Free Access
Issue
A&A
Volume 508, Number 3, December IV 2009
Page(s) 1117 - 1133
Section Astrophysical processes
DOI https://doi.org/10.1051/0004-6361/200912879
Published online 04 November 2009

A&A 508, 1117-1133 (2009)

MHD simulations of accretion onto a dipolar magnetosphere

I. Accretion curtains and the disk-locking paradigm

C. Zanni1,2 - J. Ferreira2

1 - INAF - Osservatorio Astronomico di Torino, Strada Osservatorio 20, 10025, Pino Torinese, Italy
2 - Laboratoire d'Astrophysique de Grenoble, 414 rue de la Piscine, BP 53, 38041 Grenoble, France

Received 13 July 2009 / Accepted 30 September 2009

Abstract
Aims. We investigate the accretion process from an accretion disk onto a magnetized rotating star with a purely dipolar magnetic field. Our main aim is to study the mechanisms that regulate the stellar angular momentum. In this work, we consider two effects that can contrast with the spin-up torque normally associated with accretion: (1) the spin-down torque exerted by an extended magnetosphere connected to the disk beyond the corotation radius; (2) the spin-down torque determined by a stellar wind flowing along the opened magnetospheric field lines.
Methods. Our study is based on time-dependent axisymmetric magnetohydrodynamic numerical simulations of the interaction between a viscous and resistive accretion disk with the dipolar magnetosphere of a rotating star. We present the first example of a numerical experiment able to model at the same time the formation of accretion curtains, the effects of an extended stellar magnetosphere and the launching of a stellar wind.
Results. In the examples presented, the spin-down torque related to the star-disk interaction can extract only ${\sim}10\%$ of the accretion torque, due to the weakness of the extended connection. Not even the spin-down torque exerted by a stellar wind is strong enough ( ${\sim}20\%$): despite a huge lever arm ( $R_{\rm A} \approx 19~R_\star$), the mass-loss rate ( $\dot{M}_{\rm wind} \approx 1\%~\dot{M}_{\rm acc}$) is too low to provide an efficient torque.
Conclusions. We argue that, at least in the case of typical classical T Tauri stars ( $\dot{M}_{\rm acc} \approx 10^{-8}~M_\odot~{\rm yr}^{-1}$, $B_{\star, {\rm dipole}} \la 1~{\rm kG}$) rotating at $10\%$of their break-up speed, the disk spin-down is unlikely to balance the accretion torque (``disk locked'' equilibrium). A massive stellar wind ( $\dot{M}_{\rm wind} \approx 20\%~ \dot{M}_{\rm acc}$) could in principle succeed, but its mass and energy fluxes are quite demanding, both from a theoretical and an observational point of view.

Key words: stars: rotation - stars: magnetic fields - accretion, accretion disks - ISM: jets and outflows - methods: numerical - magnetohydrodynamics (MHD)

1 Introduction

Different classes of magnetized stellar-type objects (T Tauri protostars, white dwarfs, neutron stars) are often surrounded by accretion disks and it is likely that the stellar magnetosphere is able to disrupt the inner part of the disk and control the accretion flow down to its surface. According to this picture, the accretion disk is truncated at a few stellar radii by the interaction with the stellar magnetic field, the accretion flow is channeled into funnel flows which follow the magnetospheric field lines and terminates with a shock on the stellar surface. This general scenario has been applied to a variety of different astrophysical systems: X-ray pulsars (Bildsten et al. 1997), magnetic cataclysmic variables (Warner 2003) and classical T Tauri stars (CTTS, Bouvier & Appenzeller 2007). In the particular case of CTTS, which will be the main subject of our investigation, this scenario is supported by much observational evidence: CTTS are magnetically active protostars, characterized by surface magnetic fields of a few kG (Johns-Krull 2007); both CO  line profiles (Najita et al. 2003) and infrared colors (Kenyon et al. 1996) are indicative of emission from a Keplerian accretion disk truncated at a few stellar radii; inverse P-Cygni profiles with strong redshifted absorption are interpreted as due to free-falling gas flowing along magnetospheric field lines anchored at the inner disk edge (Edwards et al. 1994); both the optical excess and UV continuum can be fitted by accretion-shock models (Gullbring et al. 2000).

The study of different aspects of this scenario has been based on analytical models (Ghosh & Lamb 1979a,b; Collier Cameron & Campbell 1993; Koldoba et al. 2002; Li & Wilson 1999; Kluzniak & Rappaport 2007; Wang 1995) while, more recently, numerical simulations have aimed at giving a global view of the magnetic star-disk interaction (Bessolaz et al. 2008; Goodson et al. 1999; Miller & Stone 1997; Romanova et al. 2002; Küker et al. 2003; Long et al. 2005). All models agree on the fact that, for accretion to occur, the truncation radius $R_{\rm t}$ of a Keplerian disk is likely to be located inside the corotation radius $R_{\rm co} = \left( GM_\star/\Omega_\star^2 \right)^{1/3}$, since accretion would be inhibited by a centrifugal barrier if the inner disk edge rotates slower than the stellar angular speed  $\Omega_\star$ (``propeller'' regime, e.g. Illarionov & Sunyaev 1975). Assuming that later on the disk angular momentum is transported from the truncation region to the star along the magnetospheric field lines, the star experiences a spin-up torque of the order of $\dot{J} \approx \dot{M}\sqrt{GM_\star R_{\rm t}}$. On the other hand, many of these accreting systems show a peculiar angular momentum evolution. Many X-ray pulsars are characterized by several episodes of spin-up/spin-down torque reversal (Nelson et al. 1997). CTTS are characterized by slow rotation periods (3-10 days, Bouvier et al. 1993), corresponding to  ${\sim}10\%$ of their break-up speed: this means that a large fraction of the stellar angular momentum already has been extracted during the embedded phase. Moreover, the rotation period seems to stay constant during the T Tauri phase (Irwin et al. 2007), despite the fact that the protostar is still actively accreting and contracting. In all these systems an efficient mechanism of angular momentum removal is therefore required.

Different processes have been proposed to balance the spin-up torques due to accretion. In the classical Ghosh & Lamb picture, a spin-down torque is exerted along the magnetospheric field lines connecting the star to the disk beyond the corotation radius, where the disk rotates slower than the star: if the spin-down balances the spin-up torque, the stellar rotation is ``disk-locked''. This scenario often has been advocated to explain the spin-down of accreting stars, both in the case of X-ray pulsars (Ghosh & Lamb 1979b; Campbell 1987) and young protostars (Armitage & Clarke 1996; Yi 1995; Collier Cameron & Campbell 1993; Königl 1991). On the other hand the limits of the ``extended magnetosphere'' scenario have been discussed by several authors: in a general way, the magnetic field twisting due to the star-disk differential rotation leads to an inflation of the magnetospheric structure, in order to relax the build-up of toroidal field pressure. Uzdensky et al. (2002) have shown that, if the poloidal field distribution does not change in time at the midplane of the disk, the inflation occurs at mid-latitudes and, after a maximum twist has been reached, the magnetic structure opens up and at least part of the magnetic connection with the star is lost. On the other hand, if the poloidal field is able to diffuse quickly enough inside the disk, Bardou & Heyvaerts (1996) have shown that field inflation happens mostly along the midplane of the disk: in this case, the star-disk connection can in principle be kept, but the radial diffusion strongly reduces the poloidal field intensity. Both mechanisms lead to a reduction of the spin-down torque associated with the extended magnetosphere: the first one by lowering the maximum attainable value of the field twist and the size of the connected region, as discussed by Matt & Pudritz (2005a), the second one by decreasing the intensity of the poloidal field, as investigated by Agapitou & Papaloizou (2000). The relative importance of the two phenomena depends on the ratio between the inflation and the diffusion timescales.

Other proposed mechanisms are based on the presence of outflows, extracting angular momentum from the central parts of the star-disk system. Stellar winds, similarly to relativistic pulsar winds, can remove angular momentum directly from the star along the opened field lines of the magnetosphere. On the other hand, since the rotational energy of the slowly rotating star is not enough to power these outflows, an additional energy input is required (Ferreira et al. 2006), possibly related to the energy deposited by accretion onto the stellar surface (``accretion powered'' stellar winds, Matt & Pudritz 2005b). The efficiency of the wind braking torque is therefore deeply affected by the energetics of the outflow and the opened magnetic configuration (i.e. the magnetic lever arm).

Different classes of outflows loaded with disk material can play an important role too. The original idea of the ``X-Wind'' scenario involves an outflow launched along the opened magnetic field lines which thread the disk due to the inflation and opening of the closed magnetosphere (Cai et al. 2008; Shu et al. 1994): according to this picture, such an outflow could be able to extract a large fraction of the disk angular momentum before it falls onto the star so that accretion would exert a null torque. This scenario also envisages that the launching region of the ``X-Wind'' and the truncation radius of the disk are located in a tiny region (of the order  $\Delta r \sim h/r$) around the corotation radius, which represents a saddle (``X'' point) of the gravito-centrifugal potential. The ``reconnection X-winds'' proposed by Ferreira et al. (2000) are fed with disk material but powered by the stellar rotational energy, thus exerting an effective spin-down torque without being affected by the energetic problems of purely stellar winds: this model requires the presence of a large scale magnetic field threading the disk which reconnects with the stellar magnetic field corresponding to an X-point located at the disk midplane. Romanova et al. (2009) have proposed a somewhat different class of disk-loaded outflows (``conical'' winds), but their impact on the angular momentum evolution of the central star is still unclear.

This paper is the first of a series of works dedicated to the numerical modeling of different spin-down mechanisms of magnetized rotating stars. Our axisymmetric models will be based on time-dependent magneto-hydrodynamic (MHD) simulations of the interaction between a viscous and resistive accretion disk with a dipolar magnetosphere aligned with the rotation axis of the central star. At least in the case of CTTS this is a particular case, since spectropolarimetric measurements indicate that the topology of the magnetosphere is often complex and multipolar, where the dipolar component is not the dominant one (Donati et al. 2007,2008). Also, the polar axes are misaligned with respect to the rotation axis of the star. On the other hand, the dipolar component is the one that can affect the disk dynamics to a larger extent: the dipolar field strengths and mass accretion rates that we will employ are consistent with observations of strongly magnetized CTTS like BP Tau (Donati et al. 2008). Moreover, our arguments will be presented in a very general way so that they can be applied, at least qualitatively, to any class of magnetized accreting stars.

In this paper, we present the first numerical time-dependent global simulations of the ``extended magnetosphere'' scenario originally depicted by Ghosh & Lamb: this is the first example of a dynamical simulation of the interaction between an accretion disk and a stellar magnetosphere connected to a large extent of the disk, below and beyond the corotation radius. This allows us to treat both the spin-up and the spin-down torques associated with the star-disk magnetic interaction and discuss their efficiency. At the same time, we are able to include in the models the effects of a stellar wind and discuss its properties and characteristics. In Sect. 2 we present the numerical methods that we employ, the initial setup and the boundary conditions of our numerical experiments. In Sect. 3 we describe the angular momentum balance of the star-disk system: we consider, in succession, the torques acting on the accretion disk (Sect. 3.1); the formation of accretion funnels, the associated angular momentum transfer (Sect. 3.2) and the effective torque acting on the star, taking into account both the interaction with the accretion disk and the stellar wind (Sect. 3.3). The analysis of the electric currents, presented in Sect. 4, allows us to describe the magnetic coupling between the different parts of the system. In Sect. 5 we discuss the efficiency of the different spin-down mechanisms while in Sect. 6 we summarize the results and draw our conclusions.

2 Numerical simulations

2.1 MHD equations

We numerically solve the MHD system of equations, including resistive and viscous terms:

                                        $\displaystyle \frac{\partial \rho}{\partial t} + \nabla\cdot(\rho \vec {u}) = 0$  
    $\displaystyle \frac{\partial \rho\vec{u}}{\partial t} + \nabla \cdot \left[
\rh...
...\right)\vec{I}-
\frac{\vec{B}\vec{B}}{4\pi} - \vec{\tau}
\right] = \rho \vec{g}$  
    $\displaystyle \frac{\partial E}{\partial t} + \nabla\cdot\left[
\left(E + P + \...
...pi}\right)\vec{u}-
\frac{\left(\vec{u}\cdot\vec{B}\right)\vec{B}}{4\pi} \right]$  
    $\displaystyle \qquad\qquad + \nabla\cdot\left[\eta_{{\rm m}}\vec{J}\times\vec{B...
...pi -\vec{u}\cdot\vec{\tau}
\right] = \rho\vec{g}\cdot\vec{u}-\Lambda_{\rm cool}$  
    $\displaystyle \frac{\partial \vec{B}}{\partial t} + \nabla \times \left(\vec{B}\times\vec{u} + \eta_{{\rm m}} \vec{J} \right)= 0.$ (1)

This includes the equations of mass, momentum and energy conservation and the induction equation (Faraday's law). The equations have been solved in nondimensional form, thus without $4\pi$ or $\mu_0$ coefficients. In the system of Eqs. (1) $\rho $ is the mass density, $\vec{u}$ is the flow speed, P is the plasma thermal pressure, and $\vec{B}$ is the magnetic field. The total energy density E is defined as

\begin{eqnarray*}E = \frac{P}{\gamma-1}+\rho\frac{\vec{u}\cdot\vec{u}}{2}+\frac{\vec{B}\cdot\vec{B}}{8\pi},
\end{eqnarray*}


where $\gamma = 5/3$ is the polytropic index of the plasma. The gravity acceleration vector is defined as $\vec{g} = - \nabla \Phi_{\rm g}$, where the potential $\Phi_{\rm g} = -GM_\star/R$ represents the gravitational field of a central star of mass $M_\star$. The electric current is determined by Ampere's law $\vec{J} = \nabla \times \vec{B}/4\pi$ while $\eta_{\rm m}$ is the magnetic resistivity. The magnetic diffusivity is defined as $\nu_{\rm m} = \eta_{\rm m}/4\pi$. The viscous stress tensor  $\vec{\tau}$ is defined as

\begin{displaymath}%
\tau = \eta_{\rm v} \left[ \left(\nabla \vec{u}\right) + \l...
... - \frac{2}{3}\left(\nabla\cdot\vec{u}\right) \vec{I} \right],
\end{displaymath} (2)

where $\eta_{\rm v}$ is the dynamic viscosity. As is customary, the kinematic viscosity is defined as $\nu_{\rm v} = \eta_{\rm v}/\rho$.

