| Issue |
A&A
Volume 510, February 2010
|
|
|---|---|---|
| Article Number | A32 | |
| Number of page(s) | 25 | |
| Section | Interstellar and circumstellar matter | |
| DOI | https://doi.org/10.1051/0004-6361/200913158 | |
| Published online | 04 February 2010 | |
Near-IR integral field spectroscopy of
ionizing stars and young stellar objects on the borders of H II
regions![[*]](/icons/foot_motif.png)
F. Martins1 - M. Pomarès2 - L. Deharveng2 - A. Zavagno2 - J. C. Bouret2
1 - GRAAL-UMR 5024, CNRS & Université Montpellier II, Place
Eugène Bataillon, 34095 Montpellier Cedex 05, France
2 - LAM-UMR 6110, CNRS & Université de Provence, rue Frédéric
Joliot-Curie, 13388 Marseille Cedex 13, France
Received 20 August 2009 / Accepted 9 November 2009
Abstract
Aims. We study three Galactic H II
regions - RCW 79, RCW 82, and RCW 120 -
where triggered star formation is taking place. Two stellar populations
are observed: the ionizing stars of each H II
region and young stellar objects on their borders. Our goal is to show
that they represent two distinct populations, as expected from
successive star-forming events.
Methods. We use near-infrared integral field
spectroscopy obtained with SINFONI on the VLT to make a spectral
classification. We derived the stellar and wind properties of the
ionizing stars using atmosphere models computed with the code CMFGEN.
The young stellar objects were classified according to their K-band
spectra. In combination with published near and mid infrared
photometry, we constrained their nature. Linemaps were constructed to
study the geometry of their close environment.
Results. We identify the ionizing stars of each
region. RCW 79 is dominated by a cluster of a dozen
O stars, identified for the first time by our observations.
RCW 82 and RCW 120 are ionized by two and one
O star, respectively. All ionizing stars are early-to-late O
stars, close to the main sequence. The cluster ionizing RCW 79
formed 2.3
0.5 Myr
ago. Similar ages are estimated, albeit with a larger uncertainty, for
the ionizing stars of the other two regions. The total mass-loss rate
and ionizing flux is derived for each region. In RCW 79, where
the richest cluster of ionizing stars is found, the mechanical wind
luminosity represents only 0.1% of the ionizing luminosity,
questioning the influence of stellar winds on the dynamics of these
three H II regions. The
young stellar objects show four main types of spectral features: H2 emission,
Br
emission,
CO bandheads emission, and CO bandheads absorption. These features are
typical of young stellar objects surrounded by disks and/or envelopes,
confirming that star formation is taking place on the borders of the
three H II regions. The
radial velocities of most YSOs are consistent with that of the ionized
gas, firmly establishing their association with the H II regions.
Exceptions are found in RCW 120 where differences up to
50 km s-1 are observed.
Outflows are detected in a few YSOs. All YSOs have moderate-to-strong
near-IR excess. In the [24] versus K-[24] diagram,
the majority of the sources dominated by H2 emission
lines stand out as redder and brighter than the rest of the YSOs. The
quantitative analysis of their spectra indicates that, for most of
them, the H2 emission is essentially
thermal and likely produced by shocks. We tentatively propose that they
represent an earlier phase of evolution compared to sources dominated
by Br
and CO bandheads. We suggest that they still possess a dense envelope
in which jets or winds create shocks. The other YSOs have partly lost
their envelopes and show signatures of accretion disks. Overall, the
YSOs show distinct spectroscopic signatures compared to the ionizing
sources, confirming the presence of two stellar populations.
Key words: stars: early-type - HII regions - stars: formation - stars: winds, outflows - ISM: bubbles - stars: fundamental parameters
1 Introduction
Massive stars play a significant role in several fields of astrophysics. They produce the majority of heavy elements and spread them in the interstellar medium, taking an active part in the chemical evolution of galaxies. But they also end their lives as supernovae and gamma-ray bursts. Through their strong winds and ionizing fluxes, they power H II regions and bubbles, which are often used to trace metallicity gradients in galaxies. The energy they release in the interstellar medium is thought to trigger second-generation star formation events. Observations of young stellar objects (YSO) in molecular clouds surrounding (clusters of) massive stars lend support to this mechanism (e.g. Hatano et al. 2006; Walborn et al. 2002).
A particular case concerns star formation on the borders of H II regions. According to the collect and collapse model (Elmegreen & Lada 1977), a dense shell of material is trapped between the shock and ionization front of an expanding H II regions. When there is enough material collected, global shell fragmentation occurs and new stars are formed. The observation of molecular condensations on the borders of several H II regions and the subsequent identification of YSOs within these clumps (Pomarès et al. 2009; Deharveng et al. 2005; Zavagno et al. 2007; Deharveng et al. 2009; Zavagno et al. 2006; Deharveng et al. 2008,2003) confirms that this mechanism is at work in at least some H II regions.
Other mechanisms leading to triggered star formation exist. Some work qualitatively as the collect and collapse model in the sense that the clumps are formed during the H II region expansion. For instance, dynamical instabilities of the ionization front (Garcia-Segura & Franco 1996; Vishniac 1983) create molecular condensations separated by zones of lower densities. The newly formed clumps grow until they become Jeans unstable and collapse. Alternatively, second-generation star formation can happen in pre-existing clumps. If the neutral gas in which the H II region expands is not homogeneous, the outer layers of the molecular overdensities are ionized, like the borders of a classical H II region. A shock front precedes the ionization front inside these clumps, leading to their collapse (Lefloch & Lazareff 1994; Duvert et al. 1990).
Several questions regarding triggered star formation remain
unanswered. The properties of the observed YSOs are poorly known
besides a crude classification in class I or class II
objects by analogy with low-mass stars. YSOs usually display
near-infrared spectra with CO, Br
,
and/or H2 emission lines (Bik et al. 2006). The
relation, if any, between objects with different spectroscopic
appearance is not clear. Besides, in the regions where the collect and
collapse process is at work, the quantitative properties of the
ionizing sources of the H II
regions are not known. In particular, the relative role of ionizing
radiation and stellar winds on the dynamics of these regions is
debated. The timescales on which material accumulates and fragments and
the properties of the resulting clumps depend on the strength of those
two factors (Whitworth et al.
1994). Hence, one might wonder whether the nature of the
newly formed objects depends on the properties of the stars powering
the H II regions.
In the present study, we tackle these questions by investigating the properties of the ionizing stars and YSOs of three Galactic H II regions: RCW 79, RCW 82, and RCW 120 (Rodgers et al. 1960). Those regions are known to be the sites of triggered star formation (Pomarès et al. 2009; Zavagno et al. 2007,2006; Kang et al. 2009). We used SINFONI on the VLT to obtain near-infrared spectra of both the ionizing stars and a selection of YSOs in each region. Our main goals were:
- identify the ionizing stars of each region and derive their stellar properties using atmosphere models. In particular, we want to determine their ionizing fluxes and mass loss rates in order to better understand the dynamics of the H II regions. Equally important is to determine the age of those stars, since it can be related to the presence of YSOs to quantitatively confirm triggered star formation;
- constrain the nature of the YSOs on the borders of the H II regions. In combination with infrared photometry, spectroscopy can reveal the presence of disks or envelopes. The evolutionary status of those objects can thus be better understood. In particular, it can be clearly shown whether they are stars still in their formation process or objects already on the main sequence.
2 Presentation of the observed H II regions
2.1 RCW 79
RCW 79 is a Southern Galactic H II
region located at
kpc
(Russeil et al. 1998).
Its diameter is
6.4 pc.
Zavagno et al. (2006)
(hereafter ZA06) used Spitzer GLIMPSE and SEST-SIMBA 1.2-mm
continuum
data to study the star formation on the borders of this region. A
layer of warm dust is clearly seen at 8
m surrounding RCW 79
(Fig. 1).
A compact H II region is observed
in this layer
as well as five cold dust condensations (masses between 100
and 1000
)
detected by 1.2-mm continuum emission. YSOs have also been
revealed by Spitzer-GLIMPSE observations, leading ZA06 to conclude
that triggered massive star formation was at work possibly through the
collect and collapse process (Elmegreen
& Lada 1977). Eight YSOs detected in the
near IR have been observed with SINFONI at the VLT. They are
identified in Fig. 1.
In several cases, multiple sources
were uncovered by the SINFONI observations reported in this
paper. They are identified in Sect. 5 and
Appendix B.
The ionizing stars of RCW 79 were unknown before the present study. Using photometry and choosing objects inside the H II region contours, we have identified and observed a cluster of possible OB stars candidates (blue square in Fig. 1). They are described in Sect. 4.
|
Figure 1:
Identification of the RCW 79 YSOs targeted in the present
study on a composite infrared color image. Blue and green are the
Siptzer-GLIMPSE images at 3.6 and 8.0 |
| Open with DEXTER | |
2.2 RCW 82
RCW 82 is a southern H II
region located at a distance of
kpc.
Its radius is about 5 pc. Pomarès
et al. (2009) (hereafter PO09)
detected molecular material in 12CO(1-0) and 13CO(1-0)
surrounding the H II region.
They showed that some of the structures
correspond to dense material collected between the shock front and the
ionization front during the expansion of the H II region.
Masses of
these clumps range from 200 to 2500
.
Star formation is observed
on the borders of RCW 82, with a total of 63 candidate YSOs.
Among
these, we have selected five YSO candidates visible in the K-band
for
our study. These objects are shown in Fig. 2.
PO09 identified four candidate ionizing sources, among which
two are
likely O stars (see their Fig. 5). These sources are located
just
south of the 24
m
emission ridge in Fig. 2,
and better
displayed in the upper panel of Fig. 5.
|
Figure 2: Same as Fig. 1 for RCW 82. |
| Open with DEXTER | |
2.3 RCW 120
A detailed study of RCW 120 can be found in Zavagno
et al. (2007) (hereafter
ZA07), Deharveng & Zavagno (2008)
(DE08) and Deharveng et al.
(2009) (DE09). RCW 120 is the
nearest of the three H II regions
observed in the present study. Its
distance,
kpc,
is well determined since both the
photometric and kinematic distances are in good agreement (DE09).
RCW 120 has a circular geometry (diameter
3.5 pc)
and is
surrounded by a shell of dense material collected during the expansion
of the H II region. The
cold dust emission of this shell was
observed with the ESO SEST at 1.2-mm (ZA07) and with the APEX-LABOCA
camera at 870
m
(DE09). Its mass is in the range 1100-1900
;
it is fragmented with massive fragments elongated along the
ionization front. Star formation is at work in these condensations, as
discussed by ZA07 and DE09. Twelve candidate YSOs have been observed
with SINFONI and are identified in Fig. 3.
The central ionizing star of RCW 120 is
CD-38
11636. Its
spectral type (estimated from
spectrograms) is O8 (Georgelin &
Georgelin 1970) or O9 (Crampton
1971) - see also
the discussion in DE08. Its extinction, determined by Avedisova & Kondratenko (1984)
is
AV=4.65 mag.
It is located just north of the bright
24
m
emission ridge in Fig. 3.
Its characteristics
are discussed in Sect. 4.
|
Figure 3: Same as Fig. 1 for RCW 120. On this image, the extended high brightness emission has been subtracted to enhance the small-scale structures and the point sources. |
| Open with DEXTER | |
3 Observations and data reduction
For the current project, we selected two types of sources: the candidate ionizing stars of the H II regions and a few candidate YSOs. For the latter, we selected the brightest objects in the K-band.
Data were collected at the ESO-VLT on April 25 and 26 2008.
The near infrared integral field spectrograph SINFONI (Eisenhauer et al. 2003)
was used in seeing-limited mode to obtain medium resolution K-band
spectra of our selected sources. We selected the 250 mas scale
which provided a field of view of 8
8
.
Sequences of source and sky exposures were conducted in order to ensure
optimal sky subtraction. For the faintest sources, two exposures were
made, with a 1
offset between them to minimize pixels artifacts. The exposure times
ranged from 1 min for K=9 sources
to 10 min for K=13 objects.
Telluric stars were observed regularly during the night to allow proper
atmospheric correction. Standard calibration data were obtained by the
ESO staff. The observations were conducted under an optical
seeing ranging from 0.6
to 1.2
.
Data reduction was done with the SPRED software (Abuter et al. 2006). After
bias subtraction, flat field and bad pixel corrections, wavelength
calibration was done using an Ne-Ar spectrum. Fine tuning was
subsequently performed using sky lines. Telluric correction was done
using standard stars from which Br
and, when present, He I 2.112
m were
removed. The resulting spectra have a S/N
of 10-100 depending on the source brightness and wavelength. Their
resolution is
4000
(see also Sect. 5.4).
They were extracted with the software QFitsView
,
carefully selecting individual ``source'' pixels one by one to avoid
contamination by neighboring objects. Background pixels were selected
close to the ``source'' pixels in order to correct for the underlying
nebular emission. In practice, the average spectrum of these background
pixels is subtracted from individual source pixels. Then all corrected
source pixels were added together to ensure optimum extraction of the
pure stellar sprectrum. This method is possible with integral field
spectroscopy and was one of the main drivers for the choice of SINFONI
for our observations.
4 Ionizing stars
In this section we describe the spectral morphology of the ionizing sources of each region. We determine their stellar and wind properties using atmosphere models computed with the code CMFGEN (Hillier & Miller 1998). Figure 4 shows the cluster of stars responsible for the ionization of RCW 79. The stars are labeled on the 2MASS K-band image presented in the left part of the figure. Numbers correspond to decreasing 2MASS K-band magnitudes. Star number 3 is not indicated: it corresponds to a source out of the field that turned out to be a foreground star (its spectrum displays CO bandheads in absorption typical of cool, evolved stars). The right panel of Fig. 4 shows a mosaic of the SINFONI fields observed. In many cases, the higher spatial resolution reveals several components for the same 2MASS source (e.g. source 9). Consequently, we have assigned new names to the resolved components. The identification is shown on the right side of Fig. 4. Similarly, the ionizing sources of RCW 82 and RCW 120 are displayed in Fig. 5.
|
Figure 4: K-band images of the ionizing star cluster of RCW79 from 2MASS ( left) and SINFONI ( right). The intensity of the SINFONI image corresponds to the median of the spectral dimension of the datacube. |
| Open with DEXTER | |
|
Figure 5: Same as Fig. 4 for RCW 82 ( top) and RCW 120 ( bottom). North is up and east is left. |
| Open with DEXTER | |
4.1 Photometry and spectral classification
Table 1 summarizes the observational properties of the ionizing stars of the three regions. Photometry is from 2MASS. When a given 2MASS point source was resolved in several components by our observations, the relative SINFONI fluxes were used to recompute the individual magnitudes, using the 2MASS magnitude as a measure of the total flux from all components. In addition, the K-band magnitude of star 2 was revised because its magnitude is clearly different from that of star 1, in contradiction to the 2MASS values (see right panel of Fig. 4). Inspection of the 2MASS catalog revealed that the aperture used to compute the K-band magnitude was wider than the separation of sources 1 and 2. Hence, the flux used to estimate the K-band magnitude of star 2 was contaminated by flux from star 1. We used the SINFONI flux and 2MASS magnitude of star 1 to calibrate the K-band magnitude of star 2 from the observed SINFONI flux. The H-band magnitudes are from 2MASS. Since there is no SINFONI H-band data, one cannot recalculate the magnitude of the components of unresolved 2MASS sources. In that case, we give the 2MASS H-band magnitude as a lower limit.
Table 1: Position and photometry of ionizing stars.
For each region, we calculated the absolute K-band magnitude using information on the distance and extinction:
- RCW 79: a distance of
4.2
1
kpc was derived by Russeil
et al. (1998). We estimated the K-band
extinction from the H-K color
of the early type stars of the region (see below for the spectral
classification). Since (H-K)0
is basically independent of the spectral type for O stars (see Martins & Plez 2006), one can
use the 2MASS magnitudes even in the cases were SINFONI revealed
several sub-components. In practice, we used stars 4, 5, 7, 8,
9 and 10 to obtain
;
- RCW 82: we proceeded as for
RCW 79 to calculate MK assuming a distance of
kpc
(Russeil et al. 1998).
The extinction estimate was based on stars RCW82 e2 and
RCW82 e3. Both of them are O stars. A mean value of
was derived;
- RCW 120: with a distance of
1.35
0.3
kpc (ZA07), RCW 120 is the closest region of our sample. The
region is ionized by a single O star. The estimated extinction is
.
This is in good agreement with previous estimates (see Sect. 2.3).

