| Issue |
A&A
Volume 509, January 2010
|
|
|---|---|---|
| Article Number | A56 | |
| Number of page(s) | 9 | |
| Section | Planets and planetary systems | |
| DOI | https://doi.org/10.1051/0004-6361/200912952 | |
| Published online | 19 January 2010 | |
H Lyman
line in Jovian aurorae: electron transport and radiative transfer coupled modelling
H. Menager - M. Barthélemy - J. Lilensten
Laboratoire de Planétologie de Grenoble, BP 53, 38041 Grenoble Cedex 1, France
Received 27 July 2009 / Accepted 10 November 2009
Abstract
Aims. The aim of this work is to characterize the impact of
the solar UV flux and of the electron precipitation on Jupiter's
atmosphere and to study the H Lyman
intensity and spectral profile in Jupiter's aurorae. In particular we
characterize the sensitivity of the line to the relevant input
parameters.
Methods. We use a multi-stream electron transport code solving
the 1D Boltzmann equation and a Feautrier technique radiative transfer
code.
Results. We calculate ionization rate profiles of the main
species of Jupiter's ionosphere and the heating rate due to electron
precipitation, as a function of the energy of the precipitation. We
also calculate the emission rate of Lyman
photons under auroral electron precipitation and the ensuing line
profile. The profile exhibits a centre reversal which could be used as
a diagnostic of Jupiter's auroral low-energy electron precipitation.
Key words: planets and satellites: individual: Jupiter - plasmas - radiation transfer - line: profiles - ultraviolet: planetary systems - radiation mechanisms: non thermal
1 Introduction
The permanent aurorae on Jupiter are due to the precipitation of plasma along magnetic field lines, from the magnetosphere into the upper atmosphere. The charged particles excite and ionize the neutral atmospheric species through collisions. The ensuing radiative de-excitation of the atmospheric species produces aurorae. In spite of the presence of precipitated ions, energetic electrons play the leading role in Jupiter's auroral processes (Trafton et al. 1998; Rego et al. 2001). These particles carry a considerable power, estimated to 1013-1014 W (Rego et al. 1994). The solar UV flux also excites and ionizes the atmosphere but it carries 100 times less power than the precipitating electrons.
Several observable quantities are helpful to study the aurorae. In the infrared, H3+ emissions are very bright and provide information on the thermal stucture and dynamics (Miller et al. 2000). The visible spectrum has interesting features due to H2 and the Balmer series of H (Vasavada et al. 1999). The brightest auroral emissions are in the UV range: the H Lyman
line at 121.567 nm and the H2
Lyman and Werner bands between 90 and 170 nm. They have been
observed with the Goddard High Resolution Spectrograph and the Space
Telescope Imaging Spectrograph on HST (Rego et al. 2001; Ben Jaffel et al. 2007).
They are used to investigate the nature of the precipitating particles
and the thermal structure of the atmosphere. In this work we focus on
the Lyman
radiation and investigate which quantities can be constrained by its study.
Several authors studied the auroral ionosphere and calculated ion production profiles and UV emission rates of H and H2. Some used the rough continuous slowing down approximation and modelled the impact of precipitating electrons and protons (Rego et al. 1994; Prangé et al. 1995). Others solved more accurate kinetic transport equations to study the impact of the precipitating electrons. Perry et al. (1999) used a multi-stream code to investigate the impact of the solar UV radiation and electron precipitation on a model atmosphere. Their atmosphere model was built on data from Galileo and Voyager, which is not well suited to describe the auroral atmosphere. Grodent & Gérard (2001) solved transport and diffusion equations with a 2-stream code, calculating self-consistently an atmosphere model adapted to auroral regions. Prangé et al. (1995) showed that a color ratio in H2 spectrum, which is linked with the absorption by hydrocarbons, strongly depends on the angular distribution of electrons, demonstrating the limits of 2-stream calculations.
In this work we study the effect of the solar EUV flux and of the
electrons precipitating in the auroral atmosphere by using a
multi-stream kinetic transport code and an adequate auroral atmosphere
model associated with updated cross sections. We thus calculate the
ionization and excitation rates and the Lyman
photons production rate. A radiative transfer code is then developed to model the emergent Lyman
line profile in an optically thick atmosphere.
Rego et al. (1999) used a radiative transfer code based on the ``doubling and adding'' method (Ben Jaffel et al. 2007).
The frequency shift that can occur during a diffusion was described
with the use of frequency redistribution functions. They tested the
angle-averaged partial redistribution function, which is suitable in a
low collisional atmosphere, and the complete frequency redistribution
function, which is adequate for a dense atmosphere. In our work we use
a radiative transfer code based on the Feautrier method to compute the
emergent Lyman
line shape and intensity. We use the frequency redistribution functions cited above.
2 Modelling electron transport
2.1 Kinetic transport code
We have adapted the TRANS* kinetic transport code to model the jovian auroral ionosphere. This code is described in Lilensten & Blelly (2002). It computes the impact of the solar EUV flux and of auroral electrons on the ionosphere. It calculates the suprathermal electron flux by solving the 1D Boltzmann stationary equation. This flux is due to the photoproduction of primary electrons and to the collisions between the atmospheric gas with primary photoelectrons or precipitated electrons which produce ``secondary electrons''. The code provides ion production rates, excitation rates of the atmospheric neutral species and heating rates. TRANS* has proven its robustness in modelling the ionospheres of the Earth, Mars, Venus and Titan (Gronoff et al. 2008; Lilensten et al. 2005; Lilensten & Blelly 2002).
