Issue |
A&A
Volume 512, March-April 2010
|
|
---|---|---|
Article Number | A5 | |
Number of page(s) | 9 | |
Section | Astrophysical processes | |
DOI | https://doi.org/10.1051/0004-6361/200913176 | |
Published online | 18 March 2010 |
Large jets from small-scale magnetic fields![[*]](/icons/foot_motif.png)
R. Moll
Max-Planck-Institut für Astrophysik, Karl-Schwarzschild-Str. 1, 85748 Garching, Germany
Received 25 August 2009 / Accepted 28 November 2009
Abstract
We consider the conditions under which a rotating magnetic object can
produce a magnetically powered outflow in an initially unmagnetized medium
stratified under gravity. 3D MHD simulations are presented in which the
footpoints of localized, arcade-shaped magnetic fields are placed in rotation.
We show how the effectiveness of producing a collimated magnetically powered
outflow depends on the rotation rate, and both the strength and the geometry of
the field. The flows produced by uniformly rotating, non-axisymmetric fields
are found to consist mainly of buoyant plumes heated by the dissipation of
rotational energy. Collimated magnetically powered flows are formed if the
field and the rotating surface are arranged such that a toroidal magnetic field
is produced. This requires that the arcades' footpoints are differentially
rotating. These jets are well-collimated and we follow their propagation
through the stratified atmosphere over a distance 100 times the source size.
The magnetic field is tightly wound and its propagation is dominated by the
development of non-axisymmetric instabilities. We observe a Poynting flux
conversion efficiency of over 75% in the longest simulations. Applications to
the collapsar model and protostellar jets are discussed.
Key words: magnetohydrodynamics (MHD) - ISM: jets and outflows - Herbig-Haro objects - galaxies: jets - gamma-ray burst: general
1 Introduction
Models and simulations of jets produced by rotating magnetic fields generally assume an ordered, axially symmetric large-scale field of uniform polarity anchored in the central engine, based on either the original models of jets from accretion disks by Bisnovatyi-Kogan & Ruzmaikin (1976) and Blandford (1976), or the magnetic supernova model of LeBlanc & Wilson (1970). While these ordered fields are the most effective ones for producing jets, the question of whether they actually exist in accretion disks or the core of a star remains open. The largest scale on which magnetorotational (MRI) turbulence in accretion disks shapes the magnetic field structure is determined by the disk thickness, which in turn is much smaller than jets. Collapsar cores are also small compared to the expected GRB jet, and it is not at all clear why the magnetic fields there should be ordered and axisymmetric. Large-scale fields are not easily trapped by an accretion disk (van Ballegooijen 1989). Without a large-scale field protruding from the disk, one may still hope to launch outflows by twisting fields inside the disk or by magnetic loops that extend into the disk corona as e.g. described by the models of Galeev et al. (1979), Tout & Pringle (1996) and Uzdensky & Goodman (2008).
The extensive range of length scales involved is a major problem for jet
modeling, as numerical simulations covering all scales remain infeasible.
Protostellar jets may be several parsecs long, launched by disks with sizes of
,
i.e., about a factor 104 smaller
(e.g., Shepherd et al. 2001). Assuming that the ``launching scale'' is much
smaller than the disk, perhaps on the order of
,
one
discovers an even greater contrast in length scales. Assuming that jets in AGN
are launched at a few Schwarzschild radii from the central black hole and
taking Cygnus A as an example, the ratio of the jet length to the size of the
engine is about 106 (Krichbaum et al. 1998; Tadhunter et al. 2003). The final jet
properties are determined before it becomes ballistic, probably on scales that
are somewhat smaller than that of the largest visible structures, but still
considerably larger than the central engine.
There is numerical evidence that small-scale fields can also be used to generate jets. Most of these simulations are promising in terms of outflow production but limited to the immediate surroundings of the outflow-forming disk. Axisymmetric simulations of outflows generated with small magnetic loops were performed by Romanova et al. (1998), Turner et al. (1999) and Kudoh et al. (2002). In their 3D simulations of accretion flows, Kato et al. (2004) demonstrated that an initially poloidal magnetic field confined within a rotating torus surrounding an accreting black hole can produce a transient outflow driven by accumulated toroidal fields in the form of a ``magnetic tower'' (Lynden-Bell 2003). De Villiers et al. (2005) showed in simulations that loops of poloidal field in an accreting torus can generate a large-scale poloidal field as the field lines are stretched out in an axial outflow. The inflation and disruption of a magnetic loop outside a disk, caused by the generation of a toroidal field through differential rotation, was observed by Fendt (2009) in simulations of outflows from star-disk magnetospheres. The generation of magnetic flows within unmagnetized surroundings has also been studied in laboratory experiments (Ciardi et al. 2009; Hsu & Bellan 2005); these jets are strongly affected by current-driven instabilities.
