| Issue |
A&A
Volume 509, January 2010
|
|
|---|---|---|
| Article Number | A60 | |
| Number of page(s) | 9 | |
| Section | Galactic structure, stellar clusters, and populations | |
| DOI | https://doi.org/10.1051/0004-6361/200912673 | |
| Published online | 19 January 2010 | |
Properties of extra-planar H I clouds in the outer part of the Milky Way
L. Dedes1,2 - P. W. M. Kalberla1
1 - Argelander Institut für Astronomie, Universität Bonn,
Auf dem Hügel 71, 53121 Bonn, Germany
2 -
Max-Planck-Institut für Radiostronomie, Auf dem Hügel 69, 53121 Bonn, Germany
Received 10 June 2009 / Accepted 24 October 2009
Abstract
Context. There is mounting evidence for an extra-planar gas layer around the Milky Way disk, similar to the anomalous H I gas detected in a few other galaxies. As much as 10% of the gas may be in this phase.
Aims. We analyze H I clouds located in the disk-halo interface outside the solar circle to probe the properties of the extra-planar H I gas, which is following Galactic rotation.
Methods. We use the Leiden/Argentine/Bonn (LAB) 21-cm line survey to search for H I
clouds which take part in the rotation of the Galactic plane, but are
located above the disk layer. Selected regions are mapped with the
Effelsberg 100-m telescope. Two of the H I halo clouds are studied in detail for their small scale structure using the Westerbork Synthesis Radio Telescope (WSRT)
and the NRAO Very Large Array (VLA)
.
Results. Data from the 100 m telescope allow for the parameterization of 25 distinct H I halo clouds at Galactocentric radii 10 kpc <R<15 kpc and heights 1 kpc <z< 5 kpc. The clouds have a median temperature of 620 K, column densities of
cm-2, and most of them are surrounded by an extended envelope of warmer H I gas. Interferometer observations for two selected regions resolve the H I clouds into several arc-minute sized cores. These cores show narrow line widths (
km s-1), they have volume densities of n>1.3 cm-3, masses up to 24
,
and are on average in pressure equilibrium with the surrounding
envelopes. Pressures and densities fall within the expectations from
theoretical phase diagrams (P vs.
). The H I
cores tend to be unstable if one assumes a thermally bistable medium,
but are in better agreement with models that predict thermal
fragmentation driven by a turbulent flow.
Key words: Galaxy: halo - radio lines: ISM - ISM: clouds
1 Introduction
The H I gas is a major constituent of the interstellar medium (ISM), and it is a well known property of this gas that it settles in the Galactic plane. From the very first H I observations it is also known that the disk gas is co-rotating with the stellar disk. Taking both properties together one may use the gas distribution to describe the morphology of the Galactic disk.
As yet, there is no sharp boundary for the disk emission. Oort (1962) was the first who mentioned this fact. ``Well outside the real disk one still finds neutral hydrogen with an average density of between 5 and 10 per cent of the intensities one observes in the plane''. Oort was referring to observations with the Dwingeloo telescope, and Shane (1967) described this gas later as a ``galactic envelope'', a smooth envelope of neutral hydrogen surrounding the spiral structure, following the same Galactic rotation as the gas in the plane. Further discussion of this envelope was given by Takakubo (1967) and by Shane (1971), but there was some concern about a possible contamination by stray radiation from the antenna diagram of the Dwingeloo telescope.
The extra-planar gas component was also visible in the Weaver & Williams (1973)
survey, and Lockman (1984) studied this feature in some more
detail. Supplementing observations were made with the NRAO 300-foot telescope
and came also from the NRAO 140-foot survey by Burton & Liszt (1983). Lockman
argued that his analysis was not affected by stray radiation. He found for
Galactocentric radii
kpc that 13% of the H I gas is located
outside the disk, extending to z-distances of 1 kpc or more and termed this
component an ``H I halo''.
The Bell Labs survey (Stark et al. 1992) is only little affected by instrumental effects, and Lockman & Gehman (1991) used this survey to analyze the nature of the vertical H I gas distribution in the direction of the Galactic poles. They proposed for the H I gas a decomposition in several layered structures, corresponding to distinct different isothermal cloud populations. The scale height for each component results from the pressure balance of a cloudy turbulent medium against the gravitational potential of the Milky Way. The concept of a layered structure of the H I contains essentially three components: a cold neutral medium (CNM), a warm neutral medium (WNM) and an extra-planar component (Dickey & Lockman 1990) which is often called ``Lockman Layer''.
The layer concept is based on the average emission from the extra-planar H I
gas layer which is very faint. The clumpy nature of the H I gas implies then
that extra-planar H I clouds must have a low volume filling factor. The layer
concept describes therefore an ensemble of H I clouds or the probability
distribution of such objects. First indications for a population of such
clumps were found by Simonson (1971). These early
data came from the Dwingeloo telescope. Almost three decades later the
Leiden/Dwingeloo survey (LDS, Hartmann & Burton 1997) became available and
provided a much improved database, more sensitive and essentially free of
stray radiation. Channel maps show numerous clumps and filaments that are
detached from the disk, and Kalberla et al. (1998) argued for an
extra-planar gas layer which can be characterized by a distribution with a
velocity dispersion of
km s-1, considerably larger than the
dispersion suggested by Lockman & Gehman (1991).
