Issue |
A&A
Volume 512, March-April 2010
|
|
---|---|---|
Article Number | A54 | |
Number of page(s) | 22 | |
Section | Stellar atmospheres | |
DOI | https://doi.org/10.1051/0004-6361/200913204 | |
Published online | 01 April 2010 |
An absolutely calibrated
scale from the infrared flux
method
Dwarfs and subgiants![[*]](/icons/foot_motif.png)
L. Casagrande1 - I. Ramírez1 - J. Meléndez2 - M. Bessell3 - M. Asplund1
1 - Max Planck Institute for Astrophysics,
Postfach 1317, 85741 Garching, Germany
2 -
Centro de Astrofísica da Universidade do Porto,
Rua das Estrelas 4150-762 Porto, Portugal
3 -
Research School of Astronomy and Astrophysics,
Mount Stromlo Observatory, Cotter Rd, ACT 2611, Australia
Received 28 August 2009 / Accepted 6 January 2010
Abstract
Various effective temperature scales have been proposed over the
years. Despite much work and the high internal precision usually achieved,
systematic differences of order 100 K (or more) among various scales are
still present. We present an investigation based on the infrared flux method
aimed at assessing the source of such discrepancies and pin down their origin.
We break the impasse among different scales by using a large set of solar
twins, stars which are spectroscopically and photometrically identical to the
Sun, to set the absolute zero point of the effective temperature scale to
within few degrees. Our newly calibrated, accurate and precise temperature
scale applies to dwarfs and subgiants, from super-solar metallicities to the
most metal-poor
stars currently known. At solar metallicities our results validate
spectroscopic effective temperature scales, whereas
for
our
temperatures are roughly 100 K hotter than those determined from model fits
to the Balmer lines and 200 K hotter than those obtained from the excitation
equilibrium of Fe lines.
Empirical bolometric corrections and useful relations linking
photometric indices to effective temperatures and angular diameters have been derived.
Our results take full advantage of the high accuracy reached in absolute
calibration in recent years and are further
validated by interferometric angular diameters and space based
spectrophotometry over a wide range of effective temperatures and
metallicities.
Key words: stars: fundamental parameters - stars: abundances - stars: atmospheres - infrared: stars - techniques: photometric
1 Introduction
The determination of effective temperatures (
)
in F, G and K type stars has a long and notable history. Because of their long
lifetimes these stars retain in their atmospheres a fossil record of
the chemical elements in the interstellar medium at the time of their
formation. The stellar effective temperature is of
paramount importance for reliable abundance analyses and thus for
improving our understanding of Galactic chemical evolution.
Stellar abundances are now routinely derived from high resolution
spectra, model atmospheres, and spectrum synthesis. While each of
these ingredients have their own issues regarding systematic
uncertainties, the dominant source of error is in many cases the
adopted
of the star. Several indirect methods of
determination have been devised to avoid the complications introduced
by the measurement of stellar angular diameters, which are necessary
to derive
from basic principles
(e.g. van Belle & von Braun 2009; Hanbury Brown et al. 1974). Thus, most published values of
are model-dependent or based on empirical calibrations that
are not free from systematics themselves.
It is therefore not surprising to find discrepancies among published
values. The ionization and excitation balance of iron lines in
a 1D LTE analysis is routinely used to derive effective temperatures
as well as
and
.
While for a sample of stars with
similar properties this method can yield highly precise relative
physical parameters (Ramírez et al. 2009; Meléndez et al. 2009a, see Sect. 3 for its use on solar
twins), non-LTE effects and departures
from homogeneity can seriously
undermine effective temperature determinations, especially in
metal-poor stars (e.g. Asplund 2005). Similarly, the line-depth
ratio technique has high internal precision, claiming to resolve temperature
differences of order 10 K (e.g. Kovtyukh et al. 2003; Gray 1994; Gray & Johanson 1991)
but it is not entirely model independent (e.g. Biazzo et al. 2007; Caccin et al. 2002) and
the uncertainty on its zero point can be considerably large. Another
popular method for deriving
in late-type stars is provided by
the study of the hydrogen Balmer lines, in particular H
and
H
(e.g. Nissen et al. 2007; Fuhrmann 2008). For H lines
uncertainties related to observations and line broadening
(Barklem et al. 2002), non-LTE (Barklem 2007) and granulation effects
(Asplund 2005; Pereira et al. 2010; Ludwig et al. 2009) all
influence the estimation of effective temperatures.
In such a scenario, an almost model independent and elegant technique for determining effective temperatures was introduced in the late 70's by D. E. Blackwell and collaborators (Blackwell & Shallis 1977; Blackwell et al. 1980,1979) under the name of InfraRed Flux Method (hereafter IRFM). Since then, a number of authors have applied the IRFM to determine effective temperatures in stars with different spectral types and metallicities (e.g. Bell & Gustafsson 1989; González Hernández & Bonifacio 2009; Ramírez & Meléndez 2005a; Alonso et al. 1996a; Casagrande et al. 2006). The main ingredient of the IRFM is infrared photometry, with the homogeneous and all-sky coverage provided by 2MASS being the de facto choice nowadays. As such, the IRFM can now be readily applied to many stars, making it ideal to determine colour-temperature-metallicity relations spanning a wide range of parameters. The effective temperatures determined via IRFM are often regarded as a standard benchmark for other techniques. Whilst they have high internal accuracy and are essentially free from non-LTE and granulation effects (Asplund & García Pérez 2001; Casagrande 2009; Ramirez et al. in prep.), the reddening and absolute flux calibration adopted in such a technique can easily introduce a systematic error as large as 100 K (Casagrande et al. 2006).
The effective temperatures of dwarfs and subgiants are still heavily
debated with various
scales behaving very differently
depending on colours and metallicities. One of the most critical
discrepancies occur at the metal-poor end,
for
.
In their work on the determination of
effective temperatures via IRFM, Ramírez & Meléndez (2005a) found
temperatures significantly hotter than those previously published, in
particular those determined using the excitation equilibrium
method. Differences up to 500 K for the hottest (
K)
most metal-poor (
)
stars were reported
(e.g., Meléndez et al. 2006b; Meléndez & Ramírez 2004). In this regime, the recent
IRFM investigation by González Hernández & Bonifacio (2009) still supports a temperature
scale significantly hotter than excitation equilibrium and Balmer
lines, but
90 K cooler than Ramírez & Meléndez (2005a).
The abundance pattern measured in metal-poor stars is important for
our quest to understand Galactic chemical evolution and Big Bang
nucleosynthesis: two notable examples are the oxygen abundance and the
lithium trend with metallicity, both of which crucially depend on
the adopted
scale. For example, a change of +100 K in
would decrease the [O/Fe] ratio in turn-off metal-poor stars by
0.08 dex when using the OI triplet and FeII lines (Meléndez et al. 2006a),
while the same change in
would increase the Li abundance by
0.07 dex (e.g. Meléndez & Ramírez 2004; Meléndez et al. 2009b,2010).
At higher metallicities, which encompass most of the stars in the solar neighbourhood, the situation is also uncertain, with spectroscopic effective temperatures in rough agreement with the IRFM scale of Casagrande et al. (2006). The latter is then about 100 K hotter than the IRFM temperatures of Ramírez & Meléndez (2005b) whilst the recent implementation of González Hernández & Bonifacio (2009) falls in between these two extremes. These differences are somewhat puzzling considering that all recent works on the IRFM have used 2MASS photometry. Effective temperature calibrations are also crucial in the context of deriving reliable colours for theoretical stellar models, which apart from few notable exceptions (e.g. VandenBerg & Clem 2003) have to resort entirely to theoretical flux libraries.
The aim of this work is to uncover the reason(s) behind such a
confusing scenario and provide a solution to different IRFM effective
temperature scales currently available in literature. As we discuss
throughout the paper, this ambitious task is accomplished by using
solar twins which allow us to set the absolute zero point of the
scale. This result is further validated using interferometric
angular diameters and space-based spectrophotometry.
The paper is organized as follows. In Sect. 2 we compare
the results obtained from different authors, focusing in particular on
two independent implementations of the IRFM (Ramírez & Meléndez 2005a; Casagrande et al. 2006) when the same input data are used. This approach
allows us to precisely identify where different
scales
originate from. A cure to such an impasse is then provided in Sect. 3. The validation of our results, together with the new both
precise and accurate effective temperature scale are presented in
Sects. 4 to 6. We finally conclude in Sect. 7.
2 Comparing different versions
In this paper we use an updated version the IRFM implementation
described in Casagrande et al. (2006) to nail down the reasons behind
different
scales. Our implementation works in the 2MASS system
and fully exploits its high internal consistency thus making it well
suited to the purpose of the present investigation. The core of the
present study is to carry out a detailed comparison with the
Ramírez & Meléndez (2005a) implementation when the same input data are
used. For the sake of precision, notice that hereafter, when we refer
to a
determined by Ramírez & Meléndez (2005a) we are referring to the
effective temperatures
determined using that implementation and not the original values given
in that paper. This is because of the updated (and more consistent)
input data used here and also because some of the stars presented in
this work do not have IRFM
values published yet. In fact, in
order to reveal trends with metallicity and/or effective temperature,
our sample is specifically built to cover as wide a range as possible
in those parameters (Fig. 1).
![]() |
Figure 1:
Distribution of
|
Open with DEXTER |
2.1 Input sample
The main ingredient of the IRFM is optical and infrared
photometry. The technique depends very mildly on other stellar
parameters, such as metallicity and surface gravity, which are needed
to interpolate on a grid of model atmospheres (see Sect. 2.2). Below we present the papers from which we gathered
and
for all our stars and we also give references to
the photometric sources.
The metal-rich dwarfs come from Casagrande et al. (2006) who also provide
homogeneous and accurate
photometry while additional
metal-rich dwarfs and subgiants are from Ramírez & Meléndez (2005a). We
complement the sample with a number of moderately metal-poor stars
from the study of Fabbian et al. (2009) and metal-poor turn off stars from
Hosford et al. (2009). To investigate the metal-poor end of the
scale in more detail, stars with reliable input data from
Ramírez & Meléndez (2005a), Bonifacio et al. (2007) and Aoki et al. (2009) were
added. Finally, to explore for the first time the hyper-metal-poor
regime via IRFM the subgiants HE0233-0343 (
García Pérez et al. 2008) and HE1327-2326 (
Frebel et al. 2008; Korn et al. 2009; Aoki et al. 2006; Frebel et al. 2005) were included.
New
photometric observations for some of the metal-poor
stars in the aforementioned papers were conducted by Shobbrook & Bessell
(1999; private communication) and are given in Table 1. For the
remaining stars, optical Johnson-Cousins photometry was taken either
from Beers et al. (2007) or the General Catalogue of Photometric Data
(Mermilliod et al. 1997).
Table 1: New Johnson-Cousins photoelectric photometry obtained for some of the metal-poor stars in the sample.
Infrared
photometry for the entire sample is available from
the 2MASS catalogue (Skrutskie et al. 2006)
which also includes the uncertainty
for each observed magnitude (``j_'', ``h_'' and ``k_msigcom''). The
infrared median total photometric error of our sample
is 0.07 mag (i.e. ``j_''+``h_''+``k_msigcom''=0.07) and
never exceeds 0.14 mag. Such an
accuracy in the infrared photometry implies a mean (maximum) internal
error in
of 25 K (50 K). Notice that the effective internal
accuracy is slightly worse because of additional uncertainties stemming from
the optical photometry,
and
.
Altogether our final
sample consists of 423 stars: all have
photometry while more than
half have also
magnitudes available
.
Proper reddening corrections are crucial to determine
via
IRFM. We have tested that 0.01 mag in E(B-V) translates into an IRFM
effective temperature roughly 50 K hotter.
Reddening is usually zero for
stars lying within the local bubble
70 pc from the Sun
(e.g. Leroy 1993; Lallement et al. 2003) and so we have adopted
E(B-V)=0 for all stars having Hipparcos parallaxes
(van Leeuwen 2007) and satisfying this
requirement on the distance. For the remaining stars we updated
the reddening corrections in Ramírez & Meléndez (2005a) based on various
extinction maps and, in particular for metal-poor stars when
archive high resolution spectra were available, using interstellar
NaD absorption lines (Meléndez et al. 2010).
In broad-band photometry the definition of the effective wavelength of
a filter (
)
shifts with the colour of the star
(e.g. Bessell et al. 1998; Casagrande et al. 2006). Therefore a given E(B-V)colour excess must be scaled according to the intrinsic colour of the
source under investigation. From the reddening E(B-V), we computed
the extinction in each band adopting the reddening law of
O'Donnell (1994) for the optical and Cardelli et al. (1989) for the
infrared, using the improved estimation of the stellar intrinsic flux
obtained at each iteration to bootstrap the computation of the correct
in our IRFM code.
