| Issue |
A&A
Volume 508, Number 3, December IV 2009
|
|
|---|---|---|
| Page(s) | 1375 - 1389 | |
| Section | Stellar structure and evolution | |
| DOI | https://doi.org/10.1051/0004-6361/200913311 | |
| Published online | 04 November 2009 | |
A&A 508, 1375-1389 (2009)
HD 174884: a strongly eccentric,
short-period early-type binary system discovered by CoRoT![[*]](/icons/foot_motif.png)
C. Maceroni1
- J. Montalbán2 - E. Michel3
- P. Harmanec4 - A. Pr
a5,6 -
M. Briquet7,
- E. Niemczura7,8 - T. Morel2,7
- D. Ladjal7 - M. Auvergne3
- A. Baglin3 - F. Baudin9
- C. Catala3 - R. Samadi3
- C. Aerts7,10
1 - INAF - Osservatorio Astronomico di Roma, via Frascati 33, 00040
Monteporzio C. (RM), Italy
2 - Institut d'Astrophysique et Géophysique Université de Liège, Allée
du 6 Aôut, 4000 Liège, Belgium
3 - Observatoire de Paris, LESIA, UMR 8109, 92195 Meudon, France
4 - Astronomical Institute of the Charles University, Faculty of
Mathematics and Physics, V Holesovickách 2, 180 00
Praha 8, Czech Republic
5 - Villanova University, Dept. Astron. Astrophys., 800 E Lancaster
Ave., Villanova, PA 19085, USA
6 - University of Ljubljana, Dept. of Physics, Jadranska 19, 1000
Ljubljana, Slovenia
7 - Instituut for Sterrenkunde, K.U. Leuven, Celestijnenlaan 200 D,
3001 Leuven, Belgium
8 - Astronomical Institute of Wroc
aw University, ul. Kopernika 11, 51-622 Wroc
aw, Poland
9 - Institut d'Astrophysique Spatiale, Campus d'Orsay, 91405 Orsay,
France
10 - Dept. of Astrophysics, IMAPP, Radboud University Nijmegen, PO Box
9010, 6500 GL Nijmegen, The Netherlands
Received 16 September 2009 / Accepted 17 October 2009
Abstract
Accurate photometric CoRoT space observations of a secondary
seismological target, HD 174884, led to the discovery that
this star is an astrophysically important double-lined eclipsing
spectroscopic
binary in an eccentric orbit (
), unusual for its short
3
65705 orbital period. The high
eccentricity, coupled with the orientation of the binary orbit in
space, explains the very unusual observed light curve with strongly
unequal primary and secondary eclipses having the depth ratio of
1-to-100 in the CoRoT ``seismo'' passband. Without the high accuracy of
the CoRoT photometry, the secondary eclipse, 1.5 mmag deep,
would have gone unnoticed. A spectroscopic follow-up program provided
45 high dispersion spectra. The analysis of the CoRoT light
curve was performed with an adapted version of PHOEBE that supports
CoRoT passbands. The final solution was obtained by a simultaneous
fitting of the light and the radial velocity curves. Individual star
spectra were obtained by spectrum disentangling. The uncertainties of
the fit were achieved by bootstrap resampling and the solution
uniqueness was tested by heuristic scanning.
The results provide a consistent picture of the system composed of two
late B stars. The Fourier analysis of the light curve fit
residuals yields two components, with orbital frequency multiples and
an amplitude of
0.1 mmag,
which are tentatively interpreted as tidally induced pulsations.
An extensive comparison with theoretical models is carried out by means
of the Levenberg-Marquardt minimization technique, and the discrepancy
between the models and the derived parameters is discussed. The best
fitting models yield a young system age of 125 million years
which is consistent with the eccentric orbit and synchronous component
rotation at periastron.
Key words: binaries: close - binaries: eclipsing - stars: fundamental parameters - stars: individual: HD 174884 - stars: variables: general
1 Introduction
HD 174884 (Corot 7758) was selected as a seismological target for the first short run in the CoRoT ``center'' direction (SRc1) because - on the basis of its B8 V spectral classification - it was considered a good candidate to pinpoint the instability strip red edge of the Slowly Pulsating B stars (SPB, e.g. Waelkens et al. 1998). Its only available spectrum, obtained before launch with the Elodie spectrograph and available from the Gaudi databaseThe well constrained physical parameters of the binary components are then compared with evolutionary models (Sect. 4.1) computed with the CLÉS code (Code Liègeois d' Évolution Stellaire, Scuflaire et al. 2008b) with the aim of constraining the age and the structural parameters (chemical composition, overshooting). Finally the light curve fit residuals, with variations of a few 10-4 mag, are analyzed (Sect. 4.3).
2 Observations of HD 174884 and their analysis
2.1 CoRoT photometry and extant data
HD 174884 is a relatively bright star and several photometric
measurements can be found in databases and catalogs. A spectral
classification as B8 V appears in the Simbad database
(operated at CDS, Strasbourg, France) and was confirmed by the Gaudi
classification. Available magnitudes and colors are collected in Table 1, the Strömgren
photometry is taken from the Gaudi database, the infrared ones from
2MASS (Skrutskie et al. 2006).
These magnitudes and colors were dereddened according to Moon (1985), assuming a ratio of
total to selective absorption
(Crawford & Mandwewala 1976).
For the 2MASS colors the respective ratios were taken from Rieke & Lebofsky (1985).
The colors, once corrected for the rather heavy absorption, correspond
with the expected values for the (primary) spectral type and in
particular rule out the presence of a near IR excess, which was
suggested by the observed values. The star was also observed by
Hipparcos, but its parallax is of little use, being affected by a large
error,
mas, according to
the new reduction of the Hipparcos data (van
Leeuwen 2007).
|
Figure 1: Upper panel: the complete CoRoT light curve of HD 174884 as normalized flux vs. HJD. Lower panel: a blow-up, spanning approximately three periods, showing the tiny secondary minimum (first occurrence at reduced HJD of around 4218). |
| Open with DEXTER | |
Table 1: Colors and magnitudes of HD 174884.
CoRoT observed HD 174884 (Corot ID: 7758) for 27 days
. The almost uninterrupted
time series extends over almost
seven orbital cycles with a time sampling of
.
The full light curve has 60 016 points, after removal
of the measurements perturbed by the South Atlantic Anomaly (SAA)
crossing (proton events).
Each point is the mean made of 32 1-s exposures and has,
therefore, an associated rms deviation, which is typically on the order
of 10-3 times the measured flux.
A slow decreasing trend, presumably due to some kind of
instrumental decay or gradual pointing drift, was corrected by fitting
and subtracting a second order polynomial passing through the maxima.
Furthermore, we deleted a few hundred spurious points that arise from
the inadequate linear fit used in the first version of the CoRoT
pipeline. The complete normalized light curve (59492 points) is shown
in Fig. 1
together with a blow-up of the central part, displaying a tiny (
1.5 mmag
deep) secondary minimum.
The binary period was derived in two steps: an initial
estimate with Period04 (Lenz &
Breger 2005) was refined with the Phase Dispersion
Minimization method (PDM, Stellingwerf
1978), which is better suited for the analysis of
non-sinusoidal
variations. The epoch of primary minimum was derived by a linear fit to
the seven minimum epochs, which were obtained by parabolic fit to the
curve minima. The results were checked with PHOEBE (Prsa & Zwitter 2005).