The first high resolution data of the extra-planar gas layer at a beam-width
of 9
have been taken by Lockman (2002) with the Robert C. Byrd
Green Bank Telescope (GBT). These observations demonstrated convincingly the
nature of the extra-planar gas layer as a population of cold clumps with a
typical mass of 50
.
Many of these clumps appear to be surrounded by
warmer envelopes. A larger sample of clouds in the lower halo was
studied by Ford et al. (2008) with the Parkes Telescope. These clumps are
somewhat larger and more massive than the sample detected by
Lockman (2002). This cloud population, located close to
kpc,
is interpreted as originating from a Galactic fountain. Such a model would
also explain the high kinetic energy which is needed for individual clouds to
reach large z-distances. Support for such an interpretation comes from
Stil et al. (2006). They found fast moving clumps in the Galactic plane with
velocity vectors located within the Galactic plane, analogous to fast
velocities perpendicular to the plane as suggested as an explanation for
the extra-planar gas layer.
So far we discussed predominantly Galactocentric distances
kpc,
where 8.5 kpc is the I.A.U Sun-Galactic center distance, since
most of the observations are in this range. For a more general
description of
this phenomenon, in particular for the question whether the
extra-planar gas
layer is caused by a fountain flow, objects at larger distances are
needed. Kalberla & Dedes (2008) argue that extra-planar gas is present even
at
kpc. Gas at such distances can hardly originate from fountain
events.
Direct evidence for a population of extra-planar H I clouds outside the Solar circle was first given by Stanimirovic et al. (2006). Arecibo data in the direction towards the anti-center suggest that these clouds are not restricted to the inner part of the Milky Way disk, which is similar to preliminary results with the Effelsberg telescope reported by Kalberla et al. (2005). In the following we intend to explore the extra-planar gas layer of the outer part of the Milky Way in some more detail. Our results are based on single-dish observations with the Effelsberg 100-m radio telescope and on interferometer observations with the VLA and the WSRT array.
This paper is organized as follows. In Sect. 2 we explain our selection criteria for targets that have been mapped with the 100-m telescope. Our observations are described in Sect. 3. We discuss the properties of the H I cloud sample detected by us with the 100-m telescope, and also the results from two targeted interferometer observations in Sect. 4. We find evidence for a multi-phase structure and compare in Sect. 5 the derived physical parameters with theoretical models. Sect. 6 gives our summary and conclusion.
2 Methods
Extra-planar H I clouds are known to have a patchy distribution. Accordingly,
a strategy is needed for a successful search. If one likes to measure ``gas
well outside the real disk'' (Oort 1962), the first step is obviously
to determine the extension of the disk. Next, one needs to search in regions
above the disk. For the inner part of the Galaxy the approach is easy. The
scale height of the gas is approximately constant for
kpc,
the boundary between disk and halo is well defined. 13% of the gas resides
at |z| > 500 pc with little fluctuations for
kpc
(Lockman 1984).
For the outer part of the Milky Way the situation is more complex. The gas
flares strongly, and in addition the disk is significantly warped. Both cannot be
disregarded, and it is necessary to obtain good estimates for the mid-plane
position and the scale height of the H I gas. Two groups have recently
independently determined the shape of the H I gas distribution, Levine et al. (2006)
and Kalberla et al. (2007). Their results are in good agreement, and we adopt
the disk parameters as derived by Kalberla & Dedes (2008), which were previously
also used by Kalberla et al. (2007) for a determination of the average
extra-planar gas fraction. On average 10% of the H I gas is located outside
the disk, the extra-planar gas is well defined for
kpc, but
tends to increase toward smaller radii R, consistent with the determination
by Lockman (1984). We conclude that a search for extra-planar H I clouds in the outer part of the Milky Way should be promising for
kpc if warp and flaring are taken into account.
2.1 H I halo cloud selection
We used the Kalberla & Dedes (2008) model to calculate the expected emission
for extra-planar gas and
respectively for
disk gas. The ratio
defines a probability that
a cloud feature, observed at position l,b with the velocity v may belong
to the extra-planar gas layer. The extra-planar gas layer is patchy, and we
therefore searched the Leiden/Argentine/Bonn (LAB) survey
(Kalberla et al. 2005) for positions containing weak H I emission that may
originate from clouds in the lower halo.
We tested our method in the inner part of the Milky Way and recovered those
regions that have been observed previously by Lockman (2002) and
Ford et al. (2008) as the ones that are most promising for a detection of
extra-planar gas clumps. After this successful test we applied our search
algorithm to
kpc.
2.2 Distance determination
Quantities directly observable for H I clouds are: column density
,
angular size of the cloud s and line width
.
The cloud diameter D, the average spatial
volume density
,
pressure P and visible mass
can be
determined only if the distance d of the cloud is known. Since the regions
probed by us are outside the solar circle, a Milky Way velocity field needs to
be used to convert the line-of-sight velocity
of a cloud to its
distance d. We use a mass model and a rotation curve according to
Kalberla et al. (2007), which assumes that the halo gas is slightly lagging
behind the Galactic disk. Assuming co-rotation would lead to deviations of
6-22% depending on the region. For the Brand & Blitz (1993) rotation curve,
differences would amount to 15-30%. Finally, in comparison with the Milky
Way model from Gómez (2006) the deviation for the distance determination
is between -7% and -14%. All together, distances determined by us may
have typical systematical uncertainties of about 15-20%.
3 Observations
3.1 Effelsberg observations
22 fields, each covering
,
could be observed with the 100-m
Effelsberg telescope. All the fields have a longitude of l > 90
,
and the
selection was based on the criteria described in Sect. 2.
