| Issue |
A&A
Volume 511, February 2010
|
|
|---|---|---|
| Article Number | A80 | |
| Number of page(s) | 8 | |
| Section | Astrophysical processes | |
| DOI | https://doi.org/10.1051/0004-6361/200913442 | |
| Published online | 16 March 2010 | |
Relativistic tidal compressions of a star by a massive black hole
M. Brassart - J.-P. Luminet
Laboratoire Univers et Théories, Observatoire de Paris, CNRS, Université Paris Diderot, 5 place Jules Janssen, 92190 Meudon, France
Received 9 October 2009 / Accepted 28 November 2009
Abstract
Aims. We investigate the stellar pancake mechanism during
which a solar-type star is tidally flattened within its orbital plane
as it passes close to a
black hole.
Methods. We simulated the relativistic orthogonal compression
process and follow the associated shock waves formation. We considered
a one-dimensional hydrodynamical stellar model moving in the
relativistic gravitational field of a non-rotating black hole. The
model is numerically solved using a Godunov-type shock-capturing
source-splitting method to correctly reproduce the shock wave profiles.
Results. Simulations confirm that the space-time curvature can
induce several successive orthogonal compressions of the star, which
give rise to several strong shock waves. The shock waves finally escape
from the star and repeatedly heat up the stellar surface to high-energy
values. Such a shock-heating could interestingly provide a direct
observational signature of strongly disruptive star - black hole
encounters through the emission of hard X or soft
-ray bursts. Timescales and energies of such a process are consistent with some observed events such as GRB 970815.
Key words: black hole physics - stars: evolution - galaxies: nuclei - hydrodynamics - shock waves
1 Introduction
It has long been underlined that stars orbiting close enough to massive black holes could be tidally flattened into a transient pancake-shape configuration until full disruption (Carter & Luminet 1983,1982). The strongest compressions have been predicted to trigger thermonuclear explosion in the core of small main-sequence stars that graze black holes from thousands up to millions of solar masses (Luminet & Pichon 1989; Pichon 1985). The presence of specific proton-enriched chemical elements near galactic centres may be compatible with the stellar pancake nucleosynthesis (Luminet & Barbuy 1990).
More recently, high-resolution hydrodynamical simulations have shown
that the tidal compression could independently give rise to strong
shock waves within the stellar matter (Kobayashi et al. 2004; Brassart & Luminet 2008; Guillochon et al. 2009).
Propagating outwards, shock waves may then be able to quickly heat up
the stellar surface and lead to the emission of a new type of hard X or soft
-ray bursts.
The aftermath of tidal disruptions of stars by massive black holes have already been detected from nearby, otherwise quiescent galactic cores through giant-amplitude persistent X-UV flares (e.g. Gezari et al. 2006; Komossa & Greiner 1999; Greiner et al. 2000; Cappelluti et al. 2009; Komossa et al. 2004; Gezari et al. 2008; Grupe et al. 1999; Komossa 2002; Esquej et al. 2007; Bade et al. 1996; Halpern et al. 2004). These flares have arisen from the long-term evolution when part of the liberated stellar gas was being accreted by the central black holes. However, the very short-timescale high-energy flares due to the initial compression of the star could interestingly allow disruptions to be perceived from their beginning.
In our previous article (Brassart & Luminet 2008, hereafter Paper I), we simulated the tidal compression orthogonal to the orbital plane using a one-dimensional Godunov-type shock-capturing hydrodynamical model and assuming that the star evolved within a Newtonian external gravitational field. In this article, we naturally extend the model to the general relativistic case of a non-rotating Schwarzschild black hole and present some complementary results.
In the following, relativistic equations are expressed in geometrized units c=G=1, Greek indices run from 0 to 3 and Latin ones from 1 to 3.
2 Basic equations
2.1 Orbital equations of motion and relativistic tidal field
We consider the Schwarzschild coordinates in which the black hole of mass
is described by the usual spherically symmetric line element
The motion of the star's centre of mass follows a timelike geodesic of proper time
with
The tidal field applied within the star is characterized by the
relative acceleration between infinitesimal matter elements viewed as a
collection of test particles. Let
be the four-velocity of the star's centre of mass, and
the four-separation with a nearby test particle moving along an adjacent geodesic such that
.
