| Issue |
A&A
Volume 508, Number 3, December IV 2009
|
|
|---|---|---|
| Page(s) | 1285 - 1299 | |
| Section | Galactic structure, stellar clusters, and populations | |
| DOI | https://doi.org/10.1051/0004-6361/200912583 | |
| Published online | 04 November 2009 | |
A&A 508, 1285-1299 (2009)
An updated survey of globular clusters in M 31
III. A spectroscopic metallicity scale for the Revised Bologna Catalog
,![[*]](/icons/foot_motif.png)
S. Galleti - M. Bellazzini - A. Buzzoni - L. Federici - F. Fusi Pecci
INAF - Osservatorio Astronomico di Bologna, via Ranzani 1, 40127 Bologna, Italy
Received 27 May 2009 / Accepted 17 September 2009
Abstract
Aims. We present a new homogeneous set of metallicity
estimates based on Lick indices for the old globular clusters of the
M 31 galaxy. The final aim is to add homogeneous spectroscopic
metallicities to as many entries as possible of the Revised Bologna
Catalog of M 31 clusters
, by reporting Lick index measurements from any source (literature, new observations, etc.) on the same scale.
Methods. New empirical relations of [Fe/H] as a function of
[MgFe] and Mg2 indices are based on the well-studied galactic
globular clusters, complemented with theoretical model predictions for
.
Lick indices for M 31 clusters from various literature sources
(225 clusters) and from new observations by our team
(71 clusters) have been transformed into the Trager et al.
system, yielding new metallicity estimates for 245 globular
clusters of M 31.
Results. Our values are in good agreement with recent estimates
based on detailed spectral fitting and with those obtained from color
magnitude diagrams of clusters imaged with the Hubble Space Telescope.
The typical uncertainty on individual estimates is
dex, as resulted from the comparison with metallicities derived from color magnitude diagrams of individual clusters.
Conclusions. The metallicity distribution of M 31 globular
cluster is briefly discussed and compared with that of the
Milky Way. Simple parametric statistical tests suggest that the
distribution is probably not unimodal. The strong correlation between
metallicity and kinematics found in previous studies is confirmed. The
most metal-rich GCs tend to be packed into the center of the system and
to cluster tightly around the galactic rotation curve defined by the
HI disk, while the velocity dispersion about the curve increases
with decreasing metallicity. However, also the clusters with
display a clear rotation pattern, at odds with their Milky Way counterparts.
Key words: galaxies: individual: M 31 - galaxies: star clusters - catalogs - Local Group
1 Introduction
The concept of simple stellar population (SSP) has proven to be a very
fruitful tool for the study of virtually any kind of stellar system (Renzini & Fusi Pecci 1988; Renzini & Buzzoni 1986,
hereafter RFP88). An SSP is completely characterized by only four
``parameters'', (a) mass; (b) chemical composition;
(c) age; and (d) mass function, which determine the mass to
light ratio (M/L) of the SSP once fixed the age and the chemical
composition (see RFP88, for further possibly relevant variables
that are not considered at zero-approximation). As a further
simplification, the chemical composition is typically represented by
two main parameters, i.e. the helium abundance (Y) and
the total abundance of elements heavier than helium, usually
parametrized by the iron abundance [Fe/H] (see, for instance (Zinn & West 1984, ZW84; Tantalo & Chiosi 2004a,b, and references therein). Even if the abundance of the so-called
-elements has been the subject of increasing interest in the past two decades (Tantalo & Chiosi 2004a; Thomas et al. 2004; McWilliam 1997; Gratton et al. 2004) [Fe/H] remains the main parameter for ranking
stars and/or stellar populations according to their abundance of heavy elements.
In the study of globular clusters (GCs), which are the best approximation of an SSP in nature, the metallicity is a key parameter that is also needed to infer ages and age differences (see, for example RFP88 and Carretta & Gratton 1997, and references therein). The knowledge of the metallicity of a large sample of GCs in a given galaxy allows one to search for metallicity gradients and for distinct subpopulations of GCs (as in the Milky Way (MW) Zinn 1985; and in many external galaxies Brodie & Strader 2006) and, in general, to obtain crucial information on the early phases of the formation and chemical enrichment of the parent galaxy.
While modern instrumentation has allowed determination of the detailed abundance of several elements in single stars belonging to GCs of the MW (see Carretta et al. 2008; Sneden 2005; Gratton et al. 2004), the metallicities of extragalactic GCs must be obtained from their integrated colors and/or spectra, by comparison with Galactic templates and/or theoretical models (Brodie & Strader 2006). Several broad-band integrated colors are fairly sensitive to metallicity and relatively easy to measure for clusters out to very large distances. However, they suffer from the well-known age-metallicity degeneracy (RFP88), and they may be badly affected by the reddening due to extinction by interstellar dust. While the foreground extinction associated with the dust layers residing in our own Galaxy may be somehow constrained by observations and modeled (Schlegel et al. 1998), the extinction intrinsic to external galaxies is largely unknown. On the other hand, spectral indices based on the strength of an absorption feature with respect to the surrounding continuum also suffer from the age-metallicity degeneracy (to different degrees, see Worthey 1994) but they are essentially unaffected by extinction (MacArthur 2005), a very desirable characteristic. The most widely used spectral indices were originally defined by Burstein et al. (1984) and Faber et al. (1985) at the Lick Observatory. These authors defined a set of indices that measure the strength of the most pronounced absorption features that are seen in the integrated low-resolution spectra of stellar systems at optical wavelengths. The use of Lick indices became widespread because they are easy to measure; as a consequence, they were also included as standard predictions in all theoretical models of SSP (see, for example, Buzzoni et al. 1992; Bruzual & Charlot 2003; Buzzoni et al. 1994; Worthey 1994, hereafter BC03; Tantalo & Chiosi 2004b; Thomas et al. 2003, hereafter TMB).
The M 31 galaxy is an ideal target for studying GCs. It is nearby and it has a large cluster population (
3 times
more than the MW). The GC system of M 31 has been
intensively studied in the past and several authors have used Lick
indices to constrain the age and the metallicity of clusters in the
Andromeda galaxy.
Integrated-light spectroscopy of M 31 GCs was pioneered by van den Bergh (1969) who found
that the GC system of this galaxy extends to higher metallicities than in the MW. In an important contribution, Burstein et al. (1984)
comprehensively discussed other interesting differences between GCs in
M 31 and in the MW. In particular they showed that M 31
clusters have significantly stronger H
and CN absorption indices at a given metallicity. In a series of papers, Brodie & Huchra (1990,1991) and Huchra et al. (1991)
studied the metallicity distribution of M 31 GCs using an
extensive sample of integrated spectra and line indices. They found
that the properties of the M 31 GC system are broadly similar
to the MW one, but they confirmed the presence of a high-metallicity
tail with no counterpart in our Galaxy. They found that the mean
metallicity [Fe/H] was -1.2, and identified a weak metallicity
gradient as a function of projected radius. From the distribution of
integrated colors, Barmby et al. (2000) found evidence that the M 31 GC system may have a bimodal metallicity distribution (like the MW, Zinn 1985), with peaks at [Fe/H]
-1.4 and [Fe/H]
-0.6. Moreover, they found that the (V-K)0 color
distribution was best modeled by assuming three modes in the
metallicity distribution, instead of one or two. Finally, they found a
small radial metallicity gradient and no correlation between cluster
luminosity and metallicity in M 31 GCs. Perrett et al. (2002)
have produced a total sample of about 200 spectroscopic
metallicities of M 31 GCs, calibrating Lick indices measured in
their own system versus the metallicity of
M 31 clusters in common with Huchra et al. (1991) (so they used a set of secondary
calibrators). They confirm the bimodality in the metallicity
distribution and reported that the metal-rich clusters have a higher
rotation amplitude with respect to metal-poor ones, while both groups
are known to rotate faster than their Galactic counterparts. Moreover,
they found evidence of a radial metallicity gradient in the metal-poor
population of M 31 out to
from the galaxy center.
Metallicity (and age) estimates for various samples of M 31
clusters obtained by fitting spectra with theoretical SSP models
have recently been presented by Beasley et al. (2005) and Puzia et al. (2005). Beasley et al. (2005) studied a sample of 23 M 31 GCs with very high signal-to-noise (S/N)
spectra, seventeen of which were found to be old and to span a wide
range of metallicity, while the remaining six were classified as
intermediate-age clusters. Puzia et al. (2005) present the metallicity of 70 GCs (including those studied by Beasley et al. 2005) finding a bimodal distribution with peaks at [Z/H]
-1.66 (
0.05) and [Z/H]
-0.45 (
0.04) dex with dispersions 0.23 and
0.29 dex, respectively
.
More recently, Lee et al. (2008) have merged the metallicities from Barmby et al. (2000) and
Perrett et al. (2002) with
their own estimates from the line indices measured from WIYN/Hydra
spectra. They find that a bimodal and trimodal distribution are
statistically preferable to a unimodal metallicity distribution at a
confidence level of 99.8%. Fan et al. (2008)
assembled metallicities from the literature and with estimates derived
from integrated colors to obtain a global metallicity distribution of
M 31 GCs. They find a bimodal distributions with peaks at
[Fe/H]
-1.7 and
-0.7 dex
with mean [Fe/H] = -1.21 dex, but show that three-group fits
are also statistically acceptable. They find a metallicity gradient as
a function of projected radius for the metal-poor GCs, but no
gradient for the metal-rich GCs.
