Issue |
A&A
Volume 512, March-April 2010
|
|
---|---|---|
Article Number | A35 | |
Number of page(s) | 14 | |
Section | Galactic structure, stellar clusters, and populations | |
DOI | https://doi.org/10.1051/0004-6361/200912947 | |
Published online | 25 March 2010 |
On the fundamental line of galactic and extragalactic globular clusters
M. Pasquato1 - G. Bertin2
1 - Dipartimento di Fisica, Università di Pisa, Largo Bruno Pontecorvo 3, 56127 Pisa, Italy
2 - Dipartimento di Fisica, Università degli Studi di Milano,
via Celoria 16, 20133 Milano, Italy
Received 21 July 2009 / Accepted 2 November 2009
Abstract
Context. In a previous paper, we found that globular clusters in our Galaxy lie close to a line in the (
,
,
)
parameter space, with a moderate degree of scatter and remarkable
axi-symmetry. This implies that a purely photometric scaling law
exists, that can be obtained by projecting this line onto the (
,
)
plane. These photometric quantities are readily available for large
samples of clusters, as opposed to stellar velocity dispersion data.
Aims. We study a sample of 129 Galactic and extragalactic clusters on this photometric plane in the V-band. We search for a linear relation between
and
and study how the scatter around the best-fit relation is influenced by
both age and dynamical environment. We interpret our results in terms
of testing the evolutionary versus primordial origin of the fundamental
line.
Methods. We perform a detailed analysis of surface brightness
profiles, which allows us to present a catalogue of structural
properties without relying on a given dynamical model.
Results. We find a linear relation between
and
,
in the form
,
where
is measured in mag/arcsec2 and
in parsec. Both young and old clusters follow the scaling law, which has a scatter of approximately 1 mag in
.
However, young clusters display more of a scatter and a clear trend in
this with age, which old clusters do not. This trend becomes tighter if
cluster age is measured in units of the cluster half-light relaxation
time. Two-body relaxation therefore plays a major role, together with
passive stellar population evolution, in shaping the relation between
,
,
and cluster age. We argue that the
-
relation and hence the fundamental line scaling law does not have a
primordial origin at cluster formation, but is rather the result of a
combination of stellar evolution and collisional dynamical evolution.
Key words: globular clusters: general - Galaxy: structure
1 Introduction
In a previous paper (Pasquato & Bertin 2008,
hereafter Paper I), we demonstrated that Galactic globular clusters
(Galactic GCs) occupy a narrow region around a line in the (
,
,
)
parameter space. This fundamental line is located within the fundamental plane of Galactic GCs (see Djorgovski 1995) and its existence was noted by Bellazzini (1998) based on principal component analysis techniques.
Bellazzini (1998) divided the observed
Galactic GCs into two sets of inner GCs and outer GCs with respect to
the Sun's orbit, and found that outer GCs have a dimensionality of 1 in
the (
,
,
)
space
,
while the dimensionality rises to 2 for inner GCs. He argued that inner
GCs, which are closer to the Galactic bulge and interact more
frequently with the disk, are more dynamically disturbed than outer
GCs. Therefore, he suggested that dynamical interactions with the
environment are more likely to disrupt than to preserve a fundamental
line, which was then speculated to be primordial in origin.
By projecting the fundamental line onto the (
,
)
plane, in Paper I we predicted the existence of a purely photometric scaling law in the form of a linear relation between
and
.
This relation can be practically studied for a much larger sample than
the fundamental plane, because velocity dispersion data is not
required. In particular, bright clusters (both young and old) in the
LMC, SMC, and Fornax galaxies may be included in the study, together
with Galactic GCs. This allows a comparison to be made between the
behaviors in the (
,
)
plane, of clusters that have significantly different ages and are associated with different environments.
The choice of using only photometric variables allows us to
consider a relatively large sample of clusters with a substantial age
spread. We are then able to attack the problem of the origin and
evolution of the
-
scaling law by studying its dependence on cluster age and to look for
evidence for or against the picture in which this scaling law
originates primordially and diminishes with time because of dynamical
evolution.
In the present paper, we follow Paper I in deriving cluster structural parameters in a model-independent way, in particular by avoiding fitting a given dynamical model to observational data. Some minor changes in the model-independent algorithm used are described in Sect. 2, where a detailed account of the data that we collect from the literature is also given. We compile a catalogue of fraction-of-light radii, average surface brightness, and absolute magnitudes, as a machine-readable table. Central cusps in the surface brightness profile have been observed in both old, Galactic GCs (Noyola & Gebhardt 2006) and extragalactic clusters (Noyola & Gebhardt 2007) and are predicted to form after core-collapse by N-body simulations (Trenti et al. 2010). Extended cluster envelopes have also been observed in young clusters in external galaxies (e.g., Larsen 2004; Schweizer 2004). The simple, single-mass, spherical isotropic King (1966) models that are usually taken to fit cluster surface brightness profiles have a flat core and sharp tidal cutoff and therefore have difficulties in modeling clusters with these features. The problem of extended envelopes prompted McLaughlin & van der Marel (2005) to refit a sample of Milky Way, LMC, SMC, and Fornax clusters with King models, power-law models, and Wilson (1975) models, finding that, for a sizeable fraction of the old GC population, King models do not perform more effectively than either Wilson (1975) or power-law models in fitting surface brightness profiles. More generally, the construction of physically-motivated self-consistent models continues to advance, by including features such as tidal flattening (e.g., see Bertin & Varri 2008), but model-independent approaches remain a valid complement to model-based analyses (see Kron & Mayall 1960). While a certain dependence on specific assumptions, such as the details of the extrapolation of the external part of surface brightness profiles, cannot be avoided, the catalogue of model-independent GC structural parameters presented in this paper naturally emerges as a tool useful for avoiding the potentially limiting assumptions required by dynamical models. The fundamental line and its scatter are presented in Sect. 3. Discussion and conclusions are given in Sect. 4.
