| Issue |
A&A
Volume 508, Number 3, December IV 2009
|
|
|---|---|---|
| Page(s) | 1539 - 1569 | |
| Section | Numerical methods and codes | |
| DOI | https://doi.org/10.1051/0004-6361/200912598 | |
| Published online | 04 November 2009 | |
A&A 508, 1539-1569 (2009)
Low-temperature gas opacity
ÆSOPUS: a versatile and quick computational tool
P. Marigo1 - B. Aringer2,3
1 - Department of Astronomy, University of Padova, Vicolo
dell'Osservatorio 3, 35122 Padova, Italy
2 - Astronomical Observatory of Padova - INAF, Vicolo dell'Osservatorio
5, 35122 Padova, Italy
3 - Department of Astronomy, University of Vienna, Türkenschanzstraße
17, 1180 Wien, Austria
Received 29 May 2009 / Accepted 27 October 2009
Abstract
We introduce a new tool - ÆSOPUS: Accurate Equation of State and
OPacity Utility Software - for computing the equation of state and the
Rosseland mean (RM) opacities of matter in the ideal gas phase. Results
are given as a function of one pair of state
variables, (i.e. temperature T in the range
,
and parameter
in
the range
),
and arbitrary chemical mixture. The chemistry is
presently solved for about 800 species, consisting of
almost 300 atomic and 500 molecular species. The gas
opacities account for many continuum and discrete sources, including
atomic
opacities, molecular absorption bands, and collision-induced
absorption. Several tests made on ÆSOPUS have proved that the new
opacity tool is accurate in the results,
flexible in the management of the input prescriptions, and agile in
terms of computational time requirement. Purpose of this work is to
greatly expand the public availability
of Rosseland mean opacity data in the low-temperature regime.
We set up a web-interface (http://stev.oapd.inaf.it/aesopus) which
enables the user to compute and shortly retrieve RM opacity tables
according to his/her specific needs, allowing a full
degree of freedom in specifying the chemical composition
of the gas. As discussed in the paper, useful applications may regard,
for instance, RM opacities of
gas mixtures with i) scaled-solar abundances of metals, choosing among
various solar
mixture compilations available in the literature;
ii) varying CNO abundances, suitable for evolutionary models of red
and asymptotic giant branch stars and massive stars in the Wolf-Rayet
stages;
iii) various degrees of enhancement in
-elements, and
C-N, O-Na, and Mg-Al abundance anti-correlations, necessary to
properly describe the properties of stars in early-type galaxies and
Galactic globular clusters; iv) zero-metal abundances appropriate for
studies of gas opacity in
primordial conditions.
Key words: equation of state - atomic processes - molecular processes - stars: abundances - stars: atmospheres - stars: AGB and post-AGB
1 Introduction
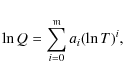
In a gas under conditions of local thermodynamical equilibrium (LTE) and in the limit of the diffusion approximation (DA), the solution to the radiation transfer equation simplifies and the total flux of radiation F as a function of radius r is given by:
|
(1) |
where T is the gas temperature,
first introduced by Rosseland (1924), defines the Rosseland mean opacity
Both LTE and DA conditions are usually met in the stellar
interiors, where collisions dominate the thermodynamic state of matter,
the photon mean free-path is much shorter than the typical scale length
of the temperature gradient, and the
Kirchoff's law applies with the source function being the Planckian.
However, in the outermost layers of a star the photon mean-free path
may become
so long that the DA conditions break down, thus invalidating the use of
the RM opacity.
In these circumstances, a straight arithmetic average of the
monochromatic absorption coefficient (Eddington 1922),
designated with
,
Planck mean (PM) opacity:
may be more suitable to represent the absorption properties of the gas in a simplified version of the radiation transport equation (e.g. Helling et al. 2000).
Both RM and PM opacities are frequency-integrated averages, so
that they
only depend on two independent state variables, e.g.
temperature Tand density
(or pressure P), and the chemical
composition of the gas.
In stellar evolution models it is common practise to describe
the absorption properties of matter with the RM opacity
formalism, adopting
pre-computed static tables of
which
should encompass a region of the
bi-dimensional space T-
wide enough to cover all possible
values met across the stellar structure during the evolution, from the
atmosphere down to the central core.
The chemical composition is usually specified by a set of abundances,
e.g.: the total metallicity Z, the hydrogen
abundance X, and the
partitions
of heavy elements in the mixture, which depend on the specific case
under
consideration. Frequent choices are assuming solar partitions
,
or deriving
from
other constraints such as the enhancement in
-elements
(expressed by the ratio
), or the
over-abundances in C and O necessary to describe the hydrogen-free
chemical profile in He-burning regions.
In the literature several authors have calculated
for
different combinations of the state variables and chemical
composition. Let us limit here to briefly recall the most relevant
efforts, i.e. those
mainly designed for supplying the scientific community with extended
and continuously updated RM opacity databases.
In the high-temperature regime, i.e.
,
calculations of RM opacities are mainly provided by two independent
teams, namely:
the Opacity Project (OP) international collaboration coordinated
by Seaton (Seaton 2005,
and references therein); and the
Opacity Project at Livermore (OPAL) being carried on by Iglesias,
Rogers
and collaborators (see Iglesias & Rogers 1996, and
references
therein). Both groups have set up a free web-access to their
RM opacity
calculations, via either a repository
of static tables and/or source routines, or an interactive web mask
where the user can specify the input parameters and run the
calculations in real time.
In the low-temperature regime,
,
widely-used RM opacity tables are those provided by the
research group of the Wichita State University (Ferguson
et al. 2005,
and references therein).
A web page hosts an archive of static RM opacity tables, for both
scaled-solar and
-enhanced
mixtures, which cover a wide range of metallicities including the Z=0
case.
It should be acknowledged the large body of work made by Kurucz, who
provides, via web or CD-ROMs, all necessary atomic and molecular data
as well as FORTRAN codes to calculate
(see
Kurucz 1993a,b,c),
in the temperature interval
,
for scaled-solar and
-enhanced
mixtures.
More recently, Lederer & Aringer (2009) have
calculated and made available
via the VizieR Service a large catalogue of RM opacity tables
for C- and
N-rich compositions, with the purpose to supply RM opacity data
suitable for the modelling of asymptotic giant branch (AGB) stars.
Helling & Lucas (2009)
have produced a set of gas-phase Rosseland and Planck mean opacity
tables for various metallicities, C/O and N/O ratios. It is
due mentioning also the recent paper by Sharp & Burrows (2007), who provide
an exhaustive and useful review on the thermochemistry, techniques, and
databases needed to calculate atomic and molecular opacities at
low temperatures.
Despite the undeniable merit of all these works, the public
access to low-temperature RM opacities
still needs to be widened to account for the miscellany of chemical
patterns - mostly relating to the photosphere
of stars - that modern spectroscopy is bringing to our knowledge with
an ever-growing richness of details, and also to allow
the exploration of possible opacity changes driven by any hypothetical
chemical composition.
The peculiar abundance features in the atmospheres of AGB stars (e.g.
McSaveney et al. 2007;
Smith et al. 2002);
the
-enhanced
abundance pattern of stellar populations belonging to globular clusters
(e.g. Gratton et al. 2004)
and elliptical galaxies (e.g. Clemens et al. 2006, 2009);
the large carbon overabundance and other chemical anomalies of the
so-called
carbon-enhanced metal-poor stars in the Galaxy (e.g. Beers &
Christlieb 2005);
the striking C-N, O-Na and Mg-Al abundance anti-correlations exhibited
by stars in Galactic globular clusters (e.g. Carretta et al. 2005); the
chemical composition of the primordial gas after the Big Bang
nucleosynthesis (e.g. Coc et al. 2004): these are a
few among the most remarkable examples.
In this framework, purpose of our work is to greatly expand the availability of RM opacity data in the low-temperature regime, by offering the scientific community an accurate and flexible computational tool, able to deliver RM opacities tables on demand, and with a full freedom in the specification of the chemical mixture.
To this aim, we have developed the ÆSOPUS tool (Accurate
Equation of State and
OPacity Utility Software), which consists of two fundamental parts: one
computes the equation of state (EOS)
of matter in the gas phase, and the other evaluates the total
monochromatic
coefficient,
,
as sum of several opacity sources, and then computes
the Rosseland mean.
The EOS is solved for
800
chemical species, including
neutral atoms, ions, and molecules. The RM opacities take into account
several true (continuum and discrete) absorption and scattering
processes.
An interactive web-interface (http://stev.oapd.inaf.it/aesopus) allows
the user to run Æ SOPUS according to his/her specific
requirements just by setting the input parameters (T-R grid,
reference solar composition, total metallicity, abundance of each
chemical species)
on the web mask.
The paper is organised as follows.
Section 2
specifies the bi-modular structure of ÆSOPUS.
In Sect. 2.1
we illustrate the basic ingredients necessary
to set up and solve the equation of state. Numerical aspects are
detailed in Appendix A.
Section 2.2
indicates the opacity sources included in the evaluation of the
total monochromatic absorption coefficient.
The Rosseland mean is presented in
Sect. 2.2.1,
with details on the computing-time requirements provided in
Sect. 2.2.2.
Complementary information on the frequency integration is given in
Appendix B.
The formalism introduced to describe the different ways the RM opacity
tables can be arranged, as a function of the state variables and
chemical composition, is outlined in Sect. 3. In
Sect. 4
we analyse five relevant cases of RM opacity calculations,
characterised by different chemical patterns,
namely: scaled-solar elemental abundances (Sect. 4.1), varying CNO
abundances (Sect. 4.2),
-enhanced
mixtures (Sect. 4.3),
mixtures with peculiar C-N-O-Na-Al-Mg abundances (Sect. 4.4), and
metal-free compositions (Sect. 4.5).
Appendix C
specifies the general scheme adopted to construct
non-scaled-solar mixtures.
Final remarks and indications of future developments of this work are
expressed
in Sect. 5.
2 The ÆSOPUS code
2.1 Equation of state
The equation of state quantifies the distribution of available particles in the unit volume, in the form of neutral and ionised atoms, electrons, and molecules. At low temperatures (In our computations the EOS is solved for atoms and molecules in the gas phase, under the assumption of an ideal gas in both thermodynamic equilibrium (TE) and instantaneous chemical equilibrium (ICE). This implies that the abundances of the various atomic and molecular species depend only on the local values of temperature and density, regardless of the specific mechanisms of interaction among them.
Solving a chemical equilibrium problem requires three general steps. First, one must explicitly define the gas system in terms of its physical and thermodynamic nature. For example, the classical problem in chemical equilibrium computations is to calculate the state of a closed system of specified elemental composition at fixed temperature T and pressure P. The nature of the physical-chemical model determines the set of governing equations to be used in computations. The second step is to manipulate this original set of equations into a desirable form, to reduce the number of unknowns and/or to fulfil the format requirements of the adopted computation scheme. The third step is to solve the remaining simultaneous equations, usually be means of iterative techniques (see, for instance, Tsuji 1963).
Rather than solving sets of equations, the equilibrium computation can be formulated as an optimisation problem, such as solving the so-called classical problem by minimising the calculated free energy of the system (Mihalas et al. 1988). An alternative approach, based on the neural network technique, has been recently proposed by Asensio Ramos & Socas-Navarro (2005).
In this study we adopt the Newton-Raphson iteration scheme to solve the chemical equilibrium problem of a gas mixture with assigned chemical composition, pressure P (or density) and temperature T. The adopted formalism and solution method are detailed below.
2.1.1 Equilibrium relations
Under the ICE approximation, the gas species obey the equilibrium
conditions set by the dissociation-recombination and ionisation
processes.
Generally speaking, the chemical interactions in the gas
between species A and Bmay
involve the simple dissociation-recombination process
in which both forward and reverse reactions proceed at the same rate. In the above equation A or B may be an atom, molecule, ion or electron. Of course one may postulate more complicated chemical interactions such as
or
but these can ultimately be reduced to Eq. (4), in the forms of simple dissociation-recombination reactions, i.e.
From statistical mechanics we know that for any species A and B in equilibrium with their compound AB (usually a molecule), the number densities nA, nB, and nAB are related by the Guldberg-Waage law of mass action:
where KAB(T) is the dissociation constant or equilibrium constant of species AB, which depends only on temperature. It is expressed with
where
In the identical framework we can consider positive ionisation
and recombination processes:

Again, species A is taken in the general sense and can be either a molecule or a single atom, and the superscript +r (or +r+1) denotes its ionisation stage.
These processes can be described through the corresponding
equilibrium or ionisation constant:
which is explicitly given in the form of the Saha equation
Here
The same formalism with r=-1 can be
applied to account for the electron-capture negative ionisation
which is assigned the equilibrium constant
and the Saha equation:
where IA- corresponds to the electron affinity, i.e. the energy released when an electron is attached to a neutral atom or molecule.
Where ionisation of diatomic and polyatomic molecules is considered, there are at least three energy-equivalent ways of forming positive molecular ions:
- 1)
-

- 2)
-

- 3)
-

where the dissociation energy is given by DAB+=DAB+IA-IABand IAB is the ionisation energy of the molecule AB.
