| Issue |
A&A
Volume 509, January 2010
|
|
|---|---|---|
| Article Number | A57 | |
| Number of page(s) | 9 | |
| Section | Cosmology (including clusters of galaxies) | |
| DOI | https://doi.org/10.1051/0004-6361/200912353 | |
| Published online | 19 January 2010 | |
Morphology of the local volume
M. Kerscher1 - A. Tikhonov2
1 - Mathematisches Institut, Ludwig-Maximilians-Universität,
Theresienstrasse 39,
80333 München, Germany
2 -
Saint-Petersburg State University, Russian Federation
Received 20 April 2009 / Accepted 21 October 2009
Abstract
To study the global morphology of the galaxy distribution in
our local neighbourhood we calculate the Minkowski functionals for a
sequence of volume limited samples within a sphere of 8 Mpc centred
on our galaxy. The well known strong clustering of the galaxies and
the dominance of voids and coherent structures on larger scales is
clearly visible in the Minkowski functionals.
The morphology of the galaxy distribution changes with the limiting
absolute magnitude. The samples, encompassing the more luminous
galaxies, show emptier voids and more pronounced coherent
structures. Indeed there is a prominent peak in the luminosity
function of isolated galaxies for
,
which at least
partly explains these morphological changes.
We compare our date with halo samples from a
CDM
simulation. Special care was taken to reproduce the observed local
neighbourhood as well as the observed luminosity function in these
mock samples.
All in all the mock samples render the global morphology of the galaxy
distribution quite well. However, the detailed morphological analysis
reveals that real galaxies cluster stronger, the observed voids are
emptier and the structures are more pronounced compared to the mock
samples from the
CDM simulation.
Key words: galaxy: formation - large-scale structure of Universe
1 Introduction
We study the global morphology of the galaxy distribution in the local
volume using Minkowski functionals and compare the geometry and
topology of the galaxy distribution to halo samples from a
CDM-simulation. Only in our local neighbourhood are we able
to observe objects down to very low absolute luminosities, and only
there will we be able to construct an almost complete galaxy sample.
Karachentsev et al. (2004) presented the essential version of such a
catalogue of neighbouring galaxies. They outlined the main structural
elements of the local volume: the local sheet (part of the local
supercluster), the groups containing about 2/3 of the total local
volume population and the local (Tully) void (and some other voids).
Tikhonov & Karachentsev (2006) and Tikhonov & Klypin (2009) analysed these
voids and the galaxy distribution within.
To study the global morphology of the galaxy distribution we use the
same data - an updated catalogue of neighbouring galaxies
(Karachentsev, private communication).
Cold dark matter simulations together with a cosmological constant
(
CDM-simulations) are considered to match the distribution of
M*-like galaxies quite well. However, there are problems on small
scales with the abundance of small mass aggregations. The
CDM
model predicts thousands of dwarf dark matter halos in the local group
(Moore et al. 1999; Madau et al. 2008; Klypin et al. 1999a), while only
50
are observed. Recently Tikhonov & Klypin (2009) found in
CDM-simulations a severe overabundance (a factor of 10) of
halos in the voids compared to the observed number of galaxies
in nearby voids.
The overabundance of halos on small mass scales as well as in the
voids is certainly a problem for the
CDM-model. In the
present study, we investigate the spatial distribution of halos from a
CDM simulation compared to the galaxies observed in the local
volume.
For the comparison with halo samples, we use the procedure from
Tikhonov & Klypin (2009) to map the circular velocities of the dark
matter halos to luminosities. This allows the construction of mock
galaxy samples with the same number of objects and the same luminosity
function as observed in the galaxy sample from the local volume.
Hence, we assume that the
CDM overabundance can either be
solved by the detection of new (very) low surface brightness galaxies,
or by mechanisms suppressing the galaxy formation in small dark halos
(see Tikhonov & Klypin 2009, for a discussion and references). Our
focus is on the global morphology of the galaxy distribution compared
to the halo distribution.