- the presence of He II 2.189
m indicates
a spectral type earlier than O8;

- C IV 2.070-2.083
m emission
is observed in O4-6 stars and is the strongest at O5;

- the N III-C III-O
III emission complex is observed in
emission together with He I 2.112
m in
absorption in O4-O7 stars;

- He I 2.112
m disappears
at spectral types later than B2.5;

- O3-7 supergiants have Br
either in emission or in absorption weaker than He II 2.189
m. Later
type supergiants have a narrow Br
absorption profile from which He I 2.164
m is clearly
separated. Dwarfs and giants have broader Br
absorption (He I 2.164
m is blended
with Br
).
PO09 estimated a spectral type 06.5V and 07.5V for stars RCW82 e2 and RCW82 e3 from J vs. J-K and J-H vs. H-K diagrams respectively. Our spectroscopic classification indicates later types: O9-B2V/III for both stars. Given the difficulty to make a spectral classification from near-infrared color-color and color-magnitude diagrams, the difference is acceptable. Similarly, star RCW82 e4 is identified as a late-type giant, which is confirmed by our spectroscopy. PO09 showed that star RCW82 e1 presented a near-IR excess, which is consistent with the presence of a disk in a star of spectral type Oe or Be. ZA07 reported a spectral type O8V for the ionizing star of RCW 120. We prefer a spectral type O6-8V/III, in rather good agreement. Finally, the ionizing sources of RCW 79 were not previously identified. ZA06 estimated that a single O4V star could power the H II region. This is roughly consistent with our finding that a cluster of about ten O4 to O9 stars is responsible for the ionization.
4.2 Spectroscopic analysis
In this section we derive the stellar and wind properties of the ionizing stars of the H II regions by means of spectroscopic analysis with atmosphere models. We subsequently use the derived properties to constrain the age of the ionizing populations.
4.2.1 Stellar and wind properties
The stellar and wind properties have been derived through spectroscopic analysis. Atmosphere models were computed with the code CMFGEN (Hillier & Miller 1998). This code solves the radiative transfer and statistical equations in the co-moving frame of the expanding atmosphere, for light elements as well as for metals. It thus produces non-LTE, line blanketed atmosphere models with winds. An exhaustive description of the code and its approximations is given in Hillier & Miller (1998). Summaries of the main characteristics can also be found in Martins et al. (2008); Hillier et al. (2003). The resulting synthetic spectra are compared to the SINFONI K-band spectra to constrain the main physical parameters. In practice, we have proceeded as follows:

- effective temperature: the determination
of
usually relies on the ratio of He I to He II lines.
We have used the following lines: He I 2.112
m and He II 2.189
m when
present. C IV 2.07-2.08
m lines
are used as secondary indicators since they appear in emission in the
hottest O stars (Hanson
et al. 1996). An uncertainty of 2000 to
3000 K is achieved depending on the star. For stars cooler
than
32 000 K
He II 2.189
m vanishes.
The uncertainty on
is large (5000 K) and is set by the presence and strength of
He I lines;

- mass loss rate: The main indicator in
the K-band spectrum of O stars is Br
.
It is filled by emission as the wind strength increases. We used this
line to constrain the mass loss rates of the ionizing stars. However,
as demonstrated below, it becomes almost insensitive to
below
so that we could only derive upper limits on
.
We stress once more that our correction for nebular contamination
ensures the best extraction possible of the stellar line profiles.
Thus, our mass loss rate determination does not suffer from major
uncertainties due to non stellar emission;

- luminosity:
was derived from the absolute magnitude and the K-band
bolometric correction. The latter was computed from
and the calibration of Martins &
Plez (2006). The uncertainty on
was calculated from a full error propagation and considers the
uncertainties on the distance,
and AK.
It is close to 0.2 dex for stars in the three regions.
|
Figure 6:
Mass loss estimate for star RCW79 5a. The black solid line is the
observed spectrum. The colored lines refer to models with different
mass loss rates. A conservative upper limit of 10-7 |
| Open with DEXTER | |
Table 2: Derived stellar properties of the ionizing stars of RCW 79, RCW 82 and RCW 120.
Modern atmosphere models for massive stars also include clumping since evidence of wind inhomogeneities exist (e.g. Hillier et al. 2003; Hillier 1991; Lépine & Moffat 1999). Clumping is usually quantified by a volume filling factor f. Currently, no diagnostics of clumping have been identified in the K-band spectra of O stars with moderate winds. Such diagnostics are traditionally found in the UV, optical and submm range (Eversberg et al. 1998; Blomme et al. 2002; Hillier 1991). Hence, we have simply adopted the canonical value of 0.1 for f (Hillier et al. 2001; Hamann & Koesterke 1998).Another important parameter is the wind terminal velocity (
). It is determined from the
blueward extension of UV P-Cygni profiles or from the width of
strong emission lines. In our case, none of these diagnostics are
available. Consequently, we decided to adopt
.
We chose a value of 2000 km s-1
as representative of early and mid O stars, and
1000 km s-1 as typical of late
O and B stars (e.g. Prinja
et al. 1990). We also adopted the so-called
parameter. Our model atmospheres require an input velocity structure
which is constructed from a quasi-static photospheric structure to
which a
velocity law is connected. This law is of the form:
where R is the stellar radius. The value of
0.8 we adopted for
is typical of O dwarfs/giants (e.g. Repolust
et al. 2004). For the input photospheric structure,
we used the OSTAR2002 TLUSTY models (Lanz
& Hubeny 2003). Finally, we used the solar abundances
of Grevesse et al. (2007)
for the elements included in our models, namely H, He, C, N,
O, Ne, Mg, Si, S, Fe and Ni.
Figures A.3
and A.4 shows
the best-fit we obtained for the brightest ionizing sources of the
three H II regions. In
general, those fits are of good quality. The only important discrepancy
in a few stars is the He I 2.056
m line
which is predicted too strong. However, this line has been shown to be
extremely sensitive to line-blanketing (Najarro et al. 2006,1994).
Since our models include only a limited number of elements and since
some atomic data for metals remain uncertain (see Najarro
et al. 2006), the observed discrepancy is not
surprising. The derived parameters for each star are gathered in
Table 2.
Figure 6
shows an example of mass-loss rate determination based on Br
in the case of star RCW79 5a. Reducing
produces a deeper absorption line. However, below a value of
yr-1
the line becomes little sensitive to any change of mass-loss rate. In
practice, it is the wind density which is derived in the fitting
process. Since it is proportional to
/
an error on
translates into an error on
.
However, it is very unlikely that our estimates of
are off by more than a factor of 2 (which is already a rather
extreme case). Hence, a rather conservative upper limit of 10-7
yr-1
(including the uncertainty on
and on the normalization and S/N of the observed spectrum) is
determined. Since star RCW79 5a is one of the earliest of our
sample, it is expected to show the strongest mass loss rate.
Consequently, the upper limit on
derived for this star also applies to all other ionizing stars. The
upper limits we derive are fully consistent with recent determination
of mass loss rates of Galactic O5-9 dwarfs based on optical
and UV diagnostics (Repolust
et al. 2004; Bouret et al. 2003).
Actually, mass loss rates up to two orders of magnitudes smaller are
routinely found in late O dwarfs (Martins et al. 2005b,2004; Marcolino
et al. 2009).
We have fitted only the K-band part of the observed spectra, but our best fit models yield the complete spectral energy distribution from which one can compute the number of ionizing photons and the ionizing luminosity. The values we derived are listed in Cols. 10 and 11 of Table 2. Such quantities are important to understand the physics and dynamics of H II regions (see Sect. 6.1).
|
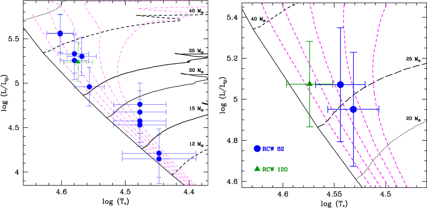
Figure 7: HR diagram of the ionizing sources of RCW 79 ( left) and RCW 82 and RCW 120 ( right). Evolutionary tracks are from Meynet & Maeder (2003). Isochrones corresponding to ages of 1, 2, 3, 4, 5 Myr are shown by magenta dashed lines. Left: blue circles are the ionizing stars of RCW 79 and the green triangle is star number 6 in the compact H II region on the border of RCW 79. Right: the ionizing source of RCW 120 is shown by the green triangle, while the two O stars ionizing RCW 82 (sources e2 and e3) are shown by the blue circles. The Be star (e1) is not shown because its properties have not been derived in our study. |
| Open with DEXTER | |
4.2.2 Age determination
Figure 7
(left) shows the HR diagram of the ionizing cluster of RCW 79.
Evolutionary tracks are from Meynet
& Maeder (2003) and include the effects of rotation.
All stars lie rather close to the main sequence, on a relatively narrow
band, indicating that they most likely formed in a single star
formation event. By finding the theoretical isochrone best representing
the distribution of stars, the age of the population can be derived.
For this, we use the following function:
where ``iso'' stands for ``isochrone'' and n is the number of stars.
The position of the brightest source of the compact H II region (CHII) on the border of RCW 79 (see Figs. 4 of ZA06 and Fig. B.4) is shown by the green triangle in Fig. 7 (left). It is essentially indistinguishable from the position of the ionizing sources. An age estimate for that star would give the same result as for the ionizing sources, within the error bars. The other stars of the CHII region do not help to refine this estimate since they are much fainter and cooler and fall in the region of the HR diagram where the isochrones are tightly packed. Given the errors on the effective temperature and luminosity of star number 6, one can exclude an age younger than 0.5 Myr. This means that if there is any age difference between the CHII region and the ionizing stars of RCW 79 (as would be expected in case of triggered star formation) it is not larger than 2 Myr (see also ZA06).
The right panel of Fig. 7 shows the position
of the ionizing stars of RCW 82 and RCW 120. Only the
two O stars (e2 and e3) are shown for RCW 82
since we have not analyzed the properties of the Be star e1 (our
atmosphere code does not allow a treatment of circumstellar material).
Unlike RCW 79, the small number of stars prevents an accurate
age determination. Besides, the large uncertainty on
and the relatively low luminosity of the objects (compared to the
brightest stars in RCW 79) complicates any attempt to
constrain the stars' age. The only safe conclusion one can draw is that
the ionizing stars are younger than 5 Myr. Other than that,
any age less than 5 Myr is possible.
From interpolation between evolutionary tracks in
Fig. 7,
one can estimate the masses of the stars of RCW 79. They are
summarized in Table 2.
Five stars have masses higher than 30
.
If we assume a Salpeter IMF between 0.8 and 100
for the entire population formed with the ionizing sources, one finds a
total mass of about 2000
.
Hence, if the star formation event which produced the ionizing stars of
RCW 79 also gave birth to lower mass stars, a rather massive
cluster was born 2.0-2.5 Myr ago. In that case, the faint
sources seen in Fig. 4
are probably intermediate mass main sequence stars born at that time.
|
Figure 8:
Age estimate of the cluster of the ionizing sources of RCW 79.
A value of 2.3 |
| Open with DEXTER | |
5 YSOs on the borders of H II regions
In this section we now focus on the second groups of objects: embedded sources on the borders of the H II regions. They have been classified as candidate YSOs by ZA06, ZA07, DE09 and PO09. Our aims are the following: 1) confirm spectroscopically the YSO nature of these sources, 2) get more insight into their physical properties (presence of disks, envelopes, jets, outflows). For this, twenty-three YSOs have been observed: 8 around RCW 79, 5 around RCW 82, and 10 around RCW 120. They were selected mainly from their high K-band magnitude. Their position and photometry is given in Table 3. Appendix B gives further details on each individual objects. We first present a general description of their spectral properties (Sect. 5.1) before comparing them to near and mid infrared photometry (Sect. 5.2). We then focus on YSOs with strong H2 emission lines in Sect. 5.3. The morphological and kinematic properties of a few objects are presented in Sect. 5.4 where we show that the YSOs are associated to the HII regions.
Table 3: 2MASS and NTT/SofI JHK, Spitzer-GLIMPSE, Spitzer-MIPS, and AKARI magnitudes of YSOs.
Table 4: Characteristics of the YSO spectra.
5.1 Spectroscopy of embedded sources
The 23 objects we observed on the borders of the three H II regions
show four main type of spectral signatures: Br
emission, H2
emission, CO bandheads emission and CO bandheads
absorption. Some sources are entirely dominated by one type of
spectroscopic signatures, but others can show several features, such as
Br
and H2 emission, or H2,
Br
and CO emission. Table 4 summarizes
the main spectroscopic properties of each source. Their spectra are
shown in Figs. A.5
and A.6.
Below, we describe the various sources, grouping them according to the
main feature they display.
- H2 emission sources:
ro-vibrational H2 transitions are observed in
these objects. The strongest one is H2 1-0S(1)
at 2.122
m
and it is sometimes the only line observed. However, in the majority of
``H2 emission sources'' several other lines are
observed. They are identified on Fig. A.5 (top right).
Such lines are known to be formed either thermally in shocks (e.g. Burton et al. 1990), or
by fluorescence after excitation of H2 molecules
by non ionizing FUV radiation in the Lyman-Werner band (e.g. Black & van Dishoeck 1987).
In the latter case, the lines are formed under non LTE conditions. They
can thus trace either outflows or photo-dissociation regions (PDRs) in
young star forming regions. In Sect. 5.3, we will analyze
quantitatively these sources to track the nature of the exciting
mechanism.

