| Issue |
A&A
Volume 508, Number 3, December IV 2009
|
|
|---|---|---|
| Page(s) | 1509 - 1516 | |
| Section | Planets and planetary systems | |
| DOI | https://doi.org/10.1051/0004-6361/200912378 | |
| Published online | 15 October 2009 | |
AetA 508, 1509-1516 (2009)
Transit detections of extrasolar planets around main-sequence stars
I. Sky maps for hot Jupiters![[*]](/icons/foot_motif.png)
R. Heller1 - D. Mislis1 - J. Antoniadis2
1 - Hamburger Sternwarte (Universität Hamburg), Gojenbergsweg 112, 21029 Hamburg, Germany
2 - Aristotle University of Thessaloniki, Dept. of Physics, Section
of Astrophysics, Astronomy and Mechanics, 541 24 Thessaloniki,
Greece
Received 23 April 2009 / Accepted 3 October 2009
Abstract
Context. The findings of more than 350 extrasolar
planets, most of them nontransiting Hot Jupiters, have revealed
correlations between the metallicity of the main-sequence (MS)
host stars and planetary incidence. This connection can be used to
calculate the planet formation probability around other stars, not yet
known to have planetary companions. Numerous wide-field surveys have
recently been initiated, aiming at the transit detection of extrasolar
planets in front of their host stars. Depending on instrumental
properties and the planetary distribution probability, the promising
transit locations on the celestial plane will differ among these
surveys.
Aims. We want to locate the promising spots for transit surveys
on the celestial plane and strive for absolute values of the expected
number of transits in general. Our study will also clarify the impact
of instrumental properties such as pixel size, field of
view (FOV), and magnitude range on the detection probability.
Methods. We used data of the Tycho catalog for
1 million objects to locate all the stars with
on the celestial plane. We took several empirical relations between the
parameters listed in the Tycho catalog, such as distance to Earth,
,
and (B-V),
and those parameters needed to account for the probability of a star to
host an observable, transiting exoplanet. The empirical relations
between stellar metallicity and planet occurrence combined with
geometrical considerations were used to yield transit probabilities for
the MS stars in the Tycho catalog. Magnitude variations in the FOV
were simulated to test whether this fluctuations would be detected by
BEST, XO, SuperWASP and HATNet.
Results. We present a sky map of the expected number of Hot
Jupiter transit events on the basis of the Tycho catalog. Conditioned
by the accumulation of stars towards the galactic plane, the zone of
the highest number of transits follows the same trace, interrupted by
spots of very low and high expectation values. The comparison between
the considered transit surveys yields significantly differing maps of
the expected transit detections. While BEST provides an unpromising
map, those for XO, SuperWASP, and HATNet show FsOV with up to 10
and more expected detections. The sky-integrated magnitude distribution
predicts 20 Hot Jupiter transits with orbital periods between
1.5 d and 50 d and
,
of which two are currently known. In total, we expect 3412 Hot
Jupiter transits to occur in front of MS stars within the given
magnitude range. The most promising observing site on Earth is at
latitude =-1.
Key words: planetary systems - occultations - solar neighborhood - Galaxy: abundances - instrumentation: miscellaneous - methods: observational
1 Introduction
A short essay by Otto Struve (Struve 1952)
provided the first published proposal of transit events as a means of
exoplanetary detection and exploration. Calculations for transit
detection probabilities (Rosenblatt 1971; Borucki & Summers 1984; Pepper & Gaudi 2006) and for the expected properties of the discovered planets have been done subsequently by many others (Gillon et al. 2005; Fressin et al. 2007; Beatty & Gaudi 2008). Until the end of the 1990s, when the sample of known exoplanets had grown to more than two dozen (Castellano et al. 2000),
the family of so-called ``Hot Jupiters'', with 51 Pegasi as their
prototype, was unknown and previous considerations had been based on
systems similar to the solar system. Using geometrical considerations, Rosenblatt (1971)
found that the main contribution to the transit probability of a solar
system planet would come from the inner rocky planets. However, the
transits of these relatively tiny objects remain undetectable around
other stars as yet.
The first transit of an exoplanet was finally detected around the sun-like star HD209458 (Charbonneau et al. 2000; Queloz et al. 2000).
Thanks to the increasing number of exoplanet search programs, such as
the ground-based Optical Gravitational Lensing Experiment (OGLE) (Udalski et al. 1992), the Hungarian Automated Telescope (HAT) (Bakos et al. 2002,2004), the Super Wide Angle Search for Planets (SuperWASP) (Street et al. 2003), the Berlin Exoplanet Search Telescope (BEST) (Rauer et al. 2004), XO (McCullough et al. 2005), the Transatlantic Exoplanet Survey (TrES) (Alonso et al. 2007), and the Tautenburg Exoplanet Search Telescope (TEST) (Eigmüller & Eislöffel 2009) and the space-based missions ``Convection, Rotation & Planetary Transits'' (CoRoT) (Baglin et al. 2002) and Kepler (Christensen-Dalsgaard et al. 2007), the number of exoplanet transits has grown to 62 until September 1st 2009
and will grow drastically within the next years. These transiting
planets have very short periods, typically <10 d, and very
small semimajor axes of usually <0.1 AU, which is a selection
effect based on geometry and Kepler's third law (Kepler et al. 1619).