The aim of the calculations presented here is to determine whether small-scale fields in the form of loops anchored in a rotating disk can be used to produce jets of significant length (relative to the size of the source). In the cases studied, the flows propagate and are confined within an external unmagnetized atmosphere (as opposed to Moll et al. 2008 and Moll 2009, hereafter Papers I and II, where we studied jets embedded in a large-scale magnetically dominated environment). While still idealized conditions, they are appropriate for environments such as protostellar jets launched into a dense cloud or GRB jets launched by a collapsar core. We investigate here the circumstances in which jetlike flows are formed that penetrate the atmosphere instead of dissipating in it. As this is also a question of (non-axisymmetric) stability, three-dimensional simulations are necessary. One of the questions to be answered is whether models of jets from small-scale magnetic fields are a viable alternative to those based on the twisting of large-scale fields.
2 Models
![]() |
Figure 1: Considered magnetic field geometries. In case (a), the field lines are anchored at one end in a rigidly rotating disk. In case (b), the field lines' footpoints are either both anchored in the disk, or they are both anchored outside of it. In case (c), the field emerges from a limited area inside the disk, which is differentially rotating. |
Open with DEXTER |
The primary ingredients in all of our models are a rotating disk, implemented as a boundary condition, and magnetic field loops anchored in and sticking out of the disk. The magnetic field geometries considered are sketched in Fig. 1. In case (a), some of the loops have one footpoint inside the disk while the other is anchored outside. The resulting shear motion of the footpoints generates a toroidal magnetic field. In case (b), the loops are arranged so that they are not sheared. Here, a toroidal field can only be produced by the inertia of the material above the disk, as in conventional models of jets from large-scale magnetic fields. This case would represent a model for a (solidly) rotating stellar core inside a nonmagnetic envelope. Finally, we consider a case in which all loops are anchored in the disk and shear is created by differential rotation (case c). This case is more representative of small-scale fields generated in an accretion disk.
The magnetic field loops are established by either a suitable potential field, imposed as an initial condition (setup D), or continuous ``injection'' of the field from below the disk (setup E, see Fig. 3 and Sect. 3.1.2 for details). While the magnetic field geometry is similar in both cases, setup E (for ``emerging field'') represents an idealization of the field loops emerging from magnetic turbulence in an accretion disk.
The model chosen to be the initial condition of the atmosphere is a hydrostatic
equilibrium stratification in the gravitational potential of a point mass (the
origin). Temperature T and density vary with distance r from the
point mass as r-1 and r-3, respectively. The temperature is thus a
constant fraction of the virial temperature, as in advection-dominated
accretion flows. The density profile has the property that the amount of mass
in a cone centered on the origin is constant per decade in distance r. The
stratification is thus scale-free, and a prospective jet encounters the same
amount of atmosphere mass per decade traveled. For the equation of state used
in the calculations, i.e., of an ideal gas with ratio of specific heats
,
the stratification is convectively stable.
3 Methods
3.1 Numerical MHD solver, grid, and coordinates
![]() |
Figure 2:
Sketch of the coordinate system and the computational grid. The jets
propagate in the equatorial direction of the grid coordinates
|
Open with DEXTER |
![]() |
Figure 3:
Schematic of simulation setup E described in Sect. 3.1.2,
in the variant sketched in Fig. 1a. A vertical velocity
field (green arrows) pushes the magnetic field (blue lines) from the lower
boundary (
|
Open with DEXTER |






Since jet physics is more conveniently described in a coordinate system which
takes the jet's axis y as the polar axis, we introduce another spherical
coordinate system
for that purpose, see also
Fig. 2.
denotes the orthogonal
distance to that axis (cylindrical radius).
The simulations were performed with a newly developed Eulerian MHD code (Obergaulinger 2008). It is based on a flux-conservative finite-volume formulation of the MHD equations and the constraint transport scheme that maintains a divergence-free magnetic field (Evans & Hawley 1988). Using high-resolution shock capturing methods (e.g., LeVeque 1992), it allows a choice of various optional high-order reconstruction algorithms and approximate Riemann solvers based on the multi-stage method (Toro & Titarev 2006). The simulations presented here were performed using a fifth order monotonicity-preserving reconstruction scheme (Suresh & Huynh 1997), the HLL Riemann solver (Harten 1983), and third order Runge-Kutta time stepping.
As in other astrophysical MHD simulations, the implicit assumption was made that the magnetic reconnection in the settings studied is of the ``fast'' type, for which the reconnection implicit in the numerical diffusion of the code may be a fair representation of the subgrid dynamics.
3.1.1 Setup with an arcade-shaped, exponentially decreasing initial field (D)
The initial condition of the magnetic field in this case is represented by a
two-dimensional potential field that is independent of the x-coordinate (see
Figs. 2, 3 for the coordinate system) and
declines exponentially with height y. It is generated by the vector
potential
![]() |
(1) |
where








The magnetic field is embedded in a spherically stratified atmosphere with
and
,
held in hydrostatic equilibrium by
the static gravitational field
of a point mass at the
coordinate origin. Temperature and sound speed vary as
and
,
respectively. In the outer, unmagnetized region
(
), we compensated for the absence of magnetic
pressure by increasing the gas pressure. To maintain hydrostatic equilibrium,
the density was also increased correspondingly.