Therefore we are confident that the H I emission is associated with the
neutral component of the gaseous halo. The observations were done during the
period from May 2004 to October 2005. We used the AK-90 auto-correlator with
two polarizations at a bandwidth of 10 MHz with 2048 channels. This results in
a channel separation of 4 kHz (velocity separation 0.84 km s-1) and velocity
resolution 1.03 km s-1. The fields were
mapped beam-by-beam on a 9
grid. The integration for each position was
60 s. For a system temperature
K this implies a sensitivity of
= 0.1 K. The Effelsberg data were calibrated using the IAU standard
position S7 (Kalberla et al. 1982). A first order polynomial was applied to
correct the baseline, and the stray radiation contamination was removed using
the method by Kalberla et al. (1980). The final result was an image cube with a
9
angular resolution and 1 km s-1 velocity resolution. To verify the
observations, the detected H I clouds were re-observed using a full sampling
(4.5
grid). The configuration of the AK-90 auto-correlator was
identical. The integration was increased to 90 s per position, resulting in
a theoretical sensitivity of
= 0.08 K.
3.2 Synthesis array observations
After extracting a sample of the H I halo clouds from the Effelsberg data (see Sect. 4.1), follow-up observations were made for two of the clouds with the WSRT and the VLA synthesis arrays.
The cloud at l,b=116.2
, 23.6
at
= -68 km s-1 was observed with
the WSRT array, mapping the region at (J2000)
,
= 20
4
22
,
82$^d$56
36
in a maxi-short configuration. The integration time
was 12 hours. A double IF was used with a bandwidth of 2.5 MHz and
1024 channels. This backend configuration results in a channel
separation of 2.5 kHz and a velocity separation of
0.5 km s-1. The data were reduced with the
MIRIAD
software
package. For flux calibration the source 3C286 was used, while self-calibration
was applied to correct the phase errors. The dirty cube has a sensitivity of
2.25 mJy/beam. After applying continuum subtraction, the dirty cube
was de-convolved using the Clark CLEAN algorithm (Clark 1980) and
convolved with a Gaussian beam. The final result is an image cube with a
60
resolution and 1 km s-1 velocity resolution.
The cloud at l,b=115.0
, +23.9
and
=-84.50km s-1 was observed with
the VLA array mapping the region (J2000) (
,
)=20
29
,
82
08
for six hours in the DnC configuration. A double IF was used with a
bandwidth of 0.78 MHz and 256 channels in each IF. With this configuration we
have a channel separation of 3.05 kHz resulting in a velocity separation of
0.64 km s-1. The data were reduced using the NRAO Astronomical Image Processing
System (AIPS)
. The source
3C286 was used as a flux calibrator and the close-by source 2344+824 as a
phase calibrator. The dirty cube has a sensitivity of
2.25 mJy/beam. The dirty image was de-convolved using the Clark CLEAN algorithm
(Clark 1980) after the continuum subtraction. The clean components were
restored with a Gaussian beam, resulting in a clean image with a 60
resolution.
|
Figure 1:
Spectra of H I clouds detected using the Effelsberg
telescope. Arrows mark the position of the H I clouds in the spectra.
The main galactic line is visible at the right side of the
plot. The extending wings are seen up to |
| Open with DEXTER | |
4 Results
4.1 Single dish
Table 1: Properties of the observed H I halo clouds.
The total area covered by the 22 fields observed with the 100-m telescope is
204 deg2. Due to the diffuse nature of the clouds it was not possible
to use automated detection algorithms, so the selection was done
manually. Application of the criteria discussed in
Sect. 2.1 yielded 25 objects identified as H I halo
clouds with line-of-sight velocities
close to the emission of the
underlying disk. Figure 1 shows a few examples of the observed line
spectra. The lines are narrow but superposed on extended wings of diffuse
Galactic H I emission. For the 100-m telescope, stray radiation effects have been taken
into account; we are therefore confident that these observed components
are not caused by instrumental effects.
|
Figure 2:
Left: a) a longitude-velocity H I brightness temperature map of the cloud
116.20+23.55 taken by the Effelsberg 100-m telescope. The
|
| Open with DEXTER | |
Table 1 summarizes our single dish results. From the observed cloud position l, b and velocity
we derive its Galactocentric
distance R and the height z above the plane (Kalberla & Dedes 2008). The angular diameter s is the
geometrical mean of the major and the minor axis of the cloud. The high
brightness temperature
of the clouds ensures that the effect of the noise is
minimal. In some cases where the entry is missing in Table 1, the
clouds were unresolved and the diameter could not be constrained due
insufficient beam-by-beam measurements and because of the blending with the extended wings.
The spatial diameter is calculated from s making use of the known
distance. As mentioned in Sect. 2.2 this is one
major source of uncertainties. Assuming optically thin gas, to obtain the line
width
and the column density
we tried to fit a one or two component Gaussian to the
average spectrum of the cloud. In some clouds such as e.g. 116.2+23.6,116.7+23.0 this
was successful. In clouds like e.g. 113.0-12.4 and 113.3-14.1, where the
extended wing was stronger, this was not possible. In those cases we had to first model
the extended wing, then subtract it and estimate the
and the column
density of the cloud. The observed line width
defines the upper limit
for the kinetic temperature
due to the effect of turbulence. For
very cold clouds, assuming a spin temperature
K, we expect the
derived temperature not to be strongly biased, while for the broader lines the
bias is larger. To determine the average volume density
,
we
assumed a cylindrical shape:
.