A cooling term $\Lambda_{\rm cool} = \eta_{\rm m}\vec{J}\cdot\vec{J} + {\rm Tr}\left(\vec{\tau}\vec{\tau}^{\rm T}\right)/2\eta_{\rm v}$ is included to remove the viscous and Ohmic heating. For simplicity, radiative transfer is not taken into account and the cooling is treated as optically thin radiative losses. This term has been mainly introduced to avoid the irreversible heating and the consequent thermal thickening of the accretion disk and is not meant to be representative of the actual radiative mechanism acting inside the disk. As a consequence of its presence, the dynamics are adiabatic. This is a caveat that is generally common to current MHD simulations of this kind. Including radiative transfer and exploring thermal effects within the disk is a very demanding task that remains to be done. The cooling function  $\Lambda_{\rm cool}$ becomes effective whenever the entropy of the disk plasma becomes $25\%$greater than its initial value. This value was found to be a good compromise between avoiding runaway irreversible heating of the disk and preventing the thermal heightscale of the disk from becoming too small and numerically under-resolved.

The system of Eqs. (1) is solved numerically exploiting the MHD module provided with the PLUTO code[*] (Mignone et al. 2007). PLUTO is a modular Godunov-type code aimed at solving the equations of hydrodynamics and magneto-hydrodynamics in both classical and special relativistic regimes. The classical MHD module has been configured to perform second-order piecewise linear reconstruction of primitive variables, with a Van Leer limiter for the density and magnetic field components and a minmod limiter for the thermal pressure and velocity components. To compute the intercell fluxes, a Roe-type Riemann solver has been employed, while second order in time has been achieved using a Runge-Kutta scheme. The constrained transport (CT) approach of Balsara & Spicer (1999) has been used to control the solenoidality of the magnetic field ( $\nabla\cdot\vec{B}=0$). Since the stellar magnetosphere is modeled initially as a force-free potential magnetic field, we adopted a ``field-splitting'' technique (Tanaka 1994; Powell et al. 1999) to compute only the deviation from the initial magnetic field: this approach is crucial to correctly treat current-free strong magnetic fields numerically. The viscous and resistive terms have been treated explicitly, using a second-order finite difference approximation for the dissipative fluxes and checking the diffusive timestep. The simulations have been carried out in 2.5 dimensions, that is, in spherical coordinates ($R, \theta$) assuming axisymmetry around the rotation axis of the disk and the star. In the following we will indicate the spherical radius with the capital letter R, while the cylindrical radius $r = R\sin \theta$ will be marked by the lower case.

2.2 Initial conditions

The initial conditions are made up of three parts: the viscous accretion disk, a surrounding rarefied corona and the stellar magnetic field. The accretion disk is set following the three-dimensional models of $\alpha$ Keplerian accretion disks originally developed in Kluzniak & Kita (2000) and further discussed by Regev & Gitelman (2002) and Umurhan et al. (2006). These are polytropic ( $P_{\rm d} \propto \rho_{\rm d}^\gamma$) solutions obtained through an expansion up to terms of order $\mathcal{O}(\epsilon^2)$ of the equations of viscous hydrodynamics, where $\epsilon = C_{\rm s}/V_{\rm K}$ is the disk aspect ratio, given by the ratio between the isothermal sound speed $C_{\rm s}=\sqrt{P_{\rm d}/\rho_{\rm d}}$ and the Keplerian speed $V_{\rm K} = \sqrt{GM_\star/r}$ evaluated on the midplane of the disk. With these assumptions and taking $\gamma = 5/3$, the density and thermal pressure are determined by the vertical equilibrium of the disk

\begin{displaymath}%
\rho_{\rm d} = \rho_{\rm d0} \left\{\frac{2}{5\epsilon^2}\l...
...{5\epsilon^2}{2}\right)\frac{R_\star}{r}\right]\right\}^{3/2},
\end{displaymath} (3)

\begin{displaymath}%
P_{\rm d} = \epsilon^2 \rho_{\rm d0} V^2_{{\rm K}\star} \left( \frac{\rho_{\rm d}}{\rho_{\rm d0}} \right)^{5/3},
\end{displaymath} (4)

where $\rho _{{\rm d}0}$ and $V_{{\rm K}\star}=\sqrt{GM_\star/R_\star}$ are respectively the disk density and the Keplerian speed calculated on the midplane of the disk at $R=R_\star$. The assumed solution is self-similar with a constant aspect ratio $\epsilon$. The meridional flow is then computed using an $\alpha$ parametrization (Shakura & Sunyaev 1973) for the kinematic viscosity $\nu_{\rm v} = \frac{2}{3}\alpha_{\rm v} C_{\rm s}^2/\Omega_{\rm K}$, where $\Omega_{\rm K} = \sqrt{GM_\star/r^3}$. Since in the simulations the local sound speed can change, we adopt a time-dependent version of this parametrization as follows:

\begin{displaymath}%
\nu_{\rm v} = \frac{2}{3}\alpha_{\rm v} \left[ \left. C^2_{...
...}-\frac{GM_\star}{r}\right)\right]\sqrt{\frac{r^3}{GM_\star}},
\end{displaymath} (5)

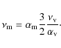
where $\left. C_{\rm s} \left(r\right)\right\vert _{\theta=\pi/2}$is the sound speed calculated on the midplane of the disk. The expression in the square brackets represents the vertical profile of the temperature of a polytropic disk in vertical gravitational equilibrium. The magnetic diffusivity  $\nu_{\rm m}$ is parametrized in an analogous way, through the nondimensional constant  $\alpha_{\rm m}$:

\begin{displaymath}%
\nu_{\rm m} = \alpha_{\rm m} \frac{3}{2} \frac{\nu_{\rm v}}{\alpha_{\rm v}}\cdot
\end{displaymath} (6)

The magnetic Prandtl number $\mathcal{P}_{\rm m}$ is therefore given by the expression:

\begin{displaymath}%
\mathcal{P}_{\rm m} = \frac{\nu_{\rm v}}{\nu_{\rm m}} = \frac{2}{3} \frac{\alpha_{\rm v}}{\alpha_{\rm m}}\cdot
\end{displaymath} (7)

The rotation speed is determined by the radial equilibrium of the disk:

\begin{displaymath}%
u_{\phi{\rm d}} = \left[ \sqrt{1-\frac{5\epsilon^2}{2}}+\fr...
...ilon^2\tan^2\theta} \right) \right] \sqrt{\frac{GM_\star}{r}},
\end{displaymath} (8)

with

\begin{eqnarray*}\Lambda = \frac{11}{5} \big/ \left( 1+\frac{64}{25}\alpha_{\rm v}^2\right)\cdot
\end{eqnarray*}


The rotation of the disk is therefore slightly sub-Keplerian: the small $\mathcal{O}(\epsilon^2)$ corrections come from the radial pressure gradient and the $\vec{\tau}_{rz}$ component of the viscous stress tensor.

Finally the meridional flow is purely radial (spherical) with

\begin{displaymath}%
u_{R{\rm d}} = -\alpha_{\rm v}\epsilon^2\left[10-\frac{32}{...
...heta}\right)\right] \sqrt{\frac{GM_\star}{R\sin^3\theta}}\cdot
\end{displaymath} (9)

As pointed out by Kluzniak & Kita (2000), for $\alpha < \alpha_{\rm crit} \simeq 0.685$backflow is found on the disk midplane, and the disk is accreting only at higher latitudes, towards its surface. This effect, already noticed by others authors (Rózyczka et al. 1994; Urpin 1984; Kley & Lin 1992), is a consequence of a ``local'' $\alpha$ parametrization for the turbulent stress. It strongly depends on the radial gradient of the thermal pressure and it is probably unphysical.

The corona is modeled as a polytropic ( $\gamma = 5/3$) hydrostatic atmosphere. Its density and pressure are therefore given by the expressions:

\begin{eqnarray*}\rho_{\rm a} = \rho_{{\rm a}0}\left( \frac{R_\star}{R} \right)^...
...star}\left( \frac{R_\star}{R} \right)^{\frac{\gamma}{\gamma-1}},
\end{eqnarray*}


where $\rho_{{\rm a}0} \ll \rho_{{\rm d}0}$ is the density value on the spherical surface $R=R_\star$.

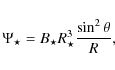
Finally the stellar magnetosphere is modeled initially as a purely dipolar field aligned with the rotation axis of the star-disk system. The magnetic field is defined by the flux function  $\Psi _\star $:

\begin{displaymath}%
\Psi_\star = B_\star R_\star^3 \frac{\sin^2\theta}{R},
\end{displaymath} (10)

where $R_\star$ and $B_\star$ are the stellar radius and magnetic field respectively. The field components are therefore defined as

\begin{eqnarray*}B_R = \frac{1}{R^2 \sin\theta} \frac{\partial\Psi_\star}{\parti...
...frac{1}{R \sin\theta} \frac{\partial\Psi_\star}{\partial R}\cdot
\end{eqnarray*}


The disk surface is defined by the pressure equilibrium $P_{\rm d} = P_{\rm a}$, while the disk is truncated at a few stellar radii, where $P_{\rm d} = B^2/8\pi$. This condition gives an initial guess for the truncation radius but, nevertheless, it assures that at this position the magnetic field is dynamically important, both in the toroidal and in the poloidal directions (Bessolaz et al. 2008).

To reduce the effects of the strong transients due to the initial differential rotation between the disk and the corona, the magnetic surfaces anchored in the disk are set to rotate at the Keplerian angular speed calculated at the radius at which they enter the disk. The magnetic surfaces anchored on the star but not entering the disk rotate at the same angular speed as the star. Obviously this velocity correction puts the atmosphere slightly out of equilibrium: we therefore add an additional small correction to the coronal density to nullify the centrifugal effects in the direction perpendicular to the magnetic surfaces.

\begin{figure}
\par\includegraphics[width=8.8cm,clip]{12879f1.eps}
\end{figure} Figure 1:

Appearance of the initial conditions of the simulations. Colors are representative of the logarithmic density in units of  $\rho _{{\rm d}0}$. Sample field lines of the initially dipolar magnetosphere are plotted (solid lines). The magnetic surface anchored at the corotation radius $R_{\rm co} = 4.64~R_\star$ is plotted with a dot-dashed line. The computational grid is also shown: each box represents a 2 $\times $ 2 block of cells.

Open with DEXTER

2.3 Computational domain and boundary conditions

We restrict our study to axisymmetric models assuming also a planar symmetry with respect to the disk midplane. The two-dimensional computational domain therefore encompasses an angular sector going from the rotation axis ( $\theta = 0$) to the disk midplane ( $\theta = \pi/2$). Suitable boundary conditions are set to impose the required symmetries. The sector is delimited by an inner and an outer radius, the inner one corresponding to the stellar radius $R_\star$. The angular coordinate $\theta $ has been discretized with $N_\theta = 100$ points. In order to have grid cells with approximately the same volume, the radial coordinate has been discretized on a stretched grid with a spacing $\Delta R \sim R \Delta \theta$. Following this constraint, we used a radial grid made up of NR = 214 points, equivalent to a grid outer radius  ${\sim}28.6~R_\star$.

Particular attention has been devoted to impose the boundary conditions on the stellar surface, which we want to model as a perfect conductor rotating at an angular speed  $\Omega_\star$. This means that in the reference frame co-rotating with the star, the electric field is zero or, in other words, that the flow speed is parallel to the magnetic field:

\begin{displaymath}%
\vec{E}_{\Omega = \Omega_\star} = \vec{B}\times\left(\vec{u} - \vec{\Omega_\star}\times\vec{R} \right) = 0.
\end{displaymath} (11)

The poloidal magnetic field is forced to maintain its initial (dipolar) value: this is a reasonable assumption as long as the matter flow at the stellar surface is sub-Alfvénic, thus slightly affecting the magnetic structure. We used a linear extrapolation of density and thermal pressure along the field lines to impose the boundary values of these variables.

