| Issue |
A&A
Volume 509, January 2010
|
|
|---|---|---|
| Article Number | A13 | |
| Number of page(s) | 9 | |
| Section | Stellar structure and evolution | |
| DOI | https://doi.org/10.1051/0004-6361/200912309 | |
| Published online | 12 January 2010 | |
High- and low-resolution spectroscopic observations of the peculiar planetary-nebula HD 149427 (=PC 11)
,![[*]](/icons/foot_motif.png)
C. B. Pereira1 - N. O. Baella1 - S. Daflon1 - L. F. Miranda2
1 - Observatório Nacional-MCT, Rua José Cristino, 77. CEP 20921-400 São Cristóvão, Rio de Janeiro-RJ, Brazil
2 - Instituto de Astrofísica de Andalucía, CSIC, Apdo. 3004, 18080 Granada, Spain
Received 8 April 2009 / Accepted 5 August 2009
Abstract
Aims. We discuss the status of the A-type component of the binary central star in the peculiar planetary nebula HD 149427.
Methods. We acquired low and high spectral resolution optical spectroscopy for the range 4500-9000 Å.
Results. The analysis of the high resolution spectrum shows that the A-type star has an effective temperature of
= 8700
150 K and a surface gravity of log g = 2.3
0.4, corresponding to a spectral type A3-A4 II. These parameters infer a luminosity estimate of
= 3.69
0.32, implying a distance of 10
0.6 kpc. The A-type star is slightly metal-poor; barium and
strontium, two key elements for monitoring the s-process
nucleosynthesis, are not enriched; nitrogen is enriched relative to
Sun; while carbon and oxygen are underabundant. The photospheric
abundance of the A-type giant star in HD 149427 is compared with
the abundance in other types of stars at different evolutionary stages.
Key words: planetary nebulae: individual: HD 149427 - stars: abundances - stars: fundamental parameters
1 Introduction
Among the 1820 objects classified at least once as planetary nebulae (PNe) in the Strasbourg-ESO Catalogue of Planetary Nebulae (Acker et al. 1992), there is a very small number of PNe known to contain close binary nuclei. Bond (2000) lists only 16 objects. These objects are relevant because they may provide direct evidence of the occurrence of common envelope evolution in these binary systems. Some of them have been discovered because of their photometric variability (either due to stellar eclipses or reflection effects). Miszalski et al. (2008) identified three new binary central stars in PNe using photometry, although no further information about the nature of the central star was attainable using spectroscopy.
In some central stars of PNe, the companion is resolved and its their spectroscopic characteristics can be investigated. Méndez (1989) provided such a list and performed a radial velocity survey of binary central stars of PNe, where the several types of companion of the hot star are listed according to the methods of discovery. His Table 1 contains a list of central stars of PNe (hereafter CSPN). The objects in this list represent what had been previously classified as ``peculiar PNe'' according to Lutz (1977). In particular, Lutz (1977) defined peculiar PNe, to be objects that have nebular emission lines in combination with an absorption spectrum of a cool central star (of spectral types from A to K). Since A to K stars are not hot enough to ionize the nebulae, these peculiar PNe should be binary systems consisting of a faint hot star (responsible for the ionization of the nebulae) plus a bright A to K star that is the source of the absorption spectrum. Nowadays, it is known that some objects in the list of Lutz's (1977) belong to a small subsample of symbiotic stars called yellow symbiotics (Schmid & Nussbaumer 1993). Spectroscopically detected CSPN with spectral types G and K in these peculiar PNe have already been studied in the literature. The most representative objects of this class are indeed Abell 35 and Lotr 5 (Thevenin & Jasniewicz 1997). WeBo1 (Bond et al. 2003) and Me 1-1 (Shen et al. 2004; Pereira et al. 2008) can be included in this very short list. de Marco (2009) discusses and reviews the binary hypothesis of CSPN, Tables 2 and 3 of her paper presents a list of all known binary CSPNe.
In this work, we analyze low- and high-resolution spectra of the
peculiar PN HD 149427. HD 149427 (=Hen 2-172 =
PC 11) was first noticed to be a peculiar object by Webster (1966) on the basis of it strong continuum the absorption Ca II line accompanied by nebular emission lines. She also noted that the [O III]
4363 emission line was very strong (see also Sanduleak & Stephenson 1972)
and realized that the spectrum of HD 149427 was very similar to
the D'-type symbiotic object HD 330036. The optical and
ultraviolet emission line spectra of HD 149427 were investigated
by Gutiérrez-Moreno & Moreno (1998) and Parthasarathy et al. (2000),
respectively. In these previous studies, the authors determined the
chemical
composition of the nebula, the temperature of the hot star and
discussed the nature of HD 149427 based on its ultraviolet
spectrum. Our data allow us to determine some physical properties of
both the hot star, and the ionized nebula and to derive the atmospheric
parameters as well as the chemical composition of the cool star in
the system.