- Br
emission sources: strong Br
emission is observed in several sources, sometimes in combination with H2
emission. Br
may have various origins. According to Bik
et al. (2006), the large line widths
(100-200 km s-1) could be
explained by ionized gas flowing from the surface of a circumstellar
rotating disk, rather than a pure nebular origin. Other mechanisms such
as accretion flows or outflows are alternative possibilities. In the
former case, magnetospheric accretion (van
den Ancker 2005) or inner disk accretion (Muzerolle
et al. 2004) theoretical models predict Br
emission. For outflows, classical stellar winds, X-winds (Shu et al. 1994) or disk
winds (Blandford & Payne 1982,
e.g.) lead to ionized hydrogen emission. Interferometric observations
of Herbig Ae/Be stars by Kraus
et al. (2008) favor Br
emission in extended
stellar or disk winds.

- CO bandheads emission sources: CO first
overtone emission at 2.2935
m (CO(2-1)), 2.3227
m (CO(3-1)),
2.3535
m (CO(4-2)),
2.3829
m
(CO(5-3)) is observed in eight sources. This spectral signature has
been observed in several low and high mass YSOs (Scoville et al. 1979; Bik et al.
2006; Chandler
et al. 1993). It is commonly attributed to
irradiation of an accretion disk by the central object (Kraus
et al. 2000; Chandler et al. 1995).
This interpretation is motivated by the temperature (2500 to
5000 K) and density (
cm-3)
conditions required to produce such an emission, placing the emitting
zone close to the central star (within 0.5 AU for the
Be star 51 Oph studied by Tatulli et al. 2008; Berthoud
et al. 2007). The geometry of the bandheads depends
on the Keplerian rotation and viewing angle. Bik
& Thi (2004) used the formalism of Kraus et al. (2000) to
show that CO emission in the massive YSOs observed by Bik et al. (2005) was
produced in a Keplerian disk. Our spectra do not have high enough
resolution to detect line asymmetries. In the strongest CO emitters of
our sample, Na I 2.206-2.209
m and Ca I
2.261-2.264
m emission
is also detected (see Fig. A.5).

- CO bandheads absorption sources: the CO
first overtone lines are observed in absorption in a few sources
(Fig. A.5,
bottom right). The line depth ranges from less than 10
to about 40
of the continuum.. Na I 2.206-2.209
m, Ca I
2.261-2.264
m
and Mg I 2.281
m lines
are usually observed in absorption as well. In one object
(RCW120 51b) a significant Br
emission is
observed, while H2 emission lines are present in
another one (RCW82 98). CO absorption in the K-band
is typical of cool stars (red supergiants, AGBs, giants), but it is
also detected in YSOs (Casali
& Matthews 1992; Aspin et al. 2009a; Hoffmeister
et al. 2006). In that case, it is thought that CO
absorption is observed because of the absence of a strong disk and/or
envelope emission that otherwise dominates the K-band
spectrum and leads to either featureless or emission line spectra. This
is consistent with the fact that CO absorption YSOs tend to be
class II (and not class I) objects (Casali
& Matthews 1992). CO absorption is also
observed in the rare class of eruptive FU Orionis objects
(FUOr, Reipurth & Aspin 1997).
They are thought to be active T-Tauri stars experiencing an accretion
burst. Aspin et al. (2009b)
collected spectra of V1647 Orionis, the FUOr star responsible
for the appearance of the McNeil nebula (McNeil
et al. 2004), and show that its
CO bandheads shift from absorption to emission when the star
experiences a FUOr event. Calvet
et al. (1991) explained theoretically this type of
transition by an increase of the accretion rate. EXor variables which
are pre main sequence objects similar to Fuor stars but with weaker
outbursts also display CO absorption bandheads (Lorenzetti et al. 2009).
5.2 Near and mid infrared photometry
All our sources have been observed by 2MASS. We have seen that in the
case of the ionizing stars of RCW 79, some 2MASS sources were
actually multiple. Similarly, some YSO candidates have been resolved
into several sub-components by our SINFONI observations (see
Figs. B.1,
B.2
and B.7).
Hence, the 2MASS photometry is only indicative for those specific
sources. Figure 9
shows a
color-color diagram based on 2MASS photometry. Star symbols refers to
multiple sources. When available, we have used ESO/NTT/SofI photometry
from ZA06, ZA07 and PO09 since it is more accurate and does
not suffer from the same uncertainties. The main sequence is also
plotted together with AV=40 mag
reddening vectors. The main conclusion is that most of the objects show
near-IR excess. Eight objects lie close to the reddening vectors. Out
of them, three are multiple sources. Among the five remaining objects,
RCW120 C4-64 shows CO absorption bandheads and is
most likely a foreground giant star. The near-IR excess observed in the
objects far from the reddened main sequence usually indicates the
presence of an envelope or a disk. It thus confirms that most of our
sources are YSOs.
|
Figure 9: JHK Color-color diagram (magnitudes from 2MASS and NTT-SofI) of the YSOs associated with RCW 79, RCW 82 and RCW 120. The location of main sequence stars is shown by the solid line. Reddening lines have a length corresponding to a visual extinction of 40 mag. Filled (open) triangles correspond to good (uncertain, from 2MASS catalog flag) magnitude measurements. Star symbols following the names indicate multiple sources. The typical error bar of good measurements is indicated. |
| Open with DEXTER | |
To get more insight into the nature of the sources, we have retrieved Spitzer/IRAC photometry (when available) from the GLIMPSE survey (Benjamin et al. 2003) to build the color-color diagram shown in Fig. 10. The different symbols correspond to the four spectroscopic groups defined in Sect. 5.1. Class I and II objects gather within the dashed and solid lines respectively. Stars are shown by pentagons close to (0, 0).
All our sources fall in the area corresponding to
Class I and Class II
YSOs. They gather around the color point (0.8, 0.8); some of them
may be Class II sources displaced by extinction (see
Fig. 10).
As discussed by Robitaille
et al. (2008) a few of
these sources may be extreme AGB stars (see also Srinivasan et al. 2009). It
is probably the case of the CO absorption sources RCW120 39
and 64. Four sources have different colors: two are pure H2
sources
(RCW79 237 and 3C3), the two others have colors typical of
PDRs
(RCW79 1C4, associated with extended 8
m and 24
m emission,
and RCW79 2C3). The two sources with the highest [3.6]-[4.5]
color are the ones with the strongest H2 lines
(Fig. A.5,
top right). Smith & Rosen (2005)
showed that numerous H2 lines contributed to the
IRAC fluxes, but that the integrated line intensity was the largest in
the 4.5
m
band. Hence, strong H2 lines in the K-band
of RCW79 3C3 and RCW79 237 are probably responsible for an
intense emission in the 4.5
m band, leading to an increased flux compared to
the 3.6
m
channel. Consequently, the value of [3.6]-[4.5] is higher in those two
objects, explaining their location in Fig. 10. The other H2-dominated
sources have weaker lines, and consequently their IRAC colors are not
affected.
Except for the four cases discussed above, the general conclusion is that objects with similar IRAC colors can present different spectroscopic signatures. Said differently, there is no direct correlation between IRAC colors and a spectroscopic group. Once again, the multiplicity of a few sources complicates the interpretation.
|
Figure 10:
Color-color diagram with SPITZER/IRAC magnitudes of the YSOs associated
with RCW 79, RCW 82 and RCW 120. Different
symbols are used for the four spectroscopic groups defined in
Sect. 5.1:
triangles for H2 sources, squares for CO
absorption sources, circles for CO emission sources and
diamonds for Br |
| Open with DEXTER | |
Figure 11
shows a color-magnitude diagram based on Spitzer/MIPS 24
m photometry
(Carey et al. 2009),
complemented by AKARI observations (Zavagno et al.
in prep.). The magnitude in this band corrected for the
distance modulus of each source (noted [24]
), is plotted as a function of
K-[24]. For comparison, the theoretical SEDs of Martins et al. (2005a) have
been used to calculate the positions of O stars in this
diagram. They are shown by the pentagon symbols. A reddening vector
corresponding to AV=40 mag
and to the extinction law of Lutz (1999)
is indicated. All YSOs are brighter at 24
m and much
redder (in K-[24]) than O stars. This indicates
once more that they have a strong infrared excess due to envelopes
and/or disks, which dominate the SED at those wavelengths. The H2
sources seem to stand out in this diagram. While most sources are
grouped in a region defined by
and 7 < K-[24] < 10,
four out of the five H2 sources for
which infrared photometry is available are much brighter and redder
([24]
and K-[24] > 10). This
might be an indication that those objects have larger amounts of
circumstellar material tracing an earlier state of evolution, or that
they have higher masses.
|
Figure 11:
Color-magnitude diagram with SPITZER/MIPS 24 |
| Open with DEXTER | |
This is confirmed by Fig. 12 showing the [3.6]-[5.8] vs. [8.0]-[24] diagram. Here again, the H2 objects are clearly located towards redder colors (with the exception of RCW120 76). The solid lines delineates the location of stage I and II objects of Robitaille et al. (2006). This classification is the theoretical analog of class I and II sources, meaning that stage I objects correspond to models with an envelope, while stage II sources have disks and possibly a tenuous envelope. H2 sources are therefore consistent with being stage I objects as suspected previously. The bulk of the other objects are again located in the transition region between stage I and stage II sources. Only RCW120 51 and RCW82 51 might appear as stage I objects. We will discuss further these results in Sect. 6.2 using additional findings presented below.
|
Figure 12: [3.6]-[5.8] vs. [8.0]-[24] diagram. The symbols have the same meaning as in Fig. 10. The arrow indicates an extinction of AV=40 mag. The solid lines delineate the areas where stage I and II objects of Robitaille et al. (2006) are found (see their Fig. 23). Star symbols following source names indicate multiple sources. |
| Open with DEXTER | |
The main conclusion of this analysis of color-color and color-magnitude
diagrams is that the objects dominated by H2 emission
seem to be different from the remaining of the sources we observed.
They probably have an optically thick envelope. The other objects are
more consistent with YSO surrounded by disks. Another conclusion
regarding these sources is that they can have different spectroscopic
signatures but similar colors. This can be partly explained by
geometrical effects. Indeed, depending on the inclination and size of
the putative disks, different regions are visible, and thus different
spectral lines are expected. The corresponding photometry is also
modified. Whitney
et al. (2003a,b) showed that in the
[3.6]-[4.5] vs. [5.8]-[8.0], a spread of about one magnitude can be
expected due to inclination effects. This corresponds to what we
observe. Hence, among the CO emitters, absorbers and Br
emitters, one probably sees a population of class II objects
at different inclinations.
5.3 Nature of H2 sources
Several sources observed on the border of the H II
regions show
H2-dominated spectra (see top right panel of
Fig. A.5
for line identification). As described in Sect. 5.1,
H2 emission is due either to thermal processes
or to fluorescence.
The relative intensity of individual lines is different in either
cases. Comparing H2 line strength can
thus lead to the underlying
excitation mechanism. For a thorough comparison, line fluxes must be
dereddened, which requires the knowledge of extinction. This piece of
information is difficult to obtain since the intrinsic SED of our
sources is not known. From Fig. 9 one can see that
most
objects have a visual extinction in the range 10-40 mag. We
have thus
adopted a typical extinction
for the present
study. We used the Galactic extinction law
similar to Moneti et al. (2001) to
deredden the line fluxes.
|
Figure 13:
H2 excitation diagram of the sources showing H2 emission
spectra (either pure or mixed with other spectral features). All
N/g numbers are relative to N/g for transition 1-0S(1). The
solid line are fits to the |
| Open with DEXTER | |
Table 5: Velocity measurements.
We have computed the column densities Ni
of several excited levels and plotted them as a function of level
energy Ei.
This has been shown to be a powerful tool to distinguish between
thermal and radiative emission (e.g. Hasegawa
et al. 1987). If H2 emission
is thermal, the values of Ni/gi
(gi being
the statistical weight) follow a Boltzmann distribution and are thus
aligned in a
diagram. Alternatively, radiative pumping should increase the
population of high energy levels and introduce a departure from
linearity in the aforementioned diagram. We have computed the column
densities of several levels using the same formalism and molecular data
as Martín-Hernández et al.
(2008). Our results are shown in Figs. 13. The solid and
dotted lines correspond to a linear fit of the
levels. The slope is directly related to the temperature of the
Boltzmann distribution best representing these energy levels. Solid
lines are for the case AK=2.5,
while the dotted lines are for AK=1.0
and AK=4.0.
When extinction varies, line fluxes are affected, which explains the
different slopes for different AK.
From Fig. 13
RCW79 3C3, RCW120 103 and RCW79 91b appear consistent with
pure thermal emission. For RCW 79 2C3, RCW120 76,
RCW120 49 and RCW120 107, a marginal deviation from
pure thermal emission is found, although the bulk of the emission seems
to be thermal. Source RCW82 7 shows too few lines to draw any
final conclusion. Besides, we will see in Sect. 5.4 that H2 emission
is much extended and patchy. Finally, RCW79 237 clearly shows
a significant non thermal contribution.
Two more sources (RCW79 89 and RCW79 91) display H2 lines,
but not enough to build excitation diagrams. For these sources, we
calculated the ratios
and
(defined by Smith et al. 1997).
Under LTE conditions, the first ratio should have values
between 5 and 100 (for temperatures ranging
between 3000 and 1000 K respectively, see Gustafsson et al. 2008),
and the second ratio should be close to 3. When fluorescence
dominates, lower values are expected. For RCW79 89, the
observed values are 4.61
0.79 and 2.89
0.56
respectively, indicating that H2 has probably
multiple origins. For RCW79 91, FUV excitation is clearly favored since
= 6.33
0.14
and
= 0.99
0.14.
In conclusion, most sources show a thermal H2
spectrum with, in some cases, a possible contribution from
fluorescence. Three sources (RCW79 237, RCW79 89 and
RCW79 91) are probably dominated by non thermal emission, most
likely because of nearby PDRs. Thermal emission is usually attributed
to shocks. Davies et al.
(2000) summarizes the various types of shocks encountered in
the ISM
using the models of Burton et al. (1990).
They note in particular that fast J-shocks are usually dissociative. In
that case, molecules are formed on grains in the post-shock region and
are produced in excited states. Consequently, their emission spectrum
is more typical of a non-thermal mechanism since the molecules will
cascade down to lower energy levels. Hence, fast J-shocks seem to be
excluded to explain the thermal emission of most of our H2
sources. Similarly, slow C-shocks are not favored either since they are
associated with rather low temperatures (<300 K). From
Fig. 13
we see that temperatures of 1000-2500 K are estimated,
inconsistent with slow C-shocks. Hence, slow J-shocks or fast C-shocks,
both heating the gas to 2000-3000 K, are preferred to account for the
observed thermal H2 emission in our
sources.
5.4 Morphology and kinematics of selected YSOs
In this section we gather information on the morphology and kinematics of some YSOs in order to study their physical association with the H II regions and to get more insight into the origin of the observed emission lines.We first focus on the kinematics of the YSOs themselves. The
emission
lines of their spectra (Br
and/or H2) have been fitted by 1D
Gaussians using QFitsView. We have first measured the full width at
half maximum (FWHM) of the sky lines to estimate the spectral
resolution of the observations. We obtain
km s-1,
thus a
resolution
.
Then we have measured the central
positions and the widths of the H2 and Br
lines
(only for the
lines presenting a good S/N). These quantities are
given in Table 5.
The first and second columns identify
the YSO; the indication ``ext'' means that we have measured the
nebulous extended emission in the vicinity of the YSO. The following
columns give, for a selection of lines, the LSR velocity (
)
and the intrinsic line width (
). The absence of
measurement for some lines stems from the poor quality of the data at
hand. We estimate that the uncertainty on
is
10 km s-1.
The relative uncertainty on the measured line widths is 10
,
but the uncertainty on
is large. It is about 20 (40) km s-1
for wide (narrow) lines. This mainly comes from the large
uncertainty on the instrumental width. Thus, values given in
Table 5
are only indicative.
The
velocities can be compared to the
velocities
of the ionized gas and associated molecular material. These
velocities are in the ranges -52/-46 km s-1
for RCW 79
(ZA06), -52/-42 km s-1 for
RCW 82 (PO09), and -14/-8 km s-1
for
RCW 120 (ZA07). The comparison shows that (and taking into
account the
uncertainty on the velocity):
- the YSOs velocities in RCW 79 are in rather good agreement with those of the H II region, except for 3C3. In this YSO the H2 gas approaches us with a velocity of about 30 km s-1. 3C3 has a nearby extended structure (a bow-arc like structure, see Fig. B.1) presenting the same velocity;