Following Eq. (11), the condition $E_\phi = 0$ imposes that the poloidal velocity must be parallel to the poloidal magnetic field ( $u_{\rm p} \parallel B_{\rm p}$). On the outflowing material we imposed a continuity of the speed value along the field lines, while for the infalling material we imposed the continuity of the axisymmetric MHD invariant $k = 4\pi\rho u_{\rm p}/B_{\rm p}$. This condition ensures that the infalling plasma is perfectly absorbed by the ``star''. The condition $E_\phi = 0$ is also used as a boundary condition for the CT method.

The condition on the poloidal electric field given by Eq. (11) imposes that the matter must rotate with a toroidal speed

\begin{displaymath}%
r\Omega = r\Omega_\star + u_{\rm p}\frac{B_\phi}{B_{\rm p}}\cdot
\end{displaymath} (12)

Notice that the matter accreting along the funnels ( $u_{\rm p} < 0$) will rotate slower or faster than $\Omega_\star$ at the stellar surface according to the sign of  $B_\phi/B_{\rm p}$, that is, if accretion occurs along a leading ( $B_\phi/B_{\rm p} > 0$, see Sect. 3.2) or a trailing ( $B_\phi/B_{\rm p} < 0$) spiral. To define suitable boundary conditions, it is not sufficient to impose a rotation speed on the matter according to Eq. (12), rather, it is necessary to set the correct magnetic torque to drive the plasma rotation. This can be done by assigning an appropriate local gradient of the toroidal field $B{_\phi }$ to determine the poloidal electric current. The radial derivative of $B{_\phi }$ used to do the boundary extrapolation is therefore derived from the angular momentum equation by replacing the local acceleration with the following expression:

\begin{displaymath}%
\rho\frac{\partial \left(r \Omega\right)}{\partial t} = \rh...
...Omega_\star + u_{\rm p} B_\phi/B_{\rm p} - r\Omega}{\Delta t},
\end{displaymath} (13)

where $\Delta t$is the Alfvén crossing time of one grid cell close to the stellar surface. In this way the magnetic torque forces the matter to rotate at the correct rotation speed at the stellar surface on a timescale $\Delta t$. The effectiveness of this boundary condition will be discussed in Appendix A: we will compare the results obtained imposing this boundary condition with the outcome of three other simulations characterized by boundary conditions on $B{_\phi }$ which are commonly used in the literature. In particular, we will show that an inappropriate boundary condition on $B{_\phi }$ can determine an incorrect rotation rate of the magnetic surfaces.

Notice that, since the magnetic surfaces anchored inside the disk are set initially in corotation with it, the initial rotation rate of the field lines is different from the stellar angular speed  $\Omega_\star$ and therefore introduces a differential rotation at the stellar surface. To minimize the effects due to this differential rotation, the stellar rotation speed in Eq. (13) is initially set to the value  $\Omega\left(\theta\right)$ corresponding to the initial rotation of the magnetic surfaces. It is then gradually brought to the value  $\Omega_\star$ on a time scale corresponding to two stellar rotations, i.e.  $4\pi/\Omega_\star$. This gradual acceleration of the stellar rotation initially triggers a weak torsional Alfvén wave propagating from the star to the disk surface. Finally the toroidal speed in the ghost cells is set to $u_\phi = r\Omega_\star + u_{\rm p} B_\phi/B_{\rm p}$.

At the outer radius delimiting the computational domain we imposed a power-law extrapolation for density and pressure and a linear extrapolation for all the other variables. Moreover, to impose the boundary condition on the toroidal field along the open field lines anchored on the surface of the star, we used an approach similar to the one adopted on the stellar boundary. We only replaced the ``coupling'' time $\Delta t$ of Eq. (13) with a few times the Alfvén crossing time of the entire computational domain. This condition ensures that the outer boundary would not exert any artificial torque on the central star, even when the plasma crossing this boundary is not outflowing at a super-Alfvénic speed.

2.4 Units and normalization

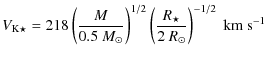
As customary, we normalized the MHD system of Eqs. (1) and the initial conditions presented in Sect. 2.2 to perform the calculations. We employed the stellar radius $R_\star$ as the unit length while, given the stellar mass $M_\star$, the velocities have been normalized on the Keplerian speed at the stellar radius $V_{{\rm K}\star}=\sqrt{GM_\star/R_\star}$. Finally, by assigning the reference density  $\rho _{{\rm d}0}$, the unit for the magnetic field is given by $B_0 = \sqrt{\rho_{{\rm d}0} V_{{\rm K} \star}^2}$. Consequently, the unit time is $t_0=R_\star/V_{{\rm K} \star}$, mass accretion (or ejection) rates will be expressed in units of $\dot{M}_0 = \rho_{{\rm d}0}R_\star^2V_{{\rm K} \star}$, powers in units of $\dot{E}_0 = \rho_{{\rm d}0}R_\star^2V_{{\rm K} \star}^3$ and torques in units of $\dot{J}_0 = \rho_{{\rm d}0}R_\star^3V_{{\rm K} \star}^2$. To make a direct application to young stars, we report here a standard normalization for a star of mass $M_\star = 0.5~M_\odot$, radius $R_\star = 2~R_\odot$ and taking $\rho_{{\rm d}0} = 6$ $\times $ 10-11 g cm-3.

                                              $\displaystyle V_{{\rm K} \star} = 218 \left(\frac{M}{0.5~M_\odot}\right)^{1/2} \left( \frac{R_\star}{2~R_\odot} \right)^{-1/2}\; {\rm\mbox{km s}}^{-1}$  
    $\displaystyle B_0 = 168 \left( \frac{\rho_{{\rm d}0}}{\scriptstyle 6\times 10^{...
...t}\right)^{1/2} \left( \frac{R_\star}{2~R_\odot}\right)^{-1/2} \; {\rm\mbox{G}}$  
    $\displaystyle t_0 = 0.074 \left(\frac{M}{0.5~M_\odot}\right)^{-1/2} \left( \frac{R_\star}{2~R_\odot} \right)^{3/2} \; {\rm\mbox{days}}$  
    $\displaystyle \dot{M}_0 = 4 \times 10^{-7} \left(\frac{\rho_{{\rm d}0}}{\script...
...left( \frac{R_\star}{2~R_\odot} \right)^{3/2}
\; M_\odot \; {\rm\mbox{yr}}^{-1}$  
    $\displaystyle \dot{E}_0 \!=\! 1.2 \!\times\! 10^{34} \left(\frac{\rho_{{\rm d}0...
...)^{3/2} \!\left( \frac{R_\star}{2~R_\odot} \right)^{1/2}~ {\rm erg~ s}^{-1}.~ ~$ (14)

2.5 The simulation parameters

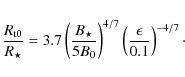
Once they are normalized, the initial and boundary conditions presented in Sect. 2.2 depend on six dimensionless parameters: the disk thermal aspect-ratio $\epsilon$, the equatorial stellar field strength  $B_\star/B_0$, the stellar rotation rate $\delta_\star = \Omega_\star/\sqrt{GM_\star/R^3_\star}$, the density contrast between the disk and the corona  $\rho_{{\rm a}0}/\rho_{{\rm d}0}$, the viscous and resistive coefficients  $\alpha_{\rm v}$ and  $\alpha_{\rm m}$. In the simulations presented in this paper we assume a disk aspect-ratio $\epsilon = 0.1$ and a stellar magnetic field $B_\star = 5 \; B_0$. In the standard ``YSO'' units given in Sect. 2.4 this corresponds to a field intensity $B_\star = 840$ G. Since in the initial conditions we truncate the disk at the radius where the magnetic field is in equipartion with the thermal pressure of the disk, these two parameters also determine the initial ``fiducial'' truncation radius  $R_{{\rm t}0}$:

\begin{eqnarray*}\frac{R_{{\rm t}0}}{R_\star} = 3.7 \left(\frac{B_\star}{5 B_0}\right)^{4/7} \left(\frac{\epsilon}{0.1}\right)^{-4/7}\cdot
\end{eqnarray*}


The star is taken to be rotating at one tenth of its break-up speed ( $\delta_\star = 0.1$). Its period of rotation is therefore $P_\star = 2 \pi t_0/\delta _\star $ which, in the standard ``YSO'' units, corresponds to $P_\star \sim 4.65$ days. This period of rotation corresponds to a corotation radius $R_{\rm co} = R_\star /\delta_\star^{2/3} = 4.64~R_\star$. The coronal density contrast has been set to $\rho_{{\rm a}0}/\rho_{{\rm d}0} = 10^{-2}$.

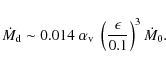
The aim of this paper is to numerically test the feasibility and the efficiency of an ``extended magnetosphere'' scenario, where the stellar magnetosphere connects to the disk below and beyond the corotation radius. As discussed in Sect. 1, the build-up of the toroidal field pressure due to the differential star-disk rotation can lead to the inflation and opening of the magnetosphere (Uzdensky et al. 2002), thus reducing the size of the connected region. A high disk resistivity can prevent, at least in part, this phenomenon so that the magnetic connection can be maintained even beyond  $R_{\rm co}$. In fact, the field line opening typically happens when a maximum critical field twisting is attained: the disk resistivity allows some azimuthal slippage of the field lines relative to the disk material, thus reducing the growth of the twist and, at least in some part of the disk, preventing it from reaching its critical value. Moreover, the disk resistivity allows some radial diffusion of the poloidal field through the disk, so that the magnetic structure can also expand radially while keeping its connection. In order to obtain the largest magnetospheric connection possible, we therefore set the parameter $\alpha_{\rm m} = 1$. The viscosity parameter  $\alpha_{\rm v}$ is also set to unity ( $\mathcal{P}_{\rm m} \sim 0.7$). As discussed in Sect. 2.2, a value $\alpha_{\rm v} = 1$ allows the disk to accrete across its entire height. The viscous accretion rate  $\dot{M}_{\rm d}$ of the Kluzniak & Kita (2000) solution scales approximately with  $\alpha_{\rm v}$ and $\epsilon$ as:

\begin{displaymath}%
\dot{M}_{\rm d} \sim 0.014 \; \alpha_{\rm v} \; \left( \frac{\epsilon}{0.1} \right)^3 \dot{M}_0.
\end{displaymath} (15)

\begin{figure}
\par\includegraphics[width=17cm,clip]{12879f2.eps}
\end{figure} Figure 2:

Time evolution of logarithmic density maps in units of $\rho _{{\rm d}0}$. Time is given in units of the period of rotation of the central star $P_\star = 2 \pi t_0/\delta _\star $. Sample field lines are plotted (solid lines). The magnetic surface anchored at the corotation radius of the disk is plotted with a dot-dashed line. Poloidal velocity vectors are plotted with blue arrows. The Alfvén surface of the outflow is also plotted (dotted line).

Open with DEXTER

We will present results obtained with four different simulations characterized by the same parameters and different ``stellar'' boundary conditions: the reference simulation, whose boundary conditions have been described in Sect. 2.3, will be discussed in Sects. 3 and 4, while the simulations done to test different boundary conditions will be presented in Appendix A.

\begin{figure}
\par\includegraphics[width=8.5cm,clip]{12879f3a.eps}\hspace*{2mm}
\includegraphics[width=8.6cm,clip]{12879f3b.eps}
\end{figure} Figure 3:

Left panel: radial behavior of the rotation speed of the accretion disk  $\Omega /\Omega _\star $, (solid line), accretion sonic Mach number (dot-dashed line) and plasma $\beta $ (dotted line). The Keplerian and the $\Omega = \Omega _\star $ rotation profiles are plotted with a dashed line. Right panel: radial behavior of the specific torques acting on the disk (see the text for definitions): magnetic (solid line), viscous (dashed line), accretion (dotted line) and kinetic (dot-dashed line) torques. The snapshots are taken at approximately ${\sim }55$ periods of rotation of the central star. The radii characterizing the dynamics of the star-disk interaction are marked with a vertical line: the truncation radius $R_{\rm t}$, the radius at which the magnetic and the viscous torques are equal $R_{\rm v}$, the corotation radius  $R_{\rm co}$ and the radius marking the last magnetic surface connecting the disk with the star  $R_{\rm out}$.

Open with DEXTER

3 An extended magnetosphere model

The time evolution of the reference simulation is shown in Fig. 2. Several features can be noticed: (1) the simulation reaches a quasi-stationary state (approximately after 15 stellar rotation periods); (2) the formation of accretion funnel flows emerging from the accretion disk truncated at $R_{\rm t} \sim 2.8~R_\star$; (3) an extended magnetosphere connecting the star and the disk up to $R_{\rm out} \sim 12~R_\star$, well beyond the corotation radius located at $R_{\rm co} = 4.64~R_\star$; (4) a stellar wind flowing along the opened magnetic field lines anchored on the surface of the star.