2.1.1 Modelling with TRANS*
Once the source term of the Boltzmann equation is evaluated, this equation is similar to a radiative transfer equation. The code solves it with the discrete ordinates method. It relies on several assumptions. We suppose that the precipitation and the atmosphere are in a stationary state. This is justified by the fact that the incident auroral energy is absorbed in a time too short for the precipitation to vary. We make a pseudo-1D modelling. This prevents us from studying the horizontal transport of particles but is adequate to describe the precipitation of particles along the magnetic field lines. We neglect the electric and gravity forces. Actually the electric field could accelerate the electrons and deviate them from their motion around the magnetic field lines, which would modify the altitude at which they are absorbed but this field is still unknown. Moreover we describe the dissipative effects in the suprathermal electron flux with a continuous loss function (Stamnes & Rees 1983). Eventually, we need to improve the classical TRANS* code to include relativistic effects. We must keep this in mind when we study the precipitation of high-energy electrons. Electrons of 3 keV have a speed of 0.1c; our classical treatment reaches its limits there.2.1.2 Angle, altitude and energy discretization
The atmosphere is described with a non-uniform spatial grid. Since the atmosphere is not isothermal, the scale height H varies with altitude, from H = 25 km at z = 110 km (above the 1 bar level) to H = 230 km on top of the atmosphere. To take this variation into account, the spatial grid step varies exponentially with altitude, going from 1 km at z = 110 km to 50 km on top of the atmosphere. The atmosphere is described with a series of 160 isothermal and homogenous layers. We also use a numerical grid to describe the angular distribution of electrons: TRANS* is a ``multi-stream'' model. 8 streams are enough to make an accurate description. One Gaussian weight is attributed to each angle. Finally, we use a power law grid for the energy discretization. We use up to 900 energy bins in which we distribute the electrons.2.1.3 Atmosphere model
The first input of the code is an atmosphere model: we need a
temperature profile and density profiles of the main neutral species.
No temperature profile has been measured in auroral regions. The only
in situ temperature measurement was done by the Galileo probe at a
latitude of
(Seiff et al. 1998).
In auroral regions, only spectroscopic observations of hydrocarbons, H2 and H3+ bands constrain the temperature profile (Trafton et al. 1994; Stallard et al. 2002).
The density profiles of the atmospheric species in polar regions are
not very well known either. Our model includes the four most abundant
species in Jupiter's upper atmosphere: H, H2, He and CH4. At low latitude, Voyager made some occultation measurements of H and H2 concentrations and Galileo measured mixing ratios of the most abundant species in the atmosphere (Young 2003). Several authors built auroral atmospheric models based on these data. Trafton et al. (1994) elaborated a model which allows to build synthetic spectra reproducing the Lyman and Werner bands of H2. In this model, the exospheric temperature reaches 2100 K. Grodent & Gérard (2001)
proposed two atmosphere models based on Voyager and Galileo data. They
solved a diffusion equation in auroral conditions and obtained one
model describing the atmosphere in a diffuse aurora and a second one
describing a discrete aurora. Parkinson et al. (2006) also made models based on these data. We tested different models (see Sect. 3.5.3). In this paper, we present results obtained with the model of Grodent & Gérard (2001) for a discrete aurora (see Fig. 1).
|
Figure 1: Composition and temperature profiles in the atmosphere of a discrete aurora, after Grodent & Gérard (2001). |
| Open with DEXTER | |
All the results shown here were obtained for an angle of
between the magnetic field line and the horizon, corresponding to a dipole magnetic angle at a latitude of 70
.
2.2 Effect of the solar EUV/FUV flux
The solar UV flux excites, ionizes and dissociates the neutral constituents of the atmosphere. We calculated the corresponding photoreaction rates.2.2.1 Solar UV flux model
One energy input in our model is the solar EUV/FUV flux between 1.9 and 105 nm. We describe this spectrum using 39 wavelength bins, including 17 solar lines. In these bins we use the reference flux of Torr & Torr (1985) and Tobiska (1991). The solar spectrum is calibrated for two values ot the proxy F10.7, which is the value of the solar radio flux at 10.7 cm measured in 1022 W m-2Hz-1, and can be used as an indicator of the UV activity of the sun. These reference values are F10.7 =68 (low solar activity) and F10.7 = 243 (active sun). A simple linear interpolation provides the flux at other activity levels.2.2.2 Photoabsorption
The solar flux is absorbed by the constituents of the neutral atmosphere. The photoabsorption cross sections are given in Table 1.
Table 1: References for photoabsorption cross sections.
The ionization and dissociation cross sections are listed in Table 2. We neglect the kinetic energy of the ion created during a photoionization. The photoelectron energy is thus
,
where
is the energy of the photon and W the ionization threshold. The photoelectron direction is arbitrary; we model it with an isotropic distribution.
2.2.3 Photoionization results
| Figure 2:
Photoionization rates for a solar zenith angle of
|
|
| Open with DEXTER | |
In Fig. 2 we present the results for a moderate solar activity:
F10.7 = 100, with a solar zenith angle of 70
.
In the upper atmosphere, the simple ionization of H2
is the dominant photoionization process. By absorbing the flux between
40 nm and 80.5 nm (its ionization threshold), H2 produces up to 6.5 electrons cm-3 s-1 at the altitude of 910 km. In a lower layer H absorbs the UV photons which have not been absorbed by H2
between 80.5 nm and H ionization threshold at 91.2 nm. This
produces a secondary maximum of 5.4 electrons cm-3 s-1. Eventually in the CH4 layer in the bottom of our atmosphere, CH4 ionization rate peaks at 8.4 cm-3 s-1 at 260 km.