2.2 The IRFM: pros and cons
![]() |
Figure 2:
Top panel: Johnson-Cousins-2MASS filter sets used in this
work. Middle panel: synthetic solar metallicity spectra at different
|
Open with DEXTER |




![$\mathcal{F}_{\lambda_{\rm IR}}(T_{\rm eff},{\rm [Fe/H]},\log g)$](/articles/aa/full_html/2010/04/aa13204-09/img54.png)




and
can be immediately rearranged to determine
,
effectively reducing the entire problem to properly recover
and
.
Both quantities are
determined from photometric observations, but an iterative procedure
is adopted to cope with the mildly model dependent nature of the
bolometric correction. In our case we use the fluxes predicted by the
Castelli & Kurucz (2004) grid
of model atmospheres starting with an initial estimate of the
effective temperature and interpolating at the appropriate
and
until convergence in
is reached within 1 K. By
doing so, we also obtain a synthetic spectrum tailored to the
effective temperature empirically determined via IRFM.
Though we interpolate at the proper
and
of each star,
the dependence of the technique on such parameters is minor
(e.g. Ramírez & Meléndez 2005a; Casagrande et al. 2006). This feature makes the IRFM
superior to any spectroscopic methods to determine
- provided
the reddening is accurately known - since in the latter the effects of
,
and
are usually strongly coupled and the model
dependence is much more important.
The errors are estimated using realistic observational uncertainties
in a Monte Carlo simulation plus the systematics arising from the
adopted absolute calibration, as described in
Casagrande et al. (2006). With the improved absolute calibration used in
this paper, systematics amount to 15 K in
and 0.3% in
bolometric flux (Sect. 3.2). For stars approximately cooler
than 5000 K,
photometry is crucial to properly compute the
bolometric flux. This can be appreciated in the lower panel of Fig. 2: below this temperature a trend appears using
magnitudes only. Missing the peak of the energy distribution clearly
leads one to underestimate the bolometric flux thus returning cooler
effective temperatures. We have linearly fitted the trend below
5000 K to remove such differences in both
and
when
photometry was not available. For
K no obvious trend appears: constant offsets of merely
7 K in
and 0.15% in bolometric flux have been found,
consistent with the effect that the absolute calibration in
can introduce. For the sake of homogenizing the stellar parameters
derived in this work, also these small offsets have been corrected for
stars with no
photometry.
The effective temperature can be determined from any infrared
photometric band, in our case
from 2MASS. Ideally all bands
should return the same
,
but photometric errors and zero point
uncertainties in the absolute calibration of each band introduce
random plus systematic differences. In the case of 2MASS, those amount
to few tens of K as we show later.
The magnitude in a given band
is converted into a physical
flux (i.e.
)
via
which depends on the zero point (


![[*]](/icons/foot_motif.png)
Most of the photometric systems, including Johnson-Cousins and 2MASS,
use Vega as the zero point standard. Vega's flux and magnitudes in
different bands have been notoriously difficult to measure with
sufficient accuracy (e.g. Gray 2007, and references therein). The
problem is only apparently resolved when resorting to
:
in
the ideal case of a unique template spectrum for Vega the choice of
its absolute calibration would cancel out in the ratio. In practice,
the situation is far from this since the pole-on and rapidly rotating
nature of this star imposes the use of a composite absolute calibrated
spectrum for different wavelength regions (e.g. Casagrande et al. 2006, and references
therein). Such complication does not disqualify Vega
as a spectrophotometric standard, but it makes its use more problematic.
From Eq. (1) it can be immediately noticed that a change of 0.01 mag corresponds to a change of about 1% in flux. Since it is
possible to interchangeably operate on both zero points and fluxes,
for the sake of our discussion it is their composite effect that must
be considered, though in the following we shall usually refer to
fluxes.
Recently, HST spectrophotometry for Vega has provided a unique
calibrated spectrum extending from 3200 to 10 000 Å with 1-2%
accuracy (Bohlin 2007). In the infrared, once the zero points newly
determined from Maíz-Apellániz (2007) are used, this result is also in
broad agreement with the 2MASS absolute calibration provided by
Cohen et al. (2003). Rieke et al. (2008) have also recently reviewed the
absolute physical calibration in the infrared, substantially
validating the accuracy of 2MASS: their recommended 2% increase of
flux in
band is in fact compensated by their newly determined
zero point for Vega, thus implying an effective change in the overall
calibration of only 0.2%. We have tested all these different
possibilities; with respect to the HST and 2MASS calibration adopted
in Casagrande et al. (2006) the derived
are affected at most by
20 K. Such difference is thus within the aforementioned global
2% uncertainty which allows for systematics in
of order
40 K. Our zero points and absolute fluxes are essentially identical
to those adopted in Casagrande et al. (2006) except for a small
fine-tuning which will be further discussed in Sect. 3.
Despite the recent increasing concordance in establishing absolute
fluxes, the uncertainties which have historically plagued Vega are
crucial in the context of understanding the effective temperatures
determined via IRFM by various authors. We have tested that uncorrelated
changes of a few percent in the absolute calibration of optical bands (needed to
recover the bolometric flux) can introduce spurious trends with
and
up to few tens of K. Similar changes in the
absolute calibration of infrared bands have only minor impact
on the bolometric flux, but as already mentioned,
is very
sensitive to them since they enter explicitly in the definition
of
:
increasing all of them by
2% translates into a decrease of approximately 40 K in
.
Considering that differences of few percent in the adopted
zero points and fluxes are commonly present among various IRFM
implementations, it can be immediately realized that they are responsible
for systematic differences among various authors.
![]() |
Figure 3:
Difference between the effective temperatures obtained in this work (TW) and those reported in Alonso et al. (1996a) for 220 stars in common. In case of reddening, only stars with values of E(B-V)
equal to within 0.02 mag have been plotted. Thick continuous
lines connect the means computed in equally spaced bins of
|
Open with DEXTER |
2.3 Alonso et al. (1996) scale
One of the most extensive applications of the IRFM to Pop I and II
dwarfs is that of Alonso et al. (1996a), which was based on the
infrared photometry collected at the TCS
(Telescopio Carlos Sanchez, Alonso et al. 1994b)
and absolutely calibrated using a semi-empirical approach
relying on (mostly) giant stars with measured angular diameters to
determine the reference absolute fluxes (Alonso et al. 1994a).
The comparison between our
and those by Alonso et al. (1996a) is shown in Fig. 3. Despite the scatter arising from the different
input data we used, there is a clear offset with our scale being
systematically hotter. No obvious trends in
and
appear. This offset is easily explained in terms of the absolute
calibration underlying the two different photometric systems
adopted. This involves the transformation from TCS to 2MASS system
(see also the discussion in Casagrande et al. 2006), which could in
principle introduce additional noise (see Sect. 2.4).
A more detailed description of the absolute calibration (and
angular diameters) employed by Alonso and a comparison with our own
is presented in Appendix A.
An area of particular interest is the determination of effective
temperatures in very metal-poor, turn-off stars. We have tested the
effect of using the new Castelli & Kurucz (2004) model atmospheres in the
IRFM instead of the Kurucz (1993) adopted by
Alonso et al. (1996a). The IRFM is known to be little model
dependent (e.g. Asplund & García Pérez 2001; Casagrande 2009) and in fact there
are no big differences except at the
lowest metallicities, where Castelli & Kurucz (2004) support effective
temperatures hotter by 40 K. The reason for such a discrepancy
stems from the new models returning higher flux below
4000 Å, a region where the most metal-poor, turn-off
stars commence emitting non negligible amounts of energy. Since
we do not have UV photometry (and its standardization would be uncertain),
we must rely on model atmospheres to determine the flux over this region
(Fig. 4). The latest model atmosphere calculations show
excellent agreement as we checked that nearly identical
are obtained when the new MARCS models (Gustafsson et al. 2008) are
used instead of those by Castelli & Kurucz (2004) (also Sect. 5.3.1), but
see Edvardsson (2008) for a discussion of the performance of model
atmospheres in the blue and ultraviolet.
![]() |
Figure 4:
Comparison between Kurucz (1993) (thick line) and
Castelli & Kurucz (2004) (thin line) synthetic spectra at different metallicities
for an assumed
|
Open with DEXTER |
2.4 Ramírez & Meléndez (2005) scale
A revision of the Alonso et al. (1996a) implementation of the IRFM was
carried out by Ramírez & Meléndez (2005a) based on the TCS (for the
computation of
)
and Johnson's (for the computation of the
bolometric fluxes) JHK photometric systems
(Alonso et al. 1994b; Bessell & Brett 1988). Here we replicate the
determination by Ramírez & Meléndez (2005a)
for comparison purposes. When running their implementation, we
transformed the 2MASS photometry into TCS using their equations.
However, when comparing the transformed and original JHK values
for these stars we found zero point differences at the level of
0.01 mag: these offsets are within the photometric uncertainties
and smaller than the scatter in the fits leading to the transformation
equations, but they introduce changes in the derived
values up to few tens of K (see Sect. 2.2). Therefore we took those into account to precisely transform 2MASS data into the TCS system.
The Ramírez & Meléndez (2005a) bolometric fluxes were determined using the K-band bolometric correction calibration by Alonso et al. (1995), which depends only on the Johnson (V-K) colour index and the stellar metallicity.
This calibration is internally accurate within its ranges of
applicability and one would expect that extrapolations slightly outside
these ranges would still provide reliable results at low metallicities.
This approach was followed by Ramírez & Meléndez (2005a).
With regards to the absolute flux calibration in the infrared, Ramírez & Meléndez (2005a) adopted that of Alonso et al. (1994a), which is valid for TCS JHK photometry while we use an update of Cohen et al. (2003) for the
2MASS system (see also Sect. 3).
The difference between our results and Ramírez & Meléndez (2005a) when the same input data and reddening values are adopted is illustrated in the top panels of Fig. 5. Some of the scatter arise from transforming 2MASS magnitudes into TCS, but clear trends with both with
and
are present. For the bulk of the stars with
and
K
a roughly constant offset of about 100 K is observed, our stars
being hotter. In the metal-rich regime such an offset is present also
for hotter stars (
K), but reduces somewhat for the coolest metal-rich dwarfs, reaching a minimum of about 50 K at
K. A steep trend is seen for moderately metal-poor dwarfs (
)
below 4800 K, a region with few or no calibrating stars in Alonso et al. (1995).
For the warmer, most metal-poor stars in the sample, the differences decrease sharply with increasing
and decreasing
,
quickly becoming negative i.e., Ramírez & Meléndez (2005a) temperatures become warmer, reaching a maximum value of about -100 K at
K and
.
To investigate the source of these differences, we re-calculated the IRFM temperatures of Ramírez & Meléndez (2005a) using our bolometric fluxes instead of the calibration formulae adopted by Ramírez & Meléndez (2005a).
This choice is perfectly legitimate, since what is crucial in the IRFM
are the infrared fluxes which appear explicitly in the definition of
,
while
depends only mildly on the bolometric flux (Sect. 2.2). Therefore, adopting our bolometric fluxes is substantially independent of the underlying temperature scale, i.e. the Ramírez & Meléndez (2005a)
scale is still recovered despite now using the new bolometric fluxes
determined in the present work. The result of this exercise is shown in
the bottom panels of Fig. 5. The major trends caused from extrapolating the Alonso et al. (1995) bolometric formulae now disappear with a constant offset
K above 5000 K. The small trend that remains below this temperature corresponds to the threshold where Ramírez & Meléndez (2005a) stop using the J band to determine
,
which in the TCS system usually returns slightly cooler
than H and K bands.
![]() |
Figure 5: Top panels: difference between the effective temperatures of this work (TW) and those obtained when the same input data are used in the Ramírez & Meléndez (2005a) implementation (RM05). Bottom panels: as in the top panels but for the Ramírez & Meléndez (2005a) temperatures re-determined using the bolometric fluxes obtained in this work. |
Open with DEXTER |
![${\rm [Fe/H]}\simeq-2.5$](/articles/aa/full_html/2010/04/aa13204-09/img75.png)

![${\rm [Fe/H]}$](/articles/aa/full_html/2010/04/aa13204-09/img3.png)
![${\rm [Fe/H]}$](/articles/aa/full_html/2010/04/aa13204-09/img3.png)
The difference that remains after adopting consistent bolometric fluxes between this work and Ramírez & Meléndez (2005a) (lower panels of Fig. 5) is mostly due to the use of different infrared absolute flux calibrations. In fact, by lowering the absolute fluxes adopted by Ramírez & Meléndez (2005a) by about 4%, the mean difference reduces to almost zero. We thus conclude that our and Ramírez & Meléndez (2005a) IRFM implementations can be made perfectly compatible if the same input parameters and flux calibration are used.