In the case of negative molecular ions and assuming that
dissociation of AB produces A-
and B (hence
IB-
< IA-),
we can extend the same formalism of Eq. (12) to calculate
the dissociation constant:
where the dissociation energy is now DAB-=DAB+IAB--IA-, and IAB- denotes the electron affinity of AB, or equivalently, the neutralisation energy of AB-.
2.1.2 Conservation relations
In addition to the equilibrium relations (dissociation-recombination and ionisation), there exist three additional types of equations that will completely determine the concentrations of the various species of the plasma, namely: i) conservation of atomic nuclei for each chemical species, ii) charge neutrality; and iii) conservation of the total number of nuclei.Let us denote with
the
number of chemical
elements,
the number of molecules (neutral and ionised), and
the
total number of species under
consideration (neutral and ionised atoms and molecules).
Indicating with
the number density of nuclei of type
(occurring in atoms, ions and molecules), and
its
fractional abundance
with respect to the total number density of nuclei
(both in
atoms and bound into molecules), then the conservation of nuclei
requires that
each atomic species
(not a molecule)
fulfils the equation
In the right-hand side member,
Charge neutrality requires that
where we include all appropriate atomic and molecular ions, with both positive and negative electric charges. For each species Ai, the total number of free electrons is evaluated by means of the second internal summation extended up to pz, which corresponds to the highest positive ionisation stage. Negative ionisation produces a loss of free electrons, which explains the minus preceding the last summation.
Finally, the necessary normalisation is given by the ideal gas
law, so that the total number density
of all particles
obeys the relation:
where the summation includes all molecules and atoms (neutral and ionised). The number density of each atomic species,
The foregoing set of Eqs. (5) through (17) are sufficient for problem solution, as illustrated in the following.
2.1.3 Solution to the ICE problem
The solution to the chemical equilibrium problem in ÆSOPUS is based in large part on source code available under the GPL from the SSynth project (http://sourceforge.net/projects/ssynth/) that is developed by Alan W. Irwin and Ana M. Larson. Basic thermodynamic data together with a few FORTRAN routines were adopted with the necessary modifications, as detailed below.2.1.4 Thermodynamic data
From the SSynth package we make use, in particular, of the whole compilation of internal partition functions, ionisation and dissociation energies. Each species (atomic and molecular) is assigned a set of fitting coefficients of the polynomial formbased mostly on the works by Irwin (1981, 1988) and Sauval & Tatum (1984). In most cases the degree of the polynomials is five (
The partition functions for the C to Ni group have
been
re-calculated with the routine pfsaha of the
ATLAS12 code (Kurucz
1993a),
varying the temperature from 5000 to
20 000 K in steps of
100 K. The partition functions of the 15 rare earth
elements
belonging to the Lanthanoid series, from La to Lu, have been
re-computed
with the routine pfword from the UCLSYN spectrum
synthesis code
(Smith & Dworetsky 1988)
incrementing the temperature from 6000 to 30 000 K in
steps of
100 K. This revision was motivated by the substantial changes
in the energy levels
of the earth-rare elements introduced in more recent years
(Alan Irwin, private communication; see e.g. Cowley et al. 1994). We have
verified that, the UCLSYN partition functions for third spectra of the
Lanthanides are in close
agreement with the data presented in Cowley et al. 1994, while the
results from ATLAS12 or Irwin's (1981) compilation are usually lower,
in some cases by up to a factor of two (e.g. for Ce+3
and Tb+3).
The partition function for FeH is given from Dulick et al. (2003) over a
temperature range from 1000 to 3500 K in steps of
100 K.
Then, for all the revised species, we have obtained the fitting
coefficients of Eq. (18)
by the method of least-squares fitting. In most cases the best fitting
is achieved with a
parameter
lower than 10-4.
For H3+ we use the
original fitting polynomial provided by Neale & Tennyson (1995).
In total, our database of partition functions consists of
species,
including
300 atoms
(neutral and ionised) from H to U, and
molecules.
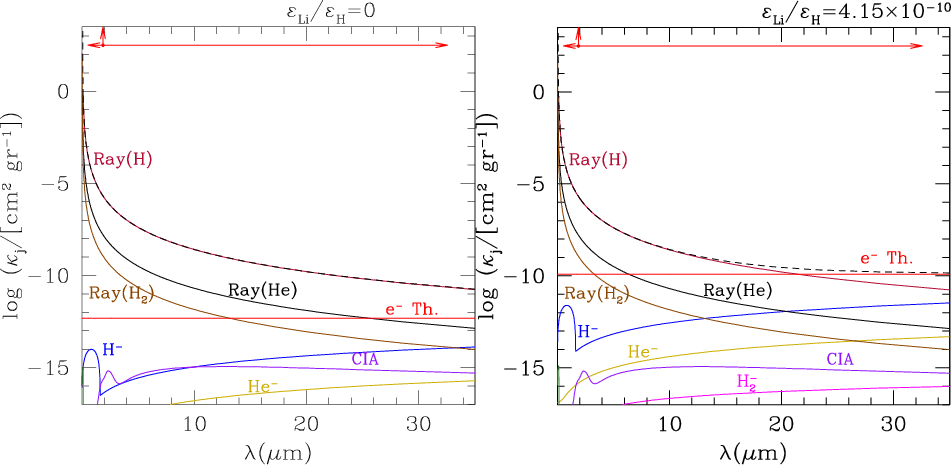
Table 1: Scattering and absorption processes involving H and He nuclei, considered in this work.
2.1.5 Method
First we need to specify the list of atoms, ions and molecules which should be considered, together with the values of gas pressure P, temperature T and chemical abundancesIt is worth remarking that the EOS in ÆSOPUS can easily deal with any chemical mixture, including peculiar cases such as zero-metallicity (Z=0) or hydrogen-free (X=0) gas. In general, no convergence problem has been encountered within the assumed ranges of the state variables.
In place of the gas pressure P, it is also
possible to specify the gas density
.
In this case a second external iteration cycle is switched on according
to a root-finding numerical scheme. At each
iteration a new value Pi
is assigned to the pressure and the EOS is solved yielding the
corresponding
,
where
is the mean
molecular weight in units of atomic mass
.
The process is repeated until the difference
decreases
below a specified tolerance
.
In our computations we adopt
,
and convergence is reached typically after 3-4 iterations.
2.2 Opacity
In our computations we consider the following continuum opacity processes- Rayleigh scattering;
- Thomson scattering;
- bound-free absorption due to photoionisation;
- free-free absorption;
- collision-induced absorption (CIA);
- atomic bound-bound absorption,
- molecular band absorption.
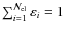
where nj is the number density of particles of type j,
Tables 1 and 2 detail the whole compilation of the scattering and absorption processes considered here.
The monochromatic opacity cross sections for atoms (except for H and He), taken from the OP database, are interpolated in frequency, temperature and electron density, according to the formalism described in Seaton et al. (1994) and Seaton (2005). They include all radiative continuum and discrete opacity processes. Line broadening is taken into account as the result of thermal Doppler effects, radiation damping and pressure effects.
The monochromatic molecular absorption coefficient caused by each of the different species included in our code is taken from opacity sampling (OS) files produced for the selected frequency grid (see Sect. 2.2.2 and Appendix B), that are in most cases calculated directly from the corresponding line lists (see Table 2). The only exceptions are C2H2 and C3 for which we use already existing pre-computed opacity sampling data.
Table 2: Data sources for the atomic and molecular monochromatic absorption coefficients.
Where line lists are adopted, the absorption cross section of a spectral line, involving the bound-bound transition from state m to state n, is evaluated with the relation:with e and
with a Doppler width
where m is the mass of the molecule, and
In summary, to generate the molecular OS files directly
from the line lists, prior to the execution of ÆSOPUS, we proceed as
follows.
For each value of a selected set of temperatures, (13 values in the
range 600 K
K),
the monochromatic absorption coefficient of a molecular species
at a given wavelength point,
,
is obtained by adding up the contributions of all the lines in the list
with the corresponding broadening functions taken into account:
|
(24) |
where each term
2.2.1 The Rosseland mean
Once the total monochromatic opacity coefficient is obtained by summing up all the contributions of true absorption and scattering
|
(25) |
then the Rosseland mean opacity, classically defined by Eq. (2) is conveniently calculated with (see e.g. Seaton et al. 1994):
where
In the above equations
In practise, the numerical integration of Eq. (26) requires to
specify two finite (lower and upper) limits, u1
and u2, and the grid of
frequency points.
The choice of the limits must guarantee the covering of the relevant
wavelength region
for the weighting function
/
,
so as to include its maximum and
the declining wings.
In this respect it useful to recall that, in analogy with the
Wien's displacement law for the Planck function, the wavelength
of
the the maximum of
is
inversely proportional
to the temperature according to
It follows that the maximum of the function
In our calculations we adopt the integration limits
and
,
corresponding to the wave numbers
cm-1
and
cm-1,
and wavelengths
m and
m,
respectively.
We have verified that these values largely satisfy the condition of
spectral coverage of the
weighting function over the entire temperature range,
,
here considered.
2.2.2 The frequency grid and computing time
Since in our calculations a number of crucial opacity sources, i.e. molecular absorption bands, are included as OS data, it is convenient to specify, prior of computations, a grid of frequency points, which should be common to both the OS treatment and the numerical integration of Eq. (2). The frequency distribution will be determined as a compromise between the precision (and accuracy) of the integration and the speed of calculations.For this purpose we employ the algorithm by Helling &
Jørgensen (1998),
that was developed to optimise the frequency distribution in the
opacity
sampling technique when dealing with a small number of frequency
points.
We performed a few tests adopting frequency grids with decreasing size,
namely with
and
149 frequency points. More details are given in
Sect. B.
The results discussed in the following sections refer to the grid with
points,
which has proved to yield reasonably accurate RM opacities.
Besides the quality of the results, another relevant aspect is
the computing time.
With the present choice of the frequency grid, i.e.
points,
generating one table at fixed
chemical composition, arranged with the default grid of the state
parameters (T and R, see
Sect. 3.1),
i.e. containing
opacity
values, takes
s
with a 2.0 GHz processor.
Adopting other frequency grids would require shorter/longer computing
times,
roughly
s
for
;
s for
;
s for
;
and
s for
.
These values prove that ÆSOPUS is indeed a quick computational tool,
which has made it feasible, for the first time, the setup of a
web-interface (http://stev.oapd.inaf.it/aesopus)
to produce low-temperature RM opacity tables on demand and in short
times.
The main reason of such a fast performance mainly resides in the optimised use of the opacity sampling method to describe molecular line absorption, and the adoption of pre-tabulated absorption cross-sections for metals (available from the Opacity Project website). In this way the line-opacity data is extracted (e.g. from line lists and the OP database) and stored in a convenient format before the execution of ÆSOPUS, thus avoiding to deal with huge line lists during the opacity computations. This latter approach is potentially more accurate, but extremely time-consuming (e.g. F05).
Moreover the improvement in accuracy that would be achievable
with the on-the-fly treatment of the line lists is in principle reduced
when adopting a frequency grid for integration which is much sparser
(e.g.
104
frequency points as in F05) than the dimension of the line
lists (up to 107
- 108 line transitions).
On the other hand, as shown by our previous tests and also by F05,
while the computing time scales
almost linearly with the number of frequency points,
the gain in precision does not, so that the RM opacities are found to
vary just negligibly beyond a certain threshold
(see also Helling et al. 1998, and
Appendix B).
All these arguments and the results discussed in Sects. 4.1.1 support
the indication that the agile approach adopted in ÆSOPUS is suitable to
produce RM opacities with a very favourable accuracy/computing-time
ratio.
3 Opacity tables: basic parameters
Tables of RM opacities can be generated once a few input parameters are specified, namely: the chemical composition of the gas, and the bi-dimensional space over which one pair of independent state variables is made vary.3.1 State variables
Under the assumption of ideal gas, described by the law
|
(29) |
one must specify one pair of independent state variables. Usual choices are, for instance,
An advantage of using the R parameter, instead of
or P,
is that the opacity tables can cover rectangular regions
of the (R, T)-plane,
without the nasty voids over extended temperature
ranges that would come out if intervening changes in the EOS are not
taken into account (e.g. transition from ideal to degenerate
gas).
Interestingly, as pointed out by Mayer & Duschl (2005; see their
Appendix D),
different R values correspond to different
gas/radiation
pressure ratios,
.
The relation between
and
is linear,
with larger R values corresponding to
larger
,
i.e. an increasing
importance of
against
.
Moreover, we notice that the equality
takes
place in the range at
,
assuming a mean molecular weight varying in the interval
.
In Fig. 1
we also plot the quantity
,
a parameter frequently used by stellar evolutionists.
In this respect Fig. 1 illustrates the
rectangular region
covered by our RM opacity tables in the
diagram,
defined by the intervals
and
.
We note that the table area lies in the domain of the ideal gas, and it
extends into the region dominated by radiation pressure for
.
Non ideal effects related to electron degeneracy, Coulomb coupling of
charged particles, and pressure ionisation of atoms are expected to
become dominant outside the table boundaries, in the domain of
high-density plasmas.