1.1 The galaxy sample
Over the past few years searches for galaxies with distances less than 10 Mpc have been undertaken using numerous observational data including searches for low surface brightness galaxies, blind HI surveys, and NIR and HI observations of galaxies in the zone of avoidance (Karachentsev et al. 2007,2004). The sample contains about 550 galaxies (see Fig. 1),
|
Figure 1: The distribution of the galaxies in the local volume on the sky. |
| Open with DEXTER | |
Table 1: The galaxy samples considered.
1.2 Minkowski functionals
|
Figure 2: Galaxies from the local volume decorated with balls of varying radii. |
| Open with DEXTER | |
The genus of an isodensity surface is a well known method to describe the topology of cosmological density fields (Gott III et al. 1987). Minkowski functionals provide a unifying framework for the topology and the geometrical quantities like volume, surface area, and integrated mean curvature. They have been developed for the morphological characterisation of the large scale distribution of galaxies and galaxy clusters by Mecke et al. (1994) and have successfully been used in cosmology (Kerscher 2000; Kerscher et al. 1997), porous and disordered media, dewetting phenomena, fluid and magneto hydrodynamics (see Mecke 2000, for a review).
In order to quantify the spatial distribution of the galaxies we
decorate the galaxies with balls of varying radii (see
Fig. 2).
Consider the union set
of
balls of a radius r around the N galaxies at the positions
xi,
,
thereby creating connections between
neighbouring balls. The global morphology of the union set of these
balls changes with the radius r, which is employed as a diagnostic
parameter.
It seems sensible to request that global geometrical and topological
valuations of e.g. Ar are additive, invariant under rotations and
translations, and are continuous, at least for convex bodies. With
these prerequisites Hadwiger (1957) could show that in
three dimensions the four Minkowski functionals
,
,
give a complete morphological characterisation of the body Ar.
The Minkowski functional M0(Ar) is simply its volume, M1(Ar)is an eight of its surface area, M2(Ar) is its mean curvature
divided by
,
and M3(Ar) is its Euler characteristics
multiplied by
.
Volume and surface area are well known quantities. The integral mean
curvature and the Euler characteristic are defined as surface
integrals over the mean and the Gaussian curvature respectively. This
definition is only applicable for bodies with smooth boundaries. In
our case we have additional contributions from the intersection lines
and intersection points of the balls. Mecke et al. (1994) discuss the
extension for a union set of convex bodies.
One may express Minkowski functionals in terms of n-point correlation functions, similar to a perturbative expansion. But the strength of an analysis with Minkowski functions is the direct quantification of the morphology. The additivity of the local contributions to the Minkowski functionals ensures the robustness of the Minkowski functionals even for small point sets (Mecke et al. 1994). In an analysis with Minkowski funtionals, using up to 385 galaxy clusters from the REFLEX sample, Kerscher et al. (2001) were able to clearly distinguish the distribution of observed galaxy clusters from a Gaussian point distribution. As can bee seen from the Table 1 we are confronted with samples with a similar (small) number of points. Closely related to our analysis is the investigation of the void sizes, as performed by Tikhonov & Klypin (2009) for the same catalogue of nearby galaxies. Indeed the void probability distribution function is equal to one minus the volume density, the first Minkowski functional. Hence our analysis complements these investigation by additionally using the other three Minkowski functionals, to quantify the geometry, shape and topology of the galaxy sample.
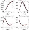
2 Morphology of the local volume
|
Figure 3:
The volume densities
|
| Open with DEXTER | |
The galaxy and halo samples considered are only complete within a radius of 8 Mpc. We use the boundary corrections as discussed in Appendix A to calculate the volume densities of the Minkowski functionals in an unbiased way. In Appendix B we show how the Minkowski functionals describe the morphological features and briefly discuss some stochastic models.
In Fig. 3 we show the volume densities
of the Minkowski functionals for a series of volume limited samples
from the local galaxy distribution. For reference the functionals of
randomly distributed points (Poisson process) are shown.
Compared to randomly distributed points, the volume density m0(Ar)increase is considerably delayed for all of the galaxy samples. The empty space in between the strongly clustering galaxies fills up later than for the purely random distribution.
