| Issue |
A&A
Volume 509, January 2010
|
|
|---|---|---|
| Article Number | A23 | |
| Number of page(s) | 11 | |
| Section | Astronomical instrumentation | |
| DOI | https://doi.org/10.1051/0004-6361/200913212 | |
| Published online | 12 January 2010 | |
Conversion from linear to circular polarization in FPGA
K. Das1 - A. L. Roy1 - R. Keller1 - G. Tuccari2
1 - Max Planck Institute for Radio Astronomy (MPIFR),
Auf dem Hügel 69, Bonn, Germany
2 -
Istituto di Radioastronomia, via P. Gobetti, 101 40129 Bologna, Italy
Received 31 August 2009 / Accepted 26 October 2009
Abstract
Context. Radio astronomical receivers are now expanding
their frequency range to cover large (octave) fractional bandwidths for
sensitivity and spectral flexibility, which makes the design of good
analogue circular polarizers challenging. Better polarization purity
requires a flatter phase response over increasingly wide bandwidth,
which is most easily achieved with digital techniques. They offer the
ability to form circular polarization with perfect polarization purity
over arbitrarily wide fractional bandwidths, due to the ease of
introducing a perfect quadrature phase shift. Further, the rapid
improvements in field programmable gate arrays provide the high
processing power, low cost, portability and reconfigurability needed to
make practical the implementation of the formation of circular
polarization digitally.
Aims. Here we explore the performance of a circular polarizer implemented with digital techniques.
Methods. We designed a digital circular polarizer in which the
intermediate frequency signals from a receiver with native linear
polarizations were sampled and converted to circular polarization. The
frequency-dependent instrumental phase difference and gain scaling
factors were determined using an injected noise signal and applied to
the two linear polarizations to equalize the transfer characteristics
of the two polarization channels. This equalization was performed in
512 frequency channels over a 512 MHz bandwidth. Circular polarization
was formed by quadrature phase shifting and summing the equalized
linear polarization signals.
Results. We obtained polarization purity of -25 dB corresponding to a D-term of 0.06 over the whole bandwidth.
Conclusions. This technique enables construction of broad-band
radio astronomy receivers with native linear polarization to form
circular polarization for VLBI.
Key words: polarization - methods: statistical - techniques: photometric - instrumentation: polarimeters
1 introduction
Circular polarizers play important roles in modern communication
systems including those in radio astronomy. To obtain higher
sensitivity and frequency coverage for spectral line observations, the
radio antennas are moving to broad-band feeds and extremely broad bands
are most easily realized with linearly polarized feeds due to the
difficulty of producing
phase shift accurately over wide bandwidth. However, circular
polarization is simplest for the application of very long baseline
interferometry (VLBI), which enables astronomical sources to be
resolved with sub-milliarcsecond synthesized beam widths, since linear
dipoles do not generally remain
parallel to each other in a global array due to different parallactic
angles at different stations when observing the same source, causing
loss of coherence in the cross-correlation products formed between
stations. That loss could be recovered were one to compute also the
cross-polarization cross
correlation products to retain all information (doubling the
correlator power needed), or one could rotate the receiver packages at
each station to keep the dipoles parallel (requiring mechanical
rotators). In contrast, use of
circular polarization causes the parallactic angle differences between
stations to add a simple phase rotation angle to the measured
visibility,
which can be predicted from the known observation geometry and
subtracted in post-processing.
Circular polarizers with broad bandwidths have been realized in the
past with a number of methods. Most common are the septum polarizer
by Chen & Tsandoulas (1973), corrugated waveguide phase shifter, Boifot junction (Ruiz-Cruiz et al. 2006), and
the linear quad-ridge OMT followed by a
hybrid junction.
All are analogue techniques and produce a perfect
phase
shift and hence perfect polarization purity at only one, two, or three
frequencies and the phase errors grow larger at frequencies away
from those design points, which ultimately limits the bandwidth of the
devices. In contrast, digital techniques offer the possibility to produce an
accurate
phase
shift over broad bandwidths, but this
potential has not yet been fully developed. One example is the
Westerbork synthesis radio telescope, which converts native linear
polarization to circular polarization by a combination of
analogue and digital techniques for VLBI. During down conversion of
the orthogonal linear signals, the
shift is added to the
(analogue) LO for one polarization. After analogue-to-digital
conversion, the (2 bit) signals are summed and differenced to form
circular polarization, with a weight that corrects for the average
receiver gain differences. The weights are determined by a separate
measurement using a calibration noise source in each frontend and are
updated every 10 s. This system operates on a bandwidth of
20 MHz, yielding one phase and amplitude correction for each
20 MHz of
bandwidth (Boss 2007, private communication). The Westerbork system
uses the pre-existing correlator and analogue phase rotation in the LO
system, but most VLBI stations lack this
equipment and so another, more general, solution is needed.
We have developed a self-contained digital processing system in which
the correlator, channel equalization, phase rotation, gain
scaling, quadrature phase shift and summation to form circular
polarization are contained in a stand-alone unit. It accepts two
intermediate frequency inputs
with orthogonal linearly polarized signals, each of 500 MHz
bandwidth
and subdivides the band down to 1 MHz resolution. In each 1 MHz
piece it
measures the phase and amplitude differences between the orthogonally
polarized channels using a calibration noise source in the front
end that is common to both polarizations. It then uses those
measurements
to equalize the channel phases and amplitudes during observations.