It is important to remark that our RM opacity tables can be
easily extended to higher temperatures,
,
with the RM opacity data provided by OPAL and OP. As a matter of fact
the agreement between
our results and OPAL is good in the overlapping transition region, say
(see
Sect. 4.1.1
and panel c) of Fig. 7).
|
Figure 1:
Location of our RM opacity tables in the
|
| Open with DEXTER | |
Within the aforementioned limits of the state variables, the
interactive web mask enables the user to freely
specify the effective ranges of
and
of interest as well as
the spacing of the grid points
and
.
From our tests it turns out that a good sampling of the main opacity
features
can be achieved with
for
and
for
,
and
.
In any case, the choice should be driven by consideration of two
aspects, i.e. maximum memory allocation, and accuracy of the adopted
interpolation scheme.
3.2 Chemical composition
It is specified in terms of the following quantities:- The reference solar mixture;
- The reference metallicity
;
- The hydrogen abundance X;
- The reference mixture;
- The enhancement/depression factor fi of each element (heavier than helium), with respect to its reference abundance.
Table 3: Compilations of the solar chemical composition adopted in the computation of the EOS and gas opacities.
Table 4:
Main characteristics of the
-enhanced mixtures described
in text.
Let us indicate with
the
number of metals, i.e. the chemical elements heavier than helium,
with atomic number
.
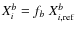
Each metal is characterised by an abundance Xi
in mass fraction and, equivalently, an abundance
in
number
fraction, respectively defined as:
where Ni is the number density of nuclei of type i with atomic mass Ai, and
We assign each metal species the variation factors, fi
and gi,
relative to the reference mixture:
The reciprocal relations between Xi and
as well as those between fi and gi for metals:
We have verified that
In principle, the reference chemical mixture can be any
given chemical composition. Frequent choices are, for instance,
mixtures with scaled-solar partitions of metals, or with enhanced
abundances of
-elements.
The ÆSOPUS code is structured to allow large freedom
in specifying the reference mixture.
For simplicity, in the following we will adopt the solar mixture as the
reference composition, so that the reference metal abundances are
with clear meaning of the symbols. The partitions,
|
Figure 2: Fractional abundances of elements, with nuclear charge Zi=6-30, normalised to the solar metallicity according to various compilations, as indicated. |
| Open with DEXTER | |
According to the notation presented by Annibali et al. (2007), the chemical elements can be conveniently divided into three classes depending on the sign of fi (or gi) , namely:
- enhanced elements with fi>1 (or gi>1);
- depressed elements with fi<1 (or gi<1);
- fixed elements with fi=1 (or gi=1).
- selected elements with
(or
)
- 1.
- Case
.
The enhancement/depression factors fiof
the selected elements
produce a net increase/depletion of total metal content relative to the
reference metallicity
.
The actual metallicity is calculated directly with
.
In this case all
variation factors fi
can be freely specified without any additional constrain.
- 2.
- Case
.
The enhancement/depression factors produce non-scaled-solar partitions
of metals, while the total reference
metallicity
is to be preserved.
This constraint can be fulfilled with various schemes, e.g. by properly
varying the total abundance of all other non-selected elements
so as to balance the abundance variation
of the selected group. For instance, if the
selected elements have all fi
>0, so that
we refer to them as enhanced group, then the whole
positive abundance variation should be compensated by the negative
abundance variation of the complementary depressed group.
Another possibility is to define a fixed group of
elements whose abundances should not be varied, hence not involved in
the balance procedure; in this case the preservation of the metallicity
is obtained by properly changing the abundances of a lower number of
atomic species among the non-selected ones.
In principle, the quantities fi can be chosen independently for up to a maximum of
elements,
while the remaining factor
is bound by the
condition. A simple practise is to assign the same factor to all the
elements
belonging to the selected group, either enhanced
or depressed, as frequently done for
-enhanced
mixtures. In this respect more details can be found in Sect. 4.3.
The latter case (
)
corresponds, for instance, to chemical mixtures with a scaled-solar
abundance of CNO elements
,
but different ratios e.g.
,
,
and
.
Alternatively, if we consider the abundances in number fractions, the
condition,
,
may describe the surface composition of an intermediate-mass star after
the second dredge-up on the
early AGB, when products of complete CNO-cycle are brought up to the
surface.
In this case the total number of CNO catalysts does not change, while
C and O have been partly converted to 14N.
Another example may refer to
- enhanced mixtures with
different [
/Fe] > 0
but the same metal content Z.
Finally, it should be noticed that, once the actual metallicity Z is determined, in both cases the normalisation condition implies that the helium abundance is given by the relation Y=1-X-Z.
4 Results
In the following sections we will discuss a few applications of the new opacity calculations, selecting those ones that may be particularly relevant in the computation of stellar models. For completeness, our results are compared with other opacity data available in the literature.4.1 Scaled-solar mixtures
Let us first illustrate the case of scaled-solar mixtures, which will
serve
as reference for other compositions. As an example, Fig. 3 visualises
the tri-dimensional plot of one
opacity table calculated over the whole
parameter
space for a
given chemical mixture. The latter is characterised by (X=0.7;
;
;
fi=1, for
)
according to the notation introduced
in Sect. 3,
meaning that all metal abundances
are scaled-solar.
One can see that the grid of the state variables (i.e.
for
,
and
for
;
)
is sufficiently dense to allow a smooth variation
of
all over the parameters space,
which is a basic requirement for
accurate interpolation.
Different opacity sources dominate the total
in
different regions
of the
plane. Roughly speaking, we may say that the
continuous and atomic opacities prevail at higher temperatures, while
molecular
absorption plays the major rôle for
.
It has been known for long time (see e.g. Alexander 1975),
for instance, that the prominent opacity bump peaking
at
in Fig. 6
is mainly due to the strong absorption of H2O molecular
bands.
To delve deeper into the matter
it is instructive to look at Figs. 4 and 5, which
illustrate the basic ingredients affecting the RM opacity and their
dependence on wavelength, temperature and density.
Figure 4
displays the spectral behaviour of the monochromatic opacity
coefficient per unit mass,
,
of several absorption and scattering processes, as defined by
Eqs. (19),
(20).
We consider three representative values of the temperature (i.e.
)
and
three choices of the R variable (i.e.
),
for a total of nine panels
that should sample the main opacity domains. For each temperature, we
also indicate in Fig. 4
the
spectral range most relevant for the Rosseland mean, by marking the
wavelength,
, at which
the Rosseland weighting function reaches its maximum value (given by
Eq. (28)),
and the
interval across which it decreases by a factor 1/e.
At larger temperatures, i.e.
and
m
(top panels), the total monochromatic coefficient is essentially
determined
by the Thomson e- scattering at very
low gas densities (see the top-left panel for
), while the
H opacity (bound-bound, bound-free, and free-free transitions) plays
the major rôle
at large
.
Next to hydrogen, some non-negligible contribution comes from atomic
absorption
at shorter wavelengths.
At intermediate temperatures, i.e.
and
m
(middle panels), Thomson e- scattering
again controls the total absorption coefficient at the lowest
densities, whereas at increasing
the most significant opacity sources are due to metals and H- absorption
(electron photo-detachment for
m
and free-free transitions).
|
Figure 3:
Rosseland mean opacity as a function of variables T
and R over the
entire parameter space considered in our calculations.
The adopted composition
is assumed to have |
| Open with DEXTER | |
|
Figure 4:
Monochromatic absorption coefficients for several opacity
sources as a function of the wavelength, for three values
of the temperature and three values of the R variable,
as indicated. The chemical composition
is defined by |
| Open with DEXTER | |
|
Figure 5:
Top panels: concentrations of various
chemical species as a function of temperature,
for three values of the R parameter, as
indicated.
Bottom panels: contributions of different
opacity sources (both continuous and line-absorption
processes) to the total RM opacity.
Each curve corresponds to
|
| Open with DEXTER | |
At lower temperatures, i.e.
and
m
(bottom panels),
the molecular absorption bands (mainly of H2O,
VO, TiO, ZrO, CO) dominate the total absorption coefficient at any gas
density except for very low values,
where the spectral gaps between the molecular bands are filled in with
the Thomson e- scattering
coefficient. Due to its harmonic character, the Rosseland mean opacity
emphasises
just these opacity holes, so that the total
for
and
will be
mostly determined by the Thomson e- scattering,
with a smaller
contributions from molecules.
This fact becomes more evident with the help of Fig. 5, which provides complementary information on both the chemistry of the gas, and the characteristic temperature windows of different opacity sources. Results are presented as a function of temperature for three values of the parameter R.
As for the chemistry (top panels of Fig. 5), we
show the concentrations of
a few species, selecting them among those that are opacity
contributors, while leaving out all other chemicals to avoid
over-crowding in the plots (we recall that ÆSOPUS solves the chemistry
for
species).
It is useful to remark a few important features, namely: i) at lower
temperatures molecular formation becomes more
efficient at increasing density, ii) the most abundant molecule is
either carbon monoxide (CO) thanks to its high binding energy at low
and intermediate densities, or molecular hydrogen (H2)
at higher
densities; iii) the electron density
is essentially supplied by H ionisation down to temperatures
,
below which the
main electrons donors are nuclei with low-ionisation potentials, such
as: Mg, Al, Na, Si, Fe, etc. (see Fig. 22 and
Sect. 4.3
for more discussion of this point).
The bottom panels display the contributions of several
absorption/scattering processes to the total
RM opacity. This is done by considering, for a given source j,
the ratio
,
where
is
the reduced RM opacity obtained by including all
opacity sources but for the
itself.
At very low densities, i.e.
(left-hand
side
panel of Fig. 5)
the most important opacity source, all over the temperature
range under consideration, is by far
Thomson scattering from free electrons. Note that at lower temperatures
a relatively important contribution is provided by Rayleigh scattering
from neutral hydrogen, while the rôle of molecules is marginal since at
these low densities molecular formation is inefficient.
Different is the case with
(middle
panel of Fig. 5).
We can distinguish three main opacity domains as a function of
temperature.
At lower temperatures, say for
,
molecules completely rule the opacity, with H2O
being the dominant source
for
.
Additional modest contributions come from metal oxides, such as TiO,
VO, YO, and SiO. Note that, though for C/O < 1
the chemistry is dominated by O-bearing
molecules, there is a small opacity bump due to CN at
.
At intermediate temperatures,
,
the most important rôle is
played by the H- continuum opacity, which in
turn depends on the availability of
free electrons supplied by ionised metals. Additional opacity
contributions are provided by
Thomson scattering from electrons and Rayleigh scattering from neutral
hydrogen.
At larger temperatures,
,
the total RM opacity is
determined mostly by the b-f and f-f continuous absorption from
hydrogen, with further contributions from b-b transitions of H and
atomic opacities.
In the high density case with
(right-hand side panel of
Fig. 5),
the opacity pattern is similar to the
one just described, with a few differences.
The most noticeable ones are the sizable growth of the H-
opacity bump in the intermediate temperature window, and the increased
importance of the H lines at higher temperatures.
Finally, we close this section by examining the sensitiveness
of the
RM opacity to the underlying reference solar mixture. Figure 6 shows an example
of our opacity calculations made adopting a few solar abundances
compilations available in the
literature. They are summarised in Table 3.
The largest differences are expected for
,
where the RM opacity is dominated by the opacity bump caused
by the
H2O molecule, whose amplitude is extremely
sensitive to the excess of oxygen with respect to carbon, hence to the
C/O ratio.
In fact, we notice that the opacity curves corresponding
to GN93, GS98, L03, GAS07, and C09 lie rather close
one to each other, just
reflecting the proximity of their C/O ratios (
0.5-0.6; see
Table 3).
For the same reason, the RM opacity predicted
at
with the H01 solar mixture is roughly 50
lower, given
the higher C/O ratio (
0.7).
Some differences in RM opacity are also expected in the
interval,
which is affected
mainly by the CN molecular bands and the negative hydrogen ion
H-.
We see in Fig. 6
that most of the results split into two curves:
the opacities based on L03 and GAS07 (and partly also C09) are
higher than those
referring to GN93 and GS98 solar mixtures.
In this case the differences are not caused by the CN molecule, but
rather reflect the differences in the electron density. As one can
notice in Fig. 2,
L03, GAS07 (and C09) compilations correspond to higher solar
partitions,
,
of those elemental species
that mostly provide the budget of free electrons at these
temperatures, such as: Mg, Si, Ca, and Fe (see also Fig. 22).
As a consequence, the H- opacity is strengthened
in comparison to the
GN93 and GS98 cases.
On the other hand, the opacity curve corresponding to the H01 mixture
lies somewhere
in the middle. This is the indirect result of the larger C/O ratio
(i.e. more carbon is available)
which favours a larger concentration, hence opacity contribution,
of the CN molecule in this temperature window.