Note that PHOEBE determines
the epoch of zero phase with respect to the argument of periastron
(rather than with the position of the primary minimum), and provides
phases for important positions in orbit, like superior conjunction
. We adopt the following
ephemeris:
The light curve was folded with this period and found to be stable within the observed time frame, as the dispersion of the phased curve was comparable to that of the original time series. Therefore, we binned the oversampled curve into 650 normal points to facilitate the light curve solution. The binning was performed with a variable step,
2.1.1 Preliminary light curve analysis
|
Figure 2: Upper panel: the phased and binned CoRoT light curve of HD 174884. Dots: normal points as described in the text. The solid line is the light curve fit according to the model of Sect. 3, which can be distinguished from normal points only during primary eclipse. Lower panel: the corresponding residuals (observed - computed normalized flux) |
| Open with DEXTER | |
The light curve fit procedure went through several stages, also because the spectroscopic data were obtained only some months after the CoRoT run, thanks to a follow-up program organized after the discovery of binarity. Our final fit is a simultaneous solution of both the light and radial velocity curves, but the first steps, based on photometry alone, were quite instructive. They were a test of what can be derived from a single light curve which, on the one side, is of unprecedented accuracy but on the other has features suggesting weak constraining of the solution.
All light curve solutions were performed with PHOEBE (Prsa & Zwitter 2005),
which was expanded to include flux computation in the CoRoT passbands
for both the seismology and the exo-planet field. Specific passband
intensities and limb darkening coefficients were computed for CoRoT
passbands from Castelli &
Kurucz (2004)'s NEWODF models spanning 3500 K to
50 000 K across the entire H-R diagram. The spectral
energy distribution functions (SEDs) were synthesized with SPECTRUM
2.75 (Gray & Corbally 1994) at
a 1 Å dispersion, on a 3000 Å to
10 000 Å wavelength range. The limb darkening tables
were computed by synthesizing SEDs in 20 values of
from the center of the disk to the limb, and fitting the linear cosine
law and non-linear log and square root laws by least squares.
For the preliminary solutions, we profited from the scripter
version of PHOEBE and used Nelder & Mead's Simplex
minimization for quick descent towards the minima and the standard
differential corrections when close to the solution. The value of the
primary effective temperature was fixed as that provided by Gaudi,
which is obtained by means of the code TempLogG
and Strömgren photometry. TempLogG uses the grids of Moon & Dworetsky (1985)
in the
-log g
parameter space, with the improvements by Napiwotzki
et al. (1993). The resulting value is
K;
we did not use the internal error from TempLogG but assumed an
uncertainty of 1500 K, expressing the accuracy of the
determination for B-stars by different methods (De Ridder et al. 2004).
For the secondary star we actually started from a
value (3500 K) very far from the final one, (wrongly)
assuming, on the basis of the great difference of in-eclipse depths, a
small, cool secondary star.
We computed as the starting value of a grid pairs of
eccentricity (e) and longitude of
periastron (
)
which provide the observed distance between maxima. The parameters
adjusted in the minimizations were the inclination i,
e,
,
,
and the surface potentials
;
the primary passband luminosity L1
was separately computed rather than adjusted, as this allows for a
smoother convergence to the minimum (Prsa
& Zwitter 2005). For limb darkening we adopted a
square root law that employs two coefficients,
and
per star and per passband. The gravity darkening and albedo
coefficients were kept fixed at their theoretical values, g
= 1.0 and A = 1.0 for radiative envelopes (von Zeipel 1924). The mass
ratio was set to values between 0.1 and 0.5. When the
adjustment of these parameters did not provide further improvement, we
attempted to adjust the synchronicity parameters (ratios of rotational
to orbital velocity), F1,2.
In spite of the very shallow secondary eclipse and the low inclination, the solution we obtained is fairly close to the final one, implying that the single light curve is already constraining the solution (this was confirmed later on by the results of a heuristic scan, presented in Sect. 3.3). In particular, we were able to exclude solutions with a cool secondary in favour of a system configuration yielding a grazing eclipse of a relatively hot secondary star. The very different depth of eclipses is actually due to the combination of the high eccentricity and orbit orientation in space.
It was interesting to check, a posteriori, that this single
light curve solution yielded the following deviations for the various
parameters with respect to the combined solution of photometry and
radial velocity data: 6% for e and
,
1% for i, 15% for
,
6-15% for the component radii (
,
), 12% on L1.
We did not adjust the mass ratio, and actually the true value is
outside the range we explored, but we had indeed a tendency of smaller
values of the cost function for the higher q values.
Furthermore, the value of F1
was within 7% of the one we got later on from line profile
fitting. On the other hand the value of F2
was almost four times the spectroscopic one.
In conclusion the light curve solution was well constrained for the main parameters and for primary rotational distortion. This has to be put in relation to the high eccentricity signatures which act as pinpoints of the parameter values.
2.2 Spectroscopic follow-up
Given that HD 174884 turned out to be a close binary, a spectroscopic campaign was organized as soon as possible after the CoRoT space photometry had become available to us. We used the CORALIE échelle spectrograph attached to the 1.2 m Euler telescope at La Silla in Chile. The star was monitored from 7 to 16 June 2008, adopting an exposure time of 30 min. We used the online reduction package available for the CORALIE spectrograph based on the method by Baranne et al. (1996). The process involves the usual steps of de-biasing, flat-fielding, background subtraction and wavelength calibration by means of measurements of a ThAr calibration lamp. All spectra were subsequently normalized to the continuum by fitting a cubic spline, and barycentric corrections were computed for the times of mid-exposure. This led to barycentric wavelength-calibrated normalized spectra with a S/N ratio between 50 and 120 in the blue spectral region (the red parts suffered more from relatively poor atmospheric conditions during some nights). Inspection of the spectra revealed that HD 174884 is a double-lined spectroscopic binary; evident line doubling could be seen in He I and, more clearly in Mg II 4481 Å line (see Fig. 3), identifying both components as stars of the spectral type B. The finding of similar temperatures from the preliminary light curve solution was therefore fully confirmed.
The set of 45 spectra was independently analyzed with two different methods: profile fitting of the abovementioned Mg II line and Fourier spectra disentangling. The radial velocity curves from the profile fitting were used in the simultaneous solution discussed in Sect. 3.1. Fourier disentangling provided the individual stellar spectra and additionally allowed a cross-check with the results of the radial velocity analysis, which turned out to be very useful, given the peculiarity of the system configuration.
|
Figure 3:
An example of the fit of the line profiles of Mg II 4481 Å
. The black solid line is the
fit with a function obtained by summing the individual profiles of the
components (a convolution of a Gaussian and rotational
broadening). For clarity a gray line is also shown, which corresponds
to a smoothing with an averaging boxcar of width comparable to
the FWHM of the interstellar Na II
D line (the narrowest lines appearing in the spectra).
Left panel: unblended lines at phase
|
| Open with DEXTER | |
2.2.1 Radial velocity curves from profile fitting
We extracted the region 4450-4500 Å and fitted the Mg II 4481 Å line profile with a standard non-linear least squares fit procedure (IDL's CURVEFIT) using a user-supplied non-linear function with an arbitrary number of parameters. The supplied function was a theoretical profile obtained by convolving for each star a Gaussian (corresponding to CORALIE spectra resolution) and a (dominant) rotationally broadened profile. In principle there were eight adjustable parameters (position, width, depth of each profile and the values of continuum on the two sides). However, the iterative procedure did not converge in the case of heavily blended profiles. Therefore, we fitted first the unblended profiles, adjusting the full set of eight parameters, and then fixed the rotational velocities,The fits were performed on the original profiles and also on the smoothed ones, with different boxcars (see Fig. 3 for examples). The results were very similar even with the resolution degraded to 0.025 Å/pix, i.e. the FWHM of the narrow NaI D interstellar lines (the narrowest lines seen in the spectra). The values in Table 2 correspond to the fit of the unsmoothed profiles. The fit uncertainties were computed with a bootstrap experiment (see Sect. 3.2), providing a more meaningful statistical estimate than the formal errors of the fit.
Only 42 out of 45 spectra yielded a determination of radial
velocities, for the remaining three, too close to conjunctions, the
fitting procedure did not converge. The resulting values are collected
in Table 2
and the radial velocity curves are shown in Fig. 4.
The radial velocity curves were fitted with PHOEBE. This preliminary
solution was not simultaneous, but we used
an iterative procedure between the light and radial velocity curve
solutions, feeding the output of the iteration on one set of data as
input to the other. The purpose was to get a set of input parameters
for the final combined solution
presented in Sect. 3.