This can be interpreted by looking at the penetration of the solar flux in the atmosphere. In Fig. 3 we present the solar flux arriving at different altitudes. We can see that H2 ionization processes absorb the solar photons between 40 and 80 nm in the upper atmosphere. Lower in the atmosphere, H ionization absorbs more energetic photons, up to 10 nm. In the lower layer, methane, which has a low ionization threshold of 12.6 eV, is ionized by the low energy photons, which have not been absorbed in the upper atmosphere.
| Figure 3:
Penetration of the solar UV flux in the atmosphere of Jupiter for a solar activity of
F10.7 = 100 and a solar zenith angle of 70
|
|
| Open with DEXTER | |
Compared to the charged particles precipitating at high latitude, the solar photons play a minor role in the auroral ionosphere. But at low latitude the solar flux is the main source of ionization of the atmospheric species. When the solar zenith angle decreases, the photons cross a thinner layer of atmosphere to arrive to a given altitude. So the solar flux is less absorbed and can ionize deeper. Figure 4 shows the photoionization rates when the sun is at zenith. In this case the photoionization layers of H2 and H have gone respectively down to 700 and 300 km, and the ionization rates have been multiplied by a factor of roughly 3.
| Figure 4:
Photoionization rates for a solar zenith angle of
|
|
| Open with DEXTER | |
In the following, we set the solar activity to
F10.7 = 100 and the solar zenith angle to 70
.
2.3 Auroral electron precipitation
2.3.1 Collisions between the auroral electrons and the atmospheric neutral species
The second energy input is the incident electron flux on top of the
atmosphere. Its energy spectrum is still not determined. The Energetic
Particle Detector on Galileo detected energetic electrons
(15 keV < E
< 884 keV) between 10 and 25 jovian radii. But their
energy distribution was not measured. The only in situ measurement of
an electron energy distribution was done by Ulysses even further from
Jupiter. The energy of the electrons precipitating in polar regions was
evaluated through the analysis of color ratios in UV spectra of the
main oval. In this way, Gustin et al. (2004) detected electrons with energies varying between 30 and 200 keV. Ajello et al. (2005) indicated the presence of electrons with energies of
100 eV. Since there is a lack of more precise data, we studied precipitation with a Maxwellian spectrum centred at
,
with
ranging from 100 eV to 150 keV.
The angular distribution of the precipitation is unknown as well. We show here results obtained with electrons precipitating parallel to the magnetic field lines on top of the atmosphere. But the code allows to modify this angular distribution and we tested the sensitivity of the results to this parameter (see Sect. 3.5.1).
Table 2: Photoionization and photodissociation reactions.
By colliding with the neutral constituents of the atmosphere, the
incident electrons are either elastically scattered or they excite or
ionize the neutrals. Given the lack of data concerning the phase
function which describes the elastic scattering of electrons by the
hydrogen molecule, the elastic scattering of low energy electrons is
described by the phase function given by Porter et al. (1987).
This function is accurate for scattering by nitrogen but tests with
other phase functions showed that it does not change the results of
more than 3
.
The excitation and ionization of the neutral atmospheric species are
modelled by using electron impact cross sections, whose references are
listed in Table 3.
Table 3: Electron impact reactions.
The direction and the energy of the secondary electrons, which are produced through the ionization of the neutrals, depend on those of the incident electrons. They are assessed by using differential cross sections (Rees et al. 1969).
2.3.2 Ionization rates
| Figure 5: Ionization rates for a Maxwellian precipitation of 50 keV. |
|
| Open with DEXTER | |
The ionization rates are presented in Fig. 5 for an electron Maxwellian precipitation with a characteristic energy
keV.
The energy carried by the electron flux was set to 11 erg cm-2 s-1. Using this value enabled Perry et al. (1999) to reproduce the H2 Lyman band intensity.
The collisions with the suprathermal electrons extract a total of
electrons cm-2 s-1 by ionizing the neutral constituents of one atmospheric column (see Table 4). Most of this production is located at altitudes between 165 and 300 km.
The electron production is maximum at 200 km, where it reaches
electrons cm-3 s-1. This production is mainly due to H2 simple ionization, which produces a total of
electrons cm-2 s-1
integrated on the atmospheric column. The simple ionization of helium
is the second most important reaction. However, with a total of
electrons cm-2 s-1, it remains more than one order of magnitude less important than H2 ionization, and is significant mainly in a thin layer around 200 km altitude. H+ is produced in comparable quantity (
cm-2 s-1) and comes mainly from H2 dissociative ionization. CH4 ionization produces efficiently CH4+, CH3+ and even CH2+ around 195 km.
Table 4: Column ionization rates for electron precipitation with Maxwellian spectra of different characteristic energies.
The interaction between the electron precipitation and the jovian atmosphere can be further investigated by looking at the altitude dependance of the energy spectrum of the precipitation. In Fig. 6 we plotted the total electron flux at different altitudes integrated on the pitch angles.
| Figure 6: Evolution of the electron flux with altitude in a night-side aurora. On top of the atmosphere the spectrum is a Maxwellian at 50 keV. |
|
| Open with DEXTER | |
An intense flux of low-energy secondary electrons (E < 100 eV) is present on top of the atmosphere. The flux of high-energy electrons does not change much above 300 km, it is just slightly reinforced by a few upwards secondaries. The stability of the high-energy flux is due to the weakness of the interaction between the neutrals and the high-energy electrons; actually the cross section quickly decreases above 200 eV. Below 300 km the density becomes strong enough, so that electrons are strongly absorbed thoughout the spectrum, particularly by CH4 whose cross section is remarkably high compared to other constituent species.
Since we do not know the energy of the precipitating electrons, we
varied the value of this parameter to see how it influences ionization
rates and Lyman
emission. We considered Maxwellian precipitation from 100 eV
to 150 keV, carrying the same energy flux of
11 erg cm-2 s-1. The total amount of electrons stripped from the auroral atmosphere varies slowly, going from
for electrons of 100 eV, up to
cm-2 s-1 for electrons of 10 keV and then back down to
for electrons of 150 keV. Under 20 keV, the ionization rates are very sensitive to the Maxwellian energy.