The arguments developed here indicate that the expression ``standard solar composition'' should be always specified explicitly together with its reference compilation and not taken for granted, since significant differences arise in the RM opacities depending on the adopted solar mixture.
|
Figure 6:
Rosseland mean opacity as a function of temperature and assuming |
| Open with DEXTER | |
4.1.1 Comparison with other authors
As a next step we checked our opacity results against tabulated RM data made publicly available from other authors. In Fig. 7 we show eight representative comparisons, based on: the widely-used and well-tested database set up by the Wichita State University group, i.e. Alexander & Ferguson (1994), Ferguson et al. 2005 (hereafter also F05); the recent data by Lederer & Aringer 2009 (hereafter also LA09) stored in the VizieR service; the RM data available in the Robert L. Kurucz' homepage, and the OPAL and OP data computed via their interactive web-masks. The R and T intervals are different depending on the source considered. For instance, the comparisons with the OPAL and OP opacities cover the range fromIn general we can conclude that the check is quite
satisfactory in all cases
under examination, as
our opacity values agree with the reference data mostly within
0.05 dex,
with the largest differences
reaching up to ![]()
0.10-0.20 only in narrow
regions.
Let us start discussing the comparison with Alexander
& Ferguson (1994)
and
Ferguson et al. (2005),
illustrated in panels from a) to d) assuming various
reference solar compositions.
First we notice that the small magenta areas in the upper-left corners
of the four panels are not included in the test, since at those
densities and temperatures dust is expected
to condensate
,
whereas our EOS describes the matter in the gas phase.
Besides this, in all cases the agreement between the opacity
data of the Wichita State University group and ÆSOPUS is very good for
,
the differences
being mostly comprised within
0.05 dex throughout the Rrange.
For
the deviations between F05 and ÆSOPUS
appear to grow with a systematic trend, i.e.
,
at increasing R. Anyhow, the variations
are not dramatic, the biggest values arriving at
-0.15/-0.20.
This result is not surprising since this is just
the region where molecular absorption dominates, so that the predicted
RM opacity is sensitive to differences in the treatment of the
molecular line opacities (line
lists, broadening, adopted frequency grid, etc.).
This applies also when comparing different releases of the
same database as it is illustrated, for instance, by panels a) and b)
relative to the
data of the Wichita State University group.
We notice that where ÆSOPUS exhibits the best agreement
(<0.05 dex) with Alexander & Ferguson (1994) at
and
,
the largest differences (
0.15 - 0.20 dex)
show up instead in the comparison with F05
for the same set of abundances. In this respect, we expect that much of
the discrepancy between
F05 and ÆSOPUS for
is
due to
the different molecular line data adopted for water vapour, i.e.
Partridge & Schwenke (1997)
and Barber et al. (2006),
respectively.
Support to the above interpretation is found when comparing
panel c) and e), the latter showing the
check of ÆSOPUS results against Lederer & Aringer (2009) for the
L03 solar mixture. As we see the agreement here is quite fair
all over the
diagram, even in the low-T
corner dominated by
H2O, VO, and TiO absorption, where larger
differences with F05
(panel c) arise. As a matter of fact, in ÆSOPUS we adopt
essentially the same
molecular data as in LA09, so that a good
match is in principle expected.
|
Figure 7:
Comparison between our RM opacity results and those provided
by other authors, in terms of
|
| Open with DEXTER | |
Finally, let us briefly comment on the bottom panels (g and h) of
Fig. 7,
relative to two data sets, OP and OPAL,
which are widely used to describe the RM opacity of the gas in the
high-T regions,
say for
.
The comparison with ÆSOPUS in the overlapping interval,
,
is really
excellent, so that the OP and OPAL opacity tables may be smoothly
complemented in the low-T regime with
Æ SOPUS calculations.
|
Figure 8:
Predicted RGB tracks described by a
|
| Open with DEXTER | |
|
Figure 9:
Predicted AGB tracks described by a
|
| Open with DEXTER | |
4.1.2 Tests with stellar models
The numerical differences in
between
different authors, illustrated
in previous Sect. 4.1.1,
assume a physical meaning when one analyses their impact on the models
in which the Rosseland mean opacities are employed.
As already mentioned in Sect. 1, the largest
astrophysical use of pre-tabulated
is
in the field of stellar evolution models to describe, in particular,
the thermodynamic structure of
the most external layers including the atmosphere.
While it is beyond the scope of this paper to perform a
detailed analysis of the effects
of low-T opacities on stellar structure and
evolution, we consider here two illustrative cases, i.e. the predicted
location in the H-R diagram of the Hayashi tracks described by
low-mass stellar models while evolving through the RGB and
AGB phases.
To investigate the differences in
brought about by
different choices of
low-T opacity tables, we have carried out numerical
integrations of a complete envelope model (basically the same as the
one included in the Padova stellar evolution code) which extends from
the atmosphere down to
surface of the degenerate core. The overall numerical procedure is
fully described in Marigo et al. (1996, 1998), and Marigo
& Girardi (2007),
so that it will not be repeated here.
The mixing-length parameter is assumed
.
As a matter of fact, it has long been known that the
atmospheric opacity is critical in determining
the position in the H-R diagram of a red-giant star (e.g.
Keeley 1970;
Scalo & Ulrich 1975).
We also recall that during the quiescent burning stages of both RGB and
AGB phases of a low-mass star the stellar luminosity is essentially
controlled by the mass of the central core (and the chemical
composition of the gas), being largely independent of the envelope
mass.
Adopting suitable core-mass luminosity relations available in the
literature, for given value of the core mass and chemical composition,
envelope integrations yield the effective temperature at the
corresponding luminosity. We have repeated this procedure increasing
the core mass - from
to
for the RGB and from
to
for the AGB - and adopting different opacity tables for
K.
The results for
and
models with Z=0.02,
X=0.7 are shown in Figs. 8 and 9 for the RGB
and AGB tracks respectively.
We have adopted low-T opacities from AF94, F05,
LA09, and ÆSOPUS, and two reference solar compositions, i.e. GN93
and L03. In all cases the computations with the opacities from
ÆSOPUS and from the Wichita State University group are in close
agreement, typically
being abs
dex
(ranging from
5 K
to
20 K)
and abs
dex
(ranging from
10 K
to
50 K).
The deviations from the results with LA09 opacities are somewhat
larger,
dex
(ranging from
50 K
to
100 K).
In this respect it should be recalled that in the
-range
considered here,
,
the main opacity contributors are the absorption by
H- and Thompson e- scattering
(the concentration of water vapour is still relatively low
even at the lowest temperatures; see Fig. 5), so
that differences in opacities are likely due to differences in the
description of the H- opacity, and/or in the
density of free electrons, which in turn may be affected by differences
in the partition functions of the ions with low-ionisation potentials.
Anyhow, the temperature differences among the RGB and AGB tracks are in
most cases lower than the current uncertainty affecting the
semi-empirical
-scale of F-G-K-M giants (
K; e.g. Ramírez
& Meléndez 2005;
Houdashelt et al. 2000).
|
Figure 10:
Comparison of RM opacities relative to two gas mixtures with
|
| Open with DEXTER | |
4.2 Varying C-N-O mixtures
In several situations Rosseland mean opacities for non-scaled solar abundances should be used. One of these cases applies, for instance, to stellar models in which the surface abundances of C, N, and O are altered via mixing and/or wind processes. A remarkable example corresponds to the TP-AGB phase of low- and intermediate-mass stars, whose envelope composition may be enriched with primary carbon (and possibly oxygen) via the third dredge-up, or with newly synthesised nitrogen by hot-bottom burning. As a net consequence, the abundances of C, N, and O as well as their abundance ratios may be significantly changed compared to their pre-TP-AGB values (Wood & Lattanzio 2003). Most critical is the variation of the surface C/O ratio, which controls the chemistry of the gas at the low temperatures typical of the atmospheres of AGB stars (e.g. Marigo 2002).
Indeed, one of the aims of the present work is to provide a flexible computational tool to generate RM opacities for any value of combination of the C-N-O abundances, hence C/O ratio.
Figure 10
shows clearly that big changes in
are
expected at low temperatures, say
,
when passing from an O-rich to a C-rich chemical mixture.
For instance, at
RM opacities of a gas with
become much larger than in the case with
at
lower densities,
,
while the trend is reversed at increasing density,
.
This fact is extremely important for the consequences it brings about
to the evolutionary properties of C stars (see e.g. Marigo &
Girardi 2007;
Cristallo et al. 2007;
Marigo et al. 2008;
Weiss & Ferguson 2009;
Ventura & Marigo 2009).
In this context we will analyse in detail the impact of changing the C/O ratio in a gas mixture, thus simulating the effect of the third dredge-up in TP-AGB stars.
|
Figure 11:
Concentrations of several gas species as a function of the
C/O ratio, in a gas mixture with
|
| Open with DEXTER | |
|
Figure 12:
The same as in Fig. 4,
but for gas mixtures with C/O = 0.97( upper
panels) and C/O = 1.30 ( bottom
panels) and |
| Open with DEXTER | |
4.2.1 Molecular chemistry: the key rôle of the C/O ratio
Figure 11 illustrates the abrupt change in the chemical equilibria when the C/O ratio passes from below to above unity, in a gas withThe existence of
In most cases the bond strength of CO mostly determines the
chemical equilibria:
as long as
,
the excess of oxygen atoms,
,
is available for the formation of O-bearing molecules - such as
SiO, H2O, TiO, VO, YO, etc. -, while as soon as
,
i.e. C/O > 1, the situation is reversed and
the excess of of carbon atoms,
,
takes part in C-bearing molecules such as CN, HCN, C2,
C2H2 , SiC, etc. This
also explains why, unlike the others, the abundances of the
molecules involving the carbon monoxide, like CO itself and HCO, show
a flat behaviour with the C/O ratio.
The situation is somewhat different in the transition
interval,
,
where the molecular pattern is controlled also by SiO, in addition
to CO.
The C, O, and Si atoms are now almost completely absorbed in
the CO and SiO monoxides,
which are the most abundant molecules, as shown in Fig. 11.
In other words, the excess of oxygen atoms over carbon is trapped in
the molecular bond with silicon, which accounts for the first
abundance drop of the other O-bearing molecules at C/O
0.93.
It is clear from Eq. (35) that the value
of (C/O)
depends on the assumed oxygen
and silicon abundances. In principle any
change in the ratio
would correspond to a different (C/O)
.
As a reference case, it is instructive to compare the results for
different choices of the solar
abundances. They are listed in Table 3.
Passing from the AG89 to the most recent GAS07 compilation, the C/O
decreases from
0.96
to
0.93,
implying that the transition from the O- to the C-dominated chemistry
takes place over a wider range
of the C/O ratio, i.e.
0.93-1
for GAS07 in place of
0.96-1.00 for AG89.
As we will see later in this section, the knowledge of this critical
ratio is of crucial importance since it
defines the onset of the transition between two chemical regimes, with
consequent dramatic effects on the corresponding RM opacities of the
gas (see for instance Figs. 15
and 16).
|
Figure 13: The same as in Fig. 5 but for gas mixtures with C/O = 0.97 ( upper panels) and C/O = 1.3 ( bottom panels), and zoomed into the molecule-dominated temperature region. Note the various opacity bumps of the C-bearing molecules in the C/O = 1.30 case, while comparable contributions from both O-rich and C-rich molecules are present in the C/O = 0.97 case. |
| Open with DEXTER | |
4.2.2 Opacity sources at increasing C/O ratio
The extreme sensitiveness of the molecular chemistry - forAt the same temperature and density, and for
C/O = 0.97 (upper-mid panel of Fig. 12)
the total coefficient
is, on
average, lower than in the other two cases, being mostly affected by
the absorption bands of CO, while the gaps in between are populated by
the weaker molecular bands of H2O, SiO, ZrO,
TiO, etc.
At lower densities (
;
upper-left panel of Fig. 12)
Rayleigh scattering from neutral H and Thomson scattering from free
electrons fill the spectral intervals
between the CO absorption bands, while at higher densities (
;
upper-right panel of Fig. 12)
the total monochromatic coefficient is
completely dominated by molecular absorption, with a sizable
contribution by CIA(
)
at
m, just in
correspondence of the maximum
of
the weighting function of the Rosseland mean (see Eq. (28)).
The sharp changes in the chemistry and monochromatic
coefficient
as a function of C/O impact as much strongly on the integrated
RM opacity
,
which is evident in Figs. 13-16.
For the same two C/O values considered above, Fig. 13 shows the
contributions of different opacity sources to the RM opacity
as a function of the temperature (and assuming
).
An instructive comparison with the results for a scaled-solar chemistry
can be done with the help of Fig. 5. In the
case with C/O = 0.97 (upper panels of Fig. 13) Rayleigh
scattering from hydrogen and Thomson
scattering from free electrons dominate for
,
becoming comparable with the molecular sources for
.
Moreover, we notice that at this C/O value, representing the
transition between different chemistry regimes, the opacity pattern is
quite
heterogeneous as it includes the contributions from both O-bearing and
C-bearing molecules.
For instance, we see that H2O is important at
lower temperatures, CN shows up at larger temperatures, while CO
contributes over a larger
temperature interval.
In the case with C/O = 1.3 (bottom panels of
Fig. 13)
the most noticeable features at different densities are the following.
