the one we have adopted is widely used. The region near the inner edge of the disk, where the mass flows inwards, must be explored in more detail. In models with higher binary eccentricity, we obtain elliptically shaped empty regions, which needs confirmation by more extended simulations which are out of the scope of this paper.
AcknowledgementsWe thank the anoymous referee for comments and suggestions which helped to significantly improve the paper. Computations were performed on the ``Mesocentre SIGAMM'' machine, hosted by the Observatoire de la Côte d'Azur.
Appendix A: Origin of the internal elliptic hole of the disk
When the gas particles in a disk are on elliptic orbits, imposing a
circular inner edge to the disk may lead to the formation of
a central elliptic zone of low density. This is an
effect related to the
Keplerian nature of the orbits. When the particles are at
pericenter, they may pass through the inner edge of the
grid and then they are lost. This is simulated in Fig. A.1 left panel
where we compute
105 two-dimensional elliptical orbits (which can be
associated to gas particles) with semimajor axis
ranging from 0.1 to 3 AU. The eccentricity and pericenter longitude
have similarvalues to those
computed by the hydrodynamical code (ei,
)
while the mean anomaly is
selected randomly. During the orbit generation,
anytime the pericenter is lower than 0.5 AU (the inner limit of the grid we have used in the hydrodynamical
simulations) the particle is discarded. The number density
of the surviving particles is illustrated in Fig. A.1 left panel and it is
very similar to the outcome of FARGO shown in Fig. A.1 right panel.
Not only the shape of the elliptical low density region is
similar, but in both figures there is also an over-density
located beyond the apocenter of the elliptical shape.
| Figure A.1: Number density of a set of test particles in Keplerian orbits depleted of all those having pericenter lower than 0.5 AU ( left plot) and outcome of FARGO ( right plot). The color density in the right plot gives the logarithm of the gas density in normalized units. |
|
| Open with DEXTER | |
References
- Artymowicz, P., & Lubow, S. H. 1994, ApJ, 421, 651 [NASA ADS] [CrossRef]
- Baruteau, C., & Masset, F. 2008, ApJ, 678, 483 [NASA ADS] [CrossRef]
- Boss, A. 2006, ApJ, 641, 1148 [NASA ADS] [CrossRef]
- Duquennoy, A., & Mayor, M. 1991, A&A, 248, 485 [NASA ADS]
- Holman, M. J., & Wiegert, P. A. 1999, ApJ, 117, 621 [NASA ADS]
- Kato, S. 1999, MNRAS, 185, 629 [NASA ADS]
- Kley, W., & Nelson, R. P. 2007, Chapter to appear in the book Planets in Binary Systems, ed. Nadar Haghghipour
- Kley, W., & Nelson, R. P. 2008, A&A, 486, 617 [NASA ADS] [EDP Sciences] [CrossRef]
- Kley, W., Papaloizou, J. C. B., & Ogilvie, G. I. 2008, A&A, 487, 671 [NASA ADS] [EDP Sciences] [CrossRef]
- Krough, F. T., Ng, E. W., & Snyder, W. V. 1982, Celestial Mech., 26, 395 [NASA ADS] [CrossRef]
- Latter, H. N., & Ogilvie, G. I. 2006, MNRAS, 372, 1829 [NASA ADS] [CrossRef]
- Lewis, M. C., & Stewart, G. R. 2009, Icarus, 199, 387 [NASA ADS] [CrossRef]
- Lim, J., & Takakuwa, S. 2006, ApJ, 653, 425 [NASA ADS] [CrossRef]
- Lubow, S. H. 1991, ApJ, 381, 259 [NASA ADS] [CrossRef]
- Mayer, L., Wadsley, J., Quinn, T., & Stadel, J. 2006, MNRAS, 363, 641 [NASA ADS]
- Marzari, F., & Scholl, H. 2000, ApJ, 543, 328 [NASA ADS] [CrossRef]
- Marzari, F., Thebault, P., & Scholl, H. 2008, ApJ, 681, 1599 [NASA ADS] [CrossRef]
- Masset, F. 2000, A&AS, 141, 165 [NASA ADS] [EDP Sciences] [CrossRef]
- Murray, C. D., & Dermott, S. F. 2000, Solar System Dynamics (Cambridge University Press)
- Nelson, A. F. 2000, ApJ, 537, L65 [NASA ADS] [CrossRef]
- Quintana, E. V., Lissauer, J. J., Chambers, J. E., & Duncan, M. J. 2002, ApJ, 576, 982 [NASA ADS] [CrossRef]
- Paardekooper, S.-J., Thébault, P., & Mellema, G. 2008, MNRAS, 386, 973 [NASA ADS] [CrossRef]
- Pierens, A., & Nelson, R. P. 2007, A&A, 472, 993 [NASA ADS] [EDP Sciences] [CrossRef]
- Shakura, N. I., & Sunyaev, R. A. 1973, A&A, 24, 337 [NASA ADS]
- Shu, F., Najita, J., Ostriker, E., et al. 1994, ApJ, 429, 781 [NASA ADS] [CrossRef]
- Thébault, P., Marzari, F., Scholl, H., Turrini, D., & Barbieri, M. 2004, A&A, 427, 1097 [NASA ADS] [EDP Sciences] [CrossRef]
- Thébault, P., Marzari, F., & Scholl, H. 2006, Icarus, 183, 193 [NASA ADS] [CrossRef]
- Thébault, P., Marzari, F., & Scholl, H. 2008, MNRAS, 388, 1528 [NASA ADS] [CrossRef]
- Thébault, P., Marzari, F., & Scholl, H. 2009, MNRAS, 393, L21 [NASA ADS] [CrossRef]
- Xie, J.-W., & Zhou, J.-L. 2008, ApJ, 686, 570 [NASA ADS] [CrossRef]
All Tables
Table 1: Location of the mean motion resonances within the circumprimary disk up to order 10.