The brief summary of modern studies above underlines the high degree of heterogeneity of the available material. The various sets of estimates are obtained from observables that are different in nature (integrated spectral indices or colors) and are based on different calibrations (empirical, semi-empirical, or theoretical; using primary or secondary calibrators). Even the actual definition of the same Lick indices varies from author to author; thus, in general, the presented calibrations are only valid for a given observational set-up and definition. In these circumstances it is clear that joining different sets of metallicity estimates may be quite dangerous as it may lead to a poor degree of self-consistency in the final merged set.
We have assembled and we continuously maintain and update a database of parameters of confirmed and candidate clusters
in M 31, the Revised Bologna Catalog of M 31 GCs (RBC, Galleti et al. 2004,2007,2006a).
Because we want to add a reliable metallicity estimate to the confirmed
clusters in the RBC, we need to devise the operational protocol for
transforming the actual measures provided in the literature
(as, for example, already available and future sets of Lick
indices for M 31 clusters) into a unique homogeneous metallicity
scale. In this paper, we describe the construction of this new
homogeneous metallicity scale for M 31 GCs based on Lick line
indices. Having set and tested the new scale, we present new
metallicity estimates for 245 M 31 GCs.
The plan of the paper is as follows. In Sect. 2, we describe the rationale and the procedure for constructing the new metallicity scale. In Sect. 3, we report on the sample of M 31 GC spectra that we have obtained and reduced, and from which we estimated Lick indices. We also describe how we collected Lick indices for M 31 GCs from the literature and how we have tied all of them to the same homogeneous system. Finally, we derive the new values of the metallicities and, in Sect. 4, compare our scale with previous metallicity estimates. In Sect. 5, we present and discuss the metallicity distribution of the M 31 GC system and the correlations between metallicity and kinematics.
2 An empirical metallicity scale
The construction of a metallicity scale must be driven by a list of basic requirements and a number of methodological/technical choices to achieve them, as well as some trade-offs between different possibilities. In particular, we identified the following ranked list of desiderata.
- 1.
- The scale must be consistent with at least one of the main metallicity scales currently used for the Galactic GCs, like Zinn & West (1984, ZW84) or Carretta & Gratton (1997).
- 2.
- The scale must be calibrated on empirical templates. The agreement with theoretical predictions is clearly desirable but is not a must, because theoretical models have problems and uncertainties of their own (Tantalo & Chiosi 2004b,a), while the chemical abundances of many Galactic GCs are known in great detail (Carretta et al. 2008).
- 3.
- The observables that are used to settle the scale must be as sensitive to the abundance of heavy elements as possible,operationally well-defined, and easy to measure out to large distances with currently available instrumentation.
As it become clear that old stellar populations (like GCs and
classical elliptical galaxies) are characterized by an enhancement of
elements (N,
O, Mg, Ca, Na, Ne, S, Si, Ti), or, better, by an iron deficiency with
respect to the abundance pattern of the Sun, the impact of
on Lick indices has been the subject of detailed study (see Trager et al. 2000; Tantalo & Chiosi 2004a; Thomas et al. 2004, and references therein). To reduce the influence of [
/Fe] variations on age and metallicity determinations,
González (1993) introduced the [MgFe] index,
with
,
which appears to be very sensitive to the total metallicity while minimizing the dependency on [
/Fe] (see Thomas et al. 2004,2003, for discussion).
After many tests using several indices, we decided to base our scale on four indices: three of them (Mgb, Fe5270, and Fe5335) are combined into [MgFe], the other is Mg2 (see Appendix B, in online edition). Mg2 has become a standard ``metallicity'' indicator for the integrated spectra (see i.e. Buzzoni et al. 1992). We found that [MgFe] and Mg2 provide the most consistent and strong correlations with [Fe/H] in the ZW84 scale, once the Trager et al. (1998, hereafter T98) definitions of the Lick indices are adopted. Therefore, to obtain a metallicity estimate on a reliable and homogeneous scale, the indices must be measured according to the T98 definitions and transformed into the T98 reference frame using a set of stars/stellar systems in common with T98 as standard calibrators (see Sect. 3, below). Operationally, when the spectrum of a given cluster has enough signal-to-noise and wavelength coverage to allow a reliable measure of all the involved indices, including Fe5270 and Fe5335, the estimates of [Fe/H] can be obtained from [MgFe]. A valid metallicity estimate can be obtained even if reliable measures of Fe5270 and Fe5335 are lacking; the use of both the assumed indicators is clearly preferable, but Mg2 alone is sufficient.
2.1 The calibrators
To fulfil simultaneously the requirements #1 and #2 above,
we decided to adopt Galactic GCs with metallicities in the
ZW84 scale as fundamental calibrators. All the metallicity values
for MW GCs adopted here were taken from ZW84 and Armandroff & Zinn (1988).
It is clear that the choice of the calibrators implies that the
scale is only valid for old populations having a similar degree of
enhancement in the abundance of
-elements with respect to the Sun (see Pritzl et al. 2005).
We use theoretical SSP models to explore the effective range of ages
and chemical compositions in which our calibration can be considered
valid.
We searched in the literature to assemble the largest possible sample
of Galactic GCs with well known metallicity and well-measured Lick
indices from high S/N
spectra in the T98 system or that can be easily transformed into
this system. First of all we took the data for 17 Galactic GCs
provided by T98 themselves, by definition in the T98 system.
The original spectra were obtained by Burstein et al. (1984)
with the image dissector scanner (IDS) at the 3 m Shane Telescope
of the Lick Observatory, and the absorption-line indices were measured
again by T98. Next, we incorporated the new data for 41 GCs
from spectra obtained with the Blanco 4 m telescope by Schiavon et al. (2005, hereafter S05)
.
We measured the needed indices (Mg2, Mgb, Fe5270, and Fe5335) from
the Schiavon et al. spectra as described in detail in Sect. 3.1,
below. We used the 8 clusters in common with the T98 to derive a
simple least square fit converting indices from the S05 to the
T98 system (using OLS(X
Y), according to Isobe et al. (1990); see Fig. 1). The derived values of the (a, b) coefficients for the various indices are reported in Table 1.
|
Figure 1: Comparison of passband measurements from S05 spectra and original Lick data for 8 Galactic GCs. Dashed lines show the least-square fit relations. |
| Open with DEXTER | |
Indices for further 3 GCs were taken from Beasley et al. (2004, hereafter B04) who re-measured Lick indices for 12 GCs spectra obtained by Cohen et al. (1998). The coefficients given in Table 2,
derived by least-square fitting for clusters in common, as above,
were used to convert the B04 indices into the T98 system.
Figure 2 compares the values
of the indices from the sample obtained by joining the data from T98
and S05 with the B04 sample, after transformation to the
T98 system. The plots show that the set of measures we have
assembled is very homogeneous: any residual systematic and/or random scatter is
5% of the
range spanned by the index, or smaller.
Table 1: Linear fit coefficients to convert the Schiavon (S05) indices into the Lick system.
Table 2: Linear fit coefficients to convert the Beasley (B04) indices into the Lick system.
|
Figure 2: Comparison of the metallicity line indices adopted with the B04 values transformed to the T98 system (T98 data: open circles; S05 data: filled circles). The rms of the distributions are also reported. |
| Open with DEXTER | |
We merged all the sources described above into a global sample comprising 53 Galactic GCs with metallicities
on the ZW84 scale. In case of multiple measures we adopted one
single source according to the following ranking: T98, S05, and B04.
Lick indices, source and uncertainties for all sample adopted are given
in Table 3.
As recalled in Sect. 1, it has long been known that M 31, as do other giant galaxies (see Harris et al. 1992),
hosts GCs that are significantly more metal rich than found in the MW,
possibly up to super-solar metallicities. To extend the range of
applicability of our metallicity scale at the super solar regime -
where we lack observed calibrators - we complemented our sample
with a suitable set of several models for old SSPs
(i.e. 12-12.5 Gyr, see Gratton et al. 1997), with metallicity in the range
.
In particular, the theoretical predictions by Buzzoni (1989), Worthey (1994), Bruzual & Charlot (2003), Thomas et al. (2004), and Tantalo & Chiosi (2004b)
have been
considered. The simultaneous use of models from different authors
provided a confident estimate of the internal uncertainty of the
theoretical framework, intrinsic to the different input physics among
the various theoretical synthesis codes. Therefore, to fit our
calibrating relations, we adopted a composite sample made by the
empirical set of 53 Galactic GC in the range
,
plus the theoretically predicted index values described above, considered as observed points, in the range
.
While the agreement between the observed points and the models
predictions is quite good over the whole metallicity range covered by
Galactic GCs (see Fig. 5,
below), the reader must be aware that the metallicity scale proposed
here is not constrained by empirical calibrators in the solar and
super-solar regimes.
To avoid confusion resulting by plotting many different symbols in such a restricted range of metallicities, in Fig. 3 we simply plot a sketch of the envelope enclosing all the theoretical points that were considered in the calibration.
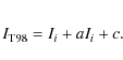
The two best-fit relations are shown in Fig. 3; they are the following
second-order polynomials represented by
Equations (1) and (2) are the fundamental calibrating relations of the proposed metallicity scale. When all the needed observables are available, the final metallicity value is obtained from Eq. (1); otherwise one recurs to Eq. (2).