2 Observations
2.1 Low-resolution spectroscopy
The low-resolution spectroscopic observations were performed using a
Boller & Chivens spectrograph at the Cassegrain focus of the
ESO 1.52 m telescope in La Silla (Chile).
A UV-flooded thinned Loral Lesser CCD #39 (2048
2048, 15
m/pixel)
was used as detector providing a high
quantum efficiency in both the blue and in the UV. Two instrumental
setups were employed. The first setup used the grating #23 with
600 l/mm, providing a spectral resolution of 4.6 Å in the
range 3500-7500 Å (May 21, 1997). The second setup used of
the grating #31 with 1200 l/mm, resulting in a resolution of
1.9 Å in the range 3100-5100 Å (May 22, 1997).
The data were reduced to linear scale, i.e., wavelength versus
flux, using IRAF. We followed the standard procedure consisting of bias
subtraction, flat-field normalization, and wavelength calibration bt
using a He-Ar lamp. Counts were corrected for atmospheric
extinction and calibrated
for instrumental chromatic response by observations of standard stars
from Oke (1974) and Hamuy et al. (1994). In the linearized spectra, the line fluxes were measured with the splot task and blends were resolved using the deblend option. Figure 1
shows the reduced spectrum of HD 149427 in the spectral range
between 3100 Å and 5100 Å. We estimate the errors in the
fluxes to be about 10% for stronger lines (line fluxes similar to H
on
the scale of H
= 100).
|
Figure 1:
Optical spectrum of HD 149427 between 3100 Å and 5100 Å. Notice the strength of the [O III] |
| Open with DEXTER | |
2.2 High-resolution spectroscopy
The high-resolution spectrum of HD 149427 analyzed in this work was
obtained at the 2.2 m ESO telescope on April 3, 2007 with the
FEROS (Fiberfed Extended Range Optical Spectrograph) echelle
spectrograph (Kaufer et al. 1999). The FEROS spectral resolving power is R = 48 000 corresponding to 2.2 pixels of 15
m and the wavelength coverage is from 4000 Å to 9200 Å. The nominal S/N
ratio was evaluated by the measurement of the rms flux fluctuation
in selected continuum windows, and a typical value achieved was S/N
100, after 2
3600 s of integration time. Data were reduced with IRAF following the procedures mentioned above (see Sect. 2.1).
Table 1:
Emission line fluxes in units of H
of some Balmer and [O III] emission lines.
3 Analysis and results
3.1 Low-resolution spectroscopy
The low-resolution spectrum of HD 149427 (see Fig. 1) exhibts nebular emission lines (e.g., [O III], [N II], Balmer lines), on the continuum of an A-F type star. The oxygen line [O III]
4363 is stronger than H
,
which is indicative of high electron density (see below and Pereira & Miranda 2005). A strong Ca II absorption
and several other absorptions in the spectrum between 3500 Å and
5100 Å can also been identified (see below). Table 1 shows the emission line fluxes of some Balmer and [O III] emission lines in units of H
= 100.0. The low-resolution emission spectrum of HD 149427 was analyzed by Gutiérrez-Moreno & Moreno (1998)
and we note that the strengths of the emission line did not
significantly change between their observations and ours. In this work
we used our emission-line fluxes to obtain the reddening in the
direction to HD 149427 in order to better constraint its distance
and the luminosity of both the A-type star and the hot star in the
system (Sect. 4.1). We also used the low resolution spectrum of
HD 149427 to compare it with other PNe and symbiotic stars
(Sect. 5).
The extinction parameter was derived from the H
/H
and H
/H
line ratios. We assumed that the reddening law can be represented by the standard interstellar extinction curve f(
)
(Seaton 1979). For H I, we assumed that the emission is produced in case B conditions (Hummer & Storey 1987) with a mean electron temperature
=
20 000 K and and a mean electron density
= 105 cm-3 (see Gutiérrez-Moreno & Moreno 1998). Using this procedure and on the basis of
the observed line ratios, we obtain E(B-V) = 0.68, which is similar to the value derived by Tylenda et al. (1992). A previous determination of interstellar reddening was provided by Parthasarathy et al. (2000) based on the absorption dip at 2200 Å. The authors found E(B-V) = 0.4
0.2
which is in marginal agreement with ours, probably because of the low
quality of the UV spectra in the 2200 Å region.