The balls on the clustering galaxies already overlap for small radii,
causing a slow rise and a reduced maximum of the surface density
compared to Poisson distributed points. For large
radii the surface density of the galaxies is above the values for
randomly distributed points. The galaxies cluster on low dimensional
structures, and consequently the balls have more room to grow.
In Sect. 2.1 we will comment on the excess surface
density in the samples with an absolute magnitude
,
as its is
visible for large radii.
Again, due to the clustering, the density of the integral mean
curvature
increases slower and the maximum is
reduced in comparison to a Poisson process.
In a Poisson process we get completely enclosed voids leading to the
strong negative signal. However, only a week negative signal is seen
from the galaxy samples. The concave structures are less prominent, as
is to be expected for clustering on planar (super galactic plane) or
even filamentary structures.
For the radius r=0 the density of the Euler characteristic
equals the number density of the galaxies in
the sample. Hence the difference at r=0 is only a reflection of the
different sampling. With an increasing radius more and more balls overlap
and the Euler characteristic decreases. Then tunnels through the
structure are forming, giving a negative contribution to m3(Ar).
In the galaxy distribution only a small positive value for m3(Ar)can be observed, strengthening the previous observation that the voids
are not completely enclosed.
2.1 Morphology changing with the absolute magnitude
We get the impression already from Fig. 3 that the
morphology of the galaxy distribution changes significantly if we
include galaxies with absolute magnitudes
in our
analysis. However, we have to be more careful.
Minkowski functionals calculated from points decorated with balls do
depend on the number density of the point distribution. One can derive
an explicit expression in terms of high order correlation functions
quantifying this non-trivial dependence on the number density (see
e.g. Mecke 2000).
To compare the galaxy distributions with different limiting magnitudes
we generate samples with the same number of points. We randomly
subsample the galaxy samples lv8m12 and lv8m14 to
the same number density as in the sample lv8m15. This allows
us to compare the volume densities
for the galaxy sample
with
,
and
in
Fig. 4.
The Minkowski functionals of the samples with
and
agree within the error bars. Also the volume density and
the Euler characteristic mostly agree between all the samples, whereas
the sample with
shows an increased surface density
m1(Ar) for radii from 2.2 to 3.2 Mpc. The voids become
significantly more emptier going from a limiting magnitude
to
.
For the density of the integral mean curvature
m2(Ar) we see that the negative contributions occur only for
larger radii in the
sample. These emptier voids are
surrounded by concave structures at larger radii.
|
Figure 4:
Volume densities
|
| Open with DEXTER | |
This behaviour can be explained by looking at the luminosity function of isolated galaxies in the samples. Figure 5 shows the number of isolated galaxies in the local volume versus the absolute B magnitude.
|
Figure 5: The number of isolated galaxies shown for bins of absolute magnitude MB. Either a geometrical neighbourhood criterion (0.3 Mpc-isolated) or a dynamical criterion based on the tidal index (TI) are used to determine isolated galaxies. |
| Open with DEXTER | |
2.2 Error estimates
The position of a galaxy on the sky is known with a high accuracy. However, the radial distance is estimated with some distance indicator. To quantify the influence of the distance error on our estimates of the Minkowski functionals we randomise the radial distance r using a Gaussian probability law with mean r and standard deviation 0.1 r. We observe that the Minkowski functionals of the randomised samples closely follow the functionals of the galaxy sample, well within the error bars. We compare this measurement error to the statistical error of randomly distributed points with the same number density. This Poisson error is approximately twice as large as the measurement error obtained from randomising the distances. Also the error from the subsampling (sometimes called Jackknife error, see Fig. 4) has approximately the same amplitude as the Poisson error.3 Comparison with mock samples
The local volume is certainly not a fair sample of the Universe. However, only within our local neighbourhood are we able to probe the galaxy distribution down to very low absolute luminosity. In the local volume we have prominent structural elements like the Tully void and the supergalactic plane. The extraction of mock samples requires a careful selection of the position in the simulation box to find comparable features. Moreover the simulation has to be performed in a box large enough to allow those structures to form and, on the other side, with enough resolution on small scales to resolve the low mass halos.3.1 Simulation
We use N-body simulation provided by A. Klypin done with the Adaptive Refinement Tree code (Kravtsov et al. 1997). The simulation was performed in a box with side lengths 160 h-1 Mpc for a spatially flat cosmological3.2 Selection of a neighbourhood comparable to the local volume
The reasonably big volume of the simulation box allows us to select mock samples that mimic the local volume features more closely. As in Tikhonov & Klypin (2009) we use several criteria to select spheres with a radius of 8 Mpc from the simulation box:
- 1.
