Free Access
Issue
A&A
Volume 508, Number 3, December IV 2009
Page(s) L39 - L42
Section Letters
DOI https://doi.org/10.1051/0004-6361/200913452
Published online 04 December 2009

A&A 508, L39-L42 (2009)

LETTER TO THE EDITOR

Hall cascades versus instabilities in neutron star magnetic fields

C. J. Wareing - R. Hollerbach

Department of Applied Mathematics, University of Leeds, Leeds, LS2 9JT, UK

Received 12 October 2009 / Accepted 2 December 2009

Abstract
Context. The Hall effect is an important nonlinear mechanism affecting the evolution of magnetic fields in neutron stars. Studies of the governing equation, both theoretical and numerical, have shown that the Hall effect proceeds in a turbulent cascade of energy from large to small scales.
Aims. We investigate the small-scale Hall instability conjectured to exist from the linear stability analysis of Rheinhardt and Geppert.
Methods. Identical linear stability analyses are performed to find a suitable background field to model Rheinhardt and Geppert's ideas. The nonlinear evolution of this field is then modelled using a three-dimensional pseudospectral numerical MHD code. Combined with the background field, energy was injected at the ten specific eigenmodes with the greatest positive eigenvalues as inferred by the linear stability analysis.
Results. Energy is transferred to different scales in the system, but not into small scales to any extent that could be interpreted as a Hall instability. Any instabilities are overwhelmed by a late-onset turbulent Hall cascade, initially avoided by the choice of background field, but soon generated by nonlinear interactions between the growing eigenmodes. The Hall cascade is shown here, and by several authors elsewhere, to be the dominant mechanism in this system.

Key words: magnetohydrodynamics (MHD) - turbulence - stars: magnetic fields - stars: neutron - stars: evolution - pulsars: general

1 Introduction

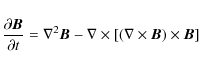
The Hall effect is now acknowledged to be an important mechanism in the evolution of magnetic fields in the crusts of neutron stars. As derived by Goldreich & Reisenegger (1992), the equation governing the magnetic field under the influence of both the Hall effect and Ohmic diffusion is

\begin{displaymath}\frac{\partial \vec{B}}{\partial t} = \nabla^2 \vec{B}
- \nabla \times \left[ (\nabla \times \vec{B}) \times \vec{B} \right]
\end{displaymath} (1)

in which length is scaled by some characteristic length such as the depth dof the crust, time scaled by the Ohmic decay time $4 \pi \sigma
d^2 / c^2$, where $\sigma$ is the conductivity, and c is the speed of light. The magnetic field is defined so that the Ohmic term, $\nabla^2 \vec{B}$, and the Hall term, $-\nabla\times\left[(\nabla\times\vec{B})\times\vec{B}\right]$, are formally of the same order; this is accomplished by scaling $\vec{B}$ by $nec/\sigma$, where n is the electron number density, and e is the electron charge. We note though that the true magnetic field in neutron stars is typically several orders of magnitude greater than this, and correspondingly the Hall timescale is several orders of magnitude faster than the Ohmic timescale. If B0 is the non-dimensional amplitude of $\vec{B}$ in Eq. (1), and t is measured on the Ohmic timescale, then t'=B0 t is measured on the Hall timescale. We use both timescales in this work, as appropriate.

Arguing by analogy with ordinary, hydrodynamic turbulence, Goldreich and Reisenegger then conjectured that Eq. (1) would generate a turbulent Hall cascade, transferring energy from large to small scales, with an energy spectrum $E_k \propto k^{-2}$ (where k is wavenumber), and a dissipative cutoff occurring at $k \sim B_0$. They also suggested that the total energy could decay on the fast Hall timescale rather than the slow Ohmic timescale - despite the Hall term conserving energy and thus by itself being unable to cause decay on any timescale. Instead, by transferring energy from large to small scales, the Hall cascade enhances the efficiency of Ohmic decay, conjecturally by enough for the total energy to decay on the fundamentally different, and faster timescale.