Actually the parameters obtained from the preliminary light curve fit
of Sect. 2.1.1
were found to predict fairly well the radial velocity curves, apart of
course from the mass ratio.
The values best fitting the radial velocity curves alone were:
,
,
,
km s-1,
(formal errors). The corresponding radial velocity amplitude for the
primary is
km s-1.
2.2.2 Fourier disentangling of spectra
Southworth & Clausen (2007) carefully compared various possible present-day techniques to determine the orbital elements of spectroscopic binaries and concluded that the best results are obtained via properly applied disentangling. They showed that it is necessary to map the dependence of the sum of squares of the residuals in the semiamplitudes K1 and K2 (or the mass ratio K1/K2), since this sum usually has a number of local minima in the parameter space.
To obtain reliable orbital elements of HD 174884 based on all 45 spectra we applied the disentangling in the Fourier domain developed by Hadrava (1995,2004,1997), using the latest publicly available version of his Fortran program KOREL, dated December 2, 2004.
In general, our experience with KOREL fully confirms both the findings by Southworth & Clausen (2007) and also that the result is sensitive to the choice of starting values of the elements and initial values of the simplex steps, i.e. that the simplex solution can easily be trapped in a number of various local minima.
|
Figure 4: The radial velocity curves for the two components of HD 174884 (dots: primary, triangles: secondary component). The phases are computed according to the ephemeris in Eq. (1), the velocity unit is km s-1. The solid line is the fit described in Sect. 3.1. |
| Open with DEXTER | |
The spectra at our disposal have a large resolution and it would be
very time-consuming to carry out a disentangling for the whole interval
of wavelengths they cover. At the same time, the S/N
of the spectra
is not particularly high. To cope at least partly with this problem
and to obtain good disentangled spectra containing spectral lines
sensitive to the determination of atmospheric paramaters and chemical
abundances, we slightly degraded the spectral resolution, averaging
the spectra over 0.05 'A and used only the following four
spectral regions:
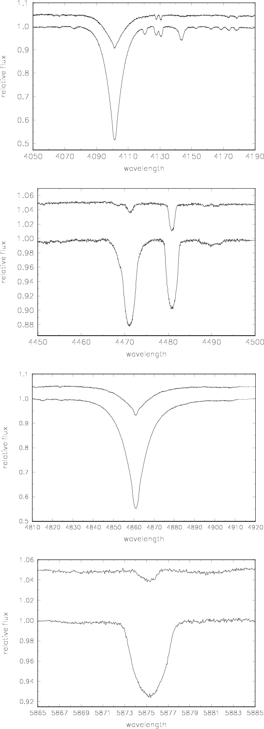
4050-4190, 4450-4500, 4810-4910, and 5860-5885 'A.
For each spectral segment, we estimated the S/N ratio
of
individual spectrograms and used the weights proportional to (S/N)2.
The disentangling was then carried out separately for the three blue
spectral regions combined into one solution and for the red region near
the He I 5786 'A line,
where we also considered the telluric lines
in the solution. In all cases, we obtained also the relative line
strengths
for individual spectra during the solutions (Hadrava
1997).
In all solutions, we kept the orbital period P,
eccentricity e and
the longitude of periastron
fixed at the values of
3
65705, 0.29394, and 51.
31, respectively, which were
derived from the final light curve fit (see next section). The epoch of
the periastron passage
was chosen inside the time
interval covered by the
spectra, near HJD-2454628.7, but was allowed to converge.
Table 2: Radial velocities of HD 174884.
|
Figure 5: A search for optimal values of K1 and the mass ratio K1/K2. |
| Open with DEXTER | |
Table 3: KOREL disentangling orbital solutions for the three combined blue spectral regions near some stronger spectral lines useful for determination of atmospheric parameters, and for the red spectral region near the He I 5876 'A line.
|
Figure 6: Disentangled line profiles. |
| Open with DEXTER | |
We first investigated the variation of the sum of squares of the residuals as a function of the radial velocity semi-amplitude of the primary only, keeping all other elements but the periastron passage fixed. This dependence was investigated separately for the combined blue and the red spectral segment and is shown in a graphical form in the left panels of Fig. 5. This led to the conclusion that the true semi-amplitude of the primary must be close to 107 km s-1. Fixing this value of the semi-amplitude, we then investigated the sum of squares of residuals as a function of the mass ratio, again separately for the blue and red spectral segments. This also rather uniquely restricts the plausible values of the mass ratio to 0.66-0.67 (cf. the right panels of Fig. 5).
The final disentangling was then achieved starting with the
best values
found and allowing for the convergence of K1,
K1/K2,
and
.
We did a number of trial solutions for each spectral
segment, slightly varying the initial values of the elements and
starting simplex steps to find out solutions with the smallest sums
of residuals. The results are summarized in
Table 3.
Their comparison provides some idea about the probable
errors of the elements. We point out again that for the region
5860-5885 'A,
we also included the weak telluric lines into the solution.
The comparison of results is useful since the program KOREL we used
does not provide any estimate of the errors of the elements.
We included KOREL results in PHOEBE as a cross-check, following a somewhat unusual procedure. For each of the four KOREL solutions we extracted the radial velocities of both components for the 45 times of observations and determined their average values over the two solutions for each BJD, ascribing weights three times higher to the blue RVs based on the separate spectral segments. These ``mean theoretical'' RVs were used to verify the results from PHOEBE that are based on profile fitting RV curves; we find excellent agreement between the two methods of RV extraction.
We disentangled the binary spectra (see Fig. 6) keeping the elements from the final PHOEBE solution, which are discussed in the next section.
3 Final analysis
3.1 Simultaneous light and radial velocity curve fit
To obtain a set of parameters that most accurately describes the physical and geometric properties of HD 174884, we submitted photometric and RV data in the time domain to a simultaneous fitting process in PHOEBE. Simultaneous fitting imposes a consistency of the solution across all available data-sets.
The initial values of
and
were adopted from the previous preliminary fits:
13 140 K and 11 000 K,
respectively. The values of the gravity darkening coefficients and
albedoes were set to
their theoretically expected values for radiative envelopes:
g1,2
= 1.0; A1,2
= 1.0. The center-of-mass radial velocity
was derived
from the RV fit and held constant.
We used the RV originated value of
(cf. Sect. 2.2.1)
to constrain the solution to those values of a
and i that preserve
.
Line profile analysis and spectrum disentangling
(cf. Sect. 2.2.2)
yield consistent values of
and
;
these were used to constrain the synchronicity parameters
,
i.e. the ratio of rotation to the mean orbital angular velocity.
Square-root limb darkening coefficients are interpolated on-the-fly
from PHOEBE lookup tables, based on the current values of
,
,
[M/H] and
for each star. As before, passband luminosity was computed rather than
adjusted, to enhance convergence. The constraints are imposed during
each iteration, projecting only those solutions that satisfy the
embedded physical requirements.
The following parameters were adjusted: eccentricity e
and argument of periastron
,
inclination i, surface potentials
and
,
mass ratio q, and secondary surface
temperature
.
The mass ratio typically has little detectable signature in well
detached EB light curves since it affects ellipsoidal variations; in
the case of HD 174884, however, the CoRoT light curve's
sensitivity on q is significant due to the
eccentric orbit, the consequent star shape distortion
and high data accuracy. These factors allowed us to adjust the value
of q based on simultaneous LC and
RV data.
There is an excellent agreement between the q value
from the final fit and that derived from KOREL.
The difference is less than 1-sigma interval for the three blue
segments and within 2 sigma for the red one (which has a lower
S/N ratio).
The final parameter set is listed in Table 4.
Table 4: Physical and geometric parameters of HD 174884.
Before adopting our final solution and proceeding to the comparison with the stellar models we felt there were still two questions to address: the solution uniqueness and a realistic estimate of the uncertainties.