- the YSOs in RCW 82 have velocities comparable to
those of
the associated region; an exception is source 35 with very different
velocities for the H2 and Br
lines.
The H2 material
approaches us with a velocity
50 km s-1
with respect to the
material emitting the Br
line
and the RCW 82 region;

- in RCW 120, YSO #51 has a velocity comparable to
that of the H II region; it is
the only one (see also below). YSOs #49, #76, and #107 are
approaching us with a velocity of about 20 km s-1.
The situation is worse for YSO #103, and resembles very
closely that of source 35 in RCW 82: the Br
line
has the same velocity as the RCW 120 region, whereas
all the H2 lines show an approach
velocity of some 50-60 km s-1.
This indicates flows (see below), but may also suggest that these YSOs
are not associated with RCW 120. We do not favor this last
solution as these three YSOs are observed in the direction of
well-defined condensations in the shell of dense neutral material
interacting with the ionized region. Molecular observations of this
shell (allowing velocity measurements) should help to clarify this
point.
These results indicate that the geometry of the YSO is rather
complex, at least in some cases. One can gain further insight into
those properties by looking at emission maps and velocity maps.
Figures 14
to 16
show some illustrations. In those figures, the contours of the
integrated K-band emission are shown on top of
images centered on Br
and/or H2 2.12
memission lines (and from which the continuum is
subtracted). Velocity maps built from H2
2.12
m
are also shown when they could be extracted from the data. The main
conclusion regarding morphology is twofold: 1) Br
emission is always centered on the emission peak of the integrated K-band
image, i.e. it coincides with the position of the YSO; 2) H2
2.12
m
is emitted on a much wider scale, with emission peaks sometimes not
corresponding to the position of the YSO. Three YSOs have been selected
to illustrate these results, but they can be generalized to all YSOs
(see Appendix B).
The case of RCW120 51 is spectacular. The main K-band
source in this region is 51a (see Fig. 14). Its
spectrum is dominated by Br
(Fig. A.5)
and Fig. 14
confirms that is is the main emitter in this line. However, we notice a
Br
``cone'' pointing towards 51a and, more generally, towards the
center of the H II region.
This structure is very typical of the ionization front in the vicinity
of RCW120 51. Measurements of the radial velocity along this
cone (
-6 km s-1)
indicates values similar to those of 51a and of the H II
region. The YSO and the Br
cone are physically associated, and are also adjacent to the ionization
front. The H2 map of Fig. 14 shows another
emission cone, the orientation of which is the same as that of the Br
emission
cone. However its top is not located on source 51a, but rather on a
faint K-band source located south and east of it
(see Fig. 14).
The H2 velocities along this cone are also
consistent with those of the H II region.
We are thus directly probing the structure of the ionization front:
seen from the H II region,
the line of sight crosses first a Br
cone tracing the ionized gas behind which is located the H2
cone located closer to the PDR and the molecular material. Along this H2
cone structure, we measure a ratio
(respectively
)
of 6.2
0.1
(respectively 12.0
0.1)
intermediate between pure thermal emission and radiative excitation.
The presence of non-thermal emission is consistent with the proximity
to the PDR. All in all, we have thus a direct proof that the YSO RCW120
51a is located on the ionization front.
|
Figure 14:
Morphology of RCW120 51. Left panel: Br |
| Open with DEXTER | |
| Figure 15:
Morphology and dynamics of RCW82 7. Left panel: H2
emission map together with contours of the full K-band
emission. Right panel: H2
2.12 |
|
| Open with DEXTER | |
|
Figure 16: Morphology of RCW120 C4-67. The image shows the H2 emission map (created from the initial datacubes smoothed with a spatial Gaussian - FWHM = 3 pixels). Contours of the full K-band emission are overplotted. North is up, east is to the left. The axis indicate the offsets (in arscseconds) relative to the YSO position (coordinates given in Table 3). |
| Open with DEXTER | |
For YSO RCW82 7, Fig. 15
shows again that H2 is emitted over a wider
region than the K-band continuum. The H2 emission
is not centered on the YSO, but is offset to the west. In addition,
diffuse emission concentrations are clearly visible especially
north-east of the YSO. The H2 velocity map
constructed by fitting a Gaussian to the 2.12
m line
reveals that this blob has a radial velocity of
-10 km s-1 compared to
-60 km s-1 for the YSO
. This may very well be the
signature of a jet centered on the YSO and interacting with molecular
gas at the position of the blob. At the distance of RCW 82,
such a jet would have a projected length (YSO-blob) of
0.06 pc.
Besides this peculiar H2 emission, there is an
arc-like H2 structure extending north and south
of the YSO. Its velocity is comparable to that of the YSO and to that
of the H II region (see above).
It may thus correspond to the PDR on top of which the YSO is located. A
similar morphology is identified in RCW120 49 (Fig. B.5) and
RCW120 103 (Fig. B.6), albeit
with a lower significance (see Sect. B.3). Another
convincing evidence of a jet comes from YSO RCW120 C4-67. It
features a spectacular H2 map with an
arc structure a few arcseconds away from the YSO (see Fig. 16). Its
radial velocity is comparable to that of the YSO, but the fact that the
arc curvature is directed towards the YSO suggests that it might result
from the interaction of a jet and molecular material. It may also be
material ejected by the YSO in the past.
From the analysis of the morphology and kinematics of a few sources, we conclude that, in some cases, we have been able to firmly establish the association of the YSO with the ionization front, strengthening the case of triggered star formation. We have also discovered a possible outflow in RCW82 7 traced by a H2 velocity gradient (and possibly also in RCW120 49 and RCW120 103). The geometry of the H2 emission in RCW120 C4-67 is also suggestive of the presence of a jet.
6 Discussion
6.1 Winds and bubbles
The evolution of an H II region
is governed by the ionizing radiation
emitted by its ionizing stars - see for example the first order
analysis of Dyson & Williams
(1997) of the evolution of an H II region
in an
homogeneous medium. But it may also be influenced and even dominated
by the action of the wind emitted by the central massive star
(Freyer et al. 2003).
It is often claimed that the many bubbles observed
on all scales in the Galactic plane result from the action of such
powerful winds (Churchwell
et al. 2006). While this is most likely the case
when Wolf-Rayet stars are involved (Brighenti & D'Ercole 1997; Garcia-Segura
& Mac Low 1995), the dominance
of wind effects in the early evolution of interstellar bubbles remains
to be established. This is even truer since the recent downward
revision of the mass loss rates of O stars due to clumping
(e.g. Fullerton
et al. 2006; Bouret et al. 2005).
Figure 17:
Composite color image around the ionizing stars or cluster in the three
H II regions:
red is the Spitzer-MIPSGAL emission at 24
m, green is
the Spitzer-GLIMPSE
emission at 3.6
m,
and blue is the H
emission.
The black dashed line encloses the zones where the 24
m emission
is saturated. North is up and east is left.
The ionizing star(s) or cluster lie in the centre of the H II regions,
in a zone void of dust
emitting at 24
m.
They are indicated by blue arrows.
Open with DEXTER
|
Figure 17:
Composite color image around the ionizing stars or cluster in the three
H II regions:
red is the Spitzer-MIPSGAL emission at 24 |
| Open with DEXTER | |
Capriotti & Kozminski (2001)
and Freyer et al. (2003)
have developed analytical models and
hydrodynamical simulations of H II regions
with winds. At the
beginning of its evolution, a young H II region
should not be too
much affected by the wind emitted by its ionizing star, if any. With
time, the stellar wind gets stronger and eventually leads to the
formation of a central cavity filled with very hot (
K)
low density, shocked gas. This gas emits at X-ray wavelengths. Such
an extended X-ray emission is a strong indirect evidence of
winds. It has been observed only in the direction of three
H II regions though: M17
(Povich
et al. 2007; Townsley et al. 2003),
the Rosette
nebula (Townsley et al. 2003),
and the Orion nebula (Güdel
et al. 2008). All
regions lie relatively nearby (0.5 to 2 kpc), which might
explain that
their X-ray emission is more easily detected than in distant
regions. They are excited by a cluster of several O stars and
have
ages ranging from 1 (Orion) to about 3-4 Myr
(M 17 and Rosette). All
three clusters contain early O stars (spectral types O4-O6)
with
moderately strong winds (compared to early O type supergiants which
have higher mass loss rates). This is similar to the three
H II regions we have
studied. We do not know if the extended X-ray
emission is a common phenomena among bubbles or if it comes from the
very massive stellar content of these regions. Unfortunately,
RCW 79,
RCW 82 and RCW 120 have not been observed at X-ray
wavelengths so the
effects of winds in the H II regions
cannot be quantified directly.
Dust emission at 24
m may be another indicator of the effects of
winds. Very small grains, heated by the stellar radiation and out of
thermal equilibrium, radiate at 24
m (Jones
et al. 1999).
As long as such emission is observed, it means that dust has not (yet)
been swept-up by the stellar winds. A central hole in Spitzer-MIPS
24
m
emission maps of some H II
regions might be an indication that winds are at work (Watson et al. 2008).
Such a cavity could also be attributed to the radiation pressure of the
central exciting stars or to dust destruction by the stars' ionizing
radiation (Krumholz
& Matzner 2009; Inoue 2002). However Krumholtz
& Matzner show that radiation pressure is generally unimportant
for H II regions driven
by a handful of massive stars (thus for our three regions).
In any case if a shell is observed at 24
m, it means that stellar winds have not removed
all the dust from the H II
region. Figure 17
shows a composite image for the three H II regions
studied here, with red, green and blue being respectively 24
m, 3.6
m and H
emission.
The 24
m
emission traces the hot dust. In all three regions, one clearly sees
24
m emission
bows surrounding the ionizing stars. The hot dust very close to those
stars is thus either blown away or destroyed by the intense UV
radiation. But 5
to 30
away, i.e. well within the borders of the H II regions,
dust is detected. Hence, stellar winds have not (yet) removed all dust
from the cavities, indicating that their effect on the dynamics of the
H II regions is rather
limited.
To better assert the role of stellar winds and radiation in our objects, we focus on RCW 79. Since it hosts the largest number of ionizing stars of the three regions, it is the most appropriate for analyzing the influence of stellar winds.
The total number of ionizing photons emitted by the ionizing
stars is 1049.82 s-1
(see Table 2).
This corresponds to an ionizing luminosity of
1039.31 erg s-1.
For an age of the population of 2.3 Myr, the ionizing energy
released in the H II region is
thus 1053.17 erg.
In the previous estimate we have assumed that the ionizing luminosity
was constant with time. Since the stars are rather young and close to
the main sequence, this is a reasonable approximation. According to the
Geneva tracks, a 40
star has
= 42 560 K
and
= 5.34
on the ZAMS, and
= 39 170 K
and
= 5.45
after 2.3 Myr. For the corresponding radius and using the
number of ionizing photons per unit area (q0)
from Martins et al. (2005a),
the values of Q0 (total
ionizing photon flux) are 1049.12
and 1049.16
at 0 and 2.3 Myr respectively. Hence our assumption
is justified.
The total wind mechanical luminosity at 2.3 Myr is
1036.18 erg s-1
(for 12 O stars with a mass loss rate of 10-7
yr-1
and a terminal velocity of 2000 km s-1).
Assuming again that this value is constant between 0 and
2.3 Myr, one estimate a total wind mechanical energy release
of 1050.04 erg.
To check the validity of our assumption, one can use the scaling
relations of Vink et al. (2001)
(their Eq. (24)). Using the properties of a 40
star on the ZAMS and after 2.3 Myr of evolution (using once
more the tracks of Meynet &
Maeder 2005), one finds a mass loss rate difference of
0.3 dex. Hence, our wind mechanical energy determination is at
the very most overestimated by a factor 2.
The 2D simulations of Freyer et al. (2006,2003)
tackled the question of the effects of winds on the dynamics of
H II regions. They showed that
the presence of the wind triggered the formation of structures
(``fingers'') in the H II
regions, modifying the efficiencies of energy transfer (from stellar
ionizing and wind mechanical energies to ionizing, kinetic and thermal
energies in the H II region).
In their simulations, the ratio of ionizing to wind mechanical
luminosities was on the order of 100. They showed that in
spite of this, winds could significantly affect the evolution of the
H II region. In our
case, this ratio is at least 1000 (recall that our estimates
of mass loss rates are upper limits). The main reason is that although
the ionizing luminosities we find are similar to the ones used by
Freyer et al., our mass loss rates are lower by nearly a factor
of 10. The reason is the inclusion of clumping in our models.
It is well known to lead to a downward revision of mass loss rates of
O stars (e.g. Hillier 1991).
The values of
used by Freyer et al. were derived with homogeneous models and
are thus higher than our determinations. With this increase by at least
a factor of 10 in the ratio of ionizing to wind mechanical
luminosity, one might thus wonder whether winds still play a role. The
evidence from the presence of 24
m dust emission argues against a strong effect of
stellar winds (at least in the first 2-3 Myr). New dedicated
simulations with reduced mass loss rates are encouraged to shed more
light on this issue.
6.2 YSOs: a possible spectroscopic evolution
Among the YSOs observed on the borders of the three H II regions,
a few have a K-band spectrum entirely dominated by H2 emission.
We have seen in Sect. 5.3
that thermal emission due to shocks was favored to explain the
different line ratios. Besides, most of these sources tend to be
brighter and redder in the [24] vs. K-[24] diagram,
indicating there is more circumstellar material (Sect. 5.2) than for
the other observed YSOs. All in all, this tends to favor a picture
according to which the H2 sources are in a
relatively early phase of evolution. The large 24
m emission
combined with the absence of a direct indicator of the presence of a
disk suggests that these sources still possess large envelopes. The H2 emission
probably comes from either a jet-like structure interacting with this
circumstellar material, or from an expanding shock created by
stellar/disk wind and/or radiation pressure inside the envelope. One
can further speculate that objects showing both H2 lines
and other features (Br
or CO bandheads emission) represent later stages of evolution
in which the envelope partially disappeared, revealing the disk
features. Their somewhat lower reddening and brightness in the [24] vs.
K-[24] diagram lend support to this hypothesis. In
that case, both Br
and CO emission could be produced in disks irradiated by the
nascent star, because Br
is emitted on the surface and CO close to the disk midplane, in zones
shielded from UV flux. This could explain that the H2 lines
are usually narrower than Br
in YSOs when both types of lines are detected (Table 5). The latter
being emitted on the disk's surface, it would be rotationally
broadened, while the former would reflect the shock conditions in the
dissolving envelope. We pointed out in Sect. 5.4 that a couple
of objects showed radial velocities different for Br
and H2. In the suggested scenario, this could be
explained if the H2 emission was
produced by interaction of a jet and the envelope. If this putative jet
was directed towards us, one could see a blueshifted H2 emission
compared to the Br
line
produced at the surface of the disk.
Another piece of information comes from the probable detection of jets in a few sources (Sect. 5.4). All of these sources (RCW82 7, RCW120 49, and RCW120 C4-67) have been classified as CO emitters. It means that they possess circumstellar disks. Since bipolar outflows are predicted to develop in accreting objects (e.g. Shu et al. 1994) the detection of jets in several of our YSO confirms that we are witnessing accretion phenomena. As a result, those objects fit in the scenario presented above and correspond to evolutionary stages where the envelope has disappeared. This is consistent with the fact that all these sources are at the limit between class I and class II sources (see Fig. 10 and Table 3).
Obviously, the scenario presented above remains highly
speculative. Future high-spectral resolution spectroscopy of objects
showing CO, Br
,
and H2 emission will certainly provide
more constraints on the geometry and dynamics of the line-emitting
regions. Nonetheless, if YSOs evolve spectroscopically according to the
previous path and if they were formed simultaneously, our observations
indicate that in the three H II regions
studied here YSOs evolve at different speeds (presumably due to their
different masses) since several types of objects are detected.
Alternatively, if one drops the assumption that all YSOs formed at the
same time, it means that the second-generation star formation event
lasted less than 2 Myr. Said differently, the typical
timescale for the evolution of YSOs (class 0 to
class II) should be
2 Myr.
7 Conclusion
We have obtained near-infrared integral field spectroscopy of three H II regions (RCW 79, RCW 82, RCW 120) with SINFONI on the VLT. The main results of our study follow:
- We have identified the ionizing sources of all three H II regions. RCW 79 is powered by a cluster of O stars unraveled here for the first time. The most massive stars have a spectral type O4-6V/III. A number of later type OB stars are also detected. RCW 82 is ionized by two O9-B2V/III stars and a third star, probably of spectral type Be. Finally, a single O6-8V/III star ionizes the H II region in RCW 120.