At
and
the largest
contribution come from C3 (and CN, C2),
while at larger temperatures
the electron scattering dominates. At
the high and
broad opacity bump of CN that dominates the RM opacity over
a wide temperature interval,
,
while the C2H2
contribution is prominent for
.
In addition, other C-bearing molecules (C2, C3,
HCN, CO) provide
non-negligible contributions to the RM opacity.
Finally, at
the polyatomic molecule C2H2
is the most
efficient contributor to
for
,
while the hydrogen anion becomes prominent at higher temperatures.
The complex behaviour of the RM opacities as a function of the
C/O ratio is exemplified with the aid of
Fig. 14
for
,
the temperature range in which molecules become the most efficient
radiation absorbers. It turns out that while the C/O ratio increases
from 0.1 to 0.9 the opacity bump peaking at (
for
)
- mostly due to H2O - becomes more and more
depressed because of the smaller availability of O atoms. Then, passing
from C/O = 0.9 down to C/O = 0.95
the H2O feature
actually disappears and
drastically drops by more than two orders of magnitude.
In fact, at this C/O value the chemistry enters the transition
region
already discussed (see Fig. 11), so that
most of both O and C atoms are trapped in the CO molecule at
the expense of the other molecular
species, belonging to both the O- and C-bearing groups. At
C/O = 1 the RM opacity increases at the lowest
temperatures,
, while a sudden upturn is
expected as soon as C/O slightly exceeds unity, as displayed by the
curve for C/O = 1.05 in Fig. 14. This
fact reflects
the drastic change in the molecular equilibria from the O- to the
C-dominated regime.
Then, at increasing C/O (1.1, 1.2, 1.5, and 2.0) the
opacity curves
move upward following a more gradual trend, which is related with the
strengthening of the C-bearing molecular absorption bands.
|
Figure 14:
Rosseland mean opacity as a function of temperature, assuming
|
| Open with DEXTER | |
|
Figure 15:
Rosseland mean opacity as a function of the temperature and increasing
C/O.
adopting the GAS07 solar mixture, and assuming
|
| Open with DEXTER | |
|
Figure 16: The same as in Fig. 15, but zoomed into a narrower interval around C/O =1. The reference solar compositions are AG89 ( top panel) and GAS07 ( bottom panel). |
| Open with DEXTER | |
An enlightening picture of the dependence of the RM opacity on
the
C/O ratio is provided by Fig. 15,
which displays
the map of
at varying temperature and C/O, for
fixed
.
In this diagram the drop in opacity marking the transition region
between the O-rich and C-dominated opacity is neatly visible as a
narrow vertical strip of width
(assuming
GS98 as reference solar mixture)
for temperatures
.
This C/O range exactly coincides with the transition interval,
(C/O)
C/O
(C/O)
,
between the
O- and C-dominated chemistry.
As already mentioned, the lower limit C/O
is particularly sensitive to
the abundance of silicon relative to
oxygen. In respect to this, Fig. 16
shows an enlargement of the opacity map over a narrow interval around
C/O = 1, for two choices
of the reference solar composition, i.e. AG89 and GAS07.
It is evident that the opacity dip affects a larger C/O range in the
case of GAS07 as it corresponds to a higher ratio, (Si/O)
,
compared to AG89 with (Si/O)
.
Once chosen the reference solar mixture, one should take this feature
into account when computing RM opacity
tables at varying C/O ratio, in order to have a good sampling
of
the critical region, and avoid inaccurate interpolations between grid
points belonging to different regimes.
Going back to Fig. 15 we
also notice that in the
the
RM opacity increases with C/O. This fact is due to the
increasing contribution from the CN molecule, which is one of the
relevant opacity sources in this temperature interval
(see bottom-middle panel of Fig. 5 for
C/O = 0.54, and
Fig. 13
for C/O = 0.95 and C/O = 1.3). It
is worth remarking that the effect on the H-
opacity due to the increased carbon abundance is quite modest and only
affects
the opacity for
,
when ionised carbon is expected to provide some fraction of the
available free electrons (see Fig. 22).
A more exhaustive consideration of this point is given in
Sect. 4.3,
when discussing the case of
-enhanced mixtures.
For larger temperatures the differences in opacity at increasing
C/O progressively reduce and practically vanish
for
,
when the opacity is controlled by the hydrogen bound-free
and free-free transitions.
Let us now briefly comment the sensitiveness of the
results to the reference solar mixture. To this aim Fig. 17 illustrates
the trend of RM opacity as a function of the temperature in
a carbon-rich gas (C/O = 1.3) with the same
,
but
different choices of the solar composition.
The differences show up for
and
in most cases are
modest, thus confirming the key rôle of
the C/O ratio in determining the basic features of the
molecular opacities.
Another point which deserves some attention is the behaviour of the
RM opacity in the
interval, which is affected
mainly by the CN molecular bands and the negative hydrogen
ion H-. A detailed discussion of this
point has been already
developed in Sect. 4.1.
|
Figure 17:
Rosseland mean opacity as a function of the temperature in a
gas with |
| Open with DEXTER | |
4.2.3 Practical hints on interpolation
At given metallicity Z and partitions of the metal species Xi/Z, interpolation between pre-computed opacity tables is usually performed as a function of the state variables (e.g. T and R) and the hydrogen abundance X.When dealing with chemical mixtures with changing elemental abundances, as in the case of the atmospheres of TP-AGB stars, one has to introduce additional independent parameters, in principle as many as the varying chemical species.
Let us consider here the most interesting application, that is
the case of
TP-AGB stars which experience significant changes in the surface
abundances of CNO
elements, hence in the C/O ratio.
Suppose, for simplicity, to have a chemical mixture with
C/O > 1.
Correct interpolation requires that
not only the carbon abundance
is adopted as independent parameter, but also the C/O ratio
given its crucial
rôle in the molecular chemistry and opacity (see Figs. 11 and 14).
In addition, one should pay attention to the
drastic changes in
in the proximity of C/O = 1. The narrow opacity dip,
delimited by the boundaries C/O
and
C/O
(see Figs. 15,
16),
should be sampled with at least 1 or 2 opacity
tables, to avoid substantial mistakes in the interpolated values.
A useful example of an interpolation scheme suitable to treat
the complex chemical evolution predicted at the surface of
TP-AGB stars undergoing both the third dredge-up and
hot-bottom
burning can be found in Ventura & Marigo (2009), where the
grid
of pre-computed opacity tables covers wide ranges of
C-N-O abundances (and C/O ratio).
Following the formalism introduced in Sect. 3, the adopted
independent parameters (besides T, R
and X) are the variation factors
,
,
and
(defined
by Eq. (31)),
which are assigned values both >1
(i.e. enhancement) and <1 (i.e. depletion) to account for the
composite effect on the surface composition produced by the third
dredge-up and hot-bottom burning.
In fact, the C/O ratio may initially increase due to the
the third dredge-up and then decrease when hot-bottom burning consumes
carbon in favour of nitrogen.
Finally it should be remarked that, when dealing with C-rich
mixtures, adopting both
and
(rather than either
or
)
as independent parameters allows more robust results, since the
interpolation is piloted by both the actual carbon abundance (mainly
affecting the strength of the opacity curves)
and the actual C/O ratio (mainly influencing the morphology of
the
opacity curves; see Fig. 14).
|
Figure 18:
Comparison between our RM opacities and the data from Lederer &
Aringer (2009),
in terms of
|
| Open with DEXTER | |
4.2.4 Comparison with other authors
Finally, we close our discussion on the RM opacities for C-rich mixtures by comparing our results with the data calculated by Lederer & Aringer (2009. Figure 18 shows an example for a gas mixture characterised byIn the range
,
compared to Lederer & Aringer
(2009),
ÆSOPUS predicts larger RM opacities (up to 0.1/0.2 dex)
across a strip with
,
and lower values (up to
0.3 dex)
for
.
One likely motivation of the former difference is that the
scaling introduced by LA09 to the original gf
values in the C2 line list (Querci
et al. 1974)
is not included in our calculations. As discussed by LA09 (see their
Fig. 10)
not applying this correction to the line strengths of C2
causes an
increase of
up to
0.1 dex,
which is
just what we get in terms of
in
that particular region of the diagram.
On the other hand, more recently Aringer et al. (2009) have shown
that omitting this scaling modification to the original C2 line
list
improves the comparison between synthetic and observed colours of
carbon stars (see their Fig. 15).
The latter discrepancy between LA09 and ÆSOPUS at larger
densities has not a clear reason at present. We note that in this
region of the
diagram, the dominant contribution
to the RM opacity is provided by C2H2
(see bottom panels of Fig. 12).
We are currently investigating possible differences among the partition
function and/or dissociation energy of this molecule, adopted in the
EOS
calculations by LA09 and ÆSOPUS.
4.3
-enhanced
mixtures
We will analyse a few important aspects related to
RM opacities of
-enhanced
mixtures, i.e. characterised by having
,
according to the notation (in dex):
where
For simplicity in our discussion we take as selected elements all
First of all, we call attention to the fact that a given value
of the ratio
is not sufficient to specify
the chemical mixture unambiguously. The
same degree of
-enhancement
may correspond to quite different situations, as exemplified in the
following.
|
Figure 19:
Relation between the total metallicity
|
| Open with DEXTER | |
Adopting the formalism introduced
in Sect. 3
and introducing the quantity
(
),
we define three different
-enhanced compositions that,
in our opinion, may describe possibly frequent applications. They are
characterised as follows (considering the metal abundances
expressed in mass fractions):
- Mixture A:
hence
fZ=1;
fi
> 0 for
-elements
(enhanced group); fi
< 0 for any other element (depressed group).
In this case the fixed group (with fi
= 0) is empty.
- Mixture B:
hence
fZ=1;
fi
> 0 for
-elements
(enhanced group); fi
< 0 for the Fe-group elements (depressed group);
fi = 0
for
any other element (fixed group).
- Mixture C:
hence
fZ>1;
fi
> 0 for
-elements
(enhanced group); fi
< 0 for any other element (depressed group).
In this case the fixed group (with fi
= 0) is empty, as for mixture A.
For a given
value, the three mixtures have distinctive abundance features when
compared to the reference composition, i.e. with
and
scaled-solar partitions of metals. In particular, for their
relevance to the resulting RM opacity, it
is worth considering the changes in the CNO abundances, and mostly in
the
C/O ratio.
|
Figure 20:
Rosseland mean opacity as a function of temperature and assuming |
| Open with DEXTER | |
|
Figure 21:
The same as in Fig. 20,
but for |
| Open with DEXTER | |
-
Mixture A is depleted both
in the iron-group elements as well as in
carbon and nitrogen. For instance, at
,
the abundances of the Fe-group elements are almost halved and the same
applies to C and N, while O is augmented by 
.
As a consequence the C/O ratio decreases significantly, passing from
(C/O)
down to (C/O)
.
In general, the ratio C/O lowers considerably at increasing
.
- Mixture B is
depleted in the iron-group elements, while C and N are
left unchanged. At
,
the abundances of the
Fe-group elements are depressed by 
,
while O is increased
by only 
.
In this case the C/O ratio is just little
affected, changing from (C/O)
to (C/O)
.
In general, the ratio C/O slightly decreases at increasing
.
- Mixture C has the
same characteristics of mixture A
in terms
of metal partitions, i.e.
,
but with a different metallicity.
It follows that the C case shares with A
the same elemental ratios,
so that the C/O declines significantly
at increasing
,
while the total metallicity
increases. For instance, at
mixture C
corresponds to a metallicity
(see
Table 4
and Fig. 19).
As already discussed in Sect. 4.1, in the
interval
the most effective opacity source is the negative hydrogen ion
(see lower middle panel of Fig. 5), which
positively correlates with the electron density,
.
Figure 22
shows that
in this temperature range the principal electron donors are elements
with
relatively low-ionisation potentials, mainly Mg, Si, Fe, Al,
Ca, and Na, which involve both the enhanced group
and the depressed group.
For this reason, it turns out that in the
-enhanced mixture
of
type A the decreased number of electrons
contributed by Fe (together with C, Na, Al, Cr, Ni) is practically
counter-balanced by the increased number of electrons
removed from the
-atoms
such as Mg, Si, and S. The net effect is just
a very little reduction in the electron density.
In the case exemplified in Fig. 22 even a
large
-enhancement
corresponds
to a reduction of
by just ![]()
at
.
In turn, this small variation in
produces a minor reduction
of the H- opacity.
From a careful inspections of the results we find that the
depression of the opacity knee at
should
be rather
ascribed to the weakening of the CN molecular absorption bands, which
reflects the depression of both carbon and nitrogen abundances in
mixture A.
In fact, at these temperatures and
the CN
contribution to the RM opacity
is not negligible (see lower middle panel of Fig. 5).
|
Figure 22:
Contributions of free electrons
|
| Open with DEXTER | |
|
Figure 23:
Differences in RM opacities between |
| Open with DEXTER | |
|
Figure 24:
Rosseland mean opacity as a function of temperature and assuming |
| Open with DEXTER | |
With respect to mixture B, we
note that in the same temperature range, i.e.