It is well known that light curve solutions can be affected by uniqueness problems, and this could be a serious issue in the case of our light-curve which features a grazing eclipse. It is also well known that the formal errors derived from the least squares covariance matrix are inaccurate because the parameter space axes are not orthogonal and marginalization around the solution is not fully justified. More realistic errors were determined by bootstrap and full-fledged heuristic scanning, performed on all adjusted parameters. The latter procedure provides information on the morphology of the cost function hyper-surface in the adjusted parameter space.
|
Figure 7:
The contour enclosing 68.3% of all bootstrap solutions (1-sigma
uncertainties) for two pairs of parameters: upper panel
i - |
| Open with DEXTER | |
3.2 Parameter uncertainties by bootstrap
Bootstrap resampling is a very useful technique to estimate parameter confidence levels of the least squares solutions (see for instance Press et al. 1992). The method consists in generating many different data samples by random resampling with repetitions (bootstrapping) the available data, performing the minimization procedure for each sample and deriving confidence intervals from the resulting distribution of parameters. The advantage, with respect to the errors derived from least squares solutions, is that a plot of the parameter distributions directly shows the effect of inter-parametric correlations, and that the confidence intervals are not linked to Gaussian distributions of the residuals. In the parameter space the one-sigma confidence levels of for instance a pair of correlated parameters is defined as the projection on the parameter axes of the contour containing 68.3% of the bootstrap solutions.
We used bootstrap resampling to estimate the errors on radial velocities, as obtained from the profile fit. This is a standard application of the technique: the fitting procedure is repeated (1000 times) after bootstrapping the fit residuals. In principle the same technique can be used also to estimate the uncertainties of the light and radial velocity curve fit, with the advantage of attaining more realistic errors than the formal ones and of gaining insight on parameter correlations. It is not straightforward, however, to apply the bootstrap technique to the complex light curve solution process, because a complete minimization process should be performed for thousands of bootstrap data-sets. A simpler approach was suggested by Maceroni & Rucinski (1997) who applied bootstrap resampling within the minimum already established by a single iterated solution (that is, using only one set of residuals and parameter derivatives). This approach, as discussed in detail in the abovementioned paper, provides underestimated uncertainties with respect to a full bootstrap procedure, as it is applied already in a minimum, but nevertheless, the confidence level we estimated for the parameters are always larger than the errors from least square minimizations and have a clear statistical meaning.
The bootstrap uncertainty intervals were, therefore, obtained
repeating, in this case, 10 000 times the last
iteration of the fit, after random
permutation of the residuals. Figure 7 shows two 2-D
projections of the n-dimensional distribution of the resulting
parameter sets (i -
and
-
). The figure allows a direct
comparison
between the standard deviations from the PHOEBE last iteration and two
confidence intervals derived from bootstrap: that of each single
parameter, not taking correlation into account, i.e. its interval
containing 68.3% of solutions, and the 1-sigma confidence
level of parameter pairs (the contours), clearly showing the effect of
correlations (see the plot for the pair
-
). The projection of the
contours on the axes provides a measure of the uncertainty taking
parameter correlations into account.
The error estimates obtained by this simplified bootstrap
procedure are somewhat smaller but still on the same order than those
from the heuristic
scanning of the next section. Taking the largest of the full width
1-sigma intervals (as bootstrap errors are not symmetric) among various
projections
and comparing them with the uncertainties of the heuristic scan of
Table 4
we have, 0.02 vs. 0.06 for i (bootstrap vs
heuristic scan), 0.01 vs. 0.016 for
,
0.01 vs. 0.04 for
and, 40 vs. 100 for
.
The formal errors of the fit are typically several times smaller.
|
Figure 8: The results of heuristic scanning. Top two panels depict the projection of the cost function space along inclination ( left) and primary surface potential ( right). The bottom two panels depict correlations between the secondary surface potential ( left) and secondary effective temperature ( right). A gray stripe encompasses 1% deviations from the minimum cost function value in the primary surface potential, obtained by fitting a parabola to the top right panel. Solid lines represent the best-fit solution, while dashed lines represent parameter limits as determined by the plausible primary surface potential values. |
| Open with DEXTER | |
3.3 Heuristic scanning of the parameter space
Heuristic scanning (Prsa & Zwitter 2005) is a Monte-Carlo based method to map the parameter correlations and cost function degeneracy. Scanning produces a N-dimensional cost function map, where N is the number of adjusted parameters. Projections in that N-dimensional parameter space reveal the solution degeneracy.
We performed the scanning in two sequential steps: the first
one along the inclination, fitting
,
,
and computing L1,
and
,
and the second one along the primary surface potential, fitting and
computing the same parameters except for the inclination.
Because of the unprecedented accuracy of the CoRoT light
curve, a typical
degeneracy with inclination, surface potential
and effective temperature
is essentially broken. There is a clear
minimum both in the inclination (Fig. 8, top left
panel) and the primary surface potential (top right panel) that
narrowly constrains the uniqueness of the solution. It was very
instructive to observe the behavior of the inclination with the mass
ratio: the cost function profile varies quite substantially with the
changing value of q. Although the location
of the global minimum remains unaffected, adjacent local minima gain on
depth, predominantly at the expense of ``sacrificing'' the fit to the
secondary minimum to better match the abundant out-of-eclipse regions.
This indicates that the model we are using to fit the data is pushed to
its limit and systematic errors begin to have a significant impact on
the overall error budget of the solution.
4 Physical properties of HD 174884
4.1 Comparison with evolutionary models
The comparison between the physical parameters obtained for the
HD 174884 components and the stellar models was done according
to the method described in Miglio
& Montalbán (2005) and Miglio
et al. (2007). That consists in applying a
Levenberg-Marquardt gradient descent algorithm (Bevington
& Robinson 2003) to minimize a quality function which
describes the discrepancy between the models and the observables:
|
(2) |
The procedure iteratively adjusts the free parameters of the models, yielding
Table 5:
Best fit models. The values of the ``observables'' ,
,
are given for comparison in the note.
The theoretical values (
)
are obtained from stellar evolution modeling with the code CLES (Code
Liégeois d'Évolution Stellaire, Scuflaire
et al. 2008b). In all model computations we used the
mixing-length theory (MLT) of convection (Böhm-Vitense
1958) and the most recent equation of state from OPAL
(OPAL05, Rogers & Nayfonov 2002).
The opacity tables are those from OPAL (Iglesias
& Rogers 1996) for two different solar mixtures, the
standard one from Grevesse &
Noels (1993, GN93) and the recently revised solar mixture
from Asplund et al. (2005,
AGS05) . In the former
,
in the latter
.
These tables are extended at low temperatures with the Ferguson et al. (2005)
opacity values for the corresponding metal mixtures. The surface
boundary conditions are given by the Kurucz
(1998) atmosphere models.
The parameters of the stellar model are: mass, initial
hydrogen (
)
and metal (
)
mass fractions, age and two convection parameters (
and the overshooting
parameter OV). All of
them or just a subset can be adjusted in the minimization. The value of
was
kept fixed, adopting the solar value of 1.8, as it has no relevant
effect on the
evolutionary tracks of models with masses in the domain of interest
here.
Different minimizations were done with
as a free parameter or fixed to different values between 0.69
and 0.74. Similarly, the overshooting parameter, which
describes the size of the extra-mixed region close to the convective
core, was kept fixed at values between 0.0 and 0.4,
but were in some cases left free.
Binarity puts an additional constraint on chemical composition and age,
which can be assumed to be the same for the components. Therefore, the
number of free parameters varied from four (
age)
to six:
and age. We performed two sets of minimizations, the first with the
same physical description of components (essentially the same value of
the overshooting parameter), and the second permitting a different
parametrization of extra-mixing.