- The ionizing stars of each region were analyzed with
atmosphere models computed with the code CMFGEN. The derived stellar
properties were used to build the HR diagram. In the case of
RCW 79, the large number of stars allowed a reliable age
determination: the ionizing cluster formed 2.3
0.5
Myr ago. For the two other H II
regions, similar ages are suggested but are less well constrained
because there are not enough sources. An upper limit of 10-7
yr-1
was derived for the mass loss rate of the ionizing stars of all three
regions.

- The cumulative mass loss rate due to the O stars at the
center of RCW 79 is <10-6
yr-1.
The resulting wind mechanical luminosity is about 10-3
the ionizing luminosity. This is ten times weaker than in the numerical
simulations of Freyer et al.
(2003), raising the question of the quantitative role of
winds on the dynamics of the three H II regions
studied here. The hot dust emission close to the ionizing stars argues
against a strong influence of stellar winds.

- Spectroscopy of the infrared sources on the borders of the
H II regions revealed typical
signatures of young stellar objects. Four main categories of YSOs were
identified: (1) sources dominated by H2 emission
lines, (2) sources showing mainly Br
emission, (3)
sources with CO bandheads in emission, and (4) sources with CO
bandheads in absorption.

- Near and mid-infrared color-color and color-magnitude
diagrams indicate that all YSOs have SEDs dominated by non stellar
emission. In the Spitzer/IRAC [3.6]-[4.5] vs.
[5.8]-[8.0] diagram, essentially all YSOs are grouped at the
position between class I and class II objects. Only a couple
of H2 sources seem to be redder. The trend is
more clearly seen in the [24] vs. K-[24] diagram
where the H2 sources clearly form a distinct
group with stronger 24
m emission and redder K-[24]
colors.

- The detailed analysis of the H2 emitting sources through line ratios and excitation diagrams indicates that thermal emission is the dominant mechanism in the majority of sources. Slow J-shocks or fast C-shocks are the preferred explanation for this emission. Some sources show a possible weak contribution of fluorescence emission, and three are dominated by this mechanism.

- Measurement of radial velocities and line width was
performed in a few sources. In general, the derived radial velocities
are consistent with that of the ionized gas in the H II region,
confirming that the YSOs are closely associated with the regions. The
exception is RCW 120, for which most sources move 20
to 50 km s-1 faster than the
ionized gas. In sources showing both Br
and H2 lines, the former are
systematically wider (150/250 km s-1
vs. non-resolved/100 km s-1),
possibly because of a different spatial origin.