2 The data
2.1 Distance moduli
We combined the distance moduli by Recio-Blanco et al. (2005) and Ferraro et al. (1999) for the Galactic GCs in our sample.
Recio-Blanco et al. (2005) and Ferraro et al. (1999)
list 72 and 61 objects respectively, with an overlap of 34, which
provides a sample of 99 Galactic GCs with measured distance moduli.
Both the apparent distance moduli in the F555W band in Recio-Blanco et al. (2005) and the true distance moduli in Ferraro et al. (1999) are calibrated on the horizontal-branch standard candle. The distance moduli from Ferraro et al. (1999) are taken from Col. 8 of their Table 2, i.e., are based on the
metallicity scale. We converted the distance moduli by Recio-Blanco et al. (2005) to true distance moduli using the adopted E(B-V) reddenings (see following subsection) and the relation between reddening and extinction in the F555W band from Table 12 of Holtzman et al. (1995). For the data in the overlap of the Ferraro et al. (1999) and Recio-Blanco et al. (2005)
samples, we took the error-weighted average value of the true distance
modulus. In Paper I, we adopted quite conservative uncertainties
in distance moduli, with a rescaling in the error bars to include
systematic errors and an estimate of the error caused by the limited
knowledge of the amount of
-enhancement.
This procedure allowed us to prove that the scatter about the
fundamental plane is not caused by observational errors alone, even
though conservatively estimated. For the purpose of compiling the
catalogue described in Sect. 2.8, we consider the errorbars quoted by the authors of the respective measurements and combine them in the standard way.
For the extragalactic GCs in our sample, we adopt the distance to the host galaxy as the cluster's distance, following McLaughlin & van der Marel (2005),
with the exception of the two clusters NGC 1466 and NGC 1841
which, while being listed as part of the LMC GC system by McLaughlin & van der Marel (2005), have an independent distance modulus measurement by Recio-Blanco et al. (2005).
The extragalactic sample of McLaughlin & van der Marel (2005) comprises 68 GCs. Thus,
the sample of both Galactic and extragalactic GCs with measured distance moduli comprises 165 objects.
2.2 Reddening
For Galactic GCs, we combined reddening data by Ferraro et al. (1999) and Recio-Blanco et al. (2005). For reddenings present in both listings, we adopted the error-weighted average. Errors are assumed to be 10% of the adopted reddening value, as in Paper I. The clusters NGC 6304, NGC 6316, NGC 6342, NGC 6356, NGC 6388, NGC 6441, NGC 6539, NGC 6624, and NGC 6760 have their distance modulus measured by Recio-Blanco et al. (2005), but reddening was listed for them by neither Recio-Blanco et al. (2005) nor Ferraro et al. (1999). Therefore, for these clusters, we chose to use the reddening values provided by Harris (1996).
2.3 Surface brightness profiles: apparent magnitudes and effective radii
The model-independent procedure based on spline-smoothing that we used for extracting integrated apparent magnitudes and fraction-of-light radii from the surface brightness profiles of GCs does not differ substantially from the one described in Paper I. Three differences are worth mentioning:
- The smoothing parameter of the spline-fitting algorithm is now adjusted interactively by directly examining how much the resulting spline matches the GC surface brightness data.
- The extrapolation that is taken past the outermost observed
point in the surface brightness profile assumes the projected
luminosity density decreases as a power law with projected distance
from the GC center. A discussion of this power-law behavior of the
outer part of the GC surface brightness profiles is given in Sect. 3. The power law is truncated at
, where
is the outermost observed radius. The contribution to the integrated luminosity from the extrapolated profile is usually not influenced significantly by changes in this cutoff. The power-law exponent is determined by fitting the outer points in the surface brightness profile. The exact number of points used for each cluster is again defined interactively. GCs with a contribution to the integrated apparent magnitude from the extrapolated profile that exceeds 0.5 mag are removed from the sample.
- Automated outlier rejection based on comparison with literature data does not take place. Instead, the cluster surface brightness profiles are inspected visually, and as a result those of NGC 2419, NGC 4372, NGC 6101, NGC 6541, and NGC 6535 are excluded from the sample due to their poor quality.
