| Issue |
A&A
Volume 510, February 2010
|
|
|---|---|---|
| Article Number | A78 | |
| Number of page(s) | 7 | |
| Section | Galactic structure, stellar clusters, and populations | |
| DOI | https://doi.org/10.1051/0004-6361/200912886 | |
| Published online | 16 February 2010 | |
Cluster radius and sampling radius in the determination of cluster membership probabilities
N. Sánchez - B. Vicente - E. J. Alfaro
Instituto de Astrofísica de Andalucía, CSIC, Apdo. 3004, 18080 Granada, Spain
Received 14 July 2009 / Accepted 24 November 2009
Abstract
We analyze the dependence of the membership probabilities
obtained from kinematical variables on the radius of the field of view around open clusters (the sampling radius,
). From simulated data, we show that optimal discrimination between cluster members and non-members
is achieved when the sampling radius is very close to the cluster radius. At higher
values, more field stars tend to be erroneously assigned as cluster
members. From real data of two open clusters (NGC 2323 and
NGC 2311), we infer that the number of identified cluster
members always increases with increasing
.
However, there is a threshold value
above which the identified cluster
members are severely contaminated by field stars and the effectiveness
of membership determination is relatively small. This optimal sampling
radius is
14 arcmin for NGC 2323 and
13 arcmin
for NGC 2311. We discuss the reasons for this behavior and
the relationship between cluster radius and optimal sampling radius. We
suggest that, independently of the method used to estimate membership
probabilities, several tests using different sampling radius should be
performed to evaluate possible biases.
Key words: methods: data analysis - open clusters and associations: general - open clusters and associations: individual: NGC 2311 - open clusters and associations: individual: NGC 2323
1 Introduction
Large astrometric catalogues derived from surveys covering very wide areas of the sky are allowing the systematic searching of new star systems (see, for example, Myullyari et al. 2003; López-Corredoira et al. 1998; Hoogerwerf & Aguilar 1999; Caballero & Dinis 2008; Kazakevich & Orlov 2002; Zhao et al. 2009, and references therein). The searching process is based on the detection of clearly defined structures in subsets of phase space. Both spatial density peaks and proper motion peaks are indicative of star clusters; peaks detectable in only the proper motion distributions suggest the existence of moving groups, whereas more spread-out and less dense velocity-position correlated structures could be associated with stellar streams. Once these structures have been detected, the next step is to identify possible members of the star system. In the particular case of open clusters, the most often used procedure for selecting possible cluster members is the algorithm designed by Sanders (1971). This algorithm is based on a former model proposed by Vasilevskis et al. (1958) for the proper motion distribution. The model assumes that cluster members and field stars are distributed according to circular and elliptical bivariate normal distributions, respectively. The Sanders' algorithm, or some variation or refinement of it, has been and is still being widely used to estimate cluster memberships either as the only method or as part of a more complete treatment that includes, for example, spatial and/or photometric criteria. Some representative references are Wu et al. (2002), Jilinski et al. (2003), Balaguer-Núñez et al. (2004), Dias et al. (2006), Kraus & Hillenbrand (2007), and Wiramihardja et al. (2009).
With the advent of large catalogues and databases available via internet and future surveys such as the forthcoming Gaia mission of ESA, the interest in developing and applying fully automated techniques is of increasing interest among the astronomical community. However, special care must be taken to avoid obtaining biased results. In this work, we show that the results obtained when using the Sanders' algorithm depend significantly on the choice of the size of the field of view surrounding the cluster. So, once a possible open cluster is detected, it is natural to ask which area of the sky should be sampled to obtain the most reliable membership determinations. It is equally important to ask about the robustness of used methodology, i.e., how the solution changes when the sampled area is varied? Here we explore these subjects by using both simulated and real data. In Sect. 2, we briefly present the method used to determine memberships and describe the simulations that we performed to analyze the expected behavior. The results of applying the Sanders' algorithm on the simulated data are discussed in Sect. 3. After this, in Sect. 4 we use real astrometric data of two open clusters (NGC 2323 and NGC 2311) to evaluate the performance of the algorithm. We discuss strategies to estimate the optimal sampling radius, i.e., the maximum radius beyond which the identified cluster members are expected to be severely contaminated by field stars. The main results of the present work are summarized in Sect. 5.