- Morphological studies reveal that, when both Br
and H2 emission are present, Br
is centered on the position of the YSO, while H2
emission is more extended. In some cases, the H2
emission peak is offset compared to that of the YSO. RCW120 51
presents a double H2/Br
cone structure following the ionization front. RCW82 7 (and
possibly RCW120 49 and RCW120 C4-67) has the H2
velocity structure typical of an outflow.
Future tailored observations of a few key YSOs will provide more information on the dynamics of the circumstellar material. Additional UV and optical spectroscopy of the ionizing stars of RCW 79 will help to refine the age estimate and to reveal a possible age difference with the stars in the CHII region on the border of RCW 79. This would be the first direct proof of triggered massive star formation. Better estimates of the mass loss rates will also be possible, helping to quantify the role of stellar winds in the dynamics of H II regions.
AcknowledgementsWe thank the ESO staff (especially Chris Lidman and Duncan Castex) for their help and efficiency during the observations. John Hillier is thanked for making his code CMFGEN freely available and for constant help with it. We acknowledge the help of Thomas Ott with QFitsView and the advice of Frank Eisenhauer on the data reduction. We thank an anonymous referee for a careful reading of the manuscript. This work made use of the GLIMPSE and MIPSGAL Spitzer Space Telescope Legacy surveys. The Spitzer Space Telescope is operated by the Jet Propulsion Laboratory, California Institute of Technology under a contract with NASA. This publication also makes use of data products from the Two Micron All Sky Survey, which is a joint project of the University of Massachusetts and the Infrared Processing and Analysis Center/California Institute of Technology, funded by NASA. The SIMBAD database operated by CDS, Strasbourg, France was used for the completion of this study.
Appendix A: Spectra
In this section, we present the spectra of our sources and the best fit to the ionizing sources (Figs. A.1 to A.4).
|
Figure A.1: SINFONI K-band spectra of the ionizing sources of RCW 79: O stars. The main stellar features are indicated. |
| Open with DEXTER | |
|
Figure A.2: SINFONI K-band spectra of central stars of H II regions. Left: Be and late type stars in RCW 79. Right: ionizing stars of RCW 82 and RCW 120. |
| Open with DEXTER | |
|
Figure A.3: Best CMFGEN fits (red) of RCW 79 ionizing sources spectra (black). |
| Open with DEXTER | |
|
Figure A.4: Best CMFGEN fits (red) of RCW 82 and RCW 120 ionizing sources spectra (black). |
| Open with DEXTER | |
|
Figure A.5:
Normalized SINFONI YSO spectra. Panel a),
b), c), and d)
show, respectively, the Br |
| Open with DEXTER | |
|
Figure A.6: Spectra of YSOs with composite features. |
| Open with DEXTER | |
Appendix B: Notes on individual objects
Here, we briefly summarize the main characteristics of each region. Figures B.1 to B.7 provide source identification as well as linemaps of a few YSOs.B.1 RCW 79
Eight sources were observed in this region. All present spectroscopic features typical of YSOs. Sources 237, 91, and 3C3 are resolved in multiple components (respectively Figs. B.1 and B.2).
Sources 237-b and 1C4 show a decreasing continuum together
with Na I, Ca I,
and CO absorptions. Source 1C4 also shows Br
in absorption.
Sources 2C3, 3C3, and 237 are dominated by H2 emission. According to their GLIMPSE colors, they are Class I sources, 3C3 and 237 being the reddest (high [3.6]-[4.5] color). This agrees with 3C3 and 237 having a rising continuum, whereas 2C3 has a flat one. Figure B.3 shows the H2 emission of RCW79 2C3. While the K-band features a point source, a more elongated structure is seen in the H2 map. The emission peak in the latter does not coincide with the YSO in the K-band: a large amount of molecular material is still present around the YSO. We could not construct the H2 velocity map because of the weak signal in the emitting regions. The H2 emission does not come directly from the YSO, and this should be kept in mind when interpreting the mixed results of Sect. 5.3 on the nature of the emission.
The spectrum of 237 is very similar to the one of source nr56c
(Martín-Hernández et al. 2008).
A bright H2 emission filament is
observed in the
field of source #237 (Fig. B.1). Its
velocity is that
of the H II region, and
this H2 emission filament corresponds to
the 8
m
emission that originates in the nearby PDR.
Sources 18 (Fig. B.1),
91 (Fig. B.2),
186 and 4C4 show wide Br
emission. A maser
was identified by
Caswell (2004) in the
region around source 91, but its association
with any of the near-IR sources is not obvious (see ZA06).
Sources 91, 18, and 4C4 are Class I sources, because
they have similar colors in the
GLIMPSE color-color diagram.
The field of the compact H II
region shows stellar sources and
extended Br
and H2 emission (Fig. B.4). The
Br
emission
(ionized gas) is confined within a region bounded by a
H2 filament. OB stars are observed as
dark spots in the
Br
map.
Surprisingly, the two brightest ionizing stars of the
compact H II region lie
in the direction of the H2 filament and
not in the ionized cavity; this might be a projection effect. The
extended Br
emission
and H2 filament have similar velocities,
also similar to that of the large central RCW 79 region.
Extended Br
and H2 emission are observed in the field of
source
1C4 (not shown). The Br
emission is probably that of the ionized
gas in RCW 79. The H2 emission comes
from the PDR. Both
emissions indicate velocities similar to that of the central
H II region.
Source 4C4 is a tight cluster composed of one bright object
and 6 much fainter components. They present an increasing
spectrum and a
faint Br
emission
line. No extended emission is observed in this
field.
B.2 RCW 82
Five candidates YSOs were observed in the direction of RCW 82,
all situated on the border of this H II region,
except possibly 51. Sources 4, 7, 35, and 51 have
been classified as Class I by PO09. Source 98 has not been
classified, because of uncertain J and H
measurements and an absence of 8
m measurement.
Source 4 is almost featureless, with a faint and wide Br
line, and a rising spectrum. This agrees with a Class I
source. A fainter source is present in the field, situated south-west
of 4; it shows no features, except an increasing continuum.
Source 7 has a rising spectrum with numerous H2 lines and CO headbands in emission. A disk is probably present. An H2 jet is observed (Fig. 15), confirming the youth of this object. Its evolutionary stage, I or II, is uncertain.
Source 35 shows all types of signatures (Br
and H2 lines, CO emission, and an
increasing spectrum). Its velocity field is unusual, with Br
emission at the velocity of the H II region,
but strongly
approaching H2 material. This source has
probably a dominant disk
and thus is probably a Class II object; ejection is possibly present,
but needs confirmation. An extended H2 emission
is observed in the
field (see Fig. B.1),
at the velocity of the
H II region. It probably
comes from the nearby PDR.
Source 51 shows a strong Br
emission line, an increasing spectrum,
and faint H2 and CO emission. Its high
emission in the 24
m
band indicates that it is probably a rather massive YSO. It lies at
the center of a cluster (Fig. B.1): several
faint
continuum sources are present in the field (see also Fig. 17
in
PO09).
Source 98 (Fig. B.1) shows
faint CO features in absorption; however it is most
probably a young source (and not an evolved star) as it presents an
increasing spectra. A bright extended H2
emission is present over
the whole field (Fig. A.8), at the velocity of the H
II region. Most
probably it is emitted in the vicinity of the PDR as confirmed by the
line ratios indicative of a non-thermal process (
and
).
|
Figure B.1:
Top panels: H2 maps of
YSOs with contours of the full K-band images
overplotted. The H2 emission is more extended
than the bulk of the K-band emission.
Bottom panels: Br |
| Open with DEXTER | |
|
Figure B.2:
Identification of the sub-components of YSOs RCW79 91 ( top
panels) and RCW79 3C3 ( bottom panels)
together with Br |
| Open with DEXTER | |
B.3 RCW 120
Ten sources were observed in the direction of RCW 120. Eight of them present spectroscopic features characteristic of YSOs. Two of them are different. They are:
RCW120 39 was classified as a Class II in DE09. The SINFONI
spectrum shows that it is most probably an evolved star, as it presents
strong CO absorption features and no other signature typical of YSOs.
RCW120 C4-64 was also classified as an intermediate Class I/II
source in DE09. However its spectrum is slowly decreasing; there is no
Br
nor H2 emission lines; only the CO
bands are observed in absorption.
Thus it is probably also an evolved star, located by chance on the
border of the C4 condensation.
RCW 120 lies only
12
of the Galactic center, and thus evolved stars of the Galactic bulge
may be present in the background.
RCW120 76 (Fig. B.1),
106, and 107 are rather similar,
almost featureless, with no or faint Br
line, no or faint H2lines and no CO emission
bands, along with an increasing
continuum. They are possibly the least evolved of the YSOs surrounding
RCW 120, mostly dominated by their envelope. They were
classified as
respectively Class I-II, Class I, and
Class I-II in DE09, in good
agreement with the present results.
RCW120 49 and 103 are similar, with strong Br
emission,
numerous H2 lines and CO bands,
superimposed on an increasing continuum. They are possibly more evolved
than the preceding group, the strong CO emission bands
pointing to a dominant disk. They were classified as
Class I-II and Class I in DE09.
Figure B.5
shows the H2 emission and velocity maps of
RCW120 49. The H2 emission shows multiple peaks
none of which is located at the K-band position of
the YSO. The H2 velocity map reveals that the
two H2 peaks on each side of the YSO have
different radial velocities. We note, however, that the H2
material at velocities of about -80 km s-1
corresponds to a weak emission region (it is slightly offset compared
to the emission peak seen in the H2 map). The H2
profile at this position is also peculiar in the sense that it probably
results from multiple components, being rather broad and featuring a
``shoulder'' on the blue side of the main emission peak. On the other
hand, the bright emission peak south-east of the YSO is significantly
detected at a lower velocity than the YSO itself and do not show any
peculiar line profile. The analysis of the H2 emission
lines in Sect. 5.3
indicated thermal emission with a possible small contribution from non
thermal emission
.
The presence of a jet would explain both this emission and the velocity
map.
|
Figure B.3: Morphology of RCW79 2C3. The image shows the H2 emission (created from the initial datacubes smoothed with a spatial Gaussian - FWHM = 3 pixels). North is up, east is to the left. The axis indicate the offsets (in arscsec) relative to the YSO position (coordinates given in Table 3). |
| Open with DEXTER | |
|
Figure B.4:
Br |
| Open with DEXTER | |
We have seen previously that YSO RCW120 103 had peculiar kinematical
properties, with H2 moving much faster than Br
(Sect. 5.4).
Figure B.6
shed more light on this problem. The H2 emission
peaks at the same position as the K-band emission.
But an arc/spiral is detected south of the YSO, showing that molecular
gas is present on wide scales. The velocity map confirms that a minimum
(around -90 km s-1) is located
on the YSO. But this map tend to show that a velocity gradient exists
on a direction south-east/north-west across the position of the YSO. A
similar map in Br
did not reveal any structure. We note however that the velocity
difference between both sides of the H2
structure is around 20 km s-1,
just at the limit of the resolution of our velocity measurements.
Hence, we refrain from interpreting too much this possible structure
and simply conclude that the geometry and dynamics of
RCW120 103 is probably rather complex. This is confirmed by
the velocity of the extended H2 emission
south of the YSO, which is intermediate between the velocity of the
H II region and that of
the YSO. We also point out that RCW82 35, which showed the
same velocity discrepancy as RCW120 103 (H2
velocity much higher than Br
velocity), did not reveal any velocity structure.
|
Figure B.5: Morphology and dynamics of RCW120 49. Top: H2 emission map with contours of the full K-band emission overplotted. Bottom: H2 velocity map (scale is in km s-1). North is up, east is to the left. The axis indicate the offsets (in arscsec) relative to the YSO position (coordinates given in Table 3). |
| Open with DEXTER | |
|
Figure B.6: Same as Fig. B.5 for YSO RCW120 103. |
| Open with DEXTER | |
The field of RCW120 51 contains several sources
(Fig. 14),
all observed in the direction of the ionized
gas. We see on the spectra the Br
emission of the
ionized gas. The
three brightest sources have a decreasing continuum; source 51b and
51c present CO absorption bands. These two sources are probably stars
and not YSOs. Source 51a is probably an YSO, as its
spectrum show
Br
emission
and no CO absorption. However we do not confirm the
