Issue |
A&A
Volume 512, March-April 2010
|
|
---|---|---|
Article Number | A38 | |
Number of page(s) | 15 | |
Section | Planets and planetary systems | |
DOI | https://doi.org/10.1051/0004-6361/200913071 | |
Published online | 25 March 2010 |
Using the Sun to estimate Earth-like planets detection capabilities
I. Impact of cold spots
A.-M. Lagrange - M. Desort - N. Meunier
Laboratoire d'Astrophysique de l'Observatoire de Grenoble, Université Joseph Fourier, BP 53, 38041 Grenoble, France
Received 5 August 2009 / Accepted 28 October 2009
Abstract
Aims. It is known that stellar spots may in some
cases produce radial velocity (RV) signatures similar to those of
exoplanets. To date, the most extensive set of data on spots, active
regions, and activity in general for any star is that obtained for the
Sun. To investigate the impact of these spots, we aim to study the
detectability of Earth-mass planets in the habitable zone (HZ) of
solar-type stars, if covered by spots similar to sunspots.
Methods. We used the sunspot properties recorded
over one solar cycle between 1993 and 2003 to infer the
RV curve that a solar-type star seen edge-on would exhibit, if
covered by these spots. We also derive interesting parameters such as
bisector velocity span (BVS) and photometric curves, commonly used in
the analysis of RV data. We compare the obtained data with
archival solar data available for the same epoch (e.g., irradiance,
Ca index). We also simulate the RV of such a spotted
star surrounded by an Earth-mass planet located in the HZ.
Results. The RV of the spotted star appears
to be very variable, in a complex way, depending on the activity level,
with amplitudes from a few tens cm/s up to 5 m/s
(assuming =
K).
A correlation between the BVS and the RV data is observed even
when several spots are present with a slope so small that only data of
very high precision (better than 5 cm/s) can enable its
detection. Photometric variations of up to 0.5
are predicted, depending on the level of activity, in agreement with
measured solar photometric variations. Based on present assumptions,
the detection of a 1
planet located between 0.8 and 1.2 AU requires intensive
monitoring (weekly or more frequent), over several years. The temporal
sampling is more crucial than the data precision (assuming precisions
in the range [1-10] cm/s). Cooler spots may become a problem
for these detections. We also anticipate that plages, not considered in
this paper, could further complicate or even compromise such
detections.
Key words: planetary systems - Sun: activity - sunspots - techniques: radial velocities
1 Introduction
Most exoplanets have been detected so far around main sequence stars![[*]](/icons/foot_motif.png)


However, it has been suspected for a long time that stellar activity and pulsations could also produce RV variations that could in some cases, mimic those of RV planets. This might lead to misinterpretations of RV variations, especially when these variations have periods less or equal to the star rotational period. This actually happened in the case of TW Hydrae (Huelamo et al. 2008) or LkCa19 (Huerta et al. 2008). To investigate the impact of stellar spots, Saar & Donnahue (1997) made first estimations of the impact of a stellar spot and convective inhomogeneities on the RV curve of FeI lines. In the case of an equatorial spot of a star seen edge-on, they showed that RV amplitudes of up to 50 m/s could be produced by spots or convective inhomogeneities, depending on the spot size, the projected rotational velocity of the star and star age. The impact of spots was also investigated by Hatzes (2002) using the CaI 643.9 nm line, which lead to the conclusions that RV variations in the range of a few m/s could be observed because of spots. We note that Saar & Donnahue (1997) also pointed out that convective inhomogeneities can lead to even larger RV variations, especially for G2V type stars.
We investigated in detail the impact of stellar spots on the
RV and photometric curves, and on other diagnostics commonly
used to differentiate between the effescts of stellar activity and
planets on RV surveys (Desort et al. 2007). We
simulated the optical spectra of stars with various spectral types from
F to K type, projected rotational velocities, and orientations, covered
with spots of different size and latitude. From the obtained, simulated
spectra, we derived the RV, photometric, and astrometric variations
using the same tools as those used in the exoplanet searches, and
assuming that the spectrograph used was HARPS (Mayor et al. 2003). We showed
that the impact on RV studies is indeed far from being
negligible and that for stars of low ,
RV curve, bisector/span variations, and photometric variations
may not be enough to clearly exclude spots as explanations of the
observed variations. More quantitatively, spots with typical sizes of
1% can mimic both the radial velocity curves and bisector behaviour of
short-period giant planets around G-K stars of
lower than the spectrograph resolution. For stars with intermediate
, smaller
spots may produce similar features. These spots may therefore
complicate the search for low-mass planets on orbits with periods of
the order of the star rotational period. Additional observables (e.g.,
photometry, spectroscopic diagnostics) are in these cases mandatory for
confirming the presence of short period planets, but unfortunately,
photometric variations may in some cases be too small to clearly
exclude spots as explanations of the observed variations. This is
particularly important when searching for super-Earth planets.
Another criterion often used to distinguish spots or stellar
activity in general from planets is the so-called Ca activity
indicator, either expressed in terms of S index or in terms of R'HK.
Stars with
smaller than about -5.0, which corresponds to the value
measured for the Sun at its minimum of activity (see below), are
usually considered to be inactive on levels of RV variations
of 2-10 m/s. Many detections of very light planets are based
on this assumption.
Desort et al. (2007) study, and other studies quoted above assumed one spot at the surface of the star. The example of our Sun shows that the spot pattern is far more complex, with, often, several spots, of different size and lifetime present at a given time on the visible hemisphere. The number of spots and their size (which determine the filling factor) also strongly vary during the solar cycle. It would be interesting to know the so-called integrated Sun RV variations, analyzed in the same way as in RV searches for exoplanets. However, RVs of the integrated solar disc are intrinsically very difficult to obtain, and to our knowledge, the rare measurements available were performed using individual lines rather than using a large number of lines (which averages out individual line contributions) and the resulting RV curves differ from one author to another, with in particular amplitudes ranging from smaller than 4 m/s (McMillan et al. 1993) to 16 m/s (Jimenez et al. 1986) or greater than 25 m/s (Deming et al. 1994). Hence, quantitatively precise results about the integrated Sun RV variations are still lacking, in contrast to the precise and well documented integrated Sun brightness variations recorded over several cycles (see e.g., Fröhlich & Lean 1998; Lockwood et al. 2007; and Livingston et al. 2007).
To test the impact of spots on stellar RV variations
in a more realistic way, we decided to use original sunspot data to
compute the observables that would be derived when observing a
solar-type star covered with spots identical to those observed on the
Sun. To do so, we have used the reported sunspot patterns observed
during a full solar cycle to synthetise the spectra of this
``integrated'' Sun and measure a number of observables (e.g., RV, BVS,
and their assoicated periodograms), and estimate the associated
photometric variations. Our approach is described in Sect. 2.
The results are provided in Sect. 3 and compared to available
data on the solar variability in Sect. 4. We then simulate the
RV
curve of a similarly spotted star surrounded by a 1
planet located in the habitable zone (Sect. 5), and derive
some conclusions about the detectability of these planets based on the
present assumptions and in the framework of forthcoming
RV instruments (Sect. 6).
