Issue |
A&A
Volume 512, March-April 2010
|
|
---|---|---|
Article Number | A81 | |
Number of page(s) | 28 | |
Section | Interstellar and circumstellar matter | |
DOI | https://doi.org/10.1051/0004-6361/200912437 | |
Published online | 09 April 2010 |
Comparing the statistics of interstellar turbulence in simulations and observations
Solenoidal versus compressive turbulence
forcing![[*]](/icons/foot_motif.png)
C. Federrath1,2,3 - J. Roman-Duval4,5 - R. S. Klessen1 - W. Schmidt6,7 - M.-M. Mac Low2,3
1 - Zentrum für Astronomie der Universität Heidelberg, Institut für
Theoretische Astrophysik, Albert-Ueberle-Str. 2, 69120
Heidelberg, Germany
2 - Max-Planck-Institut für Astronomie, Königstuhl 17, 69117
Heidelberg, Germany
3 - Department of Astrophysics, American Museum of Natural History,
Central Park West at 79th Street, New York, NY 10024-5192, USA
4 - Space Telescope Science Institute, 3700 San Martin Drive,
Baltimore, MD 21218, USA
5 - Astronomy Department, Boston University, 725 Commonwealth Avenue,
Boston, MA 02215, USA
6 - Institut für Astrophysik, Universität Göttingen,
Friedrich-Hund-Platz 1, 37077 Göttingen, Germany
7 - Lehrstuhl für Astronomie, Institut für Theoretische Physik und
Astrophysik, Universität Würzburg, Am Hubland, 97074 Würzburg, Germany
Received 7 May 2009 / Accepted 15 January 2010
Abstract
Context. Density and velocity fluctuations on
virtually all scales observed with modern telescopes show that
molecular clouds (MCs) are turbulent. The forcing and structural
characteristics of this turbulence are, however, still poorly
understood.
Aims. To shed light on this subject, we study two
limiting cases of turbulence forcing in numerical experiments:
solenoidal (divergence-free) forcing and compressive (curl-free)
forcing, and compare our results to observations.
Methods. We solve the equations of hydrodynamics on
grids with up to 10243 cells for purely
solenoidal and purely compressive forcing. Eleven lower-resolution
models with different forcing mixtures are also analysed.
Results. Using Fourier spectra and -variance,
we find velocity dispersion-size relations consistent with observations
and independent numerical simulations, irrespective of the type of
forcing. However, compressive forcing yields stronger compression at
the same rms Mach number than solenoidal forcing, resulting in a three
times larger standard deviation of volumetric and column density
probability distributions (PDFs). We compare our results to different
characterisations of several observed regions, and find evidence of
different forcing functions. Column density PDFs in the
Perseus MC suggest the presence of a mainly
compressive forcing agent within a shell, driven by a massive star.
Although the PDFs are close to log-normal, they have non-Gaussian
skewness and kurtosis caused by intermittency. Centroid velocity
increments measured in the Polaris Flare on intermediate
scales agree with solenoidal forcing on that scale. However,
-variance
analysis of the column density in the Polaris Flare suggests
that turbulence is driven on large scales, with a significant
compressive component on the forcing scale. This indicates that,
although likely driven with mostly compressive modes on large scales,
turbulence can behave like solenoidal turbulence on smaller scales.
Principal component analysis of G216-2.5 and most of the
Rosette MC agree with solenoidal forcing, but the
interior of an ionised shell within the Rosette MC
displays clear signatures of compressive forcing.
Conclusions. The strong dependence of the density
PDF on the type of forcing must be taken into account in any theory
using the PDF to predict properties of star formation. We supply a
quantitative description of this dependence. We find that different
observed regions show evidence of different mixtures of compressive and
solenoidal forcing, with more compressive forcing occurring primarily
in swept-up shells. Finally, we emphasise the role of the sonic scale
for protostellar core formation, because core formation close to the
sonic scale would naturally explain the observed subsonic velocity
dispersions of protostellar cores.
Key words: hydrodynamics - ISM: clouds - ISM: kinematics and dynamics - methods: numerical - methods: statistical - turbulence
1 Introduction
Studying the density and velocity distributions of interstellar gas provides essential information about virtually all physical processes relevant to the dynamical evolution of the interstellar medium (ISM). Along with gravity, magnetic fields and the thermodynamics of the gas, supersonic turbulence plays a fundamental role in determining the density and velocity statistics of the ISM (e.g., Scalo et al. 1998). Thus, supersonic turbulence is considered a key process for star formation (Scalo & Elmegreen 2004; Elmegreen & Scalo 2004; McKee & Ostriker 2007; Mac Low & Klessen 2004).
In this paper, we continue our analysis of the density probability distribution function (PDF) obtained in numerical experiments of driven supersonic isothermal turbulence. Understanding the density PDF and its turbulent origin is essential, because it is a key ingredient for analytical models of star formation: the turbulent density PDF is used to explain the stellar initial mass function (Hennebelle & Chabrier 2009,2008; Padoan & Nordlund 2002), the star formation rate (Padoan & Nordlund 2009; Krumholz & McKee 2005; Krumholz et al. 2009), the star formation efficiency (Elmegreen 2008), and the Kennicutt-Schmidt relation on galactic scales (Elmegreen 2002; Tassis 2007; Kravtsov 2003). In Federrath et al. (2008b), we found that supersonic turbulence driven by a purely compressive (curl-free) force field yields a density PDF with roughly three times larger standard deviation compared to solenoidal (divergence-free) turbulence forcing, which strongly affects the results obtained in these analytical models. Here, we want to compare our results for the density PDF to observations of column density PDFs (e.g., Goodman et al. 2009).
Moreover, in Federrath
et al. (2009) we investigated the fractal density
distribution of our two models with solenoidal and compressive
turbulence forcing, which showed that compressive forcing yields a
significantly lower fractal dimension (
)
compared to solenoidal forcing (
). In the present
contribution, we consider the scaling of centroid velocity increments
computed for these models, and we compare them to observations of the
Polaris Flare by Hily-Blant
et al. (2008). We additionally used principal
component analysis and compared our results to observations of the
G216-2.5 (Maddalena's Cloud) and the
Rosette MC by Heyer
et al. (2006).
Our results indicate that interstellar turbulence is driven by mixtures of solenoidal and compressive forcing. The ratio between solenoidal and compressive modes of the turbulence forcing may vary strongly across different regions of the ISM. This provides an explanation for the apparent lack of correlation between turbulent density and velocity dispersions found in observations (e.g., Pineda et al. 2008; Goodman et al. 2009). We conclude that solenoidal forcing is more likely to be realised in quiescent regions with low star formation activity as in the Polaris Flare and in Maddalena's Cloud. On the other hand, in regions of enhanced stellar feedback, compressive forcing leads to larger standard deviations of the density PDFs, as seen in one of the subregions of the Perseus MC surrounding a central B star. Moreover, compressive forcing exhibits a higher scaling exponent of principal component analysis than solenoidal forcing. This higher scaling exponent is consistent with the measured scaling exponent for the interior of an ionising shell in the Rosette MC.
In Sect. 2, we explain
the numerical setup and turbulence forcing used for the present study.
We discuss our results obtained using PDFs, centroid velocity
increments, principal component analysis, Fourier spectrum functions,
and -variance
analyses in Sects. 3-7,
respectively. In each of these sections, we compare the turbulence
statistics obtained for solenoidal and compressive forcing with
observational data available in the literature.
In Sect. 8,
we discuss the possibility that transonic pre-stellar cores typically
form close to the sonic scale in a globally supersonic, turbulent
medium. Section 9
provides a list of the limitations in our comparison of numerical
simulations with observations. A summary of our results and
conclusions is given in Sect. 10.
2 Simulations and methods
The piecewise parabolic method (Colella
& Woodward 1984), implemented in the astrophysical
code FLASH3 (Dubey
et al. 2008; Fryxell et al. 2000)
was used to integrate the equations of hydrodynamics on
three-dimensional (3D) periodic uniform grids with 2563,
5123, and 10243 grid points.
Since isothermal gas is assumed throughout this study, it is
convenient to define
as the natural logarithm of the density divided by the mean density




where


2.1 Forcing module
Equations (2)
and (3)
have been solved before in the context of molecular cloud dynamics,
studying compressible turbulence with either solenoidal
(divergence-free) forcing or with a 2:1 mixture of
solenoidal to compressive modes in the turbulence forcing (e.g., Dib
et al. 2008; Stone et al. 1998;
Padoan
et al. 2004; Mac Low et al. 1998;
Offner
et al. 2008; Klessen et al. 2000;
Mac Low 1999;
Padoan
et al. 1997; Klessen 2001; Li
et al. 2003; Schmidt et al. 2009;
Ballesteros-Paredes
et al. 2006; Jappsen et al. 2005;
Boldyrev
et al. 2002; Heitsch et al. 2001;
Kritsuk
et al. 2007; Kissmann et al. 2008).
The case of a 2:1 mixture of solenoidal to
compressive modes is the natural result obtained for
3D forcing, if no Helmholtz decomposition (see below)
is performed. Then, the solenoidal modes occupy two of the three
available spatial dimensions on average, while the compressive modes
only occupy one (Federrath
et al. 2008b; Elmegreen & Scalo 2004).
In the present study, the solenoidal forcing case is thus also used as
a control run for comparison with previous studies using solenoidal
forcing. However, we additionally applied purely compressive
(curl-free) forcing and analysed the resulting turbulence statistics in
detail. Each simulation at a resolution of 10243 grid cells
consumed roughly .
Therefore, we concentrated on two extreme cases of turbulence forcing
with high resolution: (1) the widely adopted purely solenoidal
forcing (
),
and (2) purely compressive forcing (
).
However, we also studied eleven simulations at numerical resolution
of 2563 in which we smoothly varied the
forcing from purely solenoidal to purely compressive by producing
eleven different forcing mixtures.
The forcing term
is often modelled with a spatially static pattern, for which the
amplitude is adjusted in time following the methods introduced by Mac Low et al. (1998)
and Stone
et al. (1998). This results in a roughly constant
energy input on large scales. Other studies model the random forcing
term
such that it can vary in time and space (e.g., Federrath
et al. 2008b; Schmidt et al. 2009;
Padoan
et al. 2004; Kritsuk et al. 2007).
Here, we used the Ornstein-Uhlenbeck (OU) process to model
,
which belongs to the latter type. The OU process is a
well-defined stochastic process with a finite autocorrelation
timescale. It can be used to excite turbulent motions
in 3D, 2D, and 1D simulations as explained in Eswaran & Pope (1988)
and Schmidt
et al. (2006). Using an OU process enables
us to control the autocorrelation timescale T
of the forcing. The concept of using the OU process to excite
turbulence and the projections in Fourier space necessary to get
solenoidal and compressive force fields are described below.
The OU process is a stochastic differential equation
describing the evolution of the forcing term
in Fourier space (k-space):
The first term on the right hand side is a diffusion term. This term is modelled using a Wiener process


![]() |
(5) |
where



where





![$\zeta\in[0,1]$](/articles/aa/full_html/2010/04/aa12437-09/img92.png)

and by evaluating the norm of the full projection tensor
The result of the last equation depends on the dimensionality D=1,2,3 of the forcing, because the norm of the Kronecker symbol




Figure 1 provides a graphical representation of this ratio for the 1D, 2D, and 3D case. For comparison, we plot numerical values of the forcing ratio obtained in eleven 3D and 2D hydrodynamical runs with resolutions of 2563 and 10242 grid points, in which we have varied the forcing parameter



![$\zeta =[0,1]$](/articles/aa/full_html/2010/04/aa12437-09/img2.png)




![]() |
Figure 1:
Ratio of compressive power to the total power in the turbulence force
field. The solid lines labelled with 1D, 2D, and 3D
show the analytical expectation for this ratio, Eq. (9),
as a function of the forcing parameter |
Open with DEXTER |
The second term on the right hand side of Eq. (4) is a drift term,
which models the exponentially decaying correlation of the force field
with itself. Thus, the autocorrelation timescale of the forcing is
denoted by T. We set the autocorrelation
timescale equal to the dynamical timescale T=L/(2V)
on the scale of energy injection, where L
is the size of the computational domain,
and
is the rms Mach number in all runs. The autocorrelation timescale is
therefore equal to the decay time constant in supersonic hydrodynamic
and magnetohydrodynamic turbulence driven on large scales (Stone
et al. 1998; Mac Low 1999). The forcing
amplitude
is a paraboloid in
3D Fourier space, only containing power on
the largest scales in a small interval of wavenumbers
peaking at k=2, which corresponds to half of the
box size L/2. The effects of varying the
scale of energy input were investigated by Mac
Low (1999), Klessen
et al. (2000), Heitsch et al.
(2001) and Vázquez-Semadeni
et al. (2003). Here, we consider large-scale
stochastic forcing, which is closer to the observational data (e.g., Ossenkopf
& Mac Low 2002; Brunt et al. 2009).
This type of forcing models the kinetic energy input from large-scale
turbulent fluctuations, breaking up into smaller structures. Kinetic
energy cascades down to smaller and smaller scales, and thereby
effectively drives turbulent fluctuations on scales smaller than the
turbulence injection scale.
We have verified that our results are not sensitive to the
general approach of using an Ornstein-Uhlenbeck process for the
turbulence forcing. For instance, we have used an almost
static forcing pattern, which is obtained in the limit
in test simulations. We have furthermore checked that the particular
choice of Fourier amplitudes did not affect our results by using a band
spectrum instead of a parabolic forcing spectrum. Varying these
parameters did not strongly affect our results. In contrast,
changing
from
(solenoidal forcing) to
(compressive forcing) always led to significant changes in the
turbulence statistics.
2.2 Initial conditions and post-processing
Starting from a uniform density distribution and zero velocities, the
forcing excites turbulent motions. Equations (2) and (3) have been
evolved for ten dynamical times T, which
allows us to study a large sample of realisations of the turbulent
flow. Compressible turbulence reached a statistically invariant state
within 2 T (Federrath
et al. 2009). This allows us to average all
statistical measures over 8 T
separated by 0.1 T in the fully
developed regime. We are thus able to average over
81 different realisations of the turbulence to improve
statistical significance. The 1-
temporal fluctuations obtained from this averaging procedure are
indicated as error bars for the PDFs, centroid velocity increments,
principal component analysis, Fourier spectra and
-variance
analyses in the following sections and in all figures showing error
bars throughout this study. The forcing amplitude was adjusted to
excite a turbulent flow with an rms Mach number
in all cases. We use the rms Mach number as the control parameter,
because this dimensionless number determines most of the physical
properties of scale-invariant turbulent flows and is often used to
derive important flow statistics such as the standard deviation of the
density distribution. However, in the next section we show
that the latter depends sensitively on the turbulence forcing
parameter
as well.
Figure 2 (top panels) shows column density fields projected along the z-axis from a randomly selected snapshot at time t=2 T in the regime of fully developed, statistically stationary turbulence for solenoidal (left) versus compressive forcing (right). This regime was reached after 2 dynamical times T, which is shown in Fig. 3 for the minimum and maximum logarithmic densities s (top panel) and rms curl and divergence of the velocity field (bottom panel) as a function of the dynamical time. It is evident that compressive forcing produces higher density contrasts, resulting in higher density peaks and bigger voids compared to solenoidal forcing.
![]() |
Figure 2:
Maps showing density ( top), vorticity (
middle) and divergence ( bottom) in
projection along the z-axis at time t=2 T
as an example for the regime of statistically fully developed,
compressible turbulence for solenoidal forcing ( left)
and compressive forcing ( right). Top
panels: column density fields in units of the mean column
density. Both maps show three orders of magnitude in column density
with the same scaling and magnitudes for direct comparison.
Middle panels: projections of the modulus of the vorticity
|
Open with DEXTER |
3 The probability density function of the gas density
It is interesting to study the probability distribution of turbulent density fluctuations, because it is a key ingredient for many analytical models of star formation: it is used to explain the stellar initial mass function (Hennebelle & Chabrier 2009,2008; Padoan & Nordlund 2002), the star formation rate (Padoan & Nordlund 2009; Krumholz & McKee 2005; Krumholz et al. 2009), the star formation efficiency (Elmegreen 2008), and the Kennicutt-Schmidt relation on galactic scales (Elmegreen 2002; Tassis 2007; Kravtsov 2003).
The probability to find a volume with gas density in the range
is
given by the integral over the volume-weighted probability density
function (PDF) of the gas density:
.
Thus, the PDF p describes a probability
density, which has dimensions of probability divided by gas
density in the case of
.
By the same definition, ps(s)
denotes the PDF of the logarithmic density
.
Figure 4 presents the comparison of the time-averaged volume-weighted density PDFs ps(s) obtained for solenoidal and compressive forcing. The linear plot of ps(s) (top panel) displays the peak best, whereas the logarithmic representation (bottom panel) reveals the low- and high-density wings of the distributions. Three different fits to analytic expressions (discussed below) are shown as well.
3.1 The density PDF for solenoidal forcing
In numerical experiments of driven supersonic isothermal turbulence
with solenoidal and/or weakly compressive forcing (e.g., Mac Low 1999;
Padoan
et al. 1997; Nordlund & Padoan 1999;
Li
et al. 2003; Beetz et al. 2008; Stone
et al. 1998; Padoan
et al. 2004; Vázquez-Semadeni 1994; Boldyrev
et al. 2002; Kritsuk et al. 2007),
but also in decaying turbulence (e.g., Ostriker et al. 2001;
Glover
& Mac Low 2007b; Klessen 2000; Ostriker
et al. 1999) it was shown that the density
PDF ps
is close to a log-normal distribution,
where the mean