The main aim of this simulation is to study the angular momentum balance in a magnetized disk-star system characterized by a magnetosphere extending beyond the corotation radius. In Sect. 3.1 we will analyze the torques acting on the disk and discuss the disk truncation and the formation of the funnel flows. The angular momentum exchange between the star and the disk along the funnel flows will be presented in Sect. 3.2. The angular momentum balance of the star determined by the star-disk and the star-wind coupling will be discussed in Sect. 3.3.

3.1 Torques acting on the disk

The angular momentum balance can be studied by inspecting the angular momentum conservation equation in the system (1). By integrating this equation over the full disk thickness $2H\left( r \right)$ and assuming stationarity ( $\partial t = 0$) we can write the following expression:

\begin{displaymath}%
\Gamma_{\rm acc} = \Gamma_{\rm visc} + \Gamma_{\rm mag} +\Gamma_{\rm kin},
\end{displaymath} (16)

which expresses the angular momentum conservation inside an annulus of the disk of radial width ${\rm d}r$ and thickness 2H. Here we defined the disk thickness H as the height where the transport coefficients, Eq. (5), vanish.

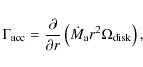
The differential torque:

\begin{displaymath}%
\Gamma_{\rm acc} = \frac{\partial}{\partial r} \left( \dot{M}_{\rm a} r^2 \Omega_{\rm disk} \right),
\end{displaymath} (17)

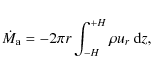
quantifies the angular momentum advected through a disk ring ${\rm d}r$. The mass accretion rate inside the disk is defined as:

\begin{displaymath}%
\dot{M}_{\rm a} = - 2 \pi r \int_{-H}^{+H} \rho u_r ~ {\rm d}z,
\end{displaymath} (18)

while $\Omega_{\rm disk}$ is its angular speed. The differential viscous torque

\begin{displaymath}%
\Gamma_{\rm visc} = -2 \pi \frac{\partial}{\partial r} \left( r^2 \int_{-H}^{+H} \tau_{r \phi} ~ {\rm d}z \right),
\end{displaymath} (19)

describes the outward radial transport of the angular momentum inside the disk itself. The specific magnetic torque is defined as:

\begin{displaymath}%
\Gamma_{\rm mag} = r^2 B_\phi^+ B_{\rm p}^+,
\end{displaymath} (20)

where $B_\phi^+$ and $B_{\rm p}^+$ are the toroidal and the poloidal magnetic field components calculated at the disk surface $H\left( r \right)$. This torque measures the angular momentum exchanged at the disk surface with the large-scale stellar magnetic field. Notice that we neglected the radial transport due to the magnetic field. Finally, the kinetic torque

\begin{displaymath}%
\Gamma_{\rm kin} = -4 \pi r^3 \rho^+ \Omega^+u_{\rm p}^+,
\end{displaymath} (21)

conveys the angular momentum advected by the material extracted from an annulus ${\rm d}r$ of the disk. In this expression $\rho^+$, $ \Omega^+$, $u_{\rm p}^+$ are respectively the density, rotation speed and poloidal speed measured at the disk surface[*].

In the right panel of Fig. 3 we plot as a function of the radius the differential torques acting on the disk at a time equivalent to ${\sim }55$ orbits of the central star. It is possible to see that at large radii ( $R > 8~R_\star$) the accretion is controlled by the viscous torque  $\Gamma_{\rm visc}$ where it equals the accretion torque  $\Gamma_{\rm acc}$. We can also see in the left panel of Fig. 3 that in this region the rotation of the disk stays perfectly Keplerian. Since the accretion is controlled by an $\alpha$ viscous torque, the typical sonic Mach number of the accretion flow is $M_{\rm s} = \left\vert u_r\right\vert/C_{\rm s} \sim \alpha_{\rm v} \epsilon$, therefore strongly subsonic.

We can see that beyond the corotation radius  $R_{\rm co}$ up to the last connected magnetic surface  $R_{\rm out}$ the magnetic torque  $\Gamma_{\rm mag}$ is negative: the star is transferring angular momentum to the disk due to the fact that in this region the disk is rotating slower than the star. Moreover, notice that this torque is effective only over a small radial extension beyond the corotation radius. Nevertheless, the strength of this part of magnetospheric torque is lower than the viscous one and therefore the disk is able to cross the centrifugal barrier determined by the stellar rotation. The magnetic torque changes sign at $R_{\rm co} = 4.64~R_\star$ and becomes the dominant braking torque at $R_{\rm v} \sim 4~R_\star$, where the viscous and the magnetic torques are equal. Notice that at this location the condition $\beta = 8\pi P/B^2 \gg 1$ still holds. This radius is sometimes taken as an estimate of the truncation radius (Armitage & Clarke 1996; Collier Cameron & Campbell 1993; Matt & Pudritz 2005a): our simulation shows that this can give an upper limit to the actual truncation radius with an error up to $60\%$. On the other hand it is true that, if no outflows are present, the star will basically accrete all the angular momentum owned by the disk at this radius (Matt & Pudritz 2005a). In the region in which the magnetic torque is dominant, $\Omega_{\rm disk}$ takes the typical shape of a ``magnetically torqued'' disk (Kluzniak & Rappaport 2007): the stellar rotation forces the disk material to corotate at  $\Omega_\star$ and therefore the disk rotation becomes strongly sub-Keplerian. All the missing angular momentum is obviously transferred to the star. When the magnetic torque dominates, $M_{\rm s}$ increases and becomes almost unity (Bessolaz et al. 2008): subsequently, when the magnetic field pressure becomes comparable to the thermal plus ram pressure of the accreting material ( $\beta \sim M_{\rm s}^{-2} \geq 1$) the accretion flow is strongly slowed down. This sudden decrease of the Mach number compresses and adiabatically heats the disk: the thermal pressure is now sufficient to lift up the material from the disk and mass-load the accretion columns. This is clearly shown in the right panel of Fig. 3: close to the truncation radius the dominant torque acting on the disk is the kinetic one (dot-dashed line): the braking here is given by the loading of spinning mass onto the base of the accretion columns. Notice that in the region magnetically connected to the star the magnetic and the kinetic torque do not match the accretion torque: this means that the accretion flow is not perfectly stationary, as will be shown in Sect. 3.3.

We briefly recall here some arguments about the estimate of the position of the truncation radius $R_{\rm t}$ as they are presented in Bessolaz et al. (2008). A general expression for the truncation radius of an accretion disk, assuming a dipolar structure for the stellar magnetic field, is given by:

\begin{displaymath}%
R_{\rm t} = \left(\beta M_{\rm s}\right)^{2/7} \; \left( \f...
...1/7} = 2^{1/7}\left(\beta M_{\rm s}\right)^{2/7} \; R_{\rm A},
\end{displaymath} (22)

where $R_{\rm A}$ is the classical Alfvénic radius for a spherical free-fall collapse (Elsner & Lamb 1977). As confirmed by the results presented in this section, a dominant magnetic torque leads to the condition $M_{\rm s} \la 1$. Moreover, if the stellar magnetic field must balance the push of the accretion disk in the poloidal plane, we also get $\beta = 8\pi P/B^2 \sim 1$ (Pringle & Rees 1972; Aly 1980). These physical conditions, which are valid for any topology of the stellar field, naturally lead to the estimate $R_{\rm t} \sim R_{\rm A}$. Notice that the pressure equilibrium configuration which characterizes the disk truncation can be subject, in principle, to interchange instabilities, as already depicted in Kulkarni & Romanova (2008). Besides, both $R_{\rm t}$ and $R_{\rm v}$ are smaller than the corotation radius: in fact, if the disk is truncated inside the corotation radius ( $R_{\rm t} < R_{\rm co}$), the magnetic torque can brake both the disk and the funnel flow rotation to allow accretion; moreover, if the magnetic torque is greater than the internal (turbulent) torque beyond the corotation radius ( $R_{\rm v} > R_{\rm co}$), the accretion would be stopped by the centrifugal barrier determined by the stellar rotation. Notice that, despite the gradient shown in the truncation region by both quantities $\beta $ and $M_{\rm s}$, the error on the position of the truncation radius is rather small due to the small exponent (2/7 for a dipolar topology) of the multiplying factor  $\beta M_{\rm s}$. It is possible to limit this uncertainty to $R_{\rm t} \sim 0.5{-}1~R_{\rm A}$, in agreement with other analytical and numerical estimates (Ghosh & Lamb 1979a; Ostriker & Shu 1995; Wang 1996; Königl 1991; Arons 1993; Long et al. 2005). This particular simulation is consistent with an estimate $R_{\rm t} \sim 0.5~R_{\rm A}$.

It must be also pointed out that, although the truncation radius is located at ${\sim}2.8~R_\star$, the magnetic surfaces which are mass-loaded to form the funnels were initially located around corotation ( ${\sim}4.3~R_\star \la R_{\rm co}$) and subsequently they have been advected and compressed at the truncation radius by the accretion flow (Fig. 4): the location of the accretion spots is therefore located at high latitudes, corresponding to the footpoints of the field lines that were anchored slightly below the corotation radius in the initial dipolar configuration. The advection of the inner field lines yields a deviation from the initial potential configuration and the formation of ``screening'' currents at the surface of the disk: the thermal push triggered by the compression at the truncation radius is necessary to cross the gravito-centrifugal barrier along ``screened'' field lines (Li & Wilson 1999). Thermal effects can be neglected, for example, in the case of potential dipolar fields for $R_{\rm t} < 0.87~R_{\rm co}$ (Koldoba et al. 2002) or if the magnetospheric field lines emerging from the corotation radius are conveniently inclined towards the star (Ostriker & Shu 1995; Mohanty & Shu 2008): in these cases the gravitational pull is sufficient to cross the centrifugal barrier, but we showed that the interaction with an accretion disk tends to prevent these potential configurations. The redistribution of the initial dipolar field shown in Fig. 4 also has important consequences for the efficiency of the star-disk magnetic coupling, as will be discussed in Sect. 3.3.1.

\begin{figure}
\par\includegraphics[width=17cm,clip]{12879f4.eps}\vspace{4mm}
\end{figure} Figure 4:

Initial magnetic configuration (dashed lines) and after ${\sim }55$ periods of rotation of the star (solid lines). The field lines are marked with the corresponding value of the flux function  $\Psi _\star $. A logarithmic density map in units of $\rho _{{\rm d}0}$ is shown in the background.

Open with DEXTER

\begin{figure}
\par\includegraphics[width=8.5cm,clip]{12879f5a.eps}\hspace*{4mm}
\includegraphics[width=8.65cm,clip]{12879f5b.eps}
\end{figure} Figure 5:

Left panel: magnetic (solid line) and kinetic (dashed line) angular momentum fluxes normalized over the magnetic flux (see the text for the definitions) calculated along a field line connecting the star with the accretion disk through the accretion column. The sum of the magnetic and the kinetic fluxes is plotted with a dotted line. A positive flux goes from the disk towards the star. The arc length D goes from the star (D=0) to the midplane of the disk. Right panel: forces projected along the same field line passing through the accretion column: thermal pressure gradient (solid line), Lorentz force (dashed line), gravity (dotted line) and centrifugal acceleration (dot-dashed line). A positive force pushes along the field line from the star towards the disk. Both snapshots are taken at approximately ${\sim }46$ periods of rotation of the central star. The vertical lines indicate the position of the slow-magnetosonic point (SM) and the transition between ideal and resistive MHD regimes (RMHD). The Alfvén critical point is not crossed.

Open with DEXTER

3.2 Dynamics of the funnel flow

We discuss here how the funnel flows transfer angular momentum between the star and the disk. We define:

\begin{displaymath}%
k = \frac{4 \pi \rho u_{\rm p}}{B_{\rm p}},
\end{displaymath} (23)

that is the ratio between the mass and the magnetic flux, and

\begin{displaymath}%
l_{\rm kin} = r^2 \Omega, \qquad l_{\rm mag} = - \frac{r B_\phi}{k},
\end{displaymath} (24)

i.e. the specific angular momentum transported by the matter and the magnetic field respectively. The quantities  $k l_{\rm kin}$ and  $k l_{\rm mag}$ represent respectively the flux of angular momentum associated with the matter and the field, normalized over the magnetic flux. Notice that in an axisymmetric stationary state the quantities k and $l = l_{\rm kin} + l_{\rm mag}$ are constant along a given field line. In Fig. 5 we show the value of the two normalized fluxes  $-k l_{\rm kin}$ and  $-k l_{\rm mag}$ along a field line passing through the accretion column. Notice that in the accretion funnel l>0 while k < 0, since $u_{\rm p}$ is antiparallel to $B_{\rm p}$. As already shown in Sect. 3.1, the advection of the angular momentum dominates at the base of the accretion column. Subsequently the material flowing along the funnel is spun down by the stellar rotation and transfers its angular momentum to the field. At the stellar surface the magnetic torque is largely dominant. Notice that the sum of the two fluxes is satisfactory constant along the funnel, meaning that the accretion curtain is in a quasi stationary situation. The angular momentum transfer from the matter to the field has the fundamental effect of reducing the centrifugal acceleration acting on the infalling material which can therefore freely accrete under the action of gravity.