2.4 Shape of the surface brightness profile at the GC center
In Paper I, we found an unexpected correlation between residuals to the fundamental plane of Galactic GCs and the central logarithmic slope of the GC surface brightness profile defined and measured by Noyola & Gebhardt (2006). In the present paper, the slopes measured by Noyola & Gebhardt (2007) for extragalactic clusters are combined with those measured by Noyola & Gebhardt (2006), producing a sample of 68 GCs with measured slopes.
2.5 Extrapolation of the surface brightness profile
Most GC surface brightness profiles can be accurately fitted in their outer parts with a power-law luminosity density I per unit area given by
We determine the value of the exponent a for the sample of 145 GCs with quality surface brightness profiles for which we compute the model-independent structural parameters. This best-fit relation is then used to extrapolate the surface brightness profile and calculate the cluster integrated apparent magnitude.
2.6 Distance from the center of the host galaxy and orbital parameters
To assess the role of environment-driven dynamical evolution in establishing or eliminating the
-
relation, we use distances from
the center of the host galaxy listed by McLaughlin & van der Marel (2005) as a quantitative measure of the interaction. This approach is similar to that of Bellazzini (1998), who divided Galactic GCs on the basis of Galactocentric distance to study the fundamental line of GCs.
In principle, the size of the Roche lobe is a more accurate
estimator of the amount of tidal disturbance that the host galaxy
exerts on a cluster. A cluster of mass
in a circular orbit with an angular velocity
at distance
from the center of its host galaxy (taken to be spherically symmetric) has a tidal radius (see Bertin & Varri 2008)
where



where the constant of proportionality varies from one galaxy to another. The sample of clusters with model-independent structural parameters, host-galaxy distances, and masses estimated by McLaughlin & van der Marel (2005) consists of 114 GCs. We use Eq. (3) to calculate the tidal radius for 61 clusters in the Milky Way and 40 in the LMC; we do not consider either the SMC or Fornax objects because their sample size would be too small. Of course, a thorough analysis would require a discussion of how the available projected data truly constrain the relevant intrinsic quantities which appear in Eqs. (2) and (3) (see also Heggie & Hut 2003; Spitzer 1987) but this is beyond the scope of the present paper. McLaughlin & van der Marel (2005) list only sky-projected distances for LMC, SMC, and Fornax clusters. Full three-dimensional distances are available only for Galactic GCs.
Measuring the strength of the dynamical interaction with the host galaxy using detailed orbital data instead of instantaneous distances would be more accurate, but these data are available only for a much smaller subset of Galactic GCs. Allen et al. (2006) calculate the orbits of 48 GCs in a model Milky Way potential, yielding average pericenter distances and orbital eccentricities. The sample of clusters with such an orbit determination and model-independent structural parameters consists of 36 GCs. Allen et al. (2006) calculate orbits based on GC radial velocity and proper motion data, based on either an axisymmetric or a barred model Galactic potential. In the following, we use orbital data from the axisymmetric model, but we checked that our results do not differ significantly if the barred model is assumed instead.
2.7 Ages and timescales
Marín-Franch et al. (2009) obtain GC relative ages from HST/ACS data acquired by the ACS Survey of Galactic globular clusters, while De Angeli et al. (2005) list ages from either ground-based photometry or HST snapshot data. For both samples, we adopt the ages based on the Carretta & Gratton (1997) metallicity scale, normalize both sets of relative ages to NGC 104, and adopt the average value for the combined samples. NGC 6287 is the oldest cluster in the combined sample, so we set its age to be 13 Gyr to determine the absolute ages of the combined set of Galactic GCs. The young clusters of the LMC, SMC, and Fornax are assigned ages following McLaughlin & van der Marel (2005). The final sample of Galactic and extragalactic GCs with measured ages contains 131 objects.
Relaxation times at the half-light radius are taken from McLaughlin & van der Marel (2005). Since McLaughlin & van der Marel (2005) analyze the GC surface brightness profiles in a model-dependent way, we adopt the values based on King (1966) model fits. The processes driven by two-body interactions, such as mass loss by means of the evaporation of stars, mass segregation of stars of different masses within the GC, and core collapse, are expected to occur over a timescale of several relaxation times. The ratio of age to relaxation time is thus a measure of the ``dynamical age'', i.e., the degree of relaxation of a given cluster.
Allen et al. (2006) use the orbits that they calculate for their sample of 48 GCs to compute destruction rates for bulge- and disk-shocking.
These are the reciprocals of the natural timescales against which
cluster age is compared to quantify the amount of dynamical interaction
with the host Galactic environment a that given GC has suffered.
In the following, we denote cluster ages by
,
half-light relaxation times by
,
disk-shocking destruction rates by
,
and bulge-shocking destruction rates by
.
2.8 The catalogue
For the adopted sample of 129 GCs, Table 1 lists the integrated apparent V-band
magnitude obtained by using our model-independent profile smoothing
method, the adopted reddening and true distance modulus, the log
projected half-light radius (in arcsecs), and the value of the exponent
a obtained by fitting a power-law to the outermost part of the GC surface brightness profile (see Eq. (1)).
Table 2 lists the average V-band surface brightness within the half-light radius
(in mag/arcsec2), half-light radius
(in parsecs), absolute magnitude MV, and residuals in
to the fitted
-
linear relation.