The internal consistency of the adopted scale is verified in Fig. 4, where the original metallicity values of the calibrating clusters are compared with those obtained
with our calibrations. The r.m.s. scatter is
dex. Figures 3 and 4 suggest that our scale is less sensitive to metallicity variations and more uncertain at the metal-poor end, for
.
This is a general characteristic of scales based on integrated Lick indices (see, for example Faber et al. 1985; Cohen et al. 2003) and must be taken into account when very metal poor clusters are considered.
|
Figure 3: The adopted calibrations for Mg2 and [MgFe] vs. [Fe/H] (continuum lines) superposed on the accounted set of Galactic GCs from T98 (dots), S05 (squares), and B04 (triangles). The shaded regions at super-solar metallicity are the envelope of the theoretical predictions from several SSP models, as discussed in the text. A comparison between the empirical metallicities and ZW84 with the mean differences and rms are also reported in the lower panels. The dashed lines enclose the rms. The color figures are available in the electronic edition. |
| Open with DEXTER | |
Table 3: Lick indices for MW GCs, computed with the passband definitions of Trager et al. (1998) and shifted in this system.
|
Figure 4:
|
| Open with DEXTER | |
|
Figure 5:
(upper panel) - Mg2 index distribution of the MW GCs (symbols are the same as Fig. 3) compared to the stellar population models of
Buzzoni (1995a,1989), Worthey et al. (1994), Girardi et al. (2000) (labeled as ``Padova''
on the plot), Bruzual & Charlot (2003, ``B&C''), Tantalo & Chiosi (2004b, ``TMK''). An age of 12 Gyr is assumed throughout, with solar [ |
| Open with DEXTER | |
The effects of age assumptions are explored in Fig. 5, where we compare our Mg2 data
with an illustrative set of theoretical models from several population
synthesis codes. In particular, we relied on the models by Buzzoni (1995a,1989), Worthey et al. (1994), Girardi et al. (2000), Bruzual & Charlot (2003), and Tantalo & Chiosi (2004b).
The upper panel of the figure displays a collection of the 12 Gyr
model predictions, while the expected shift in the theoretical loci
when moving to younger ages is estimated in the lower panel. One can
see that any change in age, say from 12 to 5 Gyr, is
reflected in a shallower slope
of the theoretical [Fe/H] vs. Mg2 calibration, as a consequence of a larger offset (
Mg2
-0.05 mag) at solar metallicity. On the other hand, any enhancement in the [
/Fe] element
partition results in a (roughly) solid shift of the curve shelf to
correspondingly lower values of [Fe/H], as sketched on the plot.
The comparison between our empirical calibrating relations and
the model predictions reveal that the application of our method to
clusters as young as 5 Gyr, in the metallicity range
,
would lead to systematic errors in the estimated metallicity as low as
dex, i.e. close to the typical statistical
uncertainty. In any case, a good safety criterion would be to limit the application to clusters older than 7-8 Gyr.
3 The sample of M 31 globular clusters
The M 31 GCs Lick indices used in this study are taken from our observations and from several sources available in literature. In this section we describe the various data we adopted and how we transformed the different sets of measures into the T98 system. In the following analysis we only consider objects classified in the RBC as genuine old M 31 clusters, i.e. having classification flag f=1. The possibility of contaminating the sample by spurious sources is discussed in Sect. 3.4, below.
|
Figure 6: Comparison of Lick indices measurements from WHT, Loiano, TNG after transformation and T98, for the clusters in common. The dotted lines enclose the range of the rms. In AF2/WYFFOS data for Fe5335 we have not considered B178 in the fit data. In Loiano and TNG data we have not considered B193. |
| Open with DEXTER | |
3.1 Indices from our own spectra
First, we obtained new measures of Lick indices for the sample of M 31 GCs described in Galleti et al. (2006a) and Galleti et al. (2007). The spectra were taken with the AF2/WYFFOS multi-fiber spectrograph at the 4.2 m William Herschel telescope (WHT), with DoLoRes at the 3.5 m Telescopio Nazionale Galileo (TNG), Roque de los Muchachos (La Palma, Spain), and with BFOSC at the Cassini 1.52 m telescope of the Loiano Observatory (Bologna, Italy). The data acquisition, reduction, and the resulting radial velocities (and membership) are fully described in Galleti et al. (2006a).
All the spectra were flux-calibrated, using various spectrophotometric
standard stars to convert counts into flux units. We selected
88 confirmed clusters having the best spectra, i.e.
,
69 from the WHT set, 14 from the TNG set,
and 5 from the Loiano set. During each observing night we also
collected accurate (S/N > 20) observations of GCs in common with T98.
All the selected spectra span a wavelength range including indices from
Fe4531 to Fe5406. Each spectrum was shifted to zero radial velocity.
Before measuring indices, one must carefully degrade spectra of higher
resolution to the resolution of the Lick system. We strictly followed
the approach of Worthey & Ottaviani (1997) and degraded our spectra to the wavelength-dependent Lick resolution (
Å at 4000 Å, 8.4 Å at 4900 Å, and 9.8 Å at 6000 Å) with a variable-width Gaussian kernel.
Table 4:
Correction terms of the transformation to match the Lick system for
WHT, Loiano, and TNG data in the sense
.
The derived indices were then compared with those provided by T98 for 9, 14, and 10 clusters in common for the WHT, Loiano, and TNG sets, respectively. It was found that all the considered indices can be reported in the T98 just by adding the constant values listed in Table 4. The comparison between the corrected values from the various sets and the measures by T98 are shown in Fig. 6. Our Lick index measurements and index uncertainties are listed in Appendix A, Table A.1 (available in online edition). Errors were determined using photon statistics, following the formulae given in Cardiel et al. (1998). They do not incorporate the uncertainty due to our transformation to the Lick system, which is quantified by the rms scatter reported in Table 4.
|
Figure 7: Comparison of the literature metallicity indices transformed into the T98 system (according to Table 5) with T98 data. Dashed lines show the rms. |
| Open with DEXTER | |
3.2 Data from the literature
To assemble as large as possible a dataset of metallicities on the new scale, we complemented the measures described above with other clusters with published measures of the required Lick indices. In all cases we derived the equations to transform the published values into the T98 system using clusters in common between each considered set and T98, as done above for our measures. The following sources were adopted:
- 1.
- First, we included the measures by T98 itself, which are available for 18 M 31 GCs. These spectra were obtained by Burstein et al. (1984) with the image dissector scanner (IDS) at the 3 m Shane Telescope of the Lick Observatory. The absorption-line indices are re-measured by T98 system, and they define the standard system.
- 2.
- Indices for 30 clusters have taken from Beasley et al. (2004, B04), who obtained high S/N spectra (S/N > 30 pixel-1) with the low-resolution imaging spectrograph (LRIS) on the Keck I telescope. The set of Lick line indices was measured with the passband definitions of Worthey et al. (1994) and was not corrected to the system of T98. However, the three clusters in common with T98 show excellent agreement with the standard system (see Fig. 7).
- 3.
- We incorporated the dataset of Puzia et al. (2005, Pz05), who measured Lick indices, with the T98 definition, for 29 M 31 GCs from the best spectra (S/N > 25 per Å) of the Perrett et al. (2002, hereafter P02) sample, obtained with the WYFFOS at the 4 m WHT telescope.
- 4.
- We also included the indices for a further
clusters, from the lower
S/N spectra of the P02
sample. The absorption-line indices were measured with the old passband definitions of Faber (1973) and
Brodie & Hanes (1986). When needed, we converted the value of P02 to the commonly used Å-scale for atomic indices
.
Table 5: Coefficient to transform the literature data (Pz05, B04, P02, and BH90) into the T98 system.
- 5.
- The same procedure have applied to the Brodie & Huchra (1990, BH90) data obtained with the
multiple mirror telescope (MMT). BH90 have measured
absorption-line
indices in their bandpass definitions from atmospheric cut-off at
3200 Å to NaI, thus not including the Fe5335 index.
The coefficients of the adopted transformations are reported in Table 5, and the corrected indices are compared to the T98 values in Fig. 7. The same procedure was adopted to transform also the H
3.3 Adopted metallicities
The indices transformed into the T98 system were used to compute the metallicities from Eqs. (1) and (2). In case of multiple measures of the same spectral index for a given GC, we always choose the value obtained from the spectrum with the highest S/N (when available) and/or with the smallest error. Individual indices estimates and the associated uncertainties for these datasets (296) are given in Appendix A, Table A.2 (available in online edition).
Cluster metallicities and the associated uncertainties were determined from Eq. (1) when possible, and from Mg2 in the other cases, i.e. when measures of Fe5270 and/or Fe5335 are lacking. Since the index-metallicity relation used is valid only for old GCs (see Sect. 2), we have removed all possibly young objects. The empirical metallicities for 245 M 31 GCs (see Sect. 3.4, below) are reported in Appendix A, Table A.3 (available in online edition).
3.4 Possible contaminations
All the M 31 clusters in our analysis are class f=1 RBC entries; that is, they are all classified as genuine M 31 members whose nature has been confirmed either spectroscopically and/or by means of high-resolution imaging (see Galleti et al. 2006a, for a detailed discussion about the classification of M 31 GCs). While the sample should be largely dominated by bona-fide clusters, some spurious object may always be present as a truly final word on the nature of these objects can be obtained only by resolving them (at least partially) into individual stars by means of high-resolution imaging. However, the recently published broad spectroscopic and imaging survey by Caldwell et al. (2009) allows us to extensively check the classifications adopted in the RBC with fully independent and homogeneous data.