- no halos with a mass of >
reside
inside the 8 Mpc sphere;
- 2.
- the sphere must be centred on a halo with
km s-1 (the local group analog);
- 3.
- the number density of halos with
km s-1 inside the
8 Mpc sphere exceeds the mean value in the whole box by a factor
ranging from 1.5 to 1.7;
- 4.
- the number density of halos with
km s-1 found inside a
4.5 Mpc sphere exceeds the mean value in the whole box by a factor
greater than 4;
- 5.
- there is no halo more massive than
with a distance in the range from 1 to 3 Mpc;
- 6.
- the central halos of other mock samples are more distant than 16 Mpc. There is no overlap between the samples.
3.3 Mapping between luminosity and circular velocity of the halos
When assigning luminosities to dark matter halos we follow the prescription of Conroy et al. (2006): first we build an ordered list of all the galaxies in the observed local volume sample ranked by their luminosity. Then we rank-order the halos in our local volume candidate-samples by their circular velocity. Now the luminosity of the brightest galaxy is assigned to the halo with the largest circular velocity. Then the luminosity of the second brightest galaxy is assigned to the second biggest halo and so on. This procedure preserves the galaxy luminosity function, and our mock samples have the same number density as the observed galaxy sample (see Table. 1). By construction we have a monotonic relation between3.4 Morphological comparison
In Figs. 6-8 we compare the morphology of the galaxy distribution to the morphology of the corresponding halo samples from theThe surface area, the integral mean curvature and the Euler
characteristic from the
galaxy sample are well reproduced
by the corresponding mock samples as seen in
Fig. 7. Only the volume density m0 is
slightly reduced on large scales, indicating emptier voids.
This changes if we compare the mock samples with the galaxy samples
including less luminous galaxies with a limiting absolute magnitude
(see Fig. 6). The stronger
clustering of the galaxies is visible in the steeper decrease of the
Euler characteristic m3(Ar) for small r and the reduced maximum
of the integral mean curvature m2(Ar). The well known fact that
the voids are emptier in the real galaxy distribution can be seen
from the reduced m0(Ar) for large r.
The more luminous halo samples with
also show some
morphological discrepancies compared to the corresponding galaxy
sample (Fig. 8). m0(Ar) is reduced for
large radii, and we conclude that the voids are emptier in the real
galaxy distribution. Another phenomenon shown for the larger radii is
that the halo samples do not show the pronounced coherent structures
visible in the galaxy distribution, as can be seen from the increased
surface density m1(Ar) of the galaxy samples as compared to the
halo samples.
|
Figure 6:
Volume densities
|
| Open with DEXTER | |
|
Figure 7:
Volume densities
|
| Open with DEXTER | |
|
Figure 8:
Volume densities
|
| Open with DEXTER | |
As we have seen in Sect. 2.1, the morphology of the
observed galaxy distribution is depending on the limiting magnitude.
To investigate this behaviour in the mock halo samples we proceed in
the same way as in Sect. 2.1 and randomly subsample
the halo samples corresponding to
and
to the
same number density as seen in the
sample.
The morphology of the halo distribution only shows a week trend, still
within the error bars, if we consistently select galaxies with higher
circular velocities. Hence, the physical mechanisms leading to these
emptier voids for
in the observed galaxy distribution
(cf. Fig. 4) are not captured by the
CDM model, and/or the mapping from the circular velocity to
the luminosity is more complicated at the faint end of the luminosity
function.