2.5 González Hernández & Bonifacio (2009) scale
The most recent work on the IRFM is that by González Hernández & Bonifacio (2009), which is also based on 2MASS photometry. The main difference between theirs and our implementation is the different absolute calibration and zero points adopted for Vega. They based their work on the Castelli & Kurucz (1994) model and McCall (2004) magnitudes instead of the HST (Bohlin 2007; Bohlin & Gilliland 2004) and 2MASS (Cohen et al. 2003) values that we use. Although such differences are within the current observational errors, in the infrared the combined effect of their fluxes and zero points is on average 1.5-2.0% higher than ours, implying effective temperatures cooler by 30-40 K (see Appendix A). This can be immediately appreciated in Fig. 6, which indeed shows a constant offset of this magnitude for stars in common, thus confirming the offset noticed by González Hernández & Bonifacio (2009) for stars in common with Casagrande et al. (2006).
The very steep trend at the lowest metallicities is due to the
different reddening corrections we adopt with respect to theirs. When
the same E(B-V) values are adopted (bottom panels in Fig. 6), the offset remains constant throughout the entire
and
range, except for few outliers due to the different
input data (mostly optical photometry) adopted. This clearly stresses
the importance of proper reddening correction for determining
effective temperatures via IRFM in stars outside of the local
bubble. For the most metal-poor stars in the sample,
we use interstellar NaD lines to achieve higher precision (Sect. 2.1) while González Hernández & Bonifacio (2009) resorted to reddening maps
scaled by the distance and the galactic latitude of the star and scale
height of the dust layer. The trend towards cooler effective
temperatures that we obtain in this regime thus stem entirely from better
reddening corrections. Finally, we suspect that the trend for
K is due to the absence of
colours in González Hernández & Bonifacio (2009)
(Sect. 2.2, bottom panel of Fig. 2).
![]() |
Figure 6:
Top panels: difference between the effective temperatures of this work (TW) and those in González Hernández & Bonifacio (2009) (GB09) for 380 stars in common. Filled circles are stars with
|
Open with DEXTER |
3 Resolving different versions
It is clear from the discussion above that we now understand where different
scales originate from and the crucial role played by the absolute
calibration. Our approach has been to adopt the latest calibration
available for each photometric system: currently those are accurate at
the 2% level, implying possible systematic uncertainties of order
40 K. Here we want to improve upon this uncertainty using an
independent verification of the absolute calibration adopted.
3.1 Solar twins
The use of solar-type stars to calibrate photometric systems has a long
and noble history, which relies on taking absolutely calibrated
measurements of the Sun and computing synthetic colours to compare with
other solar-type stars (e.g. Campins et al. 1985; Johnson 1965; Rieke et al. 2008). This rationale can be extended to other physical properties, namely using the solar effective temperature
K as the average value for solar-type stars (e.g. Masana et al. 2006). This technique is well established and goes under the name of solar analogs method, but there is some sort of petitio principii in the underlying
scale adopted and/or the solar colours assumed to select solar analogs in first instance.
A way to break such a degeneracy is provided by solar twins, i.e. stars with
spectra indistinguishable from the Sun (Cayrel de Strobel & Bentolila 1989; Porto de Mello & da Silva 1997).
Our twins were drawn from an initial sample of about 100 stars broadly
selected to be solar like: the identification of the best ones was
based on a strictly differential analysis of high-resolution (
)
and high signal-to-noise (
)
spectra with
respect to the solar one reflected from an asteroid and observed with
the same instrument. Within this initial sample, the selection
criterion adopted to identify the best twins did not assume any a priori
effective temperature or colour, but was based on the measured relative
difference in equivalent widths and equivalent widths vs. excitation
potential relations with respect to the observed solar reference
spectrum and thus entirely model independent (Meléndez & Ramírez 2007; Meléndez et al. 2006a).
Since the spectra of the solar twins match so closely the solar one,
exceedingly accurate differential spectroscopic analysis with respect to
and
is possible
(Ramírez et al. 2009; Meléndez et al. 2009a).
Ten stars were identified as most closely resembling the Sun and are
given in Table 2, including HIP56948, the best solar twin
currently known (Takeda & Tajitsu 2009; Meléndez & Ramírez 2007). A crucial requirement
for these stars is to have accurate and homogeneous photometry in
order to derive reliable
via IRFM. While this is possible in
the infrared because of 2MASS
,
optical photometry is also important to properly recover the
bolometric flux where these stars emit most of their
energy. Johnson-Cousins photometry would be the ideal choice, but
unfortunately is not available for all these targets. To overcome this
limitation, in the optical we used the Tycho2
system which
uniformly and precisely covers the entire sky in the magnitude range
of our interest (Høg et al. 2000). Notice that we did not
transform
into BV but instead implemented our IRFM code
to work directly on the Tycho2 system. Also, as discussed in Sect. 2.2 the absence of
photometry is not relevant for
stars hotter than 5000 K. All twins are closer than 72 pc, where
reddening is expected to be zero or negligible: nearly all of them have
Strömgren photometry (Meléndez et al. in prep.) and the
Schuster & Nissen (1989) reddening calibration confirms indeed such a conclusion.
Table 2: Tycho2 and 2MASS photometry for our solar twins sample.
3.2 A finely tuned absolute calibration
As for the Johnson-Cousins system, we based the absolute calibration
of the Tycho2 system on Vega (Bohlin 2007; Bohlin & Gilliland 2004), adopting
the
zero points of Maíz-Apellániz (2007) and the corresponding
filter transmission curves of Bessell (2000).
![]() |
Figure 7:
Top panels: difference between
|
Open with DEXTER |
In the first instance, we determined
via IRFM for each of the
twins in Table 2: their average effective temperature
turned out to be 5782 K, remarkably close to
,
thus confirming the high accuracy achieved using the HST and 2MASS
absolute calibration. Based on Monte Carlo simulations with the
photometric errors in Table 2, the uncertainty in
determined via IRFM is of order 30 K for single stars. Imposing the
mean effective temperature of all solar twins to equal
we estimate the uncertainty on the zero point of
our temperature scale to be 15 K based on a bootstrap procedure with
one million re-samples. At the same time, for HIP56948 we also recover
within
.
Though the solar twins test confirms the global reliability of the
adopted absolute calibration, for all stars in Sect. 2.1
having Tycho2 photometry and
K we further required each
infrared band to return on average the same
as the others
(Fig. 7). By imposing such a consistency we improve upon
small systematic trends which could arise when determining effective
temperatures in stars with
and
very different from our
solar twins. This led to a decrease of the absolute calibration by
1.6% in the J band and an increase by 1.5 and 0.3% in the H and
bands, respectively (see also Appendix A).
In terms of synthetic magnitudes these
differences make H and
redder by 0.016 and 0.003 and J bluer
by 0.017, thus removing almost entirely the infrared colour offsets
found by Casagrande et al. (2006) when comparing observed and synthetic
photometry. We cannot entirely rule out whether these systematic
differences arise from the adopted synthetic library or the absolute
calibration, but since the IRFM depends only marginally on model
atmospheres and the infrared spectral region is relatively easy to
model, we are strongly in favour of the second possibility. From a
pragmatic point of view, this improves the consistency in determining
.
Also, such changes are within the 2MASS quoted errors and for
the
band we remark the agreement with the 0.2% increase found
by Rieke et al. (2008) and discussed in Sect. 2.2.
As expected, stars with the best 2MASS pedigree also return better
agreement in all bands (full circles in Fig. 7). We have
also checked that the increasing scatter in Fig. 7 is
primarily due to photometric errors. We recall that Rieke et al. (2008)
found a 2% offset between Read 1 and Read 2 mode in
2MASS
,
though they were not able to derive a universal correction for this
effect. All our solar twins have Read 1 mode and the absence of a
universal correction suggests that while Read mode 2 can decrease the
precision of
the overall accuracy of our calibration remains
valid.
With the fine-tuning discussed above, the median (mean) effective
temperature of our solar twins is 5777 (5779) K.
Restricting only to the twins having
within
the observational errors, still confirm such conclusion.
As a further independent test, we applied our IRFM to the list of solar analogs
used by Rieke et al. (2008) and determined their median (mean)
to
be 5791 (5786) K, thus confirming the reliability of the zero point
of our temperature scale, which has an uncertainty of 15 K. Such a
value implies possible systematics in the absolute calibration at the
1% level. The systematic error in recovering the bolometric
luminosity is however smaller since infrared fluxes enter twice in
,
thus partly compensating their uncertainty.
The corrections in the infrared absolute calibration discussed here
have been used also in determining
for stars in Sect. 2.1. Since for those stars we are using Johnson-Cousins
photometry, there could still be small differences arising from the
absolute calibration in the optical: for stars in common a mean
systematic of 8 K in
and 0.15% in bolometric flux was
found and corrected.
4 Validating the proposed temperature scale
The IRFM determines
in an almost model independent way,
primarily recovering the bolometric flux
of the star under investigation. From the basic definition linking
those two quantities the stellar angular diameter
can be obtained self-consistently and this was actually one of the driving
reasons for developing the technique (Blackwell & Shallis 1977). In what
follows, we use this information to further validate our results.
4.1 Interferometric angular diameters
An independent test of accuracy for the zero point of our effective
temperature scale involves the comparison with the angular diameters
measured using interferometric techniques (corrected for
limb-darkening, hereafter denoted by
).
In our case, angular diameters are a natural
consequence of the
determination procedure and for each star
the
values are self-consistent,
i.e., they represent a unique solution for a given set of input
data. We also prefer to compare angular diameters directly
(i.e.
vs.
)
since the effective
temperatures reported in various interferometric works would be more
heterogeneous because of the adopted bolometric corrections.
Table 3: Stars with measured interferometric angular diameters.
Given the difficulties involved in the measurement of the small
angular diameters of dwarfs and subgiants (even the nearest ones have
angular diameters below 10 milli-arcsec), only a
relatively small group of such stars has been observed to date for
that purpose (see also Appendix A for a discussion of the angular
diameters used by Alonso et al. 1994a).
We performed a literature search for interferometrically
determined angular diameters with precision better than 5% (which
corresponds to an accuracy of 2.5% in effective temperatures, roughly
150 K at solar temperature, assuming no error in the bolometric flux)
and found data for 28 stars, 16 of which have
measured
to better than 2% (Table 3). The efforts made by the
interferometry community in the last few years are commendable given
that the number of stars with reliable
has nearly
doubled since 2005 (cf. Ramírez & Meléndez 2005a).
Unfortunately, all dwarfs and subgiants with reliable
are brighter than
,
implying
infrared magnitudes
5 where 2MASS photometry has large
observational errors and starts to
saturate
. Therefore
we cannot apply our IRFM directly on them to get
.
Instead, we adopt an indirect approach using
the photometric
:colour and
:colour relations
presented in
Sect. 6. Using the photometry of our sample stars (i.e. those
used in the construction of the calibrations and therefore with
directly determined via IRFM), we checked that the zero point
of our
and
scales is correctly reproduced
by the calibration formulae presented in
Sect. 6, independently of the apparent magnitudes of the
stars. Also, for the two stars having HST
spectrophotometry (next section) we checked that our calibration
formulae reproduce nearly the same results as directly applying the
IRFM.
We were careful about propagating all possible sources of
random error such as uncertainties in the input photometry,
metallicity, and the reliability of the colour calibrations, as
quantified by the standard deviation of each polynomial fit (Tables 4 and 5). For most of the stars with reliable
(i.e. better than 2%), only BV photometry was
available, while for the remaining
was used.
Metallicities were adopted from the updated version of the Cayrel de Strobel et al. (2001)
catalog by Meléndez (in prep.), which nearly
triples the number of entries in the original catalog.
The comparison of the angular diameters measured interferometrically with
those derived using our IRFM colour calibrations is shown in
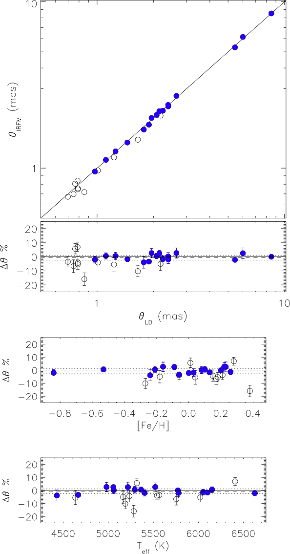
Fig. 8 (see also Table 3). Stars that have
determined with accuracy better than 2% are
shown with full symbols. Using only the latter, the average difference
in angular diameter (IRFM-LD) is
% which corresponds
to a zero point difference in the effective temperature scale of only
K at solar temperature. This is also in agreement with the
uncertainty on the zero point of our temperature scale discussed in
Sect. 3.2. No obvious trends are seen with
(from about -0.8 to +0.3) or
(from 4400 to 6600 K). Note, however, that if we exclude the two coolest stars
(from the group of those having errors smaller than 2%),
a small trend is seen with
.