2 Description of the simulations
2.1 Input solar data
To construct our spot patterns, we use the Debrecen heliographic data
(Györi et al. 2003),
a catalogue of positions and areas of sunspots extracted from
white-light full-disk images of several observatories,
including the Debrecen observatory. For this work, we used data
covering more than a complete solar cycle, between
Jan., 1st, 1993 and Dec., 31, 2003,
representing 3700 days of observations. The temporal sampling
is about 1 day. All spots with area larger than 10-6
of the solar hemisphere (1 micro hemisphere) were taken into account.
Figure 1
shows an example of an observed map and the simulated spotted surface
for JD 2 451 686. Over the whole period,
more than 160 000 spots were then considered. Their position
(latitude, longitude) as well as their surface assumed to be circular,
were recorded and used as inputs to our simulation tool. The projected
filling factor
(i.e., the projection of the spot surface over the Sun hemisphere) over
the whole period is indicated in Fig. 2.
![]() |
Figure 1: Left: Sun surface observed with the Paris Observatory Spectroheliograph on JD 2451686. Right: simulated surface with spots derived from Debrecen Heliographic Data on the same day (see text). |
Open with DEXTER |
![]() |
Figure 2: Temporal variations of the projected filling factor over the whole period (see text). |
Open with DEXTER |
2.2 Simulated spectra
For the 1993-2003 period, we used all spots larger than one micro
hemisphere and produced 3700 integrated spectra, as described in Desort
et al. (2007).
We assume that the star is seen edge-on (indeed, it is not possible to
add an inclination because we wish to rely only on observed spots). The
visible, spotted, 3D hemisphere is divided into cells of size adapted
to both the spectral resolution of an HARPS-like spectrograph and the
minimum size of the spots considered. We then compute the resulting
spectrum, assuming that each unspotted cell emits a solar-like spectrum
and that each spotted cell emits like a black body of a temperature .
The spots are then assumed to have a uniform temperature. Most of the
time, we assume that
K.
This temperature is compatible with the bolometric spot contrast of
0.32 usually used in irradiance reconstructions (see Chapman
et al. (1994),
who observed contrasts ranging from 0.21 to 0.38), which corresponds to
a
of about 500 K. Krivova et al. (2003) used a
of 1070 K for spot umbra and 370 K
for the penumbra, which is also compatible with our value assuming a
realistic umbra to penumbra ratio. The ratio of the total area of the
sunspots to the umbral area varies in the literature but is typically
between 4 and 6 (Solanki 2003).
Assuming a typical temperature contrast of 1500 K for the
umbra (a range of 1000-1900 K is given by Solanki 2003) and
of 300 K for the penumbra (a range of
250-400 K is given by Solanki 2003), we infer
an average temperature contrast of between 600 K and
504 K, respectively, so our adopted value is consistent with
these results. However, we point out that 1) the precise
temperature contrast reproducing the correct photometric contribution
of the spots to the total solar irradiance depends on the actual spot
data set used; and 2) the spot temperature may differ from one
spot to the other (see e.g., Chapman et al. 1994). We also
consider different spot temperatures, that are representative of
stellar spot temperatures (Berdyugina 2005).
Summing up the contribution of all cells provides the spectrum of an
integrated ``spotted Sun'' (we refer in the following to a spotted Sun
to indicate that we took into account only the spots at the Sun's
surface).
Our first purpose is to identify the specific noise (jitter) induced by the spots; we therefore do not add any instrumental or photon noise to the simulated data in the first step (Sects. 3 and 4). Noise will be considered when simulating a planet signal around the spotted star (Sect. 5).
2.3 Computation of the various observables
We then used the SAFIR software (see Galland et al. 2005) to compute the RV, the CCF, and the corresponding bisector span and bisector curvature (see again Galland et al. 2005). We therefore use the same procedure as the one we use to search for exoplanets around stars with RV techniques. We also compute the associated photometric variations at 550 nm.
Since the whole process is quite time-consuming and we deal
with an large number of spectra (10 to 100 times larger than
the number usually used to establish exoplanet detections), we used
only one order per spectrum (order 31) instead of the entire spectrum.
It is acceptable to do so since considering either one order or the
whole spectrum provides similar velocities (within 10;
Desort et al. 2007).
2.4 Simulation of a spotted star with planets
Finally, we compute the RV curve obtained from a star covered by these spots and surrounded by a planet in the HZ (see Sect. 5). To do so, we simply add the spot and the planet contributions. To study the planet detectability, we have to take into account a noise contribution; we therefore add random noise to the radial velocities of levels corresponding to the precisions expected for forthcoming instruments.
3 Results: spotted Sun variability over the period 1993-2003
We now first provide the results of the simulations in terms of RV, BVS, and photometric variations, assuming that the spot temperature is 550 K lower than the solar effective temperature. We then briefly study the impact of the spot temperature on these results.
To compare our results with published data on solar variability, we chose one period of reference for low activity, from 1996 July 1 (JD 2 450 266) to 1997 April 1 (JD 2 450 540), and one period of reference for high activity, from 2000 February 1 (JD 2 451 576) to 2000 November 1 (JD 2 451 850). The low and high activity periods have then durations of approximately 10 solar rotational periods. They correspond to average values of R'HK of approximately -4.85 and -5.0 respectively. By assuming an average S index of 0.170, an amplitude of variations of 0.017 for the S index, as derived from Lockwood et al. (2007), a B-V of 0.66, and by using the empirical relation of Noyes et al. (1984), we indeed infer R'HK of between -4.88 and -4.97. These values should be regarded as indicative because the average S values depend on the dates of measurements, and to second order, on the adopted values of B-V, which is why the published values generally vary from one author to another.
3.1 RV variations
The resulting RVs are clearly variable over the entire cycle, as can be seen in Fig. 3. The RV curve is also far more complex than predicted by simple modeling of one spot located on a star viewed edge-on (see e.g., Saar & Donnahue 1997 or Desort et al. 2007), in which case the spot signature is present over half the stellar rotation period (when the spot is on the visible hemisphere).
![]() |
Figure 3: Temporal variations of the RVs, and corresponding periodograms. Left) the whole period (JD 2 448 500 to JD 2 453 500) is considered; middle) the low activity period (JD 2 450 250 to JD 2 450 600) is considered and right) the high activity period selected (JD 2 451 550 to JD 2 451 900) is considered. |
Open with DEXTER |
The amplitude of the RV depends strongly on the filling factor of the spots, as can be seen in Fig. 4. During the low activity phase as defined above, apart from few (3) peaks at velocities larger than 40 cm/s (absolute value), the RV signal is quite ``flat''. The rms of the RV during this low activity period is about 16 cm/s, however it is dominated by the few peaks present during the period. During the defined high activity phase, the RV signal is far more variable and of much higher amplitude: the rms is more than 3 times higher (60 cm/s), and reaches absolute values as high as 2 m/s. We note however that the highest RV peak during the entire cycle is almost at 5 m/s. Table 1 provides the RV rms for the whole cycle and these reference periods.