The projection of the forces along a magnetic field line which follows the accretion column is plotted in the right panel of Fig. 5: at the base of the column the thermal pressure gradient uplifts and pushes the matter against the action of the gravitational pinch and the centrifugal barrier, accelerating the plasma up to the slow-magnetosonic surface. Just after this critical point the gravity pulls the gas towards the stellar surface while, as already anticipated, the centrifugal acceleration reduces its strength approaching the star. Under the action of gravity the infalling material becomes strongly supersonic ( $M_{\rm SM,max} \sim 9$) and reaches the stellar surface almost at free-fall speed ( $u_{\rm p} \sim V_{{\rm K}\star}$, see Fig. 6). The convergence of the magnetospheric field lines towards the stellar surface determines an adiabatic compression of the plasma: the slow-magnetosonic Mach number  $M_{\rm SM}$slightly decreases and the thermal pressure gradient mildly resists the gravitational pull. A weak Lorentz force pushes against the matter's fall too. The Lorentz force along a magnetic surface  $F_\parallel$ is related to the toroidal Lorentz force $F_\phi$ by the simple relation:

\begin{eqnarray*}F_\parallel = -\frac{B_\phi}{B_{\rm p}} F_\phi.
\end{eqnarray*}


Since the toroidal Lorentz force is slowing down the rotation of the infalling material ( $F_\phi < 0$) and the accretion happens along leading spirals ( $B_\phi/B_{\rm p} > 0$), therefore the parallel Lorentz force is slowing down accretion ( $F_\parallel > 0$). The stellar magnetic field favors accretion by extracting angular momentum from the funnel material, while in the poloidal direction it acts as a magnetic cushion, setting back accretion. Notice that, since the accretion flow is sub-Alfvénic ( $M_{\rm A,max} \sim 0.25$), the ratio  $B_\phi/B_{\rm p}$ is always rather small ( $B_\phi/B_{\rm p}\vert_{\rm max} \sim 0.09$): the toroidal force is therefore much stronger than the parallel one. Notice that, despite the small $B_\phi/B_{\rm p}$ value, the matter angular speed $\Omega$ can noticeably differ from  $\Omega_\star$ (see Fig. 6), due to the large value of the poloidal speed $u_{\rm p}$, in agreement with Eq. (12).

\begin{figure}
\par\includegraphics[width=8.5cm,clip]{12879f6.eps}
\end{figure} Figure 6:

Profiles along the accretion funnel of matter angular speed ( $\Omega /\Omega _\star $, triple-dot-dashed line), poloidal speed magnitude ($u_{\rm p}$, solid line), slow-magnetosonic Mach number ( $0.1~M_{\rm SM}$, dot-dashed line), Alfvénic Mach number ($M_{\rm A}$, dashed line) and density ($\rho $, dotted line). The arc length D goes from the star (D=0) to the midplane of the disk. The right scale shows density values, the left scale is appropriate for all the other quantities. The vertical lines indicate the position of the slow-magnetosonic point (SM) and the transition between ideal and resistive MHD regimes (RMHD).

Open with DEXTER

What determines the shape of the accretion spirals (leading or trailing), namely the sign of $B{_\phi }$ along the accretion columns? This has an important consequence: in a leading spiral ( $B_\phi B_{\rm p} > 0$) the Poynting flux transfers angular momentum from the disk to the star, while a trailing spiral ( $B_\phi B_{\rm p} < 0$) transfers momentum from the star to the disk. By combining Eq. (24) with the relation between matter and field rotation $r\Omega = r\Omega_\star+u_{\rm p}B_\phi/B_{\rm p}$, we obtain:

\begin{displaymath}%
\frac{r B_\phi B_{\rm p}}{4\pi} = \rho u_{\rm p} \frac{r^2\Omega_\star -l}{1-M_{\rm A}^2}
\end{displaymath} (25)

where $M_{\rm A}<1$ is the Alfvénic Mach number of the accretion column and $u_{\rm p} < 0$, i.e. material is accreting towards the star. By evaluating this expression in the vicinity of the truncation radius, we see that a leading spiral is obtained when the specific angular momentum of the accretion column l is greater than $R_{\rm t}^2 \Omega_\star$. Since below the corotation radius the disk is still rotating faster than the star, the specific angular momentum loaded onto the accretion column is larger than $R_{\rm t}^2 \Omega_\star$ and, therefore, our spiral is leading. A typical solution characterized by a trailing spiral is the accretion funnel calculated by Ostriker & Shu (1995), making the assumption l=0. In an accretion column with l=0 the advection of angular momentum towards the star is perfectly balanced by a magnetic flux directed towards the disk. Notice that, in their model, the hypothesis l=0 requires the presence of an outflow, the ``X-Wind'' (Shu et al. 1994), capable of removing all the angular momentum from the accretion disk close the corotation radius, before it is loaded along the funnels. This extra, ad hoc, component is not present in our calculations but will be discussed in subsequent works.

3.3 The stellar angular momentum

We finally study the angular momentum evolution of the star. The angular momentum conservation equation integrated over the stellar surface gives the expression:

\begin{displaymath}%
\frac{\partial J_\star}{\partial t} = \dot{J}_{\rm mag} + \dot{J}_{\rm kin},
\end{displaymath} (26)

where we separated the torque into magnetic:

\begin{displaymath}%
\dot{J}_{\rm mag} = \int_{{\vec S}_\star} \frac{r B_\phi \v...
...c S} = R_\star^2 \int r B_\phi B_R \sin\theta ~ {\rm d}\theta,
\end{displaymath} (27)

and kinetic:

\begin{displaymath}%
\dot{J}_{\rm kin} = -\int_{{\vec S}_\star} \rho r^2 \Omega ...
...R_\star^2 \int \rho r^2 \Omega u_R \sin\theta ~ {\rm d}\theta.
\end{displaymath} (28)

In Fig. 7 we plot the temporal evolution of the torques acting on the surface of the star normalized to the total angular momentum of the star ( $J_\star = 2/5~M_\star R_\star^2 \Omega_\star$) which gives the inverse of the characteristic braking time. A positive torque spins up the star while a negative one brakes it. First of all, it can be noticed that the kinetic torque is always negligible: as already shown in Sect. 3.2 even the material accreted along the funnels has lost most of its angular momentum before reaching the star and has transferred it to the magnetic field. To evaluate the different contributions to the magnetic torque, we divided the stellar surface  ${\vec S}_\star$ into three different parts: the integrals over the areas which are still connected to the disk below and beyond the corotation radius allow us to examine the star-disk angular momentum exchange (Sect. 3.3.1); the integral over the area which is magnetically disconnected from the disk and threaded by opened field lines measures the torque exerted by a stellar wind (Sect. 3.3.2).

\begin{figure}
\par\includegraphics[width=8.4cm,clip]{12879f7a.eps}\hspace*{5mm}
\includegraphics[width=7.88cm,clip]{12879f7b.eps}
\end{figure} Figure 7:

Left panel: time evolution of torques acting on the surface of the star, normalized over the stellar angular momentum. This defines the inverse of the braking time. We plot the kinetic torque (dotted line), the magnetic torque acting along the opened field lines (dot-dashed line), along the magnetosphere connected to the disk below (solid line) and beyond (dashed line) the corotation radius. A positive torque spins up the stellar rotation. The inverse of the braking time is given in units of t0-1: in the standard ``YSO'' normalization (see Sect. 2.4) a value 2 $\times $ 10-10 corresponds approximately to $10^{-6}~{\rm Myr}^{-1}$. Right panel: time evolution of the mass accretion rate measured on the surface of the star (thin solid line) and inside the disk beyond the corotation radius (thick solid line). In the standard ``YSO'' normalization an accretion rate of 0.03 corresponds approximately to 1.2 $\times $ $10^{-8}~M_\odot~{\rm yr}^{-1}$. Time is given in units of the rotation period of the central star.

Open with DEXTER

3.3.1 The star-disk magnetic coupling

The plot in the left panel of Fig. 7 shows that the magnetic torque calculated along the magnetosphere connected inside the corotation radius is always spinning up the star while the transport of the angular momentum along the lines connected beyond the corotation radius is not sufficient to balance the accretion torque: the braking torque represents less than $10\%$ of the accretion torque. It was already possible to perceive this effect in Fig. 3, where it was clear that the magnetic torque spinning up the disk beyond corotation is much smaller than the one braking the disk rotation. The spin-up torque shows a peculiar quasi-periodic oscillation: this corresponds to a variation of the mass accretion rate  $\dot{M}_{\rm acc}$ onto the surface of the star (see right panel in Fig. 7), with an average period of ${\sim}2 P_\star$. This peculiar oscillation is a direct consequence of an unbalance between the viscous torque, controlling the disk accretion rate on the large scale down to $R_{\rm v}$, and the magnetic torque associated with the stellar rotation, regulating accretion below $R_{\rm v}$: the accretion rate measured at the stellar surface almost regularly oscillates around the average disk accretion rate as determined by the viscous torque. The truncation radius also oscillates, in good agreement with Eq. (22). It is important to point out that the characteristic timescale associated with the magnetic torque is only a few times the Keplerian timescale at corotation and it is therefore able to produce such a rapid oscillation. The viscous timescale can determine only much slower variations of the accretion rate, such as the long-term average increase seen in the right panel of Fig. 7): this is caused by the small amount of heating that has been left active inside the accretion disk (see Sect. 2.1) which increases by  ${\sim}25\%$ the thermal heightscale of the disk and the viscous accretion rate consistently with Eq. (15). There is a priori no reason for these two torques to provide the same  $\dot{M}_{\rm acc}$, but other combinations of the parameters of the problem, $B_\star$, $\alpha_{\rm m,v}$, $\Omega_\star$, can result in a better matching. It is also possible to conjecture that a solution characterized by a super-Alfvénic funnel flow would favor the equality of the two accretion rates by imposing an additional constraint on the accretion flow.

What is limiting the efficiency of the braking torque associated with the star-disk interaction? The ``extended magnetosphere'' torque can be obtained by radially integrating Eq. (20):

\begin{eqnarray*}\dot{J}_{\rm ext} = \int_{R_{\rm co}}^{R_{\rm out}} r^2 ~ q ~ B_{\rm p}^2 ~ {\rm d}r,
\end{eqnarray*}


and it depends on three factors: the field ``twist'' at the disk surface, given by the ratio $q = B_\phi ^+/B_{\rm p}$, the extension of the connected zone beyond the corotation radius ( $R_{\rm out}$) and the intensity of the poloidal field  $B_{\rm p}^2$. In the classical Ghosh & Lamb (1979b) scenario, the twist q can increase arbitrarily due to the differential rotation between the star and the disk, while the poloidal field approximately keeps a potential dipolar configuration connecting to the disk over a very large portion of its surface. On the other hand, the field twisting and the build-up of toroidal field pressure prevents the field from keeping a potential (current-free) configuration and it leads to the inflation of the potential dipolar structure. As already pointed out in the Introduction, this can happen in two ways: by opening the dipolar structure at mid-latitudes, as in Uzdensky et al. (2002), or, if the disk resistivity is high enough, by diffusing radially outwards the magnetic surfaces, as proposed by Agapitou & Papaloizou (2000). Both effects decrease the efficiency of the spin-down torque: the opening by reducing the size of the connected region ( $R_{\rm out}$) once a maximum value of the field twisting q has been achieved; the diffusion by reducing the poloidal field strength  $B_{\rm p}^2$. Our time-dependent models can consistently take into account the effects associated with opening, advection and diffusion of the magnetic field. As it is shown in Fig. 8 (lower panel), the field twisting reaches a maximum value of q $\sim$ -4 in the region beyond the corotation radius after which the magnetic connection with the star is lost beyond $R \sim 12.7~R_\star$ due to the opening of the field lines. The extension of the closed magnetosphere and the maximum value of the twist would provide a much more efficient torque if the field had kept a potential dipolar configuration, as assumed in the Matt & Pudritz (2005a) models. On the other hand, the upper panel of Fig. 8 shows clearly that the intensity of the poloidal field is strongly reduced with respect to the original dipolar distribution in the region beyond corotation: this is the result of the competition between the advection and compression of the field lines in the sub-corotation region and the diffusion at larger radii, in agreement with Agapitou & Papaloizou (2000). The redistribution of the magnetic surfaces due to the star-disk interaction was clearly visible in Fig. 4.

\begin{figure}
\par\includegraphics[width=8.5cm,clip]{12879f8.eps} \end{figure} Figure 8:

Upper panel: poloidal magnetic field along the midplane of the disk (solid line). The behavior of the initial potential dipolar field (R-3) is plotted for comparison (dashed line).The power law R-4.5 is plotted as a reference (dotted line). Lower panel: radial behavior of the magnetic field twist $q = B_\phi ^+/B_{\rm p}$ calculated at the surface of the disk (solid line). The snapshots are taken at ${\sim }55$ periods of rotation of the central star, as in Fig. 3. The vertical lines indicate the position of the truncation radius $R_{\rm t}$, the corotation radius  $R_{\rm co}$ and the anchoring radius of the last magnetic surface connecting the star and the disk ( $R_{\rm out}$).