Deviations from this shape and the uncertainties in the
distances determination are the major sources of biases in this estimate.
The pressure was estimated from
.
This includes the
thermal pressure as well as a turbulence component. Finally from the column density
and
size of the cloud D we estimated its visible mass using
.
|
Figure 3:
a) A RA-Dec map of H I emission observed with the WSRT telescope
centered at |
| Open with DEXTER | |
The Gaussian deconvolution of the clouds showed that most of them can
best be fitted with a two-component Gaussian. This corresponds to a
narrow compact component and to a broader more extended component. The
best two examples which are present in this paper are the cloud
116.2+23.6 (Fig. 2) and 115.0+23.9. All the properties of the
narrow components are given in Table 1 except the peak
temperature, which for cloud 116.2+23.6 is
K and for
the cloud 115.0+23.9 is
K. We estimated a peak
temperature
K, column density
1018 cm-2 and a
=
km s-1 for the broad
component of the cloud 116.2+23.6. For the cloud 115.0+23.9 the Gaussian
decomposition gave a peak temperature
K, a column
density
1018 cm-2 and
=
km s-1. Due to the
presence of the Galactic wings in the emission profiles, the size of the broad component is
uncertain. Assuming that it has a similar dimension as the narrow part,
we have a volume density of
and pressure
for 116.2+23.6 and
volume density
and
for 115.0+23.9.
According to Rohlfs & Wilson (2004), assuming virialization, the line widths
of the H I clouds can
be used to estimate their virial masses. For the H I clouds in
Table 1 these calculations give typical virial masses
,
which are more than two orders of
magnitude larger than the visible H I masses listed there.
This comparison indicates that the H I halo clouds observed with the
Effelsberg telescope cannot be self-gravitating objects. Therefore an
external confinement is needed for the clouds not to disperse. Assuming the
presence of a hot halo according to Pietz et al. (1998) and Kalberla et al. (2007), the counterpart
could be provided by the envelope and the surrounding hot halo medium. But in the cloud 116.2+23.6 its pressure
K
is small in comparison to the envelope
pressure of
K
.
The same is
true for the cloud 115.00+23.9, where the pressure for the cloud is
K
in comparison to the pressure
of the envelope of
K
.
In addition, a comparison of
the H I cloud pressures
with theoretical
estimates for warm component pressures from Wolfire et al. (2003) at the given
Galactocentric radius range
kpc indicate a similar trend
for the rest of the clouds of the sample. Before reaching a firm conclusion
that the H I halo clouds may be transient objects, one can conclude that the
clouds are unresolved. This implies that estimates for the sizes are upper
limits only and higher resolution observations are needed.
4.2 Synthesis observations
Two of the H I halo cloud positions from the Effelsberg sample were observed
at high resolution to get a better constraint of the properties of the
clouds. The first cloud 116.2+23.6 was observed with WSRT at a position (J2000)
4
22
,
82$^d$56
36
and has a line-of-sight
velocity
= -68 km s-1, which corresponds to a distance of d=7 kpc (R=13 kpc,
z=2.5 kpc). It is cold with a line width
= 3 km s-1 and a column density
of
=
1018 cm-2. The second H I halo cloud, 115.0+23.9, was observed with
VLA, at an offset position (J2000) (
,
)
=20
29
,
82$^d$08
and has a line-of-sight velocity
= -84.50 km s-1, which corresponds to a
distance of d=10 kpc (R=15 kpc, z=4 kpc). This cloud shows also a narrow line width
= 3 km s-1 and has a column density
=
1018 cm-2.
|
Figure 4:
An RA-Dec map of H I emission of the cloud 115.0+23.9 observed with VLA array centered at
|
| Open with DEXTER | |
As seen in Fig. 3a a collection of compact H I objects was found in the WSRT observations at a
= -68 km s-1. All cores with an angular radius
are significant at
a signal-to-noise level of 5 or more. Some unexpected cores were found at a
line-of-sight velocity of
= -85 km s-1 (Fig. 3b). These are
associated with an H I emission that is barely significant in the
Effelsberg spectra. Similarly, at the position (J2000)
(
,
)=20
29
,
82$^d$08
,
observed with the VLA we
find a conglomeration of at least 8 cores at a velocity of
= -84 km s-1 which are associated with the H I cloud 115.0+23.9. In Fig. 4
a channel map of the VLA observations is given.
Table 2: Derived parameters of the H I cores.
In Table 2 median values for the observed quantities and derived physical parameters respectively are given for the H I cores detected with the WSRT and VLA telescopes. To determine the angular sizes and their column densities we produced separated 0th moment maps, and we fitted a 2D Gaussian. The fitted full width half maximum is the angular size s of the cores. From the integrated flux we estimated the column density. The line width is determined by inspection of the line since it was not possible to fit the spectra. Assuming a spherical shape, the average volume density is estimated. Finally for the pressure we used a similar method as the one described in Sect. 4.1. The H I cores show very narrow lines with a median ofThe high resolution interferometer observations enable us to determine
accurately the morphology of the H I clouds observed with Effelsberg. They are resolved
into individual H I cores for which kinematical pressures could be
determined. As seen in Table 2, the median pressure of
K
for the WSRT sample and the median pressure of
K
for the VLA sample are both comparable
within the uncertainties with the pressures of the surrounding envelope as
estimated from the Effelsberg observation, which are
K
,
and
K
for the
cloud observed with WSRT and VLA respectively.