After equalization it introduces an ideal
phase shift into
one polarization channel and forms sum and difference outputs that respond to orthogonal
circular polarizations at the input.
Digital systems offer the ability to process continuous data in real time implementing automatic data processing algorithms. Data transmitted digitally are more resistant to external interference and hence digital devices supersede analogue counterparts at least where speed and signal purity are matters of concern. With the advent of logic devices like ASICs and FPGAs, it is possible to implement many complex algorithms, which would have been impossible otherwise and they also offer the user ease of replication compared to analogue systems. For these reasons our system to produce circular polarization generates almost ideally perfect orthogonal field components in real time.
This paper acquaints the reader with the theory and derivation for obtaining instrumental phase and gain correction factors and applying them to the two received orthogonal linear polarizations to form phase and gain calibrated left hand circular (LHC) and right hand circular (RHC) polarizations. It explores limitations of system performance due to the most influential factors, which are the D-terms and receiver instabilities and explores the requirement for periodic recalibration to remove their detrimental effects on polarization purity. It describes the digital signal processing in FPGA and the experimental verification of the technique to show that good polarization purity is obtained.
2 Theoretical development
2.1 Overview of method
We measure the receiver transfer characteristics using a noise diode signal as
a calibration source, injected into the feed as pure linear polarization in a plane oriented at
to the two orthogonal linear dipoles that couple energy out of the waveguide. The noise diode injects signals into the x and y
chains that are identical, having equal amplitude, zero phase
difference, and 100% coherence with each other. These noise diode
signals during
calibration pass through the same x and y receiving chains as does the
astronomical signal later, and are sampled at IF at 1 GS/s (i.e. 500 MHz
contiguous Nyquist bandwidth). The sampled x(t) and y(t) signals are
processed in an FX correlator on the FPGA, which transforms to
frequency domain with 1 MHz channel widths, cross multiplies each
spectrum against the corresponding
spectrum and integrates for 8 s. We chose a spectral resolution of 1
MHz to allow for possibly rapidly changing channel phase differences
with frequency. The result is a phase spectrum with low thermal phase
noise that represents the phase difference between the x and y
channels due to the transfer characteristics of the receiver chains.
The phase spectrum is used during later astronomical observation for
equalizing
the (frequency-dependent) phase lengths of the x and y receiver
chains. The x and y bandpass amplitude shapes are also equalized,
using gains derived during calibration from total-power spectra of
and
accumulated during the calibration stage.
To form circular polarization from native linears during astronomical
observations, we need likewise to transform the x(t) and y(t) time series
to frequency domain in the same manner as during calibration, then
equalize the transfer characteristics by applying a phase rotation
to each frequency channel of one polarization and an amplitude scaling
to each frequency channel of both polarizations in an equalizer stage,
then simply add or subtract
(equivalent to exchanging real
and imaginary in the complex spectra), and summing to form results
that respond to the two hands of circular polarization.
2.2 Instrumental phase and gain calibration
The orthogonal time-domain field components x(t) and y(t) received by the crossed dipoles undergo unequal phase and amplitude distortions due to different frequency-dependent time delays and gains of the two receiving systems through which they pass. The phase and gain calibration aims to compensate the transfer characteristics of channel x and channel y to make them identical in x(t) and y(t), reducing instrumental artifacts to zero. This approach is already used in software for calibrating radio astronomical data though those operate on stored data rather than in real time. Our effort is to extend it to the digital domain processing sampled IF signals in real time, calibrating with fine frequency channels, to enable formation of circular polarization in real time with more accurate phase and magnitude response than the analogue techniques can achieve over broad bandwidths. We have not considered channel non-linearities and multi-path effects. Non-linearity spreads the output spectrum beyond the input spectrum by introducing new frequency components and causes amplitude distortion. Therefore, radio astronomical receivers have to be designed to be linear. In the presence of strong RFI non-linearity does occur and has to be blanked. Techniques for RFI mitigation are a sizable study in themselves and are beyond the scope of the present work. Nevertheless RFI mitigation techniques can easily be implemented in the same digital hardware. For the present development we assume linear transfer characteristics and Gaussian signal statistics. We have filtered the passband to avoid aliasing and kept signal levels in the linear regime. A linear time invariant system causes only pulse dispersion and amplitude scaling.
2.3 Phase equalization
Let us consider the noise diode signal during calibration as a
broadband source radiating Gaussian random signals continuously in
time, s(t), and we receive and sample a finite number,
,
of frames of time-domain samples each consisting of N samples spaced equally in time in two orthogonal linear polarization states, x(t) and y(t). Let the sampled time series be represented by xi(t) and yi(t) and the noise diode signal at the sample times be si(t) where
.