At the lower (
)
boundary, we maintain, by means of ``ghost cells''
outside the computational domain, an azimuthal velocity field
corresponding to rigid rotation:
for
and 0 elsewhere. All quantities except for
are fixed at their initial values in the ghost cells;
is
extrapolated from the interior of the domain. At the sides (
and
)
and top
(upper r) of the domain, we use open boundary conditions that
allow an almost force-free outflow of material and cause no evident artifacts
in the form of reflections.
We select
such that in the x=0 plane, By is positive for
and negative for
,
i.e., arcades that
begin at
from the
surface have their second footpoint
outside the rotating region. This is achieved by choosing the length scale of
the arcade to be
.
3.1.2 Setup with magnetic field arcades emerging from the bottom boundary (E)
In this case, the initial condition is again an equilibrium stratification with
,
,
and
.
However,
unlike in setup D, the atmosphere is completely unmagnetized.
The magnetic field enters the domain through the lower boundary
,
the
conditions of which are determined by ghost cells at
.
There, we impose
a transverse magnetic field
(
)
of constant amplitude
and a polarity that alternates with
in step sizes
of
,
which is the diameter of the rotating surface (described below).
Where the polarity of
changes, the solenoidality of the magnetic
field is maintained by an appropriate Br. The field lines thus have the
shape sketched in Fig. 3. An approximate equilibrium
is maintained by lowering the gas pressure by the value of the magnetic
pressure, as far as this is possible (p must not be negative). For this to
be achieved,
must be greater than
one, which limits the possible field strengths to
in our system of
units (described below).
To model the emergence of magnetic fields into the atmosphere, we impose the
radial velocity field
in the ghost cells of the lower boundary. The injection velocity is too small to form a jet by itself: the maximum amounts to




Two variations in the setup described above have also been studied,
corresponding to the cases (b) and (c) described in Sect. 2. In
the first, the positions where
changes its polarity, and with it the
radial velocity field that injects the magnetic field, are shifted by
in the -z direction. Thus, both footpoints of an individual field loop rotate
with the same angular velocity. In the second case (c), the magnetic field and
vertical velocity in the lower boundary are changed such that only a small,
confined arcade in
with a width of
emerges, and
the azimuthal velocity field has a Keplerian profile with
for
.
The inner edge (
)
of
the arcade rotates twice as rapidly as the outer edge (
), the
difference in rotation velocity being
.
3.2 Parameters and units
Table 1: Normalization units.
The models described above contain 6 parameters,
,
,
,
,
,
and
,
not all of which are independent. We
eliminate the dependences by using
,
and
as units of length, density and pressure, and
expressing all physical quantities in terms of these (see
Table 1). The remaining 3 parameters can then be expressed as
dimensionless numbers. The first of these is
,
which measures the
curvature of the rotating surface. In all simulations presented here, this
curvature is small and probably does not influence the results significantly.
The parameter has technical significance, however, because it also controls the
opening of the lateral boundaries. The remaining two numbers are chosen to be
,
which controls the strength of the
magnetic field, and the Mach number
,
which
determines the speed of rotation. Note that in the emerging field model (E),
is a measure of the field strength but not a local plasma-beta value,
since the pressure entering its definition is not measured at the same location
as the field strength. For the sake of clarity, we usually omit the units in
the presentation of the results. The quantity concerned is then measured in
terms of the associated normalization unit listed in Table 1.
4 Results
As explained in Sect. 2 above, the calculations were performed using different models of the rotating magnetic field configuration. We find that some of these cases produce long-lived jets, while others produce only transient flows or flows that dissipate in the atmosphere close to the source. The results presented in the following subsection were obtained with setup D (Sect. 3.1.1), and those in the subsequent subsections were obtained with setup E (Sect. 3.1.2).
4.1 Transient jets with arcade-shaped initial field
Simulation setup D with the field geometry in Fig. 1a was found to produce extended, collimated outflows. However, the magnetic field at the base of the jet decays in this case (hence the ``D'') and is not replenished, for which reason these jets are not permanent.
The forced rotation at the lower boundary stretches the magnetic field lines in
the azimuthal ()
direction around the axis of rotation (y). The gas
is accelerated upwards and the magnetic field assumes a tangled helical
structure. A good momentary acceleration was obtained with the parameters
.
The magnetic field in this case is depicted in
Fig. 4. The jet diameter is resolved with about 35 grid cells
in this simulation. The jet attains a height of about 30 times its initial
diameter, the factor of expansion being about 7. It reaches velocities that
are close to
and about a factor of 10 above the escape speed. The
field lines close at the lower boundary: inside the jet, the radial magnetic
field has the same polarity as on the disk, whereas the net radial magnetic
flux
,
integrated over the
surface, is virtually
zero at all times and all radii.
The ``absolute flux''
decreases linearly with time close
to the lower boundary. Higher temperatures close to the outside of the
rotating surface indicate that a substantial amount of the magnetic field is
being dissipated there (see Fig. 5). Because of the rotation, the
magnetic field assumes a vortex-like structure, at the border of which magnetic
field lines of opposite polarities become entangled. This leads to a
continuous decay of the magnetic field. This decay of the magnetic field by
the wrapping-up of field lines followed by their cancellation by diffusion is
called ``convective expulsion'' in overturning flows
(e.g., Parker 1963; Zel'dovich 1956). The magnetic field in the physical
source of a successful jet must evidently be of a different nature. This calls
for a modification of the boundary conditions at the base of our simulations.