2 Description of the method
2.1 Membership determination
The key point of the membership discrimination method
is the assumption that the distribution of observed
proper motions (
,
)
can be described
by means of two bivariate normal distributions,
one circular for the cluster and one elliptical
for the field (Vasilevskis et al. 1958). We define
and
to be the cluster and field probability
density functions, respectively. Then,
|
(1) |
and
| |
= |
|
(2) |
|
where
|
(3) |
|
(4) |
2.2 Simulations
We consider a cluster with a given radius
.
We
define ``cluster radius'' as the radius of the smallest
circle that can completely enclose its stars. In true
situations,
is an unknown quantity that has to be
estimated a posteriori, but here its value is known and
remains constant throughout each simulation. The total
number of stars belonging to the cluster is denoted by
and the number of field stars lying exactly
within the same sky area of the cluster is
.
The independent variable is the radius of the field
encircling the cluster. This radius might represent
the radius of the field in which the observations are
made or the field around the cluster extracted from
an astrometric catalogue. We call this variable
the sampling radius
,
which can be larger or
smaller than the cluster radius
.
The numbers of cluster stars and field stars to
be simulated are represented by
and
,
respectively. Obviously, the number
of clusters stars and field stars
within the field of view depend on the
size of this field, that is, both
and
are functions of
.
If the
field stars are distributed nearly uniformly in space,
then
should increase as the sampling
radius increases as
The rate at which
where the index
Negative
To perform the simulations, we distribute
field stars and
cluster stars according
to bivariate Gaussian distributions in the proper motion
space
.
The routine ``gasdev'' from the Numerical
Recipes package (Press et al. 1992) is used to generate
normally distributed random numbers. The fields are centered
on (0,0) with standard deviations of
.
The tests performed using
elliptical (rather than circular) distributions for the
field stars yielded essentially the same results and
trends. The clusters are centered on
and have standard deviations
.
Thus, for a given sampling radius
and
according to Eq. (5), we randomly generate
field stars that follow a bivariate normal
distribution in the proper motion space. For the cluster,
we generate
stars according to
Eq. (7) when
,
and we generate
stars when
.
The three free parameters,
excluding those describing the Gaussians, are
the total number of stars in the cluster (
),
the number of field stars within the cluster
area (
), and the cluster star density
profile (
). For each set of parameters, we
performed 100 simulations and calculated both
the average values of the studied quantities and their
corresponding standard deviations.
3 Results from simulations
For each simulation, we calculated cluster membership probabilities using the method described in Sect. 2.1. We performed several simulations by varying the input parameters (the number of stars in both the cluster and the field, the centroid distance in the proper motion space, and standard deviations) within reasonable ranges. Apart from minor differences, such as the error bars being larger when cluster and field distributions are more similar, all the results and trends remained essentially identical to those described in this section. We begin by showing how the algorithm works. In Fig. 1, we
|
Figure 1:
Proper motion for the stars of a random simulation
with
|
| Open with DEXTER | |
What would happen if we select a larger field? To
address this point, we calculated membership probabilities
as a function of the sampling radius. Here we consider
as cluster members stars with membership probabilities
0.5 in a Bayesian sense.
We performed several tests of different
selection criteria. As expected, the number of assigned
members depends on the selection criterion used, although
the main results and trends presented here remain unchanged. Figure 2 shows
| Figure 2:
Calculated number of field and cluster stars
as a function of the sampling radius in units of the cluster radius,
|
|
| Open with DEXTER | |
| Figure 3: Calculated fraction of cluster stars as a function of the sampling radius for the same simulations as in Fig. 2. The real (simulated) values are shown by dashed lines. |
|
| Open with DEXTER | |
Figures 2 and 3 show the number of
stars classified as members, although we do not know whether this
classification is indeed reliable. To quantify
the correctness of the result, we define the matching fraction
of the cluster
to be the net proportion of cluster stars
that are well classified. If
is the total number
of cluster stars correctly classified as members minus the number
of cluster stars incorrectly classified as non-members, then
.