To assess the impact of model-dependence on the GC structural parameters, we compare the luminosities that we obtained here with the values listed in the catalogue by Harris (1996) for Galactic GCs. The sample with parameters available both in the Harris catalogue and in this paper contains 76 GCs. Figure 1 compares our V-band integrated apparent magnitudes with the Harris (1996) values. The magnitudes derived in the present paper are fainter than those of Harris (1996) by 0.12 mag in the median. The rms scatter of the differences is 0.2 mag. Nine clusters exhibit a discrepancy of 0.4 mag or more between the integrated apparent magnitude that we derive here and the Harris (1996) value. These clusters are Arp 2, NGC 4590, NGC 5466, NGC 5634, NGC 6218, NGC 6316, NGC 6366, NGC 6584, and NGC 6809. With the exception of NGC 6584 and NGC 6316, a visual inspection of the Trager et al. (1995) surface brightness profiles of these clusters detects either a very noisy profile or puzzling features such as a non-monotonic behavior.
![]() |
Figure 1: Comparison between the integrated apparent V-band magnitudes of GCs derived in the present paper with the values listed by Harris (1996). The superimposed line represents the identity. The magnitudes we derive are systematically fainter by approximately 0.12 mag in the median with respect to the Harris (1996) values. |
Open with DEXTER |
2.9 Fraction of light radii and non-parametric concentration measurements
Fraction of light radii for fractions other than 1/2 are also obtained for each GC and listed in Table 3, thus providing an update and extension of the study by Trager et al. (1995), who list the fraction of light radii (from 10% to the half-light radius) for their sample of Galactic GCs. We recall that the ratio of two different fraction of light radii defines dimensionless shape parameters for the surface brightness profile, which for King-model clusters should be on a one-to-one relation with the concentration parameter c. McLaughlin & van der Marel (2005) call for ``a more generally applicable concentration index able to represent the spatial extent or potential depth of any cluster in a more model-independent way (so as to allow, e.g., for a combined analysis of clusters that may not all be described well by the same type of model)''.
Using our fraction of light radii, we obtain the coefficients
,
,
and
.
These concentration indicators do not rely on model-based assumptions
on the shape of the surface brightness profile, and can easily be
calculated for a given model surface brightness profile.
We also obtain the so-called Third Galaxy Concentration (TGC) index introduced by Graham et al. (2001)
to improve the stability of non-parametric indicators of galaxy
concentration as a function of the radial extension of the observed
luminosity profile. The TGC coefficient is defined to be the ratio of the light contained within
to the light contained within the half-light radius
.
To the best of our knowledge, this is the first calculation of these
indices for GCs, while the use of non-parametric concentration
indicators for galaxies dates to the studies of Fraser (1972) and de Vaucouleurs (1977).
Figure 2 shows the TGC index as a function of
for the adopted sample of 145 GCs with quality surface brightness profiles. We find a strong correlation with r
= 0.87. This is an indirect check that GC surface brightness
profiles are described well by a one-parameter family of models. The
observed linear correlation still leaves room for ingredients such as
mass segregation or IMBHs to introduce deviations from this simple
one-parameter picture.
![]() |
Figure 2: Relation between the C31 and the TGC non-parametric concentration indices for the adopted sample of 145 GCs with quality surface brightness profiles. |
Open with DEXTER |
3 Results
3.1 The SB e-log R e relation
As anticipated, based on the projected fundamental line argument of Paper I, we do find a linear relation between V-band
and
for the adopted sample of 129 GCs, of the form
where the coefficients are obtained by biweight (e.g., see Mosteller & Tukey 1977) fitting





![]() |
Figure 3:
Relation between V-band
|
Open with DEXTER |
Equation (4) results from neglecting the errors in the individual data-points, an approach which is usually taken in the literature (e.g., Djorgovski 1995). If, on the other hand, these errors are included in an ordinary least-squares regression fit, we obtain
The slopes of Eqs. (4) and (5) are consistent with each other within 3-

3.2 Interpretation
Equation (4) is compatible to within 1

which, for a given k, describes the locus of constant absolute magnitude



This behavior is evident from Fig. 4, where we plot V-band integrated absolute magnitude MV as a function of
for GCs (identified by parent galaxy symbols as in Fig. 3) and for nearby dwarf spheroidal galaxies (the data for the latter are taken from van den Bergh 2008).
While dwarf spheroidals show a clear trend of absolute magnitude with
half-light radius, GCs form an almost perfect scatter plot, independent
of their parent galaxy.
Quantitatively, by fitting a linear relation to MV as a function of
for the full sample of 129 GCs, we obtain
where the

![]() |
Figure 4:
Absolute integrated V-band magnitude MV as a function of
|
Open with DEXTER |
Therefore, the existence of a linear
-
relation appears to reflect the statement that GCs have a luminosity
independent of size. For a constant mass-to-light ratio M/L,
this requirement dictates that GCs have a mass distribution that does
not depend on their physical size. For Galactic GCs, this is a
well-known fact (e.g., see Djorgovski & Meylan 1994), which has also been recently confirmed for extragalactic clusters (see Barmby et al. 2007) and is at the basis of the explanation proposed by Bellazzini (1998) for the existence of a fundamental line.