It is convenient to transform these time series into the frequency
domain since the transfer characteristic of the receiving system used
for calibration is frequency dependent. The Fourier transform produces
spectra, each consisting of N channels.
depends on the sampling rate,
,
the number of samples in a spectrum, N, and the total integration time,
, as
|
(1) |
Let a time-domain signal have length T0, then the corresponding frequency-domain spectrum will have channels spaced at an interval f0 of
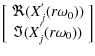
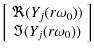
where hx(t) and hy(t) are the transfer functions of channel x and channel y, txy is the x-y propagation time difference from the dipoles to the receiver inputs (samplers for a digital receiver), and nxi(t) and nyi(t) are external unwanted signals (astronomical sources, thermal fluctuations and spurious sources). After transforming to the frequency domain these relations are
where
where K1 is the fractional sample delay caused by txy and
Substituting Eqs. (6) and (7) in Eq. (8) we obtain the product
where
where,
Let
as required for a correctly calibrated system phase prior to formation of circular polarization.
2.4 Gain equalization
The amplitudes also undergo linear distortions due to different gains
in the two channels due to different passband characteristics. To
compensate the amplitude differences, all the spectral components of
and
in the passband are scaled to one same level, chosen to be the maximum signal level,
in the passbands of
and
.
Multiplying Eq. (4) with its complex conjugate, we obtain the power spectrum
and similarly Eq. (5) yields
.
The scaling factors to equalize the magnitudes of
and
are obtained from accumulating
and
respectively for
to reduce thermal noise fluctuations in the measurement of the passband shapes and are expressed by the following two equations:
Expanding these using Eqs. (6) and (7) we find that each contains the following contributing terms for summation:
where
The first term (Eq. (17)) provides the measurement of the bandpass
shape that we seek (assuming that the noise diode produces white
noise). The second term (Eq. (18)) does not average to zero to the
extent that noise sources other than the noise diode (e.g. receiver
noise, radio sources, atmospheric emission, cosmic microwave
background, and RFI) are present. We cancel this term, provided the
corrupting source remains constant, by performing the summation in
Eqs. (15) and (16) twice, first in the presence of si(t) (noise diode switched on) and second with
si(t) = 0 (noise diode switched off) and differencing. Hence, we are left with only the first term (Eq. (17)) where
and
are the frequency-dependent amplitude scaling factors. To determine the gains
and
that scale each
and
to equalize the passband amplitudes to the same level, the following two equations are used
2.5 Windowing
A window function is derived for the Xj and Yj
spectra to truncate the possible analogue filter flanks to avoid
scaling up, by large factors, signals that have been strongly
attenuated by band-limiting filters. The window function is
conveniently obtained from the
spectrum since the Z spectrum contains the band common to both X and Y
spectra thereby providing necessary frequency shift and bandwidth
information for the window function. Spectral channels in which the
signal level
is greater than one quarter of the maximum amplitude in the
spectrum are given unit weight and all others are given zero weight
resulting in a frequency shifted rectangular function of unit
amplitude. A unit delta function is added to this since we want to pass
undisturbed the DC signal produced by the A/D converter. This window
function is applied to both Xj and Yj
spectra resulting in rectangular band shape for the frequency band that
is in common. The effect of the window function on the time-domain is
to convolve the signal with a sinc function. Since, the frequency
spectra are already band limited, the window function does not in
itself introduce any new waveform characteristics. Rather it prevents
contamination of the waveform that would arise were one to scale up, by
large factors, frequency channels that had little signal.
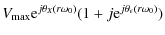
2.6 Forming circular polarization
The gains
and
,
the rotation parameters
and
,
and the window function
are applied to the spectral components
and
respectively. If
and
are the resulting vectors after calibration then
is related to
by the product of gain, window function and rotation matrix as follows
|
= |
|
|
|
(23) |
where
|
= |
|
(24) |
The windowed, phase and gain calibrated
3 Performance limitations
In this section we will discuss the implications of possible contamination of phase caused by the cross polar component or leakage of unwanted orthogonal polarization component (D-terms) and by the temporal instability of receiver transfer characteristics and their effects on polarization purity with approximate quantitative results to estimate those errors. We will also discuss the requirement of frequent recalibration due to the variations in the transfer characteristics of the receiver by observing the drifts in the most sensitive parameters, which are the channel phases. Since the gain fluctuations are much smaller than phase fluctuations, we can ignore their effects.
3.1 Effect of phase error on polarization purity
Were one to introduce an imperfect
phase
shift into one channel when forming circular polarization from
perfectly orthogonal linearly polarized channels, the output voltages
and
would contain unwanted contributions from the opposite hand of polarization
| |
(25) | ||
| (26) |
where
The larger the phase error, the greater the contribution from the
opposite hand. Consider the monochromatic case in which a linearly
polarized wave is incident normally on crossed linear dipoles with the
plane of the electric field oriented at
to the two dipoles. Then the voltages in the two dipoles are
| Vx | (27) | ||
| Vy | (28) |
After introducing an imperfect
| Vx = |
(29) |
| Vy' = |
(30) |
where
| |
(31) | ||
| (32) |
Had the
| (33) |
This result is used in Sect. 3.3 for estimating the polarization purity.