The value of
can be a negative number if the number of misclassifications is higher than the number of
correct classifications and
is exactly 1 only when
the algorithm classifies correctly all the stars of the
cluster. In Fig. 4, we
|
Figure 4: Matching fraction of the cluster (see text) as a function of the sampling radius for the same simulations as in Fig. 2. The error bars are of the order of the symbol sizes but are not shown for clarity. |
| Open with DEXTER | |
4 Results using real data
We use the CdC-SF Catalogue (Vicente et al. 2010), an astrometric
catalogue with a mean precision in proper motion of
2.0 mas/yr (1.2 mas/yr for reliable measurements,
typically for stars with V < 14). Given
the position of a known open cluster, we extract circular
fields of varying radius centered on it and then we calculate
membership probabilities by using the same algorithm as in
Sect. 3. Here we analyze two open clusters
that are included in the area covered by
this catalogue: NGC 2323 (M 50) and NGC 2311.
To minimize the influence of
possible outliers on our results, we restrict the sample
to
mas/yr. The number of probable members
,
i.e., stars with membership probabilities higher than 0.5,
is shown in Fig. 5 as
|
Figure 5:
Number of cluster stars |
| Open with DEXTER | |
|
Figure 6: Fraction of cluster stars as a function of the sampling radius for NGC 2323 (squares connected by lines) and NGC 2311 (circles connected by lines). Vertical arrows indicate the optimal sampling radii (see text). |
| Open with DEXTER | |
The main reason behind the behavior observed in Fig. 6 is the disagreement between the assumed and the ``true'' underlying distributions of proper motion of field stars. A circular normal bivariate function is a good representation of the cluster probability density function (PDF), the standard deviation being the result of observational errors that prevent the intrinsic velocity dispersion of the cluster from being completely resolved. However, it is known that an elliptical normal bivariate function is not always the most reliable model for the field PDF (see discussions on this subject in Cabrera-Caño & Alfaro 1990; Balaguer-Núñez et al. 2004; Uribe & Brieva 1994; Sánchez & Alfaro 2009; Griv et al. 2009). The combination of several factors, such as galactic differential rotation or peculiar motions, may affect the field star distribution, which usually tends to exhibit non-Gaussian tails. Non-parametric models, which make no a priori assumptions about the cluster or field star distributions, were introduced and used to overcome this problem (cf. Cabrera-Caño & Alfaro 1990; Chen et al. 1997). We note that both the classical parametric and non-parametric methods agree reasonably well with each other only for nearly Gaussian field distributions (see Fig. 5 in Sánchez & Alfaro 2009). When the number of field stars increases and the algorithm tries to fit a Gaussian function to the PDF, the fit tends to produce a wider and flatter function. As a consequence, the membership probabilities (defined as the ratio of the cluster to the total proper motion distribution function) increases and the number of assigned members therefore also increases. This effect is magnified when the cluster distribution becomes ``contaminated'' by many field stars, because the standard deviation of the cluster then tends to increase with the consequent increase in the number of spurious members. The standard deviations estimated for the two clusters being studied are shown in Fig. 7.
|
Figure 7: Estimated standard deviations as a function of the sampling radius for the clusters NGC 2323 (squares connected by lines) and NGC 2311 (circles connected by lines). The bars indicate the uncertainties obtained from bootstrapping. |
| Open with DEXTER | |
4.1 Effectiveness of membership determination
It is not possible in practice to quantify the degree of
correlation between identified and true cluster members,
such as the matching fraction in Fig. 4.