Figure 3
also shows the Lomb-Scargle periodograms of the RV when
considering, respectively, the whole cycle, and both the low and high
activity periods. When considering the whole cycle, we observe a peak
at the Sun rotation period and one at half a rotation period with a FAP
1
.
The period at half a rotation period could be caused by ``active
longitudes'' (spots are not distributed randomly in longitude, but it
seems that two persistent ``active longitudes'' separated by 180
have been observed to persist over more than one century (Berdyugina
& Usoskin 2003).
It could also be due to the lifetimes of the large spots, which are
often less than 2 solar periods (lifetimes of about
1.5 rotation period, for instance, could produce an additional
peak at half a period). Those peaks are not detected in the yet noisier
periodograms of the low and high activity periods. We note that the
highest peak detected in the periodogram of the high activity period
occurs at 20.8 days, which differs considerably from
the solar rotation period. This shows that even when considering
10 solar rotation periods, the periodogram does not reveal the
solar rotation period. We verified that considering a longer period
(2000 days) enables the recovery of the two peaks seen in the
periodogram of the whole cycle (see also Sect. 5).
![]() |
Figure 4:
RV and projected filling factor ( |
Open with DEXTER |
3.2 Bisector variations
Spots induce variations in the line-shapes. One way of quantifying these line-shape variations is to measure in each spectrum, the bisector velocity span (hereafter BVS) of either a line, a set of lines or the CCF. Although individual lines are often considered in solar or stellar studies, exoplanet searches generally consider the bisector of the CCF obtained using the entire spectrum, to achieve the highest precision in determining its shape. In these studies, a correlation between RV and BVS variations is a good indicator that the RV variations are caused by spots rather than planets. However the absence of a correlation (or a flat bisector) does not necessarily mean that the RV variations are not caused by spots, as shown in Desort et al. (2007): the level of correlation depends on both the star projected rotational velocity and the spectrograph resolution.
In Fig. 5,
we plot the BVS variations of our simulated spectra over the whole
period. As expected, the BVSs vary with time, over the whole period.
The RV and BVS variations appear moreover well correlated (see
Fig. 6),
as in the case of a single spot. This is true for low as well as high
activity periods. The BVS/RV slope is found to
be -0.037, irrespective of the activity level. The amplitude
of the BVS variations is much smaller (25 times, at the level of a
few cm/s) than the amplitude of the RV variations.
The BVS variations will then be far more difficult to detect than the
RV variations. Of course, it will be even more difficult to
detect these BVS variations in noisy data; we will show below that a
precision of 1 or 5 cm/s may permit the detection of the
RV-BVS correlation, but a precision of 10 cm/s will not. When
considering the whole cycle, the periodogram of the BVSs shows peaks at
14 days
and at
7 days,
i.e., at periods half of those found when considering the
RV variations. A peak in the BVS periodogram at half the peak
period observed in the RV periodogram can indeed be expected
in the case of equatorial spots on the surface of a star seen edge-on;
briefly, this is because during each quarter of a period, while the RVs
maintain the same sign, the BVS sign changes (see for instance
Fig. 4, bottom left in Desort et al. 2007); the
number of extrema in the BVS variation curve is then twice the number
of extrema in the RV variation curve. In the present case, the
spots are equatorial or close to equatorial, and the Sun is seen
edge-on, so the same reasonning applies.
Finally, the periodograms of the BVS variations obtained when
considering the low and high activity periods are, as in the case of
the RVs, very noisy.
Table 1: Summary of measured rms values when modeling all sunspots.
![]() |
Figure 5: Temporal variations of the BVS and corresponding periodograms, when considering the whole period ( left), the low activity period selected ( middle) and the high activity period selected ( right). |
Open with DEXTER |
![]() |
Figure 6: Correlation between the RV and the BVS over the whole period (see text). The values corresponding to the high and low activity periods selected for reference (see text) are indicated resp. by triangles and squares. |
Open with DEXTER |
3.3 Photometric variations
The computed photometry of our spotted Sun also shows temporal
variations (see Fig. 7),
of amplitude as high as 0.5
in one extreme case, but generally in the range 0-0.1
.
The amplitudes of the variations strongly vary according to the cycle
phase (see Table 1).
Photometric variations at the 10-3 level, such
as those predicted during the high activity period, are detectable from
the ground, and actually detected when searching for transits of short
period planets. They are easily detectable with spaceborne telescopes
(see e.g., Mosser et al. 2009, in the
case of Corot detection of spots around a F8 type star, associated to
photometric variations of about 0.2
). The photometric variations observed during the
low activity period are in contrast not detectable from the ground: the
strongest peak, responsible for a RV peak at 90 cm/s
on JD 2450416 produces a photometric minimum of 0.1
(on JD 2450413), and the rms of the photometric variations
during the low activity period is 0.02
.
![]() |
Figure 7: Temporal variations of the spotted Sun relative photometry (ie compared to a Sun without any spot) and corresponding periodograms, when considering the whole period ( left), the low activity period selected ( middle) and the high activity period selected ( right). |
Open with DEXTER |
Figure 7 shows the periodograms of the photometry of our spotted Sun when considering, respectively, the whole period, and the low and high activity periods. The periodogram corresponding to the whole cycle has a peak that corresponds to the Sun rotation period, but a peak also at about 110 days. This peak is not seen in the periodogram corresponding to the low and high activity periods. We note a peak at about twice the rotation period in the case of the high activity period.
3.4 Impact of the spot temperature
In the case of a single spot, Desort et al. (2007) showed that the spot temperature has an impact on the resulting RV curve, and on both the BVS and photometric curves. We aim to briefly investigate the impact of different temperatures on the observables when considering all sunspots. This is motivated by the fact that in the case of the Sun, the temperature varies from one spot to another (e.g., Chapman et al. 1994), with a significant dependence on the spot size (e.g., Mathew et al. 2007; Wesolowski et al. 2008), and an associated dispersion of the order of a few hundreds of K. In the case of other stars, different spot temperatures are also inferred, with a possible trend between the spot temperature and the stellar effective temperature (see Berdyugina 2005 for a review).
3.4.1 Spot temperatures 1200 K lower than the Sun effective temperature
We then performed another complete simulation, as described in the
previous section, assuming that the spot temperature is 1200 K
(instead of 550 K) below that of the Sun. The
RV variations due to spots of temperature 1200 K
lower than the solar effective temperature are larger by a factor of
1.75 than those obtained assuming that =
550 K. They then induce a stellar jitter 1.75 times larger,
which is not negligible.
Based on the same assumption, we find a BVS/RV slope
of -0.037, similar to that found assuming =
550 K. We conclude that the BVS/RV
slope is insensitive to the temperature, within the considered
temperature range. The ratio BVS(1200)/BVS(550) is also found to
be 1.75, i.e., similar to that obtained for the RVs. Finally,
the amplitude of the photometric variations for the cooler spot is
found to be larger by a factor of 1.8 than that produced by the warmer
spot. We note that the amplitude of the photometric variations during
the low activity period is still below the precision achievable in
ground-based observations.