Regardless of these physical details all computations show the
same trend: if the
is well fitted (within 1-
),
the mass ratio is larger than the observationally derived value
and the deviation is typically between 2 and 3
. This fact can be explained considering that for two stars with the
same initial chemical composition and physical processes, fixing the
effective temperature difference at a given age is essentially
equivalent to fixing the mass
difference. Due to correlation, any combination of
and q yields estimates on q
that are inconsistent with the light and radial velocity curve
solution. This behavior is evident in Fig. 9 which shows the
iso-
contours in the q-
plane. This plot was
built using the several thousands binary models computed in the
minimization processes. If the constraint on
is relaxed, the fit within 1
for all the other constraints is achieved, but
is
1600 K
(model A in Table 5).
Among the minimizations performed with the same physics,
K
is the minimum difference of the effective temperature that we were
able to achieve, keeping the mass and radius ratios within 2
(1.6
for q and 1.3
for k)
(model B1).
These best fits were obtained from computations without overshooting.
Values of OV larger than zero generally lead to
smaller primary masses and hence larger q values.
|
Figure 9:
The iso- |
| Open with DEXTER | |
Is it possible to reconcile the observed values of q
and
with those from the theoretical models? To answer this question we
considered the possible alternatives and the weak points of the
comparison with the models. An evident inconsistency between the stars
and the corresponding models is that CLES computes spherical
non-rotating models, while the primary and secondary component of
HD 174884 rotate, respectively, at 25%
and 12% of their break-up critical velocity and are
significantly non-spherical.
The distortion of the primary (
%
smaller than
)
is mainly due to rotation. It is well known that at a given mass,
rotating stars appear to be cooler than non-rotating ones, or -
expressed in different terms - at a given effective temperature,
non-rotating models will assign lower stellar masses than rotating
ones. The difference of the effective temperature between rotating and
non-rotating models depends on the rotational velocity, inclination of
the rotation axis and chemical composition of the star (see, e.g., Maeder & Meynet 2004). An
estimate of the average effect of rotation on the observed effective
temperature for moderate rotators is provided by Bastian
& de Mink (2009), and their results are in agreement
with those of the Geneva group for a 4
star (Meynet, private communication). According to the above-mentioned
authors, the change in
of a rotating star with
respect to a non-rotating one can be expressed
as:
where
The value of the overshooting parameter, its dependence on the stellar mass and the physical origin of the extra-mixing are still a matter of debate. A different value for the two components cannot be completely excluded and the hypothesis OV1= OV2 can be dropped. We tried, therefore, to satisfy our observational constraints by using fixed and different values of OV1 and OV2. We also performed computations fixing OV for the primary and varying the OV for the secondary component, and - additionally - keeping fixed OV2 and deriving OV1. The corresponding models are labeled as models C in Table 5. An overshooting parameter higher for the secondary than for the primary slightly improves the fit with respect to model B. From a physical point of view, we could justify a secondary with a stronger mixing in the center, even if its rotational velocity is lower than that of the companion, by invoking an important gradient of the internal rotational profile produced by braking in the synchronization process. However, the improvement in the fit is not significant enough to justify the introduction of an additional parameter.
The age of the system is similar for all models and has an
average value of
Myr.
Finally, we can wonder if our conclusions could be dependent on the evolutionary code we used for computing stellar models. A convincing answer to this question can be found in the extensive study which was carried out by the CoRoT/ESTA (Evolution and Seismic Tools Activity) group, in view of the CoRoT mission and the foreseen analysis of seismic data of the highest ever achieved accuracy. The team made an accurate comparison among different evolutionary and pulsation codes for selected test cases. Their results (Lebreton et al. 2008, and other contributions appearing in the same special issue) allow us to conclude that in the part of the parameter space of interest here (MS stars of intermediate mass) stellar evolutionary codes adopting the same physics yield the same fundamental parameters and the same internal structure.
4.2 Orbital evolution
The position of HD 174884 in the period-eccentricity diagram of close binaries is shown in Fig. 10. The plot is based on the catalog of Hegedüs et al. (2005), with the addition of HD 313926, a short period (P=2
|
Figure 10: The period-eccentricity diagram, for close binaries according to the catalog of Hegedüs et al. (2005). Filled circles correspond to B stars, open circles to A-G stars. The star symbol indicates the location of HD 174884, the triangle that of HD 313926 (Rucinski et al. 2007, see text). |
| Open with DEXTER | |
Rucinski et al. (2007) suggest that the upper envelope for B-type stars in the period-eccentricity plot might be flatter than that of the later stellar types. This can be understood in terms of stronger dissipation and hence more efficient circularization mechanisms for stars with larger fractional radii, see for instance the review of Zahn (2005). That is at the origin of the overall trend in the plot (lower eccentricity for shorter periods); besides, at a fixed period, less massive (unevolved) stars have smaller fractional radius and hence longer circularization timescales. The evidence of the second effect is, however, marginal in our updated plot, as HD 174884 occupies a region previously empty of B-stars.
The relation between eccentricity and the fractional radius of
early type binaries has been extensively studied. Giuricin
et al. (1984) analyzed a sample of galactic binaries
and North & Zahn (2003)
more homogeneous ones in the Magellanic Clouds. All samples indicate
the existence of a ``cut-off'' fractional radius, above which all
systems
have circular orbits. This value - practically independent of chemical
composition - is
0.25.
The fractional
radius of HD 174884's primary is
,
i.e. a value consistent with its elliptic orbit. Its position in the
eccentricity vs. the fractional radius plot of Giuricin
et al. (1984) (not shown here for the sake of
brevity) marks again the upper envelope of the galactic sample for that
period.
The same mechanism producing the orbit circularization is at
the origin of spin-orbit synchronization on timescales typically a few
orders of magnitude shorter than that for circularization, as - in the
presence of efficient angular momentum transfer - the ratio of the two
timescales equals that of the rotational and orbital angular momentum
content. As long as the orbit is elliptical, the component rotation
will synchronize with the orbital motion at periastron. Since
was estimated from spectral analysis (
)
and the
eccentricity is well constrained from spectrophotometric modeling, we
can readily verify whether this is the case. A theoretical value (Hut 1981) of the synchronicity
parameter for
synchronous rotation at periastron is
,
and for our system F=1.92, while spectroscopic
analysis yields
and
.
Both stars thus seem to be rotating marginally super-synchronously.
We can check if the dynamical state of the system is in agreement with
the expected timescales.
If we follow Zahn's formalism (see the above-mentioned review and Claret & Cunha 1997) to
estimate the circularization and synchronization timescales of
HD 174884, adopting a value of
for the
fractional gyration radius (Claret
& Gimenez 2005) and
for the value of the second torque constant (Claret
& Cunha 1997), we get:
yr
(or 35% shorter considering the
contribution of both components),
yr and
.
While the relations providing these estimates are derived under the
hypothesis of a small deviation from the circular orbit and
synchronism, the resulting figures are indeed in good agreement with
the dynamical status of
our system.
The fact that in the same period interval of the e-P plot both circularized and elliptic orbits can be found is interpreted (Zahn 2005) as due to much higher efficiency of tidal damping when resonance locking (Witte & Savonije 1999) takes place. As this event is very sensitive to the binary parameters it might appear only in some systems among those of similar period, depending on the other stellar parameters. According to this interpretation the orbital evolution of HD 174884 has not been driven by resonance locking.
4.3 Pulsational properties: analysis of the light-curve fit residuals
The residuals from the phased light curve fit, appearing in the lower panel of Fig. 2, clearly show a phase-locked pattern, which can be described in terms of two components: a complex irregular structure at phases close to (and within) the primary eclipse and a multi-periodic oscillatory behavior at other phases. Their different nature is suggested by the fact that only the latter is present in the original light curve (see Fig. 11).
|
Figure 11: Sections of the original light curve, phased according to the orbital period and vertically shifted for better clarity. The seven observed orbital periods go bottom-up. The oscillatory pattern of the residuals is clearly seen in each curve. |
| Open with DEXTER | |
We interpret the first component as due to systematic effects caused by the employed EB model, e.g. to small deviations in model atmospheres (and consequently in the limb darkening description), and to the description of stellar surfaces by a finite, though large, number of elements. These effects are expected to be visible during eclipses, when one stellar disc eclipses the other. Those related to the surface discretization are typically below 0.1 mmag, but can be larger at some critical phases.