Transiting planets with longer periods present more of a challenge,
since their occultations are less likely in terms of geometrical
considerations and they occur less frequently.
Usually, authors of studies on the expected yield of transit surveys generate a fictive stellar distribution based on stellar population models. Fressin et al. (2007) use a Monte-Carlo procedure to synthesize a fictive stellar field for OGLE based on star counts from Gould et al. (2006), a stellar metallicity distribution from Nordström et al. (2004), and a synthetic structure and evolution model of Robin et al. (2003). The metallicity correlation, however, turned out to underestimate the true stellar metallicity by about 0.1 dex, as found by Santos et al. (2004) and Fischer & Valenti (2005). In their latest study, Fressin et al. (2009) first generate a stellar population based on the Besançon catalog from Robin et al. (2003) and statistics for multiple systems from Duquennoy & Mayor (1991) to apply then the metallicity distribution from Santos et al. (2004) and issues of detectability (Pont et al. 2006). Beatty & Gaudi (2008) rely on a Galactic structure model by Bahcall & Soneira (1980), a mass function as suggested by Reid et al. (2002) based on Hipparcos data, and a model for interstellar extinction to estimate the overall output of the current transit surveys TrES, XO, and Kepler. In their paper on the number of expected planetary transits to be detected by the upcoming Pan-STARRS survey (Kaiser 2004), Koppenhoefer et al. (2009) also used a Besançon model as presented in Robin et al. (2003) to derive a brightness distribution of stars in the target field and performed Monte-Carlo simulations to simulate the occurrence and detections of transits. These studies include detailed observational constraints such as observing schedule, weather conditions, and exposure time and issues of data reduction, e.g. red noise and the impact of the instrument's point spread function.
In our study, we rely on the extensive data reservoir of the Tycho catalog instead of assuming a stellar distribution or a Galactic model. We first estimate the number of expected exoplanet transit events as a projection on the complete celestial plane. We refer to recent results of transit surveys such as statistical, empirical relationships between stellar properties and planetary formation rates. We then use basic characteristics of current low-budget but high-efficiency transit programs (BEST, XO, SuperWASP, and HATNet), regardless of observational constraints mentioned above, and a simple model to test putative transits with the given instruments. With this procedure, we yield sky maps, which display the number of expected exoplanet transit detections for the given surveys, i.e. the transit sky as it is seen through the eyeglasses of the surveys.
The Tycho catalog comprises observations of roughly
1 million stars taken with the Hipparcos satellite between 1989
and 1993 (ESA 1997; Hoeg 1997).
During the survey, roughly 100 observations were taken per object.
From the derived astrometric and photometric parameters, we use the
right ascension (
), declination (
), the color index (B-V), the apparent visible magnitude
,
and the stellar distance d that have been calculated from the measured parallax. The catalog is almost complete for the magnitude limit
,
but we also find some fainter stars in the list.
2 Data analysis
The basis of our analysis is a segmentation of the celestial plane into
a mosaic made up of multiple virtual fields of view (FsOV). In a
first approach, we subdivide the celestial plane into a set of
fields.
Most of the current surveys do not use telescopes, which typically have
small FsOV, but lenses with FsOV of typically
.
Thus, we apply this extension of
and a stepsize of
,
with an overlap of
between adjacent fields, for our automatic scanning in order to cover
the complete sky. We chose the smallest possible step size in order to
yield the highest possible resolution and the finest screening, despite
the high redundancy due to the large overlap. A smaller step size than
was not convenient due to limitations of computational time. An Aitoff
projection is used to fold the celestial sphere onto a 2D sheet.
2.1 Derivation of the stellar parameters
One key parameter for all of the further steps is the effective temperature
of the stars in our sample. This parameter is not given in the Tycho catalog but we may use the stellar color index (B-V) to deduce
by
which is valid for main-sequence (MS) stars with
|
(2) |
where we neglected effects of stellar extinction. In the next step, we compute the stellar radius
|
(3) |
and the stellar mass
where
Table 1:
Empirical values for
in the mass-luminosity relation Eq. (4) as given in Cester et al. (1983).
We deduce the stellar metallicity
from the star's effective temperature
and its color index (B-V) by
as given in Santos et al. (2004). This relation, however, is only valid for stars with 0.51 < (B-V) < 1.33,
3 Transit occurrence and transit detection
3.1 Transit occurrence
Now that we derived the fundamental stellar parameters, we may turn
towards the statistical aspects of planetary occurrence, geometric
transit probability and transit detection. We start with the
probability for a certain star of the Tycho catalog, say the ith star, to host an exoplanet. For F, G, and K dwarfs with
,
Fischer & Valenti (2005) found the empirical relationship
for a set of 850 stars with an analysis of Doppler measurements sufficient to detect exoplanets with radial velocity (RV) semiamplitudes
In the next step, we analyze the probability of the putative exoplanet
to actually show a transit. Considering arbitrary inclinations of the
orbital plane with respect to the observer's line of sight and
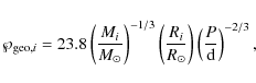
including Kepler's third law, Gilliland et al. (2000) found the geometric transit probability to be
where P is the orbital period. A more elaborate expression - including eccentricity, planetary radius, the argument of periastron and the semi-major axis instead of the orbital period - is given by Seagroves et al. (2003). Note that
where P is the remaining free parameter, all the other parameters are inferred from the Tycho data. Since we are heading for the expectation value, i.e. the number of expected transits in a certain field of view (FOV), we need a probability density for the distribution of the orbital periods of extrasolar planets. On the basis of the 233 exoplanets listed in the EPE on July 6th 2007, Jiang et al. (2007) used a power-law fit
with A = 1.211909 d and B = 4517.4 d as the lower and upper limits for the period distribution and k = 0.9277. This function is subject to severe selection effects and bases on data obtained from a variety of surveys and instruments. It overestimates short-period planets since Jiang et al. (2007) included transiting planets and the associated selection effects. While the function presumably does not mirror the true distribution of orbital periods of exoplanets, it is correlated to the period distribution to which current instruments are sensitive, in addition to geometric selection effects as given by Eq. (7).