Following Goldreich and Reisenegger's seminal work, numerous authors have studied Eq. (1) theoretically and numerically, in both the original spherical-shell geometry (Hollerbach & Rüdiger 2004; Pons & Geppert 2007; Cumming et al. 2004; Hollerbach & Rüdiger 2002), and the cartesian box geometries (Dastgeer et al. 2000; Biskamp et al. 1999,1996; Cho & Lazarian 2009; Dastgeer & Zank 2003; Cho & Lazarian 2004; Shaikh & Zank 2005) usually used in turbulence studies (because they allow much higher resolutions than more complicated geometries). The studies in box geometries in particular all found spectra that are similar to the classical 5/3 Kolmogorov spectrum, as well as changes in slope that were interpreted as a dissipative cutoff. Results in two and three dimensions were also found to be broadly similar. The turbulent Hall cascade has been found to reach a stable equilibrium on a timescale of $t'\sim0.3{-}0.5$ (Cho & Lazarian 2009,2004), efficiently transferring energy from large to small scales.

Our recent work (Wareing & Hollerbach 2009a,b) has highlighted a limitation of previous box simulations, in that they all employed hyperdiffusivity, replacing the Ohmic term by $(\nabla^2)^\eta\vec{B}$, where $\eta$ is typically 2 or 3. As we noted, this masks the equivalence of the terms in the governing equation. Both contain the same number of derivatives so it is conceivable that the nonlinear term will always dominate, even on arbitrarily short lengthscales. As demonstrated by Hollerbach & Rüdiger (2002), one obtains a dissipative cutoff only if one assumes that the cascade is local in Fourier space.

The argument is as follows: the ratio of the Hall term to the Ohmic term is given by the field strength B0, independent of any lengthscales. Implicitly a dependence on lengthscales may still exist: if the coupling is purely local in Fourier space, then the relevant field strength is only the field at that wavenumber. For sufficiently large k, this local field is then reduced sufficiently for the Ohmic term to dominate the Hall term, resulting in a dissipative cutoff at that k. It is clear however how crucially this argument depends on the coupling being purely local in Fourier space; if this is not the case, then the same global B0 applies to all lengthscales, and the Hall term always dominates the Ohmic term.

Our 3D simulations (Wareing & Hollerbach 2009b) reach a stable equilibrium by $t'\sim0.2$and produce a smooth energy spectrum extending over the whole range of Fourier space. For large B0, this tends towards the $E_k \propto k^{-2}$ scaling suggested by Goldreich and Reisenegger. We found no evidence, in either 2D or 3D, of a dissipative cutoff, implying that the Hall term is able to dominate on all scales and that the coupling is nonlocal in Fourier space. Additional evidence of the nonlocal nature of the Hall cascade comes from the strong anisotropy in the presence of a uniform field found by ourselves and others (Cho & Lazarian 2009,2004); if the coupling were purely local in Fourier space, then including a uniform field would have no effect at all on small scales, in contrast to what is observed.

In a very different approach, Rheinhardt & Geppert (2002) (henceforth referred to as R&G) performed a linear stability analysis of Eq. (1), and showed that for a particular choice of background field, growing eigenmodes exist at small wavenumbers 0 < kx, ky < 5. They conjectured that the transfer of magnetic energy from a background (large-scale) field to small-scale modes may therefore proceed in a non-local way in phase space, resulting in a Hall instability. This instability could be identified on the basis of its energy spectrum that does not decline monotonically (e.g. as in a turbulence spectrum) but instead exhibits an increasingly large peak at some large k, corresponding to a transfer of energy directly from the largest scale to this small-scale peak.

We note that no calculation to date shows any such peak, so it already seems very likely that any these instabilities are simply overwhelmed by the turbulent Hall cascade. Nevertheless, we test this idea here in greater detail, by carefully selecting the initial conditions to favour the development of a Hall instability, and inhibit the development of a Hall cascade (at least initially). However, we find that even under these optimised circumstances, there is no evidence that Hall instabilities play any significant role in Eq. (1).