Table 3: A comparison between the H I halo cloud samples observed with different telescopes.
A comparison of the pressures for cores and envelopes with theoretical estimates at
different Galactocentric radii from Table 4 of Wolfire et al. (2003) shows that
the derived quantities fit well to a two-phase picture with an approximate
pressure equilibrium between the cores and the surrounding warm H I
envelope. The envelopes as detected in the single dish observations (see
Fig. 2) may provide the necessary support to stabilize the clouds.
The envelope with a peak brightness temperature of
0.8 K is too weak
to be detectable in our interferometer data. Additional deep observations
would be needed to clarify the presence and extent of such a component.
Nevertheless, combining the Effelsberg and WSRT/VLA observations can give us an
insight into the nature of the ISM in the region of these clouds. Taking into
account the presence of the very extended broad galactic wings, the warm
envelope and the small scale cold cores which are unresolved with the
Effelsberg telescope,
we reach a sort of hierarchical structure of the ISM, similar to the
turbulent flows found by Audit & Hennebelle (2005), which will be discussed later.
Using Eq. (47) from McKee & Cowie (1977) we can show that the
envelope would protect the H I cores from fast evaporation. In the absence of
a warm envelope, the mass loss for an H I core embedded in a hot plasma
(
K) is
.
This implies that a core with an average mass of
10
will evaporate in
140 Myr. A core embedded in a warm envelope (
K, Wolfire et al. 2003)
has a mass loss of one magnitude smaller, on the order of
,
and the cores will evaporate in
1.7 Gyr. But because of internal turbulent motions the clouds will
evolve within
yrs. This is a very short time in comparison
with the total time of their orbit, which is around 100 Myr, which is found by simple
ballistic simulation.
4.3 Comparison between the properties of different samples of H I clouds
To better understand the physical properties of the H I halo clouds, but also
in order to determine various systematics, it is reasonable to compare our
clouds with different samples of H I clouds detected with other
telescopes. The samples of clouds for a comparison are: a) Lockman (2002),
where a population of clouds in the inner Galaxy (
kpc) was detected
with GBT. The distance was determined using the terminal velocity of the
sources. b) Stanimirovic et al. (2006), using the Arecibo 300-m radio telescope,
detected a number H I clouds distinctively separated from the Galactic disk
towards the anti-center direction. Due to high intrinsic uncertainties,
kinematic distances were not used, and the authors opted to use pressure
equilibrium considerations to determine the distance. c) Ford et al. (2008),
where a large number of H I clouds were detected within the pilot region of
the Galactic All-Sky Survey (GASS) with the Parkes 64-m telescope. The
terminal velocity was used as well to determine the distance, since the clouds are
located in the inner Galaxy. d) Stil et al. (2006), where in the VLA Galactic
Plane Survey (VGPS) 17 fast moving H I clouds were
detected close to the plane which are possibly associated with the halo gas
phase.
An inter-comparison of the main results from these authors is given in Table 3. Telescope independent quantities, like
and
,
are found
to be similar, with an exception of
from Stil et al. (2006); the higher
column densities in this sample can be explained by the low altitude of the
sample. The other cloud properties are similar, which may imply that the
different cloud samples in the inner and the outer Galaxy may have a similar
origin.
The telescope-dependent properties of the samples, s, D, n,
,
show a different picture. Telescopes with similar resolutions, like Effelsberg,
GBT and Parkes, show similar ranges for s, D,
,
.
Taking into account that the source distances are fairly
similar, it is quite clear that the telescope used in each work may
introduce a twofold systematic bias: a) synthesis telescopes work as
spatial filters, more sensitive to cold compact than to warm extended gas; b) the measured angular diameter s depends on the convolution of the actual
cloud size st and the beam size. As such the st is overestimated,
leading to an underestimate of the measured volume density n. For the same
cloud, telescopes with increased resolution will either resolve the cloud
or measure s closer to the st. Therefore the errors in the
determination of the parameters depending on the angular size such as D, n,
are smaller, and the measurements are closer to the properties of
the clouds. This dependence on the beam size obviously explains that the Arecibo
observations (beam resolution
4
)
yield parameters for the clouds
closer to the ones estimated for the H I cores observed with the WSRT and the VLA telescope.
5 Discussion
In Sect. 4.2 we found indications for a pressure equilibrium
between the H I cores which constitute the halo clouds and the warmer
envelopes in which they are possibly embedded. In the Galactic disk, it has
been shown (see Wolfire et al. 2003, and reference therein) that the two main
phases, the cold medium phase with
K and the warm medium phase (WNM)
with
K (Kulkarni & Heiles 1987), can co-exist in pressure and thermal
equilibrium only in a very narrow range of pressures and densities. The
Wolfire et al. (2003) model determines this range for different Galactocentric
distances up to R=18 kpc. The model takes into account various observational
constraints, e.g. dust and metalicities; for a more detailed discussion see
Chap. 2 and 3 of Wolfire et al. (2003). It is assumed that the main heating for the
neutral medium originates from the dust grains through the FUV of young
stars. The cooling of the cold phase is mainly due to the fine-structure of
the CII line (158
), while the cooling of the warm phase
happens in through the Ly
,
C II (158
)
and O I
(63
), with the electron recombination mechanism also playing an
important role. It is important to note here that the model depends on the
dust-to-gas ratios, the metalicity and the assumed FUV field (Wolfire et al. 1995).