Of the 252 class f=1 clusters that we originally considered in our analysis, 247 were also observed and classified by Caldwell et al. (2009), and only seven
of them, namely B025D, B026D, B043D, B046D, B215D, B248D, and DAO25,
were classified as non-clusters by these authors. For this reason, they
were excluded from our sample, reducing the total number of clusters
with metallicity estimate from 252 to 245. Moreover, both B289D and
B292D are suspected by Caldwell et al. (2009)
to in fact be stars. Since these cases are not clear-cut, we mark these
objects as potentially misclassified but we keep them in our
GC sample. Caldwell et al. (2009) confirmed the RBC classification for all the remaining 238 clusters in common between the two samples;
i.e., all of them are classified as genuine globulars. We stress that
for the large majority of these clusters this classification has been
previously confirmed also by other authors. Finally, of the five
clusters of our sample that have not been observed by Caldwell et al. (2009), i.e. B514, MCGC1,
MCGC8, MCGC10, and B344D, the first four have been confirmed as genuine old globulars from their HST CMDs (Mackey et al. 2007; Galleti et al. 2006b). According to the above cross-check, therefore, we conclude that, before the exclusion of the seven objects re-classified by Caldwell et al. (2009), the contamination of our sample by non-clusters was
4%, and should be significantly lower than this in the
final, cleaned sample.
|
Figure 8:
Comparison of the H |
| Open with DEXTER | |
As said in the Sect. 2.1, the derived calibrations are only valid
for old GCs (age > 7 Gyr), so it would be wise to
exclude possibly young clusters from the final sample. The most widely
used age indicators among Lick indices are the Balmer lines (see Caldwell et al. 2009; Fusi Pecci et al. 2005, and references therein). Here we adopt the H
index
to clean our sample of possibly young objects on an objective basis. In
particular, we have excluded all the objects with H
> 3.7 Å since the beginning (see Fusi Pecci et al. 2005, for a detailed discussion)
.
To investigate the problem in more detail, we checked any other cluster
that has been suggested by some author as possibly young, irrespective
of its H
value. Of 245 clusters for which we have derived metallicities, there are 28 such clusters (see Fusi Pecci et al. 2005). Seven of these have published color-magnitude diagrams showing that they are very likely old GCs: B311, B358,
and B468 by Rich et al. (2005), B008 by Perina et al. (2009a), B083, B347, and NB16 by Perina et al. (2009b). An additional 16 clusters have been recently classified as old from their spectra by Caldwell et al. (2009, included in the cross-check described above),
B015, B030, B047, B060, B070, B090, B117, B146, B154, B164, B197, B214,
B232, B292, B328, B486. We did not find any additional information for
the remaining five (B018, B316, B431, B240D, DAO30): conservatively, we
maintain them in the list of clusters for which we provide a
metallicity estimate, but we exclude them from the cleaned sample used
in the following analysis (Sect. 5).
In conclusion, the degree of contamination from any kind of
spurious object (non-cluster or young cluster) in the sample considered
in Sect. 5 should be extremely low. It should be recalled
that the adopted selection in H
would not exclude from our sample intermediate-age clusters (2 Gyr
age
7 Gyr) that may be included with a wrong metallicity (lower than
the true
value). However, these clusters should be quite rare in M 31, if
any, as among the several tens of M 31 clusters having a CMD from
HST, none has been found in that age range.
4 Comparisons with other sets of metallicities
In the following sections we compare our metallicity estimates for M 31 GCs with those already available in the literature. We separately discuss the comparison with (a) estimates obtained from empirical calibrations of spectral indices or colors; (b) estimates obtained from the fit of observed spectra with theoretical SPSS models; and (c) estimates obtained from the analysis of the CMDs of individual clusters (see Jablonka et al. 2000; Holland et al. 1997; Brown et al. 2004; Mackey et al. 2007; Perina et al. 2009a; Rich et al. 2005; Fusi Pecci et al. 1996, and references therein).
4.1 Comparison with [Fe/H] from empirical calibrations
Before proceeding with the comparison of our new scale with previous analysis, it is worth having a look at the degree of consistency between already existing sets. The comparison between H91 and P02 is particularly relevant in this context, because (a) they are the largest sets of empirical metallicities for M 31 GCs available in the literature; (b) they should be consistent by definition, because P02 uses the same definitions of the indices as H91 (see Brodie & Huchra 1990, hereafter BH90), and uses metallicities by H91 for clusters in common between the two sets to calibrate [Fe/H] vs. indices. To the original set of H91 we added the metallicities for further 35 M 31 GCs obtained by Barmby et al. (2000) with the same method and strictly in the same system as H91.
The left panel of Fig. 9 reveals that there is considerable scatter between the H91
and P02 sets of measures: the rms is 0.34 dex but differences up to
dex
are also present. This can be taken as a reference of the typical
degree of agreement between independent sets. In the right panel we
compare the P02 metallicities with those Pz05 where the dataset is
the same. A wide spread is also evident in this case.
It is important to recall here that to obtain the metallicity of M 31 GCs from line indices, BH90 and H91 calibrated a relation between [Fe/H] and the infrared colors ((V-K), (J-K)) using Galactic GCs. Then, they used the infrared photometry of 40 M 31 GCs by Frogel et al. (1980) and Bonoli et al. (1987) to obtain their metallicity from that relation, and merged this sample with i) a sample of Galactic GCs for which they measured the same line indices and ii) with the average of the indices measured in several individual stars in the open cluster NGC 188, which was adopted as a template for solar metallicity populations lacking among MW globulars. They used the merged sample to calibrate various indices against [Fe/H]. Finally, they used the relations to obtain a metallicity estimate for each index, and they adopted the weighted average of the values obtained from the various indices as their final metallicity estimate (H91). The complex procedure outlined above was dictated by the requirement to obtain the largest possible sample from the data available at the time and to average out the errors by using the information from all the available indicators. On the other hand, our aim is to provide a clean and easily repeatable process to obtain metallicities from few selected spectral indices, because nowadays it is relatively easy to obtain high S/N spectra for most M 31 GCs with 4m telescopes, and the 10 m class telescopes are entering the game.
|
Figure 9:
Comparison of the metallicities from P02 with H91 and B00 in the left panel and from P02 with Pz05 in the right panel. The solid line indicates the one-to-one relation. The dotted lines in the lower panel mark the |
| Open with DEXTER | |
|
Figure 10: Comparison of our empirical metallicities of M 31 GCs with P02 and H91. The solid line indicates the one-to-one relation. The dotted lines in the lower panel enclose the rms. Error bars have been omitted in the panels for clarity. |
| Open with DEXTER | |
Figure 10 shows that the
difference between our metallicity estimates and those from H91 and P02
presents a scatter of the same amplitude as that existing between H91
and P02. Moreover, metallicities from our scale are systematically
higher by up to
dex for
and systematically lower for
.
Figure 10
provides a strong warning on the reliability of empirical metallicity
scales based on Lick indices from integrated spectra. While our
metallicities and those by H91 and P02 present strong correlations,
estimates for individual clusters can differ by as much as
dex
(or more) because of statistic or systematic effects. This is the
fundamental reason for avoiding assembling metallicities from different
sources for the RBC, trying instead to reach the maximum degree of
homogeneity at the ``index level'' (Sects. 2 and 3) and the
highest degree of internal consistency by converting the indices into
metallicity with the same calibrating relations. The choice of using
just the Mg2,
Mgb, Fe5270, and Fe5335 indices is also intended to minimize the
effects on the final metallicity estimate of variations/anomalies in
the abundance of other elements, such as C, N, or age effects, that may
affect other indices (see, for example, Fusi Pecci et al. 2005; Burstein et al. 2004, and references therein).
It is worth noting, in this context, that we have no particular a-posteriori reason to claim that our scale is superior
to other existing empirical scales based on spectra. We feel that we
have made all possible effort to construct a very homogeneous and
internally consistent scale
for the RBC, designed for the easy and safe inclusion of any new set of
indices that will be published in the future
.
Finally, Fig. 11 shows the comparison between our metallicities and those obtained from (V-K)0 colors, using the calibrations by Barmby et al. (2000), taking the V-K colors from the RBC, and adopting two different sets of reddening estimates, i.e. those from Barmby et al. (2000)
and from Fan et al. (2008).
This comparison reveals the critical role of the (uncertain) reddening
estimates on any metallicity scale based on colors: the two sets
considered here differ only in the adopted reddening, yet the
rms scatter in the final metallicity is as high as
dex.