3.2 High-resolution spectroscopy
3.2.1 Physical properties: effective temperature and gravity
Figures 2 and 3 show the high-resolution spectrum of HD 149427 and of the A1 III star HD 75063 (Royer et al. 2002),
in the regions around 4500-4600 Å and 6130-6180 Å,
respectively. As we shall show, HD 149427 is also a giant with a
spectral type A3-A4. Several absorption lines of Fe I and Fe II are identified as well as Ti II, Cr II, Mg I, Sr II, and Ba II absorption lines. In the red, some transitions due to C I and N I are identified. In Table 2, we list the Fe I and Fe II lines employed in the analysis in addition to the lower excitation potential,
(eV), of the transitions, the gf-values,
and the measurements of the equivalent widths. The last set of
measurements were obtained by fitting Gaussian profiles to the observed
ones. The references for the gf-values are given in the fifth column of Table 2. Table 3 provides a line list of the other elements.
|
Figure 2: Observed absorption spectrum of HD 149427 and HD 75063 between 4500 Å and 4600 Å. |
| Open with DEXTER | |
Table 2: Observed Fe I and Fe II absorption lines in HD 149427.
Table 3: Other absorption lines studied and their respective abundances.
|
Figure 3: Observed absorption spectrum of HD 149427 and of HD 75063 between 6130 Å and 6180 Å. |
| Open with DEXTER | |
The determination of stellar atmospheric parameters, effective temperature (
), surface gravity (log g), microturbulence (
), and [Fe/H] (throughout, we use the notation [X/H] = log(N(X)/N(H))
- log(N(X)/N(H)
)
are prerequisites for the determination of photospheric abundances. The
atmospheric parameters were determined by assuming
local-thermodynamic-equilibrium (hereafter LTE) model-atmospheres of
Kurucz (1993) using the spectral analysis code MOOG (Sneden 1973).
The solution of the excitation equilibrium used to derive the temperature (
)
was defined by zero slope of the trend between the Fe I abundances and the excitation potential of the measured lines. The microturbulent velocity (
)
was determined by constraining the
abundance determined from individual Fe I lines to show no dependence on
.
The solution thus found is unique, depending only on the set of
Fe I, II lines and the atmospheric model employed, and yields
as a by-product the metallicity of the star [Fe/H].
The result for the abundance derived from each line is given in
the seventh column and the ratio [Fe/H] in the last column of
Table 2. The gravity was determined from the ionization equlibrium of the Fe I and Fe II to yield the same iron abundance at the selected effective temperature. The final adopted atmospheric parameters are
= 8700
150 K, log g = 2.3
0.4 cm/s2,
= 5.8
0.5 km s-1 and [Fe/H] = -0.20
0.17. The star's projected rotation velocity was also derived and we obtain
= 30
5 km s-1.
To check our analysis of HD 149427, we also analyzed the spectrum of
the A7-A8 giant HD 19993 with the same method. The derived
stellar parameters for HD 19993 are
= 7600
150 K, log g = 2.7
0.3 cm/s2,
= 2.5
0.2 km s-1, and [Fe/H] = -0.24
0.11, in good agreement with the previous determinations of Miroshnichenko et al. (2003) of
= 7500
200 K, log g = 2.7
0.2 cm/s2,
= 2.9
0.2 km s-1 and [Fe/H] = -0.34
0.12.
The atmosphere parameters
and
can also be determined independently from the analysis of hydrogen
absorption line profiles, obtained from the comparison between model H
line wings and observed profiles (Daflon et al. 2004). The value of
was varied accross the range 8000-11 000 K, in steps of
1000 K and the theoretical profiles were interpolated from a grid
computed for LTE with ATLAS9, allowing the
to vary in order to reproduce the observed profile. The central region (
3 Å) of the H
profiles were not considered in the fits, because of non-LTE effects that can affect mainly the line cores. The best
fit model was chosen based on a
minimization of the differences between the observed and the theoretical profiles. In Fig. 4,
we illustrate the best fit theoretical profile (solid green line) and
the observed spectrum (solid black line) in the region of H
for the star HD 149427, for
and
,
which agree very well with the adopted parameters for this star. The profiles computed for both
and
,
and 4.00 are also shown in red lines. The discrepancy between the observed spectrum and the model profile calculated for
reinforces our result that HD 149427 is very likely to be a star that has evolved away from the main sequence.