Even if Galactic, LMC, SMC, and Fornax clusters are considered separately, no significant trend of MV with
emerges, i.e., the independence of total luminosity on cluster size is apparently universal.
3.3 A trend of residuals with age for young clusters
![]() |
Figure 5:
Trend of residuals to the
|
Open with DEXTER |
The residuals to the fitted
-
relation are plotted against cluster age in Fig. 5.
The residuals are defined as the difference between the true surface
brightness and that predicted by the fitted linear relationship, so
that a positive residual means a fainter surface brightness. Based on
the assumption of a constant mass-to-light ratio, this implies a lower
surface density.
The plot shows a rather different behavior for young and old clusters.
Old clusters, which we define to have age in excess of 4 Gyr, are
mainly Galactic GCs and their residuals show no significant trend with
age (the correlation coefficient is r
= 0.08, compatible with 0 according to a t-test). The residuals of
clusters younger than 4 Gyr, instead show a clear trend with age,
with r = 0.79 and a highly significant t-test p-value of
.
Moreover, Fig. 6
shows that these young clusters exhibit a larger scatter about the
fitted line, as quantitatively confirmed by the standard deviation of
their residuals with respect to it, which is 1.37 mag in
as opposed to 1.04 mag for the scatter about the relation given by Eq. (4)
for the whole sample.
The presence of a greater scatter and the indication that it is driven
by a third parameter clearly infers that the behavior of young clusters
and old clusters in the (
,
)
plane is different.
Moreover, Fig. 5
shows that old GCs are not located along the extrapolation of the
correlation line for the younger clusters. While a firm conclusion
regarding this matter would require additional studies, this occurrence
may be an indication that massive clusters that are in the SMC, LMC,
and Fornax now, are either not similar to the young massive clusters
that were the progenitors of the old GCs, or that evolutionary
phenomena capable of explaining the non-linearity observed in Fig. 5 are at work.
![]() |
Figure 6:
Relation between V-band
|
Open with DEXTER |
3.4 Passive stellar evolution or dynamical aging?
The trend of the residuals to the fitted
-
relation with cluster age may be produced by the evolution of the
cluster stellar population with age, whose characteristic timescales
are influenced by cluster metallicity but do not display large
variations from one cluster to another, or from dynamical effects,
e.g., mass loss due to evaporation of light stars. To decouple the
dynamical effects from stellar evolution, we studied the dependence of
the residuals from the
-
relation on the ratio
of cluster age
to the half-light relaxation time
.
The timescale for cluster dissolution by the evaporation of stars is a multiple of
,
as well as the timescale for the onset of core-collapse and mass segregation. The ratio
is therefore a measure of dynamical age, i.e., of how much a cluster has evolved by two-body relaxation processes.
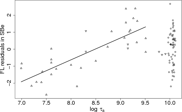
Figure 7 shows a scatter plot of the residuals against
.
Only clusters younger than 4 Gyr are included in the plot. The
trend shown here is stronger than the correlation of residuals with
cluster age alone (not shown). The correlation coefficient for clusters
younger than 4 Gyr is r = 0.90, which is quite tight, even though it remains consistent within its 95% confidence interval with the value of r
= 0.79 found for the correlation with age alone.
This finding suggests that, for young clusters, internal two-body
relaxation phenomena play an important role in driving the evolution of
the
-
relation.
![]() |
Figure 7:
Trend of residuals to the
|
Open with DEXTER |
3.5 Residuals and the central slope of the surface brightness profile
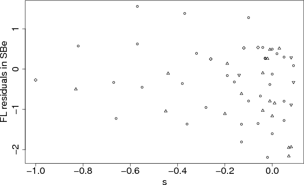
Figure 8 shows that there is no apparent correlation between residuals of the
-
relation and central surface brightness profile slopes measured by Noyola & Gebhardt (2007,2006). The correlation coefficient that we find is r = -0.19, which is not significant (with a p-value of 0.16), i.e., r
is compatible with 0 and no correlation is present. This result is
somewhat unexpected, given the correlation found in Paper I
between central surface brightness profile slope and residuals to the
fundamental plane of GCs. A possible interpretation is that this
correlation is caused by phenomena pertaining to the velocity
dispersion
.
This would be the case if the presence of a cusp in the cluster luminosity density profile makes
higher than expected from the fundamental plane relation.
![]() |
Figure 8:
Scatter plot of the residuals to the
|
Open with DEXTER |
3.6 Dynamical influence of the galactic environment
To measure environmental
effects on the
-
relation,
we study how the residuals vary with different indicators.
To quantify the amount of influence that the galactic environment
exerts on a sample of 114 GCs, we use distances from the center of
each cluster's host galaxy, listed by McLaughlin & van der Marel (2005).
We find no significant trend of residuals to the
-
relation with log distance from the host galaxy center. A positive correlation coefficient of r = 0.22 is found, which corresponds to a t-test p-value of 0.02.
For the sample of 61 Galactic GCs for which we calculated the radii of
the relevant Roche lobes, we find a negative correlation coefficient
with the residuals of the
-
relation, which is marginally significant with 0.01 p-value. In the
case of LMC clusters, no significant trend with tidal radii is found.