We now segment the celestial plane into a mosaic made up of multiple virtual FsOV, as described at the beginning of Sect. 2, to calculate the number of expected transits in that field. In Sect. 3.2
we will attribute the FOV of the respective instrument to that mosaic
and we will also consider the CCD resolution. The number of stars
comprised by a certain FOV is n. The number of expected transits around the ith star in that field, Ni, with periods between P1 and P2 is then given by
and the number of expected transits in the whole FOV is
We emphasize that this is not yet the number of expected transit detections within a certain FOV (see Sect. 4) but the number of expected transits to occur within it.
A graphical interpretation of this analysis is presented in Fig. 1, where we show a sky map of the expected number of exoplanet transits around MS stars with
for orbital periods between P1 = 1.5 d and P2
= 50 d. This map bases on several empirical relationships and on
substantial observational bias towards close-in Jupiter-like planets,
but nevertheless it represents the transit distribution to which
current instrumentation has access to. The pronounced bright regions at
the upper left and the lower right are the anti-center and the center
of the Milky Way, respectively. The absolute values of
for the most of the sky are very well in line with the experiences from wide-field surveys using a
field. Mandushev et al. (2005) stated 5 to 20 or more exoplanet transit candidates, depending on Galactic latitude, and a ratio of
25:1 between candidates and confirmed planets, which is equivalent to
.
Our values are a little higher, probably due to the slightly larger FOV of
used in Fig. 1 and due to the effect of blends and unresolved binaries (see discussion in Sect. 5).
|
Figure 1: Sky map of the expected number of exoplanet transit events, N, with orbital periods between P1 = 1.5 d and P2 = 50 d on the basis of 392 000 objects from the Tycho catalog. The published positions of 58 transiting planets from the EPE as of September 1st 2009 are indicated with symbols: 6 detections from the space-based CoRoT mission are labeled with triangles, 52 ground-based detections marked with squares. The axes only refer to the celestial equator and meridian. |
| Open with DEXTER | |
In the left panel of Fig. 2,
we show the distribution of expected transits from our simulation as a
function of the host stars' magnitudes compared to the distribution of
the observed transiting exoplanets. The scales for both distributions
differ about an order of magnitude, which is reasonable since only a
fraction of actual transits is observed as yet. For
,
only HD209458b and HD189733b are currently know to show transits
whereas we predict 20 of such transits with periods between
1.5 d and 50 d to occur in total. We also find that the
number of detected transiting planets does not follow the shape of the
simulated distribution for
.
This is certainly induced by a lack of instruments with sufficient
sensitivity towards higher apparent magnitudes, the much larger
reservoir of fainter stars that has not yet been subject to continuous
monitoring, and the higher demands on transit detection pipelines.
Our transit map allows us to constrain convenient locations for
future ground-based surveys. A criterion for such a location is the
number of transit events that can be observed from a given spot at
latitude l on Earth. To yield an estimate, we integrate N over that part of the celestial plane that is accessable from a telescope situated at l. We restrict this observable fan to
,
implying that stars with elevations >
above the horizon are observable. The number of the transit events with
that is observable at a certain latitude on Earth is shown in the right panel of Fig. 2.
This distribution resembles a triangle with its maximum almost exactly
at the equator. Its smoothness is caused by the wide angle of
that flattens all the fine structures that can be seen in Fig. 1.
| Figure 2:
Sky-integrated number of transits per magnitude ( left panel) and as a function of latitude ( right panel). Left:
while the green line represents our simulations, the rosy bars show the
number of transiting planets per magnitude bin discovered so far. Note
the different scales at the left and right ordinates! Right: the triangle represents the expected number of transits that can be seen at elevations higher than |
|
| Open with DEXTER | |
3.2 Transit detection
So far, we have computed the sky and magnitude distributions of
expected exoplanet transits with orbital periods between 1.5 d and
50 d, based on the stellar parameters from the Tycho data and
empirical relations. In order to estimate if a possible transit can
actually be observed, one also has to consider technical issues of a
certain telescope as well as the efficiency and the selection effects
of the data reduction pipelines. The treatment of the pipeline will not
be subject of our further analysis. The relevant aspects for our
concern are the pixel size of the CCD, its FOV, the
range of the CCD-telescope combination, and the declination fan that is covered by the telescope.
Table 2: Instrumental properties of the treated surveys.