In Fig. 7
we present ionization rate profiles for a Maxwellian precipitation of
1 keV. Except for methane, which is confined in the lowest layer
of our model atmosphere, ionization occurs now higher than for the
50 keV precipitation: the electron production rate has a broad
maximum around 530 km. Concerning high energy precipitation, since
the cross sections decrease above 200 eV, the fastest electrons
interact less and penetrate deeper in the atmosphere. Actually the
change is fairly slow: the ionization rate peak goes down of only
70 km when the energy of the precipitation increases from 20 to
150 keV.
The results of TRANS* are comparable to those of the multi-stream code of Perry et al. (1999) (see Table 4).
Their ionization rate profiles are shifted upwards but this is due to a
shift between our atmospheric models. For a Maxwellian precipitation of
50 keV, they evaluated a total production of
electrons cm-2 s-1,
which represents a difference of only 2% with the TRANS* prediction. If
we run our code with their atmospheric model, we find again very
similar ionization rates (within 10%). The main difference is that
their ionization maximum is 50 km above ours.
We also compare our results with those of the 2-stream code of Grodent & Gérard (2001) and of the Monte-Carlo code of Hiraki & Tao (2008). Both use the triple Maxwellian proposed by Grodent & Gérard (2001) to simulate the electron flux in a discrete aurora:
where
| Figure 7: Ionization rates for a Maxwellian precipitation of 1 keV. |
|
| Open with DEXTER | |
2.3.3 Energy balance
In our simulations the total energy input in the atmosphere is
eV cm-2 s-1.
In the case of a Maxwellian precipitation of 50 keV, 97% of this
energy is transferred to the atmosphere through inelastic collisions.
3% goes back to space through electron escape. A minor fraction of
0.05%
is used to heat the ionosphere through friction between the
suprathermal electrons and the thermalized ionospheric electrons.
The conversion into heat is more effective with low-energy precipitation. For a precipitation of 1 keV (resp. 100 eV), 4% (resp. 9%) of the input energy goes to heating. This is smaller than the 18.8% found by the 2-stream code of Waite et al. (1983) for a 1 keV precipitation and than the 50% found by Grodent for precipitation with a wide spectrum ranging from 100 eV to 22 keV. Low-energy precipitation could neverthless contribute to explain the high temperatures of the jovian auroral thermosphere.
3 Lyman
line
3.1 Lyman
transition
This line corresponds to the radiative de-excitation H(2p)
H(1s) at 1215.67 nm. H(2s)
H(1s) is a forbidden dipolar transition. Consequently H(2s) is metastable and it has a long life-time (
s,
to be compared to 1.6 ns for H(2p)). The spontaneous
decay of H(2s) to H(1s) is a 2-photon transition which does not
contribute to Lyman
(Slocomb et al. 1971).
But the energy difference between H(2s) and H(2p) is very small, and H
can go from one state to the other when it collides with another
particle. So if the atmosphere is dense enough, this collisional
quenching makes H(2s) deexcite via H(2p) and a Lyman
photon. For particles with thermal velocity (
a few km s-1 in the atmosphere of Jupiter), the cross section for collisional quenching of H(2s) by collisions with H2 is
(Vassilev et al. 1990). The collisional lifetime of H(2s) can thus be evaluated by
,
where n is the density of H2. It is shorter than the spontaneous lifetime for altitudes higher than 1300 km. Given that the Lyman
emission in Jupiter's atmosphere occurs mainly below this altitude, we
consider that every atom excited in the H(2s) state deexcites by
emitting a Lyman
photon after a collisional quenching.
3.2 Lyman
emission
Two phenomena contribute to the Lyman | Figure 8: H2+ production rates for electron precipitation with a triple Maxwellian spectrum. Full line: our results. Dashed-dotted line: Grodent & Gérard (2001). Dashed line: Hiraki & Tao (2008). |
|
| Open with DEXTER | |
| Figure 9:
Emission rate of Lyman Alpha photons, at low solar illuminance (
F10.7 = 100, solar zenith angle of 70
|
|
| Open with DEXTER | |
The solar excitation leads to a faint Lyman
emission around 850 km. The main Lyman
emission is due to electron precipitation. It is at the same altitude as the H2 ionization rate maximum (which is normal because the cross sections have comparable shapes).
3.3 Radiative transfer at Lyman 
The emitted photons are scattered resonantly by Jupiter's atmospheric
H. A radiative transfer code is used to calculate the emergent
intensity and line profile. This code is described in Griffioen (2000), Parkinson (2002) and Barthélemy et al. (2004). It models scattering and absorption of the solar Lyman
line and of the Lyman
photons emitted by the excited atmospheric hydrogen. This pseudo-1D
code allows for a solar zenith angle varying along the line of sight
and is based on the Feautrier method. The line profiles are based on
Voigt profiles and scattering is modelled with the use of
redistribution functions. The angular scattering is supposed to be
isotropic. Due to the Doppler effect linked with the motion of the
atmospheric particles, the absorbed photons are reemitted with a
slightly different frequency (described by the redistribution
function). So if the photons are emitted deep enough, multiple
scattering depletes the core of the line when it emerges out of the
atmosphere. The depletion does not happen in the wings where the
photons are not resonant with Lyman
and the atmosphere is optically thin. The choice of the frequency
redistribution function is not obvious. If the excited H atoms collide
with another particle before they de-excite and emit a photon, the
complete frequency redistribution (CFR) function should be used. On the
contrary, if the atmosphere is more diluted, the angle-averaged
redistribution (AAPR) is best suited (Rego et al. 1999). By taking a collision cross section of 100
,
we evaluate that the characteristic time between two collisions is
1 ms. This is much longer than the lifetime of the level H(2p), so we choose to use the AAPR function.