4 Summary and discussion
To quantify the global morphology of the nearby galaxy distribution we calculated Minkowski functionals from a series of volume-limited samples extracted from the local volume galaxy catalogue (an updated version of the Catalogue of Nearby Galaxies from Karachentsev et al. 2004). These samples are nearly complete forIn the second part of the Paper we compared the morphology of the
galaxy distribution to mock samples from a
CDM
simulation. The position of our mock samples inside the simulation box
was chosen to mimic the main features of our real galactic
neighbourhood, and the luminosities have been assigned to the halos in
such a way that the observational number density and luminosity
function are preserved.
The overall picture, with clustering on small scales, large voids and
coherent structures on large scales can also be seen in the morphology
of the mock samples. This fundamental agreement allows us to look at
the morphology in more detail.
In spite of the careful selection of the mock samples we still see
morphological differences between mock and galaxy samples. The
galaxies cluster stronger and the observed voids are emptier than in
the mock samples.
This observation is going beyond the well known overabundance of halos
in
CDM models. By construction we have the same number of
objects in the mock sample as in the galaxy sample, and we enforce the
same luminosity function. Hence we see differences in the geometry and
topology of the spatial distributions.
Clearly, five mock samples do not allow any elaborate statistical
tests (see e.g. Besag & Diggle 1977), but we may calculate a rough
estimate of the fluctuations in the Minkowski functionals. These
fluctuations are on the same order as those observed for a Poisson
process. Therefore we claim to see differences in the morphology only
if the Minkowski functionals are consistently outside the
one-
range.
Certainly, our procedure of assigning luminosities to halos is
oversimplified. Especially for low luminosities the mapping between
the halo circular velocity and luminosity may not be
straightforward. With our mapping only halos with a circular velocity
of
km s-1 are left in the mock samples. This agrees with
theoretical predictions for the least massive halo that can host a
galaxy (see e.g. Hoeft et al. 2006; Loeb 2008). However, in reality
one observes galaxies with MB in the range from -12 to -13 with
significantly lower rotational velocities (Tikhonov & Klypin 2009).
If we assign higher luminosities to halos with small circular
velocities
we either end up with too many mock galaxies, or we
would have to drop some halos with high
to keep the number of
mock galaxies equal to the observed number. Such a procedure would
break the monotonic relation between
and MB.
To generate larger emptier voids in the mock samples, one would have
to additionally include halos with small
residing in the
vicinity of filaments and sheets, and drop halos mainly residing in
voids. Also halos in voids with a small
would have to remain dim.
A more intricate environment-dependent modelling of the luminosities
for the mock halos seems necessary, especially if we also want to
understand the dependence of the global morphology on the absolute
magnitude cut in our galaxy samples.
Another factor explaining the morphological discrepancies might be that
all the five mock samples we could extract do not hold a void which is
comparable in its size to the local (Tully) void.
This allows two lines of arguments, either one blames the observations
or the simulation. Looking at Fig. 1 we see that the
zone of avoidance (our galaxy) cuts right through the Tully void.
However, several targeted and blind searches of the zone of avoidance
have been performed. It is unlikely that we actually miss enough
galaxies to cut the void into halves (Karachentsev et al. 2004).
On the other hand the simulation was conducted in a box with a side
length of
160 h-1 Mpc. This size is considered to be reasonably
large, since we are only interested in mock samples within a sphere of
8 Mpc radius. It remains an open question whether a
CDM
simulation in a larger box could provide us with mock samples with big
enough voids, especially when we consider the halo distribution at the
low mass end of the mass function.
We thank I.D. Karachentsev for providing us with an updated list of his catalogue of neighbouring galaxies and A. Klypin for providing results of computer simulations that were conducted on the Columbia supercomputer at the NASA Advanced Supercomputing Division. Anton Tikhonov acknowledges support from the Deutsche Forschungsgemeinschaft (DFG grant: GO 563/17-1), and the ASTROSIM network of the European Science Foundation (ESF) and wishes to thank the Astrophysical Institute Potsdam for their hospitality.
Appendix A: Calculating Minkowski functionals
The code used for the calculations of the Minkowski functionals is an updated version of the code developed by Kerscher et al. (1997), based on the methods outlined in Mecke et al. (1994). The code is made available to the general public via http://www.math.lmu.de kerscher/software/
Below we present the boundary corrections used by
Schmalzing et al. (1996).