Open with DEXTER

\begin{figure}
\par\includegraphics[width=8.5cm,clip]{12879f9.eps}
\end{figure} Figure 9:

Time evolution of the mass flux of the stellar wind measured on the opened filed lines emerging from the stellar surface (solid line, left scale). The average magnetic lever arm of the wind is also plotted (dot-dashed line, right scale).

Open with DEXTER

3.3.2 The stellar wind

A more efficient braking of the star occurs along the opened field lines anchored on its surface, due to a stellar wind which was already clearly visible in Fig. 2: the wind torque corresponds to approximately $20\%$ of the accretion torque. The characteristics of this wind are summarized in Fig. 9, where we plot the temporal evolution of the mass-outflow rate of the wind and its average lever arm  $\overline{r}_{\rm A}/R_\star$, given by ratio between the mean (cylindrical) radial position of the Alfvén surface and the radius of the star. The torque exerted by the wind is given by the expression:

\begin{displaymath}%
\dot{J}_{\rm wind} = -\dot{M}_{\rm wind} \; \overline{r}_{\rm A}^2 \Omega_\star.
\end{displaymath} (29)

Equation (29) is the actual definition of  $\overline{r}_{\rm A}$: the location of the Alfvén radius varies around this value on each field line. Despite the small ejection efficiency ( $\dot{M}_{\rm wind}/\dot{M}_{\rm acc} \sim 0.012$) the torque is strongly enhanced by the huge lever arm $\overline{r}_{\rm A}/R_\star \sim 19$, which is a consequence of the widely opened geometry of the magnetic surfaces. We point out that our ejection rate  $\dot{M}_{\rm wind}$ is not imposed, but is just controlled by the ``outflow''-like boundary conditions (see Sect. 2.3) which allow the injection speed to vary with time. Its mild variability seems to follow the quasi-periodic oscillations of the accretion rate, suggesting a dynamical link between accretion and ejection. The oscillations of the closed magnetosphere can obviously affect the shape of the ``nozzle'' of the stellar wind and consequently the rate of the flow and its speed. The dynamical link between accretion and stellar ejection can be not only energetic, as proposed by Matt & Pudritz (2005b), but also ``topological'', determined by the equilibrium between the closed and opened magnetosphere, as also discussed in Sect. 4.

The main problem of a stellar wind launched from the surface of a star rotating well below its break-up speed is that neither centrifugal effects, nor a magnetic acceleration are able to give the first thrust to the outflowing gas. In our case, the base of the wind is accelerated by a thermal pressure gradient: on the other hand such a thermally driven wind requires an enthalpy comparable to the gravitational potential energy at the surface of the star. In the case of T Tauri stars this corresponds to have temperatures of the order ${\sim}10^6$ K, which in turn poses severe cooling and radiative problems (Matt & Putritz 2007; Ferreira et al. 2006). Some other source of ``pressure'', possibly due to turbulent Alfvén waves (DeCampli 1981), must be introduced. Following the suggestion of Matt & Pudritz (2005b), a fraction of the accretion power could be used to drive the stellar wind: in this particular simulation, the thermal power which drives the outflow corresponds to around ${\sim}2\%$ of the available accretion power. Here we considered that only the kinetic energy of the infalling material is available to power the wind: this corresponds to the gravitational energy liberated by the infalling material minus the work done by the accretion torque on the stellar rotation. Obviously a higher mass outflow rate of the stellar wind would require a larger energy conversion efficiency.

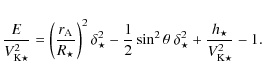
The forces projected along a field line of the stellar wind as a function of the cylindrical radius are plotted in the upper panel of Fig. 10: as already mentioned the thermal pressure gradient controls the dynamics of the wind up to the slow-magnetosonic critical surface; then the centrifugal acceleration pushes the outflow up to $r \sim 8~R_\star$, while the Lorentz force associated with a gradient of $B{_\phi }$ accelerates it up to the Alfvén surface. The flow along this particular field line has attained at the outer boundary a poloidal speed ${\sim}V_{{\rm K}\star} = \sqrt{GM_\star/R_\star}$. This means that not all the power available at the stellar surface has been converted into kinetic energy. This can be understood by inspecting the Bernoulli energy invariant E along this field line:

\begin{displaymath}%
E = \frac{1}{2}u^2+h-\frac{GM_\star}{R}-\frac{r\Omega_\star B_\phi}{k},
\end{displaymath} (30)

given by the sum of specific kinetic energy, enthalpy $h = \gamma c_{\rm s}^2/\left( \gamma-1\right)$, potential gravitational energy and Poynting-to-mass flux ratio. The k invariant was defined in Eq. (23). The behavior of these terms along the same field line are plotted in the bottom panel of Fig. 10. The value of the Bernoulli invariant can be estimated by evaluating it at the stellar surface. By introducing in Eq. (30) the specific angular momentum invariant

\begin{eqnarray*}l = r^2\Omega-\frac{rB_\phi}{k} = r_{\rm A}^2 \Omega_\star,
\end{eqnarray*}


where $r_{\rm A}$ is the cylindrical Alfvén radius of this particular magnetic surface, we obtain:

\begin{displaymath}%
\frac{E}{V_{{\rm K}\star}^2} = \left( \frac{r_{\rm A}}{R_\s...
...n^2\theta~\delta_\star^2+\frac{h_\star}{V_{{\rm K}\star}^2}-1.
\end{displaymath} (31)

It is possible to see that at the base of the wind the enthalpy is almost equal to the gravitational energy, the kinetic energy is negligible and the energy budget is dominated by the magnetic energy, which is around 4 times the thermal contribution. Consistently, taking $\delta_\star = 0.1$, $r_{\rm A} = 19.5$, $\theta = 16^{\circ}$ (the anchoring angle of the field line) and $ h_\star = V_{{\rm K}\star}^2$, we obtain $E \sim 3.8 V_{{\rm K}\star}^2$. At the outer end of the domain most of the enthalpy has been consumed to push the outflow, while a negligible fraction of the Poynting flux has been used, so that $u_{\rm p} \sim V_{{\rm K}\star}$. Despite being thermally driven at the base, the outflow is therefore magnetically dominated at least up to $R \sim 30~R_\star$.

\begin{figure}
\par\includegraphics[width=8.6cm,clip]{12879f1a.eps}\vspace*{4mm}
\includegraphics[width=8.7cm,clip]{12879f1b.eps}
\end{figure} Figure 10:

Upper panel: forces acting on the stellar wind calculated along one of the opened field lines anchored on the stellar surface. We plot the thermal pressure gradient (solid line), the Lorentz force (dashed line), the gravity (dotted line) and the centrifugal acceleration (dot-dashed line). Lower panel: Bernoulli (energy) invariant (solid line) along the same field line, given by the sum of Poynting-to-mass flux ratio (triple-dot-dashed line), kinetic energy (dashed line), potential gravitational energy (dotted line, in magnitude) and enthalpy (dot-dashed line). See the text and Eq. (30) for the definition of the different terms. The snapshots are taken at ${\sim }71$ stellar periods while the sample magnetic surface is anchored at ${\sim }16^{\circ }$ from the stellar pole. In both panels the vertical solid lines indicate the position of the slow-magnetosonic point (SM) and the Alfvén critical surface (A).

Open with DEXTER

\begin{figure}
\par\includegraphics[width=17cm,clip]{12879f11.eps}
\end{figure} Figure 11:

Poloidal electric circuits flowing in the star-disk-wind system. Dark (red) circuits are circulating clockwise along isosurfaces of $rB_\phi > 0$. Light (yellow) circuits are circulating counterclockwise along isosurfaces of $rB_\phi < 0$. A logarithmic density map in units of  $\rho _{{\rm d}0}$ is shown in the background, while sample magnetic field lines are also plotted (dot-dashed lines). The image is taken after  ${\sim}46~P_\star$.

Open with DEXTER

4 A global view: the electric circuits

The most synthetic way to have a global view of the magnetic coupling between the different parts of the system, namely the accretion disk, the star and the stellar wind, is to analyze the poloidal electrical currents circulating in the star-disk-wind system. The poloidal current, which is flowing along the isosurfaces $r B_\phi$ = const., gives an indication of both the magnetic torques, proportional to the toroidal component of the vector product $\vec{J}$ $\times $ $\vec{B}$, and the poloidal Lorentz force associated with the toroidal field, which is perpendicular to the isosurfaces. In Fig. 11, the dark (red) circuits (marked as A and C) are circulating clockwise, while the light (yellow) one (marked as B) is circulating anticlockwise. The dark (light) contours correspond to positive (negative) values of $r B_\phi$: the dark circuits are responsible for extracting angular momentum from the disk, while the light one extracts angular momentum from the star.

The electromotive force responsible for the innermost dark circuit (A) results from the differential rotation between the star and the sub-corotation region of the disk. The current flows out of the inner boundary (the star), enters the disk around corotation and flows radially inwards inside the disk: this clearly gives a braking force -JrBz. It subsequently flows back to the star along the accretion columns almost parallel to the field lines: this is consistent with the fact that the field inside the accretion columns is almost force-free (see the weak Lorentz force plotted in Fig. 5). This circuit must finally close itself inside the star, where the disk angular momentum is deposited.

The electromotive force which fuels the light circuit (B) is given by the differential rotation between the star and the part of the disk connected beyond the corotation radius. The current flows out of the star and flows radially outwards inside the disk, giving a toroidal accelerating force -JrBz: this force corresponds to the small negative magnetic torque shown in Fig. 3. The current flows out from the disk surface along the current sheet separating the opened field lines anchored on the star and the opened field lines anchored inside the disk: this is the site where the magnetosphere gets inflated and opens up due to an overwhelming star-disk differential rotation. This circuit closes back on the star along the current-carrying stellar wind. This is an important point, since it shows clearly that the dynamics of the stellar wind along the opened field lines are linked to what happens in the closed magnetosphere: the current available inside the wind is the same which is flowing inside the connected magnetosphere. This current is responsible for the magneto-centrifugal acceleration and the collimation of the outflow: in that sense the dynamics of the closed magnetosphere affects the transverse equilibrium and structure of the stellar wind given by the solution of the Grad-Shafranov equation. Obviously this coupling does not affect the launching mechanism at the base of the flow which, as we saw in Sect. 7, must be of different origin. Unfortunately we cannot fully follow this magnetic coupling: the current outflowing on the current sheet turns back inside the wind well beyond the Alfvén surface, which in our simulation is very close to the outer boundary of the computational domain (see Fig. 2). In Fig. 11 we can also see that in the stellar wind the current crosses the field lines at mid-latitudes, giving a net toroidal and poloidal accelerating force, while it flows almost parallel to the field close to the poles (force-free configuration).

A second dark circuit (C) braking the disk rotation is visible at outer radii ( $r > 14~R_\star$): this is reminiscent of the ``foot'' of the butterfly-like pattern characterizing the current circuit of disk-winds (Ferreira 1997). In our simulation this corresponds to a magneto-centrifugal ``breeze'' whose mass flux and torque are negligible and do not affect the underlying disk dynamics. The reason for this lies in the fact that the local disk magnetization is too small to drive a powerful disk-wind.

5 Discussion

We have presented the outcome of an axisymmetric MHD simulation of the interaction between a dipolar stellar magnetosphere with a surrounding viscous and resistive accretion disk. First, we described how the disk is truncated and the accretion flow is deviated into the funnels. The angular momentum extracted from the disk in the magnetically controlled region is transferred to the protostar, either by a magnetic torque, or along the accretion curtains: the disk exerts a spin-up torque on the star of the order $\dot{J} \sim \dot{M}_{\rm acc} \sqrt{GM_\star R_{\rm v}}$, where $R_{\rm v} < R_{\rm co}$ is the radius where the magnetic and the viscous torques are equal. The study of possible spin-down mechanisms is therefore fundamental to explain the angular momentum evolution of different classes of magnetized accreting stars whose rotation frequency is not steadily increasing. The setup and the parameters of the numerical experiment were carefully chosen to model two possible mechanisms which can brake the stellar rotation and balance the accretion torque: (1) an ``extended magnetosphere'' which keeps the connection with the disk beyond the corotation radius; (2) a stellar wind launched along the opened surfaces of the magnetosphere. In this particular simulation the ``extended magnetosphere'' torque is able to extract less than 10$\%$ of the accretion torque, while the stellar wind extracts more than 20$\%$ (see Sect. 3.3). Notice that, in the case of young forming stars, the spin-down mechanism must also balance the spin-up due to contraction.

We here discuss the possibility of increasing the efficiency of these two spin-down effects.