Table 5:
References for cross sections for production of Lyman
photons by electronic collision and photoexcitation.
3.4 Results
3.4.1 Night side aurora
|
Figure 10:
Profile of the Lyman |
| Open with DEXTER | |
We studied the Lyman
line for electron precipitation with characteristic energies
ranging from 100 eV to 150 keV. In Fig. 10 we present the shape of the Lyman
line for a few values of
,
in a night-side aurora.
The line of sight is parallel to the Jupiter-sun direction and intersects Jupiter's rotation axis at the latitude of 70
.
In the code, we can choose the line of sight but we keep it fixed since
in this paper we do not compare our results with observations.
The main characteristics of the line is a strong reversal at its
centre. It is due to the resonant scattering of the auroral Lyman
photons. It has been observed in auroral spectra taken by the Goddard High Resolution Spectrograph (Prangé et al. 1997).
For the most energetic electrons, the Lyman
emission occurs very low in the atmosphere and the line is strongly
absorbed before emerging out of the atmosphere. Hence, the intensity of
the line decreases when the electron energy increases. However, a
measurement of the intensity can not be used to determine the energy of
the electrons since we do not know the energy input flux in the jovian
aurorae.
Other properties of the line have to be used to characterise the electrons: its FWHM, the width of its reversal
(defined as the distance between the two peaks) and the intensity of its reversal
(defined as the ratio of peaks value to reversal center). These characteristics are given in Table 6 for different electron energies.
Table 6:
Properties of the Lyman
line for different electron energies
on the night side of the auroral oval.
In the 100 eV-10 keV energy range, the line width and the width and the intensity of the reversal increase with
.
So by measuring these parameters in a spectrum with a resolution of
11 mÅ like that of STIS, it should be possible to constrain
the energy of the electrons at low energy, where the variations are the
fastest. It is no longer the case above 30 keV where the
parameters are quite constant. Observing only the Lyman
line is not a good way to characterise electrons above 30 keV on the night side.
Our results are qualitatively comparable to those of Rego et al. (1999), but quantitatively they differ. Our lines are narrower and our reversal is narrower and less pronounced. It can be linked with differences in the atmospheric models. On top of the atmosphere, H density is 33 times larger in their model than in ours and on the bottom of the atmosphere, it is 3 times larger in our model. The smaller H density in our model makes the frequency redistribution less important and the line narrower.
3.4.2 Day side aurora
In a day side aurora, two sources contribute to the Lyman
emission: the scattering of the solar light and the emissions by the atmospheric particles.
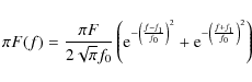
The incident solar line is modelled by a double Gaussian profile:
where f is the frequency,
The profiles in Fig. 11 were obtained for a moderate solar activity (
f10.7 = 100). The line of sight and the physical conditions are similar to those of the Fig. 10.
At high energy we can easily distinguish the contribution from the
solar scattered line and that from the auroral emissions. Compared to
the night side, the intensity of the line increases, from a factor 1.01
at 100 eV to a factor 50.9 at 150 keV.
decreases, particularly at high energy; the centre of the line becomes brighter than the peaks above 130 keV. The FWHM
and the distance between the peaks are unchanged at low energy. At high
energy, the solar line determines the final profile. The resultant line
is broader and the peaks are a bit closer than on the night side: at
150 keV, the FWHM is multiplied by 2.13 and
is divided by 1.20. All these changes are amplified if the solar activity is higher (see the dashed line in Fig. 11(b) where
f10.7 =240.
|
Figure 11:
Profile of the Lyman |
| Open with DEXTER | |
3.5 Sensitivity study
3.5.1 Angular distribution of the precipitating electrons
In the results presented above, the precipitation is parallel to the
magnetic field lines. But we also made simulations with different
angular distributions: we imposed isotropic or Gaussian incident fluxes
on top of the atmosphere. For these latter, the atmospheric layer where
H(n=2)
get excited is slightly higher in the atmosphere (of 30 km). The
excitation is also a bit less effective (it goes down of 10-20% at the
altitude where it is maximum). But these changes have a small impact on
the Lyman
profile because the low-energy secondary electrons, whose direction is
almost independant from that of the initial precipitation, play a major
role in the production of excited H(n=2). The corresponding line is represented in Fig. 12.
The biggest change is the depth of the reversal at the lowest energies where it varies up to 20%. The FWHM and the width of the reversal vary by less than 4%. So the observation of the Lyman
line will not easily allow us to deduce the angular distribution of the precipitating particles. But Prangé et al. (1995) showed that a color ratio in H2 Lyman and Werner lines depends on it. So the observation of H2 lines seems to be a better way to constrain the angular distribution of the precipitation.
In the following, we keep the incident electron flux parallel to the magnetic field lines.
|
Figure 12:
Profile of the Lyman |
| Open with DEXTER | |
3.5.2 Redistribution function
|
Figure 13:
Profile of the Lyman |
| Open with DEXTER | |
So far, we have presented results obtained with the angle averaged
partial redistribution function (AAPR). But we also ran the code with
the complete redistribution function (CFR), which is suited if the
medium is very collisional, such as those that occur below
200 km in Jupiter's atmosphere. The results are presented in Fig. 13.
The peaks are much less intense; most of the flux is contained in the wings, which extend much further. The FWHM increases up to 3.4 times for the highest energies. The distance between the peaks increases up to 2.1 times.
increases at high energy (up to 22%).