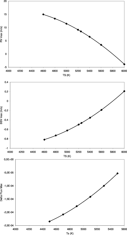
![]() |
Figure 8: Maximum RV ( top), BVS ( middle) and spot absorption ( bottom) assuming different spot temperatures. |
Open with DEXTER |
3.4.2 Various spot temperatures
To investigate other temperatures, we limited our simulations to the
case of a single spot with various temperatures 200, 400, 600, 1000
and 1200 K lower than the Sun effective temperature.
We first check that the ratio (1200)/
(550),
where
(550) (respectively
1200)
represents the maximum RV amplitude assuming
=
550 K (resp. 1200 K), is consistent with the ratio
obtained when considering the entire set of spots. The maximum
RV obtained in each case is plotted as a function of the spot
temperature in Fig. 8.
Figure 8
also gives the maximum BVS and the maximum flux absorption as a
function of the spot temperature. We see that the spot temperature has
a significant effect on these observables, with larger amplitude
signals in the case of cooler spots. These figures allow us to estimate
the RV, BVS, and photometric variations for any spot temperature.
4 Comparison with published data for the integrated Sun over the period 1993-2003
![]() |
Figure 9: TSI temporal variations, and corresponding periodograms when considering the whole period ( left), the low activity period selected( middle), and the high activity period selected ( right). |
Open with DEXTER |
4.1 Radial velocity data
The amplitude of our computed RV variations has an rms of 60 cm/s and may be as high as 5-6 m/s during the high activity period. As already mentioned a few peaks at 1 m/s may be found during low activity periods, but the rms of the variations is much smaller during the low activity period.Jimenez et al. (1986) published actual RV measurements for the integrated Sun between 1976 and 1985 (cycle 21), collected with a resonant scattering spectrometer. The strongest variations are obtained in 1982, which amplitudes are of about 16 m/s at maximum activity.
McMillan et al. (1993) published RV measurements obtained for the period 1987-1992, measured on spectra of the sunlit surface of the Moon, in the blue part of the spectrum, between 425 and 475 nm. They did not detect variations larger than 4 m/s over this 5 year period. However, they noted that the lines present in the considered spectral range could be less sensitive to activity than other lines, such as those considered by Jimenez et al. (1986). During the same period, between 1984 and 1992, Deming et al. (1994) also recorded RV variations of the integrated Sun, using the CO lines at 2.3 microns. Their measurements revealed variations with peak-to-peak values of about 25 m/s.
Our simulated RV amplitudes are smaller than those measured either by Jimenez et al. (1986) or Deming et al. (1994). This might be because the Sun was less active in cycle 23 than in previous cycles. It might also be because we take into account only spots and not plages and convection in the present simulations (but see below), or because our predicted RVs are ``measured'' on the CCF and not on single lines. However, the strong discrepancies between the published measurements prevent us from deriving firm conclusions, and from validating or not our simulations.
4.2 Photometric data
We compare our simulated photometric variations caused by spots with the measured photometric data such as the total solar irradiance (hereafter TSI), the measured spectral solar irradiance (hereafter SSI). We attempt to test our spot model, even though we do not expect this model to fully reproduce the Sun photometric variations because it is well known that plages strongly contribute to the Sun's brightness variations (see below).
4.2.1 Total solar irradiance (TSI)
We first compare our computed photometric variations caused by spots to
the observed total solar irradiance (TSI) variations during the period
1993-2003, compiled by Claus Fröhlich and Judith Lean. Figure 9 provides the
measurements recorded over the whole cycle, as well as zoomed
variations during our two reference activity periods. It also shows the
corresponding periodograms.
Over its cycle, the Sun's observed brightness (see e.g.,
Fröhlich & Lean 1998;
and Lanza et al. 2007a,b)
increases with the activity produced by the plages. In addition, sharp
brightness decreases are sometimes observed, due to spots. A relative
difference of about 1 W/m2 is observed
in the TSI between the solar minimum average and the maximum average.
From Fröhlich & Lean 1998
reconstruction of the plages and spots contributions, it seems that
plages dominate the long timescale variations, producing photometric
amplitudes of about 2 W/m2 during this
cycle and that the spots contribution to the long-term variations is
twice as small (relative intensity of about 0.9993). In
addition, the spot contribution to the short timescale variations may
be significant, the transient absorption peaking at up to
3-4 W/m2. These values for the peaks
due to spots are in excellent agreement with our simulated photometric
variations as can be seen when comparing Figs. 7 and 9, especially during
the low and high activity periods. For instance, the isolated simulated
narrow peak (during low activity), due to a spot, is observed
simultaneously in the TSI curve and the simulated intensity on
JD 2450413 with respective intensities of 0.07
and
0.11
.
The discrepancy between the simulated photometric variations (0.11%)
and the TSI curve variations (0.07%) is rather small, given that the
TSI variations are not caused entirely by spots, but also by plages. We
therefore do not try to attribute it to physical effects (such as a
lower spot temperature in our simulated spots). The temporal variations
of the TSI and simulated photometry are also remarkably similar during
the high activity period, even when several spots are present on the
visible hemisphere at a given time. We then conclude that the present
simulations of sunspots are accurate and that the assumption of a
single temperature for the sunspots is acceptable. Therefore, we can
apply the simulation results safely to solar-type stars for which the
activity is dominated by spots.
The comparison between simulated and observed data also confirms that the short timescale photometric variations of the Sun during high activity are quite sensitive to the spots, and that the variations in the Sun brightness during the low activity period are not dominated by the spots. Consequently, we can stipulate that, as far as the Sun is concerned, our simulations provide a good enough description of its RV variations during the high activity period but may not provide a good estimation of the Sun RV variations during the low activity period.
The good agreement between the TSI variations and the simulated photometric variations during the high activity period can also be seen in Fig. 10, where we have plotted the TSI and simulated spot flux absorptions when considering the days (3568 days over the cycle) for which we have both spot identifications (hence photometric data from our spot simulations) and actual TSI measurements. Although we do not see any overall correlation between both quantities if we consider the whole cycle (or the low activity period, except in the rare cases when spots are present), we see a rather good correlation when we focus on the high activity period.
![]() |
Figure 10: TSI and spotted Sun photometry over the whole period. The values corresponding to the high and low activity periods selected for reference (see text) are indicated resp. by triangles and squares. |
Open with DEXTER |
The periodogram of the TSI (Fig. 9) over the whole
cycle is quite noisy; it has one peak at the Sun rotation period, which
is also seen in the simulated data (Fig. 7), with an
associated false alarm probability lower than but close to 1.
It also contains other peaks, of however lower associated confidence
level, in particular at about 20 days; the discussion of these
peaks is beyond the scope of the present paper, and we refer to
Hempelmann et al. (2003)
for addtional discussion. The periodogram corresponding to the low
activity period appears to be quite different. In particular, the very
clear (with FAP much lower than 1
)
peak observed at 26 days in the TSI periodograms is not seen
in the periodogram of the corresponding simulated data, which is quite
coherent with what is directly seen in the photometric curves (strongly
modulated signal). In contrast, the periodogram corresponding to the
high activity period appears to be more similar to the simulated one;
in particular, they both have a peak at about twice the solar rotation
period. The similarity between both periodograms is again in agreement
with the short timescale variations being more sensitive to the spots
during the high activity period.