Their relative acceleration obeys the geodesic deviation equation (e.g. Misner et al. 1973)
with
where the indice in brackets refers to a vector of the tetrad,
the tidal acceleration (6) can thus be written in the Newtonian-type form (Pirani 1956),
where the tidal tensor is defined in terms of the Riemann curvature tensor as
The symmetric traceless tidal tensor represents the first quadrupolar contribution of the tidal potential
The higher-order contributions relating the deviation of the star's orbit from a strict geodesic can be neglected by considering the small size of the star.
It is possible to directly connect the tetrad to the coordinates of the star's centre of mass along its geodesic (Marck 1983). It comes out as
where
with
From (14)-(19) and the Riemann curvature tensor, the non-zero components of the tidal tensor (12) for a Schwarzschild space-time take the explicit form
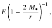
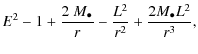
We assume that the star draws a parabolic-type orbit around the black hole for which E=1 and
The critical value
where
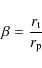
where the periastron is set through the value of the penetration factor
of the orbit within the characteristic disruption tidal radius
with
To solve the orbital Eqs. (2)-(5) and (20) of parabolic motion with E=1, we rewrite them as (Frolov & Novikov 1998)
defining
and switching to dimensionless variables
with
introducing the elliptical integrals of the first and second kind
with
The equivalent expressions for
2.2 Hydrodynamical equations
Except for the definition of the tidal field, the hydrodynamical model closely follows the assumptions made in Paper I. Since the size of the star is excessively small relative to the curvature radius of the external space-time, it is quite possible to keep a Newtonian description of its internal motions. The hydrodynamics is described in the comoving reference frame that is parallely propagated along the geodesic of the star's centre of mass. We still restrict simulation of the one-dimensional motion of the stellar matter along the orthogonal direction to the orbital plane when the star is moving within the tidal radius. As emphasized in Paper I, such an approximation (compared to full three-dimensional hydrodynamics) is justified when the star evolution is only calculated during the free-fall and bounce-expansion phases, since then the vertical motion is fully decoupled from the induced motions in the orbital plane, and the latter are negligible compared to the dynamics in the vertical direction.
Setting a vertical z axis from the centre to the poles of the star, the Euler's equations write
defining
as the conserved variables, the fluxes, and the sources, respectively, where
| Figure 1:
Left: parabolic-type geodesic orbit of a solar-type star around a
|
|
| Open with DEXTER | |
The specific total energy
includes the specific internal energy
The corresponding temperature satisfies
with
The general three-dimensional expression of the tidal acceleration is given by (11) with (21)-(25). However, for the one-dimensional model, we only need to take into account the third component which is responsible for the compressive motion orthogonal to the orbital plane. It writes simply as
with the specific orbital angular momentum of the star defined by (29) and the radial coordinate deduced from the resolution of (44).
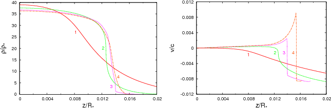
| Figure 2:
Density ( left) and velocity ( right) profiles in the positive vertical direction z at different proper times |
|
| Open with DEXTER | |
| Figure 3:
Left: parabolic-type geodesic orbit of a solar-type star around a
|
|
| Open with DEXTER | |
|
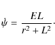
Figure 4:
Velocity ( left) and Mach number ( right) profiles in the positive vertical direction z at different proper times |
| Open with DEXTER | |
|
Figure 5:
Evolution of the tidal acceleration at the surface of the star as a function of proper time |
| Open with DEXTER | |
|
Figure 6:
Density ( left) and velocity ( right) profiles in the positive vertical direction z at different proper times |
| Open with DEXTER | |
Finally, the conservation form of the Euler's Eqs. (51)-(54) represents a hyperbolic system of conservation laws. It is solved by the Godunov-type shock-capturing source-splitting algorithm explained in Paper I.
3 Results
Identically to the Newtonian calculations, we are interested in typical encounters between a black hole of mass
and a main-sequence star of mass
and radius
taken as an initial polytrope of polytropic index 3/2.
The initial central density, pressure, and temperature are respectively noted as
,
,
and
.