Previous determination of the atmospheric parameters (temperature and gravity) for the cool star in HD 149427 was carried out by Parthasarathy et al. (2000). The authors obtained a temperature around 7500 K (an early F-type star) and log g = 4.5 dex, although this value for log g should be treated with caution. Low-resolution spectroscopy is not accurate enough to determine the luminosity class and, hence, log g. For low-resolution spectroscopy, the most useful lines for investigating the luminosity class, are in the red (Pereira & Miranda 2007). In addition, a comparison of the UV low-resolution spectrum of HD 149427 with that of the F0V HD 58936 star (Fig. 3 of Parthasarathy et al. 2000) shows that there are several regions in the spectrum of HD 149427 that are not matched well by the comparison star.
Cool CSPN with spectral types earlier than F have already been reported in the literature but their analyses are scarce. Table 4 of de Marco (2009) lists 6 CSPN with spectral types B and A. Méndez (1978) analyzed three A-type CSPN (NGC 2346, NGC 3132, and Hen 2-36) and obtained their temperatures and gravities but not their photospheric abundances. We note that the cool central star of HD 149427 is similar to Hen 2-36, which has a spectral type A2 III.
|
Figure 4:
Comparison between the observed spectrum of HD 149427 (solid black line) in the region of H |
| Open with DEXTER | |
3.2.2 Abundance analysis
Elemental abundances of the A-type star of HD 149427 were determined with the LTE model atmosphere techniques already described by Pereira (2004). In brief, equivalent widths are calculated by integrating through a model atmosphere and are compared with the observed equivalent widths. The calculation is repeated, changing the abundance of the element in question, until a close match is achieved. The line-synthesis code MOOG was used to carry out the calculations. The results are given in Table 3, where we list the lines employed for each species, the abundances derived from each line, and the ratio [X/H].
The internal scatter in the derived abundances of each element with more than two lines is also given in Table 3. The uncertainties in the derived abundances are dominated by the errors in the equivalent width measurements and the uncertainties in the stellar parameters, which were deduced by taking into account their standard errors. The related uncertainties due to the atmospheric parameters, in the derived abundances are: carbon, 0.2; nitrogen, 0.2; oxygen, 0.1; magnesium, 0.1; titanium, 0.1; chromiun, 0.2; barium, 0.2; and strontium, 0.2.
4 Discussion
4.1 Stellar parameters and evolutionary tracks
With the stellar parameters in hand, the primary star of HD 149427 can be located on a
diagram and compared with stellar evolutionary model tracks. Figure 5 (upper panel) shows the position of HD 149427 in the
diagram, where model tracks were computed by Schaerer et al. (1993) for a solar metallicity. For comparison purposes, Fig. 5
also includes the position of HD 19993 which has a spectral type
similar to that of HD 149427. The parameters derived for
HD 149427 indicate a mass of 7
.
The relation among temperature, gravity, mass, and luminosity is given by
| (1) |
With the values of
The relation among temperature, gravity, mass, V magnitude, and the interstellar absorption (AV) is given by:
|
(2) |
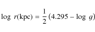
For the temperature, gravity, mass, above mentioned, AV = 2.2 (see above) and V = 12.68 (Tylenda et al. 1992), Eq. (2) can be written, assuming no bolometric correction, as
|
(3) |
and we obtain a distance r = 9.94
4.2 Radius and luminosity of white dwarf
Another piece of data constraining the distance to HD 149427 is
provided by the white dwarf star in the binary system.
Gutíierrez-Moreno & Moreno (1998) derive
= 105 000 K for the white dwarf in HD 149427. The luminosity of the white dwarf can be obtained from
|
(4) |
and
| (5) |
where
|
Figure 5:
The positions of HD 149427 (filled square) and the A7-A8 giant HD 19993 (open square) in both the
|
| Open with DEXTER | |
|
Figure 6:
O/N abundance ratio against C/N ratio for post-AGB stars PNe, Pop.
I supergiants, symbiotic stars and HD 149427. Open squares:
PNe; diagonal cross points: Pop. I supergiants; open circles:
post-AGB stars that display the 21 |
| Open with DEXTER | |
4.3 Mass and radius of the ionized nebula
The radius and the mass of the ionized nebula are determined using the
parameters obtained in the previous sections. The radius can be
obtained from the H
flux corrected for reddening. We assume that
is approximately equal to
,
and then,
|
(6) |
where d is the distance to the HD 149427. Using the values of
|
(7) |
where
HST images of HD 149427 show that the nebula consists of two regions:
a very compact, elongated inner region, and an extended, round,
outer shell (or halo) (Parthasarathy et al. 2000).