4.2.2 Spectral solar irradiance (SSI)
Similar conclusions are reached when we compare the simulated data (Fig. 7) with the SSI data at 402, 500, and 862 nm during the reference activity periods (Fig. 6 of Lanza et al. 2004; see also Fligge et al. 1998; Fligge et al. 2000). We also note that the simulated data are in closer agreement with the 402 nm SSI data than with the longer wavelength data. This shows that the short wavelengths may be more sensitive to the spots than the longer wavelengths. In the SSI data, the spot signal has a larger amplitude in the blue part of the spectrum than in the red. We note that this is also true for the plage signal, therefore it is clear that the data at shorter wavelengths are a better indicator of activity than those at longer wavelengths.
4.3 Ca index
While the TSI variations are caused by both plages and spots (although dominated by plages on long timescales), Ca variations are due to the chromospheric emission of plages. Lockwood et al. (2007) reported on the Ca variations (S index and Ca core emission) over 3 cycles, from 1975 to 2004. As expected, the Ca variations over the 3 cycles roughly follow the solar cycles, as seen by comparing the TSI temporal variations with the Ca temporal variations (see also Livingston et al. 2007). We note that the amplitudes of both the TSI and the Ca variations vary significantly depending on the cycles; in particular, the last one (cycle 23) corresponding to the data used in the present paper exhibit the smallest amplitude among the 3 cycles, indicative of an activity level lower than during previous cycles. Importantly in the present context, we note the presence of high frequency variations in the measured Ca indices throughout cycle 23 (see Fig. 11), at maximum activity (with peak-to-peak variations greater than 0.01), but also at minimum activity (peak-to-peak variations of 0.005).
![]() |
Figure 11: Temporal variations of the Ca index, and corresponding periodograms when considering the whole period ( left), the low activity period selected ( middle), and the high activity period selected ( right). |
Open with DEXTER |
The periodogram of the Ca index for the entire cycle does not
contain any significant peak apart from at 7 days
and 3.5 days, which we checked are also present in
the periodogram of the temporal sampling of the data. Some peaks may be
present at about 26 days, but the associated false alarm
probability is in the range 1-10.
The periodogram corresponding to the low activity period has a peak at
the Sun rotation period with, however, a 10
false alarm probability. Finally, the periodogram of the high activity
period does not provide valuable information. This shows that the
Ca index periodogram hardly provides any valuable quantitative
information about the periodicities involved, even though we study with
a relatively large amount of data.
Since the Ca index variations are mostly controlled
by the plages, we do not expect to find a clear correlation between the
Ca index and the presence of spots. This is confirmed in
Fig. 12,
where we show the (RV-Ca index) diagram corresponding to the
days (1134 in total) in period 1993-2003, for which the spot
simulations and the Sacramento Peak Solar Observatory Ca index
measurements from the database
are available at the same time. However, we see that the higher
RV amplitudes are found during periods of high
Ca indices. This is consistent with the largest spots being
present during high activity periods.
4.4 Notes on the plages
Plages are large structures slightly hotter than the Sun surface. The long timescale variations in the Sun photometry are dominated by plages, even though spots do have clear signatures in terms of short timescale variations.
Spots have been inferred since several decades on the surface
of stars, either dwarfs or young stars, thanks to rotation-modulated
flux decreases in the photometric curve. Doppler imaging has also
enabled maps of spots to be produced in the case of high projected
equatorial velocities stars (early-type stars or active stars; see
e.g., Donati & Collier-Cameron 1997; Skelly
et al. 2008). Plages have been recently inferred from
long-term (years or decades) photometric surveys (Lockwood
et al. 2007)
and from line profile studies of young spotted stars (Skelly
et al. 2008, 2009a,b).
According to Lockwood et al. (2007), the
long-term photometric variability of stars with ('HK)
lower than
-4.75,
is plage-dominated, with an increase in brightness at maxmimum
activity, as in the case of the Sun, whereas stars of
('HK
greater than
-4.75
are spot-dominated. We note however that 1) this limit value
of 'HK is approximate; and 2) Hall et al. (2009) have
questioned the correlation between activity and brightness in the case
of very low activity stars, as well as the pertinence of 'HK (or the S
index) for stars of low activity.
In any case, if present on the surface of stars in addition to spots, plages could a priori induce RV variations as spots do. Since our paper is devoted to the impact of spots on the RV variations, a detailed study including the plages is not presented here. However, it is interesting to roughly estimate their contribution.
To do so, we computed the contribution of a plage to the
RV variations. Following Lanza et al. (2007a,b), we
assumed that the temperature difference between the plage and the solar
surface varies as 1-,
where
)
and
is the angle between the normal to the surface and the line of sight;
using the plage contrasts observed by Ermolli et al. (2007), the
plage temperature is then
(1-
) K.
We furthermore assumed a filling factor
for the plage, and
for the spot. Figure 13
illustrates the RV variations induced by this plage located at
the equator, as well as those produced by a spot 550 K cooler
than the Sun. The total RV variations, produced by both the
spot and the plage are also provided.
![]() |
Figure 12: Simulated RV and measured Ca index over the whole period. The values corresponding to the high and low activity periods selected for reference (see text) are indicated resp. by triangles and squares. |
Open with DEXTER |
![]() |
Figure 13:
Contributions to the RV variations of a spot (squares) and a plage
(diamonds) with respective |
Open with DEXTER |
In this simple example, the RV signal due to the plage appears to be slightly lower in amplitude and of opposite sign to the RV signal produced by spots. When adding both signals, assuming implicitely that the spot and plage are seen at the same time and are centered on the same place, the effect of the plages is therefore to slightly reduce the amplitude of the RV variations due to spots alone and slightly modify the position of the RV extrema.
Of course, this is a very simplified case and the true situation is more complex, since the ratio of the plage filling factor and the spot filling factor exhibits in practice a large dispersion (Chapman et al. 2001) and many plages are seen that are not associated with spots (this is clearly seen for instance in Fig. 9 during the low activity period). The true total RV variations when considering spots and plages will therefore be more complex. We can anticipate that the low activity period will be particularly affected. If we assume that the relative impact of the spots compared to plages on the RV will be comparable to that observed on the TSI curve during the low activity period, then the plages would induce a pattern of variations with amplitudes of about 20 cm/s, strongly modulated by the Sun rotation period. As already mentioned, we expect the high activity period to be comparatively less affected by the plages, even if they are of course present.
We will develop a complete and consistent set of simulations taking into account the plages in a subsequent paper (Meunier et al. 2010). The possible impact of convective downflows, not considered here within the plages will also be investigated in this paper.
5 Earth-mass planets in the HZ of a spotted solar-type star
![]() |
Figure 14:
Top: RV of a spotted solar-type star
surrounded by a 1
|
Open with DEXTER |




![]() |
Figure 15:
Impact of the data sampling: Top: RV of a spotted
solar-type star surrounded by a 1
|
Open with DEXTER |
5.1 Case a = 1.2 AU
Figure 14 provides the resulting RVs for a one-day interval of observation, as described above, and for precisions of 10 cm/s, 5 cm/s, and 1 cm/s. The associated periodograms are also provided. These results are given for the whole cycle, as well as for low and high activity periods. We note that in this section, we extend the duration of the low and long activity periods as much as possible so as to cover several planet orbital periods: the low activity period now extends from JD 2 449 500 to JD 2 450 900 and the high activity period from JD 2 451 000 and JD 2 453 000. These periods have then durations of 1400, and 2000 days, respectively.