3.5.3 Atmosphere model
To check the sensitivity of our results to atmospheric models, we run our codes with an atmosphere based on the work of Trafton et al. (1994). This model was built after the analysis of CH4, H2 and H3+ lines in spectra of Jupiter's aurorae. The authors built a chemical model which allowed them to reproduce lines of H2, H3+ and hydrocarbons. The results are illustrated in Fig. 14. In Trafton's model, the density of H is reduced, leading to less redistribution and a narrower line with a less pronounced reversal. This variation goes in the same sense than the difference between our results and those of Rego et al. (1999).
|
Figure 14:
Lyman |
| Open with DEXTER | |
4 Conclusion
We modelled the impact of the solar UV flux and of the precipitation of
electrons in the atmosphere of Jupiter. To do so we used a multi-stream
code which solves the Boltzmann equation. We calculated the
photoionization rates of H, H2, He and CH4.
The photoionization is significant at 260 km due to methane and
between 800 and 900 km (depending on the solar zenith angle) due
to H2. We also calculated the ionization rates due to the
precipitation of electrons in Jupiter's aurorae. We modelled the
incident flux of electrons by a Maxwellian spectrum with a
characteristic energy ranging from 100 eV to 150 keV and
carrying a total energy flux of 11 erg cm-2 s-1.
The ionization rate due to electron precipitation is 2 orders of
magnitude larger than that due to the solar UV flux. The altitude of
the ionization layers goes from 1040 km to 165 km when the
energy of the Maxwellian goes from 100 eV to 150 keV. We
calculated the Lyman
photon emission rate using a radiative transfer code to model the
profile of the line emergent out of the atmosphere. Due to the
frequency redistribution which happens during scattering, the core of
the line is depleted, with photons moving out to the wings. The line
profile can be used to constrain the energy of the precipitation only
if the latter is inferior to
10 keV.
We tested the sensitivity of the results to different input parameters
and found that the initial angular distribution of the precipitation
has little influence on the results. On the contrary, the line depends
critically on the choice of the frequency redistribution function and
on the atmosphere model. In a next paper we will model the Lyman and
Werner bands of H2 in order to get further constraints on
the electron precipitation. Later we will compare our calculations with
HST spectra. That work will then be adapted to the study of exoplanets'
aurorae to assess if their H2 auroral emissions are likely to be observed from earth.
References
- Ajello, J. M., James, G. K., & Shemansky, D. E. 1991, ApJ, 371, 422 [NASA ADS] [CrossRef] [Google Scholar]
- Ajello, J. M., Pryor, W., Esposito, L., et al. 2005, Icarus, 178, 327 [NASA ADS] [CrossRef] [Google Scholar]
- Au, J. W., Cooper, G., Burton, G. R., & Olney, Terry N., B. C. E. 1993, Chem. Phys., 173(2), 209 [NASA ADS] [CrossRef] [Google Scholar]
- Barthélemy, M., Parkinson, C., Lilensten, J., & Prangé, R. 2004, A&A, 423, 391 [Google Scholar]
- Ben Jaffel, L., Kim, Y. J., & Clarke, J. 2007, Icarus, 190, 504 [NASA ADS] [CrossRef] [Google Scholar]
- Bozek, J. D., Furst, J. E., Gay, T. J., et al. 2006, J. Phys. B: Atomic (Molecular and Optical Physics), 39, 4871 [Google Scholar]
- Chung, Y. M., Lee, E.-M., Masuoka, T., & Samson, J. A. R. 1993, J. Chem. Phys., 99, 885 [NASA ADS] [CrossRef] [Google Scholar]
- Dalgarno, A., Yan, M., & Liu, W. 1999, ApJS, 125, 237 [NASA ADS] [CrossRef] [Google Scholar]
- Davies, D. K., Kline, L. E., & Bies, W. E. 1989, J. Appl. Phys., 65, 3311 [NASA ADS] [CrossRef] [Google Scholar]
- Fukuzawa, H., Odagiri, T., Nakazato, T., et al. 2005, J. Phys. B: Atomic Molecular and Optical Physics, 38, 565 [NASA ADS] [CrossRef] [Google Scholar]
- Gladstone, G. R. 1988, J. Geophys. Res., 93, 14623 [Google Scholar]
- Glass-Maujean, M., & Schmoranzer, H. 2005, J. Phys. B: Atomic Molecular and Optical Physics, 38, 1093 [NASA ADS] [CrossRef] [Google Scholar]
- Griffioen, E. 2000, J. Geophys. Res., 105, 24613 [NASA ADS] [CrossRef] [Google Scholar]
- Grodent, D., & Gérard, J.-C. 2001, J. Geophys. Res., 106, 12933 [Google Scholar]
- Gronoff, G., Lilensten, J., Simon, C., et al. 2008, A&A, 482, 1015 [Google Scholar]
- Gustin, J., Gérard, J.-C., Grodent, D., et al. 2004, J. Geophys. Res. (Space Physics), 109, 10205 [NASA ADS] [CrossRef] [Google Scholar]
- Hiraki, Y., & Tao, C. 2008, Annales Geophysicae, 26, 77 [NASA ADS] [CrossRef] [Google Scholar]