To detect a transit, one must be able to distinguish the periodic
transit pattern within a light curve from the noise in the data. Since
the depth of the transit curve is proportional to the ratio
,
where AP and
are the sky-projected areas of the planet and the star, respectively, and
,
with RP
as the planetary radius, the detection probability for a certain
instrument is also restricted to a certain regime of planetary radii.
Assuming that the transit depth is about 1%, the planetary radius
would have to be larger than
.
We do not include an elaborate treatment of signal-to-noise in our considerations (see Aigrain & Pont 2007).
Since our focus is on MS stars and our assumptions for planetary
occurrence are based on those of Hot Jupiters, our argumentation
automatically leads to planetary transits of exoplanets close to
.
We also do not consider observational aspects, such as integration time
and an observer on a rotating Earth with observation windows and a
finite amount of observing time (see Fleming et al. 2008,
for a review of these and other observational aspects). Instead, we
focus on the technical characteristics of four well-established transit
surveys and calculate the celestial distribution of expected exoplanet
transit detections in principle by using one of these instruments. The
impact of limited observing time is degraded to insignificance because
the span of orbital periods we consider in Eq. (10) reaches only up to P2 = 50 d. After repeated observations of the same field, such a transiting companion would be detected after
3 yr, which is the typical duty cycle of current surveys.
Our computations are compared for four surveys: BEST, XO, SuperWASP,
and HATNet. This sample comprises the three most fruitful surveys in
terms of first planet detections and BEST - a search program that used
a telescope instead of lenses. While observations with BEST have been
ceased without any confirmed transit detection, XO has announced
detections and SuperWASP and HATNet belong the most fruitful surveys to
date. An overview of the relevant observational and technical
properties of these surveys is given in Table 2. For each survey, we first restrict the Tycho master sample to the respective magnitude range, yielding an
-restricted
sample. In the next step, we virtually observe the subsample with the
fixed FOV of the survey telescope, successively grazing the whole sky
with steps of
between adjacent fields. The FOV is composed of a number of
CCD pixels and each of these pixels contains a certain number of
stars, whose combined photon fluxes merge into a count rate. Efficient
transit finding has been proven to be possible from the ground in
crowded fields, where target objects are not resolved from neighbor
stars. To decide whether a hypothetical transit around the ith star
in the pixel would be detected, we simulate the effect of a transiting
object that reduces the light flux contribution li of the ith star on the combined flux
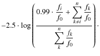
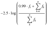
of the stars within a pixel. If the ith magnitude variation on the pixel-combined light is
,
which is a typical accuracy limit of current ground-based surveys, then
we keep this star for further analysis of the transit detection as
described in Sects. 2 and 3.1, otherwise it is rejected. The fluxes, however, are not listed in the Tycho catalog; instead, we can use the visible magnitude
of a star and calculate its relative flux fi/f0 with respect to a reference object with flux f0 at magnitude
:
|
(12) |
The magnitude variation can then be computed via
Without loss of generality we chose
|
Figure 3: Sky maps with expected number of transit detections for BEST a), XO b), SuperWASP c), and HATNet d). Note the different scales of the color code! The published detections of the surveys, taken from the EPE as of September 1st 2009, are indicated with symbols. |
| Open with DEXTER | |
4 Results
We develop a procedure for the calculation of the number of expected transit events to occur
around MS stars based on empirical relations between the stars and
planets. This procedure is then applied to more than 1 million stars
from the Tycho catalog to visualize the transit probability for all
stars with
as a sky map. We also compute the celestial distribution of the number of expected transit detections for four different, well-established wide-field surveys.
In Fig. 3 we
present the number of expected transit detections for the technical
properties of BEST, XO, SuperWASP, and HATNet. As a general result from
these maps, we find that the size of the FOV governs the detection
efficiency of a camera. For the method applied here, the CCD
resolution, i.e. the pixel size, has almost no impact since we neglect
effects of noise, whereas in general the detection limits for
transiting planets depend on the CCD resolution in terms of noise (Pont et al. 2006; Kovács et al. 2005; Tamuz et al. 2005). In Table 2 you see that the restriction of
almost doesn't reduce the sample. A large FOV, collecting the light of
relatively many stars, outweighs a lower CCD resolution - at least for
the range of pixel sizes considered here. Even for the zones around and
in the galactic center and anti-center where the stellar density
increases drastically, the number of detectable transit events reaches
its maximum. This was not foreseeable since blending, simulated by
Eq. (13), could have reduced the efficiency of transit detection within the crowded zones.
The four survey sky maps portray the very distinct efficiencies of the
telescopes. The map of BEST reflects the stellar distribution of the
Tycho data best due to the relatively high resolution of the CCD.
However, the small FOV leads to very few expected transit detections.
BEST's visible magnitude cut at the upper end is
while the Tycho catalog is complete only up to
.
Thus, a significant contribution of stars inside this range is excluded in Fig. 3a.
BEST also covers the smallest portion of the sky, compared to the other
surveys. The XO project yields a much more promising sky map, owed to
the larger FOV of the lenses. But due to the relatively large pixel
size and an adverse magnitude cut of
,
XO achieves lower densities of expected detections than SuperWASP and
HATNet. As for SuperWASP and HATNet, the difference in the magnitude
cuts with respect to the Tycho catalog is negligible for XO but
tends to result in an underestimation of the expected detections. That
part of the SuperWASP map that is also masked by HATNet looks very
similar to the map of the latter one. While HATNet reaches slightly
higher values for the expected number of detections at most locations,
the covered area of SuperWASP is significantly larger, which enhances
its efficiency on the southern hemisphere.