All galaxies in our samples are within a sphere of a radius R=8 Mpc
around our galaxy, and the same applies to the halo samples. Let DRbe this spherical window containing N galaxies.
is the union of balls Br(i) of a radius
r centred on the ith galaxy, respectively.
|
Figure A.1:
A two-dimensional sketch illustrating the geometry of the
boundary corrections used. R=8 Mpc is the radius of the sphere
DR centred on our galaxy enclosing the local sample. r is the
radius of the individual balls centred on each galaxy, and the black
area is the set
|
| Open with DEXTER | |
Considering only Ar we miss contributions from galaxies outside DR, i.e. from galaxies not included in our sample. A well-defined
way is offered by looking at the intersection
(Mecke & Wagner 1991). Using the shrunken window DR-r we make sure
that all possible contributions are taken into account, as illustrated
in Fig. A.1. In order to measure the boundary
contributions we have to calculate the Minkowski functionals
of the intersection of the union of all
balls with the window, and the Minkowski functionals
of the window DR-r itself,
Now imagine the union set
of balls on all galaxies
in a very large (but still finite) patch of the Universe, with
.
Integrating over all movements
(translations and rotations) of the window within this large patch of
the universe we obtain the spatial average
|
(A.1) |
Here gDR-r is a translation and/or rotation of the shrunken window,
For a homogeneous and isotropic galaxy distribution the spatial average coincides with the expectation over different realizations, and
|
(A.3) |
For all the Minkowski functionals estimates for the volume densities can be obtained by applying the following recursive formula
This linear transformation of the observed
Appendix B: Morphology with Minkowski functionals
Below we give a qualitative discussion of the Minkowski functionals for a Poisson process decorated with balls of radius r and relate them to the observed morphological features. The Minkowski functionals of randomly distributed points (a Poisson process) are shown in Fig. B.1.
|
Figure B.1:
The volume densities
|
| Open with DEXTER | |
With an increasing radius r the volume is filled until reaching
complete coverage where the volume density m0(Ar) reaches unity.
The surface density
increases with the radius r,
reaches a maximum, and finally approaches zero when the volume is
filled up and no surface area is left.
For small radii the balls grow outwards and the positive density of
the integral mean curvature
is a reflection of
the mainly convex structure of the union set of balls. The volume
starts to fill and the integral mean curvature reaches a maximum. For
even larger radii we get negative contributions to the density of
integral mean curvature stemming from concave structures - the balls
are growing inward into the voids. Finally m2(Ar) approaches
zero when no surface area is left.
For the radius r=0 each ball (point) gives a contribution of one to
the Euler characteristics and the density of the Euler characteristic
equals the number density of the sample.
With increasing radius more an more balls overlap and the Euler
characteristic decreases. Then tunnels through the structure are
forming, giving a negative contributions to m3(Ar).
As a clear signal of completely enclosed voids in the Poisson process,
m3(Ar) shows a second positive maximum.
Beyond the completely random model one may consider geometrically inspired models, e.g. points randomly distributed on randomly placed line segments. Minkowski functionals for such a low dimensional Poisson processes embedded in three dimensions are discussed by Schmalzing & Diaferio (2000). As anexample we show the Minkowski functionals for a model using in the mean 2.1 points, randomly distributed on randomly placed line segments with a length of 8 Mpc. As can be seen from Fig. B.1 some of the morphological features of the galaxy distribution discussed in Sect. 2 can be reproduced. Specifically the stronger clustering and the suppression of completely enclosed voids is clearly seen in the Minkowski functionals. The choice of these parameters does not seem realistic. Choosing more points per line segment or using shorter segments leads to largely different values for the Minkowski functionals. Indeed Schmalzing & Diaferio (2000) have shown that only with (random) mixtures of similar Poisson models for filament-, sheet- and field-galaxies one can reproduce the small scale morphology of the galaxy distribution. As can be seen from their Fig. B1 these mixture models are not appropriate on larger scales. This is expected, since randomly placed geometrical objects will not be able to model coherent large scale features. Other models are based on the hierarchy of correlation functions. The explicit incorporation of higher moments for the construction of point process models is discussed in Kerscher (2001). At least for the lowest order models the Minkowski functionals can be given explicitly (Kerscher et al. 2001). Models motivated from statistical physics and spatial statistics are discussed by Mecke (2000) and Mecke & Stoyan (2005).