The feasibility of an effective ``extended magnetosphere'' torque results from two contradictory requirements, namely the presence of an extended magnetosphere characterized by a high value of both the field and its twist: while an extended connectivity requires a high (and maybe unphysical) disk resistivity ( $\alpha_{\rm m} \sim 1$in our models), the same dissipative effects reduce the values of both the field twisting and the intensity of the poloidal field, thus limiting the efficiency of the spin-down torque. A stronger magnetic coupling (a smaller disk resistivity) would induce a higher toroidal twist and therefore a stronger field inflation: by decreasing the $\alpha_{\rm m}$ parameter to $\alpha_{\rm m} \sim 0.1$, we verified that the spin-down torque is reduced, until the magnetic connection beyond the corotation radius is lost. Besides, recent numerical simulations (Lesur & Longaretti 2009; Guan & Gammie 2009) suggest that the turbulent magnetic Prandtl number ( $\mathcal{P}_{\rm m} = \nu_{\rm v}/\nu_{\rm m}$) of accretion disks is likely to be of order unity and therefore the turbulent resistivity and viscosity must vary accordingly. Moreover we showed that an extended magnetic coupling can lead to oscillations of the accretion rate and luminosity, due to a mismatch between the torques which control accretion, viscous and magnetic: such a regular oscillation, which has a period of a few stellar rotations, has never been observed in CTTS. On the other hand it is likely that these periodic oscillations can be avoided by tuning the parameters of the model, so as to obtain a better matching between the viscous and magnetic torques.

The relative efficiency of the spin-down torque can be improved reducing the disk accretion rate (and therefore the accretion torque) and/or increasing the strength of the stellar field so as to enhance the magnetic coupling in the $r > R_{\rm co}$ region. However, when expressed in physical units, the accretion rate employed in our models is typical of CTTS ( ${\sim}10^{-8}~M_\odot~{\rm yr}^{-1}$), while the magnetic field intensity ( $B_\star = 840$ G at the stellar equator, $2B_\star$ at the pole) is already compatible with the strongest dipolar components measured in CTTS, like BP Tau (Donati et al. 2008). Notice that both effects determine a larger truncation radius: compatibly with Eq. (22), $R_{\rm t}$ must be kept smaller than $R_{\rm co}$ in order to form the accretion columns. Moreover, an efficient disk spin-down torque, able to balance at least the accretion torque (``disk locked'' condition), would transfer in the region just beyond the corotation radius a specific angular momentum comparable to the local Keplerian one: this requires a strongly enhanced efficiency of the ``internal'' turbulent torque localized in the connected region to get rid of this excess angular momentum (see, for example, Matt & Pudritz 2005a; Rappaport et al. 2004, Fig. 6). If the internal torque is not efficient enough, the disk stops accreting and enters a ``propeller'' regime (Ustyugova et al. 2006).

The torque of the stellar wind depends on three factors, see Eq. (29): the outflow rate  $\dot{M}_{\rm wind}$, the average magnetic lever arm  $\overline{r}_{\rm A}$ and the stellar rotation rate  $\Omega_\star$. Since classical T Tauri stars rotate well below their break-up speed $\left(\Omega_\star \ll \sqrt{GM_\star/R_\star^3}\right)$ the outflow acceleration requires an extra energy input at the stellar surface: in our adiabatic simulation this extra pressure is provided by a large enthalpy, which can cause serious radiative cooling problems and is incompatible with observations (Matt & Putritz 2007; Ferreira et al. 2006). Regardless of the actual nature of this energy input, Matt & Pudritz (2005b) have proposed that a fraction of the energy deposited by accretion onto the stellar surface can be used to power the stellar wind. In such a scenario the mass-loss rate would essentially depend on the efficiency of the energy coupling between accretion and ejection: in the particular case of our numerical model a power coupling efficiency of just ${\sim}2\%$ can drive a mass-loss rate $\dot{M}_{\rm wind}/\dot{M}_{\rm acc} \sim 0.012$. The wind torque strongly depends on the length of the lever arm (e.g.  $\overline{r}_{\rm A} \sim 19~R_\star$ in our simulation) which is determined both by the mass-loss rate and the magnetic configuration. The efficiency of the stellar wind torque therefore depends on at least two aspects of the interaction with the accretion disk: not only the power coupling efficiency, as discussed by Matt & Pudritz (2005b), but also the geometry of the magnetic surfaces which, as shown in Sects. 3.3.2 and 4, is strongly affected by the interaction with the disk and the closed magnetosphere. In a general way, for a given poloidal magnetic field distribution on the stellar surface, the lever arm decreases when increasing the mass outflow rate, so that the wind torque does not grow linearly with the mass-loss rate. The Weber & Davis (1967) ``classical'' scaling provides $\dot{J}_{\rm wind} \propto \dot{M}_{\rm wind}^{1/3}$, while a steeper scaling, $\dot{J}_{\rm wind} \propto \dot{M}_{\rm wind}^{0.55}$, has been estimated by Matt & Pudritz (2008a). Even adopting this more favorable scaling, a high mass-loss rate $\left(\dot{M}_{\rm wind}/\dot{M}_{\rm acc} \sim 0.22 \right)$, compatible with the entire mass flux observed in T Tauri microjets (Cabrit 2007), would be needed to balance the spin-up torque, in agreement with Matt & Pudritz (2008b). Correspondingly, this would require a high energy coupling efficiency $\left({\sim}36\%\right)$: in the ``accretion powered'' stellar wind scenario this energy input could determine a strong reduction of the fraction of accretion luminosity which is radiated at the accretion shock.

The stellar wind could therefore represent an effective means to balance the spin-up due to accretion and contraction (not computed here) but some aspects still need some clarification: the nature of the power which drives the outflow at the stellar surface and its possible relation to the accretion energy; the topology of the magnetic surfaces as determined by a detailed model of the star-disk interaction.

6 Summary and conclusion

The axisymmetric MHD simulation presented in this paper constitutes the first example of a numerical model of the star-disk magnetic interaction which takes into account at the same time: (1) the formation of accretion funnel flows and the associated spin-up torque; (2) the spin-down torque due to a star-disk magnetic connection which extends beyond the corotation radius; (3) the spin-down torque exerted by a stellar wind. The parameters of the simulation have been chosen to model a typical classical T Tauri star ( $M_\star = 0.5~M_\odot$, $R_\star = 2~R_\odot$), accreting at ${\sim}10^{-8}~M_\odot~{\rm yr}^{-1}$ and rotating at $10\%$ of its break-up speed ( $P_\star = 4.65$ days). The strength of its dipolar magnetosphere ( $B_\star = 840$ G) is consistent with the strongest dipolar components measured in CTTS.

We summarize here the outcome of this numerical experiment:

1.
A magnetospheric star-disk connection extending beyond the corotation radius requires a high level of turbulent disk resistivity ( $\alpha_{\rm m} = 1$in our model) in order to limit the build-up of toroidal field and the consequent inflation and opening of the magnetic structure. On the other hand, these dissipative phenomena reduce the value of the toroidal field and, in conjunction with the field advection and compression in the truncation region, decrease the intensity of the poloidal field in the $r > R_{\rm co}$ region. As a consequence, the efficiency of the ``extended magnetosphere'' torque is strongly reduced with respect to the standard Ghosh & Lamb scenario: in our numerical example the spin-down torque is equal to only $10\%$ of the accretion torque. Moreover we found that an extended magnetospheric torque can lead to an oscillation of the accretion rate on a timescale of a few $P_\star$ which is usually not observed in CTTS. A lower accretion rate or an even stronger magnetic field could improve the relative efficiency of the spin-down torque but, in a ``disk-locked'' situation, this would require an enhanced transport inside the disk itself to get rid of the excess angular momentum extracted from the star.

2.
The stellar wind modeled in our experiment is characterized by a mass loss rate $\dot{M}_{\rm wind}/\dot{M}_{\rm acc} \sim 0.012$ and a magnetic lever arm $\overline{r}_{\rm A}/R_\star \sim 19$. The corresponding spin-down torque is around ${\sim}20\%$of the accretion torque. We pointed out that due to the slow rotation period of the star, an energy input comparable to the gravitational potential energy is necessary to drive the flow at the stellar surface. While in our model this energy input is given by enthalpy, this would determine severe cooling and radiative issues and an alternate form of driving pressure must be considered. For the modeled stellar wind the energy input corresponds to ${\sim}2\%$ of the available accretion power. We also emphasized that, beside this possible energetic connection between accretion and ejection, a ``topological'' link is present, due to the magnetic coupling between the opened and closed parts of the magnetosphere. By rescaling the solution that we found, we concluded that a stellar wind with $\dot{M}_{\rm wind}/\dot{M}_{\rm acc} \sim 0.22$ requiring an energy input equal to  ${\sim}36\%$ of the accretion power could in principle balance the accretion torque. These properties are obviously quite demanding, from the point of view of both the observations and the theory.
Finally, we would like to point out that the numerical experiment presented in this paper does not provide a definitive answer to the problem of the stellar angular momentum. Nevertheless, the example extensively discussed here has clearly shown the limits and the merits of two widely discussed scenarios: the ``disk-locking'' originally proposed by Ghosh & Lamb (1979b,a) and the accretion powered stellar wind, previously discussed in Matt & Pudritz (2008b,2005b). A further exploration of the parameter space ( $\alpha_{\rm m}, \mathcal{P}_{\rm m}, B_\star, \Omega_\star$) is needed to give a wider overview of the possible regimes of the magnetic star-disk interaction: more numerical experiments and other possible solutions of the problem of the spin-down of accreting stars will be presented in forthcoming companion papers.

Acknowledgements
The authors acknowledge support through the Marie Curie Research Training Network JETSET (Jet Simulations, Experiments and Theory) under contract MRTN-CT-2004-005592. The simulations were performed on the computing facilities of the Service Commun de Calcul Intensif de l'Observatoire de Grenoble (SCCI).

Appendix A: Boundary conditions on $B{_\phi }$

A precise control of the period of rotation of the central star is crucial in order to study the angular momentum evolution of the star-disk system. In this Appendix we examine the effects of different boundary conditions for the toroidal field $B{_\phi }$ on the rotation rate of the inner bounary (the ``star''). We recall that our boundary condition on $B{_\phi }$ was chosen to ensure an appropriate torque to yield the correct matter rotation speed, according to Eq. (12), see Sect. 2.3. We here compare our boundary condition on the toroidal field with other more ``standard'' ones: the usual ``outflow'' conditions, i.e.  $\partial B_\phi/\partial R = 0$. The boundary conditions assumed in Romanova et al. (2002) (and in other works by the same group), i.e.  $\partial \left (RB_\phi \right )/\partial R = 0$: it is easy to see that this condition forces the poloidal electric current to be purely radial at the stellar surface. A  $B_\phi =0$ condition is motivated by the fact that in this case the field and the matter rotate at the same speed.

\begin{figure}
\par\includegraphics[width=8.5cm,clip]{12879f12.eps}
\end{figure} Figure A.1:

Effective rotation rate of the magnetic surfaces measured on the surface of the star as a function of the polar angle $\theta $. The curves correspond to different boundary conditions on the toroidal field: the boundary condition used in this paper (solid line), $\partial \left (RB_\phi \right )/\partial R = 0$ condition (dot-dashed line), ``outflow'' boundary condition (dashed line), and $B_\phi =0$ condition (dotted line). The snapshots are taken after ${\sim }64$ periods of rotation of the central star.

Open with DEXTER

A first comparison is shown in Fig. A.1, where we plot as a function of the polar angle the effective rotation rate of the field lines  $\Omega_{\rm eff}$, defined by inverting Eq. (12): $\Omega_{\rm eff} = \Omega-u_{\rm p}B_\phi/rB_{\rm p}$. It is clear that our boundary condition forces the correct rotation rate with an error of only a few percent. The $B_\phi =0$ condition is not able to force the rotation of the field lines close to the pole of the star ( $\theta = 0$) while it produces a rotation two times higher than  $\Omega_\star$ at mid-latitudes. The ``outflow'' and the $\partial \left (RB_\phi \right )/\partial R = 0$ conditions are somewhat better but it is clear that all these boundary conditions overestimate (at mid latitudes) or underestimate (close to the pole) the correct rotation by $20{-}50\%$. The excess is clearly due to the spin-up accretion torque, while the lack is determined by the spin-down torque exerted by the stellar wind. While this effect could be considered correct, it happens on too short timescales: due to the enourmous stellar moment of inertia, no appreciable variation of the stellar rotation speed should happen during the duration of the simulations.

\begin{figure}
\par\includegraphics[width=8.4cm,clip]{12879f13.eps}\vspace{-2mm}
\end{figure} Figure A.2:

Time evolution of the average specific angular momentum transferred from the disk to the star. The curves correspond to different boundary conditions on the toroidal field: the boundary condition used in this paper (solid line), $\partial \left (RB_\phi \right )/\partial R = 0$ condition (dot-dashed line), ``outflow'' boundary condition (dashed line), and $B_\phi =0$ condition (dotted line).

Open with DEXTER

\begin{figure}
\par\includegraphics[width=8.8cm,clip]{12879f14.eps}\vspace{-4mm}
\end{figure} Figure A.3:

Poloidal current circuits flowing in the inner regions of two simulations characterized by different boundary conditions on $B{_\phi }$: the boundary condition used in this paper ( left panel) and the $\partial \left (RB_\phi \right )/\partial R = 0$ condition ( right panel) used by Romanova et al. (2002) and in many of the subsequent papers. The snapshots are taken after ${\sim }64$ periods of rotation of the central star.