Equation (11) simply states that the mean density has to be recovered. This constraint together with the PDF normalisation,
must always be fulfilled for any density PDF whether log-normal or non-Gaussian.
![]() |
Figure 3:
Top panel: minimum and maximum logarithmic
density
|
Open with DEXTER |
![]() |
Figure 4:
Volume-weighted density PDFs p(s)
of the logarithmic density
|
Open with DEXTER |
From our simulations, we obtain density PDFs in agreement with
log-normal distributions for solenoidal forcing. The log-normal fit
using Eq. (10)
is shown in Fig. 4
as dashed lines. However, the PDF is not perfectly log-normal, i.e.,
there are weak non-Gaussian contributions (see also, Dubinski et al.
1995), especially affecting the wings of the distribution.
The strength of these non-Gaussian features is quantified by computing
higher-order moments (skewness and kurtosis) of the distributions. The
first four standardised central moments (see, e.g., Press et al. 1986)
of a discrete dataset
with N elements are defined as
Note that in our definition of the kurtosis (also called flatness), the Gaussian distribution has




Table 1:
Statistical moments and fit parameters of the PDFs of the volumetric
density
for solenoidal and compressive forcing shown in Fig. 4.
3.2 The density PDF for compressive forcing
Contrary to the solenoidal case, the PDF obtained for compressive
forcing is not at all well fitted with the perfect log-normal
functional form (dashed line in Fig. 4 for
compressive forcing). Due to the constraints of mass conservation
(Eq. (11))
and normalisation (Eq. (12)),
the peak position and its amplitude cannot be reproduced
simultaneously. The skewness and kurtosis for the compressive forcing
case are also listed in Table 1.
Non-Gaussian values of skewness and kurtosis, i.e., higher-order
moments require modifications to the analytic expression of the
log-normal PDF given by Eq. (10).
A first step of modification is to allow for a finite
skewness, which is possible with a skewed log-normal distribution (Azzalini 1985)
where







Skewed log-normal fits are added to Fig. 4 as dash-dotted lines and the corresponding fit parameters are given in Table 1. However, for a skewed log-normal distribution, the kurtosis is a function of the skewness, since the skewness and kurtosis in Eqs. (15) both depend on the same parameter

Better agreement between an analytic functional form and the
measured PDF can be obtained, if the actual kurtosis of the
data is taken into account as an independent parameter in the
analytical approach. The fundamental derivation of a standard Gaussian
distribution is given by
![]() |
(16) |
where one parameter is constrained by the normalisation and the two remaining ones are determined by the mean and the dispersion. We can extend this to a modified Gaussian-like distribution by including higher-order moments:
Here, the expansion is stopped at the 4th moment. One parameter is again given by the normalisation, and the remaining four parameters are related to the mean, dispersion, skewness and kurtosis. Fits obtained with this formula are included in Fig. 4 as solid lines. The fit parameters are listed in Table 1. This new functional form is in good agreement with the data from solenoidal and compressive forcing, fitting both the peak and the wings very well. They follow the constraints of mass conservation and normalisation given by Eqs. (11) and (12). We have computed the first four moments of the fitted function and find very good agreement with the first four moments of the actual PDFs.
The fitted parameters a3 and a4, which represent the higher-order terms tend to zero compared to the standard Gaussian parameters a0, a1 and a2 (see Table 1). This means that the higher-order corrections to the standard Gaussian are small. However, we point out that they are absolutely necessary to obtain a good analytic representation of the PDF data, given the fact that Eqs. (11) and (12) must always be fulfilled and that the analytic PDF should return the correct values of the numerically computed moments of the measured distributions.
In the various independent numerical simulations mentioned above, the density PDFs were close to log-normal distributions as in our solenoidal and compressive forcing cases. However, most of these studies also report considerable deviations from Gaussian PDFs, which affected mainly the low- and high-density wings of their distributions. These deviations can be associated with rare events caused by strong intermittent fluctuations during head-on collisions of strong shocks and oscillations in very low-density rarefaction waves (e.g., Passot & Vázquez-Semadeni 1998; Kritsuk et al. 2007). The pronounced deviations from the log-normal shape of the density PDF for compressively driven turbulence were also discussed by Schmidt et al. (2009). Even stronger deviations from log-normal PDFs were reported in strongly self-gravitating turbulent systems (e.g., Federrath et al. 2008a; Kainulainen et al. 2009; Klessen 2000).
Intermittency is furthermore inferred from observations, affecting the wings of molecular line profiles (Falgarone & Phillips 1990), and the statistics of centroid velocity increments (Hily-Blant et al. 2008). Goodman et al. (2009) measured column density PDFs using dust extinction and emission, as well as molecular lines of gas in the Perseus MC. Using dust extinction maps, Lombardi et al. (2006) obtained the column density PDF for the Pipe nebula. The PDFs found in these studies roughly follow log-normal distributions. However, deviations from perfect log-normal distributions are clearly present in the density PDFs obtained in these studies. They typically exhibit non-Gaussian features. For instance, Lombardi et al. (2006) had to apply combinations of multiple Gaussian distributions to obtain good agreement with the measured PDF data.
![]() |
Figure 5:
Volume-weighted correlation PDFs of local Mach number M
versus logarithmic density s for solenoidal
( left) and compressive forcing ( right).
Adjacent contour levels are spaced by
|
Open with DEXTER |
3.3 Density-Mach number correlation and signatures of intermittency in the density PDFs
As discussed by Passot & Vázquez-Semadeni (1998), a Gaussian distribution in the logarithm of the density, i.e., a log-normal distribution in







When the fundamental assumption breaks down, density and
velocity statistics are expected to become correlated (Vázquez-Semadeni
1994; Passot & Vázquez-Semadeni
1998; Kritsuk
et al. 2007). Since in isothermal gas, the sound
speed is constant, this translates directly into Mach number-density
correlations. The average local Mach number M =
may
therefore exhibit some dependence on the average local density.
For instance, it is intuitively clear that head-on
collisions of strong shocks produce very high density peaks.
In the stagnation point of the flow, the local velocity and
consequently the local Mach number will almost drop to zero. The time
evolution of the maximum and minimum density in Fig. 3 shows these
intermittent fluctuations (see also, Porter et al.
1992b; Kritsuk et al. 2007).
The intermittent phenomenon corresponds to the situation explained
above, for which s+
might have been reached, and some dependence of the Mach number on
density is expected.
In real molecular clouds, the maximum densities are similarly
bounded, and cannot reach infinitely high values, either. This
is - unlike the finite resolution constraints in
simulations - because the gas becomes optically thick at a
certain density (
),
and cannot cool efficiently anymore (e.g., Jappsen et al. 2005;
Larson 1969,2005;
Penston
1969, and references therein). The gas is not close to
isothermal anymore in this regime, and adiabatic compression induced by
turbulent motions remain finite in real molecular clouds. Thus, the
reason for the breakdown of the density-Mach number independence is
different in simulations and observations, but it might still be
fundamental for the deviations from a log-normal PDF.
Moreover, the existence of a characteristic scale may lead to a
breakdown of the hierarchical model, and thus to a breakdown of the
fundamental assumption. The scale at which supersonic turbulence
becomes subsonic is such a scale. This scale is called the sonic scale,
and is discussed later in Sect. 8.
We have computed the probability distributions for Mach
number-density correlations. Figure 5 shows the
volume-weighted correlation PDFs of local Mach number M
versus density .
Although the correlation between density and Mach number is weak as
expected for isothermal turbulence (Vázquez-Semadeni 1994; Passot
& Vázquez-Semadeni 1998), these two quantities are
not entirely uncorrelated, which may explain the deviations from
perfect log-normal distributions. There is a weak trend for
high-density regions to exhibit lower Mach numbers on average.
Power-law estimates for densities above the mean logarithmic density
indicate Mach number-density correlations of the form
for solenoidal and
for compressive forcing. A similar power law exponent
can be obtained from Kritsuk
et al. (2007, Fig. 4).
3.4 Numerical resolution dependence of the density PDFs
The high-density tails of the PDFs in Fig. 4 are not
perfectly fit, even when the skewness and kurtosis are taken into
account. This is partly due to non-zero 5th, 6th and
higher-order moments in the distributions, and partly because our
numerical resolution is insufficient to sample the high-density tail
perfectly. Figure 6
shows that even at a numerical resolution of 10243 grid points,
the high-density tails are not converged in both solenoidal and
compressive forcing and tend to underestimate high densities. This
limitation is shared among all turbulence simulations (see, for
instance, the turbulence comparison project by Kitsionas et al. 2009),
since the strongest and most intermittent fluctuations building up in
the tails will always be truncated due to limited numerical resolution
(see also Kowal et al. 2007;
Price
& Federrath 2010; Hennebelle & Audit 2007).
However, the peak and the standard deviation of the PDFs are reproduced
quite accurately at a resolution of 2563.
Table 2
shows the values of the linear standard deviation
and logarithmic standard
deviation
for numerical resolutions of 2563, 5123
and 10243. There appears to be no
strong systematic dependence of the standard deviations on the
numerical resolution for resolutions above 2563.
The statistical fluctuations are the dominant source of uncertainty in
the derived values of the standard deviations. It should be
noted however that we have tested only the case of an rms Mach number
of about 5-6 here. There might be a stronger
resolution dependence for higher Mach numbers, due to the stronger
shocks produced in higher Mach number turbulence, which should be
tested in a separate study.
![]() |
Figure 6: Density PDFs at numerical resolutions of 2563, 5123 and 10243 grid cells. The PDFs show very good overall convergence, especially around the peaks. Table 2 shows that the standard deviations are converged with numerical resolution. The high-density tails, however, are not converged even at a numerical resolution of 10243 grid points, indicating a systematic shift to higher densities with resolution. This limitation is shared among all turbulence simulations (see also, Kitsionas et al. 2009; Price & Federrath 2010; Hennebelle & Audit 2007). The low-density wings are subject to strong temporal fluctuations due to intermittent bursts caused by head-on collisions of shocks followed by strong rarefaction waves (e.g., Kritsuk et al. 2007). The intermittency causes deviations from a perfect Gaussian distribution and accounts for non-Gaussian higher-order moments (skewness and kurtosis) in the distributions. |
Open with DEXTER |
Table 2: Standard deviations of the density PDFs as a function of numerical resolution for solenoidal and compressive forcing shown in Fig. 6.
3.5 The column density PDFs and comparison with observations
The strong difference between the statistics of the solenoidal and compressive forcing cases seen in the PDFs of the volumetric density shown in Fig. 4 is reflected by the corresponding column density PDFs. The time-averaged and projection-averaged column density PDFs are shown in Fig. 7. Analogous to Table 1 for the volumetric density PDFs, we summarise the statistical quantities and fit parameters for the column density PDFs in Table 3. The main results and conclusions obtained for the volumetric density distributions also hold for the column density distributions. Compressive forcing yields a column density standard deviation roughly three times larger than solenoidal forcing. The relative difference between solenoidal and compressive forcing is thus roughly the same for the volumetric and the column density distributions. However, the absolute values are lower for the column density distributions compared to the volumetric density distributions. The reason for this is that by computing projections of the volumetric density fields, density fluctuations are effectively averaged out by integration along the line-of-sight, and as a consequence, the column density dispersions become smaller compared to the corresponding volumetric density dispersions.
Table 3:
Same as Table 1,
but for the PDFs of the column density
shown in Fig. 7.
The small inset in the upper right corner of Fig. 7 additionally shows the column density PDFs computed along the z-axis at one single time t=2 T corresponding to the map shown in Fig. 2. This figure shows the effect of studying one realisation only, without time- and/or projection-averaging. This is interesting to consider, because observations can only measure column density distributions at one single time. Improving the statistical significance would only be possible by studying multiple fields and averaging in space rather than in time invoking the ergodic theorem as suggested by Goodman et al. (2009). However, even by studying one turbulent realisation only, the difference between solenoidal and compressive forcing is recovered from the dispersions of the distributions. We therefore expect that using observations of column density PDFs, one can distinguish purely solenoidal from purely compressive forcing by measuring the dispersion of the column density PDF.
![]() |
Figure 7:
Same as Fig. 4,
but the time- and projection-averaged logarithmic column
density PDFs of
|
Open with DEXTER |
![]() |
Figure 8:
Diamonds: the proportionality
parameter b in the density dispersion-Mach
number relation, Eq. (18),
computed as
|
Open with DEXTER |
Goodman et al. (2009) provided measurements of the column density PDFs in the Perseus MC obtained with three different methods: dust extinction, dust emission, and 13CO gas emission. Although systematic differences were found between the three methods, they conclude that in general, the measured column density PDFs are close to, but not perfect log-normal distributions, which is consistent with our results. They furthermore provided the column density PDFs and the column density dispersions for six subregions in the Perseus MC. The difference between the dispersions measured for these subregions is not as large as the difference between purely solenoidal and purely compressive forcing. The largest difference in the column density dispersions among the six subregions found by Goodman et al. (2009) is only about 50% relative to the average column density dispersion measured in the Perseus MC. This indicates that both purely solenoidal and purely compressive forcing are very unlikely to occur in nature. On the other hand, a varying mixture of solenoidal and compressive modes close to the natural mixture of 2:1 can easily explain the 50% difference in density dispersion measured among the different regions. In particular, the Shell region (Ridge et al. 2006), which surrounds the B star HD 278942 exhibits the largest density dispersion among all the subregions studied by Goodman et al. (2009), although its velocity dispersion is rather small compared to the others. This indicates that turbulent motions may be driven compressively rather than solenoidally within the Shell region. Goodman et al. (2009) indeed mentioned that the gas in the Shell is dominated by an ``obvious driver'', skewing the column density distribution towards lower values compared to the other regions. Due to the constraints of mass conservation (Eq. (11)) and normalisation (Eq. (12)), both the peak position and the peak value of the PDF skew to lower values, if the density dispersion increases (see Fig. 7). Taken together, this suggests that the Shell in the Perseus MC represents an example of strongly compressive turbulence forcing rather than purely solenoidal forcing.
3.6 The forcing dependence of the density dispersion-Mach number relation
In Federrath et al. (2008b), we investigated the density dispersion-Mach number relation (Padoan et al. 1997; Passot & Vázquez-Semadeni 1998)![[*]](/icons/foot_motif.png)
This relation was also investigated in Kowal et al. (2007, Fig. 11), indicating that the standard deviation of turbulent density fluctuations,