Table 6: Results of Fourier analysis.
We attempted to identify those segments of the code that need
to be
restated in order to increase the model accuracy. An important one is
the
above-mentioned surface discretization, which currently relies on
equidistant
partitioning of the surface along stellar latitude and longitude. This
introduces a `` seam'' along
where all the surface elements are
perfectly aligned. We have been devising a modified approach where
surface elements are determined by equidistant partitioning along the
length of the equipotential and shifted by half the element width at
.
Preliminary tests indicate that the systematic discrepancy in
the vicinity of the primary minimum residuals (around
)
is greatly reduced when
employing the new strategy. However, significant testing is required to
identify any potential problems with the new scheme.
The second component of the residuals, the oscillatory pattern which can be spotted with the naked eye in the original curve, is certainly model-independent and is due either to the intrinsic variability or to an instrumental artifact. The latter hypothesis is unlikely, however, given the perfect phasing with the binary period over more than seven cycles. Furthermore, none of the known frequencies of instrumental origin is close to those found in the pattern components.
|
Figure 12:
The Fourier spectrum of the ``cleaned'' residuals after pre-withening
of the first two frequencies in Table 6. The dotted
lines mark the two frequencies 8
|
| Open with DEXTER | |
All the analyses provide essentially the same result: a clear
detection of two frequencies,
corresponding to 8 and 13 times the orbital frequency
and marginal detections of other orbital
overtones. Table 6
and Fig. 12
summarize the results of the analysis for
the ``cleaned'' set of residuals. The first frequency corresponds
to
and was
kept fixed. The first two frequencies are actually needed to fit the
slow trend, visible in the lower panel of Fig. 2, due to the
systematics introduced by subtraction of the light curve model.
Similarly the low frequency F6 fits a long term residual
trend, a left-over of the detrending procedure which was applied to the
original curve. Frequencies F3 and F4 correspond to
and
.
The detections are very clear, reaching amplitudes of over ten times the noise level. More multiples of the orbital frequency are present, but at a lower amplitude, so we consider them to be only marginal detections. The intrinsic variability at multiples of the orbital frequency are a phenomenon pointing towards tidally induced oscillations or free oscillations affected by the close binarity.
Even though several pulsating stars in close binaries have been found (e.g. Aerts & Harmanec 2004), oscillation frequencies at multiples of the orbital frequency have only rarely been detected. The most likely explanation is that they are due to resonant dynamic tides which can lead to detectable amplitudes. As discussed by, e.g., Willems & Aerts (2002), the shape of tidally induced observables (light curves or radial velocities) can vary from very irregular for orbital periods away from a resonance with a free oscillation mode to sinusoidal for orbital periods close to a resonance with a free oscillation mode. It is somewhat surprising that we find clear multiples of order 13 and 8 for HD 174884, while the lower order multiples are not found to be so marked. Interestingly, such a case also occurs for the slowly pulsating B-star HD 177863, where an oscillation frequency of exactly ten times the orbital frequency was found and interpreted as due to resonant excitation (De Cat et al. 2000).
According to theory, tides can efficiently excite the star
free oscillation modes which are close to the tidal frequency (and its
multiples in eccentric orbits see, e.g., Willems
2003). The dominant tidal term is associated with the
spherical harmonics of degree
.
Besides, given the typical values of the tidal frequencies in close
systems, the stellar free oscillation
modes should be g-modes, and typically of a high radial order,
(Zahn 2005).
By means of the code LOSC (Liège OScillation Code Scuflaire et al. 2008a)
we computed the eigenfrequencies of the primary star for all the
models within 2-
in mass and radius and
K.
The purpose was to check the properties of the
modes close to
the F values of Table 6.
LOSC includes the effects of rotation on the frequencies in a
perturbative approximation and the correction terms are limited to the
first order in
(e.g. Ledoux 1951). This approach is acceptable when the effects of the
centrifugal force and of the Coriolis acceleration are small. The
former is estimated by the ratio (
)
between the rotational period and the dynamical time, the latter by the
ratio (
)
of the rotation to the oscillation frequencies. For the
HD 174884 primary component
and
for F3, and
for F4. As shown by Miglio
et al. (2008), the effect of rotation on the
internal chemical composition profiles can also lead to slight changes
of the eigenfrequencies.
Since our aim is not to fit the observed frequencies, but to
verify that their value is well in the range of the
g-modes with a radial order n of
10 or
larger, we consider the first order approach sufficient.
The comparison between observed and theoretical frequencies indicates,
indeed, that the lower frequency F3
corresponds for the models described in Table 5 to n values
between 8 and 10,
and the higher one to slightly larger values.
We can conclude therefore that the frequencies we find in the residuals
are compatible with
tidally forced oscillations.
As a further check of the light curve solution robustness, we pre-withened the original curve by the two frequencies F3 and F4 and recomputed the best fit. The new solution is essentially the same as the old one: the largest difference between best-fit parameters before and after pre-withening is 0.4%. The subtraction of the harmonic pattern does not substantially improve the correlation of residuals, because their dominant component, which we interpreted as due to model systematics, is essentially left unchanged by the procedure.
5 Summary and conclusions
This work has been carried out with two aims in mind: to achieve a thorough description of an interesting binary and to test the performance of current binary star modeling on data of unprecedented accuracy, namely those available for the CoRoT seismo-field targets. HD 174884 lends itself to both purposes: its peculiar light curve suggests an unusual system configuration, worth a detailed study, and it is also quite stable over the seven observed orbital periods so that, if possible systematic errors arising from binary modeling were present, they would not be hidden by transient intrinsic phenomena. (The latter is indeed the case for the other fully analyzed binary seismo-target of CoRoT first runs, AU Mon (Desmet et al. 2009) whose study reveals the presence of variable circumbinary material.)
Given the presence of a grazing eclipse, we were concerned about solution uniqueness, a problem which is sometimes overlooked, and we put a great effort into getting a sound estimate of parameter uncertainties, essential for a proper comparison with evolutionary stellar models.
We can summarize our main results as follows:
- Due to the high accuracy of CoRoT data, we were able to unambiguously derive parameters, such as inclination and component sizes, which would otherwise be poorly constrained in a system with grazing eclipses. This fact, the excellent agreement between the results of the different methods applied for the analysis of the spectra, and the extensive check of solution uniqueness permitted a sound estimation of the physical parameters of HD 174884 and their uncertainties.
- The comparison with stellar models is quite satisfactory but for the temperature difference between the components, which, for the best fitting models, is typically a few hundred degrees higher than that from the light curve solution. We interpreted that as due to the comparison with non-rotating stellar models. We were able to improve also the agreement with models introducing differences in the physical processes acting in the components, such as overshooting, but Occam's razor arguments favor the simpler, though not exhaustive, explanation. Increasing the free parameters yields, in fact, only a marginal improvement. The comparison with theoretical models provided also an estimation of the system's age and some indication on the component chemical composition.
- The dynamical properties of HD 174884 are in very good agreement with the predictions of Zahn's theory of circularization and spin-orbit synchronization. The high value of the eccentricity for the period suggests that resonance locking has not been at work in the system.
- A few frequencies are clearly detected in the residuals of
the light curve fit and are multiples
of the orbital frequency. We tentatively interpret them as resonantly
excited pulsations.
This hypothesis is strengthened by the fact that many g-modes of a high
radial order and of degree
exist in the frequency range of tidal frequencies. Among the very few
detections of tidally induced pulsations in binaries,
HD 174884 is the only case with two well characterized early
type MS components.