References
- Besag, J., & Diggle, P. J. 1977, Appl. Statist., 26, 327 [CrossRef] [Google Scholar]
- Conroy, C., Wechsler, R., & Kravtsov, A. 2006, ApJ, 647, 201 [NASA ADS] [CrossRef] [Google Scholar]
- Fava, N. A., & Santaló, L. A. 1978, J. Appl. Prob., 15, 494 [CrossRef] [Google Scholar]
- Gott III, J. R., Weinberg, D. H., & Melott, A. L. 1987, ApJ, 319, 1 [NASA ADS] [CrossRef] [Google Scholar]
- Hadwiger, H. 1957, Vorlesungen über Inhalt, Oberfläche und Isoperimetrie (Berlin: Springer Verlag) [Google Scholar]
- Hoeft, M., Yepes, G., Gottlöber, S., & Springel, V. 2006, MNRAS, 371, 401 [NASA ADS] [CrossRef] [Google Scholar]
- Karachentsev, I., Karachentseva, V., Huchtmeier, W., & Makarov, D. 2004, AJ, 127, 2031 [Google Scholar]
- Karachentsev, I., Karachentseva, V., Huchtmeier, W., et al. 2007, Proc. Symp., in Galaxies in the Local Volume, Sydney, 8-13 July, ed. B. Koribalski, & H. Jerjen [Google Scholar]
- Kerscher, M. 2000, in Statistical Physics and Spatial Statistics: the art of analyzing and modeling spatial structures and pattern formation, ed. K. R. Mecke, & D. Stoyan, Lect. Notes Phys., 554 (Berlin: Springer Verlag) [arXiv:astro-ph/9912329] [Google Scholar]
- Kerscher, M. 2001, Phys. Rev. E, 64(5), 056109 [NASA ADS] [CrossRef] [Google Scholar]
- Kerscher, M., Schmalzing, J., Retzlaff, J., et al. 1997, MNRAS, 284, 73 [NASA ADS] [CrossRef] [Google Scholar]
- Kerscher, M., Mecke, K., Schuecker, P., et al. 2001, A&A, 377, 1 [Google Scholar]
- Klypin, A., Kravtsov, A., Valenzuela, O., & Prada, F. 1999a, ApJ, 522, 82 [Google Scholar]
- Klypin, A. A., Gottlöber, S., Kravtsov, A. V., & Khokhlov, A. M. 1999b, ApJ, 516, 530 [NASA ADS] [CrossRef] [Google Scholar]
- Kravtsov, A. V., Klypin, A. A., & Khokhlov, A. M. 1997, ApJS, 111, 73 [NASA ADS] [CrossRef] [Google Scholar]
- Loeb, A. 2008 [arXiv:0804.2258v1] [Google Scholar]
- Madau, P., Diemand, J., & Kuhlen, M. 2008, ApJ, 679, 1260 [NASA ADS] [CrossRef] [Google Scholar]
- Mecke, K. 2000, in Statistical Physics and Spatial Statistics: The art of analyzing and modeling spatial structures and pattern formation, ed. K. Mecke, & D. Stoyan, Lect. Notes Phys., 554 (Berlin: Springer Verlag) [Google Scholar]
- Mecke, K., & Stoyan, D. 2005, Biometrical Journal, 47/4, 473 [CrossRef] [Google Scholar]
- Mecke, K. R., & Wagner, H. 1991, J. Stat. Phys., 64, 843 [NASA ADS] [CrossRef] [Google Scholar]
- Mecke, K. R., Buchert, T., & Wagner, H. 1994, A&A, 288, 697 [Google Scholar]
- Moore, B., Ghigna, S., Governato, F., et al. 1999, ApJ, 524, L19 [Google Scholar]
- Schmalzing, J., & Diaferio, A. 2000, MNRAS, 312, 638 [NASA ADS] [CrossRef] [Google Scholar]
- Schmalzing, J., Kerscher, M., & Buchert, T. 1996, in Proceedings of the international school of physics Enrico Fermi, Course CXXXII: Dark matter in the Universe, ed. S. Bonometto, J. Primack, & A. Provenzale, Società Italiana di Fisica, Varenna sul Lago di Como, 281 [arXiv:astro-ph/9508154v2] [Google Scholar]
- Spergel, D., Bean, R., Doré, O., et al. 2007, ApJS, 170, 377 [NASA ADS] [CrossRef] [Google Scholar]
- Tikhonov, A., & Karachentsev, I. 2006, ApJ, 653, 969 [NASA ADS] [CrossRef] [Google Scholar]
- Tikhonov, A., & Klypin, A. 2009, MNRAS, 395, 1915 [NASA ADS] [CrossRef] [MathSciNet] [Google Scholar]
Footnotes
All Tables
Table 1: The galaxy samples considered.