These cases are discussed in the following sections.
4.2 Jets from emerging fields: parameter study
![]() |
Figure 4: Selected magnetic field lines in a simulation with an arcade-shaped initial field (setup D). The lines close at the lower boundary, ascending inside the jet and descending outside. |
Open with DEXTER |
![]() |
Figure 5: Left: magnetic field and temperature in a horizontal slice next to the bottom boundary in a simulation with an arcade-shaped initial field (setup D) with shear (Fig. 1a) after 1 ( bottom left panel) and 32 revolutions ( top left panel). The texture shows the geometry of the parallel field component and the green/yellow coloring indicates the magnitude of the normal component. Regions of higher temperature are tinted in red (lower temperatures are transparent). Right: evolution of the radial velocity in a meridional slice. The jet is eventually ``choked off'' at the bottom. |
Open with DEXTER |
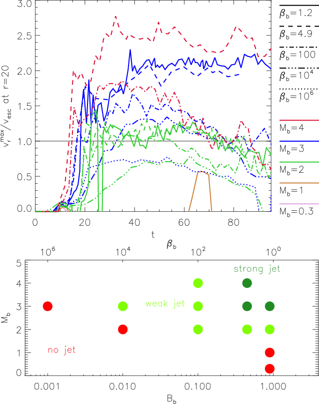
![]() |
Figure 6:
Top panel: maximum velocity over escape speed for different
parameters
|
Open with DEXTER |
![]() |
Figure 7: Parallel magnetic field (wedges) and temperature (color) in a meridional slice through the jet in a simulation with shear ( top panel) and in two simulations without shear ( middle/bottom panel). Collimated, magnetically driven jets form only in cases where a toroidal field develops through a shear of the magnetic field. |
Open with DEXTER |
Simulation setup E, in which the magnetic field loops above the rotating
surface are continuously replenished, produced long-lasting jets that propagate
to considerable distances. Before presenting intensive simulations of long
jets in the next two sections, we discuss the influence of the parameters
on the results by comparing a series of smaller, computationally
less intensive simulations in which these parameters are varied. Although the
proximity of the upper boundary possibly influences the results (see discussion
of instabilities below), the smaller simulations provide clear indications of
which parameters yield efficient jets.
The simulations cover the relatively short distance of 20 length units (40disk radii), with 10<r<30 and
,
the resolution
being
.
The atmospheric density differs by a factor of
27 between the lower and upper boundaries. The simulations continued until
.
When a jet was successfully launched, this corresponds to about
2-3 passages through the computational volume. The computational cost of these
simulations was 1-3 wallclock days on 36 processors with MPI parallelization.
To test the flow's ability to penetrate the atmosphere in the setup with shear,
Fig. 1a, we compare the jet velocities halfway through the
simulated distance with the escape velocity in
Fig. 6. The
jet velocity decreases with both decreasing rotation velocity
and
decreasing magnetic field strength
(or increasing
). It is,
however, far more sensitive to the former parameter:
must be changed
by orders of magnitude before having a significant impact on jet velocity
whereas with
,
a factor of order unity suffices. The bottom panel in
Fig. 6 indicates the flows that pass this test, those exceeding
the escape speed are indicated in green, the others in red. Failed jets do not
reach the upper boundary. The background atmosphere, whose equilibrium is
perturbed, tends to fall down on top of them. The fixed conditions at the
lower boundary avert a pile-up of thermal energy as downward flowing hot gas
vanishes across the boundary and the injected gas has a constant temperature. A
delayed onset of a flow because of accumulated heat is unlikely for this
reason.
Instabilities occur in all cases where a jet develops. The instabilities
develop mainly after the first passage through the computational domain, in the
form of helical displacements and/or a change of direction of the whole jet by
up to several degrees. The latter are probably modes with wavelengths longer
than the computational domain, i.e., one sees only the lower part of what would
be a kink if the radial extent of the domain was larger. Jets created by
stronger magnetic fields (
)
tend to show this kind of incipient
instability. Jets from weaker fields move slower and develop pronounced
helical deformations within the computational domain. The proximity of the
upper boundary does not allow us to draw more conclusive statements about
differences in instability behavior within the limits of this parameter study.
A series of large, more intensive simulations of the kind presented in the next
section would be needed for that.
If the configuration is shifted such that no shear in the magnetic field occurs
(Fig. 1b), a jet does not develop. The middle panel in
Fig. 7 illustrates this case. The magnetic field lines are
unconnected to the surrounding atmosphere and the field is not amplified by
shear. This appears to be sufficient to allow them to rotate without producing
a magnetically powered flow. However, for very large values of
and
,
an outflow forms at the edge of the rotating disk (see bottom panel
in Fig. 7). This outflow appears to be driven by thermal
buoyancy associated with the dissipation of rotational energy at the disk's
edge. Having the shape of a hollow cone with a large opening angle, it can be
clearly distinguished from the jets discussed above and in the remainder of
this paper.
4.3 Jets from emerging fields: a large simulation
The long-range behavior of jets from emerging fields (setup E) in the case of
shear (Fig. 1a) was investigated in a large simulation
covering the radial range 10<r<110. Along this range, the atmospheric density
decreases by a factor 1300. The parameters used were
.