Instead, we can use the concept of effectiveness of
membership determination, which is defined to
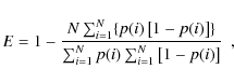
be (Wu et al. 2002; Tian et al. 1998)
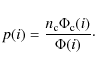
where p(i) is the membership probability of the ith star and N is the sample size. This index measures the effectiveness of the membership determination by measuring the separation between field and cluster populations in the probability histogram. The higher the index E, the more effective the membership determination. The maximum E value is obtained when there are two perfectly separated populations of
|
Figure 8: Effectiveness of membership determination (see Eq. (8)) as a function of the sampling radius for the open cluster NGC 2323 (open squares connected by solid lines) and for simulations using parameter values corresponding to those obtained for NGC 2323 (dashed lines). |
| Open with DEXTER | |
4.2 Cluster radius and optimal sampling radius
When using only kinematical criteria, we propose that the
sample size can substantially alter the results obtained
(the memberships and the remaining properties
derived from there). Thus, the strategy of
choosing a field large enough to be sure of
covering more than the entire cluster must be
performed carefully, especially in dense
star fields. According to our simulations
(Sect. 3), the most robust membership
estimation is achieved when
.
This would seem an obvious result, given that
for
the cluster is subsampled,
whereas for
the probability of
contamination by field stars is increased.
This illustrates that it is important to
know the cluster radius reliably before
estimating memberships.
It is difficult to determine precisely the radius
of a cluster because the definition of radius is
ambiguous itself, since star clusters have no clearly
defined natural boundaries.
In this work, we have used the usual
definition of
,
which is
the radius of the circle containing
all the cluster members.
Most ``geometric'' definitions
tend to overestimate the true size,
especially for irregularly shaped
clusters (Schmeja & Klessen 2006).
But this is not the main problem, which is instead
that the independent estimations
of cluster radii available in the literature
usually differ significantly.
Angular sizes listed in
catalogues as Webda
were compiled from
older references (e.g., Lynga 1987)
in which most of the apparent diameters
were estimated from visual inspection.
According to Webda, for NGC 2323
arcmin, whereas Sharma et al. (2006) estimate
arcmin.
As mentioned above, it is usual practice
to choose a field larger than the apparent
area covered by the cluster (taken from
the literature) to estimate membership
probabilities. However, at least when applying
the Sanders' method, assigned members will be
spread throughout the selected area
because of contamination by field
stars. It is probably not coincidental
that this is true, for example,
for probable members in the Dias
catalogue (Dias et al. 2002). How reliable are
memberships
derived from proper motions? It depends
on the ``true''
values. Thus, again,
a reliable assessment of membership should use
some robust estimation of the radius.
A commonly used procedure for determining (or defining) the cluster radius is based on the analysis of the projected radial density profile. Usually, some particular analytical function (for example, a King-like model) is fitted to the density profile and the cluster radius is extracted from this fit. A systematic determination of cluster sizes based on objective and uniform estimations of radial density profiles was performed by Kharchenko et al. (2004). One limitation of this method is the sensitivity of the fit to small variations in the distribution of stars, especially for poorly populated open clusters. The most reliable fits are obtained by using only cluster members, but we are then affected again by the problem of membership determination. As an example, we consider Fig. 9, which
|
Figure 9:
Radial density profiles for the cluster
NGC 2323 calculated for the cases
|
| Open with DEXTER | |
Obviously, any reliable estimation of the
cluster radius ultimately depends on the
membership determination.
Field star contamination may affect the
determination of
,
and what we have demonstrated
in this work is that this contamination can become a
significant problem if not taken into consideration.
Furthermore, even though cluster and field populations
were well separated, the estimated radius would depend
on the limit magnitude if, for instance, there was mass
segregation. This kind of problems is particularly
relevant to the development of automated techniques
in which it is necessary to establish objective
criteria when determining the size of the sample to be
processed. What we propose here is to apply any
suggested method to several sample sizes
and
analyze the behavior obtained.
It is difficult to establish simple rules for evaluating
this behavior because the results will depend directly
on both the membership determination algorithm and the
input data. However, for the method considered in this
work, which is based on two Gaussian populations,
the basic procedure can be outlined as follows:
- 1.