3.2 Phase stability of the analogue receiver chain
The phase and amplitude transfer characteristics of the receiver chains for the orthogonal polarization channels are known to drift with time, due primarily to temperature changes of filters and cables used in the receiver chains. Fortunately, most of that change is common to both orthogonal polarization channels as the equipment for both channels is housed in close proximity to each other, and the relative changes are small compared to the total. The effect of drift in the relative transfer characteristic is a degradation of the polarization purity, since the equalizer weights that were determined prior to an observation would no longer perfectly correct the channel differences, by the amount of the relative drift since that determination was made. This translates into a requirement that the equalizer weights be re-determined periodically to ensure that polarization impurity due to drift remains below a pre-determined level.
We have estimated how often such re-determination would need to be made by measuring the relative phase drift in some existing receiver chains at Effelsberg and the VLBA. The measurements were made using the VLBI phase calibration system (Thompson et al. 1991), which injects a pulse train in the front end and extracts them at the backend data acquisition rack or correlator, to monitor the phase length of the whole receiver system, from front end to the samplers.
The measurements show that indeed the phase changes in the
orthogonally-polarized channels track each other well (Fig. 1
top and
middle) and there are only occasional outliers, most likely related to
phase-locked loop local oscillator used in the analogue base-band
converters, which would not be present in a digital system. The drift
in the relative phase is conveniently quantified
using a structure function analysis, which converts the phase
difference time series into the rms phase change as a function of
time-scale (Fig. 1 bottom). The result is that the rms phase difference due
to drift is in the range
to
on time-scales of
100 s to 9000 s.
3.3 Expected polarization purity
The polarization purity to be expected from polarization conversion
performed at IF can be derived by combining the two results from Sects. 3.1 and 3.2 -
the sensitivity of polarization leakage to phase errors and the typical phase errors in existing
analogue receiver chains (
to
rms).
|
Figure 1:
Top: calibration system phase vs. time for a single polarization
channel for three different receivers at Effelsberg, showing
phase changes of typically
|
| Open with DEXTER | |
The resulting D term is 0.006 (rms) for a
rms phase error,
for which one must re-calibrate the equalizer every few minutes,
rising to 0.025 (rms) for a
rms phase error, which one
would obtain were one to calibrate the equalizer once and leave it fixed for many hours.
These are smaller than the leakage D-terms measured for existing radio
telescopes, which are commonly 0.05 to 0.15.
However, the leakage in existing receivers is constant over long periods, since it occurs primarily due to tolerances in the manufacture of the analogue polarizers, and so can be calibrated using observations of astronomical polarization calibrators. That calibration reduces the effect of the leakage on the resulting polarization images by a factor of ten typically, and one typically sees residual polarization artifacts that are 0.005 to 0.015 rms times the peak flux density in the images. These values are comparable to those expected to be delivered from the digital polarization conversion without use of astronomical D-term calibration.
However, the D-term from IF polarization conversion, though small, is expected to drift with time between equalizer re-calibrations due to drift in the relative phase of the orthogonal polarization receiver channels. Were one to want to improve on this by using astronomical calibration of the residual polarization leakage on time-scales between the equalizer re-calibration, then one must be able to derive the D-term from a snapshot observation. Such an algorithm is available and requires the use of an unpolarized calibrator source. However, the changing D-term requires that the post-correlation analysis software be able to handle time-varying D-terms.
|
Figure 2: Logic block for conversion from linear to circular polarization. |
| Open with DEXTER | |
This will prevent the use of astronomical calibration of the residual polarization leakage, since the D-term calibration in use assume that the leakage is constant on a 12 h time-scale.
4 FPGA implementation details
Here we will describe the structural and functional details of the FPGA based circular polarizer (Fig. 2) for converting the two orthogonal input linear polarizations to the two circular polarization components in real time. The method of digital signal processing is based on the theory presented in Sect. 2. The sampled time domain signals, x and y are fed, at a rate of 1024 MS/s with 10 bits per sample representing positive integers, to the following logic elements.
1. Clock rate reduction logic. Since the sampled time series at 1024 MS/s is too fast for processing, serial-to-parallel conversion of the streaming data has been implemented with a factor-eight fanout, generating eight parallel sample streams clocked at 128 MHz. This block was developed in an earlier DBBC (digital base-band converter) project. The front-end of the system operates with 1024 MHz sampling rate and the IF band is 512 MHz. The samples taken at 1024 MHz in the AD device are transferred in progressive steps in parallel, to reduce the clock rate, still maintaining a formal sampling clock of 1024 MHz. So the data are demultiplexed to obtain from 8-bit samples at 1024 MHz to 16-bit at 512 MHz, 32-bit at 256 MHz, 64-bit at 128 MHz (8 samples at 128 MHz). This system is already commercially available (Tuccari 2004).