The jet crosses the upper boundary at the physical time
,
which
corresponds to 105 complete rotations of the disk; the simulation was stopped
at t=539. For this, 19 wallclock days on 64 processors with MPI parallelization were needed, the resolution being
.
The
lateral boundaries are at
;
the jet remains within
these boundaries at all times.
The wound-up magnetic field rises upwards as shown in Fig. 8, a
collimated outflow forming in the vertical direction. Not counting the changes
in direction caused by instabilities, the jet's half opening angle is about
.
Inside the jet, the field lines spiral upwards, the radial
magnetic flux having the same sign as the radial field on the rotating surface.
The total flux is, in comparison, close to zero at most radii and times.
Accordingly, visualizations of the field lines indicate that most lines remain
connected to the lower boundary at both ends until the jet crosses the upper
boundary.
Figure 10 shows the average value of various quantities
across the flow, where we calculate the average of X as
over a surface for which
.
The average velocity
increases mainly below
,
at which point it exceeds the average
fast magnetosonic speed
.
The peak velocity (maximum of
vr on
)
is constant beyond
and is twice as large as
the average velocity (4 instead of 2). The average density is at all radii
significantly lower than the atmospheric value, and the temperature (
)
is higher than the atmospheric value. The transversal (toroidal) magnetic
field dominates over the radial component at medium and large distances. The
magnetic pressure dominates over the gas pressure by a factor of about 2-4 at
all distances in the jet.
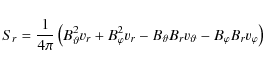
The dependence of the energy flow rates on distance provides information about
energy transformations occurring in the jet. The total energy flow rate
is obtained from a surface integral over the
components of the radial energy flux
where
is the radial component of the Poynting vector. We denote the individual components of














The jet exhibits plenty of substructure (see Fig. 9). Above
,
it is affected by recurrent instabilities that divert its course
away from the y-axis by several degrees. Stirred up ambient material
contributes to the unstable behavior. Occasionally, the jet develops a
pronounced helical shape, which is characteristic of kink instabilities. The
helix makes approximately one complete turn within the computational volume,
out of which it is rapidly advected. For comparison, the magnetic pitch is
inside the jet (cf. Fig. 8), which is
at least a factor 10 below the wavelength of the prominent instability. The
largest deflections from the central axis are approximately
.
Being
continually recreated at its base, the jet survives in a time-averaged sense.
![]() |
Figure 8: Selected magnetic field lines in the simulation presented in Sect. 4.3. The color varies with the magnetic field energy. The boundary conditions create magnetic field arcades above the boundary, the arcades are twisted in the center by the imposed rotation, and a jet with helically shaped field lines forms along the axis of rotation. The jet is subject to occasional helical deformations. |
Open with DEXTER |
4.4 Jets from a magnetic arcade on a differentially rotating surface
We also produced jets with emerging field loops (setup E) on a differentially rotating surface (see sketch in Fig. 1c). These jets are mostly the result of thermal buoyancy, driven by dissipative heating of the near-disk atmosphere. Nonetheless, the presence of a magnetic field is required to launch a directed flow.
The simulations cover the same physical range as the one presented in the
preceding section. The resolution is
,
so that the
diameter of the differentially rotating surface is resolved with about
25 cells. The longest simulation, which also produces the most
efficient jet, has
the parameter values
.
It ran for 14 wallclock days on 96 processors and covers almost two jet crossings, the upper boundary being
reached at
.
In the jet of the preceding section, Poynting flux was the main source of
energy for accelerating the jet. This is clearly different here. The
simulation with
attains a momentary quasi-stationary
state, where
in the energy flow, at
.
In sharp contrast to Fig. 11,
is the dominant component at the beginning, being a
factor of
3 greater than
.
The equipartition point
is very close to the lower boundary,
the radius at which
is larger, at
,
and
also diminishes (by about 80%), but it
is only a small fraction of the final
.
![]() |
Figure 9:
Meridional slices through the jet presented in
Sect. 4.3. The magnetic jet is accelerated into a non-magnetic
atmosphere, penetrating through denser material. The hot, magnetic material in
the environment of the upper part of the jet are remnants of previous
instabilities. For movies, see the web address indicated in the footnote on
page |
Open with DEXTER |



The appearance of the flow becomes more jetlike with increasing rotation
velocity. In a simulation with
,
corresponding to a
differential rotation velocity of about 1.1 of the outer loops' footpoints,
the jet terminates at a few disk radii from the source in a tightly wound
helix, similar to the free end of a garden hose. With
,
the flow has a
turbulent, ``smoke-stack''-like appearance. The jet produced with
is
subject to non-axisymmetric perturbations, but is far more coherent.
Despite the main energy source being thermal, the results depend greatly on
whether a magnetic field is present or not. In a simulation with
,
i.e., with virtually no magnetic field, there is no
unidirectional flow. Rather, material is ejected sideways as well as in the
upward direction (see Fig. 12). The simulation soon crashes,
presumably because too much heat accumulates. The same simulation with
is well collimated and the flow continues effortlessly through the
densest parts of the atmosphere.