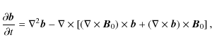
2 The R&G linear stability analysis

R&G begin by considering a large-scale background field $\vec{B}_0$, which has no Hall term, that is, it must satisfy

\begin{displaymath}\nabla\times[(\nabla\times\vec{B}_0)\times\vec{B}_0]={0},
\end{displaymath} (2)

which is of course already a rather restrictive assumption. They next linearise Eq. (1) about this background field to obtain

\begin{displaymath}\frac{\partial \vec{b}}{\partial t} = \nabla^2 \vec{b}
- \na...
...es \vec{b} +
(\nabla \times \vec{b}) \times \vec{B}_0 \right],
\end{displaymath} (3)

describing the behaviour of small perturbations b. If one finally ignores the very gradual Ohmic decay of $\vec{B}_0$, and instead treats it as being constant in time, then Eq. (3) becomes a standard linear eigenvalue problem, with solutions that either decay or grow exponentially.

Furthermore, whereas in Eq. (1) the Hall term conserves magnetic energy $\int\vert\vec{B}\vert^2{\rm d}V$, in Eq. (3) the now two linearised Hall terms do not conserve $\int\vert\vec{b}\vert^2{\rm d}V$. It is indeed possible therefore to obtain exponentially growing solutions, corresponding to a transfer of energy from the background field to the perturbation. What we wish to consider in this work is the subsequent nonlinear evolution of these perturbations, including also the no longer constant-in-time background field.

R&G consider a plane layer geometry, periodic in x and y and bounded in z, with either vacuum or perfectly conducting boundaries at the top and bottom. For their background field, they specify $\vec{B}_0 = f(z)~\vec{e}_x$. This satisfies Eq. (2) for any choice of f(z), and also has the additional advantage of decoupling the horizontal wavenumbers kx, ky for $\vec{b}$ (because $\vec{B}_0$is independent of x and y). Equation (3) has therefore been reduced to a linear, one-dimensional eigenvalue problem, in which only the z structure still has to be solved.

For suitable choices of f(z) in particular with at least quadratic curvature, so that the second derivative $f\hbox{$^{\prime\prime}$ }\neq0$, they then find that one can indeed obtain exponentially growing modes $\vec{b}$, that is, instabilities of the large-scale field $\vec{B}_0$. However, these instabilities only occur for horizontal wavenumbers kx and ky up to around 5 or so, which is nowhere nearly large enough to be considered truly small-scale. The z structure is also not really small-scale, except for a narrow boundary layer that forms at large B0. On the scale of the whole neutron star, the crust is only a thin layer, so the large scales of R&G could already be considered to be relatively small. But in the context of Hall cascades versus instabilities, which is of interest here, R&G's own linear stability analysis simply does not present any evidence of a direct transfer from large to genuinely small scales.

Furthermore, even for these moderate-scale modes that do grow, the growth rate is rather small, always less than 0.6 when measured on the Hall timescale t'. It would take several Hall timescales therefore for these instabilities to grow by any appreciable amount. In contrast, the traditional Hall cascade is so efficient that $t'\sim0.2$ is already enough to establish the full turbulence spectrum.

3 Our linear stability analysis

Our previously used 3D code (Wareing & Hollerbach 2009b) is periodic not just in xand y, but in z as well, extending in all three directions from $-\pi$ to $+\pi$. Our function f(z) must therefore also be periodic, but otherwise exactly the same linear stability analysis as applied by R&G can be applied in this case. After experimenting with various choices, we found that whilst functionally dissimilar to R&G, the form $f(z)=B_0[1+\sin(2z)]$ yielded results that are qualitatively similar. Forms of f(z) that qualitatively very closely resemble the choices of R&G, e.g., $f(z)=B_0[\cos(z/2)]$ compared to R&G's f(z)=B0[1-z2], have not enabled us to identify unstable eigenmodes in our analysis. Figure 1 shows the results for B0=1000(the same value as used by R&G). The highest growth-rate, corresponding to our selection criteria for f(z), is $\sim$400, at kx=2 and ky=11, comparable to R&G's peak value of $\sim$550, at kx=1, ky=0 (with both growth-rates measured on the Ohmic timescale t). For ky=0, the most unstable eigenmodes are non-oscillatory; for ky>0, they are oscillatory. This is the pattern also obtained by R&G.