Since we were able to determine the volume densities of the H I gas
and
the pressure P for the halo clouds and the cores, it is worth comparing the phase diagrams as estimated by Wolfire et al. (2003) with our
results. We make the following assumptions:
- 1.
- in Wolfire et al. (2003) it is assumed that the total density of the
hydrogen nucleus is
where
is the
spatially averaged volume H I density and
is the spatially
averaged molecular hydrogen density. Up to now no direct CO observation of
the H I halo clouds has been done, therefore their molecular content is
unknown and we assume that
;
- 2.
- the H I halo clouds detected in this work are located at a height of
kpc above the plane. According to Eq. (4) from
Wolfire et al. (1995), which gives the height dependence of the FUV field,
the FUV for z = 5 kpc is similar to the FUV field in the plane
(z=0). Therefore, for dust-to-gas ratios and metalicities similar to the
plane, we can use the phase diagrams from Wolfire et al. (2003) estimated
for the plane (z = 0 kpc).
|
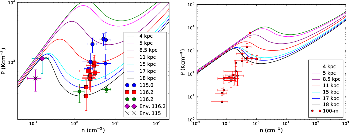
Figure 5:
a) Parameters derived from the WSRT & VLA samples. The envelope
pressure is determined by the Effelsberg observations. The curves in both plots apply to
column densities of the order of 10 |
| Open with DEXTER | |
The derived pressures, plotted in Fig. 5a, may be biased. As described in
Sect. 4.1 they were derived from
.
The uncertainties are
difficult to estimate. The kinetic temperature is most probably an upper limit, while
the volume density
is affected by distance uncertainties, beam
smearing and geometry of the source. Distance uncertainties should be on the order of
20%. Beam smearing may cause overestimates of the source extension, but
more importantly may be biases caused by the geometry of the source. If these
clouds have a sheet-like structure (Heiles & Troland 2003)
we may seriously underestimate the volume
density and accordingly the pressure. Both sources show a very
narrow line width. Assuming the typical spin temperature in the range
of 40 to 80 K, resulting biases should be within a
factor of a few times. Volume densities of the
cores may be more seriously biased. Taking this into account, the true
position of the cores in Fig. 5a could possibly be in better agreement with
the cold branch.
Regarding the position of the cores in the phase diagram, one other important detail is that their molecular gas content is unknown. Recent absorption experiments report some low column density molecular hydrogen in small (0.1 pc) and dense clumps in the Milky Way halo with H I column densities NH > 1019 (Richter 2005). Such possible biases imply that the cold gas in the H I cores can be well in thermal equilibrium with the surrounding warmer gas, detected in the single dish observations, which then would play the role of a confining envelope.
The position of the H I cores in the phase diagram is explained in the above section, using a simplified static thermal equilibrium hypothesis between the two components of the ISM. Non-thermal effects such as turbulence or magnetic fields are not taken into account. Recent numerical simulations (Audit & Hennebelle 2005; Gazol et al. 2005) examine the influence of non-thermal factors. As a result, the positions of the H I cores in the phase diagram (Fig. 5a) and their origins can be explained in the context of a dynamical equilibrium under the influence of turbulence. Audit & Hennebelle (2005) examine the influence of turbulence in a converging flow of WNM. Under the influence of the turbulent velocity field, warm gas is forced out of thermal equilibrium into the unstable regime. In this part of the phase diagram, the gas forms cold condensations, which are connected by less dense structure.
The more turbulent the gas, the larger the fraction of the gas which is
driven in the intermediate unstable region of the phase diagram (see
for comparison in Figs. 3 and 7 of Audit & Hennebelle (2005)). A very turbulent flow, also
part of their simulation, generates more complex structures, and in addition
cold structures are significantly less dense, even at intermediate
densities around
cm-3. Interestingly, this is
quite similar to the volume densities we observe in the H I cores (Table 2). A comparison of the density field and the interferometry maps
(Figs. 3, 4) shows a comparable morphology.
Similar numerical experiments of Gazol et al. (2005) study the behavior of a bistable gas flow under the influence of a turbulent velocity field and model gas that is driven into the unstable region. It is shown that as either the effective Mach number M or the driving scale increases, a departure of the gas from thermal equilibrium is observed, approaching an adiabatic behavior. What is interesting in comparison with the phase diagrams presented in this work is that a population of under-pressured zones is generated in the diffuse gas, while in the dense gas over-pressured zones are created. Although, as mentioned before, the simulations do not represent an accurate model of the ISM, this trend is probably seen in the phase diagrams of Fig. 5a. All in all, it seems that the positions of the H I cores in the phase diagram agree with the predictions above, implying that turbulence strongly affects the state of the halo ISM. The H I halo clouds are probably transient filamentary features, cold unstable gas which is continuously condensing out of the WNM, a process that is caused by turbulence and is stabilized by it. This result fits well to the finding that the extra-planar gas in general is strongly affected and supported by turbulence (Kalberla & Kerp 1998).
A comparison of Fig. 5a, derived from interferometer data, with Fig. 5b, using single dish data only, shows huge differences. Parsec sized H I clumps are unresolved by single dish telescopes, estimates for pressures and densities appear seriously biased in this case. Interferometers on the other hand are insensitive for the extended envelopes which appear to surround cold HI cores. The ideal telescope should resolve both, the extended features as well as compact cores. Within a few years the Australian Square Kilometer Array Pathfinder (ASKAP) may be able to satisfy both demands, providing a large number of sources in intermediate and high latitudes for a comparison with theoretical models of the multi phase ISM.