The total of expected transiting planets in the whole sky is 3412 (see Fig. 1). By summing up all these candidates within an observational fan of
elevation
above the horizon, we localize the most convenient site on Earth to
mount a telescope for transit observations (see right panel in
Fig. 2): it is situated at geographical latitude
.
Given that the rotation of the Earth allows a ground-based observer at
the equator, where both hemispheres can be seen, to cover a larger
celestial area than at the poles, where only one hemisphere is visible,
this result could have been anticipated. Due to the non-symmetric
distribution of stars, however, the shape of the sky-integrated number
of expected transits as a function of latitude is not obvious.
Figure 2
shows that the function is almost symmetric with respect to the
equator, with slightly more expected transits at the northern
hemisphere. Furthermore, the number of expected transits to be
observable at the equator is not twice its value at the poles, which is
due to the inhomogeneous stellar distribution. In fact, an observer at
the equator triples its number of expected transits with respect to a
spot at the poles and can survey almost all of the 3412 transiting
objects.
Based on the analysis of the magnitude distribution (left panel in Fig. 2), we predict 20 planets with
to
show transits with orbital periods between 1.5 d and 50 d,
while two are currently known (HD209458b and HD189733b). These objects
have proven to be very fruitful for follow-up studies such as
transmission spectroscopy (Charbonneau et al. 2002; Knutson et al. 2007; Sing et al. 2008; Pont et al. 2008; Vidal-Madjar et al. 2004; Grillmair et al. 2008) and measurements of the Rossiter-McLaughlin effect (Narita et al. 2007; Wolf et al. 2007; Winn et al. 2006,2007,2009; McLaughlin 1924; Rossiter 1924; Cochran et al. 2008; Holt 1893).
Our analysis suggests that a significant number of bright transiting
planets is waiting to be discovered. We localize the most promising
spots for such detections.
5 Discussion
Our values for the XO project are much higher than those provided by Beatty & Gaudi (2008), who also simulated the expected exoplanet transit detections of XO. This is due to their much more elaborate inclusion of observational constraints such as observational cadence, i.e. hours of observing per night, meteorologic conditions, exposure time, and their approach of making assumptions about stellar densities and the Galactic structure instead of using catalog-based data as we did. Given these differences between their approach and ours, the results are not one-to-one comparable. While the study of Beatty & Gaudi (2008) definitely yields more realistic values for the expected number of transit detections considering all possible given conditions, we provide estimates for the celestial distribution of these detections, neglecting observational aspects.
In addition to the crucial respects that make up the efficiency of the projects, as presented in Table 2,
SuperWASP and HATNet benefit from the combination of two observation
sites and several cameras, while XO also takes advantage of twin lenses
but a single location. Each survey uses a single camera type and both
types have similar properties, as far as our study is concerned. The
transit detection maps in Fig. 3
refer to a single camera of the respective survey. The alliance of
multiple cameras and the diverse observing strategies among the surveys
(McCullough et al. 2005; Cameron et al. 2009)
bias the speed and efficiency of the mapping procedure. This
contributes to the dominance of SuperWASP (18 detections,
14 of which have published positions)
over HATNet (13 detections, all of which have published positions)
, XO (5 detections, all of which have published positions)
, and BEST (no detection)
.
It is inevitable that a significant fraction of unresolved binary stars
within the Tycho data blurs our results. The impact of unresolved
binaries without physical interaction, which merely happen to be
aligned along the line of sight, is significant only in the case of
extreme crowding. As shown by Gillon & Magain (2007),
the fraction of planets not detected because of blends is typically
lower than 10%. The influence of unresolved physical binaries will
be higher. Based on the empirical period distribution for binary stars
from Duquennoy & Mayor (1991), Beatty & Gaudi (2008) estimate the fraction of transiting planets that would be detected despite the presence of binary systems to be
70%.
Both the contribution of binary stars aligned by chance and physically
interacting binaries result in an overestimation of our computations of
40%, which is of the same order as uncertainties arising from the empirical relationships we use. Moreover, as Willems et al. (2006)
have shown, the density of eclipsing stellar binary systems increases
dramatically towards the Galactic center. To control the fraction of
false alarms, efficient data reduction pipelines, and in particular
data analysis algorithms, are necessary (Schwarzenberg-Czerny & Beaulieu 2006).
Recent evidence for the existence of ultra-short period planets around low-mass stars (Sahu et al. 2009),
with orbital periods <1 d, suggests that we underestimated the
number of expected transits to occur, as presented in Sect. 3.1. The possible underestimation of exoplanets occurring at
also contributes to a higher number of transits and detections than we
computed here. Together with the fact that the Tycho catalog is only
complete to
,
whereas the surveys considered here are sensitive to slightly fainter stars (see Table 2),
these trends towards higher numbers of expected transit detections
might outweigh the opposite effect of unresolved binary stars.