2. Serial frame generator. This is central block for enabling serial processing of real time data in parallel working at 128 MHz clock rate. To feed the eight parallel streaming FFT blocks with frames of 1024 real time-domain samples, intermediate logic takes in eight samples in parallel at every clock edge and outputs them to one of eight buffers, eight samples in parallel at each clock edge. Once a complete frame of 1024 samples have been loaded into the buffer, the next buffer is selected to receive the next 1024 samples. The first buffer is read out serially into its corresponding FFT block at one eighth of the rate (128 MHz) at which is was filled, starting at the next clock pulse after writing the first eight samples is complete, such that serial readout and parallel writing operations on the buffer occur simultaneously. When the register is ready to read out the last sample of the first data frame, the first eight samples of frame number nine is ready for writing and the two operations occur simultaneously at the same clock pulse. This continues and each register sends out data serially at a rate of 128 MHz. The length of the frame is equal to twice the number of spectral channels required for later operations.
3. FFT. The serial frame generator for the x polarization and for the y polarization each produce eight output lines to feed eight parallel FFT blocks that run continuously and independently of each other, each processing successive frames of data to keep up with the real-time sampling rate. The FFT is a complex transform, but the data are purely real, and so we used the relation for the FFT of two real functions simultaneously, to save a factor of two in device resources by feeding the x and y polarization data to the real and imaginary channels of each FFT engine input. The streaming pipelined FFT is generated conveniently using a Xilinx IP core. It is configured with 11 bits at the input and requires two's complement representation of the positive integers from the A/D converter. The real and imaginary terms of the X and Y spectra are retrieved from the FFT real and imaginary output channels by using a decoder at the output of each FFT. The method is equivalent to performing separate FFTs of the two real functions, but consumes half the space by performing them simultaneously in one transform. The FFT block outputs a 1024-point complex spectrum every 10-6 s in each polarization, keeping up with the real-time 1024 MS/s sample rate.
4. Power spectra accumulator. To calibrate the equalizer weights, we
used total-power spectrum accumulators when determining the amplitude
scaling factors needed for bandpass calibration and we used
cross-correlation and accumulation to determine the phase difference
between the X and Y
polarizations in each frequency channel. To form the power spectra,
each spectrum from each FFT (after decoding) is squared, forming
and
,
and those are accumulated for nearly 8.4 s, which is determined by
the goal of having thermal noise fluctuations that contribute at most
rms phase error during equalization. The accumulator is dimensioned
with enough bits to hold the accumulation result without overflow. To
measure the (frequency-dependent) phase difference between the X and Y polarizations, the cross-power spectra
Z = XY* are formed and the real and imaginary terms,
and
,
are also accumulated for nearly 8.4 s. Each of the four quantities (
,
,
and
)
are accumulated in eight pairs of accumulators, one following each FFT
(after decoding), with each accumulator being paired to hold the noise
diode on and off state results separately. After accumulation, the
real-time processing of the calibration signal is stopped and
calculations for the noise diode on and off states are performed
sequentially on the accumulated results from all eight FFT engines.
Differences are formed between the accumulators for the noise diode on
and off states and the eight differences are summed to obtain the final
integrated spectra, from which the equalizer gain and phase weights are
calculated in the next block.
5. Equalization parameters. The phase and gain equalization parameters are calculated using Eqs. (12), (13) and (19), (20) respectively. The division and square root operations are implemented using the Xilinx floating point IP core. The floating point operations are performed with a clock frequency of 64 MHz due to the frequency limitations of the IP core. The resulting phase and gain calibration parameters are latched for real-time equalization of the X and Y data streams during subsequent observations.
|
Figure 3: Experimental setup in anechoic chamber to measure polarization purity. |
| Open with DEXTER | |
6. Window Function. A window function described in Sect. 2.5 is determined and latched along with the equalization parameters.
7. Synchronization. During observations the decoded FFT output samples are read out serially from the decoder and the corresponding gain, phase correction factors, and the window function are also read out serially from their respective latches and synchronization is required to ensure that the frequency channels of the spectrum and the equalization parameters are aligned. The synchronized values are passed to the next stage for phase and gain corrections.
8. Equalization. Phase and gain corrections are applied to each spectral channel of the outputs after synchronization in the equalizer block, which implements Eqs. (23) and (24).
9. Formation of circular polarization. After equalization X and
phase shifted Y are added to form the LHC and RHC polarizations. The
phase shifts of Y are implemented by exchanging the real and imaginary components of each spectral channel in the Y spectrum with a sign inversion of the real component for
phase shift and of the imaginary component for
phase shift. The number of bits of each spectral channel in each output power spectrum is 51.
The above logic blocks are tested separately since the design is too big to fit one FPGA chip. The design (Fig. 2) is also broken in parts to fit the commercially available DBBC boards and a practical implementation will be carried out in another future project by stacking DBBC boards each containing a part of the broken design. The simplest configuration requires fourteen such boards to keep the required precision and since DBBC has defined number of input/output pins. Since the DBBC already converts 1GS/s to 8 samples at 128 MHz and the logic blocks are tested to work at 128 MHz, we are certain that the developed circular polarizer will show expected performance in real time. The cost of implementation in the DBBC is around 50 000 euros and in custom designed boards is around 30 000 euros.
|
Figure 4: Power spectrum of the broad-band noise measured at the input to the directional coupler by the spectrum analyzer shown in Fig. 3. The band was shaped using an anti-aliasing filter to ensure that the power level was low below 1000 MHz and above 1500 MHz to avoid aliasing of power from outside the third Nyquist zone during the later digital down conversion. |
| Open with DEXTER | |
|
Figure 5:
Equalizer weights determined during calibration of the equalizer on the noise diode injected at
|
| Open with DEXTER | |
5 Verification of polarization purity
We performed the following experiment to simulate the developed circular polarizer to quantify the polarization purity obtained by this digital technique. The experiment was performed in an anechoic chamber by coupling linearly polarized broad-band noise into a circular waveguide and receiving with crossed linear dipoles at the end of the waveguide. The calibration coupler, which is responsible for polarization purity was tuned for equal amplitude and phase. The cross coupling was estimated to be better than -33.6 dB while doing the setup. The experimental setup is shown in Fig. 3.