,
the variations of the RM opacity at increasing
are
smaller than for mixture A,
almost negligible. In fact, in mixture B
the carbon and nitrogen
abundances are left unchanged so that the opacity contribution from CN
is not expected to vary as well. Furthermore, the same arguments on the
electron density, discussed for
mixture A, hold also in this
case, and the H- opacity
contribution is predicted to change just slightly.
Let us now consider the temperature interval
,
which is characterised by the opacity
bump due to the molecular absorption bands of H2O,
TiO, and ZrO.
We see from Fig. 19
(bottom panel) that the opacity peak grows at increasing
,
reflecting the decrease of the C/O ratio. In fact, the
concomitant enhancement of oxygen and the depression of
carbon favour the chemistry of the
O-bearing molecules, thus strengthening the opacity contributions of H2O,
TiO, and ZrO at those temperature. The reader should refer
to Sect. 4.2
for a broad
analysis of the dependence of the low-temperature opacity on the
C/O ratio. For the same reasons, in the case of mixture B
the opacity bump is practically insensitive to changes in
,
since the decrease of C/O ratio is just marginal, as shown in
Fig. 19.
Figure 23
shows the differences in terms of
expected
when the chemical composition of the gas is enhanced in
-elements,
according to mixture A.
The same comments already spent for Fig. 20 (left
panel) hold here. At increasing
negative
deviations mostly take place in the region dominated by the
absorption of H-, while positive variations show
up at lower temperatures, over a well-defined region in the
diagram,
the boundaries
of which are
determined by the thermodynamic conditions required to form H2O
efficiently (see top panels of Fig. 5), thus
becoming narrower at decreasing R.
|
Figure 25:
Concentrations of a few atomic and molecular species as a function of
the temperature in a gas with primordial composition, adopting
|
| Open with DEXTER | |
The case of mixture C deserves
different remarks.
At increasing
the RM opacity is predicted to be larger all over the temperature range
,
and the variations are always larger than for the other two mixtures.
This fact can be explained simply as a metallicity effect, since the
global metal content increases with the
as
indicated
by the fZ
parameter (see Fig. 19).
Therefore, mixture C shares
with mixture A the same
partition of metals (i.e. the same variation
factors fi;
see Table 4),
but their abundances are
all higher, including those belonging to the depressed group.
The net effect is systematic increase of the RM opacity with
.
Finally, a cautionary comment is worth being made.
It should be noticed that the while the
-elements are the same
for the three mixtures here considered, the differences deal with i)
which elements are assigned to the depressed group
and to the fixed group;
and ii) the total metallicity. The results discussed above show
clearly that this an important point which impacts on
the resulting RM opacities. Therefore, when using RM opacity
tables one should be always aware of how the underlying
-enhanced
mixture has been constructed, since his/her results may be importantly
affected. This aspect has been recently discussed by Dotter
et al. (2007).
To our knowledge available RM opacity tables adopt
-enhanced
mixtures similar to our A scheme (e.g.
Ferguson et al. 2005,
and related website of the Wichita State University group).
4.4 Other peculiar mixtures: C-N-O-Na-Mg-Al abundance anti-correlations
Another relevant case is suggested by the peculiar chemical patterns
observed in stars of Galactic globular clusters (GGC), being
characterised
by striking abundance anti-correlations between C-N and O-Na, and
Mg-Al,
which are in turn superimposed on a typical
-enhanced mixture (e.g.
Gratton et al. 2001).
Stellar evolution models including low-temperature RM opacities
suitable for these particular compositions have been recently
calculated (Salaris et al. 2006;
Pietrinferni et al. 2009).
Figure 24
shows an example of RM opacities computed with ÆSOPUS for a gas mixture
which would represent the pattern
of extreme C-N-O-Na-Mg-Al anti-correlations, as measured in GGC stars
(Carretta et al. 2005).
The adopted abundance scheme is the following. We start with
our reference scaled-solar mixture, characterised by
and
GS98 solar
composition. Then we construct a second composition with
following
the prescriptions for mixture A
(see
Sect. 4.3).
The C/O decreases from (C/O)
to
0.19, while
the total metallicity is preserved.
This fact explains the growth of the opacity peak due to H2O
at
in the
-enhanced
mixture.
The reader should go back to Sect. 4.3 for an
extensive discussion on the differences between the two RM opacity
curves.
|
Figure 26:
The same as in Fig. 5 but for
a primordial composition with
|
| Open with DEXTER | |
Finally we perturb the second mixture and add the C-N-O-Na-Mg-Al
anti-correlation pattern
assuming the following abundance variations in dex (see Salaris
et al. 2006):
;
;
;
;
;
and
.
By doing so the total metallicity almost doubles,
,
while the ratio
remains
the same as in the genuine
-enhanced mixture.
The increase in metallicity is mainly due to the augmented N
abundance, while those of C and O both drop considerably.
The resulting C/O ratio is now
0.31, and the total
is
decreased by
83
.
This fact explains that, despite of the overall increase in Z,
the
opacity curve of the peculiar mixture lies systematically lower
than the others in the temperature region dominated by the H2O bump.
In the temperature interval
the
differences in RM opacity among the
three curves in Fig. 24 are
quite small and should be mainly
ascribed to differences in the abundances of electron donors, which in
turn affect the strength of the
H- opacity.
4.5 Metal-free mixtures
The last important application we discuss here deals with
RM opacities suitable for zero-metallicity gas with a primordial
composition.
Following the standard Big Bang nucleosynthesis (SBBN), the most
abundant elements to be synthesised first were H, He, with
small quantities of D and Li, and tiny (and
negligible) traces of Be and B.
In this work we assume a primordial mixture made up of X=0.7521,
(ratio
of abundances by number), and Y=1-X-Li
(hence Z=0), these values being predicted by the
SSBN in accordance with the baryon-to-photon ratio as derived by the
Wilkinson Microwave Anisotropy Probe (WMAP, Coc et al. 2004).
The abundances of B ad Be are reasonably neglected, since
and
according
to models of primordial nucleosynthesis (Thomas
et al. 1993,
1994).
Figure 25 shows the predicted chemistry of a primordial gas as a function of the temperature and three selected values of the R parameter, and correspondingly Fig. 26 illustrates the relative contributions of the most important opacity sources to the total RM opacity. It is worth noticing the following points.
At lower densities (e.g. left panels with
)
the abundance of the negative hydrogen ion H-
grows very little, the H2 molecule does
not form efficiently even at the lowest temperatures, and the
concentration of H3+ is
negligible (reaching a maximum value
at
).
The total
RM opacity
is completely dominated by scattering processes, namely Thomson
scattering from free electrons
at higher temperatures, and scattering from hydrogen atoms at lower
temperatures.
At increasing densities (e.g. going from
to
)
the abundances of
most relevant species like H2 , H-,
H3+ grow higher and
higher.
At intermediate densities (i.e. middle panel of Fig. 26) we may
distinguish three different temperature ranges, namely:
dominated
by scattering from H atoms,
characterised
by the contribution
of H-, and
controlled
by the continuous absorption
of H (bound-free and free-free transitions). Free electrons are
provided by H+ and Li+as
in the previous case.
|
Figure 27:
Difference
|
| Open with DEXTER | |
|
Figure 28:
The same as in Fig. 4
but for a primordial composition with
|
| Open with DEXTER | |
Finally, at the highest densities (i.e. right panel of Fig. 26) we notice
that the RM opacity in the low-temperature region
is
determined by collision-induced absorptions (mainly CIA due to H2-H2
collisions); the H- opacity bump is prominent in
the range
;
and continuous and discrete processes due to H are dominant
at higher temperatures.
It should be remarked that Thomson scattering as well as
absorption by negative ions
(i.e. H-, H2-,
He-) crucially depend on the amount of available
free electrons. By looking at the curve of the electron concentration
(dashed line) in Fig. 25
we see that, among the positive ions, three are the main electron
donors in a primordial
gas, i.e. H+, Li+, and H3+.
Ionisation of hydrogen
atoms accounts for
at the higher temperatures down to
depending
on the density, ionised lithium practically provides all free
electrons at lower temperatures, while
H3+ contributes free
electrons only over an intermediate temperature range depending on
the gas density.
Let us first consider the case of H3+.
The importance of this ion for the electron budget of a primordial gas
has been extensively discussed by Lenzuni et al. (1991) and Harris
et al. (2004,
hereafter also H04). In this latter paper the authors have
pointed out that the inclusion of H3+,
with the most recent partition function
of Neale & Tennyson (1995),
may increase the RM opacity mostly via an indirect effect on the
chemistry, i.e.
by favouring larger concentrations of H- and, to
a less extent, via the direct absorption by H3+.
The authors have also analysed possible effects on the evolution of
very low-mass stars of zero-metallicity.
In ÆSOPUS we have included the H3+
chemistry, its free-free opacity,
while neglecting the H3+
line opacity. However, as shown by H04, this latter provides a
small contribution (few
)
to the RM opacity in most cases, with a peak of
at certain temperatures and densities.
Figure 27
(left panel) displays the region in the
plane
which is affected by the H3+
via its inclusion/omission in the gas chemistry. The differences in
are
always negative along a diagonal strip in the
diagram,
meaning that the neglecting H3+
would lead to underestimate the gas opacity because we omit its
contribution to
(hence weakening the H- opacity and the Thomson
electron scattering),
as well as its contribution as a true absorber (the free-free continuum
in our computations).
|
Figure 29:
Comparison in terms of
|
| Open with DEXTER | |
The case of Li is perhaps more interesting since the primordial
abundance of this element is predicted by the SBBN and accurately
constrained by WMAP. An extensive analysis on the importance of Li for
the opacity of the primordial gas has been carried out by Mayer
& Duschl (2005),
to whom the reader should refer for a detailed discussion. Our
computations essentially agree with
the findings of Mayer & Duschl (2005).
From the inspection of the right panel of Fig. 27 one can
see that even a low
concentration of Li notably impacts on the resulting RM opacity, the
effect being more
pronounced at lower temperatures and lower densities. For
and
the
difference in opacity is sizable, reaching a value as high as
!
Figure 28
helps to get a better insight of the rôle of Li: when
including it
in the primordial chemistry the total monochromatic absorption
coefficient rises for
m
due to the increased contribution of the Thomson electron scattering.
In fact, a larger amount of free electrons is provided by the first
ionisation of lithium, as shown in Fig. 25 (left
panel).
Finally, in Figs. 29-31 we
present a few comparisons with recently published RM opacity data
for zero-metallicity gas, namely: Harris et al. (2004), Mayer
& Duschl (2005),
and Ferguson et al. (2005).
In general the agreement is relatively good, mostly comprised within
0.2 dex,
except for the large
differences (up to
-1.2-1.4 dex) that arise in the comparison with H04
and F05 at lower temperatures and densities. These
discrepancies should be likely ascribed to
their neglecting of Li in the
chemical mixture, since they drastically reduce when
we omit Li from the equation of state.
We are not able to find clear reasons to the remaining deviations for
,
temperatures at which Rayleigh scattering from H
and H2, Thomson scattering from electrons, and
CIA are
the dominant opacity contributors at varying density.
In general, differences in the thermodynamic data and input physics
adopted to describe the processes listed in Table 1 might
provide a reasonable explanation.
|
Figure 30:
The same as in Fig. 29, but in
terms of
|
| Open with DEXTER | |
|
Figure 31:
The same as in Fig. 29 in terms
of
|
| Open with DEXTER | |
5 Final remarks
We have developed a new tool, ÆSOPUS, for computing Rosseland mean opacities of an ideal gas in the low-temperature regime,The Rosseland mean gas opacities, produced with a good
accuracy (comparable to that of other opacity codes), are
delivered in a tabular form within a reasonably short time. At present,
the typical computation time for one table at fixed
chemical composition, arranged with the default T-R grid,
i.e. containing
opacity
values, is less than 50 s with a 2.0 GHz
processor.
Such a fast performance is attained thanks to the optimised use of the
opacity sampling method to describe molecular line absorption, and the
adoption of pre-tabulated absorption cross-sections for metals (from
the Opacity Project database). In this way the line-opacity data is
suitably arranged prior to the opacity computations, a process that, if
otherwise performed on-the-fly, is in principle more accurate but at
the cost of extremely long computing times (e.g. Ferguson
et al. 2005).
On the other hand, several tests illustrated in the paper have proved that our procedure, besides being fast, is as well suitable to produce fairly accurate Rosseland mean opacities, to which the very fine spectral details are not critical as they are washed out, by construction, in the harmonic average of the monochromatic coefficient.
First applications of ÆSOPUS opacity tables in stellar
evolutionary calculations performed with the
Padova code for both scaled-solar (Bertelli et al. 2009), and
-enhanced
mixtures (Bressan et al., in prep.), and with the ATON code
for C-N-O varying
mixtures along the AGB (Ventura & Marigo 2009) have
yielded
promising results.
In particular, we find that the differences in the effective
temperature of giant (RGB and AGB) models brought about by the adoption
of different opacity data for the same chemical composition (e.g.