The trend - if real - appears more clearly
for early type stars, with
being underestimated (and
therefore the IRFM effective temperatures overestimated) with respect to the
interferometric measurements. Interferometry resorts on 1D model atmospheres
to correct from the measured uniform-disk angular diameter to the physical
limb-darkened disk to which we compare with. Interestingly, 3D models predict
less center-to-limb variation than 1D models as moving from K to F type stars
(Bigot et al. 2006; Allende Prieto et al. 2002). Reduced limb-darkening corrections imply smaller
:
the trend discussed above qualitatively fit into this
picture. How well our result agrees quantitatively with this picture we leave
to future studies.
Table 4: Coefficients and range of applicability of the colour-temperature-metallicity relations.
Interestingly, Ramírez & Meléndez (2005a) made a similar comparison of
angular diameters and also found good agreement with their IRFM
scale, which is, however, systematically cooler (by
100 K) than the
present one for
(see also Casagrande 2008).
We compared the stars with
angular diameters in common between Table 4 of
Ramírez & Meléndez (2005a, RM05) and the present study (C09, Table 3) and found an average difference (C09-RM05) of
% in angular diameters,
% in
bolometric fluxes and
K in
.
Given the large
scatter, these numbers are still consistent with the mean
differences in
and
from these two
studies (Sect. 2.4), however, we would expect our diameters
to be roughly
smaller by 3%, our fluxes brighter by 1% and our
hotter by 100 K (see also Casagrande et al. 2006). While
and
compensate to give almost exactly the same angular
diameters, the 40 K offset might be more representative of the
difference with the TCS magnitudes used in Ramírez & Meléndez (2005a) (see
the discussion on the small zero point differences to convert
2MASS into TCS presented in Sect. 2.4).
To gauge further insights, we redetermined the temperatures used
by Ramírez & Meléndez (2005a) using their colour calibrations for the same
input data we adopted in this section and found
K. In addition, we
adopted our bolometric fluxes lowered by 1%, which corresponds
to the average difference we find for our complete sample. In this
case the difference in angular diameters sets to
%,
much closer to the expected -3%, offsetting the
Ramírez & Meléndez (2005a) scale with respect to interferometric
measurements. Since the present work represents an improvement
over Ramírez & Meléndez (2005a), in particular the fact that the
values are a
self-consistent and unique solution to each problem star, and given
that the number of comparison stars has doubled since 2005 (note also
that the
values of some stars have been
re-determined), it is likely that the good agreement found by
Ramírez & Meléndez (2005a) was due to a conspiracy of photometric errors
which propagated to both
and
determinations and low number statistics. More measurements of
stellar angular diameters via interferometry are clearly necessary, and
therefore highly encouraged, to better constrain indirectly
determined effective temperature scales. However, as this exercise has shown,
many critical ingredients enter in the comparison with angular
diameters. In particular bolometric corrections and effective
temperatures should be determined as self-consistently as possible,
also avoiding transformation between photometric systems. It gives us
confidence that the zero point uncertainty from solar twins, angular
diameters and HST spectrophotometry (next section) returns in all cases
independent and very consistent results.
While the angular diameter comparison does not extend below
,
leaving our results for halo stars ``un-tested'' in this context, in the next
section we use HST spectrophotometry to gauge further insight on the
topic.
Table 5:
Coefficients and range of applicability of the flux
calibrations for various
.
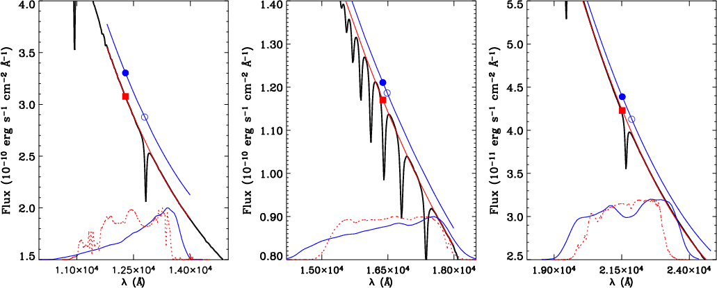
4.2 HST spectrophotometry
For each star, we obtain a synthetic spectrum tailored at the
effective temperature determined via IRFM (Sect. 2.2). Since the angular diameter is determined, each
synthetic spectrum is absolutely calibrated (i.e. in units of
), and can be used to further
test our results. In fact, from F- to early K-type stars, all
continuum characteristics approximately longward of the Paschen
discontinuity depend almost exclusively on the effective temperature,
relatively unaffected by spectral lines and NLTE effects as well as
from the treatment of convection.
![]() |
Figure 8:
Top two panels: comparison of angular diameters measured
interferometrically (
|
Open with DEXTER |
The
CALSPEC library contains composite stellar spectra measured by the STIS (
)
and NICMOS (
)
instruments on board of the HST and used as fundamental flux standard.
Free of any atmospheric contamination the HST thus provides the best
possible spectrophotometry to date, with 1-2% accuracy, extending from
the far-UV to the near infrared. The absolute flux calibration is tied
to the three hot, pure hydrogen white dwarfs, which constitute the HST
primary calibrators, normalized to the absolute flux of Vega at
5556 Å (Bohlin 2007).
Thus, except for the normalization at 5556 Å the absolute
fluxes measured by STIS and NICMOS are entirely independent on possible
issues regarding Vega's absolute calibration in the infrared and offer
an alternative approach to the 2MASS calibration underlying our
temperature scale.
Two of the CALSPEC targets are late-type main-sequence dwarfs for
which accurate photometry,
and
are available: the
exoplanet host star HD 209458 (e.g. Charbonneau et al. 2000) and the
fundamental SDSS standard BD +17 4708(e.g. Smith et al. 2002; Fukugita et al. 1996). For each of these targets we
computed
and derived the corresponding physical flux using the
absolute calibration presented in Sect. 3.2. For
comparison, we also determined the effective temperatures and the
corresponding fluxes when changing our adopted infrared absolute
calibration by different amounts up to
5%, which roughly correspond
to
100 K in
.
The agreement was quantified using
statistics between the observed (
)
and synthetic (
)
spectra at various
![]() |
(2) |
where

![${\rm [Fe/H]}$](/articles/aa/full_html/2010/04/aa13204-09/img3.png)


Also, the tuning of the absolute calibration in the infrared affects the final
but it does not modify in any manner the shape of the synthetic spectrum, which entirely depends on the Castelli & Kurucz (2004) grid interpolated at the proper
,
and
.
Notice that we are not searching for the synthetic spectrum which best
matches the observation, rather we want to test the effective
temperature we derive: while adjustments to
and
could improve the agreement in the blue and visible part, the continuum characteristics are more sensitive to
.
![]() |
Figure 9:
Left upper panel: comparison between the observed
HD 209458 CALSPEC spectrum (black line) and the synthetic spectra
derived for two different
|
Open with DEXTER |
![]() |
Figure 10:
Same as in Fig. 9 for BD +17 4708. The synthetic spectra have been reddened by
E(B-V)=0.01. Different symbols in the right panel correspond to cut longward of |
Open with DEXTER |
4.2.1 HD 209458
For this target we adopted the spectroscopic
and
measured from the high precision HARPS GTO sample (Sousa et al. 2008) and used Tycho2 and 2MASS photometry. We obtain
K,
and
mas
including both random and systematic errors. The latter result is in
good agreement with the angular diameters
mas
obtained using the new Hipparcos parallaxes (van Leeuwen 2007)
to convert the linear radius measured from exoplanet transit
photometry with HST (Brown et al. 2001). Notice that
100 K cooler
effective temperatures would imply values of
larger by
3.5% in the IRFM.
The comparison between the observed and synthetic spectra at two different
is shown in Fig. 9:
while they both succeed to capture the main observed features, the
continuum of the cooler model is clearly off from the observation. We
quantify the agreement between the HST spectrophotometry and the models
at various
applying
statistics longward of the
line (
m), the Paschen (
m) and the Brackett (
m)
discontinuity. These cuts define the beginning of the continuum in a
somewhat arbitrary manner, but they all return consistent results thus
ensuring that our conclusion is not affected by their choice. The
reduced
is lower than 1 in a roughly
40 K interval effectively centered on our preferred solution. While reduced
tells that the size of the errors is still too large to clearly favour
a solution within that range, the large number of points used in the
test sets low
and
levels, clearly ruling out solutions different by
100 K.
4.2.2 BD +17 4708
This star is the only subdwarf with well measured absolute flux, thus
making it an important benchmark for testing the temperature scale in
the metal-poor regime. We adopt the spectroscopic parameters
,
and
from Ramírez et al. (2006) who also derived
K,
and
mas.
We corrected for reddening
E(B-V)=0.01 the optical (Table 1) and infrared (2MASS) magnitudes, obtaining
K,
and
all in excellent agreement with the aforementioned analysis. Radial
velocities show modulation consistent with the presence of a low mass
companion which could influence infrared photometry (Latham et al. 1988).
The flags associated with 2MASS indicate excellent quality and no
artifact nor contamination in any band, pointing toward a negligible
effect, if any. Nonetheless, since the percent contribution of a cool
companion increases with increasing wavelength, as safety rule we
decided not to use
in the IRFM though it would change the resulting
by only 12 K.
For our preferred
K, shortward of
m
there is an outstanding agreement with the CALSPEC observed spectrum,
meaning that the solution found represents well the observation at all
wavelengths. A moderate increase in the observed with respect to the
synthetic flux seems to appear longward of
m,
which could be the signature of the cooler companion. On the contrary,
cooler solutions overestimate the flux throughout the entire continuum.
Because of the metal-poor nature of this star, the continuum shows up already at bluer wavelengths. We compute the reduced
in different intervals, starting longward of
m:
as for the previous star, our solution substantially correspond to the
minima of all parabolae, independently of the cut adopted. The random
errors associated with this star are larger than in the case of
HD 209458, giving shallower minima and thus making it more
difficult to discriminate between different solutions. However,
differences up to
100 K are clearly disfavoured (Fig. 10).
Summarizing, CALSPEC data support our temperature scale which provide
the best match to the observed spectrophotometry, in both metal-rich
and -poor regimes. While differences larger than 40 K
are ruled out for HD 209458, the observational errors for the
metal-poor star allow bigger uncertainties. Nonetheless, we have
determined the fundamental parameters of both stars with the same
procedure and in both cases our solutions are located at the minimum
:
we regard such a result as a further indication that our
scale is well calibrated over a wide metallicity range.
5 The new effective temperature scale
Our results should be compared with effective temperatures determined employing different methods. First, we focus on large studies which have targeted solar neighbourhood stars, where the vast number of objects imposes the use of fast and efficient techniques, relying on fitting the observed photometry or spectra to their synthetic counterpart. An extensive comparison between the effective temperatures determined from high resolution spectroscopy of solar neighbourhood stars and a version of the IRFM similar to that adopted here has been already carried out in Sousa et al. (2008). For metal-poor stars we restrict the comparison to purely spectroscopic effective temperatures; their validation will be crucial for ongoing and future studies of halo stars which are strongly affected by reddening and often lacking photometry.
5.1 Solar neighbourhood stars
5.1.1 Valenti & Fischer sample
Valenti & Fischer (2005) have presented a
uniform catalogue of stellar properties for 1040 nearby F, G and K
stars which have been observed by the Keck, Lick and AAT planet search
programs. Fitting the observed spectra with synthetic ones, they have
obtained effective temperatures, surface gravities and abundances for
every star. For 84 objects in common, there is no obvious dependence as
a function of
,
except for a drift appearing below 5000 K. However, when
is plotted as function of metallicity the trend becomes clear, with
very significant discrepancies at the lowest metallicities (Fig. 11).
5.1.2 Masana et al. sample
Masana et al. (2006) have derived stellar effective temperatures and bolometric corrections by fitting V and 2MASS IR photometry. They calibrate their scale by requiring a set of 50 solar analogs drawn from Cayrel de Strobel (1996) to have on average the same temperature as the Sun.
![]() |
Figure 11:
Upper (lower) panels: comparison between the effective temperatures determined in this work and those obtained by Valenti & Fischer (2005) (Masana et al. 2006).
|
Open with DEXTER |
We have 176 stars in common: there is no obvious trend with effective
temperatures, and for metallicities around solar there is an overall
good agreement. This is not entirely unexpected considering that both
studies have been calibrated to the Sun (though with different
approaches): considering
the mean difference (IRFM - Masana) is
K (
K).