6 Conclusion
We discussed a population of H I clouds residing in the lower
halo of the Milky Way, co-rotating with the Galactic disk. The sample was
observed with the 100-m Effelsberg telescope. Search criteria were angular
sizes s, the brightness temperatures
and line width
which are
considered to be typical for halo clumps. The sample includes H I clumps with
the following properties:
- They reside in the outer galaxy with Galactocentric radii R 10 < R < 15 kpc.
- They belong to the lower halo ( 0.9 < z < 5.4 kpc).
- The gas is cold, with a median

K and a line width
= 5.3 km s-1.
- The sample shows a prominent two-component structure. Cold H I cores are surrounded by an extended component with broad line emission.
Estimating densities and pressures for clumps and surrounding envelopes, we find some scattering but also a reasonable agreement with models which predict pressure equilibrium and a multi-phase structure caused by thermal instabilities (Wolfire et al. 2003). The clumps tend to populate unstable regions in the phase diagrams, in agreement with recent predictions of turbulence driven instabilities (Gazol et al. 2005; Audit & Hennebelle 2005).
Comparing samples observed with big single dish telescopes e.g. GBT (Lockman 2002), Effelsberg (this work), and Parkes (Ford et al. 2008), we find similar column densities, peak temperatures, line widths and masses. Our interferometer observations imply that some of the derived parameters may be heavily biased if the small scale structure observed by us may be considered as typical for H I halo clumps.
AcknowledgementsThis publication is based on observations with the 100-m telescope of the MPIfR (Max-Planck-Institut für Radioastronomie) at Effelsberg. For the introduction we made use of comments from W. B. Burton concerning early observations of the halo gas phase that we received as a response to a previous publication. The project was supported by the Deutsche Forschungsgemeinschaft, DFG project number KA1265/5-2. Leonidas Dedes would like to thank Karl Menten for his support and Endrik Kruegel for his useful corrections. Finally the authors would like to thank the anomymous referee for the his helpful comments.
References
- Audit, E., & Hennebelle, P. 2005, A&A, 433, 1 [Google Scholar]
- Brand, J., & Blitz, L. 1993, A&A, 275, 67 [Google Scholar]
- Burton, W. B., & Liszt, H. S. 1983, A&AS, 52, 63 [Google Scholar]
- Clark, B. G. 1980, A&A, 89, 377 [Google Scholar]
- Dickey, J. M., & Lockman, F. J. 1990, ARA&A, 28, 215 [Google Scholar]
- Ford, H. A., McClure-Griffiths, N. M., Lockman, F. J., et al. 2008, ApJ, 688, 290 [NASA ADS] [CrossRef] [Google Scholar]
- Gazol, A., Vázquez-Semadeni, E., & Kim, J. 2005, ApJ, 630, 911 [NASA ADS] [CrossRef] [Google Scholar]
- Gómez, G. C. 2006, AJ, 132, 2376 [NASA ADS] [CrossRef] [Google Scholar]
- Hartmann, D., & Burton, W. B. 1997, Atlas of Galactic Neutral Hydrogen, ed. D. Hartmann, & W. B. Burton (Cambridge, UK: Cambridge University Press), 243 [Google Scholar]
- Heiles, C., & Troland, T. H. 2003, ApJ, 586, 1067 [NASA ADS] [CrossRef] [Google Scholar]
- Kalberla, P. M. W., & Dedes, L. 2008, A&A, 487, 951 [Google Scholar]
- Kalberla, P. M. W., & Kerp, J. 1998, A&A, 339, 745 [Google Scholar]
- Kalberla, P. M. W., Mebold, U., & Reich, W. 1980, A&A, 82, 275 [Google Scholar]
- Kalberla, P. M. W., Westphalen, G., Mebold, U., Hartmann, D., & Burton, W. B. 1998, A&A, 332, L61 [Google Scholar]
- Kalberla, P. M. W., Dedes, L., Arnal, E. M., et al. 2005, in Extra-Planar Gas, ed. R. Braun, ASP Conf. Ser., 331, 81 [Google Scholar]
- Kalberla, P. M. W., Dedes, L., Kerp, J., & Haud, U. 2007, A&A, 469, 511 [Google Scholar]
- Kulkarni, S. R., & Heiles, C. 1987, in Interstellar Processes, ed. D. J. Hollenbach, & H. A. Thronson, Jr., A&SS Library, 134, 87 [Google Scholar]
- Levine, E. S., Blitz, L., & Heiles, C. 2006, ApJ, 643, 881 [NASA ADS] [CrossRef] [Google Scholar]
- Lockman, F. J. 1984, ApJ, 283, 90 [NASA ADS] [CrossRef] [Google Scholar]
- Lockman, F. J. 2002, ApJ, 580, L47 [NASA ADS] [CrossRef] [Google Scholar]
- Lockman, F. J., & Gehman, C. S. 1991, ApJ, 382, 182 [NASA ADS] [CrossRef] [Google Scholar]
- McKee, C. F., & Cowie, L. L. 1977, ApJ, 215, 213 [NASA ADS] [CrossRef] [Google Scholar]
- Oort, J. H. 1962, in The Distribution and Motion of Interstellar Matter in Galaxies, ed. L. Woltjer, 71 [Google Scholar]