The images also show that most of the emission is generated in the
inner region, while the contribution of the outer shell to the total
emission is very small. Parthasarathy et al. (2000)
quoted a diameter of <0.8'' for the inner region. However, a
reinspection of the HST images indicates that a diameter of
0.5''
is more appropiate for this region. This size coincides quite well with
the size of 0.4'' for the ionized nebula derived from the H
flux (see above). Given the widely different contributions of the two regions to the total flux, the H
emission
in our spectra should mainly originate in the bright inner region. The
coincidence in sizes also provides support for a distance of
10 kpc
to HD 149427. At a galactic latitude of 5 degrees,
considering the distance determined above, HD 149427 should be
almost 900 pc above the Galactic plane.
4.4 The abundance pattern
In Fig. 6, the CNO
abundances of the A-type star in HD 149427 are compared with those
of other evolved objects in the diagram O/N versus C/N, including
Population I supergiants (Luck & Bond 1986; Luck & Lambert 1985), PNe (Kingsburgh & Barlow 1994), symbiotic
stars (Nussbaumer et al. 1988),
and post-AGB stars. The thick line represents the ratio
C/O = 1.0. In this figure, two types of post-AGB stars can be
distinguished, those that display the 21
m
circunstellar feature and show an overabundance of carbon and the
elements created by slow neutron capture reactions (van Winckel &
Reyniers 2000), and those that do
not exhibt overabundances in carbon nor in the elements created by slow neutron capture reactions (Luck et al. 1990; van Winckel 1997; Pereira 2004).
Figure 6 clearly shows
that Pop I supergiants show traces of nitrogen enrichment due to
CNO-cycling. PNe are found on both sides of the C/O = 1 line.
Some PNe seem to display only CNO processed material and are in the
same position of the diagram as Pop I supergiants, while those on
the other side of the C/O line show enhancement of carbon due to
He burning. Post-AGB stars with the 21
m circunstellar feature lie in the same location as PNe with C/O
1.0. The position of HD 149427 in Fig. 6 is indicative of nitrogen enrichment due to CNO-cycling. The low C/O ratio (0.15), which is lower than in the Sun (C/O
= 0.51), indicates that helium burning is not yet taking place in the interior of HD 149427.
The mean value of
-elements (Mg, Si, Ca and Ti) given by the ratio [
/Fe] = -0.34 which is lower than observed for disk stars of the same metallicity (Gratton & Sneden 1987). Chromiun, an element that belongs to the iron-group, is correlated with the iron
abundance, and is slightly underabundant.
The heavy-element abundance in the A-type star, as given by the [Sr/H] and [Ba/H] ratios, show no enrichment of these elements which are created by slow neutron capture reactions.
4.5 HD 149427 in the diagnostic diagram 5007/H
versus
4363/H
HD 149427 has been classified as a low-excitation PN (Parthasarathy et al. 2000) and also as a D'-type symbiotic star based on its infrared colors (Allen 1982). Since all D'-type symbiotics have F-G spectral types (Schmid & Nussbaumer 1993), the A-F continuum of HD 149427 is also indicative of the symbiotic nature of this object. Figure 7
compares the low-resolution spectrum of HD 149427 with the spectra
of HD 330036 and Hen 3-1312. It is worth noting that
these three objects have similar emission and continuum spectra but
different natures. HD 330036 is a well known D'-type symbiotic
star (Schmid & Nussbaumer
1993; Pereira et al. 2005), while Hen 3-1312 is another peculiar, low-excitation PN hosting a post-AGB star (Pereira 2004).
The evolutionary status of the cool component is not the only
difference among the three objects. The relative strengths of the
[O III]
4363 emission lines also differ. Therefore, in the diagram 5007/H
versus
4363/H
,
these three objects occupy different positions. In Fig. 8
we show such a diagram for PNe, symbiotic stars, Hen 3-1312, and
HD 149427. HD 149427 is located near the region occupied by
PNe but close to the position of the symbiotic star H1-36, which,
combined with the A-F continuum of the central star causes
confusion when classifying HD 149427.
|
Figure 7: Optical spectrum of HD
149427 between 3500 Å and 7500 Å compared to that of the
D'-type symbiotic star HD 330036 and the peculiar PN
Hen 3-1312. Note the strength of the [O III] |
| Open with DEXTER | |
|
Figure 8:
Position of PNe, D'-, D-, and S-type symbiotics, the young PN PM 1-322, HD 149427, and Hen 3-1312 in the |
| Open with DEXTER | |
5 Conclusions
We have analyzed the emission and the absorption spectrum of the peculiar PN HD 149427 using low- and high-resolution spectroscopy. The main conclusions of this work can be summarized as follows:
- 1.