However, when focusing on metal-poor stars
there is a significantly increasing scatter and a trend resulting in our
being cooler up to
200 K at the lowest metallicities and with a mean difference of
K (
K).
5.2 Metal-poor, halo stars
5.2.1 Temperatures from fits to hydrogen line profiles
The wings of hydrogen lines are strongly sensitive to the effective
temperature of the star and only mildly dependent on the other stellar
parameters, other than being unaffected by reddening. Such approach is
particularly effective with metal-poor stars, given the lack of
severe line blending affecting the hydrogen lines. Thus, provided a
proper continuum normalization is applied, which can be non-trivial in
some cases (e.g. Barklem et al. 2002), these lines can be used to determine
.
Although
significant progress has been made in the last few years, the modeling
of hydrogen lines (e.g., the Balmer line profiles) is still quite
uncertain (Barklem 2007; Barklem et al. 2000). Nonetheless, the relative
values derived in this manner can be very precise
(e.g. Nissen et al. 2007).
We remark that there is no such thing as one Balmer line
scale, but
instead each study depends upon the adopted prescriptions: LTE vs. NLTE,
broadening recipes, mixing-length parameter and even the details on how lines are fitted. Also, the
thermal structure of the model atmosphere is crucial for the Balmer
temperatures: as concerns 1D models, studies relying on OS- instead of
ODF-model atmosphere determine hotter
(Grupp 2004).
Aware of the complexity of the picture, in the upper panels of Fig. 12 our IRFM effective temperatures are compared with those derived
from fits to the Balmer lines in two different studies, which we regard as
representative of the LTE and NLTE approach, respectively.
Circles refer to the comparison with
Fabbian et al. (2009) who used the H
lines. There is an obvious
offset, the IRFM returning
hotter by
K (
K), but the small scatter between these two sets further
strengthen the conclusion that both techniques have high internal
precision. A similar conclusion holds also from the comparison with the
effective temperatures reported in Bergemann (2008, and references therein)
who used both H
and H
line profiles. In this case the
difference (IRFM - H lines) is
K (
K) with a
possible trend suggesting excellent agreement roughly below 6000 K (one star,
HD 25329 with
K and
K is not shown in the
upper left panel of Fig. 12).
![]() |
Figure 12:
Upper panels: comparison between the effective temperatures determined in this work and those obtained from the H |
Open with DEXTER |
5.2.2 Excitation equilibrium temperatures
An important number of iron lines are present in the spectra of cool
dwarfs, even the metal-poor ones. In an ideal case, the iron abundances
determined from each of those lines should be consistent with each
other. In practice, however, given an initial set of stellar
parameters, the line-by-line abundances show trends with excitation
potential (EP) and/or reduced equivalent width. By tuning the stellar
parameters, these trends can be eliminated. The EP trend is
particularly sensitive to
,
given the strong dependence of the atomic level populations on temperature, and therefore
determined by removing the abundance vs. EP trend are often
referred to as ``excitation equilibrium'' temperatures. Because of its
nature, this method of
determination is highly model-dependent. Not only it does require
realistic model atmospheres and spectrum synthesis, but also accurate
atomic data and, ideally, a non-LTE treatment of the line formation.
The advantage of such method is that it is independent of interstellar
reddening and can be applied to stars with uncertain or unavailable
photometry.
Recently, Hosford et al. (2009) have determined LTE excitation equilibrium
temperatures for a sample of metal-poor stars. The difference found
between their temperatures and ours is illustrated in Fig. 12 (HD 140283 with
E(B-V)=0.000,
K and
K is not shown in the lower left panel). Because the
excitation temperatures are somewhat sensitive to
and surface gravities
of metal-poor stars are difficult to determine due to
uncertain/unavailable parallaxes, they provide two sets of
values, one assuming the star to be on the main-sequence (MS) and
another one assuming the star to be on the subgiant branch (SGB).
We remark that for HD 140283 parallax and Balmer jump rule out the
main-sequence stage; our fit (Mike Bessell) of the MILES fluxes using
Munari et al. (2005) spectral library provide
K and
for
E(B-V)=0.000/0.017, respectively.
The IRFM temperatures are significantly hotter than the excitation
temperatures by
K (
K) (for their MS temperatures) and
K (
K) (SGB). In
particular, the large scatter suggests a decreased relative precision
when applying excitation equilibrium to very metal-poor stars, so that
the further investigation of non-LTE effects will be highly desirable
(Hosford et al. in prep.).
5.3 The most metal-poor stars in the Galaxy
Despite theoretical uncertainties on the exact mass range under which the first stars formed, it is likely that the most metal-poor objects currently observed in the Milky Way halo are second generation stars. In case of dwarfs/subgiants, their abundance patterns carry direct information on the first stars ever formed in the Galaxy (e.g. Frebel et al. 2005) and/or on still poorly known long time-scale processes which might take place below the surface or deep into stellar interior (e.g. Korn et al. 2009; Venn & Lambert 2008).
Determining their effective temperature and evolutionary status
(i.e. )
is crucial to derive reliable abundances and constrain
different scenarios. At the same time, such a quest is in stark
contrast with the many practical limitations associated with
hyper-metal-poor stars: parallaxes are not available to help
constrain their surface gravities and even when spectra with sufficient
resolution and S/N are obtained, the model atmospheres used for the
analysis are not yet fully tested at such low metallicities. Rigorous
analyses should also take into account 3D (Frebel et al. 2008) and NLTE
(Aoki et al. 2006) effects, which are expected to be considerable in this regime.
Determining
in a way mostly unaffected by the above
limitations is not only desirable, but also necessary to put
spectroscopic analyses on firmer grounds.
5.3.1 HE1327-2326
For this star the IRFM returns
K in agreement
within the errors with the spectroscopic value of
K
obtained from the NLTE analysis of the Balmer lines (Korn et al. 2009),
roughly with an offset of the same order of that discussed in Sect. 5.2.1.
As we already pointed out, the IRFM depends only
weakly on the adopted surface gravity: changing it by
0.5 dex
affects
by approximately
25 K. In our case, we used
as recently determined by Korn et al. (2009). The exact
metallicity of HE1327-2326 is also uncertain: although it is well
established that its
,
estimates range from -5.9to -5.4 depending on the adopted stellar parameters and 1D/3D
LTE/NLTE analysis performed (Frebel et al. 2008; Aoki et al. 2006).
The IRFM is known to depend very little on the metallicity and we
verified this being particularly true (at least in this
regime) for the featureless spectra of this hyper-metal-poor star:
increasing
by 1 dex in the IRFM affects the derived
by less then 10 K. This conclusion supports the suggestion that for
hyper-metal-poor stars colour-temperature calibration of normal
very-metal-poor stars can be used instead (see discussion in Sect. 6).
When running the IRFM for this star we used the new grid of MARCS
model atmosphere (Gustafsson et al. 2008) which extend down to
and this value was used in our implementation. Because of the weak
metallicity dependence discussed above, very similar results are
obtained if the Castelli & Kurucz (2004) grid (which stops to
)
is used instead. For the sake of ensuring our
results do not depend too much on the adopted spectra library, we also
checked that for stars with higher metallicities MARCS or ATLAS9
models return very similar results, with differences usually well
within 10 K and at most of order 20 K (see also Casagrande et al. 2006).
We feel the major source of possible systematic error stems from
reddening, which is very high for this star. We used
E(B-V)=0.076based on both extinction maps and interstellar absorption lines
(Aoki et al. 2006; Beers et al. 2007) but it should be kept
in mind that a change of 0.01 mag in E(B-V) affects
by
50 K.
5.3.2 HE0233-0343
Though the exact metallicity of this star is still uncertain, it seems
well secured as having
(García Pérez et al. 2008, García Pérez
private communication). Its evolutionary status is also
ambiguous, with spectroscopic estimates of
varying from
3.5 to 4.5. Also in this case, the exact values of
and
are not crucial for the IRFM and we checked that changing them
even considerably affects
by an amount similar to that
discussed for HE1327-2326. We adopt
and
from
which we derive
K, without accounting for possible
systematics arising from
E(B-V)=0.025 (Beers et al. 2007). As we point out in
Sect. 6 there might be some issue with the
photometry
for this star. Were we to exclude this band when running the
IRFM,
would increase by 25-35 K depending on the surface
gravity assumed. Spectroscopic
estimates for this star are
still uncertain, primarily because of its uncertain
.
Were its
subgiant status to be confirmed, our effective temperature
would be in good agreement with the spectroscopic one (García Pérez et al. 2008).
6 Empirical calibrations
The effective temperatures and the bolometric luminosities derived via IRFM for our sample allow us to build calibrations relating those quantities to the measured colours and metallicities. As discussed in Sect. 2, to correctly account for reddening is crucial though fortunately, for the sake of deriving colour relations, reddening affects both the observed photometry and the derived fundamental stellar parameters, thus making such relations - built using dereddened colours - independent on the adopted E(B-V) in first approximation.
In the following we give the functional form of these calibrations,
together with the number of stars used, the standard deviation
obtained in the fitting process and the range of applicability. The results
presented here usually match Casagrande et al. (2006) within the limits of those
calibrations, but extend over a wider range now and thus supersede the previous
work.
Though our sample has been assembled explicitly to cover a parameter space as
large as
possible in effective temperature and metallicity, the detection and
observation of stars with
is still strongly
biased around
K. Even if the formal range of
applicability of the calibrations extend well below
,
the
number of known metal-poor stars considerably decreases as one moves away
from the aforementioned
(see Fig. 13). In
particular, for metallicities below -4, only two stars are currently
known, a number clearly inadequate to give fits. Fortunately, at these
temperatures, calibrations at about -3.5 seem adequate for
even more metal-poor stars, as we discuss further in Sects. 6.1 and 6.2. Nonetheless, we advocate particular
caution when using these calibrations in poorly sampled regions of
Fig. 13. On the contrary for
,
typical
for most of the stellar population observed in the solar neighbourhood
and Galactic star clusters, our calibrations are robust and can be
readily used for a number of purposes.
The core of the present work is to accurately define the zero point of the
temperature scale in many standard photometric systems; we caution however
that in some cases real systems might not exactly reproduce standard systems,
especially in the case of the faintest sources (Bessell 2005).
Users of our calibrations should always keep this
in mind: although the zero point of the
scale is now well defined,
in gathering photometry from heterogeneous sources there might be small zero
point issues between different authors, and this observational uncertainty
- if present - will introduce small systematic errors to our accurate empirical
calibrations.
![]() |
Figure 13:
Upper left panel: metallicities and effective temperatures of our
sample. All stars have 2MASS and Johnson-Cousins photometry.
Upper right panel: effective temperatures and gravities of our sample.
Symbols for different metallicity bins are the same as in the left panel.
Overplotted for reference is a 3 Gyr solar isochrone from Bertelli et al. (2008).
Lower panel: metallicity sensitivity of our colour-temperature calibration in
different bands for stars having
|
Open with DEXTER |
![]() |
Figure 14:
Upper panels: empirical colour-temperature-metallicity calibrations in the metallicity bins
|
Open with DEXTER |
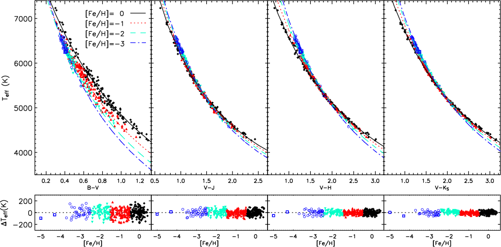
6.1 Colour-temperature-metallicity
To reproduce the observed
versus colour relation and take into account the effects of metallicity, the usual fitting formula has been adopted (e.g. González Hernández & Bonifacio 2009; Alonso et al. 1996b; Ramírez & Meléndez 2005b; Casagrande et al. 2006)
where



The IRFM depends only very mildly on the adopted
(Sect. 2.2) but certain colours could be more affected: for all
indices we have checked the residual of our calibration and did not
find any obvious trend with
.
Nevertheless, a dependence
on the gravity could be built into the calibrations, since
decreases as one moves from cool dwarfs to hotter turn-off stars
(Fig. 13).
The coefficients for various colour indices are given with their range of
applicability in Table 4 and a comparison between the polynomial
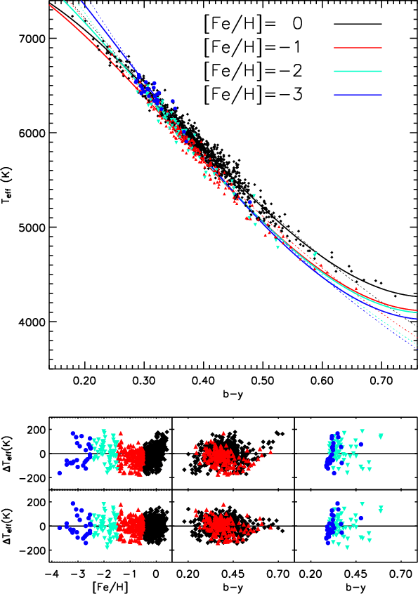
fits and our sample of stars is shown in Fig. 14.