Open with DEXTER

This error on the computation of the stellar rotation period has profound consequences on the effective magnetic coupling between the star and the disk. In Fig. A.2 we show the time evolution of the specific angular momentum defined by the ratio $l=\dot{J}/\dot{M}_{\rm acc}$ between the torque exerted by the disk on the star along the connected magnetosphere and the accretion rate measured on the surface of the star. Our boundary condition shows clearly a higher accreted specific angular momentum, suggesting that the effective stellar rotation rate which affects the disk is higher for the $\partial \left (RB_\phi \right )/\partial R = 0$, ``outflow'' and $B_\phi =0$ boundary conditions. This can be qualitatively understood by noticing that if the stellar rotation frequency increases and the corotation radius approaches the truncation radius, the size of the part of the disk which spins the star up decreases, while the region connected beyond the corotation grows. A more quantitative discussion can be found in Matt & Pudritz (2005a), see for example their Fig. 8. A clearer representation of this effect in shown in Fig. A.3: we can see that the position that marks the separation between the inner electric circuit accelerating the stellar rotation (dark red isosurfaces) and the outer one braking the stellar rotation (light yellow isosurfaces), which in our simulation correctly corresponds to the corotation radius, has moved closer to the truncation radius in the $\partial \left (RB_\phi \right )/\partial R = 0$ simulation. This clearly indicates that with this boundary condition on the toroidal field the disk ``feels'' a star rotating faster than the assumed  $\Omega_\star$, since the corotation radius has moved closer to the star. This effect can be probably noticed in Fig. 3 in Long et al. (2005), where the magnetic torque transfers angular momentum from the star to the disk in the sub-corotation region, despite the disk rotation being still faster than  $\Omega_\star$ (see Fig. 5 in the same paper). With a different boundary condition, the rotation rate of the magnetic surfaces closer to the pole of the star is systematically lower than  $\Omega_\star$, thus decreasing the magnetocentrifugal effects which can accelerate the stellar wind beyond the slow-magnetosonic surface (see Sect. 3.3).



References

Footnotes

... code[*]
PLUTO is freely available at http://plutocode.to.astro.it
... surface[*]
In Eqs. (20) and (21) we indicate as poloidal the component of a vector field perpendicular to the surface of the disk defined by $H\left( r \right)$. In the case of the magnetic field, we therefore have $B_{\rm p}^+ = \left. -B_z + B_r H' \right\vert _{H\left( r \right)} =
\left. B...
...B_R \left( \cos\theta - \sin \theta H' \right) \right\vert _{H\left( r \right)}$. An analogous expression is used for the poloidal speed $u_{\rm p}^+$ in Eq. (21).

All Figures

  \begin{figure}
\par\includegraphics[width=8.8cm,clip]{12879f1.eps}
\end{figure} Figure 1:

Appearance of the initial conditions of the simulations. Colors are representative of the logarithmic density in units of  $\rho _{{\rm d}0}$. Sample field lines of the initially dipolar magnetosphere are plotted (solid lines). The magnetic surface anchored at the corotation radius $R_{\rm co} = 4.64~R_\star$ is plotted with a dot-dashed line. The computational grid is also shown: each box represents a 2 $\times $ 2 block of cells.

Open with DEXTER
In the text

  \begin{figure}
\par\includegraphics[width=17cm,clip]{12879f2.eps}
\end{figure} Figure 2:

Time evolution of logarithmic density maps in units of $\rho _{{\rm d}0}$. Time is given in units of the period of rotation of the central star $P_\star = 2 \pi t_0/\delta _\star $. Sample field lines are plotted (solid lines). The magnetic surface anchored at the corotation radius of the disk is plotted with a dot-dashed line. Poloidal velocity vectors are plotted with blue arrows. The Alfvén surface of the outflow is also plotted (dotted line).

Open with DEXTER
In the text

  \begin{figure}
\par\includegraphics[width=8.5cm,clip]{12879f3a.eps}\hspace*{2mm}
\includegraphics[width=8.6cm,clip]{12879f3b.eps}
\end{figure} Figure 3:

Left panel: radial behavior of the rotation speed of the accretion disk  $\Omega /\Omega _\star $, (solid line), accretion sonic Mach number (dot-dashed line) and plasma $\beta $ (dotted line). The Keplerian and the $\Omega = \Omega _\star $ rotation profiles are plotted with a dashed line. Right panel: radial behavior of the specific torques acting on the disk (see the text for definitions): magnetic (solid line), viscous (dashed line), accretion (dotted line) and kinetic (dot-dashed line) torques. The snapshots are taken at approximately ${\sim }55$ periods of rotation of the central star. The radii characterizing the dynamics of the star-disk interaction are marked with a vertical line: the truncation radius $R_{\rm t}$, the radius at which the magnetic and the viscous torques are equal $R_{\rm v}$, the corotation radius  $R_{\rm co}$ and the radius marking the last magnetic surface connecting the disk with the star  $R_{\rm out}$.

Open with DEXTER
In the text

  \begin{figure}
\par\includegraphics[width=17cm,clip]{12879f4.eps}\vspace{4mm}
\end{figure} Figure 4:

Initial magnetic configuration (dashed lines) and after ${\sim }55$ periods of rotation of the star (solid lines). The field lines are marked with the corresponding value of the flux function  $\Psi _\star $. A logarithmic density map in units of $\rho _{{\rm d}0}$ is shown in the background.

Open with DEXTER
In the text

  \begin{figure}
\par\includegraphics[width=8.5cm,clip]{12879f5a.eps}\hspace*{4mm}
\includegraphics[width=8.65cm,clip]{12879f5b.eps}
\end{figure} Figure 5:

Left panel: magnetic (solid line) and kinetic (dashed line) angular momentum fluxes normalized over the magnetic flux (see the text for the definitions) calculated along a field line connecting the star with the accretion disk through the accretion column. The sum of the magnetic and the kinetic fluxes is plotted with a dotted line. A positive flux goes from the disk towards the star. The arc length D goes from the star (D=0) to the midplane of the disk. Right panel: forces projected along the same field line passing through the accretion column: thermal pressure gradient (solid line), Lorentz force (dashed line), gravity (dotted line) and centrifugal acceleration (dot-dashed line). A positive force pushes along the field line from the star towards the disk. Both snapshots are taken at approximately ${\sim }46$ periods of rotation of the central star. The vertical lines indicate the position of the slow-magnetosonic point (SM) and the transition between ideal and resistive MHD regimes (RMHD). The Alfvén critical point is not crossed.

Open with DEXTER
In the text

  \begin{figure}
\par\includegraphics[width=8.5cm,clip]{12879f6.eps}
\end{figure} Figure 6:

Profiles along the accretion funnel of matter angular speed ( $\Omega /\Omega _\star $, triple-dot-dashed line), poloidal speed magnitude ($u_{\rm p}$, solid line), slow-magnetosonic Mach number ( $0.1~M_{\rm SM}$, dot-dashed line), Alfvénic Mach number ($M_{\rm A}$, dashed line) and density ($\rho $, dotted line). The arc length D goes from the star (D=0) to the midplane of the disk. The right scale shows density values, the left scale is appropriate for all the other quantities. The vertical lines indicate the position of the slow-magnetosonic point (SM) and the transition between ideal and resistive MHD regimes (RMHD).

Open with DEXTER
In the text

  \begin{figure}
\par\includegraphics[width=8.4cm,clip]{12879f7a.eps}\hspace*{5mm}
\includegraphics[width=7.88cm,clip]{12879f7b.eps}
\end{figure} Figure 7:

Left panel: time evolution of torques acting on the surface of the star, normalized over the stellar angular momentum. This defines the inverse of the braking time. We plot the kinetic torque (dotted line), the magnetic torque acting along the opened field lines (dot-dashed line), along the magnetosphere connected to the disk below (solid line) and beyond (dashed line) the corotation radius. A positive torque spins up the stellar rotation. The inverse of the braking time is given in units of t0-1: in the standard ``YSO'' normalization (see Sect. 2.4) a value 2 $\times $ 10-10 corresponds approximately to $10^{-6}~{\rm Myr}^{-1}$. Right panel: time evolution of the mass accretion rate measured on the surface of the star (thin solid line) and inside the disk beyond the corotation radius (thick solid line). In the standard ``YSO'' normalization an accretion rate of 0.03 corresponds approximately to 1.2 $\times $ $10^{-8}~M_\odot~{\rm yr}^{-1}$. Time is given in units of the rotation period of the central star.

Open with DEXTER
In the text

  \begin{figure}
\par\includegraphics[width=8.5cm,clip]{12879f8.eps} \end{figure} Figure 8:

Upper panel: poloidal magnetic field along the midplane of the disk (solid line). The behavior of the initial potential dipolar field (R-3) is plotted for comparison (dashed line).The power law R-4.5 is plotted as a reference (dotted line). Lower panel: radial behavior of the magnetic field twist $q = B_\phi ^+/B_{\rm p}$ calculated at the surface of the disk (solid line). The snapshots are taken at ${\sim }55$ periods of rotation of the central star, as in Fig. 3. The vertical lines indicate the position of the truncation radius $R_{\rm t}$, the corotation radius  $R_{\rm co}$ and the anchoring radius of the last magnetic surface connecting the star and the disk ( $R_{\rm out}$).

Open with DEXTER
In the text

  \begin{figure}
\par\includegraphics[width=8.5cm,clip]{12879f9.eps}
\end{figure} Figure 9:

Time evolution of the mass flux of the stellar wind measured on the opened filed lines emerging from the stellar surface (solid line, left scale). The average magnetic lever arm of the wind is also plotted (dot-dashed line, right scale).

Open with DEXTER
In the text

  \begin{figure}
\par\includegraphics[width=8.6cm,clip]{12879f1a.eps}\vspace*{4mm}
\includegraphics[width=8.7cm,clip]{12879f1b.eps}
\end{figure} Figure 10:

Upper panel: forces acting on the stellar wind calculated along one of the opened field lines anchored on the stellar surface. We plot the thermal pressure gradient (solid line), the Lorentz force (dashed line), the gravity (dotted line) and the centrifugal acceleration (dot-dashed line). Lower panel: Bernoulli (energy) invariant (solid line) along the same field line, given by the sum of Poynting-to-mass flux ratio (triple-dot-dashed line), kinetic energy (dashed line), potential gravitational energy (dotted line, in magnitude) and enthalpy (dot-dashed line). See the text and Eq. (30) for the definition of the different terms. The snapshots are taken at ${\sim }71$ stellar periods while the sample magnetic surface is anchored at ${\sim }16^{\circ }$ from the stellar pole. In both panels the vertical solid lines indicate the position of the slow-magnetosonic point (SM) and the Alfvén critical surface (A).

Open with DEXTER
In the text

  \begin{figure}
\par\includegraphics[width=17cm,clip]{12879f11.eps}
\end{figure} Figure 11:

Poloidal electric circuits flowing in the star-disk-wind system. Dark (red) circuits are circulating clockwise along isosurfaces of $rB_\phi > 0$. Light (yellow) circuits are circulating counterclockwise along isosurfaces of $rB_\phi < 0$. A logarithmic density map in units of  $\rho _{{\rm d}0}$ is shown in the background, while sample magnetic field lines are also plotted (dot-dashed lines). The image is taken after  ${\sim}46~P_\star$.

Open with DEXTER
In the text

  \begin{figure}
\par\includegraphics[width=8.5cm,clip]{12879f12.eps}
\end{figure} Figure A.1:

Effective rotation rate of the magnetic surfaces measured on the surface of the star as a function of the polar angle $\theta $. The curves correspond to different boundary conditions on the toroidal field: the boundary condition used in this paper (solid line), $\partial \left (RB_\phi \right )/\partial R = 0$ condition (dot-dashed line), ``outflow'' boundary condition (dashed line), and $B_\phi =0$ condition (dotted line). The snapshots are taken after ${\sim }64$ periods of rotation of the central star.

Open with DEXTER
In the text

  \begin{figure}
\par\includegraphics[width=8.4cm,clip]{12879f13.eps}\vspace{-2mm}
\end{figure} Figure A.2:

Time evolution of the average specific angular momentum transferred from the disk to the star. The curves correspond to different boundary conditions on the toroidal field: the boundary condition used in this paper (solid line), $\partial \left (RB_\phi \right )/\partial R = 0$ condition (dot-dashed line), ``outflow'' boundary condition (dashed line), and $B_\phi =0$ condition (dotted line).

Open with DEXTER
In the text

  \begin{figure}
\par\includegraphics[width=8.8cm,clip]{12879f14.eps}\vspace{-4mm}
\end{figure} Figure A.3:

Poloidal current circuits flowing in the inner regions of two simulations characterized by different boundary conditions on $B{_\phi }$: the boundary condition used in this paper ( left panel) and the $\partial \left (RB_\phi \right )/\partial R = 0$ condition ( right panel) used by Romanova et al. (2002) and in many of the subsequent papers. The snapshots are taken after ${\sim }64$ periods of rotation of the central star.

Open with DEXTER
In the text


Copyright ESO 2009

Current usage metrics show cumulative count of Article Views (full-text article views including HTML views, PDF and ePub downloads, according to the available data) and Abstracts Views on Vision4Press platform.

Data correspond to usage on the plateform after 2015. The current usage metrics is available 48-96 hours after online publication and is updated daily on week days.

Initial download of the metrics may take a while.