- Jain, A., & Baluja, K. L. 1992, Phys. Rev. A, 45, 202 [NASA ADS] [CrossRef] [PubMed] [Google Scholar]
- James, G. K., Slevin, J. A., Shemansky, D. E., et al. 1997, Phys. Rev. A, 55, 1069 [NASA ADS] [CrossRef] [Google Scholar]
- Janev, R. K., Langer, W. D., Post, Jr., D. E., & Evans, K. J. 1987, Shock and Vibration, 4 [Google Scholar]
- Kingston, A. E., & Walters, H. R. J. 1980, J. Phys. B: Atomic and Molecular Physics, 13, 4633 [NASA ADS] [CrossRef] [Google Scholar]
- Lemaire, P., Emerich, C., Vial, J.-C., et al. 2002, From Solar Min to Max: Half a Solar Cycle with SOHO, ed. A. Wilson, ESA SP-508, 219 [Google Scholar]
- Lilensten, J., & Blelly, P. L. 2002, J. Atmosph. Solar-Terrestr. Phys., 64, 775 [Google Scholar]
- Lilensten, J., Simon, C., Witasse, O., et al. 2005, Icarus, 174, 285 [NASA ADS] [CrossRef] [Google Scholar]
- Liu, X., & Shemansky, D. E. 2004, ApJ, 614, 1132 [NASA ADS] [CrossRef] [Google Scholar]
- Liu, X., & Shemansky, D. E. 2006, J. Geophys. Res. (Space Physics), 111, 4303 [CrossRef] [Google Scholar]
- Miller, S., Achilleos, N., Ballester, G. E., et al. 2000, Roy. Soc. Lond. Phil. Trans. Ser. A, 358, 2485 [Google Scholar]
- Muse, J., Silva, H., Lopes, M. C. A., & Khakoo, M. A. 2008, J. Phys. B: Atomic, Molecular and Optical Physics, 41, 095203 (7pp) [Google Scholar]
- Norwood, K., Ng, C. Y., & Vary, J. P. 1990, J. Chem. Phys., 93, 1480 [NASA ADS] [CrossRef] [Google Scholar]
- Pang, K. D., Ajello, J. M., Franklin, B., & Shemansky, D. E. 1987, J. Chem. Phys., 86, 2750 [NASA ADS] [CrossRef] [Google Scholar]
- Parkinson, C. D. 2002, Ph.D. Thesis, AA (York University (Canada)) [Google Scholar]
- Parkinson, C. D., Griffioen, E., McConnell, J. C., et al. 1999, Geophys. Res. Lett., 26, 3177 [NASA ADS] [CrossRef] [Google Scholar]
- Parkinson, C. D., Stewart, A. I. F., Wong, A. S., Yung, Y. L., & Ajello, J. M. 2006, J. Geophys. Res. (Planets), 111, 2002 [CrossRef] [Google Scholar]
- Perry, J. J., Kim, Y. H., Fox, J. L., & Porter, H. S. 1999, J. Geophys. Res., 104, 16541 [NASA ADS] [CrossRef] [Google Scholar]
- Pindzola, M. S., Robicheaux, F., & Colgan, J. 2007, Phys. Rev. A, 76, 024704 [NASA ADS] [CrossRef] [Google Scholar]
- Porter, H. S., Varosi, F., & Mayr, H. G. 1987, J. Geophys. Res., 92, 5933 [NASA ADS] [CrossRef] [Google Scholar]
- Prangé, R., Rego, D., & Gerard, J.-C. 1995, J. Geophys. Res., 100, 7513 [NASA ADS] [CrossRef] [Google Scholar]
- Prangé, R., Rego, D., Pallier, L., et al. 1997, ApJ, 484, L169 [NASA ADS] [CrossRef] [Google Scholar]
- Ralchenko, Y., Janev, R. K., Kato, T., et al. 2008, Atomic Data and Nuclear Data Tables, 94, 603 [NASA ADS] [CrossRef] [Google Scholar]
- Rees, M. H., Stewart, A. I., & Walker, J. C. G. 1969, Planet. Space Sci., 17, 1997 [NASA ADS] [CrossRef] [Google Scholar]
- Rego, D., Clarke, J. T., Ben Jaffel, L., et al. 2001, Icarus, 150, 234 [NASA ADS] [CrossRef] [Google Scholar]
- Rego, D., Prangé, R., & Ben Jaffel, L. 1999, J. Geophys. Res., 104, 5939 [NASA ADS] [CrossRef] [Google Scholar]
- Rego, D., Prange, R., & Gerard, J.-C. 1994, J. Geophys. Res., 99, 17075 [NASA ADS] [CrossRef] [Google Scholar]
- Samson, J. A. R. 1966, Adv. Atom. Mol. Phys., 2, 177 [CrossRef] [Google Scholar]
- Samson, J. A. R., Haddad, G. N., Masuoka, T., Pareek, P. N., & Kilcoyne, D. A. L. 1989, J. Chem. Phys., 90, 6925 [NASA ADS] [CrossRef] [Google Scholar]
- Samson, J. A. R., Bartlett, R. J., & He, Z. X. 1992, Phys. Rev. A, 46, 7277 [NASA ADS] [CrossRef] [PubMed] [Google Scholar]
- Seiff, A., Kirk, D. B., Knight, T. C. D., et al. 1998, J. Geophys. Res., 103, 22857 [NASA ADS] [CrossRef] [Google Scholar]
- Shah, M. B., Elliott, D. S., & Gilbody, H. B. 1987, J. Phys. B: Atomic and Molecular Physics, 20, 3501 [Google Scholar]
- Shyn, T. W., & Cho, S. Y. 1989, Phys. Rev. A, 40, 1315 [NASA ADS] [CrossRef] [PubMed] [Google Scholar]
- Shyn, T. W., & Grafe, A. 1992, Phys. Rev. A, 46, 2949 [NASA ADS] [CrossRef] [PubMed] [Google Scholar]
- Slocomb, C. A., Miller, W. H., & III, H. F. S. 1971, J. Chem. Phys., 55, 926 [NASA ADS] [CrossRef] [Google Scholar]
- Stallard, T., Miller, S., Millward, G., & Joseph, R. D. 2002, Icarus, 156, 498 [NASA ADS] [CrossRef] [Google Scholar]
- Stamnes, K., & Rees, M. H. 1983, Geophys. Res. Lett., 10, 309 [NASA ADS] [CrossRef] [Google Scholar]
- Tobiska, W. K. 1991, J. Atmosph. Terrestr. Phys., 53, 1005 [NASA ADS] [CrossRef] [Google Scholar]
- Torr, M. R., & Torr, D. G. 1985, J. Geophys. Res., 90, 6675 [NASA ADS] [CrossRef] [Google Scholar]
- Trafton, L. M., Dols, V., Gérard, J.-C., et al. 1998, ApJ, 507, 955 [NASA ADS] [CrossRef] [Google Scholar]