- An upper limit to
can be
estimated by fitting the spatial star density
to, for example, a King profile. The estimated tidal radius
(or, to be conservative, twice its value) may be
considered an upper limit to the optimal sampling radius
and would define the range of
values to be scanned.
- 2.
- For each
value, cluster memberships and all
the relevant quantities (numbers of cluster stars and
field stars, centroids with their standard deviations,
effectiveness of membership determination) have to be
estimated.
- 3.
- The next step is to plot the number of cluster
members
as a function of the sampling radius
.
If the membership determination works reasonably well,
meaning that it presents little contamination by field
stars, then we would observe a behavior similar to that seen
in Fig. 2:
increases as
increases
until some point (when
)
and then
remains approximately constant for higher
values
(or increases at a much slower rate). In this way, we
can estimate the cluster size directly
from the data and the membership criteria without making
any additional assumptions. The optimal sampling radius
at which we achieve the most reliable membership estimation
is precisely
(Fig. 4)
- 4.
- If the parametric model does not adequately
describe the real data and/or if the internal noise
does not have simple properties, then the behavior of
the estimated parameters with respect to
would
differ from that expected. If this were the case, we
should plot the fraction of members
versus
,
where we would identify the
optimal sampling radius
with the minimum in
this plot (Fig. 6). In the absence of more
accurate information, this value should correspond to the
radius at which the membership classification is the
most reliable (for this method in a given astrometric
catalogue).
- 5.
- Our experience indicates that the properties
derived from the Sanders' method tend to exhibit
noise and it is not always easy to identify
precisely the position of specific features (such as
the minimum in the
versus
plot).
Some complementary strategies may be useful in
identifying or confirming the optimal sampling
radius. First, one can consider the variation
in the proper motion standard deviation with radius.
The dispersion in the cluster proper motions should
exhibit a change of slope at radius close to the
optimal sampling radius (Fig. 7).
Secondly, the maximal effectiveness of membership
determination should be reached around
(Fig. 8).
5 Conclusions
We have evaluated the performance of the commonly used
Sanders' method (Sanders 1971; Vasilevskis et al. 1958; Cabrera-Caño & Alfaro 1985) for
determining star cluster memberships. In general,
the results depend on the radius of the field containing
the sampled cluster (the sampling radius,
). The main reason for this
dependence is the difference between the
assumed Gaussian and the true underlying proper
motion distributions. The contamination of cluster
members by field stars increases as the sampling radius
increases. The rate at which this effect occurs depends
on the intrinsic characteristics of the data set. There
is a threshold value of
above which the identified
cluster members are highly contaminated by field stars and
the effectiveness of membership determination is relatively
small.
Thus, care must be taken when applying the Sanders'
method (by itself or as part of a more extensive
procedure) especially when we do not have reliable
information about the true cluster radius and/or
when the sampling radius is larger than the cluster
radius.
If this type of effect is not taken into
consideration in automated data analysis then significant
biases may arise in the derived cluster parameters.
The optimal sampling radius can be estimated by
plotting the number of cluster members and/or the fraction
of members as a function of the sampling radius. Moreover,
this type of analysis can also be used as an objective
procedure that can be applied systematically to determine
cluster radii.
We thank the referee for his/her comments which improved this paper. We acknowledge financial support from MICINN of Spain through grant AYA2007-64052 and from Consejería de Educación y Ciencia (Junta de Andalucía) through TIC-101 and TIC-4075. N.S. is supported by a post-doctoral JAE-Doc (CSIC) contract. E.J.A. acknowledges financial support from the Spanish MICINN under the Consolider-Ingenio 2010 Program grant CSD2006-00070: ``First Science with the GTC''.