The overall behavior in comparison with our scale is relatively similar
to that of the H91 and P02 sets. This may stem from the origin of
these scales also being a calibration of metallicity vs.
integrated (V-K)0 colors.
|
Figure 11: Comparison of our empirical metallicities of M 31 GCs with those obtained from (V-K)0, using the calibrations by Barmby et al. (2000) and adopting two different sets of reddening estimates: Barmby et al. (2000) ( left) and Fan et al. (2008) ( right). The solid line indicates the one-to-one relation; in the lower panels, the dotted lines enclose the rms. |
| Open with DEXTER | |
It is interesting to note that, independent of the adopted set of reddening, the metallicities obtained from (V-K)0 are systematically lower than our spectroscopic estimates by a large amount, i.e.
dex,
on average. We do not have any straightforward explanation for this
remarkable systematic difference, we can just put forward some
hypothesis for its origin. The observed effect can arise if the
reddening values are systematically overestimated: using the
[Fe/H] - (V-K)0 calibration by Barmby et al. (2000) and assuming
E(V-K)=2.75E(B-V), according to Cardelli et al. (1989), an overestimate of E(B-V)
by 0.09, on average, is enough to account for the whole
0.4 dex difference between the metallicity scales. While the
required systematic in E(B-V) is probably too
large to be realistic, an overestimate of the reddening may provide a
relevant (possibly the largest) contribution to the observed systematic
difference in the metallicity. Systematic differences in the age
distribution and/or in the abundance pattern between MW and M 31
globulars can also contribute to the effect. In particular, Fig. 9 of Barmby et al. (2000) seems to suggest that the clusters of the two galaxies may not share the same [Fe/H] - (V-K)0 relation.
4.2 Comparison with [Fe/H] from SED fitting
We compare the metallicities of the M 31 clusters derived from our empirical calibrations
with those derived from SSP model fitting by Puzia et al. (2005) and Beasley et al. (2005) (using the TMB models) in Fig. 12.
The models report the metallicities in [Z/H] scale and a
transformation to [Fe/H] has been done through the equation
[Fe/H] = [Z/H] - 0.94[
/Fe] taken from Thomas et al. (2003; see also Trager et al. 2000).
The clusters with
derived age < 8 Gyr are excluded because our empirical
calibrations are only valid for old GCs. To first order, the
agreement between the literature values and the metallicities from our
empirical relations is clearly satisfactory with B05, and acceptable
with Pz05, as shown in Fig. 12.
The two sets of measures show systematics of opposite signs with
respect to our scale: B05 finds values slightly lower than ours
(by
dex), Pz05 estimates are larger by
dex,
on average. It may be worthwhile to check that part of these
differences may be due to these authors considering the metallicity
from iron peaks elements and the abundance of
elements separately, while our scale neglects this potentially relevant discrimination
.
Figure 13 shows that this may be the case for B05. If our [Fe/H] estimates are compared with B05 estimates of [Z/H], the offset is reduced to zero and even the rms scatter is slightly reduced (having excluded the outlier B328). On the other hand, the comparison with [Z/H] exacerbates the systematic difference with Pz05, while significantly reducing the rms scatter. In conclusion, our new metallicity scale seems in much better agreement with scales derived from the detailed fitting of spectra with SPSS models than with other empirical scales.
|
Figure 12: M 31 clusters empirical metallicities vs. the [Fe/H] values derived by Puzia et al. (2005) ( left panel) and Beasley et al. (2005) ( right panel) from SSP model fitting (see text, Sect. 4.2). |
| Open with DEXTER | |
|
Figure 13: The same as Fig. 12, but using [Z/H]. |
| Open with DEXTER | |
|
Figure 14: [Fe/H] estimates from
CMDs of individual clusters (from good quality HST photometry)
compared with the metallicities derived in the present analysis. The
mean offset |
| Open with DEXTER | |
|
Figure 15: Metallicity histograms for the M 31 ( top) and the MW ( bottom) GC systems. Dashed lines in the lower plot are the Gaussian curves in the best-fit model as found by the KMM algorithm for two subpopulations (Fe/H] = -1.60 and -0.59 dex). |
| Open with DEXTER | |
4.3 Comparison with [Fe/H] from CMDs
The estimates that can be obtained from CMDs of individual clusters by comparing the observed red giant branch (RGB) with the RGB templates of well-studied Galactic GCs probably provides one of the most reliable metallicities currently available for M 31 GCs, of course under the hypothesis that the basic properties of the two GC systems are the same. For clusters that are not too compact and are not immersed in exceedingly crowded fields, HST photometry (either from the WFPC2, e.g. Rich et al. 2005, or the ACS, e.g. see Galleti et al. 2006b; Mackey et al. 2007) can provide clean and well-defined CMDs of the RGB. In addition the horizontal branch morphology and the lack of bright main sequence stars give the best sanity check on the actual age of the cluster that can be currently achieved (see, in particular Brown et al. 2004). Therefore, the comparison of our estimates with those obtained from good CMDs from HST is a compelling test of the reliability and accuracy of our new metallicity scale.
We collected metallicity from CMDs for 35 clusters in common with our list, from the following sources: Rich et al. (2005), the largest sample of published CMD of M 31 GCs; Jablonka et al. (2000), which
analyzed three GC in the bulge of M 31; Brown et al. (2004), which studied B379 in great detail; Galleti et al. (2006b) and Mackey et al. (2007), which considered clusters located in the outskirts of the galaxy and Perina et al. (2009a). The comparison between our estimates and those obtained from the CMDs
is presented in Fig. 14.
The agreement is quite satisfying over the whole considered range.
However, there is a small systematic offset between the metallicity
estimates obtained from the spectra or from the CMDs, in the sense that
the former are higher than the latter by
dex, on average. This points to a real difference between the two independent scales, possibly related to how [
/Fe] is included in the two calibrations. We take the rms of the
difference computed over the whole sample as the typical accuracy of our metallicity estimates (
dex).
5 Discussion and conclusions
Using our own data, as well as datasets available in the literature, we
have established a new homogeneous metallicity scale for
M 31 GCs. The scale is based on the Lick index Mg2 and
on the combination of Mgb and Fe indices [MgFe] that have been
calibrated against well-studied Galactic globulars (for
)
and a variety of SSP theoretical models for
and age
12 Gyr. Our scale has been shown to be self-consistent within
dex, and it should only be applied to classical, old GCs.
|
Figure 16: [MgFe] distribution for M 31 GCs ( upper panel) and the MW GCs ( lower panel). |
| Open with DEXTER | |
In the following we briefly describe a few natural applications of the newly derived metallicity scale. In particular, (a) we derive and discuss the metallicity distribution of M 31 GCs; and (b) we explore the correlations between metallicity and kinematics, for the sample of 240 bona-fide old GCs described in Sect. 3.4, above.
|
Figure 17: Left panels: spatial distribution of three metallicity groups GCs in M 31. The ellipses have a semimajor axis of 15, 30, 45, 60 arcmin. Right panels: radial velocities vs. the projected distances along the major axis (X). The solid line shows an HI rotation curve from Carignan et al. (2006). |
| Open with DEXTER | |
5.1 Metallicity distribution
In Fig. 15 the
metallicity distribution (MD) of our sample of M 31 GCs is
compared with its MW counterpart. The highest peak in the
M 31 MD occurs at [Fe/H]
-0.9, coinciding with the overall average of the sample
,
significantly more metal rich than in the MW case, where the maximum is at [Fe/H]
-1.5 and the overall mean is
(based on data from Harris 1996,
that are in the ZW84 scale). The M 31 system appears
also to have a much larger fraction of clusters having [Fe/H] >
-0.5 (23% of the total sample) with respect to the MW (7%).
It should be considered that the individual metallicity estimates
for M 31 clusters have much larger uncertainties with respect
to their MW counterparts and this may produce some spurious
widening of the MD for M 31. However, the shape of the
distribution is essentially unchanged if we limit the analysis to the
subset
of clusters having errors in metallicity lower than
dex (132 clusters; dotted histogram in the upper panel of Fig. 15). Figure 16
shows that the difference between the MDs of the two galaxies cannot be
ascribed to spurious effects due to our calibration, as it can be
re-conduced to genuine differences in the observable [MgFe].
The MD of M 31 GCs do not present any obvious structure
like the bimodality encountered in the GC system of the MW.
Nevertheless the distribution for M 31 clusters does not seem to
be well represented by a single Gaussian distribution. Large errors on
individual metallicities should
contribute to wiping out real structures, not to producing spurious
ones. The hypothesis of a multimodal underlying distribution has been
compared with a unimodal representation using the parametric
KMM test (Ashman et al. 1994),
which compares the fits to the MD made with one or more Gaussian
distributions. A two-component model with modes at [Fe/H] =
-1.54 and [Fe/H] = -0.64 is preferred to the unimodal case at the
99.1% confidence level (homoscedastic case) and at the
98.7% c.l. in the heteroscedastic case with peaks at [Fe/H] =
-1.79 and [Fe/H] = -0.76. A three-component model with modes
at
,
-0.89, and -1.72 is also preferable to the unimodal one
(99.8% c.l., in the homoscedastic case, and 99.6% c.l., in
the heteroscedastic case with peaks at [Fe/H] = -1.77,
[Fe/H] = -0.80 and [Fe/H] = -0.01), and nearly equivalent to
the bimodal representation, from a statistical point of view. The
preference of bi- and three- modal models over the unimodal case
remains even if we consider the subset of clusters with the lowest
metallicity errors described above. While clearly not conclusive, the
above analysis suggests that there may be actual structures in the MD
of M 31 GCs, in close
agreement with the conclusions reached by Barmby et al. (2000), P02, Pz05, Fan et al. (2008) and Lee et al. (2008).
5.2 Metallicity and kinematics
Figure 17 shows the
positional and kinematical properties of M 31 GCs divided
into three groups according to their metallicity, i.e. a metal
poor (MP) group (
), a metal intermediate (MI) group (
), and a metal rich (MR) group (
). The left panels of Fig. 17 show the spatial distribution of the considered clusters in the canonical X, Y projected coordinate system (see Galleti et al. 2004, and references therein), with X
along the major axis of the galaxy. In the right panels the radial
velocity of the clusters (in the reference frame of M 31) is
plotted versus the X coordinate and compared with the rotation curve of the HI disk from Carignan et al. (2006).