ÆSOPUS, Ferguson et al. 2005; Lederer
& Aringer 2009)
amount to a few tens of degrees, in most cases lower than (or
comparable to) the typical uncertainty of the semi-empirical
-scale
of
red giants.
We wish all interested researchers may benefit from an easy access to the low-temperature opacity data. Feedback and suggestions are welcome.
AcknowledgementsWe thank our referee, Jason W. Ferguson, for his detailed and careful examination of the paper. This work was supported by the University of Padova (60A02-2949/09), INAF/PRIN07 (CRA 1.06.10.03), and MIUR/PRIN07 (prot. 20075TP5K9). B.A. acknowledges funding by the contract ASI-INAF I/016/07/0 and by the Austrian Science Fund (FWF) projects P19503-N16 and P18939-N16. We are grateful to Alan W. Irwin for his contribution to the EOS part, based on source code available under the GPL from the SSynth project (http://sourceforge.net/projects/ssynth/) that is developed by Alan W. Irwin and Ana M. Larson. We thank L. Girardi for his valuable help in the development of the ÆSOPUS web-interface, Michael Lederer and Alessandro Bressan for useful discussions.
Appendix A: EOS under ICE conditions: numerical details
The ÆSOPUS code solves the equation of state assuming instantaneous chemical equilibrium by means of the Newtwon-Raphson technique. We consider the![\begin{displaymath}\left \{ \begin{array}{ccc}
f_{1}[n_{\alpha},~(\alpha=1,\cdot...
...rm el}),~ N_{\rm a}, n_{\rm e}]& =&~~0 ,\\
\end{array}\right.
\end{displaymath}](/articles/aa/full_html/2009/48/aa12598-09/img510.png)
which depend on the

In practice, because the unknown quantities are all inherently non-negative functions, their logarithmic forms are adopted. This prevents physically unrealistic estimates from occurring during the iteration process.
For each chemical element
,
the abundance conservation equation (Eq. (15)) is
conveniently written in the form:
|
(A.1) |
where nA is the number density of particle A which ranges over all species, i.e. atoms, ions, and molecules;
The charge neutrality equation (Eq. (16)) is expressed
in the form:
|
(A.2) |
Finally, the conservation equation of the total number density (Eq. (17)) is rearranged in the form:
|
(A.3) |
where
In summary, after providing a first guess to the number
densities, ÆSOPUS sets
them into the system and the jacobian matrix. In general, the guess
will be inaccurate
so that the functions fi
have finite values. Denoting with
and
the entire vectors of the values of fi
and nj,
we deal with the matrix equation
| (A.4) |
which corresponds to a set of
Appendix B: The frequency distribution
|
Figure B.1:
The histogram of the sampling frequency distribution with
|
| Open with DEXTER | |
In respect to this some discussion can be found in Ferguson et al. (2005) who integrate over 24 000 points, and Lederer & Aringer (2009) who adopt 5645 points. For the present work we have performed further tests to get useful indications on the relationship between the size of the frequency distribution and quality of the results, in terms of accuracy (reliability) and precision (reproducibility) of the results.
For this purpose we proceed as follows. First, we determine a
seed frequency distribution by adopting the scheme proposed by
Helling & Jørgensen (1998),
originally designed to optimize the selection of frequency points in
the OS method.
In few words, a frequency distribution produces a correct spectral
sampling if it obeys the condition
,
i.e. expressing the constancy of the normalized energy
density of the Planckian,
,
over any arbitrary
interval
,
where
[cm-1]
is the wave-number.
Then, the seeked optimal distribution corresponds to the upper
envelope the entire sample of Planckian distributions evaluated at
different temperatures, so that we take
the maximum of the normalized energy density
at
each
.
The final distribution, shown in Fig. B.1, is sharply
peaked at lower frequencies and
declines exponentially at longer frequencies.
|
Figure B.2:
Differences in opacities between the reference frequency grid with
|
| Open with DEXTER | |
Once the seed distribution is constructed, any other frequency grid of
given size is extracted from it
by using a Monte-Carlo technique. In our work we tested a few
cases adopting 5488, 1799, 944, 510, and 149 points.
Each grid is used to compute RM opacities for two chemical compositions
characterized by:
I) X=0.7,
and
scaled-solar abundances of metals, and II) a
carbon-rich mixture with X=0.7,
,
Z=0.026 and C/O =1.5. In the latter case
carbon is made increase
relative to its scaled-solar value, producing a net increment
of the actual metallicity.
|
Figure B.3:
The same as in Fig. B.2,
but for the adopted chemical composition which is defined by X=0.7,
|
| Open with DEXTER | |
Then, adopting as reference opacities those obtained with the densest
frequency grid, i.e.
,
we evaluate the differences,
,
for each opacity subset computed with a lower frequency grid (i.e.
points.
The results are shown in Fig. B.2 for
mixture Iand Fig. B.3 for
mixture II.
We see that in most cases the
differences remain small, within ![]()
0.05 dex, over most of the
space,
and even with the smallest frequency set the loss in accuracy,
though larger,
is not dramatic. As expected, the biggest deviations take place
at lower temperatures where the opacity contribution from molecular
bands is more sensitive to the frequency sampling.
In any case, it is worth noticing that the uncertainties brought about by the adopted frequency distribution are comparable, if not lower, with the typical differences in RM opacities computed with different codes (see, for instance, Figs. 7 and 18).
Appendix C: Chemical mixtures with non-solar [Xi/Fe] ratios: a general scheme
Let us first consider non-scaled-solar mixtures in which the reference metallicity is preserved, i.e.- the selected elements with given
according
to the input specification,
with abundances
;
- the fixed elements with abundances
;
- the balancing elements, including all
the other metals, with abundances
.
Therefore, from the condition
,
and the definition of
for each of the
selected
elements,
we set up a system of
equations:

which can be re-formulated with the aid of Eqs. (31) and (34):

for the unknowns fis and fb. Let us denote with
|
(C.1) |
the partitions of metals in the solar mixture. Eventually, from simple analytical passages we obtain the general solution:
which only depends on the specified ratios
Mixture A
Since the fixed group is empty, we have
,
hence:
Mixture B
Since the balancing elements are those belonging to
the
Fe-group, i.e.
,
we
get:
Mixture C
Finally, we consider the case of mixture C,
in which the reference
metallicity
should not be preserved, as the actual metallicity,
,
follows
the total abundance variation of the selected elements.
In this case we consider the system of equations

where we only distinguish between selected and non-selected elements. From the definitions of the abundance variation factors, recalling that

for the unknowns fis and
References
- Alexander, D. R. 1975, ApJS, 29, 363 [NASA ADS] [CrossRef]
- Alexander D. R., & Ferguson, J. W. 1994, ApJ, 437, 879 [NASA ADS] [CrossRef]
- Alvarez, R., & Plod, B. 1998, A&A, 330, 110
- Anders, E., & Grevesse, N. 1989, Geochim. Cosmochim. Acta, 53, 197 [NASA ADS] [CrossRef]
- Annibali, F., Bressan, A., Rampazzo, R., Zeilinger, W. W., & Danese, L. 2007, A&A, 463, 455 [NASA ADS] [EDP Sciences] [CrossRef]
- Aringer, B. 2000, Ph.D. Thesis, University of Vienna
- Aringer, B., Girardi, L., Nowotny, W., Marigo, P., & Lederer, M. T. 2009 [arXiv:0905.4415]
- Asensio Ramos, A., & Socas-Navarro, H. 2005, A&A, 438, 1021 [NASA ADS] [EDP Sciences] [CrossRef]
- Barber, R. J., Tennyson, J., Harris, G. J., & Tolchenov, R. N. 2006, MNRAS, 368, 1087 [NASA ADS] [CrossRef]
- Bauschlicher, C. W., J., Ram, R. S., Bernath, P. F., Parsons, C. G., & Galehouse, D. 2001, J. Chem. Phys., 115, 1312 [NASA ADS] [CrossRef]
- Beers, T. C., & Christlieb, N. 2005, ARA&A, 43, 531 [NASA ADS] [CrossRef]
- Bertelli, G., Nasi, E., Girardi, L., & Marigo, P. 2009, A&A, submitted
- Boothroyd, A. I., & Sackmann, I.-J. 1988, ApJ, 328, 641 [NASA ADS] [CrossRef]
- Borysow, A., Jørgensen, U. G., & Fu, Y. 2001, J. Quant. Spec. Radiat. Transf., 68, 235 [NASA ADS] [CrossRef]
- Borysow, A., Jørgensen, U. G., & Zheng, C. 1997, A&A, 324, 185 [NASA ADS]
- Caffau, E., Ludwig, H.-G., Steffen, M., et al. 2008, A&A, 488, 1031 [NASA ADS] [EDP Sciences] [CrossRef]
- Caffau, E., Maiorca, E., Bonifacio, P., et al. 2009, A&A, 498, 877 [NASA ADS] [EDP Sciences] [CrossRef]
- Carbon, D., Gingerich, O. J., & Latham, D. W. 1969, Low-Luminosity Stars, 435
- Carretta, E., Gratton, R. G., Lucatello, S., Bragaglia, A., & Bonifacio, P. 2005, A&A, 433, 597 [NASA ADS] [EDP Sciences] [CrossRef]
- Clemens, M. S., Bressan, A., Nikolic, B., et al. 2006, MNRAS, 370, 702 [NASA ADS]
- Clemens, M. S., Bressan, A., Nikolic, B., & Rampazzo, R. 2009, MNRAS, 392, L35 [NASA ADS] [CrossRef]
- Coc, A., Vangioni-Flam, E., Descouvemont, P., Adahchour, A., & Angulo, C. 2004, ApJ, 600, 544 [NASA ADS] [CrossRef]
- Cowley, C. R., & Barisciano, L. P., Jr. 1994, The Observatory, 114, 308 [NASA ADS]
- Cristallo, S., Straniero, O., Lederer, M. T., & Aringer, B. 2007, ApJ, 667, 489 [NASA ADS] [CrossRef]
- Dalgarno, A. 1962, Spectral Reflectivity of the Earth Atmosphere III; The Scattering of light by Atomic Systems. Geophys. Corp. of America, GCA Tech Rep., 62-28-A
- Dalgarno, A., & Williams, D. A. 1962, ApJ, 136, 690 [NASA ADS] [CrossRef]
- Dotter, A., Chaboyer, B., Ferguson, J. W., et al. 2007, ApJ, 666, 403 [NASA ADS] [CrossRef]
- Dulick, M., Bauschlicher, C. W. Jr, Burrows, A., et al. 2003, ApJ, 594, 651 [NASA ADS] [CrossRef]
- Eddington, A. S. 1922, MNRAS, 83, 32 [NASA ADS]
- Ferguson, J. W., Alexander, D. R., Allard, F., et al. 2005, ApJ, 623, 585 [NASA ADS] [CrossRef]
- Ferrarotti, A. S., & Gail, H.-P. 2002, A&A, 382, 256 [NASA ADS] [EDP Sciences] [CrossRef]
- Gingerich, O. 1964, SAO Spec. Rep., 167, 17 [NASA ADS]
- Gingerich, O. 1969, Theory and Observation of Normal Stellar Atmospheres
- Goorvitch, D., & Chackerian, Jr., C. 1994, ApJS, 91, 483 [NASA ADS] [CrossRef]
- Gratton, R. G., Bonifacio, P., Bragaglia, A., et al. 2001, A&A, 369, 87 [NASA ADS] [EDP Sciences] [CrossRef]
- Gratton, R., Sneden, C., & Carretta, E. 2004, ARA&A, 42, 385 [NASA ADS] [CrossRef]
- Grevesse, N., & Noels, A. 1993,
- Grevesse, N., & Sauval, A. J. 1998, Space Sci. Rev., 85, 161 [NASA ADS] [CrossRef]
- Grevesse, N., Asplund, M., & Sauval, A. J. 2007, Space Sci. Rev., 130, 105 [NASA ADS] [CrossRef] Origin and Evolution of the Elements, 14
- Harris, G. J., Lynas-Gray, A. E., Miller S., & Tennyson, J. 2004, ApJ, 600, 1025 [NASA ADS] [CrossRef]
- Harris, G. J., Tennyson, J., Kaminsky, B. M., Pavlenko, Y. V., & Jones, H. R. A. 2006, MNRAS, 367, 400 [NASA ADS] [CrossRef]
- Helling, C., & Jørgensen, U. G. 1998, A&A, 337, 477 [NASA ADS]
- Helling, C., & Lucas, W. 2009 [arXiv:0906.0296]