We remark that the functional form of Eq. (3) may
return non-physical values when extrapolated to very low
metallicities, as extensively discussed by Ryan et al. (1999) for the
calibration of Alonso et al. (1996b) below
.
We have considerably increased the number of very metal-poor
(turnoff) stars and our calibration behaves as one would
expect, i.e. it shows a decreasing sensitivity on
when moving
from -2 to -3, where the metallicity sensitivity vanishes in
all bands (Fig. 13). Moving to
(or lower), the
diverging behaviour in Fig. 13 reflects the form of the
fitting function and the values of the coefficients rather than
the characteristics of metal-poor turnoff stars.
In Fig. 14
the two hyper metal-poor stars (represented by open squares) clearly
follow the same trend of other iron deficient stars with similar
effective temperatures. Using Eq. (3) at a fixed
recovers their IRFM
within the typical accuracy of the calibration. This is always true for
HE1327-2326, and also for HE0233-0343 except when using the
index, possibly indicating a photometric issue in this band for the
latter star. This comparison thus warrants the applicability of our
calibrations for hyper-metal-poor stars if
is assumed and a typical
K is obtained. How well this holds at other effective temperatures is still unknown.
The calibration presented here applies till late K-type dwarfs. Those interested in M dwarfs, can instead refer to Casagrande et al. (2008): though in that work the zero point has not been constrained using solar twins, the absolute calibration adopted was similar to that used here, resulting in effective temperatures approximately on the same scale. Nonetheless, if a link between the two scales is needed, we advise users to a careful case-by-case study, also considering that the calibration for M dwarfs has a different functional form and does not include any metallicity term.
6.1.1 Strömgren calibration
The Strömgren index b-y deserves a separate discussion. It is
often used as a
indicator, but because of its very nature has
a strong sensitivity on the metallicity and a proper functional form
is not trivial. Alonso et al. (1996b) excluded the coolest
dwarfs, where the dependence of b-y upon
possibly flattens out. Yet, for the most metal poor stars that
calibration diverges to unphysical values, as discussed in
Ryan et al. (1999).
For b-y we have verified that a calibration of the form of
Eq. (3) has strong residuals as function of both colour
and metallicity and used polynomial fits to correct such trends,
i.e.
.
To this purpose, we have increased the sample with more than
1000 stars from the GCS catalogue (Nordström et al. 2004) all having
Strömgren photometry, spectroscopic metallicities from an updated
version of the Cayrel catalogue (Meléndez, in prep.) and for
which the IRFM could be applied directly using Tycho2 and 2MASS
(Casagrande et al. in prep.).
We checked that a third order polynomial in both colour and
metallicity was enough; the calibration before and after adopting
such a correction is shown in Fig. 15 and the
coefficients, given in the form
are
M0=-1.9,
M1=130.4,
M2=125.7,
M3=27.4,
C0=-1003.7,
C1=7325.9,
C2=-17207.4,
C3=12977.7.
Notice that the form of these corrections can lead to unphysical
values if extrapolated and should never be applied outside of the
colour and [Fe/H] ranges of Fig. 15.
![]() |
Figure 15: Upper panel: empirical colour-temperature-metallicity calibration in b-y before (dotted) and after (continuous lines) the polynomial correction. Central and lower panels: residuals before and after the polynomial corrections. |
Open with DEXTER |
6.2 Colour-flux-metallicity
We adopt the same definition of Casagrande et al. (2006) to define the bolometric correction in a given
band, where
and the zero point of the


A complementary way of deriving stellar integrated flux via
photometric indices is given in the form of Casagrande et al. (2006), using the coefficients given in Table 5

As for the temperature calibrations, also in this case the fluxes of the two hyper metal-poor stars can be recovered adopting
![${\rm [Fe/H]}= -3.5$](/articles/aa/full_html/2010/04/aa13204-09/img30.png)
6.3 Colour-angular diameters
Limb-darkened angular diameters can be readily derived from the basic
definition involving effective temperatures and bolometric
fluxes, using the calibrations given in Sects. 6.1 and 6.2. Nonetheless, very tight and simple relations exist in
the J band and in Table 6 we give them in the form of
Casagrande et al. (2006)
![]() |
(6) |
where
![]() |
(7) |
for a given colour index X. These relations show remarkably small scatter and no metallicity dependence, thus proving ideal to build a network of small calibrators for interferometric measurements, for characterizing extrasolar planet transits or microlensing events.
Table 6: Coefficients and range of applicability of the angular diameter calibrations.
6.4 The colours of the Sun
![]() |
Figure 16:
Same as Fig. 14, but for the
colour-flux-metallicity calibrations. The reduced flux in
different bands
|
Open with DEXTER |

![${\rm [Fe/H]}=0$](/articles/aa/full_html/2010/04/aa13204-09/img274.png)


![${\rm [Fe/H]}$](/articles/aa/full_html/2010/04/aa13204-09/img3.png)
Table 7: The colours of the Sun.
In recent years, there has been considerable work in order to
determine the colours of the Sun
(e.g. Sekiguchi & Fukugita 2000; Holmberg et al. 2006; Pasquini et al. 2008; Ramírez & Meléndez 2005b). One of
the most extensive analysis is that of Holmberg et al. (2006): the
remarkably good agreement we have in the optical colours can be understood
from the dependence of these indices on both
and
.
The
approximately 100 K cooler effective temperature scale adopted by
Holmberg et al. (2006) favours bluer colours, which are grossly
compensated to the red by the underestimation of
0.1 dex in the GCS
photometric metallicities with respect to spectroscopic ones selected to be
consistent with our temperature scale (Holmberg et al. 2009).
Our B-V=0.641 is also in very good
agreement with the
found studying solar twins in
M 67 (Pasquini et al. 2008). For this cluster, using our colour-temperature
relation to compare
photometry with theoretical isochrones
shows remarkably good agreement (Vandenberg, private communication).
Infrared indices derived inverting Eq. (3) depend almost
exclusively on the adopted
scale, which is responsible for our much
redder colours than those of Holmberg et al. (2006). Our V- J, H and
are in good agreement with those reported in Rieke et al. (2008) and obtained from
solar-type stars or computed convolving various solar spectra with the
appropriate filter curves and using their revised absolute physical
calibration.
The empirical colours in Table 7 are also in agreement
with the synthetic ones, computed using the same zero points and
absolute calibration for Vega used in the IRFM to derive our
scale. Therefore, the uncertainty in the zero points used to generate
synthetic colours is at the smallest level possible, yet of the order
of 0.01 mag (Sect. 3.2), allowing us to address the
reliability of the models at this level of precision.
While using a theoretical spectra of Vega may (partly) compensate model
inaccuracies in the process of setting the zero points, the approach adopted
here allows us to focus on the quality of the solar synthetic spectra.
The agreement is remarkable, on the order of 0.01 mag and never exceeding
0.02, which is also of the same size of the difference between those
synthetic models.
7 Conclusions
The primary goal of this work has been to provide a new absolute effective
temperature scale. An unprecedented accuracy of few tens of Kelvin in the
zero point of our scale has been achieved using a sample of solar twins.
For these stars the high degree of
resemblance to the Sun has been determined entirely model
independently, without any prior assumption on their physical
parameters, most importantly
.
Notice that by calibrating our results via solar twins we are entirely unaffected
from possible issues and uncertainties related to Vega. Nonetheless, we
regard as comforting that our findings are in close agreement with the latest
absolute fluxes (Bohlin 2007; Cohen et al. 2003; Rieke et al. 2008). We further took advantage of
such a promising situation by fine-tuning the adopted fluxes so as to improve
the consistency of the effective temperatures determined from each band used
in the IRFM. This methodology gives us confidence that the
stellar parameters we determined are well calibrated not only around the
solar value, but over a wide range in
and
.
Notice that the IRFM is little model dependent and certainly not at the solar
value because of our calibration procedure. Small spurious trends arising
from the
adopted library at different temperatures and metallicities can not be
entirely ruled out, but should be small.
Though the zero point of our new
scale is entirely set by solar twins,
it agrees within few degrees with independent verifications conducted via
interferometric angular diameters and HST spectrophotometry in the metal-poor
and -rich regimes.
In the process of establishing the zero point of the effective temperature
scale via IRFM, we nailed down the differences with respect to other
implementations of the same technique. We have used two independent IRFM
versions
to study the discrepancies among various temperature scales that appeared in
literature over the years and proved that the absolute calibration of the
photometric systems used was responsible for explaining most of the
differences. At solar temperatures and metallicities
the long-standing dichotomy between photometric and spectroscopic
is easily explained once it is understood that the IRFM can
in principle accommodate any temperature scale since its zero point
depends on the absolute calibration of the photometry adopted.
The main goal of the present paper has been exactly to tackle this issue
using the best constraint available to date.
The improved
bolometric fluxes determined for metal-poor stars have also been used
to put on firmer ground the temperature scale in this rather unexplored
regime. For metallicities typical of halo stars our
scale is
roughly 100 K hotter than those determined from the Balmer lines
and 200 K hotter than those obtained from the excitation
equilibrium. While spectroscopic effective temperature determinations
have considerable model dependence and are degenerate with
other stellar parameters (namely
and
), the IRFM offers a
powerful alternative, free from any of the above limitations.
However, relying on the photometry, the IRFM is influenced by reddening,
which becomes a considerable source of uncertainty when
targeting objects outside of the local bubble. For our sample of
metal-poor stars we have been cautious in determining reddening
as best we could. Our improved determination of E(B-V) also explain the
remaining discrepancies with other
scales.
We think the effective temperatures determined for our sample of stars
will serve to better calibrate spectroscopic
determinations. This will be
particularly relevant when large spectroscopic surveys targeting
different stellar populations in the Galaxy start operating:
support from the existing or forthcoming photometric surveys will be
possible only if reddening will be determined on a star-by-star
basis. We feel this will not be possible in many cases and stellar parameters
will have to rely on spectroscopy only.
Based on our sample of dwarfs and subgiants, a set of homogeneously calibrated colours versus temperatures, bolometric fluxes and angular diameters have also been determined. A number of problems of interest to stellar and Galactic Chemical evolution depend on the assumption made in these relations and our results will permit those problems to be tackled with greater confidence.
AcknowledgementsWe thank Ana García-Pérez for preliminary results on HE0233-0343 and interesting discussion on excitation temperatures in metal-poor stars. We are also indebted to Maria Bergemann and Andreas Korn for many insights on determining effective temperatures from Balmer lines. Martin Cohen is acknowledged for useful correspondence on the absolute calibration and Gerard van Belle for enlightening discussions on interferometry at various times. Don Vandenberg is kindly acknowledged for useful correspondence and for a preliminary comparison of our temperature scale with M 67. We thank an anonymous referee for relevant comments and suggestions that helped to strength the presentation and clarify the results. J.M. is supported by a Ciência 2007 contract (FCT/MCTES/Portugal and POPH/FSE/EC) and acknowledges financial support from PTDC/CTE-AST/65971/2006 (FCT/Portugal). This research has made use of the General Catalogue of Photometric data operated at the University of Lausanne and the SIMBAD database, operated at CDS, Strasbourg, France. This publication makes use of data products from the Two Micron All Sky Survey, which is a joint project of the University of Massachusetts and the Infrared Processing and Analysis Center/California Institute of Technology, funded by the National Aeronautics and Space Administration and the National Science Foundation.
Appendix A: Comparing the TCS and 2MASS absolute calibration
Table A.1: Characteristic parameters of the 2MASS and TCS photometric systems.
![]() |
Figure A.1:
Comparison between
|
Open with DEXTER |


![[*]](/icons/foot_motif.png)


To gauge a further insight into the problem, here we directly compare the TCS
(given in Alonso et al. 1994b)
and 2MASS absolute calibration. Such an exercise, however is not
straightforward since the absolute calibration in different photometric
system is obtained using different filter transmission curves and
therefore is associated to different effective wavelengths. In
addition, for the sake of the IRFM, in any given band ,
it is the composite effect of Vega's
magnitudes and fluxes which matters, i.e.
.
Therefore, for a meaningful comparison we need to refer everything to a
common wavelength, the 2MASS one being the natural choice in this case.
This is done in Table A.1 by computing
i.e the composite effect of magnitudes and fluxes shifted to the 2MASS
in the case of TCS (Fig. A.1).