with the same parameter b (Federrath et al. 2008b; Padoan et al. 1997).
We begin our discussion of the forcing dependence of the
density dispersion-Mach number relation with a problem raised by Mac Low et al. (2005)
and Glover & Mac Low
(2007b). Mac Low
et al. (2005) and Glover
& Mac Low (2007b) claimed that the density
dispersion-Mach number relation found by Passot & Vázquez-Semadeni
(1998),
(which is a Taylor expansion of Eq. (19) for small
rms Mach numbers), with
did not at all fit their results for pressure and density PDFs, while
Eq. (19)
with
(Padoan et al.
1997) provided a much better representation of their data.
The main difference in the density dispersion-Mach number relations by Padoan et al. (1997)
and Passot &
Vázquez-Semadeni (1998) is the proportionality
constant b. It is
and
in Padoan
et al. (1997) and Passot
& Vázquez-Semadeni (1998), respectively. Our forcing
analysis provides the solution to this apparent difference, which lies
at the heart of the disagreement of the PDF data analysed in Mac Low et al. (2005)
and Glover & Mac Low
(2007b) with the model by Passot
& Vázquez-Semadeni (1998). Passot & Vázquez-Semadeni
(1998) used 1D models. In 1D,
only compressive forcing is possible, because no transverse
waves can exist. In contrast, Mac
Low et al. (2005) and Glover & Mac Low (2007b)
used a mixture of solenoidal and compressive forcing in 3D.
In this section, we show that the parameter b
in both Eqs. (18)
and (19)
is a function of the forcing parameter
.
Indeed, using the relation
analysed in Passot &
Vázquez-Semadeni (1998), but with a lower proportionality
constant (b=0.5 in contrast to b=1)
gives a very good representation of the PDF data in Mac Low et al. (2005,
Fig. 8).
Thus, an investigation of the parameters that control b
seems necessary and important.
Moreover, relations (18)
and (19)
are key ingredients for the analytical models of the stellar initial
mass function by Padoan
& Nordlund (2002) and Hennebelle & Chabrier
(2008), as well as for the star formation rate model
by Krumholz & McKee
(2005) and Krumholz
et al. (2009) and for the star formation efficiency
model by Elmegreen (2008).
In all these models, b is assumed to
be 0.5, which is an empirical result from
magnetohydrodynamical simulations by Padoan et al. (1997).
On the other hand, Passot
& Vázquez-Semadeni (1998) found
from 1D hydrodynamical simulations. Federrath
et al. (2008b) resolved this disagreement between Padoan et al. (1997)
and Passot &
Vázquez-Semadeni (1998) by showing that b
is a function of the ratio
of compressive to solenoidal
modes of the turbulence forcing. However, Federrath
et al. (2008b) only tested the two limiting cases of
purely solenoidal forcing (
)
and purely compressive forcing (
). They approximated the
regime of mixtures with a heuristic model, which had a linear
dependence of b on
:
Here, we refine this model based on eleven additional simulations with
![$\zeta =[0,1]$](/articles/aa/full_html/2010/04/aa12437-09/img2.png)






Figure 8
shows that the dependence of b on
is non-linear. For 3D turbulence the
parameter b increases smoothly from
for
to
for
,
and for 2D turbulence from
for
to
for
.
However, there is an apparent break at
,
which represents the natural forcing mixture used in many previous
studies. For
the b-parameter remains close to the value obtained
for purely solenoidal forcing, i.e.
in 3D and
in 2D. The flat part of the data in Fig. 8 for
explains why in previous studies with a natural forcing mixture (e.g., Klessen
et al. 2000; Glover
et al. 2010; Li et al. 2003;
Mac
Low et al. 1998; Kritsuk et al. 2007),
the turbulence statistics were close to the purely solenoidal forcing
case (e.g., Kowal et al. 2007;
Stone
et al. 1998; Padoan et al. 1997;
Padoan
& Nordlund 2002; Boldyrev et al.
2002; Burkhart et al. 2009;
Lemaster
& Stone 2008). In contrast, b increases
much more strongly for
,
until it reaches
for purely compressive forcing (e.g., Federrath
et al. 2008b; Schmidt et al. 2009;
Passot
& Vázquez-Semadeni 1998).
Equation (20)
thus needs to be refined to account for the non-linear dependence
of b on the forcing. Moreover,
Eq. (20)
was based on the analytic expression of the forcing parameter
(cf. Sect. 2.1).
However, the numerical estimate of b
depends on how well the code can actually induce compression through
the build-up of divergence in the velocity field. Thus, different codes
can produce slightly different values of b
for the same forcing parameter
.
This is because of the varying efficiency of codes to convert the
energy provided by a given forcing into actual velocity fluctuations
(e.g. Kitsionas
et al. 2009; Price & Federrath 2010).
To construct a refined model for b
that does not directly rest on the analytic forcing parameter
and that accounts for the non-linear dependence on the forcing, we
recall that b is a normalised measure of
compression. Compression is caused by converging flows and shocks,
which have a finite magnitude of velocity divergence.
A normalised measure of compression is thus also provided by
dividing the power in longitudinal modes of the velocity field by the
total power of all modes in the velocity field,
![]() |
(21) |
We therefore expect a dependence of b on

Figure 8
shows
as a function of
(plotted as stars) for 3D and 2D turbulence.
It is indeed correlated with b,
however,
is less than b by a factor of
roughly
in 3D and
in 2D. The squares in Fig. 8 show
in 3D
and
in 2D, which seems to provide a good estimate of b.
The factor
is a geometrical factor for 3D turbulence
(the diagonal in a cube of size unity).
It is
in 2D turbulence (the diagonal in a square of size
unity), and
in 1D. The latter in particular is trivial, because
in 1D only longitudinal modes can exist, and thus
for any value of
(cf. Fig. 1). The
larger geometrical factors in 2D and 3D account for
the fact that the longitudinal velocity fluctuations, which induce
compression occupy only one of the available spatial directions
(two in 2D and three in 3D) on average. For
the general case of supersonic turbulence in D=1,2
and 3 dimensions, these ideas lead to
which is solely based on the ratio of the power in longitudinal modes in the velocity field to the total power of all modes in the velocity field,

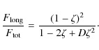
In addition to the refined model based on the compressive
ratio
in
Eq. (22),
we provide a fit function for b based on
the forcing parameter
.
The dashed lines in Fig. 8 show
The forcing ratio


We suggest that the dependence of b on the forcing solves a puzzle reported by Pineda et al. (2008). They provided measurements of velocity dispersions and 12CO excitation temperatures for the six subregions in the Perseus MC. The molecular excitation temperatures serve as a guide for the actual gas temperature, from which the sound speed can be estimated. From these values, the local rms Mach numbers are computed as the ratio of the local velocity dispersion to the local sound speed. Goodman et al. (2009) and Pineda et al. (2008) pointed out that there is clearly no correlation of the form suggested by Eq. (19) for a fixed parameter b across the investigated subregions in the Perseus MC. For instance, the Shell region exhibits an intermediate to small velocity dispersion derived from 12CO and 13CO observations, while its density dispersion is the largest in the Perseus MC. This provides additional support to our suggestion that the Shell in Perseus is dominated by compressive turbulence forcing for which b takes a higher value compared to solenoidal forcing. The apparent lack of density dispersion-Mach number correlation reported by Pineda et al. (2008) and Goodman et al. (2009) for a fixed parameter b can thus be explained, because b is in fact not fixed across different subregions in the Perseus MC.
We plan to measure b in different regions of the ISM in future studies. However, the main problem in a quantitative analysis of Eq. (18) with observational data is that the column density dispersion is typically smaller than the 3D density dispersion (compare Tables 1 and 3). The relation between the column density PDF and the volumetric density PDF is non-trivial and depends on whether the column density tracer is optically thin or optically thick and on the scale of the turbulence driving. However, Brunt et al. (2010) developed a promising technique to estimate the 3D density variance from 2D observations with an accuracy of about 10%.
4 Intermittency
Intermittency manifests itself in
- i)
- non-Gaussian (often exponential) wings of PDFs of
quantities involving density and/or velocity, its derivatives
(e.g., vorticity) and combinations of density and velocity
(e.g.,
and
as discussed in Appendix A);
- ii)
- anomalous scaling of the higher-order structure functions of the velocity field (e.g., Anselmet et al. 1984) and centroid velocity increments (Hily-Blant et al. 2008; Lis et al. 1996); and
- iii)
- coherent structures of intense vorticity (
) (see Moisy & Jiménez 2004; Vincent & Meneguzzi 1991, for results of incompressible turbulence), and of strong shocks and rarefaction waves (
).
![]() |
Figure 9:
PDFs of centroid velocity increments, computed using Eqs. (24) and (25) are shown as a
function of lag |
Open with DEXTER |
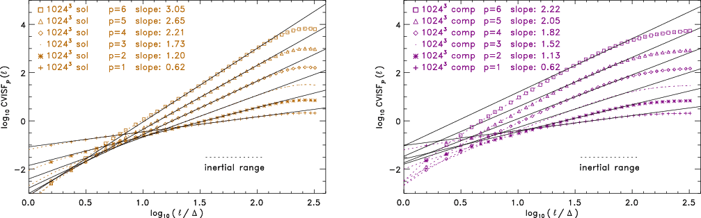
4.1 The probability distribution of centroid velocity increments
Since there is evidence of filamentary coherent structures in the
vorticity (intermittency item iii) of our models, and because
there is additional evidence of non-Gaussian tails in the density PDFs
(intermittency item i) discussed in Sect. 3, we now proceed
to examine the PDFs and the scaling of centroid velocity increments
(intermittency item ii) to assess the strength of the
intermittency. We compare centroid velocity increments (CVIs)
for solenoidal and compressive forcing and discuss the interpretation
of observations based on that comparison. Following the analysis by Lis et al. (1996),
who discuss CVIs computed for the turbulence simulation by Porter et al.
(1994), and following the CVI analysis of the
Polaris Flare and of the Taurus MC by Hily-Blant
et al. (2008), the centroid velocity increment is
defined as
where the angle average







The variable



Figure 9
shows the PDFs of
computed for varying lag
in units of the numerical cell size
.
They should be compared to Hily-Blant
et al. (2008, Fig. 4-6). The PDFs
are mainly Gaussian for large lags, whereas for smaller separations,
they develop exponential tails, indicating intermittent behaviour. This
result is consistent with the numerical simulation analysed by Lis et al. (1996),
and with observations of the
Oph Cloud,
the Orion B and the Polaris Flare by Lis et al. (1998), Miesch et al. (1999)
and Hily-Blant
et al. (2008), respectively.
Following the analysis by Hily-Blant
et al. (2008), we computed the kurtosis
of the PDFs of CVIs using the
definition in Eqs. (13).
Note that
corresponds to a Gaussian distribution, and
corresponds to an exponential function. The kurtosis of the CVI PDFs is
shown in Fig. 10
as a function of spatial lag
,
and can be directly compared to Hily-Blant
et al. (2008, Fig. 7).
Both forcing types exhibit nearly Gaussian values of the kurtosis at
lags
.
On the other hand, for
,
both forcing types produce non-Gaussian PDFs. Solenoidal forcing
approaches the exponential value
for
.
Compressive forcing yields exponential values already for lags
,
while solenoidal forcing has
on these scales. This indicates stronger intermittency in the case of
compressive forcing. For
,
compressive forcing yields even super-exponential values of
.
For both solenoidal and compressive forcings, we show later
in Sect. 6
that
is in the dissipation range for numerical turbulence. Compressive
velocity modes dominate in this regime (see Fig. 14), which
may result artificially in extreme intermittency. For
,
compressive forcing gives
1.0,
which is roughly 35% larger than the Polaris Flare
observations at their resolution limit. The solenoidal case on the
other hand gives
0.5,
which is in very good agreement with the IRAM and KOSMA data
discussed by Hily-Blant
et al. (2008, Fig. 7).
Depending on the actual lag used for the comparison, both solenoidal
and compressive forcing seem to be consistent with the observations.
However, it should be noted that the lags cannot be easily
compared for the real clouds and the simulations, because simulated and
observed fields have different spatial resolution. Moreover, the
simulated fields have periodic boundaries, while the true fields don't.
Nevertheless, the similarity of the observed and the numerically
simulated CVIs indicates that turbulence intermittency plays an
important role in both our simulations and in real molecular clouds.
![]() |
Figure 10:
Kurtosis |
Open with DEXTER |
![]() |
Figure 11: Scaling of the structure functions of centroid velocity increments defined in Eq. (26) for solenoidal forcing ( left) and compressive forcing ( right) up to the 6th order. Scaling exponents obtained using power-law fits following Eq. (27) within the inertial range are indicated in the figures and summarised in Table 4. |
Open with DEXTER |
Table 4: Scaling of the structure functions of centroid velocity increments.
The Polaris Flare has a very low star formation rate and is
therefore appropriate for studying the statistics of interstellar
supersonic turbulence without contamination by internal energy sources.
In contrast, the Taurus MC is actively
forming stars. Against our expectations, the Taurus MC data
display very weak intermittent behaviour and the
kurtosis remains at the Gaussian values
in Hily-Blant
et al. (2008, Fig. 7).
However, the Taurus field studied by Hily-Blant
et al. (2008) is located far from star-forming
regions in a translucent part of the Taurus MC (Falgarone
2009, private communication). This may explain why the Taurus field
displays only very weak intermittency. It would be interesting to
repeat the analysis of centroid velocity increments for regions of
confirmed star formation, including regions with winds, outflows and
ionisation feedback from young stellar objects to see whether these
regions indeed display stronger intermittency.
4.2 The structure function scaling of centroid velocity increments
In this section, we discuss the scaling of the pth order
structure function of CVIs, defined as
We have averaged over a large enough sample of independent increments



within the inertial range
![[*]](/icons/foot_motif.png)
For a direct comparison of CVI structure functions with the
study by Hily-Blant
et al. (2008, Fig. 8), we
apply the extended self-similarity (ESS) hypothesis (Benzi et al. 1993),
which states that the inertial range scaling may be extended beyond the
inertial range, such that power-law fits can be applied over a larger
dynamic range. The ESS hypothesis is used by plotting the pth order
against the 3rd order
(Benzi et al. 1993).
These plots are shown in Fig. 12. Indeed, the
scaling range is drastically increased using ESS. All ESS data
points are consistent with a single power law for each
CVI structure function order
.
We summarise the scaling exponents with and without using the
ESS hypothesis in Table 4.
![]() |
Figure 12: Same as Fig. 11, but using the extended self-similarity hypothesis (Benzi et al. 1993), allowing for a direct comparison of the scaling exponents of centroid velocity increments with the study by Hily-Blant et al. (2008) for the Polaris Flare and Taurus MC (see Table 4). |
Open with DEXTER |
Table 4
furthermore provides the ESS scaling exponents obtained for the
Polaris Flare (Hily-Blant
et al. 2008, Table 3),
as well as the scaling exponents obtained from intermittency
models of the structure function scaling exponents
by She & Leveque (1994) (