All Figures
|
Figure 1:
Example of outer disk contour identification
by MATLAB. The value of |
| Open with DEXTER | |
| In the text | |
|
Figure 2:
Distribution of ei ( top plot) and |
| Open with DEXTER | |
| In the text | |
|
Figure 3: Density distribution for the simulation with the inner radius R0 = 0.1 AU after 4 binary orbits compared to that with R0 = 0.5 AU at the same time. The distributions are similar. We also include the initial density distribution for R0 = 0.5 AU. |
| Open with DEXTER | |
| In the text | |
|
Figure 4:
Average value of the Toomre parameter Q computed at r = 4 AU from
the primary star for different models
with
|
| Open with DEXTER | |
| In the text | |
|
Figure 5:
Variation of the disk eccentricity |
| Open with DEXTER | |
| In the text | |
|
Figure 6:
Comparison between the evolution of a disk in a binary
(
|
| Open with DEXTER | |
| In the text | |
|
Figure 7: Snapshot of the disk surface density for our standard case after 15 000 yr of evolution. The companion star is at the close approach and it excites strong spiral waves in the disk and it significantly alters its shape. |
| Open with DEXTER | |
| In the text | |
|
Figure 8: Dynamical and morphological elements for different binary eccentricities. |
| Open with DEXTER | |
| In the text | |
|
Figure 9:
Evolution of the disk mass and eccentricity
( |
| Open with DEXTER | |
| In the text | |
|
Figure 10:
Variation of the disk eccentricity ( upper plot), measured by |
| Open with DEXTER | |
| In the text | |
| |
Figure A.1: Number density of a set of test particles in Keplerian orbits depleted of all those having pericenter lower than 0.5 AU ( left plot) and outcome of FARGO ( right plot). The color density in the right plot gives the logarithm of the gas density in normalized units. |
| Open with DEXTER | |
| In the text | |
Copyright ESO 2009
Current usage metrics show cumulative count of Article Views (full-text article views including HTML views, PDF and ePub downloads, according to the available data) and Abstracts Views on Vision4Press platform.
Data correspond to usage on the plateform after 2015. The current usage metrics is available 48-96 hours after online publication and is updated daily on week days.
Initial download of the metrics may take a while.


![\begin{figure}
\par\resizebox{9cm}{!}{\includegraphics[angle=-90]{dens01.eps}}
\end{figure}](/articles/aa/full_html/2009/48/aa12251-09/Timg32.png)
![\begin{figure}
\par\resizebox{9cm}{!}{\includegraphics[angle=-90]{tom.eps}} %\end{figure}](/articles/aa/full_html/2009/48/aa12251-09/Timg41.png)
![\begin{figure}
\par\resizebox{9cm}{!}{\includegraphics[angle=-90]{lowmass.eps}} %\end{figure}](/articles/aa/full_html/2009/48/aa12251-09/Timg45.png)
![\begin{figure}
\par\begin{tabular}{c c}
\resizebox{90mm}{!}{\includegraphics[ang...
...x{92mm}{!}{\includegraphics[angle=-90]{fig2f.eps}}\\
\end{tabular}
\end{figure}](/articles/aa/full_html/2009/48/aa12251-09/Timg46.png)
![\begin{figure}
\par\includegraphics[angle=-90,width=9cm,clip]{plot_2455.eps}
\end{figure}](/articles/aa/full_html/2009/48/aa12251-09/Timg58.png)
![\begin{figure}
\par\begin{tabular}{c c}
\resizebox{90mm}{!}{\includegraphics[ang...
...x{90mm}{!}{\includegraphics[angle=-90]{fig4f.eps}}\\
\end{tabular}
\end{figure}](/articles/aa/full_html/2009/48/aa12251-09/Timg59.png)
![\begin{figure}
\par\resizebox{90mm}{!}{\includegraphics[angle=-90]{fig5a.eps}} %
\resizebox{90mm}{!}{\includegraphics[angle=-90]{fig5b.eps}}
\end{figure}](/articles/aa/full_html/2009/48/aa12251-09/Timg65.png)
![\begin{figure}
\par\resizebox{90mm}{!}{\includegraphics[angle=-90]{fig6a.eps}} %
\resizebox{90mm}{!}{\includegraphics[angle=-90]{fig6b.eps}}
\end{figure}](/articles/aa/full_html/2009/48/aa12251-09/Timg66.png)