References
- Balaguer-Núñez, L., Jordi, C., Galadí-Enríquez, D., et al. 2004, A&A, 426, 819 [NASA ADS] [CrossRef] [EDP Sciences] [Google Scholar]
- Caballero, J. A. 2008, MNRAS, 383, 375 [NASA ADS] [Google Scholar]
- Caballero, J. A., & Dinis, L. 2008, Astron. Nachr., 329, 801 [NASA ADS] [CrossRef] [Google Scholar]
- Cabrera-Caño, J., & Alfaro, E. J. 1985, A&A, 150, 298 [NASA ADS] [Google Scholar]
- Cabrera-Caño, J., & Alfaro, E. J. 1990, A&A, 235, 94 [NASA ADS] [Google Scholar]
- Chen, B., Asiain, R., Figueras, F., et al. 1997, A&A, 318, 29 [NASA ADS] [Google Scholar]
- Claria, J. J., Piatti, A. E., & Lapasset, E. 1998, A&AS, 128, 131 [Google Scholar]
- Dias, W. S., Alessi, B. S., Moitinho, A., et al. 2002, A&A, 389, 871 [NASA ADS] [CrossRef] [EDP Sciences] [Google Scholar]
- Dias, W. S., Assafin, M., Flório, V., Alessi, B. S., & Líbero, V. 2006, A&A, 446, 949 [NASA ADS] [CrossRef] [EDP Sciences] [Google Scholar]
- Elmegreen, B. G. 2009, Ap&SS, 153 [Google Scholar]
- Griv, E., Gedalin, M., & Eichler, D. 2009, AJ, 137, 3520 [NASA ADS] [CrossRef] [Google Scholar]
- Hoogerwerf, R., & Aguilar, L. A. 1999, MNRAS, 306, 394 [NASA ADS] [CrossRef] [Google Scholar]
- Jilinski, E. G., Frolov, V. N., Ananjevskaja, J. K., Straume, J., & Drake, N. A. 2003, A&A, 401, 531 [NASA ADS] [CrossRef] [EDP Sciences] [Google Scholar]
- Kalirai, J. S., Fahlman, G. G., Richer, H. B., et al. 2003, AJ, 126, 1402 [NASA ADS] [CrossRef] [Google Scholar]
- Kazakevich, E. É., & Orlov, V. V. 2002, Astrophysics, 45, 302 [NASA ADS] [CrossRef] [Google Scholar]
- Kharchenko, N. V., Piskunov, A. E., Röser, S., Schilbach, E., & Scholz, R.-D. 2004, AN, 325, 740 [NASA ADS] [Google Scholar]
- Kharchenko, N. V., Piskunov, A. E., Röser, S., Schilbach, E., & Scholz, R.-D. 2005, A&A, 438, 1163 [NASA ADS] [CrossRef] [EDP Sciences] [MathSciNet] [Google Scholar]
- Kraus, A. L., & Hillenbrand, L. A. 2007, AJ, 134, 2340 [NASA ADS] [CrossRef] [Google Scholar]
- López-Corredoira, M., Garzón, F., Hammersley, P. L., et al. 1998, MNRAS, 301, 289 [NASA ADS] [CrossRef] [Google Scholar]
- Lynga, G. 1987, Computer Based Catalogue of Open Cluster Data, 5th edn. (Strasbourg: CDS) [Google Scholar]
- Myullyari, A. A., Flynn, C., & Orlov, V. V. 2003, Astron. Rep., 47, 169 [NASA ADS] [CrossRef] [Google Scholar]
- Nilakshi, Sagar, R., Pandey, A. K., & Mohan, V. 2002, A&A, 383, 153 [NASA ADS] [CrossRef] [EDP Sciences] [Google Scholar]
- Piatti, A. E., Clariá, J. J., Parisi, M. C., et al. 2009, New Astron., 14, 97 [NASA ADS] [CrossRef] [Google Scholar]
- Press, W. H., Teukolsky, S. A., Vetterling, W. T., et al. 1992, Numerical recipes in FORTRAN. The art of scientific computing (Cambridge: University Press) [Google Scholar]
- Sánchez, N., & Alfaro, E. J. 2009, ApJ, 696, 2086 [NASA ADS] [CrossRef] [Google Scholar]
- Sanders, W. L. 1971, A&A, 14, 226 [NASA ADS] [Google Scholar]
- Schmeja, S., & Klessen, R. S. 2006, A&A, 449, 151 [NASA ADS] [CrossRef] [EDP Sciences] [Google Scholar]
- Sharma, S., Pandey, A. K., Ogura, K., et al. 2006, AJ, 132, 1669 [NASA ADS] [CrossRef] [Google Scholar]
- Tian, K.-P., Zhao, J.-L., Shao, Z.-Y., et al. 1998, A&AS, 131, 89 [Google Scholar]