For solenoidal forcing, the scaling of the CVI structure
functions using ESS is very similar to the She
& Leveque (1994) model. This model is appropriate for
incompressible turbulence, for which the most
intermittent structures are expected to be filaments (She & Leveque 1994,
).
Interestingly, their model seems to be consistent with the measurements
in the Polaris Flare by Hily-Blant
et al. (2008) and with our solenoidal forcing case.
In contrast, the scaling exponents derived for
compressive forcing are better consistent with the intermittency model
by Boldyrev (2002,
). This
direct comparison indicates that turbulence in the Polaris Flare
observed by Hily-Blant
et al. (2008) behaves like solenoidally forced
turbulence. However, it does not imply that turbulence in the
Polaris Flare is close to incompressible, since our numerical models
are clearly supersonic in the inertial range
(see Sect. 6).
It rather means that CVI scaling is different from
the absolute scaling exponents following from the intermittency models
by She & Leveque (1994)
and Boldyrev (2002).
This is mainly because of two reasons: first, these models do not
account for density fluctuations (see however Schmidt et al.
2008), and second, CVIs are 2D projections of the
3D turbulence. The statistics derived from CVIs is a
convolution of density and velocity statistics projected onto
a 2D plane. As shown by Ossenkopf et al. (2006)
and Esquivel et al.
(2007), CVI statistics differ significantly from
pure velocity statistics, if the ratio of density dispersion
to mean density is high. This is usually the case in supersonic flows,
and is also the case for both our numerical experiments
(see Table 1).
It explains the difference between the structure functions
derived from the pure velocity statistics compared to convolved
velocity-density statistics (Schmidt
et al. 2008). The deviations from the Kolmogorov (1941) scaling
(
)
for the 3D data analysed in Schmidt et al.
(2008) are significantly larger than those derived via CVI
in 2D, revealing a significant loss in the signatures of
intermittency in the projected CVI data (see also Brunt
& Mac Low 2004; Brunt et al. 2003,
for a discussion of projection effects). This also means that direct
tests of the theoretical models will be very difficult to achieve,
unless a means of relating the CVI-based moments to the
3D moments is developed. Moreover, the fractal
dimension of structures changes in a non-trivial way upon projection (Stutzki
et al. 1998; Sánchez et al. 2005;
Federrath
et al. 2009), which severely limits the comparison
of CVI statistics with the 3D intermittency models by
She & Leveque (1994),
Boldyrev (2002) and Schmidt et al.
(2008).
Nevertheless, a direct comparison of CVI structure function scaling obtained in numerical experiments and observations can provide useful information to distinguish between different parameters of the turbulence, as for instance different turbulence forcings.
![]() |
Figure 13: Principal component analysis (PCA) for solenoidal ( left) and compressive forcing ( right). The PCA slopes obtained for solenoidal and compressive forcings are summarised and compared with observations by Heyer et al. (2006) in Table 5. The error bars contain the contribution from temporal variations and from three different projections along the x, y and z-axes. The data were re-sampled from 10243 to 2563 grid points prior to PCA. The re-sampling speeds up the PCA and has virtually no effect on the inertial range scaling (see e.g., Federrath et al. 2009; Padoan et al. 2006). |
Open with DEXTER |
Table 5: Comparison of measured PCA scaling slopes.
5 Principal component analysis
Principal component analysis (PCA) is a multivariate tool (Murtagh & Heck 1987)
introduced by Heyer
& Schloerb (1997) for measuring the scaling of
interstellar turbulence. It has been used for studying the
structure and scaling in several molecular cloud regions, simulations
and synthetic images (Heyer et al. 2006;
Brunt
& Heyer 2002b; Heyer & Brunt 2004;
Brunt
et al. 2003; Brunt & Heyer 2002a).
PCA can be used to characterise structure on different scales. For best
comparison with observations, we choose to work in
position-position-velocity (PPV) space. Since our simulation data are
typically stored in position-position-position (PPP) space, we
transformed our PPP cubes into PPV space prior
to PCA. As for the CVIs discussed in the previous
section, we use the approximation of optically thin radiative transfer
to derive radiation intensity. This means that we essentially assume
that the emission is proportional to the gas density.
The PPV data therefore represent a simulated measured
intensity
at spatial position
and spectral position vz,j.
The indices i and j
thus represent the spatial and spectral coordinates respectively.
A detailed description of the PCA technique is given
by Heyer & Schloerb
(1997) and Brunt
& Heyer (2002a). The most important steps necessary
to derive the characteristic length scales and corresponding velocity
scales using PCA are described below. First, the covariance matrix
![]() |
(29) |
is constructed by summation over all spatial points Nx and Ny. Solving the eigenvalue equation
![]() |
(30) |
yields the lth eigenvalue


![]() |
(31) |
onto the eigenvectors yields the lth eigenimage Ii(l). Autocorrelation functions (ACFs) are then computed for each of the eigenimages and eigenvectors. The spatial scale on which the two-dimensional ACF of the lth eigenimage falls off by 1/e defines the lth characteristic spatial scale. Following the same procedure, the corresponding characteristic velocity scale is determined from the ACF of the lth eigenvector, which contains the spectral information.
Figure 13
shows our time- and projection-averaged set of spatial and
velocity scales obtained with PCA. We have fitted power laws
to the PCA data, which yielded PCA scaling
exponents
for solenoidal and compressive
forcing respectively. For solenoidal
forcing we find
0.05 and for compressive forcing we find
0.09 (see Table 5).
The different PCA slopes
derived for solenoidal and
compressive forcing suggest that by
using PCA, differences in the mixture of transverse and
longitudinal modes of the velocity field can be detected. However, the
difference between solenoidal and compressive forcing is only at the 1-
level.
![]() |
Figure 14:
Top panels: total, transverse (rotational)
and longitudinal (compressible) velocity Fourier spectra E(k)
defined in Eq. (32)
and compensated by k2
for solenoidal ( left) and compressive forcing (
right). Error bars indicate temporal variations, which
account for an uncertainty of roughly |
Open with DEXTER |
Heyer et al.
(2006) applied PCA to the Rosette MC and
to G216-2.5 (Maddalenas's Cloud). These two clouds
are quite different in dynamical and evolutionary state, although they
exhibit roughly the same turbulence Mach number. Heyer et al. (2006)
measured the Mach number
4-5 on a scale of
for both clouds. The Rosette MC exhibits confirmed massive
star formation, whereas G216-2.5 has a low star formation rate,
similar to the Polaris Flare discussed in the previous
section. Heyer
et al. (2006) measured PCA slopes for both
clouds and additionally provided the PCA slopes in two
distinct subregions of the Rosette MC. The first subregion is
inside the HII region (Zone I) surrounding the
massive star cluster NGC 2244
,
while the other subregion is outside of this HII region
(Zone II). The measured PCA slopes obtained from 12CO
and 13CO observations are summarised
in Table 5
together with our estimates for solenoidal and compressive forcing. The
PCA scaling exponent for solenoidal forcing is very close to
the PCA scaling exponents derived from the 12CO observations
in the G216-2.5 (
0.04) and in Zone II of the Rosette MC (
0.06).
In contrast, the PCA slope derived from 12CO observations
in Zone I of the Rosette MC (
0.06)
is better consistent with our compressive forcing case. This indicates
that Zone I contains more kinetic energy in compressive modes
than Zone II and G216-2.5. The corresponding 13CO observations
reported in Heyer
et al. (2006) yield slightly larger differences
between the PCA scaling exponents derived for Zone I
on the one hand, and Zone II and G216-2.5 on the other hand
(see also Table 5).
This supports the idea that Zone I in the Rosette MC,
and Zone II as well as G216-2.5 contain quite different
amounts of compressive modes in the velocity field, which may be the
result of different turbulence forcing mechanisms, similar to the
differences obtained in purely solenoidal and compressive forcings.
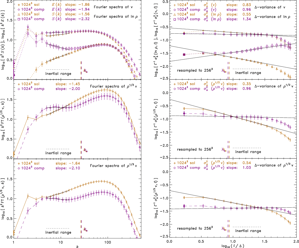
6 Fourier spectra
6.1 Velocity Fourier spectra
Fourier spectra of the velocity field E(k)
are typically used to distinguish between Kolmogorov
(1941) turbulence,
and Burgers (1948)
turbulence,
.
For highly compressible, isothermal, supersonic, turbulent
flow, it has been shown that the inertial range scaling is
close to Burgers turbulence. For instance, Kritsuk et al. (2007)
found
and Schmidt et al.
(2009) obtained
from high-resolution numerical simulations.
The Fourier spectrum of a quantity provides a measure of the
scale dependence of this quantity. Velocity Fourier spectra are thus
defined as
where




![]() |
(33) |
The upper bound of the integral is the cutoff wavenumber


In Fig. 14
we show the total velocity Fourier spectra E(k)
as defined in Eq. (32)
together with its decomposition into transverse
and longitudinal
parts for solenoidal and
compressive forcing respectively. The
prominent signature of the different forcings on the main driving
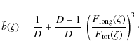
scale, k=2 is clearly noticeable:
solenoidal forcing excites mostly transverse modes, whereas compressive
forcing excites mostly longitudinal modes in the velocity field at k=2.
However, the forcing has direct influence only for 1<k<3
(see Sect. 2.1).
Further down the cascade, the turbulent flow develops its own
statistics as a result of non-linear interactions in the inertial range
.
We emphasise that this scaling range was chosen very carefully, since
turbulence simulations will only provide a small inertial range even at
resolutions of 10243 grid cells
(see, e.g., Klein
et al. 2007; Lemaster & Stone 2009).
This is mainly caused by the bottleneck phenomenon (e.g., Schmidt
et al. 2006; Haugen & Brandenburg
2004; Porter et al. 1994;
Dobler
et al. 2003; Kritsuk et al. 2007),
which may slightly affect the Fourier spectra in the dissipation range.
However, the bottleneck phenomenon had no significant impact
on the turbulence statistics in our numerical study for wavenumbers
.
This is demonstrated in Appendix C, where we
present the resolution dependence of the Fourier spectra and the
dependence on parameters of the PPM numerical scheme. We
conclude that the statistical quantities derived for wavenumbers
are not significantly affected by the numerical scheme or limited
resolution applied in the present study.
We apply power-law fits to the inertial range data with the
resulting slopes indicated in Fig. 14 (top
panels). Both solenoidal and compressive forcing yield slopes
consistent with size-linewidth relations inferred from observations
(e.g., Myers
1983; Solomon
et al. 1987; Perault et al.
1986; Ossenkopf & Mac Low 2002;
Heyer
et al. 2009; Falgarone et al.
1992; Heyer
& Brunt 2004; Padoan et al. 2006;
Ossenkopf
et al. 2008b; Miesch & Bally 1994;
Larson 1981;
Padoan
et al. 2003), and with the results of independent
numerical simulations (e.g., Schmidt et al. 2009;
Padoan
et al. 2004; Klessen et al. 2000;
Boldyrev
et al. 2002; Kritsuk et al. 2007).
Note that size-linewidth relations of the form
with scaling exponents
correspond to Fourier spectra
with scaling exponents in the range
,
because
.
However, it must be emphasised that the relation between
scaling exponents obtained from observational maps of centroid
velocities (as discussed in Sect. 4.2) and
3D velocity fields from simulations is non-trivial, because of
projection-smoothing and intensity-weighting. Projection-smoothing
increases the scaling exponents of the 2D projection of
a 3D field such that
(e.g., Brunt
& Mac Low 2004; Stutzki et al. 1998).
However, Brunt & Mac
Low (2004) showed that the effect of projection-smoothing is
compensated statistically (but not identically) by
intensity-weighting of observed centroid velocity maps. Thus, our
measurements of velocity scaling seem consistent with observations.
It is important to note that the transverse parts
fall off more steeply than the
longitudinal parts
for both forcing types within
the inertial range. For solenoidal
forcing, we find
and
,
and for compressive forcing,
and
.
This result indicates that longitudinal modes can survive down to small
scales, such that compression may not be neglected anywhere in the
turbulent cascade. Lemaster
& Stone (2009, Figs. 9, 10) obtain
and
for their hydrodynamical model with solenoidal forcing at a resolution
of 10243 grid points in the
Athena code. This is consistent with our findings for the
scale dependence of the transverse and longitudinal parts and shows
that the kinetic energy in longitudinal modes must not be neglected
within the inertial range.
![]() |
Figure 15:
Left panel: fourier spectra of the velocity, E(k) defined
in Eq. (32)
(crosses and diamonds) and Fourier spectra of the logarithmic density
fluctuations, S(k) defined
in Eq. (35)
(triangles and squares) for solenoidal and compressive forcing,
respectively. Both E(k)
and S(k) are compensated
by k2 allowing for a
better determination of the inertial range scaling. The density
fluctuation power spectra differ significantly in the inertial range
|
Open with DEXTER |
In order to quantify the relative importance of compression over
rotation in the turbulent motions, we present plots of
the ratio
in the bottom panels of Fig. 14. Solenoidal forcing yields