The main difference between our results and R&G's is that ours extend over a wider range of kx, ky values. This of course corresponds to shorter lengthscales than they obtained, which if anything should then enhance the Hall instability mechanism. As we, however, now show there is no evidence that these ``instabilities'' play any significant role in the dynamics of Eq. (1).

\begin{figure}
\par\includegraphics[width=9cm,clip]{13452f1.eps}
\end{figure} Figure 1:

Growth rates for those kx, ky combinations that yield exponentially growing modes, for $f(z)=1000[1+\sin(2z)]$.

Open with DEXTER

4 Nonlinear evolution

To study the nonlinear evolution of these eigenmodes, we considered the ten most rapidly growing ones, and adjusted the energy in each to be either 1% or 10% of the energy in the background field $\vec{B}_0$. In total, the energy that is initially in the perturbations is therefore either 10% or 100% of the energy in the background field. These two setups, background field plus either small or large perturbations, were then used as the initial conditions in the original, nonlinear Eq. (1). Both simulations were performed at resolutions of 1283 and 2563, with no difference in the results.

\begin{figure}
\par\includegraphics[width=18cm,clip]{13452f2.eps}
\end{figure} Figure 2:

The evolution of the field with a small perturbation. Power spectra are shown at early times t'=0.025, 0.1, 0.2 and 0.4 in the top row and at late times t'=1, 2 and 3 in the bottom row. The total energy is collapsed onto the kx axis ( left), ky axis ( middle), and kz axis ( right). Asterisks indicate the initial conditions at t=t'=0.

Open with DEXTER

Figure 2 shows the results for the small perturbations, 1% energy in each of the top ten eigenmodes. At very early times, the energy in these modes does indeed grow, and at the rates predicted by the linear stability analysis. However, this phase is so short, only up to $t'\approx0.01$, that there is virtually no growth in this time; with growth rates of $\sim$0.4 on this Hall timescale, the perturbations grow by only a factor of $\exp(0.01\cdot0.4)=1.004$. One could of course make this linear growth phase much longer, simply by assuming the initial perturbations to be smaller. However, as soon as they approach the $\sim$1% energy level, the linear growth phase ends, and one is once again in the regime shown here.

As indicated in Fig. 2, by $t'\approx0.025$, the nonlinear interactions among these modes are clearly beginning to spread the energy to different kx, ky combinations. This is most easily seen in the ky spectrum, where the $k_y\approx10$ initial condition generates higher harmonics at e.g., $k_y\approx20, 30$. In the kxspectrum, the higher harmonics of the kx=2, 3, 4 initial conditions immediately blend together to form the beginning of the standard Hall cascade.

There are two points to note regarding the kz spectrum. First, the very strong peak (off the scale) at kz=2 is the $\sin(2z)$component of the background field. Second, the perturbations have a particular symmetry in z, containing only odd kz. Because the background field contains only $\sin(2z)$, but no sine or cosine component of just z, the perturbations decouple into even/odd kz, and the odd kz modes turn out to be the more unstable. This initial condition of only odd kz in the perturbations is the origin of the ``zig-zag'' pattern in the kz spectrum.

As time progresses, the spectra then evolve exactly as one might expect based on the standard Hall cascade picture. For example, the initially distinct peaks of the higher harmonics in ky are increasingly smoothed out to form the standard turbulent cascade. We note also the existence of an inverse cascade, in which the regime ky<10 is quite effectively filled in.

By t'=3, the memory of the particular initial condition has been largely erased, and one is left simply with the standard cascade. There is certainly no evidence of any growing peaks, either at the moderate scales of the original instabilities, or the small scales speculated by R&G. At even later times, the solutions eventually simply decay, again not exhibiting any growing peaks at any particular lengthscale. In Wareing & Hollerbach (2009b), solutions were obtained all the way to t'=15, still with no peaks emerging from the turbulent cascade.