The 2MASS absolute calibration is on the average lower than the TCS by
(a value qualitatively in agreement with the difference in the
Johnson system discussed above), thus returning
on average hotter
by
90 K, and explaining the bulk of the differences discussed in
Sect. 2.3 when comparing the sample stars directly. Similar
conclusions can be drawn when comparing with the absolute fluxes and
magnitudes of Vega used in Table 1 of González Hernández & Bonifacio (2009). In this case the
photometric system is the same (2MASS) and one can directly compare
:
the difference is
(J),
(H) and
(
)
thus giving an average of
which
correspond to
30 K, again in line with the differences discussed in
Sect. 2.5.
References
- Allende Prieto, C., Asplund, M., García López, R. J., & Lambert, D. L. 2002, ApJ, 567, 544 [NASA ADS] [CrossRef] [Google Scholar]
- Alonso, A., Arribas, S., & Martinez-Roger, C. 1994a, A&A, 282, 684 [NASA ADS] [Google Scholar]
- Alonso, A., Arribas, S., & Martinez-Roger, C. 1994b, A&AS, 107, 365 [NASA ADS] [Google Scholar]
- Alonso, A., Arribas, S., & Martinez-Roger, C. 1995, A&A, 297, 197 [NASA ADS] [Google Scholar]
- Alonso, A., Arribas, S., & Martinez-Roger, C. 1996a, A&AS, 117, 227 [NASA ADS] [CrossRef] [EDP Sciences] [Google Scholar]
- Alonso, A., Arribas, S., & Martinez-Roger, C. 1996b, A&A, 313, 873 [NASA ADS] [Google Scholar]
- Aoki, W., Frebel, A., Christlieb, N., et al. 2006, ApJ, 639, 897 [NASA ADS] [CrossRef] [Google Scholar]
- Aoki, W., Barklem, P. S., Beers, T. C., et al. 2009, ApJ, 698, 1803 [NASA ADS] [CrossRef] [Google Scholar]
- Asplund, M. 2005, ARA&A, 43, 481 [NASA ADS] [CrossRef] [Google Scholar]
- Asplund, M., & García Pérez, A. E. 2001, A&A, 372, 601 [NASA ADS] [CrossRef] [EDP Sciences] [Google Scholar]
- Baines, E. K., McAlister, H. A., ten Brummelaar, T. A., et al. 2008, ApJ, 680, 728 [NASA ADS] [CrossRef] [Google Scholar]
- Barklem, P. S. 2007, A&A, 466, 327 [NASA ADS] [CrossRef] [EDP Sciences] [Google Scholar]
- Barklem, P. S., Piskunov, N., & O'Mara, B. J. 2000, A&AS, 142, 467 [NASA ADS] [CrossRef] [EDP Sciences] [MathSciNet] [PubMed] [Google Scholar]
- Barklem, P. S., Stempels, H. C., Allende Prieto, C., et al. 2002, A&A, 385, 951 [NASA ADS] [CrossRef] [EDP Sciences] [Google Scholar]
- Beers, T. C., Flynn, C., Rossi, S., et al. 2007, ApJS, 168, 128 [NASA ADS] [CrossRef] [Google Scholar]
- Bell, R. A., & Gustafsson, B. 1989, MNRAS, 236, 653 [NASA ADS] [CrossRef] [Google Scholar]
- Bergemann, M. 2008, Physica Scripta Volume T, 133, 014013 [Google Scholar]
- Bertelli, G., Girardi, L., Marigo, P., & Nasi, E. 2008, A&A, 484, 815 [NASA ADS] [CrossRef] [EDP Sciences] [Google Scholar]
- Bessell, M. S. 2000, PASP, 112, 961 [NASA ADS] [CrossRef] [Google Scholar]
- Bessell, M. S. 2005, ARA&A, 43, 293 [NASA ADS] [CrossRef] [Google Scholar]
- Bessell, M. S., & Brett, J. M. 1988, PASP, 100, 1134 [NASA ADS] [CrossRef] [Google Scholar]
- Bessell, M. S., Castelli, F., & Plez, B. 1998, A&A, 333, 231 [NASA ADS] [Google Scholar]
- Biazzo, K., Frasca, A., Catalano, S., & Marilli, E. 2007, Astron. Nachr., 328, 938 [Google Scholar]
- Bigot, L., Kervella, P., Thévenin, F., & Ségransan, D. 2006, A&A, 446, 635 [NASA ADS] [CrossRef] [EDP Sciences] [Google Scholar]
- Blackwell, D. E., & Shallis, M. J. 1977, MNRAS, 180, 177 [NASA ADS] [CrossRef] [Google Scholar]
- Blackwell, D. E., Shallis, M. J., & Selby, M. J. 1979, MNRAS, 188, 847 [NASA ADS] [CrossRef] [Google Scholar]
- Blackwell, D. E., Petford, A. D., & Shallis, M. J. 1980, A&A, 82, 249 [NASA ADS] [Google Scholar]
- Bohlin, R. C. 2007, in The Future of Photometric, Spectrophotometric and Polarimetric Standardization, ed. C. Sterken, ASP Conf. Ser., 364, 315 [Google Scholar]
- Bohlin, R. C., & Gilliland, R. L. 2004, AJ, 127, 3508 [NASA ADS] [CrossRef] [Google Scholar]
- Bonifacio, P., Molaro, P., Sivarani, T., et al. 2007, A&A, 462, 851 [NASA ADS] [CrossRef] [EDP Sciences] [Google Scholar]
- Boyajian, T. S., McAlister, H. A., Baines, E. K., et al. 2008, ApJ, 683, 424 [NASA ADS] [CrossRef] [Google Scholar]
- Brown, T. M., Charbonneau, D., Gilliland, R. L., Noyes, R. W., & Burrows, A. 2001, ApJ, 552, 699 [NASA ADS] [CrossRef] [Google Scholar]
- Caccin, B., Penza, V., & Gomez, M. T. 2002, A&A, 386, 286 [NASA ADS] [CrossRef] [EDP Sciences] [Google Scholar]
- Campins, H., Rieke, G. H., & Lebofsky, M. J. 1985, AJ, 90, 896 [NASA ADS] [CrossRef] [Google Scholar]
- Cardelli, J. A., Clayton, G. C., & Mathis, J. S. 1989, ApJ, 345, 245 [NASA ADS] [CrossRef] [Google Scholar]
- Casagrande, L. 2008, Physica Scripta Volume T, 133, 014020 [Google Scholar]
- Casagrande, L. 2009, Mem. Soc. Astron. Ital., 80, 727 [Google Scholar]
- Casagrande, L., Portinari, L., & Flynn, C. 2006, MNRAS, 373, 13 [NASA ADS] [CrossRef] [Google Scholar]
- Casagrande, L., Flynn, C., & Bessell, M. 2008, MNRAS, 389, 585 [NASA ADS] [CrossRef] [MathSciNet] [Google Scholar]
- Castelli, F., & Kurucz, R. L. 1994, A&A, 281, 817 [NASA ADS] [Google Scholar]
- Castelli, F., & Kurucz, R. L. 2004, Modelling of Stellar Atmospheres, ed. N. Piskunov et al., IAU Symp., 210 [arXiv:astro-ph/0405087] [Google Scholar]
- Cayrel de Strobel, G. 1996, A&A Rev., 7, 243 [CrossRef] [Google Scholar]
- Cayrel de Strobel, G., & Bentolila, C. 1989, A&A, 211, 324 [NASA ADS] [Google Scholar]
- Cayrel de Strobel, G., Soubiran, C., & Ralite, N. 2001, A&A, 373, 159 [NASA ADS] [CrossRef] [EDP Sciences] [Google Scholar]
- Charbonneau, D., Brown, T. M., Latham, D. W., & Mayor, M. 2000, ApJ, 529, L45 [NASA ADS] [CrossRef] [PubMed] [Google Scholar]
- Cohen, M., Wheaton, W. A., & Megeath, S. T. 2003, AJ, 126, 1090 [NASA ADS] [CrossRef] [Google Scholar]
- di Benedetto, G. P., & Rabbia, Y. 1987, A&A, 188, 114 [NASA ADS] [Google Scholar]
- Edvardsson, B. 2008, Physica Scripta Volume T, 133, 014011 [Google Scholar]
- Fabbian, D., Nissen, P. E., Asplund, M., Pettini, M., & Akerman, C. 2009, A&A, 500, 1143 [NASA ADS] [CrossRef] [EDP Sciences] [Google Scholar]
- Frebel, A., Aoki, W., Christlieb, N., et al. 2005, Nature, 434, 871 [NASA ADS] [CrossRef] [PubMed] [Google Scholar]
- Frebel, A., Collet, R., Eriksson, K., Christlieb, N., & Aoki, W. 2008, ApJ, 684, 588 [NASA ADS] [CrossRef] [Google Scholar]
- Fuhrmann, K. 2008, MNRAS, 384, 173 [NASA ADS] [CrossRef] [Google Scholar]
- Fukugita, M., Ichikawa, T., Gunn, J. E., et al. 1996, AJ, 111, 1748 [NASA ADS] [CrossRef] [Google Scholar]
- García Pérez, A. E., Christlieb, N., Ryan, S. G., et al. 2008, Physica Scripta Volume T, 133, 014036 [Google Scholar]
- González Hernández, J. I., & Bonifacio, P. 2009, A&A, 497, 497 [NASA ADS] [CrossRef] [EDP Sciences] [Google Scholar]
- Gray, D. F. 1994, PASP, 106, 1248 [NASA ADS] [CrossRef] [Google Scholar]
- Gray, D. F., & Johanson, H. L. 1991, PASP, 103, 439 [NASA ADS] [CrossRef] [Google Scholar]
- Gray, R. O. 2007, in The Future of Photometric, Spectrophotometric and Polarimetric Standardization, ed. C. Sterken, ASP Conf. Ser., 364, 305 [Google Scholar]
- Grupp, F. 2004, A&A, 426, 309 [NASA ADS] [CrossRef] [EDP Sciences] [Google Scholar]
- Gustafsson, B., Edvardsson, B., Eriksson, K., et al. 2008, A&A, 486, 951 [NASA ADS] [CrossRef] [EDP Sciences] [Google Scholar]
- Hanbury Brown, R., Davis, J., & Allen, L. R. 1974, MNRAS, 167, 121 [NASA ADS] [CrossRef] [Google Scholar]
- Høg, E., Fabricius, C., Makarov, V. V., et al. 2000, A&A, 355, L27 [NASA ADS] [Google Scholar]
- Holmberg, J., Flynn, C., & Portinari, L. 2006, MNRAS, 367, 449 [NASA ADS] [CrossRef] [Google Scholar]
- Holmberg, J., Nordström, B., & Andersen, J. 2009, A&A, 501, 941 [NASA ADS] [CrossRef] [EDP Sciences] [Google Scholar]
- Hosford, A., Ryan, S. G., García Pérez, A. E., Norris, J. E., & Olive, K. A. 2009, A&A, 493, 601 [NASA ADS] [CrossRef] [EDP Sciences] [Google Scholar]
- Hutter, D. J., Johnston, K. J., Mozurkewich, D., et al. 1989, ApJ, 340, 1103 [NASA ADS] [CrossRef] [Google Scholar]
- Johnson, H. L. 1965, Communications of the Lunar and Planetary Laboratory, 3, 73 [NASA ADS] [Google Scholar]
- Kervella, P., & Fouqué, P. 2008, A&A, 491, 855 [NASA ADS] [CrossRef] [EDP Sciences] [Google Scholar]
- Korn, A. J., Richard, O., Mashonkina, L., et al. 2009, ApJ, 698, 410 [NASA ADS] [CrossRef] [Google Scholar]
- Kovtyukh, V. V., Soubiran, C., Belik, S. I., & Gorlova, N. I. 2003, A&A, 411, 559 [NASA ADS] [CrossRef] [EDP Sciences] [Google Scholar]
- Kurucz, R. L. 1993, ATLAS9 Stellar Atmosphere Programs and 2 km s-1 grid. Kurucz CD-ROM No. 13 (Cambridge, Mass.: Smithsonian Astrophysical Observatory), 13 [Google Scholar]
- Lallement, R., Welsh, B. Y., Vergely, J. L., Crifo, F., & Sfeir, D. 2003, A&A, 411, 447 [EDP Sciences] [Google Scholar]
- Latham, D. W., Mazeh, T., Carney, B. W., et al. 1988, AJ, 96, 567 [NASA ADS] [CrossRef] [Google Scholar]
- Leroy, J. L. 1993, A&A, 274, 203 [NASA ADS] [Google Scholar]
- Ludwig, H., Behara, N. T., Steffen, M., & Bonifacio, P. 2009, A&A, 502, L1 [NASA ADS] [CrossRef] [EDP Sciences] [MathSciNet] [Google Scholar]
- Maíz-Apellániz, J. 2007, in The Future of Photometric, Spectrophotometric and Polarimetric Standardization, ed. C. Sterken, ASP Conf. Ser., 364, 227 [Google Scholar]
- Masana, E., Jordi, C., & Ribas, I. 2006, A&A, 450, 735 [NASA ADS] [CrossRef] [EDP Sciences] [Google Scholar]
- McCall, M. L. 2004, AJ, 128, 2144 [NASA ADS] [CrossRef] [Google Scholar]
- Meléndez, J., & Ramírez, I. 2004, ApJ, 615, L33 [NASA ADS] [CrossRef] [Google Scholar]
- Meléndez, J., & Ramírez, I. 2007, ApJ, 669, L89 [NASA ADS] [CrossRef] [Google Scholar]
- Meléndez, J., Dodds-Eden, K., & Robles, J. A. 2006a, ApJ, 641, L133 [NASA ADS] [CrossRef] [Google Scholar]
- Meléndez, J., Shchukina, N. G., Vasiljeva, I. E., & Ramírez, I. 2006b, ApJ, 642, 1082 [NASA ADS] [CrossRef] [Google Scholar]
- Meléndez, J., Asplund, M., Gustafsson, B., & Yong, D. 2009a, ApJ, 704, L66 [NASA ADS] [CrossRef] [Google Scholar]
- Meléndez, J., Ramírez, I., Casagrande, L., et al. 2009b, Ap&SS, in press[arXiv:0910.5845] [Google Scholar]