We also note here that the rise of
at
for both forcing types is a numerical effect, which comes from the
discretisation of the velocity field onto a grid with finite
resolution. This shows that energy in rotational modes cannot be
accounted for accurately if vortices are smaller than roughly
30 grid cells in each direction, whereas longitudinal
modes (i.e. shocks) may still be well resolved.
As a result, the transverse kinetic energy
is underestimated for
up
to the resolution limit
.
However, the plateau of almost constant
for
indicates that the discretisation had no significant influence on
scales with wavenumbers
.
The effect of underestimating the transverse kinetic energy due to the
discretisation of fluid variables is also observed in the
ZEUS-3D simulations by Pavlovski
et al. (2006, Fig. 2)
for wavenumbers
at numerical resolution of 2563 grid cells.
In Appendix C,
we furthermore demonstrate that our results for the Fourier spectra are
not affected by the specific choice of parameters of the numerical
scheme for wavenumbers k
40.
6.2 Logarithmic density Fourier spectra
In analogy to the velocity Fourier spectra E(k),
we define logarithmic density fluctuation spectra
We subtract the mean logarithmic density prior to the Fourier transformation such that S(k) is a measure of density fluctuations as a function of scale. Therefore, integrating S(k) over all scales yields the square of the logarithmic density dispersion

Furthermore, integrating S(k) over the wavenumber range [k1,k2] yields the typical density fluctuations on length scales corresponding to this range of scales.
Figure 15
(left) shows the logarithmic density fluctuation spectra S(k)
together with the total velocity Fourier spectra E(k)
in one plot. In contrast to the scaling of the velocity E(k),
the scaling of
is significantly different for solenoidal (
0.05)
and compressive forcing (
0.09)
in the inertial range.
7
-variance
of the velocity and density
The -variance
technique provides a complementary method for measuring the scaling
exponent of Fourier spectra in the physical domain using a wavelet
transformation (Stutzki
et al. 1998). We apply the
-variance to our simulation
data using the tool developed and provided by Ossenkopf et al.
(2008a). This tool implements an improved version of the
original
-variance
(Bensch
et al. 2001; Stutzki et al. 1998).
The
-variance
measures the amount of structure on a given length scale
by filtering the dataset
with an
up-down-function
(typically a French-hat or
Mexican-hat filter) of size
,
and computing the variance of the filtered dataset. The
-variance is
defined as
![]() |
(37) |
where the average is computed over all data points at positions



Figure 15
(right panel) shows that the inertial range scaling obtained with the -variance
technique is in very good agreement with the scaling measured in the
Fourier spectra. Note that the scaling exponents
of Fourier spectra are ideally related to the scaling
exponents
of the
-variance
by
(Stutzki et al. 1998).
The small deviations from this analytical relation are caused by the
finite size of the dataset, the re-sampling procedure prior to the
-variance
analysis applied here and the choice of the filter function (Ossenkopf et al.
2008a). However, these deviations are on the order
of 4% and therefore smaller than the average
snapshot-to-snapshot variations.
For the -variance
of the velocity field,
,
we find scaling exponents
0.05 for solenoidal forcing and
0.05 for compressive forcing. This translates into size-linewidth
relations
with scaling exponents
.
Thus, we find
0.03 for solenoidal forcing and
0.03 for compressive forcing. Ossenkopf
& Mac Low (2002) found a common power-law slope
0.04 for the Polaris Flare, ranging over three orders of
magnitude in length scale from about
down to roughly
.
This scaling exponent is roughly consistent with both our solenoidal
and compressive forcing data, but slightly better consistent with
compressive forcing. Note that the centroid velocity analysis by Ossenkopf & Mac Low
(2002) is also subject to the combined effects of
projection-smoothing and intensity-weighting discussed in Brunt & Mac Low (2004)
and discussed in Sect. 6.1. Thus, the
comparison of 3D scaling of the velocity with
2D observations should always be made with the caution that
projection-smoothing and intensity-weighting roughly cancel each other
out in a statistical sense (Brunt
& Mac Low 2004).
We are not aware of any observational study considering the
scaling of logarithmic intensity. The use of
logarithmic density is useful in isothermal simulations, because the
equations of hydrodynamics, Eqs. (2) and (3), are invariant
under transformations in
.
In observations however, the intensity, T is
measured instead of the density, but the intensity can be transformed
into
,
which gives a normalised quantity similar to
.
This enables a straightforward comparison of simulation and
observational data (yet with the limitations listed
in Sect. 9).
It is also interesting to look at logarithmic density and
intensity scaling, because this scaling parameter is used in analytic
models of the mass distribution of cores and stars by Hennebelle
& Chabrier (2009,2008).
Unlike a logarithmic scaling analysis, the
scaling of the linear integrated intensity,
was analysed by Stutzki
et al. (1998) and Bensch et al.
(2001). They found
for the Polaris Flare, in good agreement with the scaling
exponent
0.1
obtained from solenoidal forcing in Federrath
et al. (2009). In contrast, the scaling
exponent obtained for compressive forcing is significantly higher (
0.3).
Bensch
et al. (2001) measured scaling exponents
in small-scale maps (
)
of the Polaris Flare and in Perseus/NGC 1333, which
are consistent with our estimates for compressive forcing (Federrath
et al. 2009, Table 1). Since both
solenoidal and compressive forcings display strong intermittency at
short lags (see Fig. 10),
intermittency appears to be primarily measurable on scales smaller than
the turbulence injection scale. Taking together the results by Bensch et al.
(2001) with ours for solenoidal and compressive forcing
indicates that interstellar turbulence is driven primarily on large
scales, potentially with a significant amount of compressive modes
present on the forcing scale (see also Brunt et al. 2009).
8 The sonic scale
The velocity Fourier spectra E(k)
discussed in Sect. 6.1 can be
described as power laws
with negative power-law exponents,
.
This means that the typical velocity fluctuations are decreasing when
going to smaller scales. The value of the integral
over a finite range of wavenumbers with k1
as the lower bound and the cutoff wavenumber
as the upper bound therefore becomes smaller with increasing k1.
Thus, the turbulent flow is expected to change from a supersonic to a
subsonic flow on a certain length scale. This scale separates the
supersonic regime on large scales, where the velocity fluctuations are
supersonic from the subsonic regime, which is located on smaller
scales, where the typical velocity fluctuations are small compared to
the thermal motions of the gas. This transition scale is called the sonic
scale
.
Following Schmidt
et al. (2009), the corresponding sonic
wavenumber
in Fourier space is defined by solving the equation
implicitly for

We solved Eq. (38)
for the sonic wavenumbers
for both the solenoidal and compressive forcing cases. The sonic
wavenumbers for solenoidal and compressive forcings are indicted in
Fig. 15
(left) as vertical dashed lines. We find
for solenoidal forcing and
for compressive forcing. The corresponding sonic scales
are also indicated in
Fig. 15
(right) as
vertical dashed lines.
The Fourier spectra S(k)
shown in Fig. 15
(left) and the corresponding -variance curves shown in
Fig. 15
(right) for solenoidal and compressive forcing cross each other roughly
at the sonic wavenumber and on the sonic scale, respectively. For
compressive forcing S(k)
is significantly steeper on scales larger than the sonic scale (
)
compared to scales
.
S(k) for compressive
forcing approaches the shallower slope of S(k)
for solenoidal forcing at
.
For
there are neither significant differences between the density
spectra S(k) nor the
velocity spectra E(k)
for solenoidal and compressive forcings.
The strong break in the logarithmic density fluctuation
spectra S(k) for
compressive forcing around
appears to be linked to the transition from supersonic motions on large
scales to subsonic motions on scales smaller than the sonic scale. In
order to quantify this, we estimated the typical density fluctuations
on supersonic scales (
)
by evaluating
.
We obtain
1.22
for solenoidal and
3.05
for compressive forcing, which is on the order of the logarithmic
density dispersions
found from the density PDFs (see Table 1). This means
that most of the power in density fluctuations is located on scales
larger than the sonic scale. In contrast, on scales smaller
than the sonic scale the typical density fluctuations can be estimated
by solving
.
We obtain
0.45
for both types of forcing. This shows that density fluctuations on
scales below the sonic scale are small compared to the typical density
fluctuations in the supersonic regime at
(see also Vázquez-Semadeni
et al. 2003). Moreover, Fig. 15 shows that the
typical logarithmic density fluctuations are similar for both
solenoidal and compressive forcings on scales smaller than the sonic
scale. Note that the sum of logarithmic density fluctuations on all
scales is
![]() |
(39) |
for solenoidal forcing and
![]() |
(40) |
for compressive forcing. As expected from Eq. (36), these values are in excellent agreement with the total logarithmic density dispersions