![]() |
Figure 16:
Left: (RV; BVS) diagrams for a spotted
solar-type star surrounded by a 1
|
Open with DEXTER |



In the case where the star is observed every 4 days (see for
instance Fig. 15
for a 5 cm/s temporal sampling), the conclusions remain
qualitatively similar; however, the planet peak in the periodogram is
lower than in the previous case (daily observations), and only in the
case of the low activity period is its FAP smaller than 1.
We note that we detect several additional peaks that are also present
in the periodograms of the observing dates, and are signatures of the
true data sampling. Again, the precision does not have a significant
impact on our results.
When the temporal sampling is poorer (Fig. 15), the
peak corresponding to the planet period becomes much less clear in the
case of a temporal sampling of 8 days, with a FAP
larger than 10,
and is no longer detectable in the case of a temporal sampling
of 20 days during the low activity period. During the
high activity period, it cannot be identified already for an 8-day
sampling. Again, the precision of the data does not significantly
impact our conclusions.
The precision has nevertheless a major impact on the capability of detecting the signature of the spots, as seen in Fig. 16 where we plot the (RV; BVS) diagrams assuming precisions of 1 cm/s, 5 cm/s, and 10 cm/s, as well as an infinite precision in the planet+spots case and in the spots-only case for comparison. When considering the planet+spots case, the RV-BVS correlation is quite clear when assuming no noise, or even a 1 cm/s noise. The correlation is not so clear when assuming a 5 cm/s noise and is not clear at all with a 10 cm/s noise. In the spots-only case, the conclusions are similar, as the (RV; BSV) curves are quite similar. This is because the planet induces variations with RV amplitudes smaller than 8.1 cm/s, which vary with a significantly larger amplitude due to the spots (see Sect. 3), and of course, the planet does not induce BVS variations. The impact of the planet is therefore quite negligible. For a much closer or more massive planet, the conclusions would naturally be quite different.
We then tried to fit the RV curves to check whether
the planet parameters (e.g., orbital radius, mass) could be retrieved.
We first assumed that the star is observed with the best temporal
sampling. In this case, the fit of the RV data corresponding
to the whole cycle provides a minimum
corresponding to parameters close to the input values, within the
uncertainties. This means that the data would permit detection of the
planet and the derivation of its orbital parameters. This is also true
when considering the RV data corresponding to the low activity
period. During the high activity period however, the minimum
found corresponds
to small periods, typically in the range [0-30] days
(corresponding to the largest peaks in the periodograms). We can still
find a reasonably good fit to the RV curve providing that a
range of periods, including the planet period, roughly estimated from
the periodogram, is given. Similar conclusions are reached when
considering data obtained with a 4 or 8 day temporal sampling. We show
an example in Fig. 17 in
the case of a 4-day temporal sampling and a noise of 1 cm/s.
We performed 106 realizations of a planet
RV signal with 3 parameters: the period was taken randomly to
be between 0 and 1000 days, the phase between 0 and 2
,
and the amplitude between 0 and the maximum of the observed signal. For
each realization, the
was computed. The upper panels of the figure show the smallest values
of the
.
In this example, we obtain at a 1
level: a
= 1.175+0.022-0.020 AU
and M
= 1.21+0.16-0.15
,
and at a 2
level:
a
= 1.175+0.034-0.032 AU
and M
= 1.21+0.25-0.25
.
If the temporal sampling is worse (every 20 days), no good fit
of the RV curve can be obtained, even when considering the
entire cycle or only the low activity period.
We conclude that based on the simple assumption of a planet on
a circular orbit, the planet signal can be detected, provided that the
star is observed with a very good temporal sampling (superior to every
8 days), and at least over 4 periods, for the low activity period.
During the high activity period (log('HK
), only a very high temporal
sampling would permit the detection of the planet signal, but deriving
its orbital parameter becomes very difficult. The temporal sampling is
crucial to detect the planet signal, whereas the precision is not so
important. The interest in the RV precision remains in
identifying stellar activity.
![]() |
Figure 17:
Fit of the RV data and parameters found in the case of a
1
|
Open with DEXTER |
5.2 Impact of the orbital radius
Similar conclusions are reached when considering a planet orbiting at 1
or 0.8 AU. Of course, the smaller the orbital radius, the
larger the planet signal amplitude, and the easier it will be to detect
the planet, for a given temporal sampling. We nevertheless note that
the peak at the planet orbital period appears at a somewhat lower
intensity in the case of AU;
this is because the planet orbit cannot be completely sampled because
the planet period exactly matches the observability period of the star.
This is illustrated in Fig. 18, where we
show the periodograms obtained in the case of a temporal sampling
of 4 days and a precision
of 5 cm/s.
From the former two sections, we conclude that based on the
present assumptions (
= 550 K), a
1
planet on a circular orbit in the HZ can be detected provided that the
temporal sampling is good enough (more frequent than every 8 days), and
long enough (covering at least 4 periods). The temporal
sampling is therefore crucial to revealing the planet period and
allowing a proper fit. This is very demanding in terms of telescope
time but seems to be mandatory. In contrast, the precision (ranging
between 1 cm/s and 10 cm/s) does not significantly
impact the detectability of the planet.
![]() |
Figure 18:
Impact of the orbital radius. Periodograms corresponding to the
RV of a spotted solar type star surrounded by a 1
|
Open with DEXTER |
5.3 Impact of the spot temperature
We then consider a spot temperature that is 1200 K below the
Sun temperature, instead of 550 K. The cooler spots
induce a higher (by factor 1.75) RV amplitude than those
induced by the former spots. The effect is that for a given sampling,
the peak produced by the planet in the periodograms is lower than that
for =
550 K. Again the impact is stronger when considering the high
activity period than the low activity period and the precision does not
have a significant impact on the peak detectability. In Fig. 19, we
compare the results for both cases, assuming that the star is observed
every 4 days, and the precision is 5 cm/s.
The RV fitting now provides good results only when considering the low activity period and if the temporal sampling is the most frequent possible (every day over the observability period) or every 4 days.