We consider cases where the star plunges deeply with
within the tidal radius (31) to simulate its resulting orthogonal compression. The existence of the minimum periastron (27), however, imposes a maximum penetration factor
(and above this value the star enters the black hole).
Relativistic modifications on the stellar orbit and on the tidal
field significantly appear when the star approaches the black hole's
gravitational radius. Due to relativistic precession, the
parabolic-type orbit must eventually intersect once in the
Schwarzschild space-time, and depending on the position of the crossing
point, the star can be subjected to several successive compressions
during its motion within the tidal radius (Laguna et al. 1993; Luminet & Marck 1985).
Crossing orbit outside the tidal radius
A first encounter with
is illustrated in Fig. 1.
The star is still far away from the gravitational radius for the
space-time curvature to remain weak and for the crossing point to be
located outside the tidal radius.
The description of the tidal compression process therefore proceeds as
in the Newtonian case in three distinct phases: overall free fall,
central bounce-expansion with shock waves formation, overall expansion
(see, Paper I; Figs. 4, 6, 7).
The evolution of the hydrodynamical variables during the
bounce-expansion phase can be followed in Fig. 2.
Crossing orbit inside the tidal radius
A second encounter is illustrated in Fig. 3 for a penetration factor
,
huge enough for the star to come nearer to the black hole's
gravitational radius and experience the space-time curvature.
The stellar orbit winds up around the black hole within the tidal
radius, which allows the tidal field to highly compress the star twice
before and after the periastron.
The stellar matter enters a first supersonic free-fall phase until the central pressure highly increases to make it bounce and stop the compressive motion (Fig. 4). As in the previous case, a strong shock wave S1 forms outwards during the bounce, and escapes from the stellar medium to give way to an overall supersonic expansion. However, since the periastron has not yet been reached, the tidal field again becomes prevailing relative to the central pressure of the star, which decreases as suddenly as it previously increased (Fig. 5).
|
Figure 7:
Evolution of the central pressure as a function of proper time |
| Open with DEXTER | |
The stellar matter is then forced to enter a second free-fall phase after the periastron, which occurs in a different way to the first one (Fig. 6). During that phase, a strong shock wave S2 forms as was already the case in the Newtonian context for large-enough penetration factors (see, Paper I; Figs. 8, 13). However, its formation occurs quite a bit further from the centre of the star. The shock wave propagates more slowly than the stellar matter collapsing behind it, so that the latter goes through the former, which is finally ejected from the medium without reaching the centre of the star. While the stellar matter continues to collapse, the central pressure again begins to increase (Fig. 7) following the winding of the stellar orbit, and a third shock wave S3 of small amplitude forms. This shock wave propagates up to the centre, where it collides with the symmetric shock wave propagating on the other side of the orbital plane.
|
Figure 8:
Density ( left) and velocity ( right) profiles in the positive vertical direction z at different proper times |
| Open with DEXTER | |
|
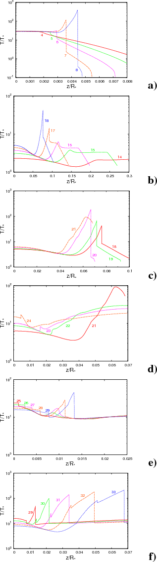
Figure 9:
Temperature profiles in the positive vertical direction z at different proper times |
| Open with DEXTER | |
The reflexion of both shock waves definitely stops the central
compression, and the stellar matter again begins to expand from the
centre (Fig. 8).
In front of the reflected shock wave, a last shock wave S4
finally forms following the pressure waves, which are generated by the
opposite motions of expansion and collapse. This strong shock wave
propagates up to the stellar surface and escapes followed by the
previous one. The whole compressive motion stops to give way to a
second phase of overall expansion while the star moves towards the
tidal radius.
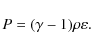
Observational signature via X/
-ray bursts
As already highlighted in Paper I, the shock waves
generated during the single Newtonian orthogonal compression could
highly heat up the surface of the star in the hard X or soft
-ray domains.
Such a mechanism may provide a direct observational signature of strongly disruptive encounters between stars and massive black holes in galactic nuclei.
The temperature profiles associated to the double relativistic orthogonal compression of the star are reproduced in Fig. 9.