- The stellar parameters derived for the A-star in the binary central star are:
= 8600 K, log g = 2.3, and
= 30 km s-1. These parameters correspond to an A(3-4)II star with a mass of
7
and a luminosity of
5000
,
located at a distance of
10 kpc.
- 2.
- The A-star exhibits a mild deficiency of iron. Barium and strontium, monitors of s-process nucleosynthesis, do not display any degree of enrichment. The other elements are underabundant compared to those of Sun. As for the light elements, nitrogen has been enhanced by CNO-cycling, but carbon is not enriched, which means that helium burning has not yet started. The general abundance pattern is similar to the A(7-8)II giant analyzed by Miroshnichenko et al. (2003).
- 3.
- From the position of HD 149427 in the
5007/H
4363/H
diagram,
we show that its position coincided neither with that of PNe nor that
of symbiotic stars. This is because of to electron density
observed in HD 149427, which is higher than typical electron
densities in PNe, but not as high as observed in D- and D'-type
symbiotics.
We are grateful to our referee, R. Méndez, for his comments and critical readding of the manuscript. This work has been supported partially by grant AYA2008-01934 of the Spanish MICINN (co-funded by FEDER funds), and by grant FGM-1747 of the Junta de Andalucía.
References
- Acker, A., Ochsenbein, F., Stemholm, B., et al. 1992, Strasbourg-ESO Catalogue of Galactic Planetary Nebulae [Google Scholar]
- Allen, D. A. 1982, in The Nature of Symbiotic Stars, ed. M. Friedjung, & R. Viotti (D. Reidel Publishing Co), IAU Coll., 70, 27 [Google Scholar]
- Aoki, W., Beers, T. C., Christlieb, N., et al. 2007, ApJ, 655, 492 [NASA ADS] [CrossRef] [Google Scholar]
- Blöcker, T., & Schönberner, D. 1990, A&A, 240, L11 [Google Scholar]
- Bond, H. 2000, in From Origins to Microstructures, Binarity of Central Stars of Planetary Nebulae, ed. J. H. Kastner, N. Soker, & S. Rapapport, ASP Ser., 199, 115 [Google Scholar]
- Bond, H. E., Pollacco, D. L., & Webbink, R. F. 2003, AJ, 125, 260 [NASA ADS] [CrossRef] [Google Scholar]
- Cohen, J. G., Christlieb, N., McWilliam, A., et al. 2004, ApJ, 612, 1107 [NASA ADS] [CrossRef] [Google Scholar]
- Daflon, S., Cunha, K., & Butler, K. 2004, ApJ, 604, 362 [NASA ADS] [CrossRef] [Google Scholar]
- de Marco, O. 2009, PASP, 121, 316 [NASA ADS] [CrossRef] [Google Scholar]
- Gratton, R. G., & Sneden, C. 1987, A&A, 178, 179 [Google Scholar]
- Gutiérrez-Moreno, A., & Moreno, H. 1996, PASP, 108, 972 [NASA ADS] [CrossRef] [Google Scholar]
- Gutiérrez-Moreno, A., & Moreno, H. 1998, PASP, 110, 458 [NASA ADS] [CrossRef] [Google Scholar]
- Gutiérrez-Moreno, A., Moreno, H., & Costa, E. 1999, PASP, 111, 571 [NASA ADS] [CrossRef] [Google Scholar]
- Hamuy, M., Suntzeff, N. B., Heathcote, S. R., et al. 1994, PASP, 106, 566 [NASA ADS] [CrossRef] [Google Scholar]
- Hummer, D. G., & Storey, P. J. 1987, MNRAS, 224, 801 [NASA ADS] [CrossRef] [Google Scholar]
- Kaufer, A., Stahl, O., Tubbesing, S., et al. 1999, The Mesenger, 95, 8 [Google Scholar]
- Kingsburgh, R. L., & Barlow, M. J. 1994, MNRAS, 271, 257 [NASA ADS] [CrossRef] [Google Scholar]
- Kurucz, R. L. 1993, CD-ROM 13, Atlas9 Stellar Atmosphere Programs and 2 km s-1 Grid (Cambridge: Smithosian Astrophys. Obs.) [Google Scholar]
- Lambert, D. L., Heath, J. E., Lemke, M., & Drake, J. 1996, ApJS, 103, 183 [NASA ADS] [CrossRef] [Google Scholar]
- Luck, R. E., & Lambert, D., 1985, ApJ, 298, 782 [NASA ADS] [CrossRef] [Google Scholar]
- Luck, R. E., & Bond, H. E. 1989, ApJS, 71, 559 [NASA ADS] [CrossRef] [Google Scholar]