A spatial representation of the structures exhibiting subsonic velocity
dispersions is shown in Fig. 16 (bottom
panel). These structures are identified in slices through the local
Mach number M as regions with .
Figure 16
(top panel) displays the corresponding density slices. The density-Mach
number correlations are quite weak, as expected for isothermal
turbulence (cf. Sect. 3.6).
However, Fig. 5
shows that high-density regions exhibit lower Mach numbers on average.
In real molecular clouds, the sonic scale is expected to be
located on length scales
within factors of a few (e.g., Goodman et al. 1998;
Barranco
& Goodman 1998; Falgarone et al.
1992; Schnee
et al. 2007). For instance, Heyer et al. (2006)
found
for the Rosette MC and
for G216-2.5. Furthermore, the sonic scale may be associated
with the transition to coherent cores (Goodman et al. 1998;
Klessen
et al. 2005; Ballesteros-Paredes
et al. 2003). Recent simulations of turbulent core
formation by Smith
et al. (2009) also suggest that star-forming cores
typically exhibit transonic to subsonic velocity dispersions. This can
be understood if cores form close to the sonic scale in a globally
supersonic turbulent medium. Figure 16 suggests that
regions with subsonic velocity dispersions have different shapes and
sizes for both solenoidal and compressive forcings. The movie (online version)
shows that these structures are transient objects, forming and
dissolving in the turbulent flow (e.g., see also Vázquez-Semadeni et al.
2005). If we had included self-gravity in the
present study, some of these regions would have likely collapsed
gravitationally, because turbulent support becomes insufficient in some
of these subsonic cores (e.g., Mac
Low & Klessen 2004).
![]() |
Figure 16:
z-slices through the local density (
top panels) and Mach number fields ( bottom panels)
at z=0 and t=2 T
for solenoidal forcing ( left), and compressive
forcing ( right). Regions with subsonic velocity
dispersions (
|
Open with DEXTER |
9 Limitations
As a result of the simplicity of the hydrodynamic simulations presented in this paper, comparisons with observational data are limited and should be considered with caution. These limitations are listed below:
- We assume an isothermal equation of state, so our models are strictly speaking only applicable to molecular gas of low enough density to be optically thin to dust cooling. Variations in the equation of state can lead to changes in the density statistics (e.g., Audit & Hennebelle 2010; Li et al. 2003; Passot & Vázquez-Semadeni 1998). The results of the present study apply primarily to the dense interstellar molecular gas for which an isothermal equation of state is an adequate approximation (Ferrière 2001; Wolfire et al. 1995; Glover et al. 2010; Pavlovski et al. 2006).
- The numerical resolution of our simulations is limited. As shown in Fig. 6, the high-density tails of the PDFs systematically shift to higher densities (see also Kitsionas et al. 2009; Glover et al. 2010; Price & Federrath 2010; Hennebelle & Audit 2007). However, the mean and the dispersions are well converged at the numerical resolutions of 2563, 5123 and 10243 grid points used in this study. The inertial scaling range is very small even at resolutions of 10243 grid cells. However, the systematic difference in the inertial range scaling between resolutions of 5123 and 10243 grid points is less than 3% (see Appendix C), which is less than the typical temporal variations between different realisations of the turbulent velocity and density fields.
- Our simulations adopt periodic boundary conditions. This implies that our simulations can only be representative of a subpart of a molecular cloud, for which we study turbulence statistics with high-resolution numerical experiments. However, we cannot take account of the boundary effects in real molecular clouds. Simulations of large-scale colliding flows (e.g., Heitsch et al. 2006; Banerjee et al. 2009; Vázquez-Semadeni et al. 2006; Hennebelle et al. 2008) are more suitable for studying the boundary effects during the formation of molecular clouds.
- We only analysed driven turbulence. However, there is ongoing debate about whether turbulence is driven or decaying (e.g., Stone et al. 1998; Mac Low 1999; Offner et al. 2008; Lemaster & Stone 2008). We are aware of the possibility that turbulence may in fact be excited on scales larger than the size of molecular clouds (e.g., Brunt et al. 2009), but may be globally decaying (if not replenished by a mechanism acting on galactic scales). As discussed in Sect. 2.1, this large-scale decay can however act as an effective turbulence forcing on smaller scales, because kinetic energy is transported from large to small scales through the turbulence cascade.
- Centroid velocity and principal component analysis were applied to PPV cubes constructed from the simulated velocity and density fields assuming optically thin radiation transfer to estimate the intensity of emission lines. This approximation will of course not hold for optically thick tracers. A full radiative transfer calculation taking account of the level population (e.g., Steinacker et al. 2006; Keto et al. 2004; Baron et al. 2009; Pinte et al. 2009; Hauschildt & Baron 2009) of self-consistently formed and evolved chemical tracer molecules (e.g., Glover & Mac Low 2007a; Glover et al. 2010; Glover & Mac Low 2007b) would be needed to advance on this issue.
- We neglected magnetic fields. In order to test the role of magnetic fields in star formation (e.g., Crutcher et al. 2009; Lunttila et al. 2008), we would have to include the effects of magnetic fields and ambipolar diffusion. For instance, the IMF model by Padoan & Nordlund (2002) requires magnetic fields to explain the present-day mass function, while it is still not clear whether magnetic fields are dynamically important for typical molecular clouds. However, Heyer et al. (2008) showed that magnetohydrodynamic turbulence in the Taurus MC may lead to an alignment of flows along the field lines.
- The present study did not include the effects of self-gravity, because we specifically focus on the pure turbulence statistics obtained in solenoidal and compressive forcings. In a follow-up study, we will include self-gravity and sink particles (e.g., Jappsen et al. 2005; Krumholz et al. 2004; Federrath et al. 2010; Bate et al. 1995) to study the influence of the different forcings on the mass distributions of sink particles. First results indicate that the sink particle formation rate is at least one order of magnitude higher for compressive forcing compared to solenoidal forcing. Vázquez-Semadeni et al. (2003) argue that the star formation efficiency is mainly controlled by the rms Mach number and the sonic scale of the turbulence (cf. Sect. 8). However, our preliminary results of simulations including self-gravity show that the star formation efficiency measured at a given time (i.e., the star formation rate) is much higher for compressive forcing than for solenoidal forcing with the same rms Mach number and sonic scale. This provides additional support to our main conclusion that the type of forcing must be taken into account in any theory of turbulence-regulated star formation. This needs to be investigated in future, high-resolution numerical experiments including self-gravity and sink particles.
10 Summary and conclusions
We presented high-resolution hydrodynamical simulations of driven
isothermal supersonic turbulence, which showed that the structural
characteristics of turbulence forcing significantly affect the density
and velocity statistics of turbulent gas (see also Schmidt et al. 2009).
We compared solenoidal (divergence-free) forcing with compressive
(curl-free) turbulence forcing. Five different analysis techniques were
used to compare our simulation data with existing observational data
reported in the literature: probability density functions (PDFs),
centroid velocity increments, principal component analysis, Fourier
spectrum functions, and -variances.
We find that different regions in the turbulent ISM exhibit turbulence
statistics consistent with different combinations of solenoidal and
compressive forcing. Varying the forcing parameter
in Eq. (9),
we showed that a continuum of turbulence statistics exists between the
two limiting cases of purely solenoidal (
)
and purely compressive forcing (
). For
,
turbulence behaves almost like in the case of purely solenoidal
forcing, while for
,
turbulence is highly sensitive to changes in
(cf. Fig. 8).
Note that
represents the natural forcing mixture used in many previous turbulence
simulations. Because the behaviour of all forcing mixtures with
is similar to that of purely solenoidal turbulence with
(see Fig. 8),
turbulence statistics is biased towards finding solenoidal-like values.
However, observations of regions around massive stars that drive
swept-up shells into the surrounding medium (e.g., the shell in the
Perseus MC and in the Rosette MC)
seem better consistent with models of mainly compressive forcing (
). Note that
expanding HII regions around massive stars, and supernova
explosions typically create such swept-up shells, which are considered
to be important drivers of interstellar turbulence (Breitschwerdt
et al. 2009; Mac Low & Klessen 2004)
. A detailed list
of our results is provided below:
- 1.
- The standard deviation (dispersion) of the probability
distribution function (PDF) of the gas density is roughly three times
larger for compressive forcing than for solenoidal forcing. This holds
for both the 3D density distributions (Fig. 4 and
Table 1)
and the 2D column density distributions (Fig. 7 and
Table 3).
We extended the density dispersion-Mach number relations,
Eqs. (18)
and (19)
originally investigated by Padoan
et al. (1997) and Passot
& Vázquez-Semadeni (1998). Based on the varying
degree of compression obtained by solenoidal and compressive forcing,
we developed a heuristic model for the proportionally constant b
in the density dispersion-Mach number relation, which takes account of
the forcing parameter
(Federrath et al. 2008b). In the case of compressive forcing the proportionality constant b is close to
, which confirms the result by Passot & Vázquez-Semadeni (1998). In contrast, solenoidal forcing yields
, which is in excellent agreement with recent independent high-resolution numerical simulations using solenoidal forcing (e.g., Beetz et al. 2008).
- 2.
- A parameter study of eleven models with varying forcing
parameter
, separated by
showed that the heuristic model given by Eq. (20) can only serve as a first-order approximation to the forcing dependence of b (cf. Fig. 8). We showed that b scales with the normalised power of compressible modes in the velocity field,
. A good approximation for b is given by b
, where D=3 in 3D turbulence.
- 3.
- We compared the density PDFs in our models with
observations in the Perseus MC by Goodman et al.
(2009). Goodman
et al. (2009) obtained the largest density
dispersion in all of the Perseus MC within a region that they
call the Shell region. This Shell surrounds the massive star
HD 278942, suggesting that the Shell is an expanding
HII region. Swept-up shells represent geometries that can be
associated with compressive turbulence forcing, because an expanding
spherically symmetric shell is driven by a fully divergent velocity
field. This may explain why the Shell region in the Perseus MC exhibits
the largest density dispersion among all of the subregions in the
Perseus MC investigated by Goodman et al.
(2009). We emphasise that the Shell region does not exhibit
the highest rms Mach number, but has an intermediate value among the
examined subregions in the Perseus MC (Pineda et al. 2008).
Furthermore, as pointed out by Goodman et al.
(2009) the density dispersion-Mach number relation of the
form given by Eq. (19)
for a fixed parameter b is not
observed for the Perseus MC. This apparent contradiction with
Eq. (19)
for a fixed parameter b is resolved,
if different turbulence forcing mechanisms operate in
different subregions of the Perseus MC,
such that b is a function of the
mixture of solenoidal and compressive modes
as shown in Fig. 8.
- 4.
- The turbulent density PDF is a key ingredient for the analytical models of the core mass function (CMF) and the stellar initial mass function (IMF) by Padoan & Nordlund (2002) and Hennebelle & Chabrier (2009,2008), as well as for the star formation rate models by Krumholz & McKee (2005), Krumholz et al. (2009) and Padoan & Nordlund (2009), and the star formation efficiency model by Elmegreen (2008). We showed that the dispersion of the density probability distribution is not only a function of the rms Mach number, but also depends on the nature of the turbulence forcing. All the analytical models above rely on integrals over the density PDF. Since the dispersion of the density PDF is highly sensitive to the turbulence forcing, we conclude that star formation properties derived in those analytical models are strongly affected by the assumed turbulence forcing mechanism.
- 5.
- The PDFs ps(s)
of the logarithm of the density
are roughly consistent with log-normal distributions for both solenoidal and compressive forcings. However, the distributions clearly exhibit non-Gaussian higher-order moments, which are associated with intermittency. Including higher-order corrections represented by skewness and kurtosis is absolutely necessary to obtain a good analytic approximation for the PDF data, because the constraints of mass conservation (Eq. (11)) and normalisation (Eq. (12)) of the PDF must always be fulfilled. Even stronger deviations from perfect log-normal distributions are expected if the gas is non-isothermal (e.g., Li et al. 2003; Passot & Vázquez-Semadeni 1998; Scalo et al. 1998), magnetised (e.g., Li et al. 2008) or self-gravitating (e.g., Li et al. 2004; Federrath et al. 2008a; Kainulainen et al. 2009; Klessen 2000), which often leads to exponential wings or to power-law tails in the PDFs.
- 6.
- Non-Gaussian wings of the density PDFs are a signature of
intermittent fluctuations, which we further investigated using centroid
velocity increments (CVIs). We find strong non-Gaussian signatures for
small spatial lags
in the PDFs of the CVIs (Fig. 9). These PDFs exhibit values of the kurtosis significantly in excess of that expected for a Gaussian (see Fig. 10). Figure 10 can be compared with Hily-Blant et al. (2008, Fig. 7), who analysed CVIs in the Taurus MC and in the Polaris Flare. The values of the kurtosis
measured in the Polaris Flare are consistent with exponential values (
) for short spatial lags, which is also compatible with the results of solenoidal forcing. In contrast, compressive forcing yields values of the kurtosis twice as large at small lags, which indicates that compressive forcing exhibits stronger intermittency. The scaling of the CVI structure functions supports the conclusion that compressive forcing exhibits stronger intermittency compared to solenoidal forcing (see Fig. 12 and Table 4). The scaling exponents of the CVI structure functions obtained for solenoidal forcing are in good agreement with the results by Hily-Blant et al. (2008) obtained in the Polaris Flare for the CVI structure functions up to the 6th order using the extended self-similarity hypothesis.
- 7.
- We applied principal component analysis (PCA) to our
models. A comparison of the PCA scaling
exponents
with the PCA study in the Rosette MC and in G216-2.5 by Heyer et al. (2006) showed that solenoidal forcing is consistent with the PCA scaling measured in G216-2.5 and with the PCA scaling measured outside the HII region (Zone II) surrounding the OB star cluster NGC 2244 in the Rosette MC. On the other hand, the PCA scaling inside this HII region (Zone I) is in good agreement with the PCA scaling obtained for compressive forcing (Table 5). Similar to the Shell region in the Perseus MC, the HII region in the Rosette MC (Zone I) displays signatures of mainly compressive forcing. Recent numerical simulations by Gritschneder et al. (2009) also show that ionisation fronts driven by massive stars can efficiently excite compressible modes in the velocity field.
- 8.
- The Fourier spectra of the velocity fluctuations showed
that they follow power laws in the inertial range with
for solenoidal forcing and
for compressive forcing. Both types of forcing are therefore compatible with the scaling of velocity fluctuations inferred from observations and independent numerical simulations. The Fourier spectra of the logarithmic density fluctuations scale as
for solenoidal forcing and
for compressive forcing in the inertial range.
- 9.
- The inertial range scaling of the velocity and logarithmic
density fluctuations inferred from the Fourier spectra was confirmed
using the
-variance technique.
- 10.
- We computed the sonic scale by integrating the velocity Fourier spectra. The sonic scale separates supersonic turbulent fluctuations on large scales from subsonic turbulent fluctuations on scales smaller than the sonic scale. We found a break in the density fluctuation spectrum S(k) for compressive forcing roughly located on the sonic scale. The typical density fluctuations computed by integration of S(k) over scales larger than the sonic scale are consistent with the logarithmic density dispersions derived from the probability density functions for solenoidal and compressive forcings. On the other hand, the typical density fluctuations on scales smaller than the sonic scale are significantly smaller for both forcing types, which may reflect the transition to coherent cores (e.g., Goodman et al. 1998). Indeed, observations show that cores typically have transonic to subsonic internal velocity dispersions (e.g., Benson & Myers 1989; Foster et al. 2009; Beuther & Henning 2009; Friesen et al. 2009; Kirk et al. 2007; Lada et al. 2008; André et al. 2007; Ward-Thompson et al. 2007). This can be understood if cores form near the sonic scale at the stagnation points of shocks in a globally supersonic turbulent ISM (cf. Sect. 8).
- 11.
- We found that the correlations between the local densities
and the local Mach numbers are typically quite weak (Figs. 5 and 16). However,
this weak correlation shows that the local Mach number M
decreases with increasing density as
for solenoidal forcing and
for compressive forcing for densities above the mean density. This means that dense gas tends to have smaller velocity dispersions on average, consistent with observations of dense protostellar cores.
![]() |
Figure 17:
Top panels: same as Fig. 15.
Middle panels: same as top panels, but
instead of the Fourier spectra and |
Open with DEXTER |
We thank Robi Banerjee, Paul Clark, Simon Glover, Alyssa Goodman, Patrick Hennebelle, Alexei Kritsuk, Alex Lazarian, Daniel Price, Stefan Schmeja, and Nicola Schneider for interesting discussions and valuable comments on the present work. We thank the referee, Chris Brunt for suggesting a parameter study with different forcing ratios, and for clarifying the effects of projection-smoothing and intensity-weighting in observations of centroid velocity maps. The
-variance tool used in this study was provided by Volker Ossenkopf and parallelised by Philipp Grothaus. We are grateful to Alyssa Goodman, Jaime Pineda, and Nicola Schneider for sending us their Perseus MC, and Cygnus X raw data. C. F. acknowledges financial support by the International Max Planck Research School for Astronomy and Cosmic Physics (IMPRS-A) and the Heidelberg Graduate School of Fundamental Physics (HGSFP). The HGSFP is funded by the Excellence Initiative of the German Research Foundation DFG GSC 129/1. This work was partly finished while C.F. was visiting the American Museum of Natural History as a Kade fellow. R.S.K. and C.F. acknowledge financial support from the German Bundesministerium für Bildung und Forschung via the ASTRONET project STAR FORMAT (grant 05A09VHA). R.S.K. furthermore acknowledges financial support from the Deutsche Forschungsgemeinschaft (DFG) under grants No. KL 1358/1, KL 1358/4, KL 1359/5, KL 1359/10, and KL 1359/11. R.S.K. thanks for subsidies from a Frontier grant of Heidelberg University sponsored by the German Excellence Initiative and for support from the Landesstiftung Baden-Württemberg via their program International Collaboration II (grant P-LS-SPII/18 ). M.-M. M. L. acknowledges partial support for his work from NASA Origins of Solar Systems grant NNX07AI74G. The simulations used computational resources from the HLRBII project grant h0972 at Leibniz Rechenzentrum Garching. The software used in this work was in part developed by the DOE-supported ASC/Alliance Center for Astrophysical Thermonuclear Flashes at the University of Chicago.
Appendix A: Fourier spectra and
-variance
scaling of the combined quantities
v
and
v
In this section we present the Fourier spectra and -variance
results for the combined quantities
and
.
Usually, the pure velocity scaling is considered without density
weighting. However, for highly supersonic turbulence it is interesting
to investigate the scaling of combinations of density and velocity.
Note that CVIs (Sect. 4)
and PCA (Sect. 5)
also analyse convolutions of density and velocity statistics.
Figure A.1
(top panel) shows a repetition of Fig. 15 (scaling
of v) together with the scaling
of
(middle panel) and
(bottom panel) for direct
comparison. Since Fourier spectra and
-variance
analyses always represent the mean squares of these quantities,
corresponds
to the scaling of the kinetic energy density
.
As shown by Kritsuk
et al. (2007) (see also Fleck 1996; Henriksen
1991),
corresponds
to a constant energy flux within the inertial range. This idea
was first proposed by Lighthill
(1955). Using the eddy turnover time
as the typical evolution timescale of a turbulent fluctuation on
scale
,
the constancy of energy flux in the inertial range is
defined as
![]() |
(A.1) |
which leads to the original Kolmogorov (1941) scaling (but now including density variations),
![]() |
(A.2) |
for the quantity