It is quite clear from the inspection of Fig. 17 that the MR and MI subsamples display a significant rotation pattern, similar to the rotation curve of neutral hydrogen disk of M 31. The MR clusters are more densely packed near the center of the galaxy and appear to follow the HI curve more closely, whereas the MI clusters display a larger dispersion. MR clusters are likely associated with the prominent bulge of M 31.
The MP clusters show a much larger velocity dispersion at any
distance from the center of the galaxy; in spite of that, they
follow a significant rotation pattern in the same sense as the other
clusters. Dividing the MP sample at X=0, we find (M 31-centric) average velocities of
km s-1 and
km s-1 for the clusters with X>0 and X<0, respectively; the difference in the median velocities is even greater, as
km s-1 and
km s-1, for the two subsets. Finally if the VM 31 distributions of the X>0 and X<0
MP clusters are compared with a Kolmogorov-Smirnov test, it
turns out that the probability that the two samples are drawn from the
same distribution of
is
just 0.2%. In Sect. 3.4 we have shown that our sample should
be reasonably clean from
spurious sources (as for instance young massive clusters, which could
be misclassified as metal-poor GCs and would follow the rotation
pattern of the thin disk they belong to, see Fusi Pecci et al. 2005),
so we conclude that the rotation pattern of MP clusters is
probably real. However, an ultimate conclusion on this (relevant)
issue could only be achieved when the actual nature of a significant
subsample of MP clusters had been confirmed beyond any doubt from
the CMD of their individual stars.
The above results agree with what was previously found by P02 and Lee et al. (2008),
among others. A more detailed discussion of these correlations
between kinematics and metallicity is beyond the scope of the present
paper, but we address the interested reader to the thorough discussion
by Lee et al. (2008). Here we simply want to draw attention on five of the six MR clusters lying at
(labeled in Fig. 17).
B001, B398, and B403 show no correlation with the overall rotation
pattern. On the other hand, B292D, and B457 lie straight on the flat
branch of the HI rotation curve in spite of being more than
kpc
away from all the other MR clusters (except B398 and B403, of
course). These five objects clearly deserve new observations with
high S/N spectra to verify both their metallicity
and their radial velocity. If confirmed, their odd positions and
kinematics would require an interpretation. Moreover, B403 and B407
(labeled in the MI panel of Fig. 17, and having
0.15) have very similar position and velocity (differing by
km s-1). The case of these two relatively metal-rich clusters in the outer halo of M 31 is discussed in more detail in
Perina et al. (2009a)
.
M.B. acknowledge the financial support of INAF through the PRIN2007 grant CRA 1.06.10.04. We are very grateful to P. Barmby and K. Perrett for providing their unpublished data for M 31 GCs. This research has made use of NASA's Astrophysics Data System Bibliographic Services. We would like to thank the anonymous referee for his/her careful reading of the manuscript and helpful comments.
References
- Armandroff, T. E., & Zinn, R. 1988, AJ, 96, 92 [NASA ADS] [CrossRef]
- Ashman, K. M., Bird, C. M., & Zepf, S. E. 1994, AJ, 108, 2348 [NASA ADS] [CrossRef]
- Barmby, P., Huchra, J. P., Brodie, J. P., et al. 2000, AJ, 119, 727 [NASA ADS] [CrossRef] [B00]
- Beasley, M. A., Brodie, J. P., Strader, J., et al. 2004, AJ, 128, 1623 [NASA ADS] [CrossRef] [B04]
- Beasley, M. A., Brodie, J. P., Strader, J., et al. 2005, AJ, 129, 1412 [NASA ADS] [CrossRef]
- Bonoli, F., Delpino, F., Federici, L., & Fusi Pecci, F. 1987, A&A, 185, 25 [NASA ADS]
- Brodie, J. P., & Hanes, D. A. 1986, ApJ, 300, 258 [NASA ADS] [CrossRef]
- Brodie, J. P., & Huchra, J. P. 1990, ApJ, 362, 503 [NASA ADS] [CrossRef] [BH90]
- Brodie, J. P., & Huchra, J. P. 1991, ApJ, 379, 157 [NASA ADS] [CrossRef]
- Brodie, J. P., & Strader, J. 2006, ARA&A, 44, 193 [NASA ADS] [CrossRef]
- Brown, T. M., Ferguson, H. C., Smith, E., et al. 2004, ApJ, 613, L125 [NASA ADS] [CrossRef]
- Bruzual, G., & Charlot, S. 2003, MNRAS, 344, 1000 [NASA ADS] [CrossRef] [BC03]
- Burstein, D., Faber, S. M., Gaskell, C. M., & Krumm, N. 1984, ApJ, 287, 586 [NASA ADS] [CrossRef]
- Burstein, D., Li, Y., Freeman, K. C., et al. 2004, ApJ, 614, 158 [NASA ADS] [CrossRef]
- Buzzoni A. 1989, ApJS, 71, 817 [NASA ADS] [CrossRef] (see also: http://www.bo.astro.it/ eps/home.html for the latest model update)
- Buzzoni, A. 1995a, ApJS, 98, 69 [NASA ADS] [CrossRef]
- Buzzoni, A. 1995b in Fresh views of elliptical galaxies, ed. A. Buzzoni, A. Renzini, & A. Serrano (San Francisco: ASP), ASP Conf. Ser., 86, 189
- Buzzoni, A., Gariboldi, G., & Mantegazza, L. 1992, AJ, 103, 1814 [NASA ADS] [CrossRef]
- Buzzoni, A., Mantegazza, L., & Gariboldi, G. 1994, AJ, 107, 513 [NASA ADS] [CrossRef]
- Caldwell, N., Caldwell, N., Harding, P., et al. 2009, AJ, 137, 94 [NASA ADS] [CrossRef]
- Cardelli, J. A., Clayton, G. C., & Mathis, J. S. 1989, ApJ, 345, 245 [NASA ADS] [CrossRef]
- Cardiel, N., Gorgas, J., Cenarro, J., & Gonzalez, J. J. 1998, A&AS, 127, 597 [NASA ADS] [EDP Sciences] [CrossRef]
- Carignan, C., Chemin, L., Huchtmeier, W. K., et al. 2006, ApJ, 641, L109 [NASA ADS] [CrossRef]
- Carretta, E., & Gratton, R. G. 1997, A&AS, 121, 95 [NASA ADS] [EDP Sciences] [CrossRef]
- Carretta, E., Bragaglia, A., Gratton, R., & Lucatello, S. 2008, in Chemical Evolution of Dwarf Galaxies and Stellar Clusters [arXiv:0811.3591]
- Cohen, J. G. 1983, ApJ, 270, 654 [NASA ADS] [CrossRef]
- Cohen, J. G., Blakeslee, J. P., & Ryzhov, A. 1998, ApJ, 496, 808 [NASA ADS] [CrossRef]
- Cohen, J. G., Blakeslee, J. P., & Côté, P. 2003, ApJ, 592, 866 [NASA ADS] [CrossRef]
- Colucci, J. E., Bernstein, R. A., Cameron, S., et al. 2009, ApJ, 704, 385 [CrossRef]
- Faber, S. M. 1973, ApJ, 179, 731 [NASA ADS] [CrossRef]
- Faber, S. M., Friel, E. D., Burstein, D., & Gaskell, C. M. 1985, ApJS, 57, 711 [NASA ADS] [CrossRef]
- Fan, Z., Ma, J., de Grijs, R., & Zhou, X. 2008, MNRAS, 385, 1973 [NASA ADS] [CrossRef]
- Frogel, J. A., Persson, S. E., & Cohen, J. G. 1980, ApJ, 240, 785 [NASA ADS] [CrossRef]
- Fusi Pecci, F., Buonanno, R., Cacciari, C., et al. 1996, AJ, 112, 1461 [NASA ADS] [CrossRef]
- Fusi Pecci, F., Bellazzini, M., Buzzoni, A., et al. 2005, AJ, 130, 554 [NASA ADS] [CrossRef]
- Galleti, S., Federici, L., Bellazzini, M., et al. 2004, A&A, 416, 917 [NASA ADS] [EDP Sciences] [CrossRef]
- Galleti, S., Federici, L., Bellazzini, M., et al. 2006a, A&A, 456, 985 [NASA ADS] [EDP Sciences] [CrossRef]
- Galleti, S., Federici, L., Bellazzini, M., et al. 2006b, ApJ, 650, L107 [NASA ADS] [CrossRef]
- Galleti, S., Bellazzini, M., Federici, L., et al. 2007, A&A, 471, 127 [NASA ADS] [EDP Sciences] [CrossRef]
- Girardi, L., Bressan, A., Bertelli, G., & Chiosi, C. 2000, A&A, 354, 892 [NASA ADS]
- González, J. J. 1993, Ph.D. Thesis
- Gratton, R. G., Fusi Pecci, F., Carretta, E., et al. 1997, ApJ, 491, 749 [NASA ADS] [CrossRef]
- Gratton, R., Sneden, C., & Carretta, E. 2004, ARA&A, 42, 385 [NASA ADS] [CrossRef]
- Harris, G. L. H., Geisler, D., Harris, H. C., & Hesser, J. E. 1992, AJ, 104, 613 [NASA ADS] [CrossRef]
- Harris, W. E. 1996, AJ, 112, 1487 [NASA ADS] [CrossRef] (see also: http://physwww.physics.mcmaster.ca/ harris/mwgc.dat for catalog update February 2003)
- Holland, S., Fahlman, G. G., & Richer, H. B. 1997, AJ, 114, 1488 [NASA ADS] [CrossRef]