For the 48 Galactic GCs whose orbits were computed by Allen et al. (2006), the interaction with Galactic environment can be quantified in a more refined way, by using the computed orbital parameters. Allen et al. (2006) calculated their orbits over a period of several Gyr, and list average values of perigalactic distance and orbital eccentricity during this time. These two orbital parameters are understood to set the cluster tidal cutoff radii (e.g., see King 1962), thereby influencing the whole cluster density and surface brightness profile. Surprisingly, we find no correlation between the residuals and either perigalactic distance or orbital eccentricity. The correlation coefficients are consistent with 0 having p-values of 0.19 and 0.30, respectively.
Allen et al. (2006) also computed GC
destruction rates relative to the tidal interaction with either the
Galactic bulge or the disk. Destruction rates depend on the computed GC
orbit as well as the assumed Galactic potential model. Our results are
similar for the two potential models considered by the authors of the
above paper. We consider the ratio of GC age to the related timescales
to measure the amount of environment-driven dynamical evolution.
A scatter plot of the residuals of the
-
relation versus the log ratio of cluster age
to Allen et al. (2006) bulge destruction time
and disk destruction time
shows only a mild trend, with correlation coefficients of 0.45 and 0.49, respectively.
3.7 Power-law behavior of surface brightness profiles in the outermost regions
Figure 9 shows the histogram of the best-fit coefficient a for the relation defined by Eq. (1), for the sample of 145 GCs with sufficient-quality surface brightness profiles. The mean and median values of a for the sample are 3.5 and 3.2 respectively. A value of 3 would be expected for partially relaxed models produced by collisionless collapse (Bertin & Stiavelli (1993), see also Trenti & Bertin (2005)). Figure 10 shows a scatter plot of a versus the concentration parameter c; the values of c are taken from McLaughlin & van der Marel (2005) and obtained by fitting King models to the surface brightness profiles. No significant trend emerges from the sample of 121 GCs for which a and c are available.
![]() |
Figure 9: Histogram of best-fit power law coefficients a for the outer part of the GC surface brightness profiles. |
Open with DEXTER |
![]() |
Figure 10: Scatter plot of power law coefficients a as a function of cluster concentration. |
Open with DEXTER |
With the full sample of 145 GCs, we do not identify any trend in the slopes represented by a
with either the half-light relaxation time or the ratio of GC age to
relaxation time. This is unsurprising, since the surface brightness
profiles of most clusters in this sample are not sufficiently extended
in terms of the truncation radius (as obtained by fitting King (1966)
models to the profile). We then restrict our attention to a sample of
24 GCs with a measured half-light relaxation time and an extended
observed surface brightness profile (McLaughlin & van der Marel 2005).
Figure 11 shows a trend in power-law exponent a with log half-light relaxation time, which is quantitatively confirmed by a correlation coefficient r = 0.58 that is significant to
.
The trend is mild but points to the existence of a relation between
two-body relaxation phenomena and the shape of the outer envelope of
GCs.
![]() |
Figure 11: Correlation of best-fit power law coefficients a for the outer part of GC extended surface brightness profiles with half-light relaxation time by McLaughlin & van der Marel (2005). |
Open with DEXTER |
4 Discussion and conclusions
By considering a sample of 129 Galactic and extragalactic GCs, we have found a linear relation between
and
,
given by Eq. (4). The relevant coefficient
is compatible with 5, i.e., with cluster absolute magnitude not showing a systematic linear trend with
.
Indeed, when examined in the (
,
MV) plane, the cluster absolute magnitude
shows no trend with size (in contrast to the trend exhibited by dwarf
spheroidal galaxies; see van den Bergh 2008).
The typical scatter about the relation is 1 mag in
.
Young clusters, of age below 4 Gyr, exhibit a larger scatter of about
1.4 mag. GC age seems to be an important factor in driving this
scatter, because young clusters are found to display a clear trend of
residuals to the relation with age, with a correlation coefficient of r
= 0.79, while old GCs do not exhibit signs of such a correlation.
If we assume that all the massive young clusters included in our sample
are genuine GC progenitors, our finding suggests that the scaling law
being considered shows signs of evolution with age, i.e., that GCs of
different ages differ with respect to this scaling law. Moreover, the
larger scatter displayed by young clusters points to an evolutionary
origin of the relation between
and
,
as opposed to a primordial one.
This result is in contrast to the suggestion of Bellazzini (1998)
that ``at earlier times, globular clusters populated a line in the
three-dimensional S-space, i.e., their original dynamical structure was
fully determined by a single physical parameter''.
In principle, modeling the processes that generate the relation between
and
would
require taking into account passive stellar evolution, internal
dynamical phenomena (evaporation and core-collapse driven by two-body
relaxation), and dynamical interaction with the environment.