- Luck, R. E., Bond, H. E., & Lambert, D. L. 1990, ApJ, 357, 188 [NASA ADS] [CrossRef] [Google Scholar]
- Lutz, J. 1977, A&A, 60, 93 [Google Scholar]
- McWilliam, A., Preston, G. W., Sneden, C., & Shectman, S. 1995, AJ, 109, 2736 [NASA ADS] [CrossRef] [Google Scholar]
- Miszalski, B., Acker, A., Moffat, A. F. J., Parker, Q. A., & Udalski, A. 2008, A&A, 488, L79 [Google Scholar]
- Méndez, R. H. 1978, MNRAS, 185, 647 [Google Scholar]
- Méndez, R. H. 1989, Binary and intrinsic variability in central stars of PN, in Planetary Nebulae, ed. S. Torres-Peimbert, IAU Symp., 131, 261 [Google Scholar]
- Miroshnichenko, A. S., Kusakin, A. V., & Bjorkman, K. S. 2003, A&A, 412, 219 [Google Scholar]
- Norris, J. E., Ryan, S. G., & Beers, T. C. 1996, ApJS, 107, 391 [NASA ADS] [CrossRef] [Google Scholar]
- Norris, J. E., Ryan, S. G., & Beers, T. C. 2001, ApJ, 561, 1034 [NASA ADS] [CrossRef] [Google Scholar]
- Nussbaumer, H., Schmid, H. M., Vogel, M., & Schild, H. 1988, A&A, 198, 179 [Google Scholar]
- Oke, J. B. 1974, ApJS, 27, 21 [NASA ADS] [CrossRef] [Google Scholar]
- Parthasarathy, M., García-Lario, P., Pottasch, S. R., de Martino, D., & Surendiranath, R. 2000, A&A, 355, 720 [Google Scholar]
- Pereira, C. B. 1995, A&AS, 111, 471 [Google Scholar]
- Pereira, C. B. 2004, A&A, 413, 1009 [Google Scholar]
- Pereira, C. B., & Miranda, L. F. 2005, A&A, 433, 579 [Google Scholar]
- Pereira, C. B., & Miranda, L. F. 2007, A&A, 467, 1249 [Google Scholar]
- Pereira, C. B., Landaberry, S. J. C., & Junqueira, S. 1998, A&A, 333, 658 [Google Scholar]
- Pereira, C. B., Smith, V. V., & Cunha, K. 2005, A&A, 429, 993 [Google Scholar]
- Pereira, C. B., Miranda, L. F., Smith, V. V., & Cunha, K. 2008, A&A, 477, 535 [Google Scholar]
- Pottasch, S. R. 1984, Planetary Nebulae (Dordrecht: D.R. Reidel) [Google Scholar]
- Royer, F., Grenier, S., Baylac, M. O., Gómez, A. E., & Zorec, J. 2002, A&A, 393, 897 [Google Scholar]
- Sanduleak, N., & Stenphenson, C. B. 1972, PASP, 84, 816 [NASA ADS] [CrossRef] [Google Scholar]
- Schaerer, D., Charbonnel, C., Meynet, G., Maeder, A., & Schaller, G. 1993, A&AS, 102, 339 [Google Scholar]
- Schmid, H. M., & Nussbaumer, H. 1993, A&A, 268, 159 [Google Scholar]
- Schmid, H. M., & Schild, H. 1990, MNRAS, 246, 84 [NASA ADS] [Google Scholar]
- Schönberner, D. 1983, ApJ, 272, 708 [NASA ADS] [CrossRef] [Google Scholar]
- Seaton, M. J. 1979, MNRAS, 187, 73 [Google Scholar]
- Shen, Z.-X., Liu, X.-W., & Danziger, I. J. 2004, A&A, 422, 563 [Google Scholar]
- Sigut, T. A. A., & Landstreet, J. D. 1990, MNRAS, 247, 611 [NASA ADS] [Google Scholar]
- Sivarani, T., Bonifacio, P., Molaro, P., et al. 2004, A&A, 413, 1073 [Google Scholar]
- Sneden, C. 1973, Ph.D. Thesis, Univ. of Texas [Google Scholar]
- Tajitsu, A., & Tamura, S. 1998, AJ, 115, 1989 [NASA ADS] [CrossRef] [Google Scholar]
- Thévenin, F., & Jasniewicz, G. 1997, A&A, 320, 913 [Google Scholar]
- Tylenda, R., Acker, A., Stenholm, B., & Koeppen, J. 1992, A&AS, 95, 337 [Google Scholar]
- Van Winckel, H. 1997, A&A, 319, 561 [Google Scholar]
- Van Winckel, H., & Reyniers, M. 2000, A&A, 354, 135 [Google Scholar]
- Venn, K. A. 1993, ApJ, 414, 316 [NASA ADS] [CrossRef] [Google Scholar]
- Webster, L. B. 1966, PASP, 78, 136 [NASA ADS] [CrossRef] [Google Scholar]
- Wiese, W. L., Smith, M. W., & Miles, B. M. 1969, NBS Ref. Data. Ser. [Google Scholar]
Footnotes
- ... (=PC 11)
- Based on observations made with the 1.52 m and 2.2 m telescope at the European Southern Observatory (La Silla, Chile).