Class I classification of DE09. YSO 51a lies at the
tip of a
``finger'', a structure of the ionization front bright in the mid-IR.
The proximity of this structure has probably hampered the photometric
measurements of this object.
|
Figure B.7: Identification of YSOs in condensation 4 of RCW 120. North is up and east is to the left. The axis indicates the RA and Dec offsets (in arcsec) relative to source 67. |
| Open with DEXTER | |
Condensation 4 contains several sources with different properties
(Fig. B.7).
Sources A and Ba/Bb are respectively
at the center of zones of extended 8
m and 24
m emission
resembling small PDRs. The
2MASS photometry of the central
objects point to late B stars (DE09). The SINFONI spectra of
these 3 sources show decreasing continua. Source A shows both
Br
and CO absorption. This might result from the blending of two
sources, one
with each type of features, or be indicative of a medium type
star. Source Ba has Br
in absorption and is most likely a B star,
while source Bb features CO absorption bands and is either a late type
star or a YSO (see Sect. 5.1).
Three sources are observed
in the field of RCW120 69. They all have a flat continuum. RCW120
C4-69a is featureless. RCW120 C4-69c has CO absorption bands. RCW120
C4-69b show faint CO absorption bands but Br
in emission. Extended
H2 emission is observed south-east of the main
source. These
sources are probably evolved YSOs, RCW120 C4-69b being the
youngest. RCW120 C4-69, considered as a single source, was classified
Class I by DE09. However it is not a Class I, but more
probably a
Class II or III.
References
- Abuter, R., Schreiber, J., Eisenhauer, F., et al. 2006, New Astron. Rev., 50, 398 [NASA ADS] [CrossRef] [Google Scholar]
- Allen, L. E., Calvet, N., D'Alessio, P., et al. 2004, ApJS, 154, 363 [NASA ADS] [CrossRef] [Google Scholar]
- Aspin, C., Beck, T. L., Pyo, T.-S., et al. 2009a, AJ, 137, 431 [NASA ADS] [CrossRef] [Google Scholar]
- Aspin, C., Reipurth, B., Beck, T. L., et al. 2009b, ApJ, 692, L67 [NASA ADS] [CrossRef] [Google Scholar]
- Avedisova, V. S., & Kondratenko, G. I. 1984, Nauchnye Informatsii, 56, 59 [NASA ADS] [Google Scholar]
- Benjamin, R. A., Churchwell, E., Babler, B. L., et al. 2003, PASP, 115, 953 [NASA ADS] [CrossRef] [Google Scholar]
- Berthoud, M. G., Keller, L. D., Herter, T. L., Richter, M. J., & Whelan, D. G. 2007, ApJ, 660, 461 [NASA ADS] [CrossRef] [Google Scholar]
- Bik, A., & Thi, W. F. 2004, A&A, 427, L13 [NASA ADS] [CrossRef] [EDP Sciences] [Google Scholar]
- Bik, A., Kaper, L., Hanson, M. M., & Smits, M. 2005, A&A, 440, 121 [NASA ADS] [CrossRef] [EDP Sciences] [Google Scholar]
- Bik, A., Kaper, L., & Waters, L. B. F. M. 2006, A&A, 455, 561 [NASA ADS] [CrossRef] [EDP Sciences] [Google Scholar]
- Black, J. H., & van Dishoeck, E. F. 1987, ApJ, 322, 412 [NASA ADS] [CrossRef] [Google Scholar]
- Blandford, R. D., & Payne, D. G. 1982, MNRAS, 199, 883 [NASA ADS] [CrossRef] [Google Scholar]
- Blomme, R., Prinja, R. K., Runacres, M. C., & Colley, S. 2002, A&A, 382, 921 [NASA ADS] [CrossRef] [EDP Sciences] [Google Scholar]
- Bouret, J.-C., Lanz, T., Hillier, D. J., et al. 2003, ApJ, 595, 1182 [NASA ADS] [CrossRef] [Google Scholar]
- Bouret, J.-C., Lanz, T., & Hillier, D. J. 2005, A&A, 438, 301 [NASA ADS] [CrossRef] [EDP Sciences] [Google Scholar]
- Brighenti, F., & D'Ercole, A. 1997, MNRAS, 285, 387 [NASA ADS] [Google Scholar]
- Burton, M. G., Hollenbach, D. J., & Tielens, A. G. G. M. 1990, ApJ, 365, 620 [NASA ADS] [CrossRef] [Google Scholar]
- Calvet, N., Patino, A., Magris, G. C., & D'Alessio, P. 1991, ApJ, 380, 617 [NASA ADS] [CrossRef] [Google Scholar]
- Capriotti, E. R., & Kozminski, J. F. 2001, PASP, 113, 677 [NASA ADS] [CrossRef] [Google Scholar]
- Carey, S. J., Noriega-Crespo, A., Mizuno, D. R., et al. 2009, PASP, 121, 76 [NASA ADS] [CrossRef] [Google Scholar]
- Casali, M. M., & Matthews, H. E. 1992, MNRAS, 258, 399 [NASA ADS] [CrossRef] [Google Scholar]
- Caswell, J. L. 2004, MNRAS, 351, 279 [NASA ADS] [CrossRef] [Google Scholar]
- Chandler, C. J., Carlstrom, J. E., Scoville, N. Z., Dent, W. R. F., & Geballe, T. R. 1993, ApJ, 412, L71 [NASA ADS] [CrossRef] [Google Scholar]
- Chandler, C. J., Carlstrom, J. E., & Scoville, N. Z. 1995, ApJ, 446, 793 [NASA ADS] [CrossRef] [Google Scholar]
- Churchwell, E., Povich, M. S., Allen, D., et al. 2006, ApJ, 649, 759 [NASA ADS] [CrossRef] [Google Scholar]
- Clark, J. S., & Steele, I. A. 2000, A&AS, 141, 65 [NASA ADS] [CrossRef] [EDP Sciences] [Google Scholar]
- Crampton, D. 1971, AJ, 76, 260 [NASA ADS] [CrossRef] [Google Scholar]
- Davies, R., Ward, M., & Sugai, H. 2000, ApJ, 535, 735 [NASA ADS] [CrossRef] [Google Scholar]
- Deharveng, L., & Zavagno, A. 2008, RCW 120: A Perfect Bubble, ed. B. Reipurth, 437 [Google Scholar]
- Deharveng, L., Lefloch, B., Zavagno, A., et al. 2003, A&A, 408, L25 [NASA ADS] [CrossRef] [EDP Sciences] [Google Scholar]
- Deharveng, L., Zavagno, A., & Caplan, J. 2005, A&A, 433, 565 [NASA ADS] [CrossRef] [EDP Sciences] [Google Scholar]
- Deharveng, L., Lefloch, B., Kurtz, S., et al. 2008, A&A, 482, 585 [NASA ADS] [CrossRef] [EDP Sciences] [Google Scholar]
- Deharveng, L., Zavagno, A., Schuller, F., et al. 2009, A&A, 496, 177 [NASA ADS] [CrossRef] [EDP Sciences] [Google Scholar]
- Duvert, G., Cernicharo, J., Bachiller, R., & Gomez-Gonzalez, J. 1990, A&A, 233, 190 [NASA ADS] [Google Scholar]
- Dyson, J. E., & Williams, D. A. 1997, The physics of the interstellar medium, ed. J. E. Dyson, & D. A. Williams [Google Scholar]
- Eisenhauer, F., Tecza, M., Thatte, N., et al. 2003, The Messenger, 113, 17 [NASA ADS] [Google Scholar]
- Elmegreen, B. G., & Lada, C. J. 1977, ApJ, 214, 725 [NASA ADS] [CrossRef] [Google Scholar]
- Eversberg, T., Lepine, S., & Moffat, A. F. J. 1998, ApJ, 494, 799 [NASA ADS] [CrossRef] [Google Scholar]
- Freyer, T., Hensler, G., & Yorke, H. W. 2003, ApJ, 594, 888 [NASA ADS] [CrossRef] [Google Scholar]
- Freyer, T., Hensler, G., & Yorke, H. W. 2006, ApJ, 638, 262 [NASA ADS] [CrossRef] [Google Scholar]
- Fullerton, A. W., Massa, D. L., & Prinja, R. K. 2006, ApJ, 637, 1025 [NASA ADS] [CrossRef] [Google Scholar]
- Georgelin, Y. P., & Georgelin, Y. M. 1970, A&AS, 3, 1 [NASA ADS] [Google Scholar]
- Garcia-Segura, G., & Franco, J. 1996, ApJ, 469, 171 [NASA ADS] [CrossRef] [Google Scholar]
- Garcia-Segura, G., & Mac Low, M.-M. 1995, ApJ, 455, 160 [NASA ADS] [CrossRef] [Google Scholar]
- Grevesse, N., Asplund, M., & Sauval, A. J. 2007, Space Sci. Rev., 130, 105 [Google Scholar]
- Güdel, M., Briggs, K. R., Montmerle, T., et al. 2008, Science, 319, 309 [NASA ADS] [CrossRef] [PubMed] [Google Scholar]
- Gustafsson, M., Labadie, L., Herbst, T. M., & Kasper, M. 2008, A&A, 488, 235 [NASA ADS] [CrossRef] [EDP Sciences] [Google Scholar]
- Hamann, W.-R., & Koesterke, L. 1998, A&A, 335, 1003 [NASA ADS] [Google Scholar]
- Hanson, M. M., Conti, P. S., & Rieke, M. J. 1996, ApJS, 107, 281 [Google Scholar]
- Hanson, M. M., Kudritzki, R.-P., Kenworthy, M. A., Puls, J., & Tokunaga, A. T. 2005, ApJS, 161, 154 [NASA ADS] [CrossRef] [EDP Sciences] [MathSciNet] [Google Scholar]
- Hasegawa, T., Gatley, I., Garden, R. P., et al. 1987, ApJ, 318, L77 [NASA ADS] [CrossRef] [Google Scholar]
- Hatano, H., Kadowaki, R., Nakajima, Y., et al. 2006, AJ, 132, 2653 [NASA ADS] [CrossRef] [Google Scholar]
- Hillier, D. J. 1991, A&A, 247, 455 [NASA ADS] [Google Scholar]
- Hillier, D. J., & Miller, D. L. 1998, ApJ, 496, 407 [NASA ADS] [CrossRef] [Google Scholar]
- Hillier, D. J., Davidson, K., Ishibashi, K., & Gull, T. 2001, ApJ, 553, 837 [NASA ADS] [CrossRef] [Google Scholar]
- Hillier, D. J., Lanz, T., Heap, S. R., et al. 2003, ApJ, 588, 1039 [NASA ADS] [CrossRef] [Google Scholar]
- Hoffmeister, V. H., Chini, R., Scheyda, C. M., et al. 2006, A&A, 457, L29 [NASA ADS] [CrossRef] [EDP Sciences] [Google Scholar]
- Indebetouw, R., Mathis, J. S., Babler, B. L., et al. 2005, ApJ, 619, 931 [NASA ADS] [CrossRef] [Google Scholar]
- Inoue, A. K. 2002, ApJ, 570, 688 [NASA ADS] [CrossRef] [Google Scholar]
- Jones, A., Frey, V., Verstraete, L., Cox, P., & Demyk, K. 1999, in The Universe as Seen by ISO, ed. P. Cox, & M. Kessler, ESA SP-427, 679 [Google Scholar]
- Kang, M., Bieging, J. H., Kulesa, C. A., & Lee, Y. 2009, ApJ, 701, 454 [NASA ADS] [CrossRef] [Google Scholar]
- Kraus, M., Krügel, E., Thum, C., & Geballe, T. R. 2000, A&A, 362, 158 [NASA ADS] [Google Scholar]
- Kraus, S., Hofmann, K.-H., Benisty, M., et al. 2008, A&A, 489, 1157 [NASA ADS] [CrossRef] [EDP Sciences] [Google Scholar]
- Krumholz, M. R., & Matzner, C. D. 2009, ApJ, 703, 1352 [NASA ADS] [CrossRef] [Google Scholar]
- Lanz, T., & Hubeny, I. 2003, ApJS, 146, 417 [NASA ADS] [CrossRef] [Google Scholar]
- Lefloch, B., & Lazareff, B. 1994, A&A, 289, 559 [NASA ADS] [Google Scholar]
- Lépine, S., & Moffat, A. F. J. 1999, ApJ, 514, 909 [NASA ADS] [CrossRef] [Google Scholar]
- Lorenzetti, D., Larionov, V. M., Giannini, T., et al. 2009, ApJ, 693, 1056 [NASA ADS] [CrossRef] [Google Scholar]
- Lutz, D. 1999, in The Universe as Seen by ISO, ed. P. Cox, & M. Kessler, ESA Spec. Pub., 427, 623 [Google Scholar]
- Marcolino, W. L. F., Bouret, J.-C., Martins, F., et al. 2009, A&A, 498, 837 [NASA ADS] [CrossRef] [EDP Sciences] [Google Scholar]
- Martín-Hernández, N. L., Bik, A., Puga, E., Nürnberger, D. E. A., & Bronfman, L. 2008, A&A, 489, 229 [NASA ADS] [CrossRef] [EDP Sciences] [Google Scholar]
- Martins, F., & Plez, B. 2006, A&A, 457, 637 [NASA ADS] [CrossRef] [EDP Sciences] [Google Scholar]
- Martins, F., Schaerer, D., Hillier, D. J., & Heydari-Malayeri, M. 2004, A&A, 420, 1087 [NASA ADS] [CrossRef] [EDP Sciences] [Google Scholar]
- Martins, F., Schaerer, D., & Hillier, D. J. 2005a, A&A, 436, 1049 [NASA ADS] [CrossRef] [EDP Sciences] [Google Scholar]
- Martins, F., Schaerer, D., Hillier, D. J., et al. 2005b, A&A, 441, 735 [NASA ADS] [CrossRef] [EDP Sciences] [Google Scholar]
- Martins, F., Hillier, D. J., Paumard, T., et al. 2008, A&A, 478, 219 [NASA ADS] [CrossRef] [EDP Sciences] [Google Scholar]
- McNeil, J. W., Reipurth, B., & Meech, K. 2004, IAU Circ., 8284, 1 [NASA ADS] [Google Scholar]
- Meynet, G., & Maeder, A. 2003, A&A, 404, 975 [NASA ADS] [CrossRef] [EDP Sciences] [Google Scholar]
- Meynet, G., & Maeder, A. 2005, A&A, 429, 581 [Google Scholar]
- Moneti, A., Stolovy, S., Blommaert, J. A. D. L., Figer, D. F., & Najarro, F. 2001, A&A, 366, 106 [NASA ADS] [CrossRef] [EDP Sciences] [Google Scholar]
- Muzerolle, J., D'Alessio, P., Calvet, N., & Hartmann, L. 2004, ApJ, 617, 406 [NASA ADS] [CrossRef] [Google Scholar]
- Najarro, F., Hillier, D. J., Kudritzki, R. P., et al. 1994, A&A, 285, 573 [NASA ADS] [Google Scholar]
- Najarro, F., Hillier, D. J., Puls, J., Lanz, T., & Martins, F. 2006, A&A, 456, 659 [NASA ADS] [CrossRef] [EDP Sciences] [Google Scholar]
- Pomarès, M., Zavagno, A., Deharveng, L., et al. 2009, A&A, 494, 987 [NASA ADS] [CrossRef] [EDP Sciences] [Google Scholar]
- Povich, M. S., Stone, J. M., Churchwell, E., et al. 2007, ApJ, 660, 346 [NASA ADS] [CrossRef] [Google Scholar]
- Prinja, R. K., Barlow, M. J., & Howarth, I. D. 1990, ApJ, 361, 607 [NASA ADS] [CrossRef] [Google Scholar]
- Reipurth, B., & Aspin, C. 1997, AJ, 114, 2700 [NASA ADS] [CrossRef] [Google Scholar]
- Repolust, T., Puls, J., & Herrero, A. 2004, A&A, 415, 349 [NASA ADS] [CrossRef] [EDP Sciences] [Google Scholar]
- Repolust, T., Puls, J., Hanson, M. M., Kudritzki, R.-P., & Mokiem, M. R. 2005, A&A, 440, 261 [NASA ADS] [CrossRef] [EDP Sciences] [Google Scholar]
- Robitaille, T. P., Meade, M. R., Babler, B. L., et al. 2008, AJ, 136, 2413 [NASA ADS] [CrossRef] [Google Scholar]
- Robitaille, T. P., Whitney, B. A., Indebetouw, R., Wood, K., & Denzmore, P. 2006, ApJS, 167, 256 [NASA ADS] [CrossRef] [Google Scholar]
- Rodgers, A. W., Campbell, C. T., & Whiteoak, J. B. 1960, MNRAS, 121, 103 [NASA ADS] [CrossRef] [Google Scholar]
- Russeil, D., Georgelin, Y. M., Amram, P., et al. 1998, A&AS, 130, 119 [NASA ADS] [CrossRef] [EDP Sciences] [Google Scholar]
- Scoville, N. Z., Hall, D. N. B., Ridgway, S. T., & Kleinmann, S. G. 1979, ApJ, 232, L121 [NASA ADS] [CrossRef] [Google Scholar]
- Shu, F., Najita, J., Ostriker, E., et al. 1994, ApJ, 429, 781 [NASA ADS] [CrossRef] [Google Scholar]
- Smith, M. D., & Rosen, A. 2005, MNRAS, 357, 1370 [NASA ADS] [CrossRef] [Google Scholar]
- Smith, M. D., Davis, C. J., & Lioure, A. 1997, A&A, 327, 1206 [NASA ADS] [Google Scholar]
- Srinivasan, S., Meixner, M., Leitherer, C., et al. 2009, AJ, 137, 4810 [NASA ADS] [CrossRef] [Google Scholar]
- Tatulli, E., Malbet, F., Ménard, F., et al. 2008, A&A, 489, 1151 [NASA ADS] [CrossRef] [EDP Sciences] [Google Scholar]
- Townsley, L. K., Feigelson, E. D., Montmerle, T., et al. 2003, ApJ, 593, 874 [NASA ADS] [CrossRef] [Google Scholar]
- van den Ancker, M. E. 2005, A&A, 442, L57 [NASA ADS] [CrossRef] [EDP Sciences] [Google Scholar]
- Vink, J. S., de Koter, A., & Lamers, H. J. G. L. M. 2001, A&A, 369, 574 [NASA ADS] [CrossRef] [EDP Sciences] [Google Scholar]
- Vishniac, E. T. 1983, ApJ, 274, 152 [NASA ADS] [CrossRef] [Google Scholar]
- Walborn, N. R., Maíz-Apellániz, J., & Barbá, R. H. 2002, AJ, 124, 1601 [NASA ADS] [CrossRef] [Google Scholar]
- Watson, C., Povich, M. S., Churchwell, E. B., et al. 2008, ApJ, 681, 1341 [NASA ADS] [CrossRef] [Google Scholar]