- Meléndez, J., Casagrande, L., Ramírez, I., Asplund, M., & Schuster, W. I. 2010, A&A, submitted [Google Scholar]
- Mermilliod, J.-C., Mermilliod, M., & Hauck, B. 1997, A&AS, 124, 349 [NASA ADS] [CrossRef] [EDP Sciences] [Google Scholar]
- Mozurkewich, D., Johnston, K. J., Simon, R. S., et al. 1991, AJ, 101, 2207 [NASA ADS] [CrossRef] [Google Scholar]
- Munari, U., Sordo, R., Castelli, F., & Zwitter, T. 2005, A&A, 442, 1127 [NASA ADS] [CrossRef] [EDP Sciences] [Google Scholar]
- Nissen, P. E., Akerman, C., Asplund, M., et al. 2007, A&A, 469, 319 [NASA ADS] [CrossRef] [EDP Sciences] [Google Scholar]
- Nordgren, T. E., Germain, M. E., Benson, J. A., et al. 1999, AJ, 118, 3032 [NASA ADS] [CrossRef] [Google Scholar]
- Nordström, B., Mayor, M., Andersen, J., et al. 2004, A&A, 418, 989 [NASA ADS] [CrossRef] [EDP Sciences] [Google Scholar]
- North, J. R., Davis, J., Robertson, J. G., et al. 2009, MNRAS, 393, 245 [NASA ADS] [CrossRef] [Google Scholar]
- O'Donnell, J. E. 1994, ApJ, 422, 158 [NASA ADS] [CrossRef] [Google Scholar]
- Pasquini, L., Biazzo, K., Bonifacio, P., Randich, S., & Bedin, L. R. 2008, A&A, 489, 677 [NASA ADS] [CrossRef] [EDP Sciences] [Google Scholar]
- Pereira, T., Asplund, M., Trampedach, R., & Collet, R. 2010, A&A, submitted [Google Scholar]
- Porto de Mello, G. F., & da Silva, L. 1997, ApJ, 482, L89 [NASA ADS] [CrossRef] [Google Scholar]
- Ramírez, I., Allende Prieto, C., Redfield, S., & Lambert, D. L. 2006, A&A, 459, 613 [NASA ADS] [CrossRef] [EDP Sciences] [Google Scholar]
- Ramírez, I., & Meléndez, J. 2005a, ApJ, 626, 446 [Google Scholar]
- Ramírez, I., & Meléndez, J. 2005b, ApJ, 626, 465 [Google Scholar]
- Ramírez, I., Meléndez, J., & Asplund, M. 2009, A&A, 508, L17 [NASA ADS] [CrossRef] [EDP Sciences] [Google Scholar]
- Ridgway, S. T., Joyce, R. R., White, N. M., & Wing, R. F. 1980, ApJ, 235, 126 [NASA ADS] [CrossRef] [Google Scholar]
- Rieke, G. H., Blaylock, M., Decin, L., et al. 2008, AJ, 135, 2245 [NASA ADS] [CrossRef] [Google Scholar]
- Ryan, S. G., Norris, J. E., & Beers, T. C. 1999, ApJ, 523, 654 [NASA ADS] [CrossRef] [Google Scholar]
- Schuster, W. J., & Nissen, P. E. 1989, A&A, 221, 65 [NASA ADS] [Google Scholar]
- Sekiguchi, M., & Fukugita, M. 2000, AJ, 120, 1072 [NASA ADS] [CrossRef] [Google Scholar]
- Skrutskie, M. F., Cutri, R. M., Stiening, R., et al. 2006, AJ, 131, 1163 [NASA ADS] [CrossRef] [Google Scholar]
- Smith, J. A., Tucker, D. L., Kent, S., et al. 2002, AJ, 123, 2121 [Google Scholar]
- Sousa, S. G., Santos, N. C., Mayor, M., et al. 2008, A&A, 487, 373 [NASA ADS] [CrossRef] [EDP Sciences] [MathSciNet] [Google Scholar]
- Takeda, Y., & Tajitsu, A. 2009, PASJ, 61, 471 [NASA ADS] [Google Scholar]
- Valenti, J. A., & Fischer, D. A. 2005, ApJS, 159, 141 [NASA ADS] [CrossRef] [MathSciNet] [Google Scholar]
- van Belle, G. T., & von Braun, K. 2009, ApJ, 694, 1085 [NASA ADS] [CrossRef] [Google Scholar]
- van Leeuwen, F. 2007, A&A, 474, 653 [NASA ADS] [CrossRef] [EDP Sciences] [Google Scholar]
- VandenBerg, D. A., & Clem, J. L. 2003, AJ, 126, 778 [NASA ADS] [CrossRef] [Google Scholar]
- Venn, K. A., & Lambert, D. L. 2008, ApJ, 677, 572 [NASA ADS] [CrossRef] [Google Scholar]
- White, N. M., & Feierman, B. H. 1987, AJ, 94, 751 [NASA ADS] [CrossRef] [Google Scholar]
Footnotes
- ... subgiants
- Table 8 is only available in electronic form at the CDS via anonymous ftp to cdsarc.u-strasbg.fr (130.79.128.5) or via http://cdsweb.u-strasbg.fr/cgi-bin/qcat?J/A+A/512/A54
- ... available
- Other than being available only for a limited number of stars, we did not use U magnitudes because of the little flux emitted in this region and the high uncertainties related to the absolute calibration and standardization of this passband in both observed and synthetic photometry (e.g. Bessell 2005, and references therein).
- ... use
- We point out that Eq. (1) holds exactly for a heterochromatic measurement, while for computing a monochromatic flux from the observed photometry, an additional correction (the so called q-factor) must be introduced to account for the fact that the zero point of the photometric system is defined by a standard star, which usually has a different spectral energy distribution across the filter window with respect to the problem star (e.g. Casagrande et al. 2006; Alonso et al. 1996a).
- ... metallicity
- We have also tested that in the context of computing bolometric fluxes for this work, the updated J. Carpenter transformations from 2MASS to Johnson available online at: http://www.astro.caltech.edu/ jmc/2mass/v3/transformations are instead accurate enough and insensitive to small zero point changes.
- ... 2MASS
- In fact, the other well known solar twin 18 Sco (Porto de Mello & da Silva 1997) has saturated 2MASS colours.
- ...
2MASS
- This mode indicates which readout is used to derive photometry http://www.ipac.caltech.edu/2mass/releases/allsky/doc/sec3_1b.html.
- ...
saturate
- www.ipac.caltech.edu/2mass/releases/allsky/doc/sec2_2.html#pscphotprop
- ...
CALSPEC
- http://www.stsci.edu/hst/observatory/cdbs/calspec.html as of January 2009.
- ... paper
- We have verified using our IRFM implementation that a 1%
increase in infrared fluxes correspond to a decrease of 20 K
in
.
All Tables
Table 1: New Johnson-Cousins photoelectric photometry obtained for some of the metal-poor stars in the sample.
Table 2: Tycho2 and 2MASS photometry for our solar twins sample.
Table 3: Stars with measured interferometric angular diameters.
Table 4: Coefficients and range of applicability of the colour-temperature-metallicity relations.
Table 5:
Coefficients and range of applicability of the flux
calibrations for various
.
Table 6: Coefficients and range of applicability of the angular diameter calibrations.
Table 7: The colours of the Sun.
Table A.1: Characteristic parameters of the 2MASS and TCS photometric systems.
All Figures
![]() |
Figure 1:
Distribution of
|
Open with DEXTER | |
In the text |
![]() |
Figure 2:
Top panel: Johnson-Cousins-2MASS filter sets used in this
work. Middle panel: synthetic solar metallicity spectra at different
|
Open with DEXTER | |
In the text |
![]() |
Figure 3:
Difference between the effective temperatures obtained in this work (TW) and those reported in Alonso et al. (1996a) for 220 stars in common. In case of reddening, only stars with values of E(B-V)
equal to within 0.02 mag have been plotted. Thick continuous
lines connect the means computed in equally spaced bins of
|
Open with DEXTER | |
In the text |
![]() |
Figure 4:
Comparison between Kurucz (1993) (thick line) and
Castelli & Kurucz (2004) (thin line) synthetic spectra at different metallicities
for an assumed
|
Open with DEXTER | |
In the text |
![]() |
Figure 5: Top panels: difference between the effective temperatures of this work (TW) and those obtained when the same input data are used in the Ramírez & Meléndez (2005a) implementation (RM05). Bottom panels: as in the top panels but for the Ramírez & Meléndez (2005a) temperatures re-determined using the bolometric fluxes obtained in this work. |
Open with DEXTER | |
In the text |
![]() |
Figure 6:
Top panels: difference between the effective temperatures of this work (TW) and those in González Hernández & Bonifacio (2009) (GB09) for 380 stars in common. Filled circles are stars with
|
Open with DEXTER | |
In the text |
![]() |
Figure 7:
Top panels: difference between
|
Open with DEXTER | |
In the text |
![]() |
Figure 8:
Top two panels: comparison of angular diameters measured
interferometrically (
|
Open with DEXTER | |
In the text |
![]() |
Figure 9:
Left upper panel: comparison between the observed
HD 209458 CALSPEC spectrum (black line) and the synthetic spectra
derived for two different
|
Open with DEXTER | |
In the text |
![]() |
Figure 10:
Same as in Fig. 9 for BD +17 4708. The synthetic spectra have been reddened by
E(B-V)=0.01. Different symbols in the right panel correspond to cut longward of |
Open with DEXTER | |
In the text |
![]() |
Figure 11:
Upper (lower) panels: comparison between the effective temperatures determined in this work and those obtained by Valenti & Fischer (2005) (Masana et al. 2006).
|
Open with DEXTER | |
In the text |
![]() |
Figure 12:
Upper panels: comparison between the effective temperatures determined in this work and those obtained from the H |
Open with DEXTER | |
In the text |
![]() |
Figure 13:
Upper left panel: metallicities and effective temperatures of our
sample. All stars have 2MASS and Johnson-Cousins photometry.
Upper right panel: effective temperatures and gravities of our sample.
Symbols for different metallicity bins are the same as in the left panel.
Overplotted for reference is a 3 Gyr solar isochrone from Bertelli et al. (2008).
Lower panel: metallicity sensitivity of our colour-temperature calibration in
different bands for stars having
|
Open with DEXTER | |
In the text |
![]() |
Figure 14:
Upper panels: empirical colour-temperature-metallicity calibrations in the metallicity bins
|
Open with DEXTER | |
In the text |
![]() |
Figure 15: Upper panel: empirical colour-temperature-metallicity calibration in b-y before (dotted) and after (continuous lines) the polynomial correction. Central and lower panels: residuals before and after the polynomial corrections. |
Open with DEXTER | |
In the text |
![]() |
Figure 16:
Same as Fig. 14, but for the
colour-flux-metallicity calibrations. The reduced flux in
different bands
|
Open with DEXTER | |
In the text |
![]() |
Figure A.1:
Comparison between
|
Open with DEXTER | |
In the text |
Copyright ESO 2010
Current usage metrics show cumulative count of Article Views (full-text article views including HTML views, PDF and ePub downloads, according to the available data) and Abstracts Views on Vision4Press platform.
Data correspond to usage on the plateform after 2015. The current usage metrics is available 48-96 hours after online publication and is updated daily on week days.
Initial download of the metrics may take a while.