The spectrum of the broad-band noise that was coupled into the waveguide is shown in Fig. 4. The noise power spanned from 1160 MHz to 1462 MHz (6 dB down from peak), representing a fractional bandwidth of 23%. The power level at the edges of the Nyquist band, at 1000 MHz and 1500 MHz, were 37 dB and 30 dB below the peak in the band, and so very little power was aliased from outside the band. After receiving this signal with the crossed dipoles, the signal was under-sampled at a sample rate of 1000 MS/s by a digital oscilloscope, causing digital down conversion to baseband. Since the sample rate was slightly less than 1024 MS/s used by the design, the frequency channel width in this experiment was 0.976 MHz instead of 1 MHz. The input voltage range of -250 mV to +250 mV was translated to 0 to 1024 effort was taken to match the complex gain or path length in the two channels from the receiving dipoles to the sampling oscilloscope. Thus, the RF band was translated to 160 MHz to 462 MHz, representing a fractional bandwidth of 97% that was presented to the polarization converter.
|
Figure 6: Power spectral densities for LHC and RHC for a single position angle. |
| Open with DEXTER | |
1. Measurement description. The outputs of the crossed linear receiving dipoles were sampled with a digital storage oscilloscope for 4 ms and saved to file for later processing by the design. A rotating waveguide joint allowed us to rotate the plane of linear polarization with respect to the crossed receiving dipoles. Any ellipticity of the resulting circular polarization would show up as a change in the power in the circular polarization as the linear polarization is rotated (see Sect. 6.2).
2. Equalizer calibration. For equalizer calibration, the linear polarization was aligned at
to
the two dipoles by connecting the dipole outputs to a two-channel power
meter and rotated until equal power was measured in both channels. The
resulting powers were +7.51 dBm and +7.50 dBm and drifted by
dB during the measurement, corresponding to a polarization rotational position angle uncertainty of
.
For the noise diode off state, the data samples were simply set to zero
rather than being measured, since the setup in Fig. 3
was well shielded from RFI, in which case measuring with the noise
diode off gives almost same results as setting the off-state samples to
zero (verified in a previous experiment). The signals were sampled by
the digital oscilloscope with the noise diode on and processed by the
design to obtain the equalizer amplitude and phase weights. These were
loaded into the equalizer for calibration of subsequent measurements,
and are shown in Fig. 5. The power spectrum in Fig. 5 (bottom) differs from the spectrum in Fig. 4
since the transfer characteristics of the sampled spectrum are modified
by the frequency response of each component through which the signal is
transferred namely the directional coupler, circular waveguide, dipoles
and the sampling oscilloscope.
3. Polarization purity measurement. For polarization purity
measurement, the plane of input linear polarization was rotated to five
positions with respect to the receiving dipoles and the received
signals from both dipoles were sampled in each position. To adjust the
rotational position angle accurately, the plane of input linear
polarization was rotated to either minimize the power in one of the
receiving dipoles (
)
or to obtain equal power in both dipoles (
,
).
The time elapsed between calibrating the equalizer and making all the
measurements for determining the polarization purity was some 2 h.
During this time, some drift in components might have occurred, but
nevertheless good polarization purity was obtained.
4. Data processing to form circular polarization. We processed the data by running the design in software logic simulation, using ModelSim SE on suse 10.3 Linux machines having 16 GB of RAM and 2.7 GHz clock speed. Processing of 4 ms of data from each position required 4 days of elapsed time on a single computer so we processed for each position 20 sets of 1/20th of the data in parallel, which required one day.
6 Results
The resulting power spectra in LHC and RHC are shown in Fig. 6
for one of the five position angles of the input linear polarization on
top of each other. These show that the gain equalization flattened the
spectra and that the window function truncated the spectra where the
filters roll off. The total power is found to change very little with
rotation of the input linear polarization, signaling a high purity
circular polarization. To quantify the purity, we measured the total
power in LHC and RHC as a function of rotation angle, and show this in
Fig. 7. This shows power level
changes of around 1 part in 200 peak-to-peak over all position angles
as a function of rotation angle. We obtained an ellipticity of 0.9971
and 0.9976, axial ratio of 1.0029 and 1.0024 cross-polar response of
-24.975 dB and -24.979 dB and D-term of 0.05767 and .05764 for LHC and
RHC polarizations respectively. Since the cross coupling of
-33.6 dB caused by the directional coupler is better than the
obtained cross-polar response, the limiting factor is most likely the
repeatability of the connections between matings. The insertion loss is
unlikely to be repeatable between matings to -34 dB that would
cause the calibration signal to be the limiting factor. The uncertainty
on the polarization purity measurement has contributions from thermal
noise, mechanical tolerance in the rotating waveguide joint, and in the
repeatability of RF connections that we had to disconnect and reconnect
during the measurement for connecting alternately the power meter and
the oscilloscope. These can be estimated from the small changes of the
power in the circular polarization formed when the input linear
polarization was at
and at
.