We thank Arlette Noels, Franca D'Antona and Georges Meynet for enlighting discussions, Richard Scuflaire and Andrea Miglio for providing the numerical codes, and John Southworth for useful suggestions and comments on the manuscript. The research leading to these results has received funding from the Italian Space Agency (ASI) under contract ASI/INAF I/015/07/00 in the frame of the ASI-ESS project, from the European Research Council under the European Community's Seventh Framework Programme (FP7/2007-2013)/ERC grant agreement No. 227224 (PROSPERITY), as well as from the Research Council of K.U. Leuven grant agreement GOA/2008/04 and from the Belgian PRODEX Office under contract C90309: CoRoT Data Exploitation. E.N. was funded by means of a 6-month Visiting Postdoctoral Fellowship of the FWO, Flanders in the framework of project G.0332.06 as well as by the European Helio- and Asteroseismology Network (HELAS), a major international collaboration funded by the European Commission's Sixth Framework Programme. The research of P.H. was supported by the grant 205/06/0304, and 205/08/H005 of the Czech Science Foundation and also from the Research Program MSM0021620860 of the Ministry of Education of the Czech Republic. AP acknowledges NSF/RUI Grant No. AST-05-07542.
References
- Aerts, C., & Harmanec, P. 2004, in Spectroscopically and Spatially Resolving the Components of the Close Binary Stars, ed. R. W. Hilditch, H. Hensberge, & K. Pavlovski, ASP Conf. Ser., 318, 325
- Asplund, M., Grevesse, N., & Sauval, A. J. 2005, in Cosmic Abundances as Records of Stellar Evolution and Nucleosynthesis, ed. T. G. Barnes, III, & F. N. Bash, ASP Conf. Ser., 336, 25
- Bastian, N., & de Mink, S. E. 2009, MNRAS, 398, L11 [NASA ADS]
- Bevington, P. R., & Robinson, D. K. 2003, Data reduction and error analysis for the physical sciences (McGraw-Hill Science Engineering)
- Böhm-Vitense, E. 1958, ZAp, 46, 108 [NASA ADS]
- Borucki, W., Koch, D., Basri, G., et al. 2008, ed. Y.-S. Sun, S. Ferraz-Mello, & J.-L. Zhou, IAU Symp., 249, 17
- Castelli, F., & Kurucz, R. L. 2004, IAU Symp., 210 [arXiv:astro-ph/0405087]
- Claret, A., & Cunha, N. C. S. 1997, A&A, 318, 187 [NASA ADS]
- Claret, A., & Gimenez, A. 2005, VizieR Online Data Catalog, 6118
- Crawford, D. L., & Mandwewala, N. 1976, PASP, 88, 917 [NASA ADS] [CrossRef]
- De Cat, P., Aerts, C., De Ridder, J., et al. 2000, A&A, 355, 1015 [NASA ADS]
- De Ridder, J., Telting, J. H., Balona, L. A., et al. 2004, MNRAS, 351, 324 [NASA ADS] [CrossRef]
- Desmet, M., Fremat, Y., Baudin, F., et al. 2009, MNRAS, in press [arXiv:0909.1546]
- Ferguson, J. W., Alexander, D. R., Allard, F., et al. 2005, ApJ, 623, 585 [NASA ADS] [CrossRef]
- Giuricin, G., Mardirossian, F., & Mezzetti, M. 1984, A&A, 134, 365 [NASA ADS]
- Gray, R. O., & Corbally, C. J. 1994, AJ, 107, 742 [NASA ADS] [CrossRef]
- Grevesse, N., & Noels, A. 1993, in Origin and Evolution of the Elements, ed. N. Prantzos, E. Vangioni-Flam, & M. Casse, 15
- Hadrava, P. 1995, A&AS, 114, 393 [NASA ADS]
- Hadrava, P. 1997, A&AS, 122, 581 [NASA ADS] [EDP Sciences] [CrossRef]
- Hadrava, P. 2004, Publ. Astron. Inst. Acad. Sci. Czech Rep., 92, 15
- Hegedüs, T., Giménez, A., & Claret, A. 2005, in Tidal Evolution and Oscillations in Binary Stars, ed. A. Claret, A. Giménez, & J.-P. Zahn, ASP Conf. Ser., 333, 88
- Hut, P. 1981, A&A, 99, 126 [NASA ADS]
- Iglesias, C. A., & Rogers, F. J. 1996, ApJ, 464, 943 [NASA ADS] [CrossRef]
- Kurucz, R. L. 1998, Highlights of Astronomy, 11, 646 [NASA ADS]
- Lebreton, Y., Montalbán, J., Christensen-Dalsgaard, J., Roxburgh, I. W., & Weiss, A. 2008, Ap&SS, 316, 187 [NASA ADS] [CrossRef]
- Lenz, P., & Breger, M. 2005, Commun. Asteroseismol., 146, 53 [NASA ADS] [CrossRef]
- Maceroni, C., & Rucinski, S. M. 1997, PASP, 109, 782 [NASA ADS] [CrossRef]
- Maeder, A., & Meynet, G. 2004, in Stellar Rotation, ed. A. Maeder, & P. Eenens, IAU Symp., 215, 500
- Miglio, A., & Montalbán, J. 2005, A&A, 441, 615 [NASA ADS] [EDP Sciences] [CrossRef]
- Miglio, A., Montalbán, J., & Maceroni, C. 2007, MNRAS, 377, 373 [NASA ADS] [CrossRef]
- Miglio, A., Montalbán, J., Noels, A., & Eggenberger, P. 2008, MNRAS, 386, 1487 [NASA ADS] [CrossRef]
- Moon, T. T. 1985, Comm. University of London Observatory, 78
- Moon, T. T., & Dworetsky, M. M. 1985, MNRAS, 217, 305 [NASA ADS]
- Napiwotzki, R., Schoenberner, D., & Wenske, V. 1993, A&A, 268, 653 [NASA ADS]
- North, P., & Zahn, J.-P. 2003, A&A, 405, 677 [NASA ADS] [EDP Sciences] [CrossRef]
- Press, W. H., Teukolsky, S. A., Vetterling, W. T., & Flannery, B. P. 1992, Numerical Recipes in FORTRAN, The Art of Scientific Computing (Cambridge University Press)
- Prsa, A., & Zwitter, T. 2005, ApJ, 628, 426 [NASA ADS] [CrossRef]
- Rieke, G. H., & Lebofsky, M. J. 1985, ApJ, 288, 618 [NASA ADS] [CrossRef]
- Rogers, F. J., & Nayfonov, A. 2002, ApJ, 576, 1064 [NASA ADS] [CrossRef]
- Rucinski, S. M., Kuschnig, R., Matthews, J. M., et al. 2007, MNRAS, 380, L63 [NASA ADS]
- Scuflaire, R., Montalbán, J., Théado, S., et al. 2008a, Ap&SS, 316, 149 [NASA ADS] [CrossRef]
- Scuflaire, R., Théado, S., Montalbán, J., et al. 2008b, Ap&SS, 316, 83 [NASA ADS] [CrossRef]
- Skrutskie, M. F., Cutri, R. M., Stiening, R., et al. 2006, AJ, 131, 1163 [NASA ADS] [CrossRef]
- Solano, E., Catala, C., Garrido, R., et al. 2005, AJ, 129, 547 [NASA ADS] [CrossRef]
- Southworth, J., & Clausen, J. 2007, A&A, 461, 1077 [NASA ADS] [EDP Sciences] [CrossRef]
- Stellingwerf, R. F. 1978, ApJ, 224, 953 [NASA ADS] [CrossRef]
- van Leeuwen, F. 2007, A&A, 474, 653 [NASA ADS] [EDP Sciences] [CrossRef]
- von Zeipel, H. 1924, MNRAS, 84, 665 [NASA ADS]
- Waelkens, C., Aerts, C., Kestens, E., Grenon, M., & Eyer, L. 1998, A&A, 330, 215 [NASA ADS]
- Willems, B. 2003, MNRAS, 346, 968 [NASA ADS] [CrossRef]
- Willems, B., & Aerts, C. 2002, A&A, 384, 441 [NASA ADS] [EDP Sciences] [CrossRef]
- Witte, M. G., & Savonije, G. J. 1999, A&A, 350, 129 [NASA ADS]
- Zahn, J.-P. 2005, in Tidal Evolution and Oscillations in Binary Stars, ed. A. Claret, A. Giménez, & J.-P. Zahn, ASP Conf. Ser., 333, 4
Footnotes
- ... CoRoT
- Based on photometry collected by the CoRoT space mission and spectroscopy obtained with the CORALIE spectrograph attached to the 1.2 m Euler telescope at ESO, La Silla, Chile. The CoRoT space mission was developed and is operated by the French space agency CNES, with participation of ESA's RSSD and Science Programs, Austria, Belgium, Brazil, Germany and Spain.