A radical refinement of both our maps for transits occurrence
and detections will be available within the next few years, once the
``Panoramic Survey Telescope and Rapid Response System'' (Pan-STARRS) (Kaiser et al. 2002) will run to its full extent. Imaging roughly 6000 square degrees every night with a sensitivity down to
,
this survey will not only drastically increase the number of cataloged
stars - thus enhance our knowledge of the localization of putative
exoplanetary transits - but could potentially detect transits itself (Dupuy & Liu 2009).
The Pan-STARRS catalog will provide the ideal sky map, on top of which
an analysis presented in this paper can be repeated for any
ground-based survey with the aim of localizing the most appropriate
transit spots on the celestial plane. The bottleneck for the
verification of transiting planets, however, is not the localization of
the most promising spots but the selection of follow-up targets
accessible with spectroscopic instruments. The advance to fainter and
fainter objects thus won't necessarily lead to more transit
confirmations. Upcoming spectrographs, such as the ESPRESSO@VLT and the
CODEX@E-ELT (Pepe & Lovis 2008),
can be used to confirm transits around fainter objects. These
next-generation spectrographs that will reveal Doppler fluctuations on
the order of cm s-1 will also enhance our knowledge
about Hot Neptunes and Super-Earths, which the recently discovered
transits of GJ 436 b (Butler et al. 2004), HAT-P-11 b (Bakos et al. 2009), and CoRoT-7b (Leger et al. 2009) and results from Lovis et al. (2009) predict to be numerous.
Further improvement of our strategy will emerge from the findings of
more exoplanets around MS stars and from the usage of public data
reservoirs like the NASA Star and Exoplanet Database
,
making assumptions about the metallicity distribution of planet host
stars and the orbital period distribution of exoplanets more robust.
R. Heller and D. Mislis are supported by a PhD scholarship of the DFG Graduiertenkolleg 1351 ``Extrasolar Planets and their Host Stars''. We thank J. Schmitt, G. Wiedemann and M. Esposito for their advice on the structure and readability of the paper. The referee deserves our honest gratitude for his comments on the manuscript which substantially improved the scientific quality of this study. This work has made use of Jean Schneiders exoplanet database www.exoplanet.eu and of NASA's Astrophysics Data System Bibliographic Services.
References
- Aigrain, S., & Pont, F. 2007, MNRAS, 378, 741 [NASA ADS] [CrossRef]
- Alonso, R., Brown, T. M., Charbonneau, D., et al. 2007, in Transiting Extrapolar Planets Workshop, ed. C. Afonso, D. Weldrake, & T. Henning, ASP Conf. Ser., 366, 13
- Baglin, A., Auvergne, M., Barge, P., et al. 2002, in Stellar Structure and Habitable Planet Finding, ed. B. Battrick, F. Favata, I. W. Roxburgh, & D. Galadi, ESA SP, 485, 17
- Bahcall, J. N., & Soneira, R. M. 1980, ApJS, 44, 73 [NASA ADS] [CrossRef]
- Bakos, G. Á., Lázár, J., Papp, I., Sári, P., & Green, E. M. 2002, PASP, 114, 974 [NASA ADS] [CrossRef]
- Bakos, G., Noyes, R. W., Kovács, G., et al. 2004, PASP, 116, 266 [NASA ADS] [CrossRef]
- Bakos, G. Á., Torres, G., Pál, A., et al. 2009, ApJ, submitted [arXiv:0901.0282]
- Beatty, T. G., & Gaudi, B. S. 2008, ApJ, 686, 1302 [NASA ADS] [CrossRef]
- Borucki, W. J., & Summers, A. L. 1984, Icarus, 58, 121 [NASA ADS] [CrossRef]
- Butler, R. P., Vogt, S. S., Marcy, G. W., et al. 2004, ApJ, 617, 580 [NASA ADS] [CrossRef]
- Cameron, A. C., Pollacco, D., Hellier, C., et al. the WASP Consortium, & the SOPHIE & CORALIE Planet-Search Teams 2009, in IAU Symp., 253, 29
- Castellano, T., Jenkins, J., Trilling, D. E., Doyle, L., & Koch, D. 2000, ApJ, 532, L51 [NASA ADS] [CrossRef]
- Cester, B., Ferluga, S., & Boehm, C. 1983, Ap&SS, 96, 125 [NASA ADS] [CrossRef]
- Charbonneau, D., Brown, T. M., Latham, D. W., et al. 2000, ApJ, 529, L45 [NASA ADS] [CrossRef]
- Charbonneau, D., Brown, T. M., Noyes, R. W., et al. 2002, ApJ, 568, 377 [NASA ADS] [CrossRef]