Those two positions are symmetric and the resulting powers should be
equal, regardless of the ellipticity of the transmitting or the
receiving antenna. We found fractional changes of 0.001 in the LHC
power and 0.0004 in the RHC power between these two position angles.
These are comparable to the peak power variations seen as we rotated
the input linear polarization, and so the polarization leakage
measurement is limited by mechanical tolerances in the apparatus. The
thermal noise contribution was minor - the fractional error due to
thermal noise fluctuations in the total power measurement was
only 0.0006.
|
Figure 7: Mean output powers in LHC and RHC as a function of the rotational position angle of the input linear polarization. |
| Open with DEXTER | |
Discussion
A small systematic offset is seen between LHC and RHC powers (Fig. 6). A small error in the magnitudes of the rotation matrix elements will cause the phase rotation of Y
to introduce an offset between the LHC and the RHC powers. This can
happen since truncation error can cause small differences in the
obtained phase difference and the actual phase difference. The
following equations show the dependence of the offset on the rotation
angle error
| |
= | (34) | |
| = | |||
| - | (35) | ||
| = | (36) |
Therefore,
| (37) |
Similarly,
| |
= | (38) | |
| = | (39) | ||
| = | (40) |
Hence, the offset between the two power spectra is given by
|
(41) |
for a single channel.
|
Figure 8: Top: fractional deviations of LHC and RHC powers from their mean values across the band of interest. The spikes at 160 MHz in the two spectra (Fig. 6) are excluded. Bottom: same as top, but zoomed in to show the trends of the deviations in the two power spectra. |
| Open with DEXTER | |
The RHC power is almost flat across band but LHC showed a small change
with frequency.
To quantify this variation, we took equally spaced points from each
power spectrum in the band of interest and plotted the deviation of
those points from the mean of the respective power spectrum.
Figure 8
shows the deviation of LHC and RHC power spectra from their mean
values. The plots are derived from LHC and RHC power spectra obtained
by applying the equalization parameters to the same data samples from
which the equalization parameters are obtained to show the deviations
caused by bit truncation. From around 300 MHz onwards (Fig. 8
bottom) the two polarizations deviate differently with increasing
frequency. This difference can be explained in terms of truncation of
numerical precision. We have truncated bits at stages before and after
formation of LHC and RHC powers, determined by the input signal levels
and by the aim to keep phase errors <
.
The truncation error will cause offsets in the two circular power
spectra shown in Eqs. (37) and (40), to deviate unequally
from their mean and hence, the deviation can be more in one than the
other. We verified in simulations that the offsets and the distortions
seen in LHC and RHC power spectra increases in proportion to the number
of bits discarded. However, the effects are small and we nevertheless
obtained good polarization purity.
The equalizer applies phase correction on 1 MHz channel spacing, so we must ensure that when the VLBI correlator later subdivides the spectrum into finer frequency channels that the phase equalization is smoothly interpolated and does not result in a sawtooth with 1 MHz spacing. We performed a numerical simulation that confirmed that when we applied equalizer weights at 1 MHz spacings, transformed back to time domain, then transformed to frequency domain with 0.5 MHz spacing (by adjoining two 1024 point frames of time domain data) then the intermediate points at n + 0.5 MHz, where n is an integer were seen also to have been phase corrected by the equalizer phase.
7 Conclusion
Though this technique was demonstrated using logic simulator in software, it has been implemented using Xilinx software generating firmware that can be loaded into FPGAs. An implementation on the digital baseband converter (Tuccari 2008) is in preparation, which will make this technique available for use at many radio observatories for VLBI, and with minor extension, for measuring Stokes parameters. A further extension offers the prospect of cancelling the remaining (already low) cross polarization response (D-term). The idea is that one can use adaptive cancellation by forming a linear combination of the two polarizations and adapting the coefficients of the filter to minimize the output power. The result should be (almost) perfect polarization purity in circular polarization over large fractional bandwidths. This could enable the sensitive search for circular polarization in active galactic nuclei.
Later measurements at the telescope should confirm that excellent polarization purity is achieved in real applications, as it was in the anechoic chamber. One can also confirm the stability of the transfer characteristics and decide on a re-calibration interval for operational use. One can also characterize the typical phase response of receivers and confirm that the choice of 1 MHz frequency spacing is well matched to the existing systems. The effect of RFI on the system can be explored, to give recommendations on tolerable RFI levels and required performance of mitigation strategies. The trend in next-generation receivers for radio astronomy is to move the samplers as close as possible to the front end, which will benefit this system of polarization conversion since the time variable path length changes due to analogue cables and filters and amplifiers will be much reduced, yielding even better polarization purity.