The different shock waves actually lead to heating the stellar surface up three times:
a first time by the shock wave S1 formed during the first bounce-expansion phase;
a second time by the shock wave S2 formed during the second free-fall phase, and finally caught up by the faster stellar surface;
a third time, quite near to the previous one, by the shock wave S4 formed during the second bounce-expansion phase.
On each occasion, the shock waves transmit a temperature
at the stellar surface (Fig. 10).
|
Figure 10:
Evolution of the temperature as a function of proper time |
| Open with DEXTER | |
|
Figure 11:
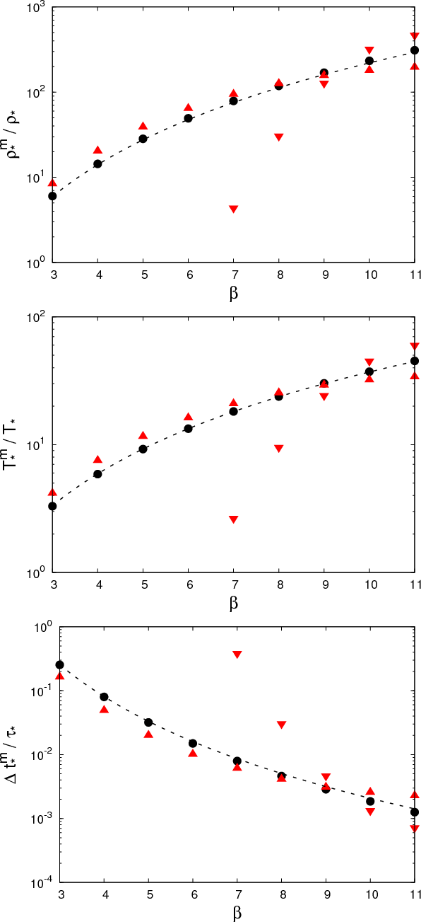
Evolutions of the maximum central density ( top), maximum central temperature ( middle), and duration during which the highest values are maintained ( bottom) as functions of the penetration factor |
| Open with DEXTER | |
Therefore, it appears that the prompt emission of hard X or soft
-ray
bursts, which may be associated to the stellar pancake mechanism, would
be interestingly intensified by the relativistic effects of multiple
compressions.
4 Conclusion
We have presented first explorative results on the star's tidal compressions by a massive Schwarzschild black hole, which account for the intrinsic shock waves formation orthogonal to the orbital plane. Whereas the stellar core would be heated up by the external compressive tidal field (Fig. 11), the hydrodynamical simulations also suggest that the stellar surface would be heated up during the shock waves propagation.Besides the more restrictive scenario of the core thermonuclear explosion, it is thus believed that the close passage of a star to a massive black hole may be directly revealed as highly energetic, short-timescale bursts originating from the shocked stellar surface. It is well known that some observed gamma-ray light curves present two or more peaks with complex structures (e.g. Fishman 1995). Could some of them be interpreted as tidally-induced pancake stars? Typical timescales shown in Fig. 10 for a star - black hole encounter along a relativistic self-crossing orbit are quite consistent with those of a short duration gamma-ray burst with two peaks of energy separated by a hundred seconds, comparable to what has been observed e.g. in GRB 970815 (Smith et al. 2002). The long-duration GRB 060614 has also been tentatively interpreted by other authors as a strongly disruptive star - black hole encounter (Lu et al. 2008).
Tidally-induced gamma-ray bursts are estimated to occur once every 103-105 years per galaxy, depending on the nuclear stellar density profile and the mass of the central black hole (Wang & Merritt 2004).
Such a rate can even be increased by a factor 104 in the case of a massive binary black hole (Chen et al. 2009).
Since most of the galaxies - including our own Milky Way -
harbour a central massive black hole, and since the full observable
universe is transparent in X or
-ray domains, several events of this kind would then be detectable each year.
To characterize this signature well and make valuable comparisons with observational data of high-energy bursts, simulations have to consider the full stellar pancake's structure and the radiative transfer of energy through the layers of the star. From this perspective, three-dimensional high-resolution shock-capturing simulations have been performed recently in the context of a Newtonian gravitational field and have shown that shock waves actually form in several other directions within the star with the consequence of isotropizing the surface temperature (Guillochon et al. 2009).