- Christensen-Dalsgaard, J., Arentoft, T., Brown, T. M., et al. 2007, Commun. Asteroseismol., 150, 350 [NASA ADS] [CrossRef]
- Cochran, W. D., Redfield, S., Endl, M., et al. 2008, ApJ, 683, L59 [NASA ADS] [CrossRef]
- Dupuy, T. J., & Liu, M. C. 2009, ApJ, 704, 1519 [CrossRef]
- Duquennoy, A., & Mayor, M. 1991, AetA, 248, 485
- Eigmüller, P., & Eislöffel, J. 2009, in IAU Symp., 253, 340
- ESA 1997, VizieR Online Data Catalog, 1239, 0
- Fischer, D. A., & Valenti, J. 2005, ApJ, 622, 1102 [NASA ADS] [CrossRef]
- Fleming, S. W., Kane, S. R., McCullough, P. R., et al. 2008, MNRAS, 386, 1503 [NASA ADS] [CrossRef]
- Fressin, F., Guillot, T., Morello, V., et al. 2007, AetA, 475, 729
- Fressin, F., Guillot, T., & Nesta, L. 2009, AetA, 504, 605
- Gilliland, R. L., Brown, T. M., Guhathakurta, P., et al. 2000, ApJ, 545, L47 [NASA ADS] [CrossRef]
- Gillon, M., & Magain, P. 2007, in Transiting Extrapolar Planets Workshop, ed. C. Afonso, D. Weldrake, & T. Henning, ASP Conf. Ser., 366, 283
- Gillon, M., Courbin, F., Magain, P., et al. 2005, AetA, 442, 731
- Gould, A., Dorsher, S., Gaudi, B. S., et al. 2006, Acta Astron., 56, 1 [NASA ADS]
- Grillmair, C. J., Burrows, A., Charbonneau, D., et al. 2008, Nature, 456, 767 [NASA ADS] [CrossRef]
- Hoeg, E. 1997, in ESA SP, 402, Hipparcos - Venice '97, 25
- Holt, J. R. 1893, AetA, 12, 646
- Jiang, I.-G., Yeh, L.-C., Chang, Y.-C., et al. 2007, AJ, 134, 2061 [NASA ADS] [CrossRef]
- Kaiser, N., Aussel, H., Burke, B. E., et al. 2002, in SPIE Conf. Ser. 4836, ed. J. A. Tyson, & S. Wolff, 154
- Kaiser, N. 2004, in SPIE Conf. Ser. 5489, ed. J. M. Oschmann, Jr., 11
- Kepler, J., Ptolemaeus, C., & Fludd, R. 1619, Harmonices mvndi libri v. qvorvm primus geometricvs, de figurarum regularium, quae proportiones harmonicas constituunt, ortu & demonstrationibus, secundus architectonicvs, SEU EX geometria figvrata, de figurarum regularium congruentia in plano vel solido: tertius proprie harmonicvs, de proportionum harmonicarum ortu EX figuris, ed. J. Kepler, C. Ptolemaeus, & R. Fludd
- Knutson, H. A., Charbonneau, D., Allen, L. E., et al. 2007, Nature, 447, 183 [NASA ADS] [CrossRef]
- Koppenhoefer, J., Afonso, C., Saglia, R. P., et al. 2009, AetA, 494, 707
- Kovács, G., Bakos, G., & Noyes, R. W. 2005, MNRAS, 356, 557 [NASA ADS] [CrossRef]
- Leger, A., Rouan, D., Schneider, J., et al. 2009, AetA, 506, 287
- Lovis, C., Mayor, M., Bouchy, F., et al. 2009, in IAU Symp., 253, 502
- Mandushev, G., Torres, G., Latham, D. W., et al. 2005, ApJ, 621, 1061 [NASA ADS] [CrossRef]
- Marcy, G., Butler, R. P., Fischer, D., et al. 2005, Progr. Theor. Phys. Suppl., 158, 24 [NASA ADS] [CrossRef]
- McCullough, P. R., Stys, J. E., Valenti, J. A., et al. 2005, PASP, 117, 783 [NASA ADS] [CrossRef]
- McLaughlin, D. B. 1924, ApJ, 60, 22 [NASA ADS] [CrossRef]
- Narita, N., Enya, K., Sato, B., et al. 2007, PASJ, 59, 763 [NASA ADS]
- Nordström, B., Mayor, M., Andersen, J., et al. 2004, AetA, 418, 989
- Pepe, F. A., & Lovis, C. 2008, Phys. Scrip. Vol. T, 130, 014007 [NASA ADS] [CrossRef]
- Pepper, J., & Gaudi, B. S. 2006, Acta Astron., 56, 183 [NASA ADS]
- Pont, F., Zucker, S., & Queloz, D. 2006, MNRAS, 373, 231 [NASA ADS] [CrossRef]
- Pont, F., Knutson, H., Gilliland, R. L., Moutou, C., & Charbonneau, D. 2008, MNRAS, 385, 109 [NASA ADS] [CrossRef]
- Queloz, D., Eggenberger, A., Mayor, M., et al. 2000, AetA, 359, L13
- Rauer, H., Eislöffel, J., Erikson, A., et al. 2004, PASP, 116, 38 [NASA ADS] [CrossRef]
- Reed, B. C. 1998, JRASC, 92, 36 [NASA ADS]
- Reid, I. N., Gizis, J. E., & Hawley, S. L. 2002, AJ, 124, 2721 [NASA ADS] [CrossRef]
- Robin, A. C., Reylé, C., Derrière, S., et al. 2003, AetA, 409, 523
- Rosenblatt, F. 1971, Icarus, 14, 71 [NASA ADS] [CrossRef]
- Rossiter, R. A. 1924, ApJ, 60, 15 [NASA ADS] [CrossRef]
- Sahu, K. C., Casertano, S., Valenti, J., et al. 2009, in IAU Symp., 253, 45
- Santos, N. C., Israelian, G., & Mayor, M. 2004, AetA, 415, 1153
- Schwarzenberg-Czerny, A., & Beaulieu, J.-P. 2006, MNRAS, 365, 165 [NASA ADS] [CrossRef]
- Seagroves, S., Harker, J., Laughlin, G., et al. 2003, PASP, 115, 1355 [NASA ADS] [CrossRef]