- Huchra, J. P., Brodie, J. P., & Kent, S. 1991, ApJ, 370, 495 [NASA ADS] [CrossRef] [H91]
- Ibata, R., Martin, N. F., Irwin, M. J., et al. 2007, ApJ, 671, 1591 [NASA ADS] [CrossRef]
- Isobe, T., Feigelson, E. D., Akritas, M. G., & Babu, G. J. 1990, ApJ, 364, 104 [NASA ADS] [CrossRef]
- Jablonka, P., Courbin, F., Meylan, G., et al. 2000, A&A, 359, 131 [NASA ADS]
- Lee, M. G., Hwang, H. S., Kim, S. C., et al. 2008, ApJ, 674, 886 [NASA ADS] [CrossRef]
- MacArthur, L. A. 2005, ApJ, 623, 795 [NASA ADS] [CrossRef]
- Mackey, A. D., Huxor, A., Ferguson, A. M. N., et al. 2007, ApJ, 655, L85 [NASA ADS] [CrossRef]
- Mackey, A. D., Ferguson, A. M. N., Irwin, M. J., et al. 2009, MNRAS, in press [arXiv:0909.1456]
- McWilliam, A. 1997, ARA&A, 35, 503 [NASA ADS] [CrossRef]
- Mendel, J. T., Proctor, R. N., & Forbes, D. A. 2007, MNRAS, 379, 1618 [NASA ADS] [CrossRef]
- Perrett, K. M., Bridges, T. J., Hanes, D. A., et al. 2002, AJ, 123, 2490 [NASA ADS] [CrossRef] [P02]
- Perina, S., Federici, L., Bellazzini, M., et al. 2009a, A&A, 507, 1375 [EDP Sciences] [CrossRef]
- Perina, S., Cohen, J. G., Barmby, P., et al. 2009b, A&A, accepted[arXiv:0911.3166]
- Press, W. H., Teukolsky, S. A., Vettering, W. T., & Flannery, B. B. 1992, Numerical Recipes in FORTRAN, Second edition
- Pritzl, B. J., Venn, K. A., & Irwin, M. 2005, AJ, 130, 2140 [NASA ADS] [CrossRef]
- Puzia, T. H., Perrett, K. M., & Bridges, T. J. 2005, A&A, 434, 909 [NASA ADS] [EDP Sciences] [CrossRef] [Pz05]
- Renzini, A., & Fusi Pecci, F. 1988, ARA&A, 26, 199 [NASA ADS] [CrossRef] [RFP88]
- Renzini, A., & Buzzoni, A. 1986, in Spectral evolution of galaxies (Dordrecht: D. Reidel Publishing Co.), 195
- Rich, R. M., Corsi, C. E., Cacciari, C., et al. 2005, AJ, 129, 2670 [NASA ADS] [CrossRef]
- Schiavon, R. P., Rose, J. A., Courteau, S., et al. 2005, ApJS, 160, 163 [NASA ADS] [CrossRef] [S05]
- Schlegel, D. J., Finkbeiner, D. P., & Davis, M. 1998, ApJ, 500, 525 [NASA ADS] [CrossRef]
- Sneden, C. 2005, IAU Symp., 228, 337 [NASA ADS] [CrossRef]
- Tantalo, R., & Chiosi, C. 2004, MNRAS, 353, 405 [NASA ADS] [CrossRef]
- Tantalo, R., & Chiosi, C. 2004, MNRAS, 353, 917 [NASA ADS] [CrossRef]
- Thomas, D., Maraston, C., & Bender, R. 2003, MNRAS, 339, 897 [NASA ADS] [CrossRef] [TMB]
- Thomas, D., Maraston, C., & Korn, A. 2004, MNRAS, 351, 19 [NASA ADS] [CrossRef]
- Trager, S. C., Worthey, G., Faber, S. M., et al. 1998, ApJS, 116, 1 [NASA ADS] [CrossRef] [T98]
- Trager, S. C., Faber, S. M., Worthey, G., & González, J. J. 2000, AJ, 119, 1645 [NASA ADS] [CrossRef]
- van den Bergh, S. 1969, ApJS, 19, 145 [NASA ADS] [CrossRef]
- Worthey, G. 1994, ApJS, 95, 107 [NASA ADS] [CrossRef]
- Worthey, G. 1996, ASPC, 98, 467 [NASA ADS]
- Worthey, G., & Ottaviani, D. L. 1997, ApJS, 111, 377 [NASA ADS] [CrossRef]
- Worthey, G., Faber, S. M., Gonzalez, J. J., & Burstein, D. 1994, ApJS, 94, 687 [NASA ADS] [CrossRef]
- Zinn, R. 1985, ApJ, 293, 424 [NASA ADS] [CrossRef]
- Zinn, R., & West, M. J. 1984, ApJS, 55, 45 [NASA ADS] [CrossRef] [ZW84]
Online Material
Appendix A: Homogeneous Lick indices in the T98 system for M 31 GCs
Table A.1: Lick indices for M 31 globular clusters from new observations (Sect. 3.1).
Table A.2: Lick indices M 31 globular clusters taken from literature sources and reported into the T98 system (Sect. 3.2).
Table A.3: Metallicities for M 31 globular clusters.
Appendix B: Spearman correlation matrix for Lick indices and metallicity
During the first phases of the present study we considered the largest set of Lick indices to search for the best candidates to be used as metallicity indicators for our scale. As a useful tool for this choice we computed the matrix of Spearman rank correlation coefficients (Press et al. 1992) for a set of indices in the T98 system and metallicity for Galactic GCs. Since this matrix can be of general interest, we present it here as Table B.1 below. It must be recalled that these correlations coefficients are computed using a sample of nearly-uniformly old stellar populations, so it refers only to classical old globulars.
Table B.1: Spearman rank correlation coefficients.
Footnotes
- ... Catalog
- Based on observations made at La Palma, at the Spanish Observatorio del Roque de los Muchachos of the IAC, with the William Herschel Telescope of the Isaac Newton Group and with the Italian Telescopio Nazionale Galileo (TNG) operated by the Fundación Galileo Galilei of INAF. Also based on observations made with the G.B. Cassini Telescope at Loiano (Italy), operated by the Osservatorio Astronomico di Bologna (INAF).
- ...
- Appendices are only available in electronic form at http://www.aanda.org
- ... clusters
- RBC Version 4 available at: www.bo.astro.it/M31
- ...respectively
- [Z/H] is defined as [Fe/H] + 0.94[
/Fe] taken
from Thomas et al. (2003; see also Trager
et al. 2000).
- ... clusters
- We also keep lists of targets previously suggested as candidate M 31 GCs and later found to be objects of different natures, like distant galaxies, foreground stars, regions HII etc., see Galleti et al. (2004,2007,2006a).
- ... S05#
- See http://www.noao.edu/ggclib
- ... P02
- Private communication.
- ... indices
- The transformation between wavelength and magnitude scale
can be performed with the equations:
(3)
(4)
where
and
define the red and blue boundaries of the feature passband.
- ... discussion)
- In Fusi Pecci
et al. (2005), to select clusters (possibly) younger
than 2 Gyr the selection criteria H
>
3.5 Å was adopted, using H
estimates from P02. However in the T98 system adopted here H
= H
Å
(Fig. 8),
hence the limit has been changed accordingly.
- ... future
- This will be possible on condition that the considered set of indices have enough clusters in common with our sample to obtain a good transformation of the indices into the T98 system.
- ...Barmby et al. (2000)
- Private communication.
- ... discrimination
- It is important to recall that our scale is not expected to strictly trace the abundance of iron. In fact, it is based on the ZW84 scale that, in turn, is based on the metallicities derived by Cohen (1983) from lines of various elements, including Mg (see Mendel et al. 2007, for a detailed discussion and references). Therefore it is likely a better proxy for the total metallicity than for the actual iron abundance.
- ...Perina et al. (2009a)
- Note Added in Proofs: after the
acceptance of the present paper, a work appeared presenting
metallicities of a few M 31 GCs from high resolution
integrated spectra (Colucci
et al. 2009). It is interesting to note
that for four of the five clusters in common, our [Fe/H] estimates
agree with those of Colucci
et al. (2009) to within <0.1 dex.
Our estimate for the fifth cluster (B358, which is in the deep
metal-poor regime in which our observables are less sensitive to
metallicity, see Sect. 2, above) is 0.36 dex higher
than what found by Colucci
et al. (2009), i.e.
0.19 vs.
0.03; however the difference is less than
.
It appears that our own scale and that based on high-resolution
spectroscopy introduced by these authors are in excellent
agreement. We note also that our metallicity estimate for the remote
M 31 cluster MGC1,
0.28 (Galleti et al. 2007),
is in excellent agreement with what recently obtained by Mackey et al. (2009) from
a high-quality CMD,
.
All Tables
Table 1: Linear fit coefficients to convert the Schiavon (S05) indices into the Lick system.
Table 2: Linear fit coefficients to convert the Beasley (B04) indices into the Lick system.