All Figures
|
Figure 1: The distribution of the galaxies in the local volume on the sky. |
| Open with DEXTER | |
| In the text | |
|
Figure 2: Galaxies from the local volume decorated with balls of varying radii. |
| Open with DEXTER | |
| In the text | |
|
Figure 3:
The volume densities
|
| Open with DEXTER | |
| In the text | |
|
Figure 4:
Volume densities
|
| Open with DEXTER | |
| In the text | |
|
Figure 5: The number of isolated galaxies shown for bins of absolute magnitude MB. Either a geometrical neighbourhood criterion (0.3 Mpc-isolated) or a dynamical criterion based on the tidal index (TI) are used to determine isolated galaxies. |
| Open with DEXTER | |
| In the text | |
|
Figure 6:
Volume densities
|
| Open with DEXTER | |
| In the text | |
|
Figure 7:
Volume densities
|
| Open with DEXTER | |
| In the text | |
|
Figure 8:
Volume densities
|
| Open with DEXTER | |
| In the text | |
|
Figure A.1:
A two-dimensional sketch illustrating the geometry of the
boundary corrections used. R=8 Mpc is the radius of the sphere
DR centred on our galaxy enclosing the local sample. r is the
radius of the individual balls centred on each galaxy, and the black
area is the set
|
| Open with DEXTER | |
| In the text | |
|
Figure B.1:
The volume densities
|
| Open with DEXTER | |
| In the text | |
Copyright ESO 2010
Current usage metrics show cumulative count of Article Views (full-text article views including HTML views, PDF and ePub downloads, according to the available data) and Abstracts Views on Vision4Press platform.
Data correspond to usage on the plateform after 2015. The current usage metrics is available 48-96 hours after online publication and is updated daily on week days.
Initial download of the metrics may take a while.

![\begin{figure}
\par\includegraphics[width=9cm,clip]{12353f2.eps}
\vspace*{-4mm}
\end{figure}](/articles/aa/full_html/2010/01/aa12353-09/Timg13.png)
![\begin{figure}
\par\includegraphics[width=11.5cm,clip]{12353f3.eps}
\end{figure}](/articles/aa/full_html/2010/01/aa12353-09/Timg20.png)
![\begin{figure}
\par\includegraphics[width=11.5cm,clip]{12353f4.eps}
\end{figure}](/articles/aa/full_html/2010/01/aa12353-09/Timg24.png)

![\begin{figure}
\par\includegraphics[width=11cm,clip]{12353f6.eps}
\end{figure}](/articles/aa/full_html/2010/01/aa12353-09/Timg42.png)
![\begin{figure}
\par\includegraphics[width=11cm,clip]{12353f7.eps}
\end{figure}](/articles/aa/full_html/2010/01/aa12353-09/Timg43.png)
![\begin{figure}
\par\includegraphics[width=11cm,clip]{12353f8.eps}
\vspace*{-2mm}
\end{figure}](/articles/aa/full_html/2010/01/aa12353-09/Timg44.png)