- Pietz, J., Kerp, J., Kalberla, P. M. W., et al. 1998, A&A, 332, 55 [Google Scholar]
- Richter, P. 2005, in Extra-Planar Gas, ed. R. Braun, ASP Conf. Ser., 331, 41 [Google Scholar]
- Rohlfs, K., & Wilson, T. L. 2004, Tools of radio astronomy, 4th rev. and enl., ed. K. Rohlfs, & T. L. Wilson (Berlin: Springer) [Google Scholar]
- Shane, W. W. 1967, in Radio Astronomy and the Galactic System, ed. H. van Woerden, IAU Symp., 31, 177 [Google Scholar]
- Shane, W. W. 1971, A&AS, 4, 315 [Google Scholar]
- Simonson, III, S. C. 1971, A&A, 12, 136 [Google Scholar]
- Stanimirovic, S., Putman, M., Heiles, C., et al. 2006, ApJ, 653, 1210 [NASA ADS] [CrossRef] [Google Scholar]
- Stark, A. A., Gammie, C. F., Wilson, R. W., et al. 1992, ApJS, 79, 77 [NASA ADS] [CrossRef] [Google Scholar]
- Stil, J. M., Lockman, F. J., Taylor, A. R., et al. 2006, ApJ, 637, 366 [NASA ADS] [CrossRef] [Google Scholar]
- Takakubo, K. 1967, Bull. Astron. Inst. Netherlands, 19, 125 [Google Scholar]
- Weaver, H., & Williams, D. R. W. 1973, A&AS, 8, 1 [Google Scholar]
- Wolfire, M. G., McKee, C. F., Hollenbach, D., & Tielens, A. G. G. M. 1995, ApJ, 453, 673 [NASA ADS] [CrossRef] [Google Scholar]
- Wolfire, M. G., McKee, C. F., Hollenbach, D., & Tielens, A. G. G. M. 2003, ApJ, 587, 278 [NASA ADS] [CrossRef] [Google Scholar]
Footnotes
- ... (WSRT)
- The Westerbork Synthesis Radio Telescope is operated by ASTRON (Netherlands Foundation for Research in Astronomy) with support from the Netherlands Foundation for Scientific Research NWO.
- ... (VLA)
- The National Radio Astronomy Observatory is a facility of the National Science Foundation operated under cooperative agreement by Associated Universities, Inc.
- ...
MIRIAD
- http://www.atnf.csiro.au/computing/software/miriad/
- ... (AIPS)
- http://www.aips.nrao.edu/aips_faq.html
All Tables
Table 1: Properties of the observed H I halo clouds.
Table 2: Derived parameters of the H I cores.
Table 3: A comparison between the H I halo cloud samples observed with different telescopes.
All Figures
|
Figure 1:
Spectra of H I clouds detected using the Effelsberg
telescope. Arrows mark the position of the H I clouds in the spectra.
The main galactic line is visible at the right side of the
plot. The extending wings are seen up to |
| Open with DEXTER | |
| In the text | |
|
Figure 2:
Left: a) a longitude-velocity H I brightness temperature map of the cloud
116.20+23.55 taken by the Effelsberg 100-m telescope. The
|
| Open with DEXTER | |
| In the text | |
|
Figure 3:
a) A RA-Dec map of H I emission observed with the WSRT telescope
centered at |
| Open with DEXTER | |
| In the text | |
|
Figure 4:
An RA-Dec map of H I emission of the cloud 115.0+23.9 observed with VLA array centered at
|
| Open with DEXTER | |
| In the text | |
|
Figure 5:
a) Parameters derived from the WSRT & VLA samples. The envelope
pressure is determined by the Effelsberg observations. The curves in both plots apply to
column densities of the order of 10 |
| Open with DEXTER | |
| In the text | |
Copyright ESO 2010
Current usage metrics show cumulative count of Article Views (full-text article views including HTML views, PDF and ePub downloads, according to the available data) and Abstracts Views on Vision4Press platform.
Data correspond to usage on the plateform after 2015. The current usage metrics is available 48-96 hours after online publication and is updated daily on week days.
Initial download of the metrics may take a while.
![\begin{figure}
\par\includegraphics[width=8.8cm,clip]{12673fg1.eps}
\end{figure}](/articles/aa/full_html/2010/01/aa12673-09/Timg41.png)
![\begin{figure}
\par\includegraphics[width=6cm,clip]{12673f2a.eps}\hspace*{4mm}
\includegraphics[width=4.8cm,clip]{12673f2b.eps}
\end{figure}](/articles/aa/full_html/2010/01/aa12673-09/Timg45.png)
![\begin{figure}
\par\includegraphics[width=7cm,clip]{12673f3a.eps}\hspace*{4mm}
\includegraphics[width=7cm,clip]{12673f3b.eps}
\end{figure}](/articles/aa/full_html/2010/01/aa12673-09/Timg55.png)
![\begin{figure}
\par\includegraphics[width=8.8cm,clip]{12673fg4.eps}
\end{figure}](/articles/aa/full_html/2010/01/aa12673-09/Timg78.png)
![\begin{figure}
\par\includegraphics[width=7.8cm,clip]{12673fg5a.eps}\hspace*{4mm}
\includegraphics[width=7.8cm,clip]{12673fg5b.eps}
\end{figure}](/articles/aa/full_html/2010/01/aa12673-09/Timg102.png)