Table 3: Lick indices for MW GCs, computed with the passband definitions of Trager et al. (1998) and shifted in this system.
Table 4:
Correction terms of the transformation to match the Lick system for
WHT, Loiano, and TNG data in the sense
.
Table 5: Coefficient to transform the literature data (Pz05, B04, P02, and BH90) into the T98 system.
Table A.1: Lick indices for M 31 globular clusters from new observations (Sect. 3.1).
Table A.2: Lick indices M 31 globular clusters taken from literature sources and reported into the T98 system (Sect. 3.2).
Table A.3: Metallicities for M 31 globular clusters.
Table B.1: Spearman rank correlation coefficients.
All Figures
|
Figure 1: Comparison of passband measurements from S05 spectra and original Lick data for 8 Galactic GCs. Dashed lines show the least-square fit relations. |
| Open with DEXTER | |
| In the text | |
|
Figure 2: Comparison of the metallicity line indices adopted with the B04 values transformed to the T98 system (T98 data: open circles; S05 data: filled circles). The rms of the distributions are also reported. |
| Open with DEXTER | |
| In the text | |
|
Figure 3: The adopted calibrations for Mg2 and [MgFe] vs. [Fe/H] (continuum lines) superposed on the accounted set of Galactic GCs from T98 (dots), S05 (squares), and B04 (triangles). The shaded regions at super-solar metallicity are the envelope of the theoretical predictions from several SSP models, as discussed in the text. A comparison between the empirical metallicities and ZW84 with the mean differences and rms are also reported in the lower panels. The dashed lines enclose the rms. The color figures are available in the electronic edition. |
| Open with DEXTER | |
| In the text | |
|
Figure 4:
|
| Open with DEXTER | |
| In the text | |
|
Figure 5:
(upper panel) - Mg2 index distribution of the MW GCs (symbols are the same as Fig. 3) compared to the stellar population models of
Buzzoni (1995a,1989), Worthey et al. (1994), Girardi et al. (2000) (labeled as ``Padova''
on the plot), Bruzual & Charlot (2003, ``B&C''), Tantalo & Chiosi (2004b, ``TMK''). An age of 12 Gyr is assumed throughout, with solar [ |
| Open with DEXTER | |
| In the text | |
|
Figure 6: Comparison of Lick indices measurements from WHT, Loiano, TNG after transformation and T98, for the clusters in common. The dotted lines enclose the range of the rms. In AF2/WYFFOS data for Fe5335 we have not considered B178 in the fit data. In Loiano and TNG data we have not considered B193. |
| Open with DEXTER | |
| In the text | |
|
Figure 7: Comparison of the literature metallicity indices transformed into the T98 system (according to Table 5) with T98 data. Dashed lines show the rms. |
| Open with DEXTER | |
| In the text | |
|
Figure 8:
Comparison of the H |
| Open with DEXTER | |
| In the text | |
|
Figure 9:
Comparison of the metallicities from P02 with H91 and B00 in the left panel and from P02 with Pz05 in the right panel. The solid line indicates the one-to-one relation. The dotted lines in the lower panel mark the |
| Open with DEXTER | |
| In the text | |
|
Figure 10: Comparison of our empirical metallicities of M 31 GCs with P02 and H91. The solid line indicates the one-to-one relation. The dotted lines in the lower panel enclose the rms. Error bars have been omitted in the panels for clarity. |
| Open with DEXTER | |
| In the text | |
|
Figure 11: Comparison of our empirical metallicities of M 31 GCs with those obtained from (V-K)0, using the calibrations by Barmby et al. (2000) and adopting two different sets of reddening estimates: Barmby et al. (2000) ( left) and Fan et al. (2008) ( right). The solid line indicates the one-to-one relation; in the lower panels, the dotted lines enclose the rms. |
| Open with DEXTER | |
| In the text | |
|
Figure 12: M 31 clusters empirical metallicities vs. the [Fe/H] values derived by Puzia et al. (2005) ( left panel) and Beasley et al. (2005) ( right panel) from SSP model fitting (see text, Sect. 4.2). |
| Open with DEXTER | |
| In the text | |
|
Figure 13: The same as Fig. 12, but using [Z/H]. |
| Open with DEXTER | |
| In the text | |
|
Figure 14: [Fe/H] estimates from
CMDs of individual clusters (from good quality HST photometry)
compared with the metallicities derived in the present analysis. The
mean offset |
| Open with DEXTER | |
| In the text | |
|
Figure 15: Metallicity histograms for the M 31 ( top) and the MW ( bottom) GC systems. Dashed lines in the lower plot are the Gaussian curves in the best-fit model as found by the KMM algorithm for two subpopulations (Fe/H] = -1.60 and -0.59 dex). |
| Open with DEXTER | |
| In the text | |
|
Figure 16: [MgFe] distribution for M 31 GCs ( upper panel) and the MW GCs ( lower panel). |
| Open with DEXTER | |
| In the text | |
|
Figure 17: Left panels: spatial distribution of three metallicity groups GCs in M 31. The ellipses have a semimajor axis of 15, 30, 45, 60 arcmin. Right panels: radial velocities vs. the projected distances along the major axis (X). The solid line shows an HI rotation curve from Carignan et al. (2006). |
| Open with DEXTER | |
| In the text | |
Copyright ESO 2009
Current usage metrics show cumulative count of Article Views (full-text article views including HTML views, PDF and ePub downloads, according to the available data) and Abstracts Views on Vision4Press platform.
Data correspond to usage on the plateform after 2015. The current usage metrics is available 48-96 hours after online publication and is updated daily on week days.
Initial download of the metrics may take a while.
![\begin{figure}
\par\includegraphics[height=8cm,width=8cm,clip]{12583fg1.ps}
\end{figure}](/articles/aa/full_html/2009/48/aa12583-09/Timg18.png)
![\begin{figure}
\par\includegraphics[height=8cm,width=8cm,clip]{12583fg2.ps}
\end{figure}](/articles/aa/full_html/2009/48/aa12583-09/Timg19.png)
![\begin{figure}
\par\hspace*{2mm}\includegraphics[width=8cm,clip]{12583fg3a.ps}\vspace*{3mm}
\includegraphics[width=7.8cm,clip]{12583fg3b.ps}
\end{figure}](/articles/aa/full_html/2009/48/aa12583-09/Timg32.png)
![\begin{figure}
\par\includegraphics[height=8cm,width=8cm,clip]{12583fg4.ps}
\end{figure}](/articles/aa/full_html/2009/48/aa12583-09/Timg33.png)
![\begin{figure}
\par\includegraphics[width=7.5cm,clip]{12583fg5.ps}
\end{figure}](/articles/aa/full_html/2009/48/aa12583-09/Timg34.png)
![\begin{figure}
\par\includegraphics[height=6.5cm,width=7.5cm,clip]{12583fg6a.ps}...
...raphics[height=6.5cm,width=7.5cm,clip]{12583fg6c.ps}
\vspace*{-2mm}
\end{figure}](/articles/aa/full_html/2009/48/aa12583-09/Timg37.png)
![\begin{figure}
\par\includegraphics[height=13.6cm,width=13.6cm,clip]{12583fg7.ps}
\end{figure}](/articles/aa/full_html/2009/48/aa12583-09/Timg40.png)
![\begin{figure}
\par\includegraphics[height=8.5cm,width=8cm,clip]{12583fg8.ps}
\end{figure}](/articles/aa/full_html/2009/48/aa12583-09/Timg49.png)
![\begin{figure}
\par\includegraphics[height=7.2cm,width=8.5cm,clip]{12583fg9.ps}
\end{figure}](/articles/aa/full_html/2009/48/aa12583-09/Timg53.png)
![\begin{figure}
\par\includegraphics[height=8.1cm,width=8.5cm,clip]{12583fg10.ps}
\vspace*{5mm}
\end{figure}](/articles/aa/full_html/2009/48/aa12583-09/Timg54.png)
![\begin{figure}
\par\includegraphics[height=8.1cm,width=8.5cm,clip]{12583fg11.ps}
\end{figure}](/articles/aa/full_html/2009/48/aa12583-09/Timg60.png)
![\begin{figure}
\par\includegraphics[height=8.1cm,width=8.5cm,clip]{12583fg12.ps}
\end{figure}](/articles/aa/full_html/2009/48/aa12583-09/Timg64.png)
![\begin{figure}
\par\includegraphics[height=8.1cm,width=8.5cm,clip]{12583fg13.ps}
\end{figure}](/articles/aa/full_html/2009/48/aa12583-09/Timg65.png)
![\begin{figure}
\par\includegraphics[height=7.7cm,width=8cm,clip]{12583fg14.ps}
\end{figure}](/articles/aa/full_html/2009/48/aa12583-09/Timg66.png)
![\begin{figure}
\par\includegraphics[height=7.5cm,width=7.5cm,clip]{12583fg15.ps}
\end{figure}](/articles/aa/full_html/2009/48/aa12583-09/Timg67.png)
![\begin{figure}
\par\includegraphics[height=7.5cm,width=7.5cm,clip]{12583fg16.ps}
\end{figure}](/articles/aa/full_html/2009/48/aa12583-09/Timg71.png)
![\begin{figure}
\par\includegraphics[height=12.5cm,width=13cm,clip]{12583fg17.ps}
\end{figure}](/articles/aa/full_html/2009/48/aa12583-09/Timg72.png)