- Whitney, B. A., Wood, K., Bjorkman, J. E., & Cohen, M. 2003a, ApJ, 598, 1079 [NASA ADS] [CrossRef] [Google Scholar]
- Whitney, B. A., Wood, K., Bjorkman, J. E., & Wolff, M. J. 2003b, ApJ, 591, 1049 [Google Scholar]
- Whitworth, A. P., Bhattal, A. S., Chapman, S. J., Disney, M. J., & Turner, J. A. 1994, MNRAS, 268, 291 [NASA ADS] [CrossRef] [Google Scholar]
- Zavagno, A., Deharveng, L., Comerón, F., et al. 2006, A&A, 446, 171 [NASA ADS] [CrossRef] [EDP Sciences] [Google Scholar]
- Zavagno, A., Pomarès, M., Deharveng, L., et al. 2007, A&A, 472, 835 [NASA ADS] [CrossRef] [EDP Sciences] [Google Scholar]
Footnotes
- ... regions
- Based on observations collected at the ESO Very Large Telescope (program 081.C-0057).
- ... QFitsView
- http://www.mpe.mpg.de/ ott/QFitsView/
- ... stars
- CO absorption is also observed in red supergiants. However, those stars are much brighter than O stars in the K-band. This is not the case of the stars with CO absorption of our sample.
- ... ISM
- Two types of shocks are usually encountered: J-shocks (for Jump shocks) in which the change in density and velocity occurs on scales much shorter than the radiative cooling scale, and C-shocks (for Continuous shocks) in which the changes take place on a longer scale.
- ...
YSO
- The velocity map also reveal a region of lower velocity south-west of the YSO, but the emission is weaker here and the result is less significant.
- ... emission
- The analysis was performed on the spectrum extracted at the position of the H2 emission peak.
All Tables
Table 1: Position and photometry of ionizing stars.
Table 2: Derived stellar properties of the ionizing stars of RCW 79, RCW 82 and RCW 120.
Table 3: 2MASS and NTT/SofI JHK, Spitzer-GLIMPSE, Spitzer-MIPS, and AKARI magnitudes of YSOs.
Table 4: Characteristics of the YSO spectra.
Table 5: Velocity measurements.
All Figures
|
Figure 1:
Identification of the RCW 79 YSOs targeted in the present
study on a composite infrared color image. Blue and green are the
Siptzer-GLIMPSE images at 3.6 and 8.0 |
| Open with DEXTER | |
| In the text | |
|
Figure 2: Same as Fig. 1 for RCW 82. |
| Open with DEXTER | |
| In the text | |
|
Figure 3: Same as Fig. 1 for RCW 120. On this image, the extended high brightness emission has been subtracted to enhance the small-scale structures and the point sources. |
| Open with DEXTER | |
| In the text | |
|
Figure 4: K-band images of the ionizing star cluster of RCW79 from 2MASS ( left) and SINFONI ( right). The intensity of the SINFONI image corresponds to the median of the spectral dimension of the datacube. |
| Open with DEXTER | |
| In the text | |
|
Figure 5: Same as Fig. 4 for RCW 82 ( top) and RCW 120 ( bottom). North is up and east is left. |
| Open with DEXTER | |
| In the text | |
|
Figure 6:
Mass loss estimate for star RCW79 5a. The black solid line is the
observed spectrum. The colored lines refer to models with different
mass loss rates. A conservative upper limit of 10-7 |
| Open with DEXTER | |
| In the text | |
|
Figure 7: HR diagram of the ionizing sources of RCW 79 ( left) and RCW 82 and RCW 120 ( right). Evolutionary tracks are from Meynet & Maeder (2003). Isochrones corresponding to ages of 1, 2, 3, 4, 5 Myr are shown by magenta dashed lines. Left: blue circles are the ionizing stars of RCW 79 and the green triangle is star number 6 in the compact H II region on the border of RCW 79. Right: the ionizing source of RCW 120 is shown by the green triangle, while the two O stars ionizing RCW 82 (sources e2 and e3) are shown by the blue circles. The Be star (e1) is not shown because its properties have not been derived in our study. |
| Open with DEXTER | |
| In the text | |
|
Figure 8:
Age estimate of the cluster of the ionizing sources of RCW 79.
A value of 2.3 |
| Open with DEXTER | |
| In the text | |
|
Figure 9: JHK Color-color diagram (magnitudes from 2MASS and NTT-SofI) of the YSOs associated with RCW 79, RCW 82 and RCW 120. The location of main sequence stars is shown by the solid line. Reddening lines have a length corresponding to a visual extinction of 40 mag. Filled (open) triangles correspond to good (uncertain, from 2MASS catalog flag) magnitude measurements. Star symbols following the names indicate multiple sources. The typical error bar of good measurements is indicated. |
| Open with DEXTER | |
| In the text | |
|
Figure 10:
Color-color diagram with SPITZER/IRAC magnitudes of the YSOs associated
with RCW 79, RCW 82 and RCW 120. Different
symbols are used for the four spectroscopic groups defined in
Sect. 5.1:
triangles for H2 sources, squares for CO
absorption sources, circles for CO emission sources and
diamonds for Br |
| Open with DEXTER | |
| In the text | |
|
Figure 11:
Color-magnitude diagram with SPITZER/MIPS 24 |
| Open with DEXTER | |
| In the text | |
|
Figure 12: [3.6]-[5.8] vs. [8.0]-[24] diagram. The symbols have the same meaning as in Fig. 10. The arrow indicates an extinction of AV=40 mag. The solid lines delineate the areas where stage I and II objects of Robitaille et al. (2006) are found (see their Fig. 23). Star symbols following source names indicate multiple sources. |
| Open with DEXTER | |
| In the text | |
|
Figure 13:
H2 excitation diagram of the sources showing H2 emission
spectra (either pure or mixed with other spectral features). All
N/g numbers are relative to N/g for transition 1-0S(1). The
solid line are fits to the |
| Open with DEXTER | |
| In the text | |
|
Figure 14:
Morphology of RCW120 51. Left panel: Br |
| Open with DEXTER | |
| In the text | |
| |
Figure 15:
Morphology and dynamics of RCW82 7. Left panel: H2
emission map together with contours of the full K-band
emission. Right panel: H2
2.12 |
| Open with DEXTER | |
| In the text | |
|
Figure 16: Morphology of RCW120 C4-67. The image shows the H2 emission map (created from the initial datacubes smoothed with a spatial Gaussian - FWHM = 3 pixels). Contours of the full K-band emission are overplotted. North is up, east is to the left. The axis indicate the offsets (in arscseconds) relative to the YSO position (coordinates given in Table 3). |
| Open with DEXTER | |
| In the text | |
|
Figure 17:
Composite color image around the ionizing stars or cluster in the three
H II regions:
red is the Spitzer-MIPSGAL emission at 24 |
| Open with DEXTER | |
| In the text | |
|
Figure A.1: SINFONI K-band spectra of the ionizing sources of RCW 79: O stars. The main stellar features are indicated. |
| Open with DEXTER | |
| In the text | |
|
Figure A.2: SINFONI K-band spectra of central stars of H II regions. Left: Be and late type stars in RCW 79. Right: ionizing stars of RCW 82 and RCW 120. |
| Open with DEXTER | |
| In the text | |
|
Figure A.3: Best CMFGEN fits (red) of RCW 79 ionizing sources spectra (black). |
| Open with DEXTER | |
| In the text | |
|
Figure A.4: Best CMFGEN fits (red) of RCW 82 and RCW 120 ionizing sources spectra (black). |
| Open with DEXTER | |
| In the text | |
|
Figure A.5:
Normalized SINFONI YSO spectra. Panel a),
b), c), and d)
show, respectively, the Br |
| Open with DEXTER | |
| In the text | |
|
Figure A.6: Spectra of YSOs with composite features. |
| Open with DEXTER | |
| In the text | |
|
Figure B.1:
Top panels: H2 maps of
YSOs with contours of the full K-band images
overplotted. The H2 emission is more extended
than the bulk of the K-band emission.
Bottom panels: Br |
| Open with DEXTER | |
| In the text | |
|
Figure B.2:
Identification of the sub-components of YSOs RCW79 91 ( top
panels) and RCW79 3C3 ( bottom panels)
together with Br |
| Open with DEXTER | |
| In the text | |
|
Figure B.3: Morphology of RCW79 2C3. The image shows the H2 emission (created from the initial datacubes smoothed with a spatial Gaussian - FWHM = 3 pixels). North is up, east is to the left. The axis indicate the offsets (in arscsec) relative to the YSO position (coordinates given in Table 3). |
| Open with DEXTER | |
| In the text | |
|
Figure B.4:
Br |
| Open with DEXTER | |
| In the text | |
|
Figure B.5: Morphology and dynamics of RCW120 49. Top: H2 emission map with contours of the full K-band emission overplotted. Bottom: H2 velocity map (scale is in km s-1). North is up, east is to the left. The axis indicate the offsets (in arscsec) relative to the YSO position (coordinates given in Table 3). |
| Open with DEXTER | |
| In the text | |
|
Figure B.6: Same as Fig. B.5 for YSO RCW120 103. |
| Open with DEXTER | |
| In the text | |
|
Figure B.7: Identification of YSOs in condensation 4 of RCW 120. North is up and east is to the left. The axis indicates the RA and Dec offsets (in arcsec) relative to source 67. |
| Open with DEXTER | |
| In the text | |
Copyright ESO 2010
Current usage metrics show cumulative count of Article Views (full-text article views including HTML views, PDF and ePub downloads, according to the available data) and Abstracts Views on Vision4Press platform.
Data correspond to usage on the plateform after 2015. The current usage metrics is available 48-96 hours after online publication and is updated daily on week days.
Initial download of the metrics may take a while.
![\begin{figure}
\par\includegraphics[width=9cm,clip]{13158f1.eps}
\end{figure}](/articles/aa/full_html/2010/02/aa13158-09/Timg11.png)
![\begin{figure}
\par\includegraphics[width=9cm,clip]{13158f2.eps}
\end{figure}](/articles/aa/full_html/2010/02/aa13158-09/Timg13.png)
![\begin{figure}
\par\includegraphics[width=9cm,clip]{13158f3.eps}
\end{figure}](/articles/aa/full_html/2010/02/aa13158-09/Timg16.png)
![\begin{figure}
\par\includegraphics[width=9cm]{13158f4.eps}
\end{figure}](/articles/aa/full_html/2010/02/aa13158-09/Timg19.png)
![\begin{figure}
\par\includegraphics[width=9cm]{13158f5.eps}
\end{figure}](/articles/aa/full_html/2010/02/aa13158-09/Timg20.png)
![\begin{figure}
\par\includegraphics[width=8.7cm,clip]{13158f6.eps}
\end{figure}](/articles/aa/full_html/2010/02/aa13158-09/Timg32.png)
![\begin{figure}
\par\includegraphics[width=7cm,clip]{13158f7a.eps}\hspace*{3mm}
\includegraphics[width=7cm,clip]{13158f7b.eps}
\end{figure}](/articles/aa/full_html/2010/02/aa13158-09/Timg53.png)
![\begin{figure}
\par\includegraphics[width=8.5cm,clip]{13158f8.eps}
\end{figure}](/articles/aa/full_html/2010/02/aa13158-09/Timg58.png)
![\begin{figure}
\par\includegraphics[angle=0,width=8.6cm,clip]{13158f9.eps}
\end{figure}](/articles/aa/full_html/2010/02/aa13158-09/Timg63.png)
![\begin{figure}
\par\includegraphics[angle=0,width=8.6cm,clip]{13158f10.eps}
\end{figure}](/articles/aa/full_html/2010/02/aa13158-09/Timg64.png)
![\begin{figure}
\par\includegraphics[angle=0,width=8.6cm,clip]{13158f11.eps}
\end{figure}](/articles/aa/full_html/2010/02/aa13158-09/Timg68.png)
![\begin{figure}
\par\includegraphics[angle=0,width=8.26cm,clip]{13158f12.eps}
\end{figure}](/articles/aa/full_html/2010/02/aa13158-09/Timg69.png)
![\begin{figure}
\par\includegraphics[width=14cm,clip]{13158f13.eps}
\end{figure}](/articles/aa/full_html/2010/02/aa13158-09/Timg73.png)
![\begin{figure}
\par\includegraphics[width=9cm,angle=0,clip]{13158f14.eps}
\end{figure}](/articles/aa/full_html/2010/02/aa13158-09/Timg82.png)
![\begin{figure}
\par\includegraphics[height=8cm,angle=0]{13158f16.eps}
\end{figure}](/articles/aa/full_html/2010/02/aa13158-09/Timg84.png)
![\begin{figure}
\par\includegraphics[width=8.5cm,clip]{13158f18.eps}
\end{figure}](/articles/aa/full_html/2010/02/aa13158-09/Timg88.png)
![\begin{figure}
\par\includegraphics[width=7cm,clip]{13158f19.eps}\hspace*{3mm}
\includegraphics[width=7cm,clip]{13158f20.eps}
\end{figure}](/articles/aa/full_html/2010/02/aa13158-09/Timg89.png)
![\begin{figure}
\par\includegraphics[width=7cm,clip]{13158f21.eps}\hspace*{3mm}
\includegraphics[width=7cm,clip]{13158f22.eps} \end{figure}](/articles/aa/full_html/2010/02/aa13158-09/Timg90.png)
![\begin{figure}
\par\includegraphics[width=7.3cm,clip]{13158f23.eps}
\end{figure}](/articles/aa/full_html/2010/02/aa13158-09/Timg91.png)
![\begin{figure}
\par\mbox{\subfigure[] {
\includegraphics[width=.45\textwidth]{1...
...gure[] {
\includegraphics[width=.45\textwidth]{13158f28.eps} }}
\end{figure}](/articles/aa/full_html/2010/02/aa13158-09/Timg92.png)
![\begin{figure}
\par\includegraphics[width=8.3cm,clip]{13158f29.eps}
\end{figure}](/articles/aa/full_html/2010/02/aa13158-09/Timg93.png)
![\begin{figure}
\par\includegraphics[width=16.5cm,clip]{13158f30.eps}
\end{figure}](/articles/aa/full_html/2010/02/aa13158-09/Timg96.png)
![\begin{figure}
\par\includegraphics[width=16.5cm,clip]{13158f31.eps}
\end{figure}](/articles/aa/full_html/2010/02/aa13158-09/Timg97.png)
![\begin{figure}
\par\includegraphics[width=7.8cm,clip]{13158f32.eps}
\end{figure}](/articles/aa/full_html/2010/02/aa13158-09/Timg98.png)
![\begin{figure}
\par\includegraphics[width=7.6cm,clip]{13158f33.eps}
\end{figure}](/articles/aa/full_html/2010/02/aa13158-09/Timg99.png)
![\begin{figure}
\par\includegraphics[height=8.8cm,clip]{13158f34.eps}
\end{figure}](/articles/aa/full_html/2010/02/aa13158-09/Timg100.png)
![\begin{figure}
\par\includegraphics[height=8.8cm,clip]{13158f35.eps}
\end{figure}](/articles/aa/full_html/2010/02/aa13158-09/Timg101.png)
![\begin{figure}
\par\includegraphics[width=8cm,clip]{13158f36.eps}
\end{figure}](/articles/aa/full_html/2010/02/aa13158-09/Timg102.png)