![]() |
Figure 19:
Impact of the spots temperature. periodograms corresponding to the
RV of a spotted solar type star surrounded by a 1
|
Open with DEXTER |
6 Concluding remarks
We have computed the RV variations that would be caused by the set of spots observed on the Sun surface between 1993 and 2003. These variations are representative of the RV signatures that would be measured on a G2V star with a spot pattern and a rotation period identical to that of the Sun, seen edge-on. Our main results are the following:
- -
- because of the large number of spots, RV variations are always present, with amplitudes of up to a few m/s if we assume the the spots are about 550 K cooler than the Sun photosphere;
- -
- the RV amplitudes vary considerably,
between 0.2 and 5 m/s, depending on the
activity level. These amplitudes are larger those estimated for single
spots, and are much larger than the
9 cm/s RV that would be induced by an Earth-mass planet orbiting at 1 AU from the star. During the low activity period, the RV curve is significantly more quiet and of much smaller amplitudes than during the high activity period;
- -
- BVS variations do occur, but the amplitude of the (RV, BVS) slope is quite small, so that these variations would require data of very high precision (better than 5 cm/s) to be detectable during the low activity period;
- -
- RV and BVS periodograms require large amount of data to yield significant results. They contain peaks at periods sometimes very different from the solar rotation period. This should be taken into account before attributing peaks at periods different from the star rotation period to planets rather than to spots;
- -
- when assuming a spot that is cooler by 1200 K than the Sun, the amplitude of the RV or BVS curves increase by a factor 1.75;
- -
- the simulated photometric variations are in close agreement with the spot signatures effectively observed on the Sun during the same period. The amplitude of the variations is relatively low, and would not, in particular, be detectable from the ground during the low activity period. During the low activity period, the comparison with the observed TSI also shows that even though the highest variations are caused by spots, the plages produce, a modulation of the TSI on timescales of the Sun rotation velocity. These plages could also affect the RV. On the other hand, during the high activity period, the TSI variations seem to be quite well matched to the spot-induced variations.



The scenario developed in this paper is however very favorable, for several reasons:
-
- -
- The planet is alone and on a circular orbit.
- -
- The star is seen edge-on, hence the long-lived spots are hidden for half of the time. If the star is seen inclined, the spots may be observed all of the time and their signature, even though smaller in amplitude, is more comparable in shape to that also expected from planets (see Desort et al. 2007).
- -
- The level of solar activity was rather low during the cycle considered.
- -
- The spot temperature was assumed to be constant, only 550 K cooler than the Sun temperature, a value that happens to fit the Sun data quite well, but may be in the lowest range of possible values if we consider stars other than the Sun (Berdyugina 2005).
- -
- No plages or convective flows were considered, altough we have shown that the impact of the plages on the RV of the Sun is not negligible, expecially during the low activity period. Hence, if solar-type stars with similar activity are also covered by plages similar to those of the Sun in addition to spots, their RV jitter will be higher, at least during the low activity period, than in the case described in this paper, which would have a strong and negative impact on Earth-mass planet detectability.
We acknowledge support from the French CNRS. We are grateful to Programme National de Planétologie ( PNP, INSU), as well as to french Agence Nationale pour la Recherche, ANR. We thank Jérôme Bouvier for fruitful discussions, and Severine Pouchot for her participation. The spot data have been provided by the Debrecen Observatory. We acknowledge the Sacramento Peak Observatory of the U.S. Air Force Phillips Laboratory for providing the Ca index. The irradiance data set (version
25) have been provided by PMOD/WRC, Davos, Switzerland and we acknowledge unpublished data from the VIRGO experiment on the cooperative ESA/NASA mission SOHO. We also made use of the INSU/CNRS database BASS2000. Finally, we thank the referee for his/her comments.
References
- Albregtsen, F., Joras, P. B., & Maltby, P. 1984, Sol. Phys., 90, 17 [Google Scholar]
- Berdyugina, S. V. 2005, Living Rev. Sol. Phys., 2, 8 [NASA ADS] [CrossRef] [Google Scholar]
- Berdyugina, S. V., & Usoskin, I. G. 2003, AAP, 405, 1121 [Google Scholar]
- Chapman, G. A., Cookson, A. M., & Dobias, J. J. 1994, ApJ, 432, 403 [NASA ADS] [CrossRef] [Google Scholar]
- Chapman, G. A., Cookson, A. M., Dobias, J. J., & Walton, S. R. 2001, ApJ, 555, 462 [NASA ADS] [CrossRef] [Google Scholar]
- Deming, D., & Plymate, C. 1994, ApJ, 426, 382 [Google Scholar]
- Desort, M., Lagrange, A.-M., Galland, F., et al. 2007, A&A, 473, 983 [NASA ADS] [CrossRef] [EDP Sciences] [Google Scholar]
- D'Odorico, V., et al. 2007, Mem. Soc. Astron. Ital., 78, 712 [Google Scholar]
- Donati, J. F., & Collier-cameron, A. 1997, MNRAS, 291, 1 [NASA ADS] [CrossRef] [Google Scholar]
- Ermolli, I., Criscuoli, S., Centrone, M., Giorgi, F., & Penza, V. 2007, A&A, 465, 305 [NASA ADS] [CrossRef] [EDP Sciences] [Google Scholar]
- Fligge, M., Solanki, S. K., Unruh, Y. C., Fröhlich, C., & Wehrli, Ch. 1998, A&A, 335, 709 [NASA ADS] [Google Scholar]
- Fligge, M., Solanki, S. K., & Unruh, Y. C. 2000, A&A, 353, 380 [NASA ADS] [Google Scholar]
- Foehlich, C. 2003, Geophys. Monograph Ser., 111, Am. Geophys. Union, Chap. 1 [Google Scholar]
- Fröhlich, C., & Lean, J. 1998, Geophys. Res. Lett., 25, 4377 [NASA ADS] [CrossRef] [Google Scholar]
- Galland, F., Lagrange, A. M., Udry, S., et al. 2005a, A&A, 443, 337 [NASA ADS] [CrossRef] [EDP Sciences] [Google Scholar]
- Györi, L., Baranyi, T., Ludmany, A., & Mezo, G. 2003, Solar Variability as an Input to the Earth's Environement, Tatranská Lomnica, Slovakia, Proc. ISCS Symp., 707 [Google Scholar]
- Hall, J. C., Henry, G. W., Lockwood, G. W., et al. 2009, ApJ, 138, 312 [Google Scholar]
- Hatzes, A. P. 2002, Astron. Nachr., 323, 3/4, 392 [NASA ADS] [CrossRef] [Google Scholar]
- Hempelmann, A. 2003, A&A, 399, 717 [NASA ADS] [CrossRef] [EDP Sciences] [Google Scholar]
- Huelamo, N., Figueira, P., Bonfils, X., et al. 2008, A&A, 489, L9 [NASA ADS] [CrossRef] [EDP Sciences] [Google Scholar]
- Huerta, M., Johns-Krull, C. M., Prato, L., et al. 2008, ApJ, 678, 472 [NASA ADS] [CrossRef] [Google Scholar]