- Trafton, L. M., Gerard, J. C., Munhoven, G., & Waite, Jr., J. H. 1994, ApJ, 421, 816 [NASA ADS] [CrossRef] [Google Scholar]
- Vasavada, A. R., Bouchez, A. H., Ingersoll, A. P., et al. 1999, J. Geophys. Res., 104, 27133 [NASA ADS] [CrossRef] [Google Scholar]
- Vassilev, G., Perales, F., Miniatura, C., et al. 1990, Z. Phys. D Atoms Molecules Clusters, 17, 101 [Google Scholar]
- Waite, J. H., Cravens, T. E., Kozyra, J., et al. 1983, J. Geophys. Res., 88, 6143 [NASA ADS] [CrossRef] [Google Scholar]
- Wu, C. Y. R., & Judge, D. L. 1981, J. Chem. Phys., 75, 172 [NASA ADS] [CrossRef] [Google Scholar]
- Yan, M., Sadeghpour, H. R., & Dalgarno, A. 1998, ApJ, 496, 1044 [NASA ADS] [CrossRef] [Google Scholar]
- Yan, M., Sadeghpour, H. R., & Dalgarno, A. 2001, ApJ, 559, 1194 [NASA ADS] [CrossRef] [Google Scholar]
- Young, R. E. 2003, New Astron. Rev., 47, 1 [NASA ADS] [CrossRef] [Google Scholar]
All Tables
Table 1: References for photoabsorption cross sections.
Table 2: Photoionization and photodissociation reactions.
Table 3: Electron impact reactions.
Table 4: Column ionization rates for electron precipitation with Maxwellian spectra of different characteristic energies.
Table 5:
References for cross sections for production of Lyman
photons by electronic collision and photoexcitation.
Table 6:
Properties of the Lyman
line for different electron energies
on the night side of the auroral oval.
All Figures
|
Figure 1: Composition and temperature profiles in the atmosphere of a discrete aurora, after Grodent & Gérard (2001). |
| Open with DEXTER | |
| In the text | |
| |
Figure 2:
Photoionization rates for a solar zenith angle of
|
| Open with DEXTER | |
| In the text | |
| |
Figure 3:
Penetration of the solar UV flux in the atmosphere of Jupiter for a solar activity of
F10.7 = 100 and a solar zenith angle of 70
|
| Open with DEXTER | |
| In the text | |
| |
Figure 4:
Photoionization rates for a solar zenith angle of
|
| Open with DEXTER | |
| In the text | |
| |
Figure 5: Ionization rates for a Maxwellian precipitation of 50 keV. |
| Open with DEXTER | |
| In the text | |
| |
Figure 6: Evolution of the electron flux with altitude in a night-side aurora. On top of the atmosphere the spectrum is a Maxwellian at 50 keV. |
| Open with DEXTER | |
| In the text | |
| |
Figure 7: Ionization rates for a Maxwellian precipitation of 1 keV. |
| Open with DEXTER | |
| In the text | |
| |
Figure 8: H2+ production rates for electron precipitation with a triple Maxwellian spectrum. Full line: our results. Dashed-dotted line: Grodent & Gérard (2001). Dashed line: Hiraki & Tao (2008). |
| Open with DEXTER | |
| In the text | |
| |
Figure 9:
Emission rate of Lyman Alpha photons, at low solar illuminance (
F10.7 = 100, solar zenith angle of 70
|
| Open with DEXTER | |
| In the text | |
|
Figure 10:
Profile of the Lyman |
| Open with DEXTER | |
| In the text | |
|
Figure 11:
Profile of the Lyman |
| Open with DEXTER | |
| In the text | |
|
Figure 12:
Profile of the Lyman |
| Open with DEXTER | |
| In the text | |
|
Figure 13:
Profile of the Lyman |
| Open with DEXTER | |
| In the text | |
|
Figure 14:
Lyman |
| Open with DEXTER | |
| In the text | |
Copyright ESO 2010
Current usage metrics show cumulative count of Article Views (full-text article views including HTML views, PDF and ePub downloads, according to the available data) and Abstracts Views on Vision4Press platform.
Data correspond to usage on the plateform after 2015. The current usage metrics is available 48-96 hours after online publication and is updated daily on week days.
Initial download of the metrics may take a while.
![\begin{figure}
\includegraphics[width =7cm,clip]{Images/12952f01}
\end{figure}](/articles/aa/full_html/2010/01/aa12952-09/Timg7.png)
![\begin{figure}
\includegraphics[width = 6.5cm,clip]{Images/12952f10}
\end{figure}](/articles/aa/full_html/2010/01/aa12952-09/Timg79.png)
![\begin{figure}
\par\subfigure[Low-energy precipitation]{
\includegraphics[widt...
...itation]{
\includegraphics[width = 6.5cm,clip]{Images/12952f12} }\end{figure}](/articles/aa/full_html/2010/01/aa12952-09/Timg87.png)
![\begin{figure}
\includegraphics[width = 6.5cm,clip]{Images/12952f13}
\end{figure}](/articles/aa/full_html/2010/01/aa12952-09/Timg88.png)
![\begin{figure}
\includegraphics[width = 6.5cm,clip]{Images/12952f14}
\end{figure}](/articles/aa/full_html/2010/01/aa12952-09/Timg89.png)
![\begin{figure}
\includegraphics[width = 6.5cm,clip]{Images/12952f15}
\end{figure}](/articles/aa/full_html/2010/01/aa12952-09/Timg90.png)