We find that the trend with age becomes stronger for young clusters if
age is measured in units of the half-light relaxation time of each GC,
i.e., if dynamical age
with respect to two-body relaxation is considered, the correlation
coefficient rises to 0.90. Given this result, we argue that two-body
relaxation is the key ingredient in shaping the evolution of the
-
scaling law, at least for young clusters. This may not be the case for
older clusters, which do not show such a trend. The evolution of these
clusters in the (
,
)
plane is likely to be influenced by their host environment, but the
available data is of limited use in resolving this issue. The distance
to the host galaxy is only a simple proxy for the degree of dynamical
disturbance that the GC suffers from it, while more detailed orbital
data is available only for a sample of 48 old, Galactic GCs (Allen et al. 2006). In any case, we find no trend between the residuals to the
relation and either distance from the host galaxy or pericenter
distance and orbital eccentricity, when these data are available. When
GC age is measured in units of the bulge-interaction and
disk-interaction destruction times based on the orbital data provided
by Allen et al. (2006), weak (
)
trends are found with
-
relation residuals. While this suggests that dynamical interaction with
the galactic environment may exert an influence on GCs withobservable
effects in the (
,
)
plane, to draw conclusive evidence, the correlation with age alone
should be removed from the trend and a larger sample of clusters with
accurately measured orbits is necessary.
In contrast to what we noted for fundamental plane residuals in
Paper I, we find here that central surface brightness profile slopes
measured by Noyola & Gebhardt (2006) and Noyola & Gebhardt (2007) do not correlate with residuals from the
relation. This result suggests that velocity dispersion information is
necessary to understand the mechanism producing cuspy GC surface
brightness profiles.
We wish to thank S. Degl'Innocenti, W. Harris, M. Lombardi, M. Trenti, E. Vesperini, and D. Kruijssen for their comments and helpful suggestions. This research has made use of the SIMBAD data-base, operated at CDS, Strasbourg, France. Part of this work was carried out at the Kavli Institute for Theoretical Physics, Santa Barbara (CA), while we participated in the Program Formation and Evolution of Globular Clusters.
References
- Allen, C., Moreno, E., & Pichardo, B. 2006, ApJ, 652, 1150 [NASA ADS] [CrossRef] [Google Scholar]
- Barmby, P., McLaughlin, D. E., Harris, W. E., Harris, G. L. H., & Forbes, D. A. 2007, AJ, 133, 2764 [Google Scholar]
- Bellazzini, M. 1998, New Astron., 3, 219 [NASA ADS] [CrossRef] [Google Scholar]
- Bertin, G., & Stiavelli, M. 1993, Rep. Progr. Phys., 56, 493 [Google Scholar]
- Bertin, G., & Varri, A. L. 2008, ApJ, 689, 1005 [NASA ADS] [CrossRef] [Google Scholar]
- Carretta, E., & Gratton, R. G. 1997, A&AS, 121, 95 [NASA ADS] [CrossRef] [EDP Sciences] [Google Scholar]
- De Angeli, F., Piotto, G., Cassisi, S., et al. 2005, AJ, 130, 116 [NASA ADS] [CrossRef] [Google Scholar]
- de Vaucouleurs, G. 1977, in Evolution of Galaxies and Stellar Populations, ed. B. M. Tinsley, & R. B. Larson, 43 [Google Scholar]
- Djorgovski, S. 1995, ApJ, 438, L29 [NASA ADS] [CrossRef] [Google Scholar]
- Djorgovski, S., & Meylan, G. 1994, AJ, 108, 1292 [NASA ADS] [CrossRef] [Google Scholar]
- Ferraro, F. R., Messineo, M., Fusi Pecci, F., et al. 1999, AJ, 118, 1738 [NASA ADS] [CrossRef] [Google Scholar]
- Fraser, C. W. 1972, The Observatory, 92, 51 [NASA ADS] [Google Scholar]
- Graham, A. W., Trujillo, I., & Caon, N. 2001, AJ, 122, 1707 [NASA ADS] [CrossRef] [Google Scholar]
- Harris, W. E. 1996, AJ, 112, 1487 [NASA ADS] [CrossRef] [Google Scholar]
- Heggie, D., & Hut, P. 2003, The Gravitational Million-Body Problem: A Multidisciplinary Approach to Star Cluster Dynamics, ed. P. Heggie, & D. Hut [Google Scholar]
- Holtzman, J. A., Burrows, C. J., Casertano, S., et al. 1995, PASP, 107, 1065 [NASA ADS] [CrossRef] [Google Scholar]
- King, I. 1962, AJ, 67, 471 [NASA ADS] [CrossRef] [Google Scholar]
- King, I. R. 1966, AJ, 71, 64 [Google Scholar]
- Kron, G. E., & Mayall, N. U. 1960, AJ, 65, 581 [NASA ADS] [CrossRef] [Google Scholar]
- Kruijssen, J. M. D., & Mieske, S. 2009, A&A, 500, 785 [NASA ADS] [CrossRef] [EDP Sciences] [Google Scholar]
- Larsen, S. S. 2004, A&A, 416, 537 [NASA ADS] [CrossRef] [EDP Sciences] [Google Scholar]
- Marín-Franch, A., Aparicio, A., Piotto, G., et al. 2009, ApJ, 694, 1498 [NASA ADS] [CrossRef] [Google Scholar]
- McLaughlin, D. E., & van der Marel, R. P. 2005, ApJS, 161, 304 [NASA ADS] [CrossRef] [Google Scholar]