- Sing, D. K., Vidal-Madjar, A., Désert, J.-M., Lecavelier des Etangs, A., & Ballester, G. 2008, ApJ, 686, 658 [NASA ADS] [CrossRef]
- Smith, R. C. 1983, The Observatory, 103, 29 [NASA ADS]
- Sozzetti, A., Torres, G., Latham, D. W., et al. 2009, ApJ, 697, 544 [NASA ADS] [CrossRef]
- Street, R. A., Pollaco, D. L., Fitzsimmons, A., et al. 2003, in Scientific Frontiers in Research on Extrasolar Planets, ed. D. Deming, & S. Seager, ASP Conf. Ser., 294, 405
- Struve, O. 1952, The Observatory, 72, 199 [NASA ADS]
- Tamuz, O., Mazeh, T., & Zucker, S. 2005, MNRAS, 356, 1466 [NASA ADS] [CrossRef]
- Udalski, A., Szymanski, M., Kaluzny, J., Kubiak, M., & Mateo, M. 1992, Acta Astron., 42, 253 [NASA ADS]
- Udry, S., & Santos, N. C. 2007, ARAetA, 45, 397 [NASA ADS] [CrossRef]
- Vidal-Madjar, A., Désert, J.-M., Lecavelier des Etangs, A., et al. 2004, ApJ, 604, L69 [NASA ADS] [CrossRef]
- Willems, B., Kolb, U., & Justham, S. 2006, MNRAS, 367, 1103 [NASA ADS] [CrossRef]
- Winn, J. N., Johnson, J. A., Marcy, G. W., et al. 2006, ApJ, 653, L69 [NASA ADS] [CrossRef]
- Winn, J. N., Johnson, J. A., Peek, K. M. G., et al. 2007, ApJ, 665, L167 [NASA ADS] [CrossRef]
- Winn, J. N., Johnson, J. A., Fabrycky, D., et al. 2009, ApJ, 700, 302 [NASA ADS] [CrossRef]
- Wolf, A. S., Laughlin, G., Henry, G. W., et al. 2007, ApJ, 667, 549 [NASA ADS] [CrossRef]
- Wyatt, M. C., Clarke, C. J., & Greaves, J. S. 2007, MNRAS, 380, 1737 [NASA ADS] [CrossRef]
Footnotes
- ... Jupiters
- Sky maps (Figs. 1 and 3) can be downloaded in electronic form at the CDS via anonymous ftp to cdsarc.u-strasbg.fr (130.79.128.5) or via http://cdsweb.u-strasbg.fr/cgi-bin/qcat?J/A+A/508/1509
- ...Rosenblatt (1971)
- A correction to his Eq. (2) is given in Borucki & Summers (1984).
- ... 2009
- Extrasolar Planets Encyclopedia (EPE): www.exoplanet.eu. Four of these 62 announced transiting planets have no published position.
- ... positions)
- EPE as of September 1st 2009.
- ... Database
- http://nsted.ipac.caltech.edu
All Tables
Table 1:
Empirical values for
in the mass-luminosity relation Eq. (4) as given in Cester et al. (1983).
Table 2: Instrumental properties of the treated surveys.
All Figures
|
Figure 1: Sky map of the expected number of exoplanet transit events, N, with orbital periods between P1 = 1.5 d and P2 = 50 d on the basis of 392 000 objects from the Tycho catalog. The published positions of 58 transiting planets from the EPE as of September 1st 2009 are indicated with symbols: 6 detections from the space-based CoRoT mission are labeled with triangles, 52 ground-based detections marked with squares. The axes only refer to the celestial equator and meridian. |
| Open with DEXTER | |
| In the text | |
| |
Figure 2:
Sky-integrated number of transits per magnitude ( left panel) and as a function of latitude ( right panel). Left:
while the green line represents our simulations, the rosy bars show the
number of transiting planets per magnitude bin discovered so far. Note
the different scales at the left and right ordinates! Right: the triangle represents the expected number of transits that can be seen at elevations higher than |
| Open with DEXTER | |
| In the text | |
|
Figure 3: Sky maps with expected number of transit detections for BEST a), XO b), SuperWASP c), and HATNet d). Note the different scales of the color code! The published detections of the surveys, taken from the EPE as of September 1st 2009, are indicated with symbols. |
| Open with DEXTER | |
| In the text | |
Copyright ESO 2009
Current usage metrics show cumulative count of Article Views (full-text article views including HTML views, PDF and ePub downloads, according to the available data) and Abstracts Views on Vision4Press platform.
Data correspond to usage on the plateform after 2015. The current usage metrics is available 48-96 hours after online publication and is updated daily on week days.
Initial download of the metrics may take a while.
![\begin{figure}
\par\includegraphics[width=8.5cm,clip]{12378F1cmjn.eps}
\end{figure}](/articles/aa/full_html/2009/48/aa12378-09/Timg64.png)