Appendix B: Convergence test for the structure functions of centroid velocity increments
For an accurate and reliable determination of the structure function scaling, it must be verified that the number of data pairs used for sampling the structure functions was high enough to yield converged results. There is no general rule to determine a priori the number of data pairs necessary, because the required number of data pairs depends on the underlying statistics of the measured variable itself and on the desired structure function order. However, convergence can be tested by increasing the number of data pairs used for computing the structure functions. Showing that the computed structure functions do not change significantly by further increasing the number of data pairs demonstrates convergence. Furthermore, if convergence is verified for the highest order under consideration, then the structure functions of lower order are also converged. This is because the higher-order structure functions of a variable q reflect the statistics of higher powers of q than the lower order structure functions. This is reflected in the definition of the pth order structure function in Eq. (26).
Figure B.1
demonstrates convergence for the structure functions of CVIs with
orders
discussed in Sect. 4.2. We only
show the compressive forcing case for clarity, but we also verified
convergence for the solenoidal forcing case with the same method.
Figure B.1
shows that sampling each structure function with roughly 1.7
1010 data pairs is sufficient to yield
converged results. The total number of data pairs used to construct the
CVI structure functions shown in Figs. 11 and 12 was thus
roughly 81
3
1.7
1012 from averaging over 81 realisations of the
turbulence and three projections along the x,
y and z-axes for each of these
realisations.
![]() |
Figure B.1:
The 1st (p=1) and 6th (p=6) order
structure functions of the centroid velocity increments sampled with
different numbers of data pairs is shown for a single snapshot at time t=2 T
in z-projection for the case of compressive
forcing. The number of data pairs used for sampling is given in
brackets. The structure functions of centroid velocity increments are
statistically converged for |
Open with DEXTER |
Appendix C: Resolution study of the Fourier spectra and their dependence on the numerical scheme
The resolution and type of numerical method adopted to model supersonic turbulence are expected to critically affect the scaling of Fourier spectrum functions in the inertial range (e.g., Padoan et al. 2007; Klein et al. 2007; Kritsuk et al. 2007). In this section, we investigate the dependence of our Fourier spectra on the numerical resolution and on the numerical scheme used in the present study.
![]() |
Figure C.1: Time-averaged velocity Fourier spectra E(k) defined in Eq. (32) for numerical resolutions of 2563, 5123 and 10243 grid points obtained with solenoidal forcing ( left) and compressive forcing ( right). The inferred inertial range scaling is converged to within less than 3% at the typical resolution of 10243 grid points used throughout this study for both types of forcing. |
Open with DEXTER |
![]() |
Figure C.2:
Dependence of the time-averaged velocity Fourier spectra E(k)
on parameters of the piecewise parabolic method (PPM) (Colella & Woodward 1984)
at fixed resolution of 5123 grid cells.
Varying the PPM diffusion parameter K
between 0.0, 0.1 and 0.2 affects the dissipation range at
wavenumbers |
Open with DEXTER |
C.1 Resolution study
Figure C.1
shows velocity Fourier spectra E(k)
defined in Eq. (32)
for numerical resolutions of 2563, 5123
and 10243 grid points. The inertial
range scaling is indeed affected by the numerical resolution. For
solenoidal forcing, the inertial range scaling exponent
at resolution of 2563 grid cells
is roughly 13% higher than the scaling exponent at a
resolution of 10243. However, the
difference between the inertial range scaling at 5123
and 10243 is less than 3% for
solenoidal forcing. For compressive forcing, the difference between the
inertial range scaling exponents at resolutions of 5123
and 10243 grid cells is less
than 1%. This result indicates that the systematic dependence
of the inertial range scaling on the numerical resolution is less
than 3% for both solenoidal and compressive forcings.
It should be emphasised that variance effects introduced by
different realisations of the turbulence are typically on the order
of 5-10% (see error bars in Fig. 15), which is
higher than the systematic errors introduced by resolution effects, as
long as the numerical resolution is at least 5123 grid cells.
C.2 Dependence on parameters of the piecewise parabolic method
We used the piecewise parabolic method (PPM) (Colella & Woodward 1984) to integrate the equations of hydrodynamics (Eqs. (2) and (3)). PPM improves on the finite-volume scheme originally developed by Godunov (1959) by representing the flow variables with piecewise parabolic functions, which makes the PPM second-order accurate in smooth flows. However, PPM is also particularly suitable for the accurate modelling of turbulent flows involving sharp discontinuities, such as shocks and contact discontinuities. For that purpose, PPM uses a lower artificial viscosity controlled by the PPM diffusion parameter K. In three simulations with resolutions of 5123 grid cells, we varied the PPM diffusion parameter K between 0.0, 0.1 and 0.2. Note that K=0.1 is the value recommended by Colella & Woodward (1984), which was used for all production runs throughout this study. The PPM algorithm furthermore includes a steepening mechanism to keep contact discontinuities from spreading over too many cells. In one additional run at 5123, we switched off the PPM steepening algorithm to check its influence on our results.
Figure C.2
shows that the velocity spectra E(k)
decrease faster with increasing diffusion parameter K
for wavenumbers .
It is expected that the scheme dissipates more kinetic energy
on small scales with increasing K, because
the PPM diffusion algorithm is designed to act on shocks only (Colella & Woodward 1984,
eq. 4.5). In contrast, Fig. C.2
demonstrates that the Fourier spectra at wavenumbers
are hardly affected by the PPM diffusion algorithm for both
solenoidal and compressive forcings. Note that Kritsuk et al. (2007)
reported that their results for the inertial range scaling are highly
sensitive to the choice of PPM diffusion parameter in the
ENZO code. However, our results demonstrate that the choice of
PPM diffusion parameter only affects the inertial range
scaling within less than 1%, which is clearly less than the
influence of the numerical resolution and less than the typical
snapshot-to-snapshot variations. Figure C.2
furthermore demonstrates that the PPM contact discontinuity
steepening has negligible effects for simulations of supersonic
turbulence.
The results obtained here support our conclusion
in Sect. 6
that the Fourier spectra at resolutions of 10243 grid cells
are robust for wavenumbers .
References
- André, P., Belloche, A., Motte, F., & Peretto, N. 2007, A&A, 472, 519
- Anselmet, F., Gagne, Y., Hopfinger, E. J., & Antonia, R. A. 1984, J. Fluid Mech., 140, 63
- Audit, E., & Hennebelle, P. 2010, A&A, 511, A76
- Azzalini, A. 1985, Scand. J. Statist., 12, 171
- Ballesteros-Paredes, J., Klessen, R. S., & Vázquez-Semadeni, E. 2003, ApJ, 592, 188
- Ballesteros-Paredes, J., Gazol, A., Kim, J., et al. 2006, ApJ, 637, 384
- Banerjee, R., Vázquez-Semadeni, E., Hennebelle, P., & Klessen, R. S. 2009, MNRAS, 398, 1082
- Baron, E., Hauschildt, P. H., & Chen, B. 2009, A&A, 498, 987
- Barranco, J. A., & Goodman, A. A. 1998, ApJ, 504, 207
- Bate, M. R., Bonnell, I. A., & Price, N. M. 1995, MNRAS, 277, 362
- Beetz, C., Schwarz, C., Dreher, J., & Grauer, R. 2008, Phys. Lett. A, 372, 3037
- Bensch, F., Stutzki, J., & Ossenkopf, V. 2001, A&A, 366, 636
- Benson, P. J., & Myers, P. C. 1989, ApJS, 71, 89
- Benzi, R., Ciliberto, S., Tripiccione, R., et al. 1993, Phys. Rev. E, 48, 29
- Beuther, H., & Henning, T. 2009, A&A, 503, 859
- Boldyrev, S. 2002, ApJ, 569, 841
- Boldyrev, S., Nordlund, Å., & Padoan, P. 2002, ApJ, 573, 678
- Breitschwerdt, D., de Avillez, M. A., Fuchs, B., & Dettbarn, C. 2009, Space Sci. Rev., 143, 263
- Brunt, C. M., & Heyer, M. H. 2002a, ApJ, 566, 276
- Brunt, C. M., & Heyer, M. H. 2002b, ApJ, 566, 289
- Brunt, C. M., & Mac Low, M. 2004, ApJ, 604, 196
- Brunt, C. M., Heyer, M. H., Vázquez-Semadeni, E., & Pichardo, B. 2003, ApJ, 595, 824
- Brunt, C. M., Heyer, M. H., & Mac Low, M. 2009, A&A, 504, 883
- Brunt, C. M., Federrath, C., & Price, D. J. 2010, MNRAS, 403, 1507
- Burgers, J. M. 1948, Adv. Appl. Mech., 1, 171
- Burkhart, B., Falceta-Gonçalves, D., Kowal, G., & Lazarian, A. 2009, ApJ, 693, 250
- Colella, P., & Woodward, P. R. 1984, J. Comput. Phys., 54, 174
- Crutcher, R. M., Hakobian, N., & Troland, T. H. 2009, ApJ, 692, 844
- Dib, S., Brandenburg, A., Kim, J., Gopinathan, M., & André, P. 2008, ApJ, 678, L105
- Dobler, W., Haugen, N. E. L., Yousef, T. A., & Brandenburg, A. 2003, Phys. Rev. E, 68, 026304
- Dubey, A., Fisher, R., Graziani, C., et al. 2008, in Numerical Modeling of Space Plasma Flows, ed. N. V. Pogorelov, E. Audit, & G. P. Zank, ASP Conf. Ser., 385, 145
- Dubinski, J., Narayan, R., & Phillips, T. G. 1995, ApJ, 448, 226
- Elmegreen, B. G. 2002, ApJ, 577, 206
- Elmegreen, B. G. 2008, ApJ, 672, 1006
- Elmegreen, B. G., & Lada, C. J. 1977, ApJ, 214, 725
- Elmegreen, B. G., & Scalo, J. 2004, ARA&A, 42, 211
- Esquivel, A., Lazarian, A., Horibe, S., et al. 2007, MNRAS, 381, 1733
- Eswaran, V., & Pope, S. B. 1988, Comput. Fluids, 16, 257
- Falgarone, E., & Phillips, T. G. 1990, ApJ, 359, 344
- Falgarone, E., Puget, J.-L., & Perault, M. 1992, A&A, 257, 715
- Falgarone, E., Lis, D. C., Phillips, T. G., et al. 1994, ApJ, 436, 728
- Federrath, C., Glover, S. C. O., Klessen, R. S., & Schmidt, W. 2008a, Phys. Scr. T, 132, 014025
- Federrath, C., Klessen, R. S., & Schmidt, W. 2008b, ApJ, 688, L79
- Federrath, C., Klessen, R. S., & Schmidt, W. 2009, ApJ, 692, 364
- Federrath, C., Banerjee, R., Clark, P. C., & Klessen, R. S. 2010, ApJ, 713, 269
- Ferrière, K. M. 2001, Rev. Mod. Phys., 73, 1031
- Fleck, Jr., R. C. 1996, ApJ, 458, 739
- Foster, J. B., Rosolowsky, E. W., Kauffmann, J., et al. 2009, ApJ, 696, 298
- Friesen, R. K., Di Francesco, J., Shirley, Y. L., & Myers, P. C. 2009, ApJ, 697, 1457
- Frisch, U. 1995, Turbulence (Cambridge Univ. Press)
- Fryxell, B., Olson, K., Ricker, P., et al. 2000, ApJS, 131, 273
- Glover, S. C. O., & Mac Low, M.-M. 2007a, ApJS, 169, 239
- Glover, S. C. O., & Mac Low, M.-M. 2007b, ApJ, 659, 1317
- Glover, S. C. O., Federrath, C., Mac Low, M.-M., & Klessen, R. S. 2010, MNRAS, in press [arXiv:0907.4081]
- Godunov, S. K. 1959, Math. Sbornik, 47, 271
- Goodman, A. A., Barranco, J. A., Wilner, D. J., & Heyer, M. H. 1998, ApJ, 504, 223
- Goodman, A. A., Pineda, J. E., & Schnee, S. L. 2009, ApJ, 692, 91
- Gritschneder, M., Naab, T., Walch, S., Burkert, A., & Heitsch, F. 2009, ApJ, 694, L26
- Haugen, N. E., & Brandenburg, A. 2004, Phys. Rev. E, 70, 026405
- Hauschildt, P. H., & Baron, E. 2009, A&A, 498, 981
- Heitsch, F., Mac Low, M.-M., & Klessen, R. S. 2001, ApJ, 547, 280
- Heitsch, F., Slyz, A. D., Devriendt, J. E. G., Hartmann, L. W., & Burkert, A. 2006, ApJ, 648, 1052
- Hennebelle, P., & Audit, E. 2007, A&A, 465, 431
- Hennebelle, P., & Chabrier, G. 2008, ApJ, 684, 395
- Hennebelle, P. & Chabrier, G. 2009, ApJ, 702, 1428
- Hennebelle, P., Banerjee, R., Vázquez-Semadeni, E., Klessen, R. S., & Audit, E. 2008, A&A, 486, L43
- Henriksen, R. N. 1991, ApJ, 377, 500
- Heyer, M. H., & Brunt, C. M. 2004, ApJ, 615, L45
- Heyer, M. H., & Schloerb, F. P. 1997, ApJ, 475, 173
- Heyer, M. H., Williams, J. P., & Brunt, C. M. 2006, ApJ, 643, 956
- Heyer, M., Gong, H., Ostriker, E., & Brunt, C. 2008, ApJ, 680, 420
- Heyer, M., Krawczyk, C., Duval, J., & Jackson, J. M. 2009, ApJ, 699, 1092
- Hily-Blant, P., Falgarone, E., & Pety, J. 2008, A&A, 481, 367
- Jappsen, A.-K., Klessen, R. S., Larson, R. B., Li, Y., & Mac Low, M.-M. 2005, A&A, 435, 611
- Kainulainen, J., Beuther, H., Henning, T., & Plume, R. 2009, A&A, 508, L35
- Keto, E., Rybicki, G. B., Bergin, E. A., & Plume, R. 2004, ApJ, 613, 355
- Kirk, H., Johnstone, D., & Tafalla, M. 2007, ApJ, 668, 1042
- Kissmann, R., Kleimann, J., Fichtner, H., & Grauer, R. 2008, MNRAS, 391, 1577
- Kitsionas, S., Federrath, C., Klessen, R. S., et al. 2009, A&A, 508, 541
- Klein, R. I., Inutsuka, S.-I., Padoan, P., & Tomisaka, K. 2007, in Protostars and Planets V, ed. B. Reipurth, D. Jewitt, & K. Keil, 99
- Klessen, R. S. 2000, ApJ, 535, 869
- Klessen, R. S. 2001, ApJ, 556, 837
- Klessen, R. S., Heitsch, F., & Mac Low, M.-M. 2000, ApJ, 535, 887
- Klessen, R. S., Ballesteros-Paredes, J., Vázquez-Semadeni, E., & Durán-Rojas, C. 2005, ApJ, 620, 786
- Kolmogorov, A. N. 1941, Dokl. Akad. Nauk SSSR, 32, 16
- Kowal, G., Lazarian, A., & Beresnyak, A. 2007, ApJ, 658, 423
- Kravtsov, A. V. 2003, ApJ, 590, L1
- Kritsuk, A. G., Norman, M. L., Padoan, P., & Wagner, R. 2007, ApJ, 665, 416
- Krumholz, M. R., & McKee, C. F. 2005, ApJ, 630, 250
- Krumholz, M. R., McKee, C. F., & Klein, R. I. 2004, ApJ, 611, 399
- Krumholz, M. R., McKee, C. F., & Tumlinson, J. 2009, ApJ, 699, 850
- Lada, C. J., Muench, A. A., Rathborne, J., Alves, J. F., & Lombardi, M. 2008, ApJ, 672, 410
- Larson, R. B. 1969, MNRAS, 145, 271
- Larson, R. B. 1981, MNRAS, 194, 809
- Larson, R. B. 2005, MNRAS, 359, 211
- Lazarian, A., & Esquivel, A. 2003, ApJ, 592, L37
- Lemaster, M. N., & Stone, J. M. 2008, ApJ, 682, L97
- Lemaster, M. N., & Stone, J. M. 2009, ApJ, 691, 1092
- Li, Y., Klessen, R. S., & Mac Low, M.-M. 2003, ApJ, 592, 975
- Li, P. S., Norman, M. L., Mac Low, M.-M., & Heitsch, F. 2004, ApJ, 605, 800
- Li, P. S., McKee, C. F., Klein, R. I., & Fisher, R. T. 2008, ApJ, 684, 380