- Mosteller, F., & Tukey, J. W. 1977, Data analysis and regression: a second course in statistics [Google Scholar]
- Noyola, E., & Gebhardt, K. 2006, AJ, 132, 447 [NASA ADS] [CrossRef] [Google Scholar]
- Noyola, E., & Gebhardt, K. 2007, AJ, 134, 912 [NASA ADS] [CrossRef] [Google Scholar]
- Pasquato, M., & Bertin, G. 2008, A&A, 489, 1079 [NASA ADS] [CrossRef] [EDP Sciences] [Google Scholar]
- Recio-Blanco, A., Piotto, G., de Angeli, F., et al. 2005, A&A, 432, 851 [NASA ADS] [CrossRef] [EDP Sciences] [Google Scholar]
- Schweizer, F. 2004, in The Formation and Evolution of Massive Young Star Clusters, ed. H. J. G. L. M. Lamers, L. J. Smith, & A. Nota, ASP Conf. Ser., 322, 111 [Google Scholar]
- Spitzer, L. 1987, Dynamical evolution of globular clusters, ed. L. Spitzer [Google Scholar]
- Trager, S. C., King, I. R., & Djorgovski, S. 1995, AJ, 109, 218 [NASA ADS] [CrossRef] [Google Scholar]
- Trenti, M., & Bertin, G. 2005, A&A, 429, 161 [NASA ADS] [CrossRef] [EDP Sciences] [Google Scholar]
- Trenti, M., Vesperini, E., & Pasquato, M. 2010, ApJ, 708, 1598 [NASA ADS] [CrossRef] [Google Scholar]
- van den Bergh, S. 2008, MNRAS, 390, L51 [NASA ADS] [Google Scholar]
- Wilson, C. P. 1975, AJ, 80, 175 [NASA ADS] [CrossRef] [Google Scholar]
Table 1: Adopted photometric quantities.
Table 2:
Half-light photometric quantities (a and b), integrated absolute magnitudes (c) and residuals (d) to the
-
relation.
Table 3: Catalogue of projected fraction-of-light radii (in arcsec) obtained by using the model-independent method presented in Paper I.
Footnotes
- ... space
- The photometric quantities considered by Bellazzini (1998) are
core/central quantities (i.e., core radius
and central surface brightness
), as opposed to the half-light ones adopted in Paper I and in this paper (i.e., half-light radius
and average surface brightness within it
).
- ... disk-shocking
- The Allen et al. (2006) destruction rates differ significantly from other literature values (e.g., see Kruijssen & Mieske 2009). This should be kept in mind when considering our results in Sect. 3.6.
- ...
- This is the choice that we adopt in the present paper, but in principle fractions other than 1/3 could be chosen, leading to slightly different definitions of TGC.
- ... residuals
- both computed for an axisymmetric Galactic potential model
All Tables
Table 1: Adopted photometric quantities.
Table 2:
Half-light photometric quantities (a and b), integrated absolute magnitudes (c) and residuals (d) to the
-
relation.
Table 3: Catalogue of projected fraction-of-light radii (in arcsec) obtained by using the model-independent method presented in Paper I.
All Figures
![]() |
Figure 1: Comparison between the integrated apparent V-band magnitudes of GCs derived in the present paper with the values listed by Harris (1996). The superimposed line represents the identity. The magnitudes we derive are systematically fainter by approximately 0.12 mag in the median with respect to the Harris (1996) values. |
Open with DEXTER | |
In the text |
![]() |
Figure 2: Relation between the C31 and the TGC non-parametric concentration indices for the adopted sample of 145 GCs with quality surface brightness profiles. |
Open with DEXTER | |
In the text |
![]() |
Figure 3:
Relation between V-band
|
Open with DEXTER | |
In the text |
![]() |
Figure 4:
Absolute integrated V-band magnitude MV as a function of
|
Open with DEXTER | |
In the text |
![]() |
Figure 5:
Trend of residuals to the
|
Open with DEXTER | |
In the text |
![]() |
Figure 6:
Relation between V-band
|
Open with DEXTER | |
In the text |
![]() |
Figure 7:
Trend of residuals to the
|
Open with DEXTER | |
In the text |
![]() |
Figure 8:
Scatter plot of the residuals to the
|
Open with DEXTER | |
In the text |
![]() |
Figure 9: Histogram of best-fit power law coefficients a for the outer part of the GC surface brightness profiles. |
Open with DEXTER | |
In the text |
![]() |
Figure 10: Scatter plot of power law coefficients a as a function of cluster concentration. |
Open with DEXTER | |
In the text |
![]() |
Figure 11: Correlation of best-fit power law coefficients a for the outer part of GC extended surface brightness profiles with half-light relaxation time by McLaughlin & van der Marel (2005). |
Open with DEXTER | |
In the text |
Copyright ESO 2010
Current usage metrics show cumulative count of Article Views (full-text article views including HTML views, PDF and ePub downloads, according to the available data) and Abstracts Views on Vision4Press platform.
Data correspond to usage on the plateform after 2015. The current usage metrics is available 48-96 hours after online publication and is updated daily on week days.
Initial download of the metrics may take a while.