AcknowledgementsWe gratefully acknowledge Xilinx for their generous support, through their donation of FPGAs for this project and for providing prompt help with software issues as they arose. Koyel Das, as a member of the International Max Planck Research School for Astronomy and Astrophysics at the Universities of Bonn and Cologne, thankfully acknowledges IMPRS for funding her Ph.D. projects.
References
- Chen, M. H., & Tsandoulas, G. N. 1973, IEEE Transactions on Antennas and Propagation, 389 [NASA ADS] [CrossRef] [Google Scholar]
- Cooley, J. W., & Tukey, J. W. 1965, Mathematics of Computation, 19, 297 [CrossRef] [Google Scholar]
- Ruiz-Cruz, J. A., Montejo-Garai, J. R., Rebollar, J. M., et al. 2006, IEEE MTT-S International Microwave Symposium Digest, 1173 [CrossRef] [Google Scholar]
- Thompson, A. R., & Bagri, D. S. 1991, ASP, 55 [Google Scholar]
- Tuccari, G. 2004, ASP Conf. Ser., 306, 177 [NASA ADS] [Google Scholar]
- Tuccari, G. 2008, Proc. 5th IVS General Assembly, St Petersberg [Google Scholar]
Footnotes
- ...

- We have not considered any frequency down conversion in Eqs.
(6) and (7). A down conversion will cause a frequency shift in
by an amount
where
is the mixing frequency. Then the samples of
in Eqs. (6) and (7) or
will represent the samples of
.
The equations will remain unchanged except for the initial phase, which will now be
so that the initial phase is unaffected by down conversion.
All Figures
|
Figure 1:
Top: calibration system phase vs. time for a single polarization
channel for three different receivers at Effelsberg, showing
phase changes of typically
|
| Open with DEXTER | |
| In the text | |
|
Figure 2: Logic block for conversion from linear to circular polarization. |
| Open with DEXTER | |
| In the text | |
|
Figure 3: Experimental setup in anechoic chamber to measure polarization purity. |
| Open with DEXTER | |
| In the text | |
|
Figure 4: Power spectrum of the broad-band noise measured at the input to the directional coupler by the spectrum analyzer shown in Fig. 3. The band was shaped using an anti-aliasing filter to ensure that the power level was low below 1000 MHz and above 1500 MHz to avoid aliasing of power from outside the third Nyquist zone during the later digital down conversion. |
| Open with DEXTER | |
| In the text | |
|
Figure 5:
Equalizer weights determined during calibration of the equalizer on the noise diode injected at
|
| Open with DEXTER | |
| In the text | |
|
Figure 6: Power spectral densities for LHC and RHC for a single position angle. |
| Open with DEXTER | |
| In the text | |
|
Figure 7: Mean output powers in LHC and RHC as a function of the rotational position angle of the input linear polarization. |
| Open with DEXTER | |
| In the text | |
|
Figure 8: Top: fractional deviations of LHC and RHC powers from their mean values across the band of interest. The spikes at 160 MHz in the two spectra (Fig. 6) are excluded. Bottom: same as top, but zoomed in to show the trends of the deviations in the two power spectra. |
| Open with DEXTER | |
| In the text | |
Copyright ESO 2010
Current usage metrics show cumulative count of Article Views (full-text article views including HTML views, PDF and ePub downloads, according to the available data) and Abstracts Views on Vision4Press platform.
Data correspond to usage on the plateform after 2015. The current usage metrics is available 48-96 hours after online publication and is updated daily on week days.
Initial download of the metrics may take a while.
![\begin{figure}
\par\includegraphics[width=8.8cm,clip]{13212fg1.eps}
\end{figure}](/articles/aa/full_html/2010/01/aa13212-09/Timg156.png)
![\begin{figure}
\par\includegraphics[width=17.5cm, clip]{13212fg2.eps}
\end{figure}](/articles/aa/full_html/2010/01/aa13212-09/Timg157.png)
![\begin{figure}
\par\includegraphics[width=9cm,clip]{13212fg3.eps}
\end{figure}](/articles/aa/full_html/2010/01/aa13212-09/Timg162.png)
![\begin{figure}
\par\includegraphics[width=9cm,clip]{13212fg4.eps}
\end{figure}](/articles/aa/full_html/2010/01/aa13212-09/Timg165.png)
![\begin{figure}
\par\includegraphics[width=8.2cm,clip]{13212fg5.eps}
\end{figure}](/articles/aa/full_html/2010/01/aa13212-09/Timg166.png)
![\begin{figure}
\par\includegraphics[width=9cm,clip]{13212fg6.eps}
\end{figure}](/articles/aa/full_html/2010/01/aa13212-09/Timg167.png)
![\begin{figure}
\par\includegraphics[width=9cm,clip]{13212fg7.eps}
\end{figure}](/articles/aa/full_html/2010/01/aa13212-09/Timg172.png)
![\begin{figure}
\par\includegraphics[width=9cm,clip]{13212fg8.eps}
\end{figure}](/articles/aa/full_html/2010/01/aa13212-09/Timg186.png)