- Lighthill, M. J. 1955, in Gas Dynamics of Cosmic Clouds, IAU Symp., 2, 121
- Lis, D. C., Pety, J., Phillips, T. G., & Falgarone, E. 1996, ApJ, 463, 623
- Lis, D. C., Keene, J., Li, Y., Phillips, T. G., & Pety, J. 1998, ApJ, 504, 889
- Lombardi, M., Alves, J., & Lada, C. J. 2006, A&A, 454, 781
- Lunttila, T., Padoan, P., Juvela, M., & Nordlund, Å. 2008, ApJ, 686, L91
- Mac Low, M.-M. 1999, ApJ, 524, 169
- Mac Low, M.-M., & Klessen, R. S. 2004, Rev. Mod. Phys., 76, 125
- Mac Low, M.-M., & Ossenkopf, V. 2000, A&A, 353, 339
- Mac Low, M.-M., Klessen, R. S., Burkert, A., & Smith, M. D. 1998, Phys. Rev. Lett., 80, 2754
- Mac Low, M.-M., Balsara, D. S., Kim, J., & de Avillez, M. A. 2005, ApJ, 626, 864
- McKee, C. F., & Ostriker, E. C. 2007, ARA&A, 45, 565
- Miesch, M. S., & Bally, J. 1994, ApJ, 429, 645
- Miesch, M. S., Scalo, J., & Bally, J. 1999, ApJ, 524, 895
- Moisy, F., & Jiménez, J. 2004, J. Fluid Mech., 513, 111
- Murtagh, F., & Heck, A. 1987, Multivariate Data Analysis, Astrophys. Space Sci. Library, 131
- Myers, P. C. 1983, ApJ, 270, 105
- Nordlund, Å., & Padoan, P. 1999, in Interstellar Turbulence, ed. J. Franco, & A. Carraminana, 218
- Offner, S. S. R., Klein, R. I., & McKee, C. F. 2008, ApJ, 686, 1174
- Ossenkopf, V., & Mac Low, M.-M. 2002, A&A, 390, 307
- Ossenkopf, V., Klessen, R. S., & Heitsch, F. 2001, A&A, 379, 1005
- Ossenkopf, V., Esquivel, A., Lazarian, A., & Stutzki, J. 2006, A&A, 452, 223
- Ossenkopf, V., Krips, M., & Stutzki, J. 2008a, A&A, 485, 917
- Ossenkopf, V., Krips, M., & Stutzki, J. 2008b, A&A, 485, 719
- Ostriker, E. C., Gammie, C. F., & Stone, J. M. 1999, ApJ, 513, 259
- Ostriker, E. C., Stone, J. M., & Gammie, C. F. 2001, ApJ, 546, 980
- Padoan, P., & Nordlund, Å. 2002, ApJ, 576, 870
- Padoan, P., & Nordlund, A. 2009, ApJ, submitted [arXiv:0907.0248]
- Padoan, P., Nordlund, Å., & Jones, B. J. T. 1997, MNRAS, 288, 145
- Padoan, P., Boldyrev, S., Langer, W., & Nordlund, Å. 2003, ApJ, 583, 308
- Padoan, P., Jimenez, R., Nordlund, Å., & Boldyrev, S. 2004, Phys. Rev. Lett., 92, 191102
- Padoan, P., Juvela, M., Kritsuk, A., & Norman, M. L. 2006, ApJ, 653, L125
- Padoan, P., Nordlund, Å., Kritsuk, A. G., Norman, M. L., & Li, P. S. 2007, ApJ, 661, 972
- Passot, T., & Vázquez-Semadeni, E. 1998, Phys. Rev. E, 58, 4501
- Pavlovski, G., Smith, M. D., & Mac Low, M.-M. 2006, MNRAS, 368, 943
- Penston, M. V. 1969, MNRAS, 144, 425
- Perault, M., Falgarone, E., & Puget, J. L. 1986, A&A, 157, 139
- Pineda, J. E., Caselli, P., & Goodman, A. A. 2008, ApJ, 679, 481
- Pinte, C., Harries, T. J., Min, M., et al. 2009, A&A, 498, 967
- Porter, D. H., Pouquet, A., & Woodward, P. R. 1992a, Theor. Comput. Fluid Dynam., 4, 13
- Porter, D. H., Pouquet, A., & Woodward, P. R. 1992b, Phys. Rev. Lett., 68, 3156
- Porter, D. H., Pouquet, A., & Woodward, P. R. 1994, Phys. Fluids, 6, 2133
- Press, W. H., Flannery, B. P., Teukolsky, S. A., & Vetterling, W. T. 1986, Numerical recipes (Cambridge University Press), 818 S.
- Price, D. J., & Federrath, C. 2010, MNRAS, submitted
- Ridge, N. A., Schnee, S. L., Goodman, A. A., & Foster, J. B. 2006, ApJ, 643, 932
- Sánchez, N., Alfaro, E. J., & Pérez, E. 2005, ApJ, 625, 849
- Scalo, J., & Elmegreen, B. G. 2004, ARA&A, 42, 275
- Scalo, J., Vázquez-Semadeni, E., Chappell, D., & Passot, T. 1998, ApJ, 504, 835
- Schmidt, W., Hillebrandt, W., & Niemeyer, J. C. 2006, Comput. Fluids, 35, 353
- Schmidt, W., Federrath, C., & Klessen, R. 2008, Phys. Rev. Lett., 101, 194505
- Schmidt, W., Federrath, C., Hupp, M., Kern, S., & Niemeyer, J. C. 2009, A&A, 494, 127
- Schnee, S., Caselli, P., Goodman, A., et al. 2007, ApJ, 671, 1839
- She, Z.-S., & Leveque, E. 1994, Phys. Rev. Lett., 72, 336
- Smith, R. J., Clark, P. C., & Bonnell, I. A. 2009, MNRAS, 396, 830
- Solomon, P. M., Rivolo, A. R., Barrett, J., & Yahil, A. 1987, ApJ, 319, 730
- Steinacker, J., Bacmann, A., & Henning, T. 2006, ApJ, 645, 920
- Stone, J. M., Ostriker, E. C., & Gammie, C. F. 1998, ApJ, 508, L99
- Stutzki, J., Bensch, F., Heithausen, A., Ossenkopf, V., & Zielinsky, M. 1998, A&A, 336, 697
- Tamburro, D., Rix, H.-W., Leroy, A. K., et al. 2009, AJ, 137, 4424
- Tassis, K. 2007, MNRAS, 382, 1317
- Vázquez-Semadeni, E. 1994, ApJ, 423, 681
- Vázquez-Semadeni, E., Ballesteros-Paredes, J., & Klessen, R. S. 2003, ApJ, 585, L131
- Vázquez-Semadeni, E., Kim, J., Shadmehri, M., & Ballesteros-Paredes, J. 2005, ApJ, 618, 344
- Vázquez-Semadeni, E., Ryu, D., Passot, T., González, R. F., & Gazol, A. 2006, ApJ, 643, 245
- Vincent, A., & Meneguzzi, M. 1991, J. Fluid Mech., 225, 1
- Wang, J., Townsley, L. K., Feigelson, E. D., et al. 2008, ApJ, 675, 464
- Wang, J., Feigelson, E. D., Townsley, L. K., et al. 2009, ApJ, 696, 47
- Ward-Thompson, D., André, P., Crutcher, R., et al. 2007, in Protostars and Planets V, ed. B. Reipurth, D. Jewitt, & K. Keil, 33
- Wolfire, M. G., Hollenbach, D., McKee, C. F., Tielens, A. G. G. M., & Bakes, E. L. O. 1995, ApJ, 443, 152
Online Material
Sol_vs_Comp_slices_FederrathEtAl2010.wmv
Footnotes
- ... forcing
- A movie is only available in electronic form at http://www.aanda.org
- ...
- Note that Passot & Vázquez-Semadeni (1998) suffers from a number of typographical errors as a result of last-minute change of notation. Please see Mac Low et al. (2005, footnote 5) for a number of corrections.
- ... range
- By its formal definition for incompressible turbulence studies (e.g., Frisch 1995), the inertial range is the range of scales for which the turbulence statistics are not directly influenced by the forcing acting on scales larger than the inertial range, and not directly influenced by the viscosity acting on scales smaller than the inertial range. The inertial range is typically very small in numerical experiments, because of the high numerical viscosity caused by the discretisation scheme, given the resolutions achievable with current computer technology (see also Sect. 6 and Appendix C).
- ... NGC 2244
- The formation of the star cluster XA in the Rosette MC was likely triggered by the accumulation of material in the expanding shell surrounding the OB star cluster NGC 2244 (Wang et al. 2009,2008). This emphasises the importance of expanding HII regions in triggering subsequent star formation by compression of gas in expanding shells (Elmegreen & Lada 1977).
- ...
- See also Tamburro et al. (2009) for an observational study.
All Tables
Table 1:
Statistical moments and fit parameters of the PDFs of the volumetric
density
for solenoidal and compressive forcing shown in Fig. 4.
Table 2: Standard deviations of the density PDFs as a function of numerical resolution for solenoidal and compressive forcing shown in Fig. 6.
Table 3:
Same as Table 1,
but for the PDFs of the column density
shown in Fig. 7.
Table 4: Scaling of the structure functions of centroid velocity increments.
Table 5: Comparison of measured PCA scaling slopes.
All Figures
![]() |
Figure 1:
Ratio of compressive power to the total power in the turbulence force
field. The solid lines labelled with 1D, 2D, and 3D
show the analytical expectation for this ratio, Eq. (9),
as a function of the forcing parameter |
Open with DEXTER | |
In the text |
![]() |
Figure 2:
Maps showing density ( top), vorticity (
middle) and divergence ( bottom) in
projection along the z-axis at time t=2 T
as an example for the regime of statistically fully developed,
compressible turbulence for solenoidal forcing ( left)
and compressive forcing ( right). Top
panels: column density fields in units of the mean column
density. Both maps show three orders of magnitude in column density
with the same scaling and magnitudes for direct comparison.
Middle panels: projections of the modulus of the vorticity
|
Open with DEXTER | |
In the text |
![]() |
Figure 3:
Top panel: minimum and maximum logarithmic
density
|
Open with DEXTER | |
In the text |
![]() |
Figure 4:
Volume-weighted density PDFs p(s)
of the logarithmic density
|
Open with DEXTER | |
In the text |
![]() |
Figure 5:
Volume-weighted correlation PDFs of local Mach number M
versus logarithmic density s for solenoidal
( left) and compressive forcing ( right).
Adjacent contour levels are spaced by
|
Open with DEXTER | |
In the text |
![]() |
Figure 6: Density PDFs at numerical resolutions of 2563, 5123 and 10243 grid cells. The PDFs show very good overall convergence, especially around the peaks. Table 2 shows that the standard deviations are converged with numerical resolution. The high-density tails, however, are not converged even at a numerical resolution of 10243 grid points, indicating a systematic shift to higher densities with resolution. This limitation is shared among all turbulence simulations (see also, Kitsionas et al. 2009; Price & Federrath 2010; Hennebelle & Audit 2007). The low-density wings are subject to strong temporal fluctuations due to intermittent bursts caused by head-on collisions of shocks followed by strong rarefaction waves (e.g., Kritsuk et al. 2007). The intermittency causes deviations from a perfect Gaussian distribution and accounts for non-Gaussian higher-order moments (skewness and kurtosis) in the distributions. |
Open with DEXTER | |
In the text |
![]() |
Figure 7:
Same as Fig. 4,
but the time- and projection-averaged logarithmic column
density PDFs of
|
Open with DEXTER | |
In the text |
![]() |
Figure 8:
Diamonds: the proportionality
parameter b in the density dispersion-Mach
number relation, Eq. (18),
computed as
|
Open with DEXTER | |
In the text |
![]() |
Figure 9:
PDFs of centroid velocity increments, computed using Eqs. (24) and (25) are shown as a
function of lag |
Open with DEXTER | |
In the text |
![]() |
Figure 10:
Kurtosis |
Open with DEXTER | |
In the text |
![]() |
Figure 11: Scaling of the structure functions of centroid velocity increments defined in Eq. (26) for solenoidal forcing ( left) and compressive forcing ( right) up to the 6th order. Scaling exponents obtained using power-law fits following Eq. (27) within the inertial range are indicated in the figures and summarised in Table 4. |
Open with DEXTER | |
In the text |
![]() |
Figure 12: Same as Fig. 11, but using the extended self-similarity hypothesis (Benzi et al. 1993), allowing for a direct comparison of the scaling exponents of centroid velocity increments with the study by Hily-Blant et al. (2008) for the Polaris Flare and Taurus MC (see Table 4). |
Open with DEXTER | |
In the text |
![]() |
Figure 13: Principal component analysis (PCA) for solenoidal ( left) and compressive forcing ( right). The PCA slopes obtained for solenoidal and compressive forcings are summarised and compared with observations by Heyer et al. (2006) in Table 5. The error bars contain the contribution from temporal variations and from three different projections along the x, y and z-axes. The data were re-sampled from 10243 to 2563 grid points prior to PCA. The re-sampling speeds up the PCA and has virtually no effect on the inertial range scaling (see e.g., Federrath et al. 2009; Padoan et al. 2006). |
Open with DEXTER | |
In the text |
![]() |
Figure 14:
Top panels: total, transverse (rotational)
and longitudinal (compressible) velocity Fourier spectra E(k)
defined in Eq. (32)
and compensated by k2
for solenoidal ( left) and compressive forcing (
right). Error bars indicate temporal variations, which
account for an uncertainty of roughly |
Open with DEXTER | |
In the text |
![]() |
Figure 15:
Left panel: fourier spectra of the velocity, E(k) defined
in Eq. (32)
(crosses and diamonds) and Fourier spectra of the logarithmic density
fluctuations, S(k) defined
in Eq. (35)
(triangles and squares) for solenoidal and compressive forcing,
respectively. Both E(k)
and S(k) are compensated
by k2 allowing for a
better determination of the inertial range scaling. The density
fluctuation power spectra differ significantly in the inertial range
|
Open with DEXTER | |
In the text |
![]() |
Figure 16:
z-slices through the local density (
top panels) and Mach number fields ( bottom panels)
at z=0 and t=2 T
for solenoidal forcing ( left), and compressive
forcing ( right). Regions with subsonic velocity
dispersions (
|
Open with DEXTER | |
In the text |
![]() |
Figure 17:
Top panels: same as Fig. 15.
Middle panels: same as top panels, but
instead of the Fourier spectra and |
Open with DEXTER | |
In the text |
![]() |
Figure B.1:
The 1st (p=1) and 6th (p=6) order
structure functions of the centroid velocity increments sampled with
different numbers of data pairs is shown for a single snapshot at time t=2 T
in z-projection for the case of compressive
forcing. The number of data pairs used for sampling is given in
brackets. The structure functions of centroid velocity increments are
statistically converged for |
Open with DEXTER | |
In the text |
![]() |
Figure C.1: Time-averaged velocity Fourier spectra E(k) defined in Eq. (32) for numerical resolutions of 2563, 5123 and 10243 grid points obtained with solenoidal forcing ( left) and compressive forcing ( right). The inferred inertial range scaling is converged to within less than 3% at the typical resolution of 10243 grid points used throughout this study for both types of forcing. |
Open with DEXTER | |
In the text |
![]() |
Figure C.2:
Dependence of the time-averaged velocity Fourier spectra E(k)
on parameters of the piecewise parabolic method (PPM) (Colella & Woodward 1984)
at fixed resolution of 5123 grid cells.
Varying the PPM diffusion parameter K
between 0.0, 0.1 and 0.2 affects the dissipation range at
wavenumbers |
Open with DEXTER | |
In the text |
Copyright ESO 2010
Current usage metrics show cumulative count of Article Views (full-text article views including HTML views, PDF and ePub downloads, according to the available data) and Abstracts Views on Vision4Press platform.
Data correspond to usage on the plateform after 2015. The current usage metrics is available 48-96 hours after online publication and is updated daily on week days.
Initial download of the metrics may take a while.