- ...
- Postdoctoral fellow of the Fund for Scientific Research of Flanders (FWO).
- ... database
- GAUDI (sdc.laeff.inta.es/gaudi/) is the data archive of the ground-based asteroseismology programme of the CoRoT mission. The GAUDI system is maintained at LAEFF, which is part of the Space Science Division of INTA.
- ... days
- The data can be retrieved from the CoRoT public archive at http://idoc-corot.ias.u-psud.fr/
- ... conjunction
- In the case of an elliptical orbit, the minimum light epoch
can be slightly shifted from the superior conjunction; in our case we
observe a shift of
4 min.
- ... SPECTRUM
- http://www.phys.appstate.edu/spectrum/spectrum.html
- ... TempLogG
- http://www.univie.ac.at/asap/templogg/main.php
All Tables
Table 1: Colors and magnitudes of HD 174884.
Table 2: Radial velocities of HD 174884.
Table 3: KOREL disentangling orbital solutions for the three combined blue spectral regions near some stronger spectral lines useful for determination of atmospheric parameters, and for the red spectral region near the He I 5876 'A line.
Table 4: Physical and geometric parameters of HD 174884.
Table 5:
Best fit models. The values of the ``observables'' ,
,
are given for comparison in the note.
Table 6: Results of Fourier analysis.
All Figures
|
Figure 1: Upper panel: the complete CoRoT light curve of HD 174884 as normalized flux vs. HJD. Lower panel: a blow-up, spanning approximately three periods, showing the tiny secondary minimum (first occurrence at reduced HJD of around 4218). |
| Open with DEXTER | |
| In the text | |
|
Figure 2: Upper panel: the phased and binned CoRoT light curve of HD 174884. Dots: normal points as described in the text. The solid line is the light curve fit according to the model of Sect. 3, which can be distinguished from normal points only during primary eclipse. Lower panel: the corresponding residuals (observed - computed normalized flux) |
| Open with DEXTER | |
| In the text | |
|
Figure 3:
An example of the fit of the line profiles of Mg II 4481 Å
. The black solid line is the
fit with a function obtained by summing the individual profiles of the
components (a convolution of a Gaussian and rotational
broadening). For clarity a gray line is also shown, which corresponds
to a smoothing with an averaging boxcar of width comparable to
the FWHM of the interstellar Na II
D line (the narrowest lines appearing in the spectra).
Left panel: unblended lines at phase
|
| Open with DEXTER | |
| In the text | |
|
Figure 4: The radial velocity curves for the two components of HD 174884 (dots: primary, triangles: secondary component). The phases are computed according to the ephemeris in Eq. (1), the velocity unit is km s-1. The solid line is the fit described in Sect. 3.1. |
| Open with DEXTER | |
| In the text | |
|
Figure 5: A search for optimal values of K1 and the mass ratio K1/K2. |
| Open with DEXTER | |
| In the text | |
|
Figure 6: Disentangled line profiles. |
| Open with DEXTER | |
| In the text | |
|
Figure 7:
The contour enclosing 68.3% of all bootstrap solutions (1-sigma
uncertainties) for two pairs of parameters: upper panel
i - |
| Open with DEXTER | |
| In the text | |
|
Figure 8: The results of heuristic scanning. Top two panels depict the projection of the cost function space along inclination ( left) and primary surface potential ( right). The bottom two panels depict correlations between the secondary surface potential ( left) and secondary effective temperature ( right). A gray stripe encompasses 1% deviations from the minimum cost function value in the primary surface potential, obtained by fitting a parabola to the top right panel. Solid lines represent the best-fit solution, while dashed lines represent parameter limits as determined by the plausible primary surface potential values. |
| Open with DEXTER | |
| In the text | |
|
Figure 9:
The iso- |
| Open with DEXTER | |
| In the text | |
|
Figure 10: The period-eccentricity diagram, for close binaries according to the catalog of Hegedüs et al. (2005). Filled circles correspond to B stars, open circles to A-G stars. The star symbol indicates the location of HD 174884, the triangle that of HD 313926 (Rucinski et al. 2007, see text). |
| Open with DEXTER | |
| In the text | |
|
Figure 11: Sections of the original light curve, phased according to the orbital period and vertically shifted for better clarity. The seven observed orbital periods go bottom-up. The oscillatory pattern of the residuals is clearly seen in each curve. |
| Open with DEXTER | |
| In the text | |
|
Figure 12:
The Fourier spectrum of the ``cleaned'' residuals after pre-withening
of the first two frequencies in Table 6. The dotted
lines mark the two frequencies 8
|
| Open with DEXTER | |
| In the text | |
Copyright ESO 2009
Current usage metrics show cumulative count of Article Views (full-text article views including HTML views, PDF and ePub downloads, according to the available data) and Abstracts Views on Vision4Press platform.
Data correspond to usage on the plateform after 2015. The current usage metrics is available 48-96 hours after online publication and is updated daily on week days.
Initial download of the metrics may take a while.
![\begin{figure}
\par\includegraphics[width=15cm,clip]{13311fg1.eps} %\end{figure}](/articles/aa/full_html/2009/48/aa13311-09/Timg19.png)
![\begin{figure}
\par\includegraphics[width=8.7cm]{13311fg2.eps}
\end{figure}](/articles/aa/full_html/2009/48/aa13311-09/Timg28.png)
![\begin{figure}
\par\mbox{\includegraphics[width=8.5cm,clip]{13311fg3a.eps} \includegraphics[width=8.5cm,clip]{13311fg3b.eps} }
\vspace*{2.5mm}
\end{figure}](/articles/aa/full_html/2009/48/aa13311-09/Timg38.png)
![\begin{figure}
\par\includegraphics[width=8.7cm,clip]{13311fg4.eps}
\end{figure}](/articles/aa/full_html/2009/48/aa13311-09/Timg49.png)
![\begin{figure}
\par\includegraphics[angle=-180,width=17cm,clip]{13311fg5.eps}
\end{figure}](/articles/aa/full_html/2009/48/aa13311-09/Timg54.png)

![\begin{figure}
\par\includegraphics[width=8.7cm,clip]{13311fg7a.eps} \includegraphics[width=8.7cm,clip]{13311fg7b.eps}
\end{figure}](/articles/aa/full_html/2009/48/aa13311-09/Timg92.png)
![\begin{figure}
\par\includegraphics[width=17.cm,clip]{13311fg8.eps}
\end{figure}](/articles/aa/full_html/2009/48/aa13311-09/Timg93.png)
![\begin{figure}
\par\includegraphics[width=9cm,clip]{13311fg9.eps}
\end{figure}](/articles/aa/full_html/2009/48/aa13311-09/Timg119.png)
![\begin{figure}
\par\includegraphics[width=9cm,clip]{13311fg10.eps}
\end{figure}](/articles/aa/full_html/2009/48/aa13311-09/Timg126.png)
![\begin{figure}
\par\includegraphics[width=8.7cm]{13311fg11.eps}
\end{figure}](/articles/aa/full_html/2009/48/aa13311-09/Timg137.png)
![\begin{figure}
\par\includegraphics[width=9cm,clip]{13311fg12.eps}
\end{figure}](/articles/aa/full_html/2009/48/aa13311-09/Timg165.png)