![]() |
Figure 10:
Spatial and time-averaged values of various quantities in the
simulation presented in Sect. 4.3. The dotted lines represent
the initial atmospheric value, and the |
Open with DEXTER |
![]() |
Figure 11: Energy flow rates in the jet presented in Sect. 4.3. Magnetic enthalpy (integral over Poynting flux, blue line) is converted into kinetic energy (green line) and potential energy (brown line). |
Open with DEXTER |
![]() |
Figure 12:
Meridional slices through the jets presented in
Sect. 4.4. A jet forms only if a magnetic field is present and
the rotation velocity is sufficiently large. Movies of these jets can be found
at the web address indicated in the footnote on page |
Open with DEXTER |
5 Summary and discussion
We have generated collimated outflows in numerical simulations by rotating the footpoints of arcade-shaped magnetic loops. The longest of these jets cross a computational domain that is two orders of magnitude larger than the size of the source.
Flow acceleration by means of dissipative as well as non-dissipative processes has been observed. The latter relies on the presence of shear in the form of the differential rotation of the footpoints of individual field loops, which leads to the development of a toroidal magnetic field component. The resulting jet has a helical magnetic field structure with field lines running back to the source outside the jet.
Uniformly rotating magnetic loops have been found to be markedly less effective at producing outflows; in fact, no jetlike outflows were observed for uniformly rotating arcades within the numerically accessible parameter range. The shear between the rotating loop and the stationary atmosphere surrounding it also produces a toroidal field component, but this appears to be much less effective than direct shearing of field lines inside the rotating source.
We have found that the continuation of the outflow beyond the initial transient depends on the way that the magnetic field is maintained at the lower boundary. Differential rotation acting on a non-axisymmetric field quickly dissipates the field by convective expulsion, the result being that the jet is ``choked off'' at the base. We have compensated for this by adding an inflow of magnetic field at the base. This would correspond, for example, to the emergence of loops of magnetic field into the atmosphere of an accretion disk.
Apart from geometric requirements, the most important parameter for efficient jets was found to be the (differential) speed of rotation of the footpoints. In the models calculated, the necessary speed is of the order of the escape velocity from the disk. This is more than what is needed in simulations with a long-scale poloidal initial field (e.g., those presented in Paper I). Consequently, the critical points (sonic, Alfvén, fast magnetosonic) and the equipartition point between the magnetic and kinetic energy flow rates are reached at smaller distances. The conversion of magnetic enthalpy (and the components thereof) into kinetic energy is similar apart from that, being also fairly efficient.
In the adiabatic calculations presented here, thermal energy from hydrodynamic and magnetic dissipation remains in the flow. This is in contrast to our earlier calculations (Papers I and II), where we consider optically thin environments in which much of the dissipated energy is lost by radiation. The present models assume no energy loss and are most relevant for optically thick conditions. In the stratified atmosphere of these models, heating contributes to the flow by thermal buoyancy. In some of the cases presented (Sect. 4.4), this is the dominant driving mechanism. Although a wound-up magnetic field is also present in these buoyant plume flows, they probably do not qualify as magnetically driven. The non-axisymmetric ``stirring'' by the rotating magnetic field at the base that drives them may, however, be relevant for the case of a (rapidly) rotating core inside a dense stellar envelope. Even though its field configuration is not of the right kind to produce a magnetically powered outflow, dissipation of rotational energy by ``stirring'' may still have a powerful effect on the envelope.
The magnetic field in the jets presented here is strongly wound, the field lines making many turns along the length of the jet (see Fig. 8 for an example). Current-driven instabilities, in particular kink modes, are therefore to be expected and can indeed be found in the simulations. The turbulent wiggling of the jet increases the interaction with the ambient medium, leading to an increased entrainment of material. At large distances (larger than those covered by the simulations), it is possible that the field configuration is affected by instability-induced dissipation of magnetic energy, presumably with dynamical consequences for the jet. The effect would likely be the same as in jets launched by large-scale magnetic fields (see Paper II for that). Kelvin-Helmholtz instabilities at the interface between the jet and the ambient medium are suppressed by the relatively coarse resolution used in the simulations.
The final state of the jet, at large distances from the source, depends on the impact of instabilities in the region beyond the computational volume of the simulations presented here. It is reasonable to believe that the jet continues as a ballistic flow when the instabilities cease to be effective (due to the expansion of the jet and a possible decay of the toroidal field). A ``disruption'' of the jet would require a strong interaction with the medium into which it propagates; the atmosphere at large distances is probably too thin for that.
Although the simulations presented here demonstrate possible forms of rotation-induced acceleration, they are probably not realistic models of true accretion disks. One may wonder what happens in a more realistic scenario, where more complicated or chaotically arranged magnetic field loops emerge from the disk. Obviously, magnetic reconnection would likely play a major role in such a scenario. Nonetheless, the surviving magnetic field is stretched out in the azimuthal direction by the rotation, and the free energy in the toroidal field is transformed into an outflow. Temporary fluctuations are likely to occur if the supply of magnetic field loops is not continuous. The coherent length of the jet will then be determined by the speed with which reconnection processes destroy the initial field by which the flow is produced. The jet may flare up anew when new loops emerge. This effect could be responsible for the temporary fluctuations in gamma ray bursts.