- Uribe, A., & Brieva, E. 1994, Ap&SS, 214, 171 [NASA ADS] [CrossRef] [Google Scholar]
- Vasilevskis, S., Klemola, A., & Preston, G. 1958, AJ, 63, 387 [NASA ADS] [CrossRef] [Google Scholar]
- Vicente, B., Abad, C., Garzón, F., et al. 2010, A&A, 509, A62 [NASA ADS] [CrossRef] [EDP Sciences] [Google Scholar]
- Wiramihardja, S. D., Arifyanto, M. I., & Sugianto, Y. 2009, Ap&SS, 319, 125 [NASA ADS] [CrossRef] [Google Scholar]
- Wu, Z. Y., Tian, K. P., Balaguer-Núñez, L., et al. 2002, A&A, 381, 464 [NASA ADS] [CrossRef] [EDP Sciences] [Google Scholar]
- Zhao, J., Zhao, G., & Chen, Y. 2009, ApJ, 692, L113 [NASA ADS] [CrossRef] [Google Scholar]
Footnotes
- ... Webda
- http://www.univie.ac.at/webda
All Figures
|
Figure 1:
Proper motion for the stars of a random simulation
with
|
| Open with DEXTER | |
| In the text | |
| |
Figure 2:
Calculated number of field and cluster stars
as a function of the sampling radius in units of the cluster radius,
|
| Open with DEXTER | |
| In the text | |
| |
Figure 3: Calculated fraction of cluster stars as a function of the sampling radius for the same simulations as in Fig. 2. The real (simulated) values are shown by dashed lines. |
| Open with DEXTER | |
| In the text | |
|
Figure 4: Matching fraction of the cluster (see text) as a function of the sampling radius for the same simulations as in Fig. 2. The error bars are of the order of the symbol sizes but are not shown for clarity. |
| Open with DEXTER | |
| In the text | |
|
Figure 5:
Number of cluster stars |
| Open with DEXTER | |
| In the text | |
|
Figure 6: Fraction of cluster stars as a function of the sampling radius for NGC 2323 (squares connected by lines) and NGC 2311 (circles connected by lines). Vertical arrows indicate the optimal sampling radii (see text). |
| Open with DEXTER | |
| In the text | |
|
Figure 7: Estimated standard deviations as a function of the sampling radius for the clusters NGC 2323 (squares connected by lines) and NGC 2311 (circles connected by lines). The bars indicate the uncertainties obtained from bootstrapping. |
| Open with DEXTER | |
| In the text | |
|
Figure 8: Effectiveness of membership determination (see Eq. (8)) as a function of the sampling radius for the open cluster NGC 2323 (open squares connected by solid lines) and for simulations using parameter values corresponding to those obtained for NGC 2323 (dashed lines). |
| Open with DEXTER | |
| In the text | |
|
Figure 9:
Radial density profiles for the cluster
NGC 2323 calculated for the cases
|
| Open with DEXTER | |
| In the text | |
Copyright ESO 2010
Current usage metrics show cumulative count of Article Views (full-text article views including HTML views, PDF and ePub downloads, according to the available data) and Abstracts Views on Vision4Press platform.
Data correspond to usage on the plateform after 2015. The current usage metrics is available 48-96 hours after online publication and is updated daily on week days.
Initial download of the metrics may take a while.
![\begin{figure}
\par\includegraphics[width=17cm,clip]{12886fg1.eps}
\end{figure}](/articles/aa/full_html/2010/02/aa12886-09/Timg56.png)