AcknowledgementsMatthieu Brassart warmly thanks the Fondation des Treilles (France) for the financial support of this study.
References
- Bade, N., Komossa, S., & Dahlem, M. 1996, A&A, 309, L35 [NASA ADS] [Google Scholar]
- Brassart, M., & Luminet, J.-P. 2008, A&A, 481, 259 [NASA ADS] [CrossRef] [EDP Sciences] [Google Scholar]
- Cappelluti, N., Ajello, M., Rebusco, P., et al. 2009, A&A, 495, L9 [Google Scholar]
- Carter, B., & Luminet, J.-P. 1982, Nature, 296, 211 [NASA ADS] [CrossRef] [Google Scholar]
- Carter, B., & Luminet, J.-P. 1983, A&A, 121, 97 [NASA ADS] [Google Scholar]
- Chandrasekhar, S. 1983, The mathematical theory of black holes (Clarendon) [Google Scholar]
- Chen, X., Madau, P., Sesana, A., et al. 2009, ApJ, 697, L149 [NASA ADS] [CrossRef] [Google Scholar]
- Esquej, P., Saxton, R. D., Freyberg, M. J., et al. 2007, A&A, 462, L49 [NASA ADS] [CrossRef] [EDP Sciences] [Google Scholar]
- Fishman, G. J. 1995, PASP, 107, 1145 [NASA ADS] [CrossRef] [Google Scholar]
- Frolov, V. P., & Novikov, I. D. 1998, Black hole physics: basic concepts and new developments (Kluwer) [Google Scholar]
- Gezari, S., Basa, S., Martin, D. C., et al. 2008, ApJ, 676, 944 [NASA ADS] [CrossRef] [Google Scholar]
- Gezari, S., Martin, D. C., Milliard, B., et al. 2006, ApJ, 653, L25 [NASA ADS] [CrossRef] [Google Scholar]
- Greiner, J., Schwarz, R., Zharikov, S., et al. 2000, A&A, 362, L25 [NASA ADS] [Google Scholar]
- Grupe, D., Thomas, H.-C., & Leighly, K. M. 1999, A&A, 350, L31 [NASA ADS] [Google Scholar]
- Guillochon, J., Ramirez-Ruiz, E., Rosswog, S., et al. 2009, ApJ, 705, 844 [NASA ADS] [CrossRef] [Google Scholar]
- Halpern, J. P., Gezari, S., & Komossa, S. 2004, ApJ, 604, 572 [NASA ADS] [CrossRef] [Google Scholar]
- Kobayashi, S., Laguna, P., Phinney, E. S., et al. 2004, ApJ, 615, 855 [NASA ADS] [CrossRef] [Google Scholar]
- Komossa, S. 2002, Rev. Mod. Astron., 15, 27 [NASA ADS] [Google Scholar]
- Komossa, S., & Greiner, J. 1999, A&A, 349, L45 [NASA ADS] [Google Scholar]
- Komossa, S., Halpern, J., Schartel, N., et al. 2004, ApJ, 603, L17 [NASA ADS] [CrossRef] [Google Scholar]
- Laguna, P., Miller, W. A., Zurek, W. H., et al. 1993, ApJ, 410, L83 [NASA ADS] [CrossRef] [Google Scholar]
- Lu, Y., Huang, Y. F., & Zhang, S. N. 2008, ApJ, 684, 1330 [NASA ADS] [CrossRef] [Google Scholar]
- Luminet, J.-P., & Barbuy, B. 1990, AJ, 99, 838 [NASA ADS] [CrossRef] [Google Scholar]
- Luminet, J.-P., & Marck, J.-A. 1985, MNRAS, 212, 57 [NASA ADS] [Google Scholar]
- Luminet, J.-P., & Pichon, B. 1989, A&A, 209, 85 [NASA ADS] [Google Scholar]
- Marck, J.-A. 1983, Proc. R. Soc. Lond. A, 385, 431 [Google Scholar]
- Misner, C. W., Thorne, K. S., & Wheeler, J. A. 1973, Gravitation (Freeman) [Google Scholar]
- Pichon, B. 1985, A&A, 145, 387 [NASA ADS] [Google Scholar]
- Pirani, F. A. E. 1956, Acta Phys. Polonica, 15, 389 [Google Scholar]
- Smith, D. A., Levine, A., Bradt, H., et al. 2002, ApJS, 141, 415 [NASA ADS] [CrossRef] [Google Scholar]
- Wang, J., & Merritt, D. 2004, ApJ, 600, 149 [NASA ADS] [CrossRef] [Google Scholar]
All Figures
| |
Figure 1:
Left: parabolic-type geodesic orbit of a solar-type star around a
|
| Open with DEXTER | |
| In the text | |
| |
Figure 2:
Density ( left) and velocity ( right) profiles in the positive vertical direction z at different proper times |
| Open with DEXTER | |
| In the text | |
| |
Figure 3:
Left: parabolic-type geodesic orbit of a solar-type star around a
|
| Open with DEXTER | |
| In the text | |
|
Figure 4:
Velocity ( left) and Mach number ( right) profiles in the positive vertical direction z at different proper times |
| Open with DEXTER | |
| In the text | |
|
Figure 5:
Evolution of the tidal acceleration at the surface of the star as a function of proper time |
| Open with DEXTER | |
| In the text | |
|
Figure 6:
Density ( left) and velocity ( right) profiles in the positive vertical direction z at different proper times |
| Open with DEXTER | |
| In the text | |
|
Figure 7:
Evolution of the central pressure as a function of proper time |
| Open with DEXTER | |
| In the text | |
|
Figure 8:
Density ( left) and velocity ( right) profiles in the positive vertical direction z at different proper times |
| Open with DEXTER | |
| In the text | |
|
Figure 9:
Temperature profiles in the positive vertical direction z at different proper times |
| Open with DEXTER | |
| In the text | |
|
Figure 10:
Evolution of the temperature as a function of proper time |
| Open with DEXTER | |
| In the text | |
|
Figure 11:
Evolutions of the maximum central density ( top), maximum central temperature ( middle), and duration during which the highest values are maintained ( bottom) as functions of the penetration factor |
| Open with DEXTER | |
| In the text | |
Copyright ESO 2010
Current usage metrics show cumulative count of Article Views (full-text article views including HTML views, PDF and ePub downloads, according to the available data) and Abstracts Views on Vision4Press platform.
Data correspond to usage on the plateform after 2015. The current usage metrics is available 48-96 hours after online publication and is updated daily on week days.
Initial download of the metrics may take a while.
![\begin{figure}
\begin{tabular}{ccc}
\hspace{-0.3cm}
\includegraphics[width=4.5cm...
...ce{-0.8cm}
\includegraphics[width=4.5cm]{13442f11.eps}\end{tabular}
\end{figure}](/articles/aa/full_html/2010/03/aa13442-09/Timg158.png)
![\begin{figure}
\par\includegraphics[width=8cm,clip]{13442f12.eps}
\vspace*{3mm}
\end{figure}](/articles/aa/full_html/2010/03/aa13442-09/Timg159.png)
![\begin{figure}
\par\begin{tabular}{ccc}
\hspace{-0.3cm}
\includegraphics[width=4...
...e{-0.8cm}
\includegraphics[width=4.13cm]{13442f18.eps}\end{tabular}
\end{figure}](/articles/aa/full_html/2010/03/aa13442-09/Timg160.png)

![\begin{figure}
\begin{tabular}{ccc}
\includegraphics[width=4.5cm]{13442f20.eps} ...
...cludegraphics[width=4.5cm]{13442f23.eps}\end{tabular}
\vspace*{4mm}
\end{figure}](/articles/aa/full_html/2010/03/aa13442-09/Timg170.png)
![\begin{figure}
\par\begin{tabular}{cc}
\includegraphics[width=3.8cm]{13442f24.ep...
...includegraphics[width=3.8cm]{13442f29.eps} &
{\bf f)}
\end{tabular}
\end{figure}](/articles/aa/full_html/2010/03/aa13442-09/Timg171.png)

![\begin{figure}
\par\includegraphics[width=8.5cm]{13442f31.eps}\\
\includegraphi...
....5cm]{13442f32.eps}\\
\includegraphics[width=8.5cm]{13442f33.eps}
\end{figure}](/articles/aa/full_html/2010/03/aa13442-09/Timg183.png)