Figure 3 shows the results for the large perturbations, which contain 10% of the background field energy in each of the top ten eigenmodes, that is, we have forced these eigenmodes to retain their distinct identities for amplitudes considerably larger than they would have according to Fig. 2. Even this though does not allow them to remain independent in their subsequent evolution. In contrast, the nonlinear spreading to other modes, and development of the Hall cascade, simply proceeds even faster than in Fig. 2, until by t'=3 one once again obtains the standard Hall cascade, the details of the initial conditions having been almost completely erased, and there certainly being no trace of any growing peaks.

\begin{figure}
\par\includegraphics[width=18cm,clip]{13452f3.eps}
\end{figure} Figure 3:

The evolution of the field with a large perturbation. Spectra are shown at the same times, and in the same format as in Fig. 2.

Open with DEXTER

5 Discussion

We propose that the entire concept of Hall instabilities has two significant weaknesses even in the purely linear regime considered by R&G. First, it depends on having a rather special background field, satisfying Eq. (2). Second, the resulting instabilities are not small-scale at all; they are only slightly smaller in scale than the background itself.

Furthermore, we have demonstrated that even if one carefully constructs the initial conditions to reproduce unstable eigenmodes of the background field, which may lead to small-scale instabilities, the hypothesis of R&G's work, the most one can accomplish is to slightly delay the onset of the usual Hall cascade. None of the fully nonlinear calculations, of ourselves or numerous other authors (Dastgeer et al. 2000; Biskamp et al. 1999,1996; Cho & Lazarian 2009; Dastgeer & Zank 2003; Cho & Lazarian 2004; Shaikh & Zank 2005), which have a broad variety of different initial conditions including sufficiently strong magnetic fields, have ever found anything other than a standard Hall cascade.

Cumming et al. (2004) also consider the possibility of a Hall instability, and its relevance for the evolution of neutron star magnetic fields. They clarify the nature of the instability: a background shear in the electron velocity drives growth of long-wavelength, i.e., large-scale, perturbations. They explicitly remark that short-wavelength modes are unaffected. They also note that if the picture of a turbulent Hall cascade is correct, then this Hall instability probably does not change the long-term evolution of the field, since intermediate scales will ``fill in'' as the cascade develops. This filling-in is precisely what we have demonstrated here.

We conclude therefore that Hall instabilities may exist in the sense that one can do the linear stability analysis and obtain growing modes, but if one considers the full nonlinear evolution according to Eq. (1), one finds that these modes are completely subsumed into the standard Hall cascade, and ``instabilities'' play no significant role in the dynamics of Eq. (1).

Acknowledgements
This work was supported by the Science & Technology Facilities Council [grant number PP/E001092/1]. We would also like to acknowledge the comments of the referee, Professor Brandenburg, who's remarks have allowed us to improve and clarify our manuscript.

References

All Figures

  \begin{figure}
\par\includegraphics[width=9cm,clip]{13452f1.eps}
\end{figure} Figure 1:

Growth rates for those kx, ky combinations that yield exponentially growing modes, for $f(z)=1000[1+\sin(2z)]$.

Open with DEXTER
In the text

  \begin{figure}
\par\includegraphics[width=18cm,clip]{13452f2.eps}
\end{figure} Figure 2:

The evolution of the field with a small perturbation. Power spectra are shown at early times t'=0.025, 0.1, 0.2 and 0.4 in the top row and at late times t'=1, 2 and 3 in the bottom row. The total energy is collapsed onto the kx axis ( left), ky axis ( middle), and kz axis ( right). Asterisks indicate the initial conditions at t=t'=0.

Open with DEXTER
In the text

  \begin{figure}
\par\includegraphics[width=18cm,clip]{13452f3.eps}
\end{figure} Figure 3:

The evolution of the field with a large perturbation. Spectra are shown at the same times, and in the same format as in Fig. 2.

Open with DEXTER
In the text


Copyright ESO 2009

Current usage metrics show cumulative count of Article Views (full-text article views including HTML views, PDF and ePub downloads, according to the available data) and Abstracts Views on Vision4Press platform.

Data correspond to usage on the plateform after 2015. The current usage metrics is available 48-96 hours after online publication and is updated daily on week days.

Initial download of the metrics may take a while.