- ...
- Present address: Departamento de Física Aplicada, Facultade de Ciencias, Universidade de Vigo, 36310 Vigo, Spain.
All Tables
Table 1:
Emission line fluxes in units of H
of some Balmer and [O III] emission lines.
Table 2: Observed Fe I and Fe II absorption lines in HD 149427.
Table 3: Other absorption lines studied and their respective abundances.
All Figures
|
Figure 1:
Optical spectrum of HD 149427 between 3100 Å and 5100 Å. Notice the strength of the [O III] |
| Open with DEXTER | |
| In the text | |
|
Figure 2: Observed absorption spectrum of HD 149427 and HD 75063 between 4500 Å and 4600 Å. |
| Open with DEXTER | |
| In the text | |
|
Figure 3: Observed absorption spectrum of HD 149427 and of HD 75063 between 6130 Å and 6180 Å. |
| Open with DEXTER | |
| In the text | |
|
Figure 4:
Comparison between the observed spectrum of HD 149427 (solid black line) in the region of H |
| Open with DEXTER | |
| In the text | |
|
Figure 5:
The positions of HD 149427 (filled square) and the A7-A8 giant HD 19993 (open square) in both the
|
| Open with DEXTER | |
| In the text | |
|
Figure 6:
O/N abundance ratio against C/N ratio for post-AGB stars PNe, Pop.
I supergiants, symbiotic stars and HD 149427. Open squares:
PNe; diagonal cross points: Pop. I supergiants; open circles:
post-AGB stars that display the 21 |
| Open with DEXTER | |
| In the text | |
|
Figure 7: Optical spectrum of HD
149427 between 3500 Å and 7500 Å compared to that of the
D'-type symbiotic star HD 330036 and the peculiar PN
Hen 3-1312. Note the strength of the [O III] |
| Open with DEXTER | |
| In the text | |
|
Figure 8:
Position of PNe, D'-, D-, and S-type symbiotics, the young PN PM 1-322, HD 149427, and Hen 3-1312 in the |
| Open with DEXTER | |
| In the text | |
Copyright ESO 2010
Current usage metrics show cumulative count of Article Views (full-text article views including HTML views, PDF and ePub downloads, according to the available data) and Abstracts Views on Vision4Press platform.
Data correspond to usage on the plateform after 2015. The current usage metrics is available 48-96 hours after online publication and is updated daily on week days.
Initial download of the metrics may take a while.
![\begin{figure}
\par\includegraphics[width=9cm,clip]{12309fig1.ps}
\end{figure}](/articles/aa/full_html/2010/01/aa12309-09/Timg16.png)
![\begin{figure}
\par\includegraphics[width=8.5cm,clip]{12309fig2.ps}
\end{figure}](/articles/aa/full_html/2010/01/aa12309-09/Timg23.png)
![\begin{figure}
\par\includegraphics[width=8.5cm,clip]{12309fig3.ps}
\end{figure}](/articles/aa/full_html/2010/01/aa12309-09/Timg27.png)
![\begin{figure}
\par\includegraphics[width=8.5cm,clip]{12309fig4.ps}
\end{figure}](/articles/aa/full_html/2010/01/aa12309-09/Timg42.png)
![\begin{figure}
\par\includegraphics[width=8.5cm,clip]{12309fig5.ps}
\end{figure}](/articles/aa/full_html/2010/01/aa12309-09/Timg62.png)
![\begin{figure}
\par\includegraphics[width=8.5cm,clip]{12309fig6.ps}
\end{figure}](/articles/aa/full_html/2010/01/aa12309-09/Timg63.png)
![\begin{figure}
\par\includegraphics[width=8.5cm,clip]{12309fig7.ps}
\end{figure}](/articles/aa/full_html/2010/01/aa12309-09/Timg73.png)
![\begin{figure}
\par\includegraphics[width=8.5cm,clip]{12309fig8.ps}
\end{figure}](/articles/aa/full_html/2010/01/aa12309-09/Timg74.png)