Loops of magnetic field can also be found in the solar corona, where their evolution is probably connected with explosive ejections of material (CMEs, see e.g., Forbes et al. 2006, for a review). One general idea is that the differential rotation and convective motions at the solar photosphere produce shearing, and the energy in the sheared/twisted field is set free in an explosive event (e.g., van Ballegooijen & Martens 1989; Zuccarello et al. 2009). In contrast to the jet models discussed here, the footpoints of a solar magnetic arcade is unlikely to be twisted by (pure) azimuthal motion. Non-azimuthal shearing is unlikely to produce an extended helical field (as in Fig. 4) and the plasma acceleration is hence different from that in a magnetically driven jet. The energy in CMEs also appears to be first accumulated and then released in a sudden event, much unlike the rather smoothly rising jets presented here.
AcknowledgementsThe author thanks H. C. Spruit for fruitful discussions and a careful reading of the manuscript, and M. Obergaulinger for providing his MHD code.
References
- Bisnovatyi-Kogan, G. S., & Ruzmaikin, A. A. 1976, Ap&SS, 42, 401 [NASA ADS] [CrossRef] [Google Scholar]
- Blandford, R. D. 1976, MNRAS, 176, 465 [NASA ADS] [Google Scholar]
- Ciardi, A., Lebedev, S. V., Frank, A., et al. 2009, ApJ, 691, L147 [NASA ADS] [CrossRef] [Google Scholar]
- De Villiers, J.-P., Hawley, J. F., Krolik, J. H., & Hirose, S. 2005, ApJ, 620, 878 [NASA ADS] [CrossRef] [Google Scholar]
- Evans, C. R., & Hawley, J. F. 1988, ApJ, 332, 659 [Google Scholar]
- Fendt, C. 2009, ApJ, 692, 346 [NASA ADS] [CrossRef] [Google Scholar]
- Forbes, T. G., Linker, J. A., Chen, J., et al. 2006, Space Sci. Rev., 123, 251 [NASA ADS] [CrossRef] [Google Scholar]
- Galeev, A. A., Rosner, R., & Vaiana, G. S. 1979, ApJ, 229, 318 [NASA ADS] [CrossRef] [Google Scholar]
- Harten, A. 1983, J. Comput. Phys., 49, 357 [NASA ADS] [CrossRef] [MathSciNet] [Google Scholar]
- Hsu, S. C., & Bellan, P. M. 2005, Physics of Plasmas, 12, 2103 [CrossRef] [Google Scholar]
- Kato, Y., Mineshige, S., & Shibata, K. 2004, ApJ, 605, 307 [NASA ADS] [CrossRef] [Google Scholar]
- Krichbaum, T. P., Alef, W., Witzel, A., et al. 1998, A&A, 329, 873 [NASA ADS] [Google Scholar]
- Kudoh, T., Matsumoto, R., & Shibata, K. 2002, PASJ, 54, 267 [NASA ADS] [Google Scholar]
- LeBlanc, J. M., & Wilson, J. R. 1970, ApJ, 161, 541 [NASA ADS] [CrossRef] [Google Scholar]
- LeVeque, R. J. 1992, Numerical Methods for Conservation Laws, 2nd edn., ETH Zürich: Lectures in mathematics (Birkhäuser) [Google Scholar]
- Lynden-Bell, D. 2003, MNRAS, 341, 1360 [NASA ADS] [CrossRef] [Google Scholar]
- Moll, R. 2009, A&A, 507, 1203 [NASA ADS] [CrossRef] [EDP Sciences] [Google Scholar]
- Moll, R., Spruit, H. C., & Obergaulinger, M. 2008, A&A, 492, 621 [NASA ADS] [CrossRef] [EDP Sciences] [Google Scholar]
- Obergaulinger, M. 2008, Ph.D. thesis, Max-Planck-Institut für Astrophysik, Garching bei München [Google Scholar]
- Parker, E. N. 1963, ApJ, 138, 552 [NASA ADS] [CrossRef] [Google Scholar]
- Romanova, M. M., Ustyugova, G. V., Koldoba, A. V., Chechetkin, V. M., & Lovelace, R. V. E. 1998, ApJ, 500, 703 [NASA ADS] [CrossRef] [Google Scholar]
- Shepherd, D. S., Claussen, M. J., & Kurtz, S. E. 2001, Science, 292, 1513 [NASA ADS] [CrossRef] [PubMed] [Google Scholar]
- Suresh, A., & Huynh, H. 1997, J. Comput. Phys., 136, 83 [NASA ADS] [CrossRef] [Google Scholar]
- Tadhunter, C., Marconi, A., Axon, D., et al. 2003, MNRAS, 342, 861 [NASA ADS] [CrossRef] [Google Scholar]
- Toro, E. F., & Titarev, V. A. 2006, J. Comput. Phys., 216, 403 [NASA ADS] [CrossRef] [Google Scholar]
- Tout, C. A., & Pringle, J. E. 1996, MNRAS, 281, 219 [NASA ADS] [CrossRef] [Google Scholar]
- Turner, N. J., Bodenheimer, P., & Rózyczka, M. 1999, ApJ, 524, 129 [NASA ADS] [CrossRef] [Google Scholar]
- Uzdensky, D. A., & Goodman, J. 2008, ApJ, 682, 608 [NASA ADS] [CrossRef] [Google Scholar]
- van Ballegooijen, A. A. 1989, in Accretion Disks and Magnetic Fields in Astrophysics, ed. G. Belvedere, 99 [Google Scholar]
- van Ballegooijen, A. A., & Martens, P. C. H. 1989, ApJ, 343, 971 [NASA ADS] [CrossRef] [Google Scholar]
- Zel'dovich, Y. B. 1956, JETP, 31, 154 [Google Scholar]
- Zuccarello, F. P., Jacobs, C., Soenen, A., et al. 2009, A&A, 507, 441 [NASA ADS] [CrossRef] [EDP Sciences] [Google Scholar]
Online Material
13176mv12.avi
13176mv6.avi
13176mv9.avi
Footnotes
- ... fields
- Movies are available in electronic form at http://www.aanda.org
- ...