- Helling, C., Winters, J. M., & Sedlmayr, E. 2000, A&A, 358, 651 [NASA ADS]
- Holweger, H. 2001, Joint SOHO/ACE workshop Solar and Galactic Composition, 598, 23 [NASA ADS]
- Houdashelt, M. L., Bell, R. A., & Sweigart, A. V. 2000, AJ, 119, 1448 [NASA ADS] [CrossRef]
- Hunger, K., & van Blerkom, D. 1967, ZAp, 66, 185 [NASA ADS]
- Iglesias C. A., & Rogers, F. J. 1996, ApJ, 464, 943 [NASA ADS] [CrossRef]
- Irwin, A. W. 1981, ApJS, 45, 621 [NASA ADS] [CrossRef]
- Irwin, A. W. 1988, A&AS, 74, 145 [NASA ADS]
- John, T. L. 1988, A&A, 193, 189 [NASA ADS]
- John, T. L. 1975, MNRAS, 172, 305 [NASA ADS]
- Jørgensen, U. G. 1997, in Molecules in Astrophysics: Probes and Processes, ed. E. F. van Dishoeck (Kluwer), IAU Symp., 178, 441
- Jørgensen, U. G., Almlof, J., & Siegbahn, P. E. M. 1989, ApJ, 343, 554 [NASA ADS] [CrossRef]
- Jørgensen, U. G., Hammer, D., Borysow, A., & Falkesgaard, J. 2000, A&A, 361, 283 [NASA ADS]
- Karzas, W. J., & Latter, R. 1961, ApJS, 6, 167 [NASA ADS] [CrossRef]
- Keeley, D. A. 1970, ApJ, 161, 643 [NASA ADS] [CrossRef]
- Kurucz, R. L. 1970, SAO Spec. Rep., 309
- Kurucz, R. L. 1993a, Atomic data for opacity calculations, Kurucz CD-ROM, 1
- Kurucz, R. L. 1993b, Opacities for Stellar Atmospheres: Abundance Sampler, Kurucz CD-ROM, 14
- Kurucz, R. L. 1993c, Diatomic molecular data for opacity calculations, Kurucz CD-ROM, 15
- Langhoff, S. R., & Bauschlicher, C. W. 1993, Chem. Phys. Lett., 211, 305 [NASA ADS] [CrossRef]
- Lattanzio, J. C., & Wood, P. P. 2003, A&A Library, in Asymptotic Giant Branch Stars, ed. H. J. Habing, & Hans Olofsson, Chap. 2
- Lebedev, V. S., Presnyakov, L. P., & Sobelman, I. I. 2003, Physics-Uspekhi, 46, 473 [CrossRef]
- Lederer, M. T., & Aringer, B. 2009, A&A, 494, 403 [NASA ADS] [EDP Sciences] [CrossRef]
- Lenzuni, P., Chernoff, D. F., & Salpeter, E. E. 1991, ApJS, 76, 759 [NASA ADS] [CrossRef]
- Luo, G. Q. 1997, ApJ, 491, 366 [NASA ADS] [CrossRef]
- Lodders, K. 2003, ApJ, 591, 1220 [NASA ADS] [CrossRef]
- Marigo, P. 2002, A&A, 387, 507 [NASA ADS] [EDP Sciences] [CrossRef]
- Marigo, P., & Girardi, L. 2007, A&A, 469, 239 [NASA ADS] [EDP Sciences] [CrossRef]
- Marigo, P., Bressan, A., & Chiosi, C. 1996, A&A, 313, 545 [NASA ADS]
- Marigo, P., Bressan, A., & Chiosi, C. 1998, A&A, 331, 564 [NASA ADS]
- Marigo, P., Girardi, L., Bressan, A., Groenewegen, M. A. T., et al. 2008, A&A, 482, 883 [NASA ADS] [EDP Sciences] [CrossRef]
- Mayer, M., & Duschl, W. J. 2005, MNRAS, 358, 614 [NASA ADS] [CrossRef]
- McSaveney, J. A., Wood, P. R., Scholz, M., Lattanzio, J. C., & Hinkle, K. H. 2007, MNRAS, 378, 1089 [NASA ADS] [CrossRef]
- Mihalas, D., Däppen, W., & Hummer, D. G. 1988, ApJ, 331, 815 [NASA ADS] [CrossRef]
- Neale, L., & Tennyson, J. 1995, ApJ, 454, L169 [NASA ADS] [CrossRef]
- Partridge, H., & Schwenke, D. W. 1997, J. Chem. Phys., 106, 4618 [NASA ADS] [CrossRef]
- Pietrinferni, A., Cassisi, S., Salaris, M., Percival, S., & Ferguson, J. W. 2009, ApJ, 697, 275 [NASA ADS] [CrossRef]
- Press, W. H., Teukolsky, S. A., Vetterling, W. T., & Flannery, B. P. 1986, Numerical Recipes (Cambridge: Cambridge University Press)
- Querci, F., Querci, M., & Tsuji, T. 1974, A&A, 31, 265 [NASA ADS]
- Ramírez, I., & Meléndez, J. 2005, ApJ, 626, 446 [NASA ADS] [CrossRef]
- Rosseland, S. 1924, MNRAS, 84, 525 [NASA ADS]
- Rothman, L. S., Jacquemart, D., Barbe, A., et al. 2005, J. Quant. Spec. Radiat. Transf., 96, 139 [NASA ADS] [CrossRef]
- Salaris, M., Weiss, A., Ferguson, J. W., & Fusilier, D. J. 2006, ApJ, 645, 1131 [NASA ADS] [CrossRef]
- Sauval, A. J., & Tatum, J. B. 1984, ApJS, 56, 193 [NASA ADS] [CrossRef]
- Scalo, J. M., & Ulrich, R. K. 1975, ApJ, 200, 682 [NASA ADS] [CrossRef]
- Schwenke, D. W. 1998, in Chemistry and Physics of Molecules and Grains in Space Faraday Discuss., 109, 321
- Seaton, M. J. 2005, MNRAS, 362, L1 [NASA ADS] [CrossRef]
- Seaton, M. J., Yan, Y., Mihalas, D., & Pradhan, A. K. 1994, MNRAS, 266, 805 [NASA ADS]
- Sharp, C. M., & Burrows, A. 2007, ApJS, 168, 140 [NASA ADS] [CrossRef]
- Smith, K. C., & Dworetsky, M. M. 1988, Elemental Abundance Analyses, 32
- Smith, V. V., Hinkle, K. H., Cunha, K., et al. 2002, AJ, 124, 3241 [NASA ADS] [CrossRef]
- Thomas, D., Schramm, D. N., Olive, K. A., & Fields, B. D. 1993, ApJ, 406, 569 [NASA ADS] [CrossRef]
- Thomas, D., Schramm, D. N., Olive, K. A., et al. 1994, ApJ, 430, 291 [NASA ADS] [CrossRef]
- Tipping, R. H. 2007, private communication
- Tsuji, T. 1973, A&A, 23, 411 [NASA ADS]
- Tsuji, T. 1964, Annals of the Tokyo Astronomical Observatory, 9, 1
- Uttenthaler, S., Aringer, B., Lebzelter, T., et al. 2008, ApJ, 682, 509 [NASA ADS] [CrossRef]
- Ventura, P., & Marigo, P. 2009, MNRAS, L294
- Wagenhuber, J., & Groenewegen, M. A. T. 1998, A&A, 340, 183 [NASA ADS]
- Weiss, A., & Ferguson, J. W. 2009 [arXiv:0903.2155]
Footnotes
- ... ratio
- Throughout the paper the C/O ratio is calculated
using the abundances of carbon and oxygen expressed as number
fractions, i.e. C/O =
following the
definition given by Eq. (30).
- ... condensate
- The inclusion of dust in pre-computed opacities is in any case problematic since in real stars it will hardly form under equilibrium conditions.
All Tables
Table 1: Scattering and absorption processes involving H and He nuclei, considered in this work.
Table 2: Data sources for the atomic and molecular monochromatic absorption coefficients.
Table 3: Compilations of the solar chemical composition adopted in the computation of the EOS and gas opacities.
Table 4:
Main characteristics of the
-enhanced mixtures described
in text.
All Figures
|
Figure 1:
Location of our RM opacity tables in the
|
| Open with DEXTER | |
| In the text | |
|
Figure 2: Fractional abundances of elements, with nuclear charge Zi=6-30, normalised to the solar metallicity according to various compilations, as indicated. |
| Open with DEXTER | |
| In the text | |
|
Figure 3:
Rosseland mean opacity as a function of variables T
and R over the
entire parameter space considered in our calculations.
The adopted composition
is assumed to have |
| Open with DEXTER | |
| In the text | |
|
Figure 4:
Monochromatic absorption coefficients for several opacity
sources as a function of the wavelength, for three values
of the temperature and three values of the R variable,
as indicated. The chemical composition
is defined by |
| Open with DEXTER | |
| In the text | |
|
Figure 5:
Top panels: concentrations of various
chemical species as a function of temperature,
for three values of the R parameter, as
indicated.
Bottom panels: contributions of different
opacity sources (both continuous and line-absorption
processes) to the total RM opacity.
Each curve corresponds to
|
| Open with DEXTER | |
| In the text | |
|
Figure 6:
Rosseland mean opacity as a function of temperature and assuming |
| Open with DEXTER | |
| In the text | |
|
Figure 7:
Comparison between our RM opacity results and those provided
by other authors, in terms of
|
| Open with DEXTER | |
| In the text | |
|
Figure 8:
Predicted RGB tracks described by a
|
| Open with DEXTER | |
| In the text | |
|
Figure 9:
Predicted AGB tracks described by a
|
| Open with DEXTER | |
| In the text | |
|
Figure 10:
Comparison of RM opacities relative to two gas mixtures with
|
| Open with DEXTER | |
| In the text | |
|
Figure 11:
Concentrations of several gas species as a function of the
C/O ratio, in a gas mixture with
|
| Open with DEXTER | |
| In the text | |
|
Figure 12:
The same as in Fig. 4,
but for gas mixtures with C/O = 0.97( upper
panels) and C/O = 1.30 ( bottom
panels) and |
| Open with DEXTER | |
| In the text | |
|
Figure 13: The same as in Fig. 5 but for gas mixtures with C/O = 0.97 ( upper panels) and C/O = 1.3 ( bottom panels), and zoomed into the molecule-dominated temperature region. Note the various opacity bumps of the C-bearing molecules in the C/O = 1.30 case, while comparable contributions from both O-rich and C-rich molecules are present in the C/O = 0.97 case. |
| Open with DEXTER | |
| In the text | |
|
Figure 14:
Rosseland mean opacity as a function of temperature, assuming
|
| Open with DEXTER | |
| In the text | |
|
Figure 15:
Rosseland mean opacity as a function of the temperature and increasing
C/O.
adopting the GAS07 solar mixture, and assuming
|
| Open with DEXTER | |
| In the text | |
|
Figure 16: The same as in Fig. 15, but zoomed into a narrower interval around C/O =1. The reference solar compositions are AG89 ( top panel) and GAS07 ( bottom panel). |
| Open with DEXTER | |
| In the text | |
|
Figure 17:
Rosseland mean opacity as a function of the temperature in a
gas with |
| Open with DEXTER | |
| In the text | |
|
Figure 18:
Comparison between our RM opacities and the data from Lederer &
Aringer (2009),
in terms of
|
| Open with DEXTER | |
| In the text | |
|
Figure 19:
Relation between the total metallicity
|
| Open with DEXTER | |
| In the text | |
|
Figure 20:
Rosseland mean opacity as a function of temperature and assuming |
| Open with DEXTER | |
| In the text | |
|
Figure 21:
The same as in Fig. 20,
but for |
| Open with DEXTER | |
| In the text | |
|
Figure 22:
Contributions of free electrons
|
| Open with DEXTER | |
| In the text | |
|
Figure 23:
Differences in RM opacities between |
| Open with DEXTER | |
| In the text | |
|
Figure 24:
Rosseland mean opacity as a function of temperature and assuming |
| Open with DEXTER | |
| In the text | |
|
Figure 25:
Concentrations of a few atomic and molecular species as a function of
the temperature in a gas with primordial composition, adopting
|
| Open with DEXTER | |
| In the text | |
|
Figure 26:
The same as in Fig. 5 but for
a primordial composition with
|
| Open with DEXTER | |
| In the text | |
|
Figure 27:
Difference
|
| Open with DEXTER | |
| In the text | |
|
Figure 28:
The same as in Fig. 4
but for a primordial composition with
|
| Open with DEXTER | |
| In the text | |
|
Figure 29:
Comparison in terms of
|
| Open with DEXTER | |
| In the text | |
|
Figure 30:
The same as in Fig. 29, but in
terms of
|
| Open with DEXTER | |
| In the text | |
|
Figure 31:
The same as in Fig. 29 in terms
of
|
| Open with DEXTER | |
| In the text | |
|
Figure B.1:
The histogram of the sampling frequency distribution with
|
| Open with DEXTER | |
| In the text | |
|
Figure B.2:
Differences in opacities between the reference frequency grid with
|
| Open with DEXTER | |
| In the text | |
|
Figure B.3:
The same as in Fig. B.2,
but for the adopted chemical composition which is defined by X=0.7,
|
| Open with DEXTER | |
| In the text | |
Copyright ESO 2009
Current usage metrics show cumulative count of Article Views (full-text article views including HTML views, PDF and ePub downloads, according to the available data) and Abstracts Views on Vision4Press platform.
Data correspond to usage on the plateform after 2015. The current usage metrics is available 48-96 hours after online publication and is updated daily on week days.
Initial download of the metrics may take a while.

