- Jimenez, A., Palle, P. L., Regulo, C., et al. 1986, AdSpR, 6, 89 [Google Scholar]
- Jones, B. W., Sleep, P. N., & Underwood, B. R. 2006, ApJ, 649, 1010 [NASA ADS] [CrossRef] [Google Scholar]
- Kasting, J. F., Whitmire, D. P., & Reynolds, R. T. 1993, Icarus, 101, 108 [NASA ADS] [CrossRef] [PubMed] [Google Scholar]
- Krivova, N. A., Solanki, S. K., Fligge, M., & Unruh, Y. C. 2003, A&A, 399, L1 [NASA ADS] [CrossRef] [EDP Sciences] [Google Scholar]
- Lanza, A. F., Rodon, M., & Pagano, I. 2007a, A&A, 425, 707 [Google Scholar]
- Lanza, A. F., Bonomo, A. S., & Rodon, M. 2007b, A&A, 464, 741 [NASA ADS] [CrossRef] [EDP Sciences] [Google Scholar]
- Livingston, W., Wallace, L., White, O. R., & Giampapa, M. S. 2007, ApJ, 657, 1137 [NASA ADS] [CrossRef] [Google Scholar]
- Lockwood, G. W., Skiff, B. A., Henry, G. W., et al. 2007, ApJS, 171, 260 [NASA ADS] [CrossRef] [Google Scholar]
- Mathew, S. K., Martinez Pillet, V., Solanki, S. K., & Krivova, N. A. 2007, A&A, 465, 291 [NASA ADS] [CrossRef] [EDP Sciences] [Google Scholar]
- McMillan, R. S., Moore, T. L., Perry, M. L., & Smith, P. H. 1993, ApJ, 403, 801 [NASA ADS] [CrossRef] [Google Scholar]
- Mayor, M., Pepe, F., Queloz, D., et al. 2003, Messenger, 114, 20 [Google Scholar]
- Mayor, M., Bonfils, X., Forveille, T., et al. 2009, A&A, 507, 487 [NASA ADS] [CrossRef] [EDP Sciences] [Google Scholar]
- Meunier, N, Desort, M., & Lagrange, A. M. 2010, A&A, 512, A39 [NASA ADS] [CrossRef] [EDP Sciences] [Google Scholar]
- Mosser, B., Baudin, F., Lanza, A. F., et al. 2009, A&A, 506, 245 [NASA ADS] [CrossRef] [EDP Sciences] [Google Scholar]
- Noyes, R. W., Weiss, N. O., & Vaughan, A. H. 1984, ApJ, 287, 769 [NASA ADS] [CrossRef] [Google Scholar]
- Saar, S. H., & Donnahue, R. A. 1997, ApJ, 485, 319 [NASA ADS] [CrossRef] [Google Scholar]
- Skelly, M. B., Unruh, Y. C., Collier-Cameron, A., et al. 2009a, MNRAS, 385, 708 [Google Scholar]
- Skelly, M. B., Unruh, Y. C., Barnes, J. R., et al. 2009b, MNRAS, 399, 1829 [NASA ADS] [CrossRef] [Google Scholar]
- Solanki, S. K. 2003, A&ARv, 11, 153 [Google Scholar]
- Solanki, S. K. 2007, ASPC, 368, 481 [NASA ADS] [Google Scholar]
- Wesolowski, M. J., Walton, S. R., & Chapman, G. A. 2008, Sol. Phys., 248, 141 [NASA ADS] [CrossRef] [Google Scholar]
Footnotes
- ... stars
- http://exoplanet.eu
- ... Lean
- http://www.ngdc.noaa.gov/stp/SOLAR/
- ... database
- http://www.ngdc.noaa.gov/stp/SOLAR/
All Tables
Table 1: Summary of measured rms values when modeling all sunspots.
All Figures
![]() |
Figure 1: Left: Sun surface observed with the Paris Observatory Spectroheliograph on JD 2451686. Right: simulated surface with spots derived from Debrecen Heliographic Data on the same day (see text). |
Open with DEXTER | |
In the text |
![]() |
Figure 2: Temporal variations of the projected filling factor over the whole period (see text). |
Open with DEXTER | |
In the text |
![]() |
Figure 3: Temporal variations of the RVs, and corresponding periodograms. Left) the whole period (JD 2 448 500 to JD 2 453 500) is considered; middle) the low activity period (JD 2 450 250 to JD 2 450 600) is considered and right) the high activity period selected (JD 2 451 550 to JD 2 451 900) is considered. |
Open with DEXTER | |
In the text |
![]() |
Figure 4:
RV and projected filling factor ( |
Open with DEXTER | |
In the text |
![]() |
Figure 5: Temporal variations of the BVS and corresponding periodograms, when considering the whole period ( left), the low activity period selected ( middle) and the high activity period selected ( right). |
Open with DEXTER | |
In the text |
![]() |
Figure 6: Correlation between the RV and the BVS over the whole period (see text). The values corresponding to the high and low activity periods selected for reference (see text) are indicated resp. by triangles and squares. |
Open with DEXTER | |
In the text |
![]() |
Figure 7: Temporal variations of the spotted Sun relative photometry (ie compared to a Sun without any spot) and corresponding periodograms, when considering the whole period ( left), the low activity period selected ( middle) and the high activity period selected ( right). |
Open with DEXTER | |
In the text |
![]() |
Figure 8: Maximum RV ( top), BVS ( middle) and spot absorption ( bottom) assuming different spot temperatures. |
Open with DEXTER | |
In the text |
![]() |
Figure 9: TSI temporal variations, and corresponding periodograms when considering the whole period ( left), the low activity period selected( middle), and the high activity period selected ( right). |
Open with DEXTER | |
In the text |
![]() |
Figure 10: TSI and spotted Sun photometry over the whole period. The values corresponding to the high and low activity periods selected for reference (see text) are indicated resp. by triangles and squares. |
Open with DEXTER | |
In the text |
![]() |
Figure 11: Temporal variations of the Ca index, and corresponding periodograms when considering the whole period ( left), the low activity period selected ( middle), and the high activity period selected ( right). |
Open with DEXTER | |
In the text |
![]() |
Figure 12: Simulated RV and measured Ca index over the whole period. The values corresponding to the high and low activity periods selected for reference (see text) are indicated resp. by triangles and squares. |
Open with DEXTER | |
In the text |
![]() |
Figure 13:
Contributions to the RV variations of a spot (squares) and a plage
(diamonds) with respective |
Open with DEXTER | |
In the text |
![]() |
Figure 14:
Top: RV of a spotted solar-type star
surrounded by a 1
|
Open with DEXTER | |
In the text |
![]() |
Figure 15:
Impact of the data sampling: Top: RV of a spotted
solar-type star surrounded by a 1
|
Open with DEXTER | |
In the text |
![]() |
Figure 16:
Left: (RV; BVS) diagrams for a spotted
solar-type star surrounded by a 1
|
Open with DEXTER | |
In the text |
![]() |
Figure 17:
Fit of the RV data and parameters found in the case of a
1
|
Open with DEXTER | |
In the text |
![]() |
Figure 18:
Impact of the orbital radius. Periodograms corresponding to the
RV of a spotted solar type star surrounded by a 1
|
Open with DEXTER | |
In the text |
![]() |
Figure 19:
Impact of the spots temperature. periodograms corresponding to the
RV of a spotted solar type star surrounded by a 1
|
Open with DEXTER | |
In the text |
Copyright ESO 2010
Current usage metrics show cumulative count of Article Views (full-text article views including HTML views, PDF and ePub downloads, according to the available data) and Abstracts Views on Vision4Press platform.
Data correspond to usage on the plateform after 2015. The current usage metrics is available 48-96 hours after online publication and is updated daily on week days.
Initial download of the metrics may take a while.