- Animated plots can be found in the electronic edition of the journal and at http://www.mpa-garching.mpg.de/ rmo/pap3/index.html
All Tables
Table 1: Normalization units.
All Figures
![]() |
Figure 1: Considered magnetic field geometries. In case (a), the field lines are anchored at one end in a rigidly rotating disk. In case (b), the field lines' footpoints are either both anchored in the disk, or they are both anchored outside of it. In case (c), the field emerges from a limited area inside the disk, which is differentially rotating. |
Open with DEXTER | |
In the text |
![]() |
Figure 2:
Sketch of the coordinate system and the computational grid. The jets
propagate in the equatorial direction of the grid coordinates
|
Open with DEXTER | |
In the text |
![]() |
Figure 3:
Schematic of simulation setup E described in Sect. 3.1.2,
in the variant sketched in Fig. 1a. A vertical velocity
field (green arrows) pushes the magnetic field (blue lines) from the lower
boundary (
|
Open with DEXTER | |
In the text |
![]() |
Figure 4: Selected magnetic field lines in a simulation with an arcade-shaped initial field (setup D). The lines close at the lower boundary, ascending inside the jet and descending outside. |
Open with DEXTER | |
In the text |
![]() |
Figure 5: Left: magnetic field and temperature in a horizontal slice next to the bottom boundary in a simulation with an arcade-shaped initial field (setup D) with shear (Fig. 1a) after 1 ( bottom left panel) and 32 revolutions ( top left panel). The texture shows the geometry of the parallel field component and the green/yellow coloring indicates the magnitude of the normal component. Regions of higher temperature are tinted in red (lower temperatures are transparent). Right: evolution of the radial velocity in a meridional slice. The jet is eventually ``choked off'' at the bottom. |
Open with DEXTER | |
In the text |
![]() |
Figure 6:
Top panel: maximum velocity over escape speed for different
parameters
|
Open with DEXTER | |
In the text |
![]() |
Figure 7: Parallel magnetic field (wedges) and temperature (color) in a meridional slice through the jet in a simulation with shear ( top panel) and in two simulations without shear ( middle/bottom panel). Collimated, magnetically driven jets form only in cases where a toroidal field develops through a shear of the magnetic field. |
Open with DEXTER | |
In the text |
![]() |
Figure 8: Selected magnetic field lines in the simulation presented in Sect. 4.3. The color varies with the magnetic field energy. The boundary conditions create magnetic field arcades above the boundary, the arcades are twisted in the center by the imposed rotation, and a jet with helically shaped field lines forms along the axis of rotation. The jet is subject to occasional helical deformations. |
Open with DEXTER | |
In the text |
![]() |
Figure 9:
Meridional slices through the jet presented in
Sect. 4.3. The magnetic jet is accelerated into a non-magnetic
atmosphere, penetrating through denser material. The hot, magnetic material in
the environment of the upper part of the jet are remnants of previous
instabilities. For movies, see the web address indicated in the footnote on
page |
Open with DEXTER | |
In the text |
![]() |
Figure 10:
Spatial and time-averaged values of various quantities in the
simulation presented in Sect. 4.3. The dotted lines represent
the initial atmospheric value, and the |
Open with DEXTER | |
In the text |
![]() |
Figure 11: Energy flow rates in the jet presented in Sect. 4.3. Magnetic enthalpy (integral over Poynting flux, blue line) is converted into kinetic energy (green line) and potential energy (brown line). |
Open with DEXTER | |
In the text |
![]() |
Figure 12:
Meridional slices through the jets presented in
Sect. 4.4. A jet forms only if a magnetic field is present and
the rotation velocity is sufficiently large. Movies of these jets can be found
at the web address indicated in the footnote on page |
Open with DEXTER | |
In the text |
Copyright ESO 2010
Current usage metrics show cumulative count of Article Views (full-text article views including HTML views, PDF and ePub downloads, according to the available data) and Abstracts Views on Vision4Press platform.
Data correspond to usage on the plateform after 2015. The current usage metrics is available 48-96 hours after online publication and is updated daily on week days.
Initial download of the metrics may take a while.